北师版八下数学第五章分式与分式方程单元测试试题(含答案)
- 格式:doc
- 大小:487.00 KB
- 文档页数:4
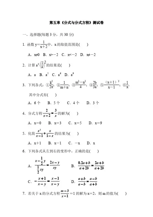
第五章《分式与分式方程》测试卷一、选择题(每题3分,共30分)1. 函数y =1x +2中,x 的取值范围是( )A .x ≠0B .x >-2C .x <-2D .x ≠-22.计算a 3·⎝ ⎛⎭⎪⎫1a 2的结果是( )A .aB .a 5C .a 6D .a 93.下列各式:①k 22π;②1m +n ;③m 2-n 24;④2b 3a ;⑤(x +1)2x -1;⑥1x ,其中分式有( )A .6个B .5个C .4个D .3个4.分式方程232x x =-的解为( )A .x =0B .x =3C .x =5D .x =95.化简211x xx x +--的结果为( )A .x +1B .x -1C .-xD .x6.下列各式从左到右的变形中,正确的是( )A .12212x yx y xy xy--= B .0.2222a b a ba b a b ++=++C .11x x x y x y +--=-- D .a ba ba b a b +-=-+7.若关于x 的分式方程31m x --=1的解为x =2,则m 的值为()A .5B .4C .3D .28.如果a -b =23,那么代数式222a b a b a a b ⎛⎫+-⋅ ⎪-⎝⎭的值为( ) A . 3 B .2 3 C .3 3 D .4 39.一艘轮船在静水中的最大航速为30 km/h ,它以最大航速沿江顺流航行100 km 所用时间,与以最大航速逆流航行80 km 所用时间相等,设江水的流速为v km/h ,则可列方程为( )A .1008030v v=+ B .100803030v v =-+ C .100803030v v=+- D .100803030v v =-+ 10.已知m 2-3m +2=0,则代数式22m m m -+的值是( ) A .3 B .2 C .13 D .12二、填空题(每题3分,共30分)11.若分式242x x -+的值为0,则x 的值为________. 12. 在分式:①3ax ;②22x y x y +-;③()2a b a b --;④x y x y +-中,是最简分式的是__________(填序号).13. 化简:2212124x x x x x --+÷--=__________. 14.计算:2b a b a b++-=__________. 15.若a 2-6ab +9b 2=0(a ,b 均不为0),则a b a b -+=________.16.已知1xx+=6,则221xx+-2=________.17.当x=________时,41x+与31x-互为相反数.18.已知关于x的分式方程32xx--=2-2mx-会产生增根,则m=____________.19.某工厂现在平均每天比原计划多生产50台机器,现在生产600台机器所需时间与原计划生产450台机器所需时间相同,现在平均每天生产________台机器.20.关于x的分式方程21x ax++=1的解为负数,则a的取值范围为____________.三、解答题(21题8分,26题12分,其余每题10分,共60分) 21.计算下列各式:(1)222 44155a b a bab a b+⋅-;(2) 22169211x x x x x -++⎛⎫-÷ ⎪+-⎝⎭.22.解下列方程:(1) 32x x --+1=32x -;(2)32-131x -=562x -.23.先化简,再求值:22211244x x x x x ⎛⎫+++÷ ⎪--+⎝⎭,其中x 满足x 2-2x -5=0.24.当m 为何值时,关于x 的分式方程212326x x x m x x x x +--=+-+-的解不小于1?25.某超市预测某饮料有发展前途,用1 600元购进一批饮料,面市后果然供不应求,又用6 000元购进这种饮料,第二批饮料的数量是第一批的3倍,但单价比第一批贵2元.(1)第一批饮料进货单价多少元?(2)若两次购进饮料按同一价格销售,两批全部售完后,获利不少于1 200元,那么销售单价至少为多少元?26.阅读下面的材料:∵11×3=12×⎝ ⎛⎭⎪⎫1-13,13×5=12×⎝ ⎛⎭⎪⎫13-15,15×7=12×⎝ ⎛⎭⎪⎫15-17,…,117×19=12×⎝ ⎛⎭⎪⎫117-119, ∴11×3+13×5+15×7+…+117×19=12×⎝ ⎛⎭⎪⎫1-13+12×⎝ ⎛⎭⎪⎫13-15+12×⎝ ⎛⎭⎪⎫15-17+…+12×⎝ ⎛⎭⎪⎫117-119=12×⎝ ⎛⎭⎪⎫1-13+13-15+15-17+…+117-119=12×⎝ ⎛⎭⎪⎫1-119=919.解答下列问题:(1)在和式11×3+13×5+15×7+…中,第6项是________,第n 项是________________;(2)材料是通过逆用____________法则,将和式中的各分数转化为两个数之差,使得除首末两项外的中间各项可以______________,从而达到求和的目的;(3)根据上面的方法,请你解下面的方程:()()()()()111333669218x x x x x x x ++=++++++.答案一、1.D 2.A 3.C 4.D 5.D 6.A 7.B 8.A 9.C10.D 点拨:∵m 2-3m +2=0,∴m ≠0.∴m -3+2m =0.∴m +2m =3. 则原式=121m m +-=13-1=12.二、11.2 12. ①④ 13.x +2x -1 14.a 2a -b 15.12 16.32 17.1718.-1 19.200 20.a >1且a ≠2三、21.解:(1)原式=4(a +b )5ab ·15a 2b (a +b )(a -b )=12aa -b ;(2)原式=2(x +1)-(x -1)x +1÷(x +3)2(x +1)(x -1)=x +3x +1·(x +1)(x -1)(x +3)2=x -1x +3.22.解:(1)把方程两边同时乘以x -2,得x -3+x -2=-3,解得x =1.检验:当x =1时,x -2=1-2=-1≠0,∴原方程的解为x =1.(2)方程两边同时乘以2(3x -1),得3(3x -1)-2=5,解得x =109.检验:当x =109时,2(3x -1)≠0,∴x =109是原方程的解.23.解:⎝⎛⎭⎪⎫1+x 2+2x -2÷x +1x 2-4x +4=x 2+x x -2·(x -2)2x +1=x (x +1)x -2·(x -2)2x +1=x 2-2x . ∵x 2-2x -5=0,∴x 2-2x =5.∴原式=5.24.解:由原方程,得x (x -2)-(x +1)·(x +3)=x -2m. 整理,得-7x =3-2m ,解得x =237m -. ∵分式方程x x +3-x +1x -2=226x m x x -+-的解不小于1,且x ≠-3,x ≠2, ∴231,7233,7232,7m m m -⎧≥⎪⎪-⎪≠-⎨⎪-⎪≠-⎪⎩解得m ≥5且m ≠8.5. 25.解:(1)设第一批饮料进货单价为x 元,则3·1 600x = 6 000x +2,解得x =8.经检验:x =8是分式方程的解,且符合题意.答:第一批饮料进货单价为8元.(2)设销售单价为m 元,则(m -8)·1 6008+(m -10)·6 00010≥1 200,化简得:2(m -8)+6(m -10)≥12 ,解得:m ≥11.答:销售单价至少为11元.26.解:(1)111×13;1(2n -1)(2n +1)(2)分数减法;相互抵消(3)将分式方程变形为13(1x -1x +3+1x +3-1x +6+1x +6-1x +9)=32x +18. 整理,得1x -1x +9=92(x +9). 方程两边都乘2x (x +9),得2(x +9)-2x =9x ,解得x =2. 经检验,x =2是原分式方程的解.。
北师大版八年级数学下册第五章《分式与分式方程》测试卷(含答案)一、选择题(共10小题,3*10=30)1. 在式子1a ,2xy π,3ab 2c 4,56+x ,x 7+y 8,9x +10y ,x 2x 中,分式的个数是( ) A .5 B .4 C .3 D .22. 下列式子:①x 3y 2·y 4x 2;②b -a ·2a 2bc ;③8xy÷4x y ;④x +y x 2-xy ÷1x -y,计算结果是分式的是( ) A .①② B .③④C .①③D .②④3. 已知2x x 2-2x =2x -2,则x 的取值范围是( ) A .x >0 B .x≠0且x≠2C .x <0D .x≠24. 若3-2x x -1÷( )=1x -1,则( )中式子为( ) A .-3 B .3-2xC .2x -3 D.13-2x5. 若将分式a +b 4a 2中的a 与b 的值都扩大为原来的2倍,则这个分式的值将( ) A .扩大为原来的2倍 B .分式的值不变C .缩小为原来的12D .缩小为原来的146. 分式3x -2(x -1)2,2x -3(1-x )3,4x -1的最简公分母是( ) A .(x -1)2 B .(x -1)3C .x -1D .(x -1)2(1-x)37. 将分式方程1x =2x -2去分母后得到的整式方程,正确的是( ) A .x -2=2x B .x 2-2x =2xC.x -2=x D .x =2x -48. 分式方程1x -1-2x +1=4x 2-1的解是( ) A .x =0 B .x =-1 C .x =±1 D .无解9. 解关于x 的方程x x -1-k x 2-1=x x +1不会产生增根,则k 的值( ) A .为2 B .为1 C .不为±2 D .无法确定10. 新能源汽车环保节能,越来越受到消费者的喜爱.各种品牌相继投放市场.一汽贸公司经销某品牌新能源汽车.去年销售总额为5000万元,今年1~5月份,每辆车的销售价格比去年降低1万元.销售数量与去年一整年的相同.销售总额比去年一整年的少20%,今年1~5月份每辆车的销售价格是多少万元?设今年1~5月份每辆车的销售价格为x 万元.根据题意,列方程正确的是( ) A.5000x +1=5000(1-20%)x B.5000x +1=5000(1+20%)x C.5000x -1=5000(1-20%)x D.5000x -1=5000(1+20%)x 二.填空题(共8小题,3*8=24)11. 计算:xy 2xy=__ __. 12. 当a =12时,代数式2a 2-2a -1-2的值为________. 13. 小松鼠为过冬储存m 天的坚果a 千克,要使储存的坚果能多吃n 天,则小松鼠每天应节约坚果_____________千克.14. 化简:x 2+4x +4x 2-4-x x -2=___________. 15. 若a 2+5ab -b 2=0,则b a -a b的值为___________. 16. 某单位全体员工在植树节义务植树240棵.原计划每小时植树m 棵,实际每小时植树的棵数比原计划每小时植树的棵数多10棵,那么实际比原计划提前了____________小时完成任务.(用含m 的代数式表示)17. 若关于x 的方程x -1x -5=m 10-2x无解,则m =________. 18. 已知关于x 的分式方程x -3x -2=2-m 2-x会产生增根,则m =____________. 三.解答题(7小题,共66分)19.(8分) 计算:(1)3a 2b·512ab 2÷(-5a 4b);(2)b a 2-b 2÷(a a -b -1);20.(8分) 先化简,再求值:(a -2ab -b 2a )÷a 2-b 2a,其中a =1+2,b =1- 2.21.(8分) 在数学课上,老师对同学们说:“你们任意说出一个x 的值(x≠-1,1,-2),我立刻就知道式子(1+1x +1)÷x +2x 2-1的结果.”请你说出其中的道理.22.(10分) 老师在黑板上书写了一个代数式的正确演算结果,随后用手掌捂住了一部分,形式如下: ⎝ ⎛⎭⎪⎫-x 2-1x 2-2x +1÷x x +1=x +1x -1. (1)求所捂部分化简后的结果;(2)原代数式的值能等于-1吗?为什么?23.(10分) 化简x 2-4x +4x 2-2x÷(x -4x ),然后从-5<x<5的范围内选取一个合适的整数作为x 的值代入求值.24.(10分) 已知:2+23=22×23,3+38=32×38,4+415=42×415…若10+a b =102×a b(a ,b 均为正整数). (1)探究a ,b 的值;(2)求分式a 2+4ab +4b 2a 2+2ab的值.25.(12分) 为配合“一带一路”国家倡议,某铁路货运集装箱物流园区正式启动了2期扩建工程.一项地基基础加固处理工程由A 、B 两个工程公司承担建设,已知A 工程公司单独建设完成此项工程需要180天,A 工程公司单独施工45天后,B 工程公司参与合作,两工程公司又共同施工54天后完成了此项工程.(1)求B 工程公司单独建设完成此项工程需要多少天?(2)由于受工程建设工期的限制,物流园区管委会决定将此项工程划分成两部分,要求两工程公司同时开工,A 工程公司建设其中一部分用了m 天完成,B 工程公司建设另一部分用了n 天完成,其中m ,n 均为正整数,且m <46,n <92,求A 、B 两个工程公司各施工建设了多少天?参考答案1-5BDBBC 6-10BADCA11.y 12.1 13.an m (m +n ) 14.2x -2 15.5 16.2400m 2+10m17. -8 18.-1 19.解:(1)原式=-1(2)原式=1a +b20.解:原式=a -b a +b . 当a =1+2,b =1-2时,原式=222= 2. 21.解:∵原式=x +1+1x +1÷x +2(x +1)(x -1)=x +2x +1·(x +1)(x -1)x +2=x -1,∴只要学生说出x 的值,老师就可以说出答案22.解:(1)设所捂部分为A ,则A =x +1x -1·x x +1+x 2-1x 2-2x +1=x x -1+x +1x -1=x +x +1x -1=2x +1x -1. (2)若原代数式的值为-1,则x +1x -1=-1,即x +1=-x +1,解得x =0,当x =0时,除式x x +1=0,∴原代数式的值不能等于-1.23.解:原式=1x +2,∵-5<x<5且x 为整数,∴若使分式有意义,x =-1或x =1. 当x =1时,原式=13;当x =-1时,原式=1 24.解:(1)a =10,b =102-1=99(2)a 2+4ab +4b 2a 2+2ab =a +2b a ,将a ,b 的值代入得原式=104525. 解:(1)设B 工程公司单独完成需要x 天,根据题意得45×1180+54(1180+1x)=1,解得x =120,经检验,x =120是分式方程的解,且符合题意,答:B 工程公司单独完成需要120天 (2)根据题意得m ×1180+n ×1120=1,整理得n =120-23m ,∵m <46,n <92,∴120-23m <92,解得42<m <46,∵m 为正整数,∴m =43,44,45,又∵120-23m 为正整数,∴m =45,n =90.答:A ,B 两个工程公司分别施工建设了45天和90天。
八年级数学下第五章分式与分式方程单元检测试卷(北师大带答案和解释)【新北师大版八年级数学(下)单元测试卷】第五《分式与分式方程》班级:___________ 姓名:___________ 得分:___________一选择题:(每小题3分共36分)1.在,,,中,是分式的有()A.1个B.2个.3个D.4个2.每千克元的糖果x千克与每千克n元的糖果千克混合成杂拌糖,这样混合后的杂拌糖果每千克的价格为()A.元B.元.元D.元3.当x=2时,下列分式中,值为零的是()A.B..D.4.下列分式是最简分式的是()A.B..D..若,则的值为()A.1 B..D.6.计算所得的正确结论是()A B1 D-17.a÷b× ÷× ÷d×等于()A.a B..D.ab d8.计算的结果为:()A.B.-.-D.9.分式的分子分母都加1,所得的分式的值比()A.减小了B.不变.增大了D.不能确定10.若,则=()A B D11.关于x的方式方程的解是正数,则可能是()A.﹣4 B.﹣.﹣6 D.﹣712.如果关于x的方程的解不是负值,那么a与b的关系是()A.a>b B.b≥ a .a≥3b D.a=3b二、填空题:(每小题3分共12分)13.化简:= .14.已知,则的值是。
1.计算:= .16.若关于的分式方程无解,则= .三解答题:(共2分)17.(分)计算:(﹣)÷.18.(分)计算:.19.(6分)先化简再求值:,其中a=2,b=﹣1.20.(6分)A、B两地相距200千米,甲车从A地出发匀速开往B 地,乙车同时从B地出发匀速开往A地,两车相遇时距A地80千米.已知乙车每小时比甲车多行驶30千米,求甲、乙两车的速度.21.(10分)某商店经销一种纪念品,9月份的销售额为2000元,为扩大销售,10月份该商店对这种纪念品打九折销售,结果销售量增加20,销售额增加700元.(1)求这种纪念品9月份的销售价格?(2)若9月份销售这种纪念品获利800元,问10月份销售这种纪念品获利多少元?22.(10分)某工程承包方指定由甲、乙两个工程队完成某项工程,若由甲工程队单独做需要40天完成,现在甲、乙两个工程队共同做20天后,由于甲工程队另有其他任务不再做该工程,剩下的工程由乙工程队再单独做了20天才完成任务.(1)求乙工程队单独完成该工程需要多少天?(2)如果工程承包方要求乙工程队的工作时间不能超过30天,要完成该工程,甲工程队至少要工作多少天?23.(10分)一项工程,甲、乙两公司合做,12天可以完成,共需付工费102000元;如果甲、乙两公司单独完成此项公程,乙公司所用时间甲公司的1倍,乙公司每天的施工费比甲公司每天的施工费少100元。
北师大版八年级数学下册第五章分式与分式方程单元检测试卷注意事项:1.答题前填写好自己的姓名、班级、考号等信息 2.请将答案正确填写在答题卡上第I 卷(选择题)一、选择题1.若分式1−2x 有意义,则x 的取值范围是( )A. x≠0 B. x ≠12C. x>12D. x <122.下列运算正确的是( )A. x 2+x 4=x 6B. x 6÷x 3=x 2C.−a−ba+b=−1 D.ba 2−b2÷(1−aa+b)=−1a−b3.当x=7,y=3时,代数式x 2−y 22x+7的值是( )A. 4021B. 1621C. 87D. 2074.使代数式x+2x−3÷x+1x−2 有意义的x 满足( )A. x≠3且x≠2B. x≠3且x≠-1C. x≠2且x≠-2D. x≠-1,x≠2且x≠3 5.下列各式从左到右的变形正确的是( ) A.−x+31−x=x+3x−1 B. 2−2x x 2−1=−2x+1 C. 0.2x+0.3y 0.4x−y =2x+3y 4x−y D. c a +c b =ca+b 6.如果分式3x+3y xy 中的x ,y 都扩大到原来的3倍,那么分式的值( )A. 不变B. 扩大到原来的6倍C. 扩大到原来的3倍D. 缩小到原来的13倍 7.若1x +1y=1x+y ,则 y x +xy 的值为( )A. 0B. 1C. ﹣1D. 无法计算 8.当x 分别取﹣2015、﹣2014、﹣2013、…、﹣2、﹣1、0、1、12、13、…、12013、12014、12015时,计算分式2211x x -+的值,再将所得结果相加,其和等于( )A. ﹣1B. 1C. 0D. 20159.A ,B 两地相距160千米,甲车和乙车的平均速度之比为4∶5,两车同时从A 地出发到B 地,乙车比甲车早到30分钟,若求甲车的平均速度,设甲车平均速度为4x 千米/小时,则所列方程是( )A. 1604x -1605x =30B. 1604x -1605x =12C.1605x -1604x =12 D. 1604x +1605x=30 10.小华在做解方程作业时,不小心将方程中的一个常数弄脏了而看不清楚,被弄脏的方程是13(−x−12+x)=1−x−▲3, 这该怎么办呢?他想了一想,然后看了一下书后面的答案,知道此方程的解是x =5,于是,他很快便补好了这个常数,并迅速地做完了作业。
北师大数学八下 第五章 分式与分式方程一、选择题1. 下列所给的各式中:12,x +y m,1m +n ,ba ,分式的个数是 ( )A . 1B . 2C . 3D . 42. 如果把分式x +2y x +y中的 x 和 y 都扩大 10 倍,那么分式的值 ( )A .扩大 10 倍B .缩小 10 倍C .是原来的 23D .不变3. 不论 x 取何值,下列分式中一定有意义的是 ( ) A .x−1x 2B .x +1x−1 C . x +1∣x∣−1D . x−1∣x∣+14. 分式 −11−x 可变形为 ( ) A . −1x−1B . 11+xC . −1x +1D . 1x−15. 如果 m +n =1,那么代数式 (2m +n m2−mn +1m)⋅(m 2−n 2) 的值为 ( ) A . −3B . −1C . 1D . 36. 为推进垃圾分类,推动绿色发展.某化工厂要购进甲、乙两种型号机器人用来进行垃圾分类.用 360 万元购买甲型机器人和用 480 万元购买乙型机器人的台数相同,两型号机器人的单价和为 140 万元.若设甲型机器人每台 x 万元,根据题意,所列方程正确的是 ( ) A . 360x =480140−xB . 360140−x =480xC .360x+480x=140D .360x−140=480x7. 已知分式方程 x +3x +2=k(x−1)(x +2)+1 解为非负数,求 k 的取值范围 ( ) A . k ≥5B . k ≥−1C . k ≥5 且 k ≠6D . k ≥−1 且 k ≠08. 对于两个不相等的实数 a ,b ,我们规定符号 Min {a,b } 表示 a ,b 中的较小的值,如 Min {2,4}=2,按这个规定,方程 Min {1x ,2x}=3x −1 的解为 ( ) A . 1 B . 2 C . 1 或 2 D . 1 或 −2二、填空题9. 分式 1x−1 有意义的条件是.10. 约分:① xy 3x 2y 2=,② m +3m 2−9=.11. 当a +b =2,ab =−5 时,ab +ba 的值是 .12. 若 1x −1y =3,则分式 3x +xy−3y2x +5xy−2y =.13. 为抢修一段 120 米的铁路,施工队每天比原计划多修 5 米,结果提前 4 天开通了列车.求原计划每天修多少米?若设原计划每天修 x 米,所列方程是 .14. 若关于 x 的分式方程m−1x−1=2 的解为非负数,则 m 的取值范围是.15. 已知 a ,b ,c 是有理数,且 a +b +c =0,abc <0,则b +c ∣a∣+a +c ∣b∣+a +b ∣c∣的值是 .16. 若关于 x 的分式方程 xx−3+2a3−x =2a 无解,则 a 的值为 .三、解答题17. 化简.(1)a 2−1a÷a 2−a a 2. (2)x 2x−1+x1−x .18. 先化简,再求值:x−2x 2−1⋅x +1x 2−4x +4+1x−1,从 −1,0,1 三个数中选一个合适的数代入求值.19. 解下列分式方程:(1)x−1x−2=1x−2. (2)3x−1+1=x 2x 2−1.20. 为了创建全国卫生城市,某社区要清理一个卫生死角内的垃圾,租用甲、乙两车运送,两车各运 12 趟可完成,需支付运费 4800 元.已知甲、乙两车单独运完此堆垃圾,乙车所运趟数是甲车的 2 倍,且乙车每趟运费比甲车少 200 元.(1) 求甲、乙两车单独运完此堆垃圾各需运多少趟.(2) 若单独租用一台车,租用哪台车合算.21. 阅读下列材料:通过小学的学习我们知道,分数可分为“真分数”和“假分数”,而假分数都可化为带分数,如:83=6+23=2+23=223.我们定义:在分式中,对于只含有一个字母的分式,当分子的次数大于或等于分母的次数时,我们称之为“假分式”;当分子的次数小于分母的次数时,我们称之为“真分式”.如x−1x+1,x2x−1这样的分式就是假分式;再如:3x+1,2xx2+1这样的分式就是真分式.类似的,假分式也可以化为带分式(即:整式与真分式的和的形式).如:x−1x+1=(x+1)−2x+1=1−2x+1;解决下列问题:(1) 分式2x是分式(填“真分式”或“假分式”);(2) 将假分式x2−1x+2化为带分式;(3) 如果x为整数,分式2x−1x+1的值为整数,求所有符合条件的x的值.答案一、选择题1. C2. D3. D4. D5. D6. A7. D8. B二、填空题9. x≠110. yx ;1m−311. −145 12. 813. 120x −120x+5=414. m≥−1且m≠115. −116. 12或32三、解答题17.(1)a2−1a÷a2−aa2=(a+1)(a−1)a×a2a(a−1) =a+1.(2)x2x−1+x1−x =x2−xx−1=x(x−1)x−1=x.18.x−2x 2−1⋅x +1x 2−4x +4+1x−1=x−2(x +1)(x−1)⋅x +1(x−2)2+1x−1=1(x−1)(x−2)+1x−1=1+x−2(x−1)(x−2)=x−1(x−1)(x−2)=1x−2.当 x =0 时,原式=10−2=−12.19.(1) 去分母得:x−1=1.解得:x =2.经检验 x =2 是增根,分式方程无解.(2) 去分母得:3(x +1)+x 2−1=x 2.去括号得:3x +3+x 2−1=x 2.移项合并得:3x =−2.解得:x =−23.经检验 x =−23 是分式方程的解.20.(1) 设甲车单独运完此堆垃圾需运 x 趟,则乙车单独运完此堆垃圾需运 2x 趟,根据题意,得12(1x +12x)=1,解得x =18.经检验得出 x =18 是原方程的解,则 2x =36.答:甲车单独运完需 18 趟,乙车单独运完需 36 趟.(2) 设甲车每一趟的运费是 a 元,由题意,得12a +12(a−200)=4800,解得a =300,则乙车每一趟的费用是 300−200=100(元).单独租用甲车总费用是 18×300=5400(元),单独租用乙车总费用是 36×100=3600(元).因为 3600<5400,故单独租用一台车,租用乙车合算.21.(1) 真(2)原式=x 2+2x−2x−1x +2=x−2x +1x +2=x−2(x +2)−3x +2=x−2+3x +2.(3) 原式=2(x+1)−3x+1=2−3x+1,由x为整数,分式的值为整数,得到x+1=−1,−3,1,3,解得:x=−2,−4,0,2,则所有符合条件的x值为0,−2,2,−4.。
北师大版八年级数学下册第五章分式与分式方程章节测试考试时间:90分钟;命题人:数学教研组考生注意:1、本卷分第I 卷(选择题)和第Ⅱ卷(非选择题)两部分,满分100分,考试时间90分钟2、答卷前,考生务必用0.5毫米黑色签字笔将自己的姓名、班级填写在试卷规定位置上3、答案必须写在试卷各个题目指定区域内相应的位置,如需改动,先划掉原来的答案,然后再写上新的答案;不准使用涂改液、胶带纸、修正带,不按以上要求作答的答案无效。
第I 卷(选择题 30分)一、单选题(10小题,每小题3分,共计30分)1、一辆汽车开往距离出发地180千米的目的地,出发后第一小时内按原计划的速度匀速行驶,一小时后以原来的1.5倍匀速行驶,并比原计划提前40分钟到达目的地.求前一小时的行驶速度.设前一小时的行驶速度为x km/h ,则可列方程( )A .180218013 1.5x x-=+ B .180218013 1.5x x +=+ C .180218013 1.5x x x--=+ D .180218013 1.5x x x ++=+ 2、当分式22x -有意义时,x 的取值范围是( ) A .2x > B .2x < C .2x ≠ D .2x =3、如果关于x 的方程3111a x x =---无解,则a =( ) A .1B .3C .-1D .1或3 4、计算111x x x +++的结果是( ) A .1 B .1x +C .11x +D .21x x +()5、在代数式32x +,32x +,32x +,32x x +,πx 中,分式的个数为( ). A .2 B .3 C .4 D .56、北斗三号系统产生的时间基准可达到300万年误差1秒,创造了卫星授时的“中国精度”.北斗卫星授时精度为()910110ns s ns =,这个精度以s 为单位表示为( ).A .1010s -B .910s -C .810s -D .1010s7、在函数y x 的取值范围是 ( ) A .x >3 B .x ≥3 C .x >4 D .x ≥3且x ≠48、x 满足什么条件时分式211x x --有意义( ). A .1x ≠ B .1x ≠- C .0x ≠ D .1x ≠±9、下列分式中.是最简分式的是( )A .22a b a b -+ B .1510x C .2410ab a D .+x x y10、甲、乙两人骑自行车从相距60千米的A 、B 两地同时出发,相向而行,甲从A 地出发至2千米时,想起有东西忘在A 地,即返回去取,又立即从A 地向B 地行进,甲、乙两人恰好在AB 中点相遇,已知甲的速度比乙的速度每小时快2.5千米,求甲、乙两人的速度,设乙的速度是x 千米/小时,所列方程正确的是( )A .32302.5x x =+B .32302.5x x =-C .34302.5x x =-D .34302.5x x=+ 第Ⅱ卷(非选择题 70分)二、填空题(5小题,每小题4分,共计20分)1、如果分式32x x +-的值为0,那么x 的取值为_______.2、若分式12x x --有意义,则x 的取值范围是__________. 3、计算:22x y x y y x+=--_______. 4、新冠病毒的直径大约是0.00000014米长,0.00000014科学记数法表示为______.5、如果分式4123x x -+的值为0,则x 的值是__________. 三、解答题(5小题,每小题10分,共计50分)1、计算:(222x+x x -12x -+)÷[(6x +4)÷x ]. 2、我们已经学过()()()2---,x a x b x a b x ab =++如果关于x 的分式方程满足ab x a b x+=+(a ,b 分别为非零整数),且方程的两个跟分别为12=,x a x b =. 我们称这样的方程为“十字方程”. 例如:2=3x x + 可化为1212=3x x ⨯+=+ ∴12=1,2x x = 再如:6=-5x x + 可化为()()-2-3-2-3=-5x x ⨯+= ∴12=-2,-3x x =应用上面的结论解答下列问题:(1)“十字方程”8-6x x+=,则1= x ,2x = ; (2)“十字方程”2--1x x =的两个解分别为12,x a x b ==,求11a b+的值; (3)关于x 的“十字方程”2243n n x n x ++=+-的两个解分别为1212,()x x x x <,求211x x +的值. 3、观察下面等式:21211313+=⨯⨯;21312424+=⨯⨯;21413535+=⨯⨯;21514646+=⨯⨯;…根据你观察到的规律,解决下列问题:(1)写出第n 个等式,并证明;(2)计算:111111111111132435462020202220212023⎛⎫⎛⎫⎛⎫⎛⎫⎛⎫⎛⎫+⨯+⨯+⨯+⨯⨯+⨯+ ⎪ ⎪ ⎪ ⎪ ⎪ ⎪⨯⨯⨯⨯⨯⨯⎝⎭⎝⎭⎝⎭⎝⎭⎝⎭⎝⎭. 4、列方程解应用题:第24届冬奥会将于2022年2月在中国北京和张家口举行.为了迎接冬奥会,某公司接到制作12000件冬奥会纪念品的订单.为了尽快完成任务,该公司实际每天制作纪念品的件数是原计划每天制作纪念品件数的1.2倍,结果提前10天完成任务,求原计划每天制作多少件冬奥会纪念品?5、(1)分解因式:①4m 2﹣36; ②2a 2b ﹣8ab 2+8b 3.(2)解分式方程: ①26124x x x -=--; ②21233x x x-=---.-参考答案-一、单选题1、C【分析】根据原计划的时间=实际所用时间+提前的时间可以列出相应的分式方程.【详解】解:设前一小时的行驶速度为x km/h ,由题意可得:180******** 1.5x x x --=+, 即180218013 1.5x x x--=+, 故选:C .【点睛】本题主要是考查了列分式方程,熟练地根据题意找到等量关系,通过等量关系列出对应的分式方程,这是解题的关键.2、C【分析】分式有意义的条件是分式的分母不等于零,据此解答.【详解】解:由题意得20x -≠,解得2x ≠,故选:C .【点睛】此题考查了分式有意义的条件,熟记条件并正确计算是解题的关键.3、B【分析】先去分母,化成整式方程,令x -1=0,确定x 的值,回代x =4-a ,得a 值.【详解】 ∵3111a x x=---, ∴去分母,得3=x -1+a ,整理,得x =4-a ,令x -1=0,得x =1,∴4-a =1,∴a =3.故选B .本题考查了分式方程无解问题,正确理解分式方程无解的意义是解题的关键.4、A【分析】根据同分母分式的加法法则,即可求解.【详解】解:原式=111111x xx x x++==+++,故选A.【点睛】本题主要考查同分母分式的加法法则,掌握”同分母分式相加,分母不变,分子相加“是解题的关键.5、A【分析】根据分式的定义解答即可.【详解】解:32x+、32xx+的分母中含字母,是分式,32x+、32x+、xπ的分母中不含字母,不是分式,故选:A.【点睛】本题主要考查分式的定义,判断分式的依据是看分母中是否含有字母,如果含有字母则是分式,如果不含有字母则不是分式,注意π不是字母,是常数,所以分母中含π的代数式不是分式,是整式.6、C将10乘以对应的进率即可得到答案.【详解】解:10ns =98101010--⨯=s ,故选:C .【点睛】此题考查同底数幂的乘法法则:底数不变,指数相加,正确掌握同底数幂的计算法则及单位的换算进率是解题的关键.7、D【分析】根据二次根式的性质和分式的意义,被开方数大于或等于0,分母不等于0,可以求出x 的范围.【详解】解:∵x -3≥0,∴x ≥3,∵x -4≠0,∴x ≠4,综上,x ≥3且x ≠4,故选:D .【点睛】主要考查了函数自变量的取值范围的确定和分式的意义.函数自变量的范围一般从三个方面考虑:(1)当函数表达式是整式时,自变量可取全体实数;(2)当函数表达式是分式时,考虑分式的分母不能为0;(3)当函数表达式是二次根式时,被开方数为非负数.8、D直接利用分式有意义的条件解答即可.【详解】 解:要使分式211x x --有意义, ∴210x -≠,解得:1x ≠±,故选:D【点睛】本题考查了分式有意义的条件,熟练掌握分式有意义的条件—分母不等于零,是解题的关键.9、D【分析】根据最简分式的定义:分母与分子没有公因式的分式叫做最简分式进行逐一判断即可.【详解】解:A 、()()22a b a b a b a b a b a b +--==-++,不是最简分式,不符合题意; B 、153102x x ,不是最简分式,不符合题意; C 、242105ab b a a =,不是最简分式,不符合题意; D 、+x x y ,是最简分式,符合题意; 故选D .【点睛】本题主要考查了最简分式的定义,熟知定义是解题的关键.10、D【分析】乙的速度是x 千米/小时,则甲的速度为(x +2.5)千米/小时,中点相遇,乙走30千米,甲走34千米,利用时间相等列出方程即可.【详解】设乙的速度是x 千米/小时,则甲的速度为(x +2.5)千米/小时,中点相遇,乙走30千米,甲走34千米,根据时间相等,得34302.5x x=+, 故选D .【点睛】本题考查了分式方程的应用题,正确理解题意,根据相遇时间相等列出方程是解题的关键.二、填空题1、3-【分析】根据分式的分子为0,分母不为0,可得答案.【详解】 分式32x x +-的值为0, 30x ∴+=,且20x -≠,3x ∴=-,故答案为:3-.【点睛】本题考查了分式为0条件,分式的分子为0,分母不为0是解题的关键.2、2x ≠【分析】根据分式有意义的条件求解即可.分式有意义的条件:分式的分母不等于零.【详解】 解:∵分式12x x --有意义, ∴20x -≠,解得:2x ≠.故答案为:2x ≠.【点睛】此题考查了分式有意义的条件,解题的关键是熟练掌握分式有意义的条件.分式有意义的条件:分式的分母不等于零.3、x y +【分析】根据同分母分式加减法法则进行变形后,将分子因式分解后再约分即可得到答案.【详解】 解:原式22x y x y x y=--- ()()x y x y x y -+=-x y =+故答案为:x+y【点睛】此题主要考查了同分母的分式加减法,熟练掌握运算法则:同分母分式的相加减,分母不变,分子相加减,是解答本题的关键.4、71.410-⨯【分析】绝对值小于1的正数也可以利用科学记数法表示,一般形式为10n a -⨯,与较大数的科学记数法不同的是其所使用的是负整数指数幂,指数n 由原数左边起第一个不为零的数字前面的0的个数所决定.【详解】解:70.00000014 1.410-=⨯.故答案是:71.410-⨯.【点睛】此题考查了用科学记数法表示较小的数,解题的关键是:一般形式为10n a -⨯,其中1||10a <,n 为由原数左边起第一个不为零的数字前面的0的个数所决定.5、14## 【分析】分式的值为零时,分子等于零,即410x -=.【详解】解:由题意知,410x -=. 解得14x =. 此时分母07223x +=≠,符合题意. 故答案是:14. 【点睛】本题主要考查了分式的值为零的条件,解题的关键是掌握分式值为零的条件是分子等于零且分母不等于零.三、解答题1、214x - 【分析】由分式的加减乘除运算进行化简,即可得到最简分式.【详解】解:原式=[(2(2)x+x x -12x -+]÷64x x + =[(22(2)(2)x+x x x -+()(2)(2)(2)x x x x x ---+]÷64x x + =[(244(2)(2)x +x+x x x -+22(2)(2)x x x x x ---+]÷64x x + =2244(2)(2)(2)x +x+x x x x x ---+÷64x x + =22442(2)(2)x +x+-x +xx x x -+÷64x x + =64(2)(2)x+x x x -+×64x x + =214x -.;【点睛】本题考查了分式的加减乘除运算,分式的化简求值,解题的关键是掌握运算法则,正确的进行化简.2、(1)-2,-4;(2)12;(3)1【分析】(1)按照“十字方程”的解法解方程即可;(2)根据“十字方程”的解法求出1a =,2b =-,代入求值即可;(3)把方程转化为2(3)213n n x n x +-+=+-,求出方程的解,代入计算即可. 【详解】(1)8-6x x +=可化为()()2424=6x x-⨯-+=---, ∴1x =-2,2x =-4;故答案为:-2,-4;(2)解:∵21x x -=- ∴21x x-+=- ∴1(2)1(2)1x x ⨯-+=+-=- ∴11x a ==,22x b ==- ∴111122a b a b ab +-+===- (3)解:∵2243n n x n x ++=+-为关于x 的“十字方程” ∴2(3)213n n x n x +-+=+- ∴(1)(3)(1)3n n x n n x +-+=++- ∴3x n -=或31x n -=+∵12x x <∴13x n =+或24x n =+ ∴214411314x n n x n n ++===++++本题考查了分式方程的特殊解法,解题关键是理解题意,按照题目中的方法进行求解.3、(1)211(2)(2)(1)n n n n n ++=++,证明见详解 (2)40442023【分析】(1)根据题意观察等式总结规律可得第n 个等式,进而运用分式的加法运算法则进行计算即可求证;(2)根据题意代入条件所给的等式与总结的规律,进而利用分式的乘法进行运算即可.(1) 解:21211313+=⨯⨯;21312424+=⨯⨯;21413535+=⨯⨯;21514646+=⨯⨯;… 总结规律可得第n 个等式为:211(2)(2)(1)n n n n n ++=++, 证明如下:221(2)1(2)1211(2)(2)(2)(2)(2)(2)(1)n n n n n n n n n n n n n n n n n n n ++++++=+===+++++++ . (2) 解:111111111111132435462020202220212023⎛⎫⎛⎫⎛⎫⎛⎫⎛⎫⎛⎫+⨯+⨯+⨯+⨯⨯+⨯+ ⎪ ⎪ ⎪ ⎪ ⎪ ⎪⨯⨯⨯⨯⨯⨯⎝⎭⎝⎭⎝⎭⎝⎭⎝⎭⎝⎭ 222222234520212022132435462020202220212023=⨯⨯⨯⨯⨯⨯⨯⨯⨯⨯⨯⨯ 22202222023=⨯ 40442023= 【点睛】本题考查分式的规律问题以及分式的化简运算,熟练掌握分式的混合运算法则是解题的关键.【分析】设原来每天制作x件,根据原来用的时间−现在用的时间=10,列出方程,求出x的值,再进行检验即可.【详解】解:设原计划每天制作x件冬奥会纪念品,则实际每天制作1.2x件冬奥会纪念品.根据题意,得:1200012000101.2x x-=.解得:200x=.经检验,200x=是原方程的解,且符合题意.答:原计划每天制作200件冬奥会纪念品.【点睛】本题考查了分式方程的应用,解答本题的关键是读懂题意,设出未知数,找出合适的等量关系,列方程.5、(1)①4(m﹣3)(m+3);② 2b(a﹣2b)2;(2)①x=1;②原方程无解.【分析】(1)①先提公因式,然后利用平方差公式分解因式即可;②先提公因式,然后利用平方差公式分解因式即可;(2)①先对分子分母因式分解,然后去分母,然后解方程求解即可;②先去分母,然后解方程求解即可.【详解】解:(1)①4m2﹣36=4(m2﹣9)=4(m﹣3)(m+3)②2a 2b ﹣8ab 2+8b 3=2b (a 2-4ab +4b 2)=2b (a ﹣2b )2(2)①解:26124x x x -=-- 2x x -﹣1=6(2)(2)x x -+ x (x +2)﹣(x +2)(x ﹣2)=6x 2+2x ﹣x 2+4=62x =2x =1检验:把x =1代入(x +2)(x ﹣2)≠0∴原方程的解是x =1. ②23x x --=13x-﹣2 23x x --=13x --﹣2 2﹣x =﹣1﹣2(x ﹣3)2﹣x =﹣1﹣2x +6﹣x +2x =﹣1+6﹣2x =3检验:把x =3代入(x ﹣3)=0∴x =3不是原方程的解∴原方程无解.【点睛】此题考查了因式分解的方法和解分式方程,解题的关键是熟练掌握因式分解的方法和解分式方程的步骤.因式分解的方法有:提公因式法,平方差公式法,完全平方公式法,十字相乘法等.。
第五章 分式与分式方程一、选择题(本大题共8小题,每小题3分,共24分)1.有下列各式:12(1-x ),4x π-3,x2-y22,1+a b ,5x2y ,其中分式共有( )A .2个B .3个C .4个D .5个2.下列各式中,正确的是( ) A.a +b ab =1+b b B.x +y x -y =x2-y2(x -y )2 C.x -3x2-9=1x -3 D.-x +y 2=-x +y 23.在分式15b2c -5a ,5(x -y )2y -x ,a2+b23(a +b ),4a2-b22a -b ,a -2b 2b -a 中,最简分式有( )A .1个B .2个C .3个D .4个4.解分式方程x 3+x -22+x =1时,去分母后可得到( )A .x (2+x )-2(3+x )=1B .x (2+x )-2=2+xC .x (2+x )-2(3+x )=(2+x )(3+x )D .x -2(3+x )=3+x5.化简⎝⎛⎭⎫x -2x -1x ÷⎝⎛⎭⎫1-1x 的结果是( ) A.1x B .x -1 C.x -1x D.xx -1 6.如果解关于x 的分式方程mx -2-2x2-x =1时出现增根,那么m 的值为( ) A .-2 B .2 C .4 D .-47.某工厂生产一种零件,计划在20天内完成.若每天多生产4个,则15天完成且还多生产10个.设原计划每天生产x 个,根据题意可列分式方程为( )A.20x +10x +4=15B.20x -10x +4=15C.20x +10x -4=15D.20x -10x -4=158.若关于x 的方程a x -1+1=x +ax +1的解为负数,且关于x 的不等式组⎩⎨⎧-12(x -a )>0,x -1≥2x +13无解,则所有满足条件的整数a 的值之和是( )A .5B .7C .9D .10二、填空题(本大题共6小题,每小题4分,共24分)9.若分式1x -5在实数范围内有意义,则x 的取值范围是________.10.计算:x2x +1-1x +1=________.11.化简:m2-4mn +4n2m2-4n2=________.12.某学校为了增强学生体质,准备购买一批体育器材,已知A 类器材比B 类器材的单价低10元,用150元购买A 类器材与用300元购买B 类器材的数量相同,则B 类器材的单价为________元/件.13.若关于x 的方程x +m m (x -1)=-45的解为x =-15,则m =________.14.若关于x 的分式方程2x +mx -3=3的解为正数,则m 的取值范围是________.三、解答题(本大题共6小题,共52分) 15.(10分)解下列方程: (1) xx -3-2=-33-x;(2)x x +3+2x2+3x =1.16.(6分)化简:9-a2a2+6a +9÷a2-3a a +3+1a .17.(8分)先化简,再求值:⎝⎛⎭⎫1+1a ·a2a2-1,其中a =3.18.(9分)已知关于x 的方程2xx -2+m x -2=3. (1)当m 取何值时,此方程的解为x =3? (2)当m 取何值时,此方程会产生增根?(3)当此方程的解是正数时,求m的取值范围.19.(9分)某校组织学生去9 km外的郊区游玩,一部分学生骑自行车先走,半小时后,其他学生乘公共汽车出发,结果他们同时到达.已知公共汽车的速度是自行车速度的3倍,求自行车的速度和公共汽车的速度分别是多少.20.(10分)某班到毕业时共节余班费1800元,班委会决定拿出不少于270元但不超过300元的资金为母校购买纪念品,其余经费用于在毕业晚会上给50名同学每人购买一件文化衫或一本相册作为留念.已知每件文化衫的价格比每本相册贵9元,用175元购买文化衫和用130元购买相册的数量相等.(1)求每件文化衫和每本相册的价格分别为多少元;(2)有哪几种购买文化衫和相册的方案?1.[解析] A12(1-x),4x π-3,x2-y22的分母中均不含有字母,因此不是分式,是整式;1+a b,5x2y的分母中含有字母,因此是分式.故选A .2.[答案] B3.[解析] A 15b2c -5a =3b2c -a ;5(x -y )2y -x =5(y -x);4a2-b22a -b =(2a +b )(2a -b )2a -b=2a +b ;a -2b2b -a=-1.所以只有一个最简分式.故选A .4.[解析] C 在方程x 3+x -22+x=1的两边同乘最简公分母(3+x)(2+x),得x(2+x)-2(3+x)=(2+x)(3+x).故选C .5.[解析] B ⎝⎛⎭⎫x -2x -1x ÷⎝⎛⎭⎫1-1x =x2-2x +1x ÷x -1x =(x -1)2x ·x x -1=x -1.故选B . 6.[答案] D 7.[答案] A8.[解析] C a x -1+1=x +ax +1,方程两边同乘(x -1)(x +1),得a(x +1)+(x -1)(x +1)=(x -1)(x +a), 整理得x =1-2a , 由题意得1-2a <0,解得a >12.解不等式组⎩⎨⎧-12(x -a )>0,x -1≥2x +13,得4≤x <a.∵不等式组无解,∴a ≤4, 则12<a ≤4. ∵1-2a ≠±1, ∴a ≠0,a ≠1,∴所有满足条件的整数a 的值之和为2+3+4=9. 故选C .9.[答案] x ≠5 10.[答案] x -111.[答案] m -2nm +2n[解析] 原式=(m -2n )2(m +2n )(m -2n )=m -2nm +2n.12.[答案] 20[解析] 设B 类器材的单价为x 元/件,则A 类器材的单价是(x -10)元/件,由题意得150x -10=300x, 解得x =20.经检验,x =20是原方程的解. 即B 类器材的单价为20元/件. 故答案为:20. 13.[答案] 5[解析] 把x =-15代入方程即可求得m 的值.14.[答案] m >-9且m ≠-6[解析] 去分母,得2x +m =3x -9,解得x =m +9.由分式方程的解为正数,得到m +9>0,且m +9≠3,解得m >-9且m ≠-6.15.解:(1)方程两边同乘(x -3),得x -2(x -3)=3. 去括号,得x -2x +6=3. 移项、合并同类项,得x =3. 检验:当x =3时,x -3=0, ∴原分式方程无解.(2)方程两边同乘x(x +3),得 x 2+2=x 2+3x ,移项、合并同类项,得3x =2,解得x =23.经检验,x =23是原方程的解.16.[解析] 先算乘除,再算加减.解:原式=-(a +3)(a -3)(a +3)2·a +3a (a -3)+1a=-1a +1a=0. 17.解:原式=a +1a ·a2(a -1)(a +1)=aa -1.当a =3时,原式=32.18.解:(1)把x =3代入方程2x x -2+mx -2=3,得m =-3.(2)方程的增根为x =2,原方程去分母得2x +m =3x -6,将x =2代入,得m =-4.(3)原方程去分母得2x +m =3x -6,解得x =m +6.因为方程的解是正数,所以m +6>0,解得m >-6.因为x ≠2,所以m ≠-4.综上,m 的取值范围是m>-6且m ≠-4.19.[解析] 设自行车的速度为x km /h ,则公共汽车的速度为3xkm /h ,根据时间=路程÷速度结合乘公共汽车比骑自行车少用12h ,即可得出关于x 的分式方程,解之经检验即可得出结论.解:设自行车的速度为x km /h ,则公共汽车的速度为3x km /h .根据题意,得9x -93x =12,解得x =12.经检验,x =12是原分式方程的解, ∴3x =36.答:自行车的速度是12 km /h ,公共汽车的速度是36 km /h .20.解:(1)设每件文化衫的价格为x 元,则每本相册的价格为(x -9)元,由题意得175x=130x -9, 解得x =35.经检验,x =35是原分式方程的解, 则x -9=35-9=26(元).答:每件文化衫的价格为35元,每本相册的价格为26元.(2)设购买文化衫m 件,则购买相册(50-m)件.由题意得1800-300≤35m +26(50-m)≤1800-270,解得2229≤m ≤2559.共有3种购买方案:①购买文化衫23件,购买相册27件;②购买文化衫24件,购买相册26件;③购买文化衫25件,购买相册25件.。
北师大版八年级数学下册 第五章《分式与分式方程》测试题一、精心选一选,一定能选对!(每小题3分,共30分)1.不改变分式52223x y x y -+的值,把分式中分子、分母中各项系数化为整数,结果是( ). (A )2154x y x y -+ (B )4523x y x y -+ (C )61542x y x y -+ (D )121546x yx y -+2.分式223a a ++、22a b a b --、412()a a b -、12x -中,最简分式有( ). (A )1个 (B )2个 (C )3个 (D )4个 3.1211R R +等于( ). (A )12R R + (B )121R R (C )1212R R R R + (D )1212R R R R + 4.如果把分式2xx y-中的x 和y 都扩大5倍,那么分式的值( ). (A )扩大5倍 (B )扩大10倍 (C )不变 (D )缩小5倍 5.方程11222xx x-+=--的解为( ). (A )0 (B )2 (C )-2 (D )无解6.a 克食盐溶于浓度为c %的b 克盐水中,所得盐水的浓度为( ).(A )a b (B )a a b+ (C )%b c a b •+ (D )%a b c a b +•+7.设0a b ab -+=,其中0ab ≠,则11a b -为( ).(A )1a (B )1 (C )1ab (D )1a b-8.计算3722448811248x x x a x a x a x a b x a---+-+++-的结果是( ). (A )78816x a x - (B )0 (C )788x x a - (D )19.某工地调来72人参加挖土和运土,已知3人挖出的土1人恰好能全部运走.怎样调配劳动才能使挖出来的土能及时运走且不窝工?解决此问题,可设x 人挖土,其他人运土,列方程为:①7213x x -=;②1723x x -=;③372x x +=;④372x x=-.上述所列方程,正确的有( ). (A )1个 (B )2个 (C )3个 (D )4个10.已知a 、b 、c 为实数,且a b c b c a ==,则a b ca b c+--+的值为( ). (A )-1 (B )0 (C )ab(D )不确定二、耐心填一填,一定能填对!(每小题3分,共30分) 11.当________x =时,分式21xx -+有意义. 12.2(___)cx bx ax a b =++,2(________)()()a a b a b a b =--+,2214(____)x x -=-.13.2224()a a b b ÷·3_________ab =. 14.计算:2113()________111xx x x+÷=-+-. 15.设0x <,化简112|||2|x x ---_________=. 16.若93a b +=,93b c +=,则9c a+等于_____________. 17.已知5(1)(3)13x A Bx x x x +=-+-+-,则_____A =,_______B =.18.若关于x 的方程212x ax +=--的解为非负数,则a 的取值范围是___________. 19.每千克a 元的大米x kg 与每千克b 元的大米y kg 混合,则每千克混合大米的价钱是_______________元.20.为了改善生态环境,防止水土流失,某村拟在荒坡上种植960棵树,由于青年志愿者的支持,每日比原计划多种20棵,结果提前4天完成任务,原计划每天种多少棵?设原计划每天种x 棵,由题意得方程:____________________________________.三、用心想一想,一定能算对!(21-25每小题6分,26-30每小题10分,共60分)21.计算:213422x xx x+----.22.化简:422222x x y x xy y --+÷22x xy y +·22y x. 23.计算439x x -+÷7(3)3x x --+的值,其中0x =.24.解分式方程:3435x x +-41123x x ++=-.25.已知430x x+=,求分式2322x x x x -+·222144x x x x ++-+的值.26.西瓜论千克计价,购买西瓜时,总是希望可以食用的部分占整个西瓜的比例越大越好.如果一批西瓜的皮厚都是d ,试问购买大西瓜合算还是小西瓜合算?(把西瓜都看作球形,343V R π=球).27.甲、乙两个清洁队共同负责一幢办公楼使用前的卫生清理,原计划6天完成任务,他们共同劳动4天后,乙队另有任务调走,甲队又用6天完成.求若甲、乙两队单独完成任务各需多少天?28.某同学在解方程11112435x x x x -=-----后,得到72x =.他又解了方程11117564x x x x -=-----,发现112x =.通过观察,他猜想出了方程11117162x x x x +=+++++和1111x a x b x c x d-=-++++的解(a 、b 、c 、d 表示不同的数,且a d b c +=+).请你也猜出这两个方程的解.参考答案: 一、二、11.任意实数; 12.cx ,2()a a b +,2x +; 13.a ; 14.-23; 15.224x x -;16.3; 17.-1,-2; 18.2a ≤; 19.ax by x y ++; 20.960960420x x+=+; 三、21.2x -; 22.4()y x x y -; 23.112-; 24.83x =; 25.433-;26.设西瓜的半径为R ,则可以食用部分与整个西瓜的体积比为:333334()()3(1)43R d R d d R R R ππ--==-,因为d 是定值,所以R 越大,d R 越小,1dR -越大,即食用部分占整个西瓜的比就越大,故购买大西瓜更合算.27.设甲队单独完成任务需要x 天,列方程,得61416x +⨯=,解得18x =,即甲单独完成需要18天,则乙需9天. 28.4x =和2a d x +=或2b cx +=.。
(共25题)一、选择题(共10题)1.若分式x2−4x+2的值为0,则x的值为( )A.±2B.2C.−2D.02.在方程:x+32−5=0,4x=6,x2+x−3=0,x3−4x=1中,是分式方程的有( )A.2个B.3个C.4个D.0个3.使分式3xx+2有意义的x的取值范围为( )A.x≠−2B.x≠2C.x≠0D.x≠±24.若代数式1x−9有意义,则实数x的取值范围是( )A.x≠0B.x≥0C.x≠9D.x≥95.使分式13−x有意义的x的取值范围是( )A.x≠3B.x=3C.x≠0D.x=06.计算2x+3x+1−2xx+1的结果为( )A.1B.3x+1C.3D.x+3x+17.下列方程是分式方程的是( )A.x−32+x+13=4B.xπ+1−x+1π−1=2C.√x−1x−12=1D.2xx+x−22=48.计算(1+1x )÷x2+2x+1x的结果是( )A.x+1B.1x+1C.xx+1D.x+1x9.若分式xx−3有意义,则x的取值范围是( )A . x >3B . x <3C . x ≠3D . x =310. 要使分式 3x−1有意义,则 x 的取值范围是 ( )A . x ≠1B . x >1C . x <1D . x ≠−1二、填空题(共7题) 11. 化简:4xy 220x 2y = . 12. 若 a b=23,则a−b b= .13. 要使分式 x−1x+1 有意义,x 的取值应满足 .14. 要使分式 x 2−1(x+1)(x−2) 有意义,则 x 应满足的条件是 .15. 当 x 时,分式 1x+3 有意义.16. 当 x 时,分式 1x 的值为正数.17. 用换元法解方程1x 2−2x+2x 2−4x =3 时,如果设 x 2−2x =y ,那么原方程可以化为关于 y 的整式方程是 .三、解答题(共8题) 18. 按要求计算:(1) 计算:√12−∣2√3−1∣+(π−2√3)0÷(12)−2.(2) 因式分解:① 4a 2−25b 2;② −3x 3y 2+6x 2y 3−3xy 4. (3) 解方程:x−1x−2+2=32−x .19. 已知 1x −1y =2,求 3x+4xy−3y2x−5xy−2y 的值.20.解下列方程:2x−2−1x=0.21.计算:11+x +x1−x.22.化简:x4−16x3+2x2+4x+8.23.从不同角度谈谈你对等式x(x+4)=5的理解.24.“新禧”杂货店去批发市场购买某种新型儿童玩具,第一次用1200元购得玩具若干个,并以7元的价格出售,很快就售完.由于该玩具深受儿童喜爱,第二次进货时每个玩具的批发价已比第一次提高了20%,他用1500元所购买的玩具数量比第一次多10个,再按8元售完,问该老板两次一共赚了多少钱?25.解方程:5x−4=14−x+2.答案一、选择题(共10题)1. 【答案】B【解析】根据题意得x2−4=0且x+2≠0,解得x=2.【知识点】分式值为正,为负,为零的条件2. 【答案】B【解析】由分式方程的定义,知4x =6,x2+x−3=0,x3−4x=1是分式方程.【知识点】分式方程的概念3. 【答案】A【解析】x+2≠0,∴x≠−2.【知识点】分式有无意义的条件4. 【答案】C【知识点】分式有无意义的条件5. 【答案】A【解析】分式13−x有意义,则3−x≠0,解得:x≠3.【知识点】分式有无意义的条件6. 【答案】B【解析】2x+3x+1−2xx+1=2x+3−2xx+1=3x+1.【知识点】分式的加减7. 【答案】D【知识点】分式方程的概念8. 【答案】B【解析】原式=(xx+1x)÷(x+1)2x=x+1x⋅x(x+1)2=1x+1.【知识点】分式的混合运算9. 【答案】C【解析】∵分式xx−3有意义,∴x−3≠0,∴x的取值范围是x≠3.【知识点】分式有无意义的条件10. 【答案】A【解析】由题意得,x−1≠0,解得x≠1.【知识点】分式有无意义的条件二、填空题(共7题)11. 【答案】y5x【解析】原式=4xy⋅y4xy⋅5x =y5x.故答案为:y5x.【知识点】约分12. 【答案】−13【知识点】分式的基本性质13. 【答案】x≠−1【解析】∵分式x−1x+1有意义,∴x+1≠0,解得x≠−1.【知识点】分式有无意义的条件14. 【答案】x≠−1且x≠2【知识点】分式有无意义的条件15. 【答案】≠−3【解析】由题意得:x+3≠0,解得x≠−3.【知识点】分式有无意义的条件16. 【答案】 >0【解析】由题意得:1x >0,即 x >0.【知识点】分式值为正,为负,为零的条件17. 【答案】 2y 2−3y +1=0【知识点】分式方程的解法三、解答题(共8题) 18. 【答案】(1)√12−∣2√3−1∣+(π−2√3)0÷(12)−2=2√3−2√3+1+1+4= 6.(2) ① 原式=(2a +5b )(2a −5b );② 原式=−3xy 2(x 2−2xy +y 2)=−3xy 2(x −y )2.(3) 去分母得,x −1+2(x −2)=−3.3x −5=−3.解得x =23.检验:把 x =23 代入 x −2≠0,所以 x =23 是原方程的解.【知识点】提公因式法、算术平方根的运算、平方差、负指数幂运算、完全平方式、零指数幂运算、绝对值、分式方程的解法19. 【答案】 29.【知识点】约分、简单的代数式求值20. 【答案】去分母得:2x −x +2=0.解得:x =−2.经检验,x =−2 是原方程的解.【知识点】分式方程的解法21. 【答案】 1+x 21−x 2.【知识点】分式的加减22. 【答案】 x −2.【知识点】约分23. 【答案】①方程:一元二次方程 x 2+4x −5=0,两根分别为 x 1=1,x 2=−5;或分式方程 x +4−5x =0,两根分别为 x 1=1,x 2=−5; ②函数:二次函数 y =x 2+4x 与直线 y =5 的交点,或一次函数y=x+4与反比例函数y=5x的交点;③图形:边长为x和x+4,面积为5的矩形.【知识点】一元二次方程的解法、矩形的面积、分式方程的解法24. 【答案】设这种新型儿童玩具第一次进价为x元/个,则第二次进价为1.2x元/个,根据题意,得15001.2x −1200x=10,变形为:1500−1440=12x,解得:x=5.经检验,x=5是原方程的解.则该老板这两次购买玩具一共盈利为:15001.2×5×(8−1.2×5)+12005×(7−5)=980(元).答:该老板两次一共赚了980元.【知识点】分式方程的应用25. 【答案】去分母得:5=−1+2(x−4).整理得:2x=14.解得:x=7.经检验x=7是分式方程的解.【知识点】分式方程的解法。
北师大版数学八年级下册第五章测试卷一、单选题1.下列式子中,不属于分式的是A .2-73x x + B .2-5a a C .2--2πx x D .222xy x y + 2.要使分式-2(1)(-3)x x x +没有意义,则x 的值为 A .2 B .-1或3 C .-1 D .33.下列各式从左到右变形正确的是A .1-2-2122x y x y x yx y =++ B .0.220.22a b a b a b a b ++=++C .-1-1--x x x y x y += D .--a b a b a b a b +=+ 4.关于x 的分式方程230x x a +=-解为4x =,则常数a 的值为( ) A .1a = B .2a = C .4a = D .10a = 5.下列分式中,计算正确的是A .2()23()3b c a b c a +=+++B .221a b a b a b+=++ C .22(-)()a b a b +=-1 D .22-12---x y xy x y y x = 6.若分式2-1x 与1互为相反数,则x 的值为 A .-2B .1C .-1D .2 7.化简22122-2--1-1-x x x x x x +⎛⎫÷⎪⎝⎭的结果是 A .--2x x B .1x C .1-1x x + D .-11x x +8.施工队要铺设1000米的管道,因在中考期间需停工2天,每天要比原计划多施工30米才能按时完成任务.设原计划每天施工x 米,所列方程正确的是( )A .1000100030x x -+=2 B .1000100030x x -+=2 C .1000100030x x --=2 D .1000100030x x --=2二、填空题9.分式x 2−9x+3的值为0,那么x 的值为_____.10.计算22111m m m ---的结果是_____. 11.方程-3x x -2=4-3x 的解为_______. 12.观察下列分式:-212,x x ,-3448,x x ,-516x ,…,根据你的发现,它的第8项是_____________. 13.已知x 2-2=0,则代数式222(-1)-11x x x x ++=_____.三、解答题14.化简:(1)8x 2y 3·233--42x x y y ⎛⎫⎛⎫÷ ⎪ ⎪⎝⎭⎝⎭; (2) 211-1-1x x x ⎛⎫÷ ⎪+⎝⎭.15.先化简:221-21-11a a a a a a ⎛⎫++÷ ⎪++⎝⎭,再从-1,0,1中选取一个数并代入求值.16.解分式方程: (1)23x x x ++=1; (2)224-1-1x x =.17.某青春党支部在精准扶贫活动中,给结对帮扶的贫困家庭赠送甲、乙两种树苗让其栽种.已知乙种树苗的价格比甲种树苗贵10元,用480元购买乙种树苗的棵数恰好与用360元购买甲种树苗的棵数相同.(1)求甲、乙两种树苗每棵的价格各是多少元?(2)在实际帮扶中,他们决定再次购买甲、乙两种树苗共50棵,此时,甲种树苗的售价比第一次购买时降低了10%,乙种树苗的售价不变,如果再次购买两种树苗的总费用不超过1500元,那么他们最多可购买多少棵乙种树苗?18.某商场在一楼与二楼之间装有一部自动扶梯,以均匀的速度向上行驶,一男孩与一女孩同时从自动扶梯上走到二楼(扶梯本身也在行驶).如果二人都做匀速运动,且男孩每分钟走动的级数是女孩的两倍.又已知男孩走了27级到达顶部,女孩走了18级到达顶部(二人每步都只跨1级).求扶梯有多少级?参考答案1.C【解析】【分析】根据分式的定义分析即可.【详解】A、B、D中的分母都含有字母,是分式;C中的分母含有圆周率π,π是常数,故C不是分式.故选C.【点睛】本题主要考查分式的定义,判断分式的依据是看分母中是否含有字母,如果含有字母则是分式,如果不含有字母则不是分式.注意π不是字母,是常数,所以分母中含π的代数式不是分式,是整式.2.B【解析】【分析】根据当分母等于零时分式无意义求解即可.【详解】由题意得(x+1)(x-3)=0,解之得x=-1或x=3.故选B.【点睛】本题考查了分式有无意义的条件,当分母等于零时,分式无意义;当分母不等于零时,分式有意义.3.A【解析】A 原式=222222x y x y x y x y --=++,正确;B 原式=210102a b a b++,错误;C 原式=1x x y ---,错误;D 显然错误.故选A4.D【解析】【分析】根据分式方程的解的定义把x=4代入原分式方程得到关于a 的一次方程,解得a 的值即可.【详解】解:把x=4代入方程230x x a+=-,得 23044a+=-, 解得a=10.经检验,a=10是原方程的解故选D .点睛:此题考查了分式方程的解,分式方程注意分母不能为0.5.D【解析】【分析】根据约分的定义逐项分析即可,根据分式的基本性质把分子、分母中除1以外的公因式约去,叫做分式的约分.【详解】A 、()()23b c a b c +++不能约分,故本选项错误; B 、()()()()2222a b a b b a a b --==--1,故本选项错误; C 、22a b a b ++不能约分,故本选项错误; D 、2222122x y y x xy x y xy x y y x--==---++-,故本选项正确; 故选D .【点睛】本题考查了分式的约分,熟练掌握分式的基本性质是解答本题的关键,本题也考查了因式分解.6.C【解析】【分析】根据互为相反数相加得零列式求解即可.【详解】由题意得2-1x+1=0,解之得x=-1.经检验x=-1是原方程的根.故选C.【点睛】本题考查了相反数的应用及分式方程的解法,其基本思路是把方程的两边都乘以各分母的最简公分母,化为整式方程求解,求出x的值后不要忘记检验.7.A【解析】【分析】先把括号内的分式的分子分母分解因式,再把除法运算转化为乘法运算,利用乘法的分配律计算后,再进行分式的加减运算即可.【详解】(11x-﹣2221xx+-)÷22xx x--=12(1)(1)1(1)(1)2x x xx x x x⎡⎤+--⋅⎢⎥-+--⎣⎦=1(1)2(1)(1) 12(1)(1)2 x x x x xx x x x x-+-⋅-⋅--+--=222x x x x --- =2x x -- 故选A.【点睛】本题考查了分式的混合运算,利用乘法分配律可以使运算变得简单.8.A【解析】分析:设原计划每天施工x 米,则实际每天施工(x+30)米,根据:原计划所用时间﹣实际所用时间=2,列出方程即可.详解:设原计划每天施工x 米,则实际每天施工(x+30)米, 根据题意,可列方程:1000100030x x -+=2, 故选A .点睛:本题考查了由实际问题抽象出分式方程,关键是读懂题意,找出合适的等量关系,列出方程.9.3【解析】【分析】分式的值为0的条件是:(1)分子为0;(2)分母不为0.两个条件需同时具备,缺一不可.据此可以解答本题.【详解】解:由题意可得:x 2﹣9=0且x +3≠0,解得x =3.故答案为:3.【点睛】此题主要考查了分式值为零的条件,关键是掌握分式值为零的条件是分子等于零且分母不等于零.注意:分母不为零这个条件不能少.10.11m - 【解析】【分析】根据分式的加减法法则进行计算即可得答案.【详解】原式=22111m m m +-- =()()111m m m ++- =11m -, 故答案为11m -. 【点睛】本题考查分式的加减运算,熟练掌握分式加减的运算法则是解题的关键,本题属于基础题.11.x=2【解析】【分析】把方程两边都乘以x -3,化为整式方程求解,求出未知数的值要验根.【详解】-3x x -2=4-3x , 两边都乘以x -3,得x -2(x -3)=4,解之得x =2.经检验x =2是分式方程的解.故答案为:x =2.【点睛】本题考查了分式方程的解法,其基本思路是把方程的两边都乘以各分母的最简公分母,化为整式方程求解,求出x 的值后不要忘记检验.12.8128x 【解析】【分析】根据所给代数式探索出分子、分母及符号变与不变的规律,根据规律求解即可.∵第1项()01112-1x x-=⨯, 第2项()122222-1x x=⨯, 第3项()233342--1x x=⨯, 第4项()344482-1x x=⨯, …∴第n 项()12-1n nn x -⨯, ∴第8项()78882128-1=x x ⨯, 故答案为:8128x . 【点睛】 本题考查了规律型---数字类规律与探究,要求学生通过观察,分析、归纳发现其中的规律,并应用发现的规律解决问题.此题注意分别观察各部分的符号规律.13.1【解析】【分析】先把所给代数式化简,然后把x 2=2代入进一步化简即可.【详解】222(-1)-11x x x x ++=22(-1)111x x x x x ++-+()() =2-111x x x x +++ =2-11x x x ++,∴x 2=2,∴原式=2-11x x x ++ =2-11x x ++ =+11x x + =1.故答案为1【点睛】本题考查了分式的计算和化简.解决这类题目关键是把握好通分与约分,分式加减的本质是通分,乘除的本质是约分.14.(1)12 x y.(2)x-1. 【解析】【分析】(1)先把除法转化为乘法,然后约分化简即可;(2)先把括号内通分,并把除法转化为乘法,然后把分子、分母分解因式约分化简即可.【详解】解:(1)原式=8x 2y 3·3232-?-4x y x y ⎛⎫⎛⎫ ⎪ ⎪⎝⎭⎝⎭=12x y; (2)原式=1-1(1)(-1)·1x x x x x+++ =(1)(-1)·1x x x x x ++ =x-1.【点睛】本题考查了分式的混合运算:分式的混合运算,要注意运算顺序,式与数有相同的混合运算顺序;先乘方,再乘除,然后加减,有括号的先算括号里面的;最后结果分子、分母要进行约分,注意运算的结果要化成最简分式或整式.15.1【解析】【分析】先把括号内通分,并把除法转化为乘法,然后把分子、分母分解因式约分化简,再从-1,0,1中选取一个使分式有意义的数代入计算即可.【详解】解:原式=22221---21-(-1)1·111(-1)a a a a a a a a a a a +++÷=+++=-1-1a , 其中a ≠1且a ≠-1,∴a 只能取0.当a=0时,原式=1.【点睛】本题考查了分式的化简求值及分式有意义的条件,分式的混合运算,要注意运算顺序,式与数有相同的混合运算顺序;先乘方,再乘除,然后加减,有括号的先算括号里面的;最后结果分子、分母要进行约分,注意所取数字要使分式有意义.16.(1) x=6;(2)无解【解析】【分析】(1)把方程两边都乘以x (x +3),化为整式方程求解,求出未知数的值要验根; (2)把方程两边都乘以(x +1)(x -1),化为整式方程求解,求出未知数的值要验根.【详解】 (1)23x x x ++=1, 两边都乘以x (x +3),得2(x +3)+x 2= x (x +3),解之得x=6,经检验x=6是原方程的解; (2)224-1-1x x =,两边都乘以(x+1)(x-1),得2(x+1)=4,解之得x=1,检验:当x=1时,(x+1)(x-1)=0,∴x=1是分式方程的增根,原方程无解.【点睛】本题考查了分式方程的解法,其基本思路是把方程的两边都乘以各分母的最简公分母,化为整式方程求解,求出x的值后不要忘记检验.17.(1)甲种树苗每棵的价格是30元,乙种树苗每棵的价格是40元;(2)他们最多可购买11棵乙种树苗.【解析】【分析】(1)可设甲种树苗每棵的价格是x元,则乙种树苗每棵的价格是(x+10)元,根据等量关系:用480元购买乙种树苗的棵数恰好与用360元购买甲种树苗的棵数相同,列出方程求解即可;(2)可设他们可购买y棵乙种树苗,根据不等关系:再次购买两种树苗的总费用不超过1500元,列出不等式求解即可.【详解】(1)设甲种树苗每棵的价格是x元,则乙种树苗每棵的价格是(x+10)元,依题意有480x+10=360x,解得:x=30,经检验,x=30是原方程的解,x+10=30+10=40,答:甲种树苗每棵的价格是30元,乙种树苗每棵的价格是40元;(2)设他们可购买y棵乙种树苗,依题意有30×(1﹣10%)(50﹣y)+40y≤1500,解得y≤11713,∵y为整数,∴y最大为11,答:他们最多可购买11棵乙种树苗.【点睛】本题考查了分式方程的应用,一元一次不等式的应用,弄清题意,找准等量关系与不等关系列出方程或不等式是解决问题的关键.18.扶梯有54级.【解析】【分析】如果设女孩上梯速度为x级/分,男孩速度为2x级/分钟,自动扶梯的速度为y级/分,扶梯有S级.题中有两个等量关系,男孩走27级的时间等于扶梯走(S-27)级的时间;女孩走18级的时间等于扶梯走(S-18)级的时间,据此列出方程组,求出S的值即可.【详解】解:设女孩速度为x级/分钟,电梯速度为y级/分钟,扶梯为s级,则男孩速度为2x级/分钟,由题意,得27-27, 218-18,sx ysx y ⎧=⎪⎪⎨⎪=⎪⎩解得s=54.答:扶梯有54级.【点睛】本题考查应用类问题,分式方程在行程问题中的应用,分析题意,找到合适的等量关系是解决问题的关键.本题属于竞赛题型,有一定难度.难点在于自动扶梯在上升,具有一定的速度,同时甲、乙也在上楼梯,变化量较多.解题时要善于抓住不变量,只有不变量才是列方程的依据.另外,本题求解时设的未知数x、y,只设不求,这种方法在解复杂的应用题时常用来帮助分析数量关系,便于解题.。
北师大版数学八年级下册第五章测试卷一、单选题1.在代数式ab a ,23a b ,-0.5xy +23y ,b ca c +-,12x x ---,1π中,是分式的有( ).A .1个B .2个C .3个D .4个2.下列各式从左到右变形正确的是A .1-2-2122x y x y x y x y =++ B .0.220.22a b a b a b a b ++=++C .-1-1--x x x y x y += D .--a b a ba b a b+=+ 3.计算11x x y--的结果是( ). A .()yx x y --B .2()x yx x y +-C .2()x yx x y --D .()yx x y -4.计算2623993m mm m m ⋅÷+--的结果为( ). A .21(3)m +B .21(3)m -+C .21(3)m -D .219m -+5.下列分式方程有解的是( ).A .210x x+=B .123x -=0 C .2111x x x x +=-- D .11x -=1 6.按下列程序计算,当a =-2时,最后输出的答案是().A .132- B .52-C .-1D .12-7.已知a ,b 为实数,且ab =1,设M =11a b a b +++,N =1111a b +++,则M ,N 的大小关系是( ). A .M >NB .M =NC .M <ND .无法确定8.某工程限期完成,甲队独做正好按期完成,乙队独做则要延期3天完成.现两队先合做2天,再由乙队独做,也正好按期完成.如果设规定的期限为x 天,那么根据题意可列出方程:①223x x ++=1;②1122()133x x x x -++=++;③213xx x +=+;④233x x =+.其中正确的个数为( ). A .1 B .2C .3D .4二、填空题9.当x______时,分式22x x -+有意义;当x_______时,分式22x x -+的值为零. 10.若关于x 的分式方程1133ax x -=++在实数范围内无解,则实数a =________.11.已知114a b+=,则3227a ab ba b ab -++-=______.12.某商店销售一种衬衫,四月份的营业额为5 000元,为扩大销售,五月份将每件衬衫按原价的8折销售,销售量比四月份增加了40件,营业额比四月份增加了600元,求四月份每件衬衫的售价.解决这个问题时,若设四月份的每件衬衫的售价为x 元,由题意可列方程为_______.三、解答题13.先化简22144(1)11x x x x -+-÷--,然后从-2≤x ≤2的范围内选取一个合适的整数作为x 的值代入求值.14.(1)解方程:23311x x x +---=0;(2)解方程:11322xx x-=---.15.我们把分子为1的分数叫做单位分数,如12,13,14,….任何一个单位分数都可以拆分成两个不同的单位分数的和,如12=13+16,13=14+112,14=15+120,….(1)根据对上述式子的观察,你会发现1115=+□○.请写出□,○所表示的数.(2)进一步思考,单位分数1n(n是不小于2的正整数)=11+△☆,请写出△,☆所表示的代数式,并加以验证.16.甲、乙两同学玩“托球赛跑”游戏,商定:用球拍托着乒乓球从起跑线l起跑,绕过点P 跑回到起跑线l(如图所示),途中乒乓球掉下时须捡起并回到掉球处继续赛跑,用时少者胜.结果:甲同学由于心急,掉了球,浪费了6秒钟,乙同学则顺利跑完.事后,乙同学说:“我俩所用的全部时间的和为50秒,捡球过程不算在内时,甲的速度是我的1.2倍.”根据图文信息,请问哪位同学获胜?参考答案1.C 【解析】 【分析】判断分式的依据是看分母中是否含有字母,如果含有字母则是分式,如果不含有字母则不是分式. 【详解】2a b 3,-0.5xy +2y 3,1π的分母中均不含有字母,因此它们是整式,而不是分式,ab a ,b ca c+-,1x 2x ---的分母中含有字母,因此是分式.故选C . 【点睛】本题考查的是分式的定义,在解答此题时要注意分式是形式定义,只要是分母中含有未知数的式子即为分式,要注意圆周率π是常数字母. 2.A 【解析】A 原式=222222x yx y x y x y --=++,正确;B 原式=210102a ba b ++,错误;C 原式=1x x y ---,错误;D 显然错误.故选A 3.A111.()()()()x y x x y x x x y x x y x x y x x y x x y ----=-==------故选A 4.B 【解析】 【分析】首先把分式的分子或分母能分解因式的分解因式,再把除法变为乘法,然后约分后相乘即可. 【详解】原式=()m 3m 3+•()()63m 3m -+•m 32m -=-()21m 3+,故选:B . 【点睛】此题主要考查了分式的乘除法,分式乘除法的运算,归根到底是乘法的运算,当分子和分母是多项式时,一般应先进行因式分解,再约分. 5.D 【解析】 【分析】分别按照解分式方程的步骤去分母,解整式方程可判断方程的解的情况. 【详解】A 、方程两边都乘以x 得:x 2+1=0,此整式方程无解,故原分式方程无解;B 、方程两边都乘以2x-3得:1=0,不成立,故方程无解;C 、方程两边都乘以x-1得:2x=x+1,解得x=1,而x=1时分母x-1=0,故原分式方程无解;D 、方程两边都乘以x-1得:x-1=1,解得x=2,当x=2时,分母x-1=1≠0,x=2是原分式方程的解; 故选:D . 【点睛】本题主要考查解分式方程,解分式方程的基本思想是“转化思想”,把分式方程转化为整式方程求解.解分式方程一定注意要验根. 6.D 【解析】根据题意列出关于m 的代数式,将a=-2代入计算即可求出值. 【详解】由题可知(a 3-a )÷a 2+1=a-1a +1, 当a=-2时,原式=-2-12-+1=12-. 故选:D . 【点睛】此题考查了代数式求值,根据题意列出正确的关系式是解本题的关键. 7.B 【解析】M -N =1a a ++1b b +-(11a ++11b +) =1a a ++1b b +-11a +-11b + =11a a -++11b b -+ =111111a b b a a b -++-+++()()()()=1111ab a b ab b a a b +--++--++()()=2211ab a b -++()()∵ab =1, ∴M -N =0, ∴M =N . 故选B.点睛:本题主要借助作差法将两个数比较大小问题转化为分式化简求值问题. 8.C 【解析】根据规定日期为x 天,则甲队完成任务需要x 天,乙队完成任务需要(x+3)天. 记该工程总量为“1”,根据题意,得:甲、乙的工作效率分别为1x 、13x +. 根据“甲乙合做的工作量+乙做的工作量=1”,由此可列方程:1122133x x x x -⎛⎫+⨯+= ⎪++⎝⎭.根据“甲的工作量+乙做的工作量=1”,可列方程:213xx x+=+.再根据题意得“乙2天做的工作量=甲3天做的工作量”,可列方程:233 x x=+.综上可知②③④方程均符合题意.故选C.点睛:此题考查了由实际问题抽象出分式方程,关键步骤在于找相等关系.当题中没有一些必须的量时,为了简便,应设其为1.本题要掌握好工作效率,工作总量和工作时间的等量关系.9.≠-2 =2【解析】【分析】分式有意义:分母不为零;分式的值为零时,分子为零,且分母不为零.【详解】当分母x+2≠0,即x≠-2时,分式x2x2-+有意义;当分子x-2=0,即x=2时,分式x2x2-+的值为零.故答案分别是:≠2;=2.【点睛】本题考查了分式有意义的条件和分式的值为零的条件.若分式的值为零,需同时具备两个条件:(1)分子为0;(2)分母不为0.这两个条件缺一不可.10.1【解析】【分析】按照一般步骤解方程,用含a的代数式表示x,既然无解,所以x应该是能令最简公分母为0的值,代入即可解答a.【详解】原方程化为整式方程得:1-x-3=a,整理得x=-2-a,因为无解,所以x+3=0,即x=-3,所以a=-2+3=1. 故答案为:1 【点睛】分式方程无解的可能为:整式方程本身无解,但当整式方程的未知数的系数为一常数时,不存在整式方程无解;分式方程产生增根. 11.1 【解析】∵11a b +=4, ∴4b a ab+=,∴a+b=4ab, ∴-322-7a ab b a b ab ++=()32()7a b ab a b ab +-+-=4387ab ab ab ab --=ab ab=1 故答案为:1. 12.5?0006005?00080%x x+-=40 【解析】设四月份的每件衬衫的售价为x 元, 则五月份的每件衬衫的售价为80%x 元, 五月份的营业额为(5000+600)元,依据“销售量比四月份增加了40件”可得5000600500080%x x+-=40.故答案为:5000600500080%x x+-=40点睛: 解题关键是要读懂题目的意思,根据题目给出的条件,找出合适的等量关系,列出方程. 13.12x x +-,当x =0时,原式=12-(或:当x =-2时,原式=14). 【解析】 【分析】先根据分式混合运算的法则把原式进行化简,再选取合适的x 的值代入进行计算即可. 【详解】 解:原式=21x x --×()()2x 1x 1(2)x +--=12x x +-.x满足﹣2≤x≤2且为整数,若使分式有意义,x只能取0,﹣2.当x=0时,原式=﹣12(或:当x=﹣2时,原式=14).【点睛】本题考查分式的化简求值,化简的过程中要注意运算顺序和分式的化简.化简的最后结果分子、分母要进行约分,注意运算的结果要化成最简分式或整式.14.(1)x=0;(2)原方程无解.【解析】【分析】(1)分式方程去分母转化为整式方程,求出整式方程的解得到x的值,经检验即可得到分式方程的解;(2分式方程去分母转化为整式方程,求出整式方程的解得到x的值,经检验即可得到分式方程的解.【详解】(1)方程两边都乘(x+1)(x-1),得3(x+1)-(x+3)=0,3x+3-x-3=0,2x=0,x=0,检验:将x=0代入原方程,得左边=0=右边.所以x=0是原方程的解;(2)方程两边同乘(x-2),得1=-(1-x)-3(x-2),解这个方程,得x=2,检验:当x=2时,分母x-2=0,所以x=2是增根,原方程无解.【点睛】此题考查了解分式方程,解分式方程的基本思想是“转化思想”,把分式方程转化为整式方程求解.解分式方程一定注意要验根.15.(1) 6,30;(2)n+1,n(n+1)【解析】试题分析:(1)通过观察直接写出口,○所表示的数分别为:6 ,30 ;(2)通过前面几个式子找出规律,再对找出的规律验证即可. 试题解析: (1) 6 ,30 ;(2)n =2时, 111236=+=112123++⨯; n =3时,11133134=++⨯; n =4时,11144145=++⨯; ……1n =11n ++11n n +(). 所以□,△所表示的式子n +1, n (n +1). 验证:()()1111111n n n n n n n++==+++. 点睛:掌握分式的加法运算.16.乙同学获胜. 【解析】 【分析】应算出甲乙两人所用时间.等量关系为:(甲同学跑所用时间+6)+乙同学所用时间=50. 【详解】设乙同学的速度为x 米/秒,则甲同学的速度为1.2x 米/秒, 根据题意,得606061.2x x ⎛⎫++⎪⎝⎭=50,解得x =2.5, 经检验,x =2.5是原方程的解,且符合题意, 所以甲同学所用的时间为601.2x+6=26(秒), 乙同学所用的时间为60x=24(秒), 因为26>24, 所以乙同学获胜. 【点睛】本题考查分式方程的应用,分析题意,找到关键描述语,找到合适的等量关系是解决问题的关键.此题涉及的公式是:路程=速度×时间.第11 页。
北师大版八年级数学下册第五章《分式与分式方程》单元测试题5.下列分式的值,可以为零的是( )6.某校用420元钱到商场去购买“ 84”消毒液,经过还价,每瓶便宜0.5元,结果比用原价多买了 20瓶,7.下列计算正确的是( )1 1.若分式 乞二1有意义,则x 的取值范围为X +1,当x= ________________ 时,分式无意义;当 x= 时,分式值为零.(班级:姓名:得分 、 选择题 (每小题3分,共30分)1. 下列各式:2 21( 1 -x ) 4xx -y 5x 2 其中分式有(5 3 2xA . 1个B . 2个C . 3个D. .4个2.分式的计算结果是(a+1色(金+1」)_______))A .1 La1a+1 B.CD.a)x > 04.已知两个分式:A .相等人说B •互为倒数 汁2其中XM 土 2,则A 与B 的关系是()C.互为相反数A.D.求原价每瓶多少元?设原价每瓶 x 元,则可列出方程为(A.4204200.5=20B .420=20C.420420 x-20=0.5 D. 420420=0.5A .若 x= -1,y=2,则2x x 2-64y 21 17A .x -8yC.-16土的结果是(2z+y B.认丁 C .15C . k 二 3 且 k 二 5 二、填空题(每小题12.对于分式3.使分式的值为正的条件是(I -J+11-11 17的值为(120.(每小题6分,共12分)解下列方程:21 . ( 10分)列分式方程解应用题:年2月的水费是30元.已知今年2月的用水量比去年12月的用水量多5吨,求该市今年居民用水的价格? 、 1 x —222.( 12分)小明解方程 —=1的过程如下:x x解:方程两边乘x ,得1 —( x — 2) =1•① 去括号,得1 — x — 2=1.② 移项,得—x=1 — 1+2.③ 合并同类项,得—x=2.④ 解得x= — 2⑤所以,原分式方程的解为x= — 2.⑥请指出他解答过程中的错误,并写出正确的解答过程.一亠E1 -时 y 1 013.填空:?一 X 一呵0,-z - yx+y30b2 , 2 , 2 y 4-x£14.下列各式①黔白;② s+y:③ E :④m:⑤ z_3 •(填15.若关于x 的方程匸1= m一无解,则X _5 10_2x m=16.在方程‘3 .' J 」中,如果设y=x 2-4x ,那么原方程可化为关于 y 的整式方程是K - 4x17•若+ (2n —1)(2 n 1) 2n —1 2n 1b,对任意自然数n 都成立,则a=,b=1 I’ 1 1 ' 18 .当 y=x+ -时,—一一 | 3 x丿(共58分)6分,共12分)计算:三、解答题 19.(每小题 xyX 2 -2xy y 2的值是 (2)+ ( 4x 2- y 2)-=:,-:「!・:-某市从今年1月1日起调整居民用水价格,每吨水费上涨三分之一,小丽家去年 12月的水费是15元,今序中分子与分母没有公因式的分式是(1)2z 2(1) 1-2(1)化简A ;(2)当x满足不等式组卩―1 -0,且x为整数时,求A的值.x 一3<0,参考答案-—•、1.A2. A3. C4. C 5. C 6. A 7. A 8. D9. D 10. A1、11. x工—112.213. * -214. y 15. 816. 45a1117.-一18. —322三1、19. 解: ( 1)原式: 21K2=,lOy20.解:(1)去分母得:x2- 25 - x - 5=x2- 5x,解得:x=¥,1 5经检验x=「一是分式方程的解;(2)去分母得:3x+3 - 2x+3=1,解得:x= - 5,经检验x= - 5是分式方程的解.+5)吨,依题意有解得:x=1.5 ,经检验得:x=1.5是原方程的根,23. ( 12分)已知A=x 2x1-1xx -11(2x-y)(2x+y)21.解:设去年每吨水费为x元,则今年每吨水费为( 12月的用水量为1.5吨, (2)原式=)x元,小丽家去年年2月的用水量为答:今年居民用水的价格为 1.5元.22.解:小明的解法有三处错误,步骤①去分母有误; 步骤②去括号有误;步骤⑥少检验正确解法为:方程两边乘 x ,得1—( x — 2) =x. 去括号,得1 — x+2=x. 移项,得—x — x= — 1 — 2. 合并同类项,得一2x= — 3.3 解得x=. 23 经检验,x=3是原分式方程的解23 6 x +k10.关于x 的分式方程3+ ------------------ =0有解,则k 满足()x X —1 x(x —1 ) A . k 斗 3B . k 工5D . k 二 3 且 k 工5 4分,共32分)x -1 _0, x -3< 0,/• 1 $< 3. •/ x 为整数, /• x=1 或 x=2,又当x=1或x= — 1时,A 无意义,1.•.当 x=2 时,A= 1=1 .2 —1所以,原分式方程的解为 3 x=. 223.解:(1) A=2x = x 1x -1 x 1 X-1 x _ x 1x -1 X 「1 x _ 1 x -1 X _1 2x 2x1。
2023年北师大版数学八年级下册《分式与分式方程》单元检测一、选择题(共12小题)1.下列式子是分式的是( )A.a-b2 B.5+yπ C.x+3x D.1+x2.下列是分式方程的是( )A.xx+1+x+43B.x4+x-52=0 C.34(x-2)=43x D.1x+2+1=03.若分式x+12-x有意义,则x满足的条件是( )A.x≠-1B.x≠-2C.x≠2D.x≠-1且x≠24.方程2x+1x-1=3的解是( )A.-45B.45C.-4D.45.下列计算错误的是( )A.0.2a+b0.7a+b=2a+b7a+bB.x3y2x2y3=xyC.a-bb-a=﹣1 D.1c+2c=3c6.下列等式成立的是( )A.(-3)-2=-9B.(-3)-2=19C.(a-12)2=a14D.(-a-1b-3)-2=-a2b67.化简:等于( ).A. B.xy4z2 C.xy4z4 D.y5z8.化简:-x-2y2xy+x+6y2xy=( )A.2xB.4xC.-2xD.-4x9.解分式方程2x-1+x+21-x=3时,去分母后变形为( )A.2+(x+2)=3(x﹣1)B.2﹣x+2=3(x﹣1)C.2﹣(x+2)=3(1﹣x)D.2﹣(x+2)=3(x﹣1)10.甲、乙两船从相距300 km的A,B两地同时出发相向而行,甲船从A地顺流航行180 km时与从B地逆流航行的乙船相遇,水流的速度为6 km/h,若甲、乙两船在静水中的速度均为x km/h,则求两船在静水中的速度可列方程为( )A.180x+6=120x-6B.180x-6=120x+6C.180x+6=120xD.180x=120x-611.若a+b=2,ab=﹣2,则ab +ba的值是( )A.2B.﹣2C.4D.﹣412.用换元法解分式方程﹣+1=0时,如果设=y,将原方程化为关于y 的整式方程,那么这个整式方程是()A.y2+y﹣3=0B.y2﹣3y+1=0C.3y2﹣y+1=0D.3y2﹣y﹣1=0二、填空题(共6小题)13.若分式的值为0,则x= .14.若关于x的方程«Skip Record If...»的解为x=4,则m= .15.计算:(﹣2xy﹣1)﹣3=.16.已知1a-1b=12,则aba-b的值是________.17.已知关于x的分式方程kx+1+x+kx-1=1的解为负数,则k的取值范围是.18.某城市进行道路改造,若甲、乙两工程队合作施工20天可完成;若甲、乙两工程队合作施工5天后,乙工程队再单独施工45天可完成.求乙工程队单独完成此工程需要多少天?设乙工程队单独完成此工程需要x天,可列方程为.三、解答题(共8小题)19.计算:(a 2+3a)÷a 2-9a -3;20.计算:«Skip Record If...».21.解分式方程:x x -1-1=2x 3x -3.22.解分式方程:2x +2x-x +2x -2=x 2-2x 2-2x.23.先化简,再求值:1﹣÷,其中x 、y 满足|x ﹣2|+(2x ﹣y ﹣3)2=0.24.在解分式方程2-xx -3=13-x-2时,小玉的解法如下:解:方程两边都乘以x-3,得2-x=-1-2.①移项,得-x=-1-2-2.②解得x=5.③(1)你认为小玉从哪一步开始出现了错误________(只填序号),错误的原因是________________;(2)请你写出这个方程的完整解题过程.25.贸易公司现有480吨货物,准备外包给甲、乙两个车主来完成运输任务,已知甲车主单独完成运输任务比乙车主单独完成任务要多用10天,而乙车主每天运输的吨数是甲车主的1.5倍,公司需付甲车主每天800元运输费,乙车主每天运输费1200元,同时公司每天要付给发货工人200元工资.(1)求甲、乙两个车主每天各能运输多少吨货物?(2)公司制定如下方案,可以单独由甲乙任意一个车主完成,也可以由两车主合作完成.请你通过计算,帮该公司选择一种既省钱又省时的外包方案.26.某高速铁路工程指挥部,要对某路段工程进行招标,接到了甲、乙两个工程队的投标书.从投标书中得知:甲队单独完成这项工程所需天数是乙队单独完成这项工程所需天数的23;若由甲队先做20天,剩下的工程再由甲、乙两队合作60天完成.(1)求甲、乙两队单独完成这项工程各需多少天?(2)已知甲队每天的施工费用为8.6万元,乙队每天的施工费用为5.4万元,工程预算的施工费用为1000万元.若在甲、乙工程队工作效率不变的情况下使施工时间最短,问拟安排预算的施工费用是否够用?若不够用,需追加预算多少万元?答案1.C2.D3.C.4.D5.A6.B7.B8.A9.D10.A.11.D.12.A13.答案为:2.14.答案为:3;15.答案为:﹣y3 8x3.16.答案为:-2;17.答案为:k>﹣12且k≠0.18.答案为:520+45x=1.19.解:原式=a.20.解:原式=«Skip Record If...».21.解:方程两边同乘以3(x-1),得3x-3(x-1)=2x,解得x=1.5.检验:当x=1.5时,3(x-1)=1.5≠0,所以原方程的解为x=1.5.22.解:原方程可化为2(x+1)x-x+2x-2=x2-2x(x-2),方程两边同时乘x(x-2),得2(x+1)(x-2)-x(x+2)=x2-2,整理得-4x=2.解得x=-1 2 .经检验,x=-12是原方程的解.23.解:原式=1﹣•=1﹣==﹣,∵|x﹣2|+(2x﹣y﹣3)2=0,∴,解得:x=2,y=1,当x=2,y=1时,原式=﹣1 3 .24.解:(1)① 去分母时漏乘常数项 (2)去分母,得2-x=-1-2(x-3).去括号,得2-x=-1-2x+6.移项,合并,得x=3.检验,将x=3代入x-3=0,所以原方程无解.25.解:(1)设甲车主每天能运输x吨货物,则乙车主每天能运输1.5x吨货物,根据题意得:﹣=10,解得:x=16,经检验,x=16是原方程的解,且符合题意,∴1.5x=24.答:甲车主每天能运输16吨货物,乙车主每天能运输24吨货物.(2)甲车主单独完成所需时间为480÷16=30(天),乙车主单独完成所需时间为480÷24=20(天),甲、乙两车主合作完成所需时间为480÷(16+24)=12(天),甲车主单独完成所需费用为30×(800+200)=30000(元),乙车主单独完成所需费用为20×(1200+200)=28000(元),甲、乙两车主合作完成所需费用为12×(800+1200+200)=26400(元).∵30000>28000>26400,30>20>12,∴该公司选择由两车主合作完成既省钱又省时.26.解:(1)设乙队单独完成这项工程需要x天,则甲队单独完成这项工程需要23x天.根据题意得202x3+60×(12x3+1x)=1,解得x=180.经检验,x=180是原分式方程的根,且符合题意,∴2x3=120,则甲、乙两队单独完成这项工程分别需120天、180天.(2)设甲、乙两队合作完成这项工程需要y天,则有y(1120+1180)=1,解得y=72,需要施工费用72×(8.6+5.4)=1008(万元),∵1008>1000,∴工程预算的施工费用不够用,需追加预算8万元。
2021春北师版八下数学第五章分式与分式方程单元测试题〔本试卷总分值:100分,时间:90分钟〕一、选择题〔每题3分,共30分〕1 .以下分式是最简分式的是〔〕A.m1B.xy yC.x yD.61m1m3xyx2y232m2 .将分式x2中的x、y的值同时扩大2倍,那么分式的值〔〕x yA.扩大2倍B.缩小到原来的1C.保持不变D.无法确定23.假设分式x21的值为零,那么的值为() x1A.或B. C. D.4 .对于以下说法,错误的个数是〔〕①是分式;②当x1时,x21x1成立;③当时,分式x3的值是零;x1x31a a2a33.④ab a1a;⑤x yx y;⑥2xb2x5.计算1111的结果是〔〕121 x xB. C.x1 D.xx x1设一项工程的工程量为1,甲单独做需要天完成,乙单独做需要天完成,那么甲、乙两人合做一天的工作量为〔〕A. B.1 C.ab D.112a ba b7.分式方程x x 1的解为〔 〕x 3 x 1A.x1B. x 1C. x3D. x38.以下关于分式方程增根的说法正确的选项是( )A.使所有的分母的值都为零的解是增根B.分式方程的解为零就是增根C.使分子的值为零的解就是增根D. 使最简公分母的值为零的解是增根9.某人生产一种零件,方案在 天内完成, 假设每天多生产 个,那么 天完成且还多生产 个,问原方案每天生产多少个零件 ?设原方案每天生产 个零件,列方程得()A . 30x 10 25 B. 30x 10 25 C. 30x 25 10D. 30x 10 x 6 x 6 x 6 x 6 251010. 某工程需要在规定日期内完成,如果甲工程队单独做,恰好如期完成; 如果乙工程队单独 做,那么超过规定日期3 天,现在甲、乙两队合做 2天,剩下的由乙队独做,恰好在规定日期完 成,求规定日期.如果设规定日期为 天,下面所列方程中错误的选项是( ) A.2x 1 B. 2 3 C.1 12 x2 1 D. 1 xxx3xx3xx3x31xx3二、填空题〔每题 3分,共24 分〕11. 假设分式x3的值为零,那么x .x 357m 2n12. 将以下分式约分:(1)x ;(2);(3) (a b)2.8x 235mn 2(b a)213. 计算:2a 3b 6ab 2 =.c 3b 2 c 214.,那么m n m 2________.m n m n m 2 n 215. 当x ________时,分式3 无意义;当x______时,分式x2 9的值为.x 1 x 316.假设方程x2m有增根x5,那么m_________. x5x5为改善生态环境,防止水土流失,某村拟在荒坡地上种植960棵树,由于青年团员的支持,每日比原方案多种20棵,结果提前4天完成任务,原方案每天种植多少棵树?设原方案每天种植棵树,根据题意可列方程__________________.18.在5月汛期,重庆某沿江村庄因洪水而沦为弧岛.当时洪水流速为10km/h,张师傅奉命用冲锋舟去救援,他发现沿洪水顺流以最大速度航行2km所用时间,与以最大速度逆流航行km所用时间相等.请你计算出该冲锋舟在静水中的最大航速为.三、解答题〔共46分〕19.〔8分〕计算与化简:〔1〕2x2y;〔2〕a2a1a21;〔3〕2a1;〔4〕a2a1. y2x4a4a24a24a2a120.〔6分〕先化简,再求值:3a2ab,其中a8,b1. 9a26abb22112x3xy 2y的值.21.〔6分〕假设,求x y x2xy y 22.〔6分〕当x=3时,求112的值.2xx2x2x24x42x23.〔6分〕32b2a a22ab13ab0,求代数式ab1aa的值.2ab b〔8分〕解以下分式方程:〔1〕10030;〔2〕79x4x51.x x723x23x25.〔6分〕某人骑自行车比步行每小时快8km,坐汽车比骑自行车每小时快16km,此人从地出发,先步行4km,然后乘坐汽车10km就到达地,他又骑自行车从地返回地,结果往返所用的时间相等,求此人步行的速度.参考答案解析:m1m1,故A不是最简分式;xyy y(x1)x1,故B不是1m13xy3xy3xm1最简分式;61m 61,故D不是最简分式;C是最简分式.32m32解析:因为2x 24x22x2x2,所以分式的值扩大2倍.22x2y2xy xy yx解析:假设分式x21的值为零,那么所以x1解析:不是分式,故①不正确;当x1时,x21x1成立,故②正确;x1当时,分式x 3的分母,分式无意义,故③不正确;x3,故④不正确;,故⑤不正确;,故⑥不正确.解析:1111x2. x11解析:因为一项工程,甲单独做需要天完成,乙单独做需要天完成,所以甲一天的工作量为,乙一天的工作量为11,所以甲、乙两人合做一天的工作量为,应选D.a b经检验,是分式方程的解.解析:如果求出的根使原方程的一个分母的值是,那么这个根就是方程的增根.解析:原方案生产个零件,假设每天多生产个,那么天共生产个零件,根据题意列分式方程,得30x1025,应选B.x 6解析:设总工程量为1,因为甲工程队单独去做,恰好能如期完成,所以甲的工作效率为;因为乙工程队单独去做,要超过规定日期3天,所以乙的工作效率为.由题意可知,112x21,整理,得2x1,所以21x,即23,所以A、xx3x3xx3x x3xx3B、C选项均正确,选项D不正确.11.解析:假设分式x3的值为零,那么所以.x3x5x37m2n m(a b)2212.解析:(1);(2);(3)a b.2228x835mn5n(b a)a b2113.a22a3b6ab22a3b c2a23解析:3223223.3bc cb c cb6ab3bc14.9解析:因为,所以m4n,73所以m n m2mmn nmn m2mnmnm2n2mnmnmnmnmnmnm2mnmnn2m2n2n2n29mnmn mnmn447.n27nn n n339-3解析:由得,所以当时,分式3无意义;x1解析:方程两边同时乘,得,化简得.由时,分式x 29的值为.x316.5解析:方程两边都乘 x5,得x2x5m .22.解:1 1 21 x 22x 1 xx2 x 22xx22 x 2 2xx 22x2x222∵原方程有增根,∴最简公分母x50 ,解得x5 .把x 5代入x2x5m ,得50 m ,解得m5.17.960960 解析:根据原方案完成任务的天数实际完成任务的天数,列方程x4x20即可,依题意可列方程为 960960 4.1 x2x423. 解:由,得21 1 .当 时,1 12x4x2 2 x2 32a b10,a 1,3b解得4 3a 0,1 b2.2xx2018.40 km/h 解析:设该冲锋舟在静水中的最大航速为 km/h ,那么 ,解得 .2a ab aaba 222b] bababab .[][ab abababbab ab121,1时,1当421.19.解:〔1〕原式2x?2y4.y 2?xy〔2〕原式a 1 a 2 a 2 a 2.a2a 1 a1a 1 a 22〔3〕原式2aa22a a2 =a 2a2a2a2a2a2a2a2a2〔4〕原式a 2a 1=a 2a1 a1=a 2a21= 1 .a 11a 1a 1a120.解:3a 2ab b 2 a3a b a .当, 时,原式a9a 26ab 3a b 23a b3ab21.解:因为 11 所以yx所以2x3xy 2y2x y 3xy 4xy 3xy xy 1.x2xy y (x y) 2xy 2xy 2xy 4xy41 .a28 8161 49.4924224b1 1 424 224.解:〔1〕方程两边都乘 ,得.解这个一元一次方程,得.检验:把 代入原方程,左边 右边.所以, 是原方程的根.〔2〕方程两边都乘,得整理,得.解这个一元一次方程,得.检验:把代入原方程,左边右边.所以,是原方程的根.解:设此人步行的速度是km/h ,依题意可列方程41014,解这个方程,得.xx 8 16 x8检验可知, 是这个方程的根 .答:此人步行的速度为 6km/h .。
第五章 分式与分式方程 达标测试卷 一、选择题:本大题共10小题,每小题3分,共30分.在每小题给出的四个选项中,只有一项是符合题目要求的. 1.下列代数式,是分式的是( ) A.3x 2π B.m +n m C.ab 25 D.52.【2022·天津】计算a +1a +2+1a +2的结果是( ) A .1 B .2a +2 C .a +2 D .a a +23.【2022·佛山禅城区期末】如果分式|m +4|m -4的值为0,那么m 的值为( ) A .不存在 B .±4 C .4 D .-44.运用分式的性质,下列计算正确的是( )A.-x +y 2=-x +y 2B.x -3x 2-9=1x -3C.x 2-2xy +y 2x -y =x -yD.xy x 2-xy =x x -y5.若将分式3m m +n 与4n 2(m -n )通分,则分式3m m +n的分子应变为( ) A .6m 2-6mn B .6m -6n C .2(m -n ) D .2(m -n )(m +n )6.若关于x 的分式方程3x +ax x +1=2-3x +1有增根x =-1,则2a -3的值为( ) A .2 B .3 C .4 D .67.【2022·德阳】关于x 的方程2x +a x -1=1的解是正数,则a 的取值范围是( ) A .a >-1 B .a >-1且a ≠0 C .a <-1 D .a <-1且a ≠-28.已知x 2-4x -3÷是一道分式化简题,其中一部分被墨水污染了,若只知道该题化简的结果为整式,则被墨水覆盖的部分不可能是( )A .x -3B .x -2C .x +3D .x +29.师徒两人做工艺品,已知徒弟每天比师傅少做6个,徒弟做48个所用的时间与师傅做72个所用的时间相同,则师傅每天做( )A .12个B .18个C .20个D .24个10.若关于x 的不等式组⎩⎪⎨⎪⎧x -3(x -2)>-2,a +x 2<x 有解,关于y 的分式方程ay -14-y +3y -4=-2有整数解,则符合条件的所有整数a 的和为( )A .0B .1C .2D .5二、填空题:本大题共5小题,每小题3分,共15分.11.分式m m 2-n 2和n 3m +3n的最简公分母为__________. 12.用换元法解分式方程x +1x -2x x +1=1时,如果设x x +1=y ,那么原方程可以化为关于y 的整式方程是________.13.【2022·成都】已知2a 2-7=2a ,则代数式⎝⎛⎭⎪⎫a -2a -1a ÷a -1a 2的值为________. 14.【2022·江西】甲、乙两人在社区进行核酸采样,甲每小时比乙每小时多采样10人,甲采样160人所用时间与乙采样140人所用时间相等,甲、乙两人每小时分别采样多少人?设甲每小时采样x 人,则可列分式方程为________________.15.对于两个非零的实数a ,b ,规定a *b =3b -2a ,若5*(3x -1)=2,则x 的值为________.三、解答题(一):本大题共3小题,每小题8分,共24分.16.计算:(1)x 2x -3÷34x 2-9·12x +3; (2)⎝ ⎛⎭⎪⎫a -1+2a +1÷(a 2+1).17.解分式方程:(1)1-x x -2=12-x -2; (2)4x 2-9-x 3-x=1.18.已知x (x -1)-(x 2-y )=-6,求x 2+y 22-xy 的值.四、解答题(二):本大题共3小题,每小题9分,共27分.19.先化简,再求值:⎝ ⎛⎭⎪⎫x +2x -2+4x 2-4x +4÷x x -2,其中-1<x ≤2且x 为整数.请你选一个合适的x 值代入求值.20.【原创题】北京首条全封闭马拉松路线是冬奥公园的一大亮点,这条“特色最鲜明、体验最丰富、服务最专业”的42公里滨河马拉松路线,充分融合“永定河”“西山”“首钢工业”“冬奥”元素,构建畅通无阻的慢行绿道,具备“智慧跑”“滨水跑”“公园跑”“堤上跑”等多功能特色。
8(下)第五章分式与分式方程 单元测试题 (含答案)一.选择题:(四个选项中只有一个是正确的,选出正确选项填在题目的括号内)1.下列各式:1(1)2x -,4x π,222x y -,2a b a+,25y x ;其中分式共有( ) A 、2个 B 、3个 C 、4个 D 、5个2.下列各式:2a x ,222a b a b ab -+-,22x y x y+-,22x y x y -+;其中属于最简分式的有( ) A 、1个 B 、2个 C 、3个 D 、4个3.要使分式2939x x --的值为0,则x 可取的数是( ) A 、9 B 、3± C 、-3 D 、34.如果分式2x x -有意义,则( ) A 、2x ≠- B 、2x ≠± C 、0x ≠ D 、x 可为任意实数5.下列运算结果是x -1的是( )A 、11x -B 、2211x x x +++C 、111x x x +÷- D 、211x x x x -⋅+ 6.化简212293m m +-+的结果是( ) A 、269m - B 、23m - C 、23m + D 、2269m m +- 7.化简1()a b b a a b a b-÷-⋅+-的结果是( ) A 、221a b -- B 、221a b - C 、b a a b -+ D 、a b a b-+ 8.解分式方程2132x x x -=++时,去分母后可得到( ) A 、(2)2(3)1x x x +-+= B 、(2)22x x x +-=+C 、(2)2(3)(2)(3)x x x x x +-+=++D 、2(3)3x x x -+=+9.分式方程1212x x =--的解是( ) A 、0x = B 、1x = C 、2x = D 、以上都不对10.分式方程311(1)(2)x x x x -=--+的解是( ) A 、1x = B 、1x =- C 、2x =- D 、无解11.如果解关于x 的方程2122m x x x-=--时出现增根,那么m=( C ) A 、-2 B 、2 C 、-4 D 、412.八年级的学生去距离学校10千米的博物馆参观,一部分学生骑自行车先走,20分钟后,其他学生乘公共汽车出发,结果他们同时到达;已知公共汽车的速度是自行车速度的2倍;设骑车学生的速度为x 千米/时,则所列方程正确的是( )A 、102020x x -=B 、1010202x x -=C 、101020260x x -=D 、101020260x x -= 二.填空题:(将正确答案填在题目的横线上)13.如果分式242x x -+的值为0,则x=_______; 14.分式1x x +,26x x +,219x x --的最简公分母是________________; 15.化简222211m m m m m m-+-+-的结果是_______________; 16.计算221112111a a a a a a a-+-÷⋅-+-+的结果是__________________; 17.当m=_______时,方程1233x m x x -=---产生增根; 三.解答题:(写出必要的说明过程,解答步骤)18.计算:(1)22421a a a --+; (2)21613962a a a a-----+;19.化简下列各式:(1)222111442x x x x x x --⋅---+-; (2)2321(2)22a a a a a -++-÷++;20.解方程:(1)1277x x x -=--; (2)2216124x x x ++=---;21.先化简,再求值:(1)211()122a a a a a a a a --÷-+++,其中,12a =-;(2)23()111x x x x x x -÷-+-;再从不等式组2(1)1,61031;x x x x --≥⎧⎨+>+⎩的解集中取一个合适的整数值代入求值;22.某服装店用4500元购进一批衬衫,很快售完;服装店老板又用2100元购进第二批该款式衬衫,进货量是第一次的一半,但进价每件比第一批降低了10 元;(1)两次各购进这种衬衫多少件?(2)若第一批衬衫的售价是200元/件,要想让这两批衬衫售完后的意利润不低于1950元,则第二批衬衫每件至少要售多少元?参考答案:1~12 ABCBD BACAD CC13.2;14.2(3)(3)x x x +-;15.1-m ;16.11a a-+; 17.2;18.(1)2(1)a a -;(2)23a a --+; 19.(1)2x x -;(2)11a a +-; 20.(1)15x =;(2)无解;21.(1)原式=21a -+,当12a =-时,原式= -4; (2)原式=24x +,不等式组的解集是:31x -<≤; 要使原式有意义,x 只能取-2;当x=-2时,原式=0;22.(1)第一批购进30件,第二批购进15件;(2)第二批衬衫每件至少要售70元;。