大学物理练习题运动学动力学答案
- 格式:docx
- 大小:115.70 KB
- 文档页数:7
动力学期末考试题及答案一、选择题(每题2分,共10分)1. 以下哪项是牛顿第一定律的内容?A. 物体不受力时,总保持静止状态或匀速直线运动状态B. 物体的加速度与作用力成正比,与质量成反比C. 物体的加速度与作用力成正比,与质量成正比D. 物体的加速度与作用力成反比,与质量成正比答案:A2. 根据牛顿第二定律,以下哪个公式是正确的?A. F = maB. F = mvC. F = m/aD. F = a/m答案:A3. 动量守恒定律适用于以下哪种情况?A. 只有重力作用的系统B. 只有摩擦力作用的系统C. 只有外力作用的系统D. 没有外力作用的系统答案:D4. 以下哪个选项是动能的正确表达式?A. E_k = 1/2 mv^2B. E_k = 1/2 mvC. E_k = mv^2D. E_k = m^2v答案:A5. 角动量守恒定律适用于以下哪种情况?A. 只有重力作用的系统B. 只有摩擦力作用的系统C. 只有外力作用的系统D. 没有外力矩作用的系统答案:D二、填空题(每题2分,共10分)1. 牛顿第三定律指出,作用力和反作用力大小________,方向________。
答案:相等,相反2. 根据动能定理,力在物体上所做的功等于物体动能的________。
答案:变化量3. 动量是矢量,其方向与物体运动的方向________。
答案:相同4. 角速度是描述物体绕轴旋转快慢的物理量,其单位是________。
答案:弧度每秒5. 根据能量守恒定律,一个系统的总能量在没有外力做功的情况下________。
答案:保持不变三、计算题(每题10分,共20分)1. 一辆质量为1000kg的汽车,以20m/s的速度行驶。
求汽车的动能。
答案:E_k = 1/2 * 1000kg * (20m/s)^2 = 2 * 10^5 J2. 一个质量为2kg的物体从静止开始,受到一个恒定的力F=10N作用,经过2秒后的速度是多少?答案:a = F/m = 10N / 2kg = 5m/s^2v = a * t = 5m/s^2 * 2s = 10m/s四、简答题(每题10分,共20分)1. 简述牛顿第一定律和牛顿第二定律的区别。
1-1.质点在Oxy 平面内运动,其运动方程为j t i t r )219(22-+=。
求:(1)质点的轨迹方程;(2)s .t 01=时的速度及切向和法向加速度。
1-2.一质点具有恒定加速度j i a 46+=,在0=t 时,其速度为零,位置矢量i r 100=。
求:(1)在任意时刻的速度和位置矢量;(2)质点在oxy 平面上的轨迹方程,并画出轨迹的示意图。
1-3. 一质点在半径为m .r 100=的圆周上运动,其角位置为342t +=θ。
(1)求在s .t 02=时质点的法向加速度和切向加速度。
(2)当切向加速度的大小恰等于总加速度大小的一半时,θ值为多少?(3)t 为多少时,法向加速度和切向加速度的值相等?题3解: (1)由于342t +=θ,则角速度212t dt d ==θω,在t = 2 s 时,法向加速度和切向加速度的数值分别为 222s 2t n s m 1030.2-=⋅⨯==ωr a22s t t s m 80.4d d -=⋅==t r a ω(2)当2t 2n t 212a a a a +==时,有2n 2t 3a a=,即 22212)24(3)r t (tr = s 29.0s 321==t此时刻的角位置为 rad.t 153423=+=θ (3)要使t n a a =,则有2212)24()t (r tr =s .t 550=3-1如图所示,在水平地面上,有一横截面2m 20.0=S 的直角弯管,管中有流速为1s m 0.3-⋅=v 的水通过,求弯管所受力的大小和方向。
解:在t ∆时间内,从管一端流入(或流出)水的质量为t vS m ∆=∆ρ,弯曲部分AB 的水的动量的增量则为()()A B A B v v t vS v v m p -∆=-∆=∆ρ依据动量定理p I ∆=,得到管壁对这部分水的平均冲力()A B v v I F -=∆=Sv t ρ从而可得水流对管壁作用力的大小为N 105.2232⨯-=-=-='Sv F F ρ作用力的方向则沿直角平分线指向弯管外侧。
动力学1A 一、选择题 1. 连串反应 Ak 1Bk 2C 其中 k 1= 0.1 min -1, k 2= 0.2 min -1,假定反应开始时只有 A ,且浓度为 1 mol ·dm -3 ,则 B 浓度达最大的时间为: ( )(A) 0.3 min (B) 5.0 min (C) 6.93 min (D) ∞ 2. 平行反应 Ak 1B (1); Ak 2D (2),其反应 (1) 和(2) 的指前因子相同而活化能不同,E 1为 120 kJ ·mol -1,E 2为 80 kJ ·mol -1,则当在 1000K 进行时,两个反应速率常数的比是: ( )(A) k 1/k 2= 8.138×10-3 (B) k 1/k 2= 1.228×102(C) k 1/k 2= 1.55×10-5 (D) k 1/k 2= 6.47×104 3. 如果臭氧 (O 3) 分解反应 2O 3→ 3O 2的反应机理是: O 3→ O + O 2 (1) O + O 3→ 2O 2 (2) 请你指出这个反应对 O 3而言可能是: ( )(A) 0 级反应 (B) 1 级反应 (C) 2 级反应 (D) 1.5 级反应4. 化学反应速率常数的 Arrhenius 关系式能成立的范围是: ( ) (A) 对任何反应在任何温度范围内 (B) 对某些反应在任何温度范围内 (C) 对任何反应在一定温度范围内 (D) 对某些反应在一定温度范围内5. 如果反应 2A + B = 2D 的速率可表示为:r = -12d c A /d t = - d c B /d t = 12d c D /d t则其反应分子数为: ( )(A) 单分子 (B) 双分子 (C) 三分子 (D) 不能确定3 (A) kp H 23 p N 2 (B) kp H 22p N 2(C) kpH2pN2(D) kpH2pN227. 在反应 A k1Bk2C,Ak3D 中,活化能E1> E2> E3,C 是所需要的产物,从动力学角度考虑,为了提高 C 的产量,选择反应温度时,应选择: ( )(A) 较高反应温度 (B) 较低反应温度(C) 适中反应温度 (D) 任意反应温度8. [X]0 [Y][Z] 增加 0.0050 mol·dm-3所需的时间/ s0.10 mol·dm-3 0.10 mol·dm-3 720.20 mol·dm-3 0.10 mol·dm-3 180.20 mol·dm-3 0.05 mol·dm-3 36对于反应 X + 2Y → 3Z,[Z] 增加的初始速率为: ( )(A) 对 X 和 Y 均为一级 (B) 对 X 一级,对 Y 零级(C) 对 X 二级,对 Y 为一级 (D) 对 X 四级,对 Y 为二级9. 一级反应,反应物反应掉 1/n所需要的时间是: ( )(A) -0.6932/k (B) (2.303/k) lg[n/(n-1)](C) (2.303/k) lg n (D) (2.303/k) lg(1/n)10. 关于反应速率理论中概率因子P的有关描述,不正确的是: ( )(A) P与∆≠S m有关(B) P体现空间位置对反应速率的影响(C) P与反应物分子间相对碰撞能有关(D) P值大多数<1,但也有>1的二、填空题12. 60Co广泛用于癌症治疗, 其半衰期为5.26 a (年), 则其蜕变速率常数为:_________________, 某医院购得该同位素20 mg, 10 a后剩余 ______________mg。
r r r r r r rr、⎰ dt⎰0 dx = ⎰ v e⎰v v1122v v d tv v d tvg 2 g h d tdt [v 2 + ( g t ) 2 ] 12 (v 2 + 2 g h ) 12第一章质点运动学1、(习题 1.1):一质点在 xOy 平面内运动,运动函数为 x = 2 t, y = 4 t 2 - 8 。
(1)求质点 的轨道方程;(2)求 t = 1 s 和 t = 2 s 时质点的位置、速度和加速度。
解:(1)由 x=2t 得,y=4t 2-8可得: r y=x 2-8r 即轨道曲线(2)质点的位置 : r = 2ti + (4t 2 - 8) jr r rr r 由 v = d r / d t 则速度: v = 2i + 8tjr r rr 由 a = d v / d t 则加速度: a = 8 jrr r r r r r r 则当 t=1s 时,有 r = 2i - 4 j , v = 2i + 8 j , a = 8 j r当 t=2s 时,有r = 4i + 8 j , v = 2i +16 j , a = 8 j 2 (习题 1.2): 质点沿 x 在轴正向运动,加速度 a = -kv , k 为常数.设从原点出发时速度为 v ,求运动方程 x = x(t ) .解:dv = -kvdt v1 v 0 vd v = ⎰ t - k dt 0v = v e - k tdx x= v e -k t0 t0 -k t d t x = v0 (1 - e -k t )k3、一质点沿 x 轴运动,其加速度为 a = 4 t (SI),已知 t = 0 时,质点位于 x 0=10 m 处,初速 度 v 0 = 0.试求其位置和时间的关系式.解:a = d v /d t = 4 td v = 4 t d tv 0d v = ⎰t 4t d t v = 2 t 2v = d x /d t = 2 t 2⎰x d x = ⎰t 2t 2 d t x = 2 t 3 /3+10 (SI)x4、一质量为 m 的小球在高度 h 处以初速度 v 水平抛出,求:(1)小球的运动方程;(2)小球在落地之前的轨迹方程; d r d v d v (3)落地前瞬时小球的 ,,.d td td t解:(1)x = v t式(1)v v v y = h - gt 2 式(2)r (t ) = v t i + (h - gt 2 ) j0 (2)联立式(1)、式(2)得y = h -vd r(3) = v i - gt j而落地所用时间t =0 gx 22v 22hgvd r所以 = v i - 2gh jvd vdv g 2t= - g j v = v 2 + v 2 = v 2 + (-gt) 2= =x y 0 0vv v d rv d v 2) v = [(2t )2+ 4] 2 = 2(t 2+ 1)2t t 2 + 1, V a = a - a = m + M m + Mvg gvv v 5、 已知质点位矢随时间变化的函数形式为 r = t 2i + 2tj ,式中 r 的单位为 m , 的单位为 s .求:(1)任一时刻的速度和加速度;(2)任一时刻的切向加速度和法向加速度。
练习题1:质点运动学和动力学一、判断题(每题2分,共20分)1.物体做匀速圆周运动,由于速率大小不变,所以加速度为零。
(×)2.质点的位置矢量方向不变,质点一定作直线运动。
(√)3. 物体匀速率运动,加速度必定为零。
( × )4. 对于一个运动的质点,具有恒定速率,但可能有变化的速度。
( √ )5. 物体作曲线运动时,一定有加速度,加速度的法向分量一定不等于零。
( √ )6.质点运动经一闭合路径,保守力对质点作的功为零。
(√)7.一个系统如果只受到保守内力的作用,此系统机械能守恒。
(√)8.质量为 M 的木块静止在光滑水平面上,一质量为 m的子弹水平地射入木块后又穿出木块,则在子弹射穿木块的过程中,子弹和木块组成的系统动量守恒。
(√)9. 子弹分别打在固定的软和硬的两块木块内,则木块受到的冲量相同,但硬木块的平均作用力大。
(√)10. 一对内力作功之和必为零。
(×)二、选择题(每题2分,共20分)1.当物体的加速度不为零时,则:( B )(A)对该物体必须做功;(B)对该物体必须施力,且合力不会为零;(C)它的速率必然增大;(D)它的动能必然增大。
2. 质点在O−xy平面内运动,其运动方程为r⃗=2ti⃗+(4−t2)j⃗ (SI),则当t=2S时,质点的速度是 ( A )(A) (2i ⃗−4j ⃗)m s ⁄ (B) (−2i ⃗)m s ⁄ (C) (−4j ⃗)m s ⁄ (D) (2i ⃗+4j ⃗)m s ⁄3、下列几种运动形式,哪一种运动是加速度矢量a ⃗⃗保持不变的运动?( C )。
A 、单摆运动;B 、匀速度圆周运动;C 、抛体运动;D 、以上三种运动都是a ⃗⃗保持不变的运动。
4. 一个质点在做圆周运动时,则有( B )(A) 切向加速度一定改变,法向加速度也改变;(B) 切向加速度可能不变,法向加速度一定改变;(C) 切向加速度可能不变,法向加速度不变;(D) 切向加速度一定改变,法向加速度不变。
大学物理---力学部分练习题及答案解析一、选择题1、某质点作直线运动的运动学方程为x =3t -5t 3+ 6 (SI),则该质点作(A) 匀加速直线运动,加速度沿x 轴正方向.(B) 匀加速直线运动,加速度沿x 轴负方向.(C) 变加速直线运动,加速度沿x 轴正方向.(D) 变加速直线运动,加速度沿x 轴负方向. [ D ]2、一质点沿x 轴作直线运动,其v t 曲线如图所示,如t =0时,质点位于坐标原点,则t = 4.5 s 时,质点在x 轴上的位置为(A) 5m . (B) 2m .(C) 0. (D)2 m . (E) 5 m.[ B ]3、 一质点在平面上运动,已知质点位置矢量的表示式为 j bt i at r 22+=(其中a 、b 为常量), 则该质点作(A) 匀速直线运动. (B) 变速直线运动.(C) 抛物线运动. (D)一般曲线运动. [ B ]4、一质点在x 轴上运动,其坐标与时间的变化关系为x =4t-2t 2,式中x 、t 分别以m 、s为单位,则4秒末质点的速度和加速度为 ( B )(A )12m/s 、4m/s 2; (B )-12 m/s 、-4 m/s 2 ;(C )20 m/s 、4 m/s 2 ; (D )-20 m/s 、-4 m/s 2;5. 下列哪一种说法是正确的 ( C )(A )运动物体加速度越大,速度越快(B )作直线运动的物体,加速度越来越小,速度也越来越小(C )切向加速度为正值时,质点运动加快(D )法向加速度越大,质点运动的法向速度变化越快6、一运动质点在某瞬时位于矢径()y x r , 的端点处, 其速度大小为(A) t r d d (B) tr d d(C) t r d d (D) 22d d d d ⎪⎭⎫ ⎝⎛+⎪⎭⎫ ⎝⎛t y t x [ D ] 1 4.5432.52-112t v (m/s)7.用水平压力F 把一个物体压着靠在粗糙的竖直墙面上保持静止.当F逐渐增大时,物体所受的静摩擦力f ( B )(A) 恒为零.(B) 不为零,但保持不变.(C) 随F 成正比地增大.(D) 开始随F 增大,达到某一最大值后,就保持不变11、某物体的运动规律为t k t 2d /d v v -=,式中的k 为大于零的常量.当0=t 时,初速为v 0,则速度v 与时间t 的函数关系是 (A) 0221v v +=kt , (B) 0221v v +-=kt , (C) 02121v v +=kt , (D) 02121v v +-=kt [ C ] 12、质量为20 g 的子弹沿X 轴正向以 500 m/s 的速率射入一木块后,与木块一起仍沿X 轴正向以50 m/s 的速率前进,在此过程中木块所受冲量的大小为(A) 9 N·s . (B) -9 N·s .(C)10 N·s . (D) -10 N·s . [ A ]13、在水平冰面上以一定速度向东行驶的炮车,向东南(斜向上)方向发射一炮弹,对于炮车和炮弹这一系统,在此过程中(忽略冰面摩擦力及空气阻力)(A) 总动量守恒.(B) 总动量在炮身前进的方向上的分量守恒,其它方向动量不守恒.(C) 总动量在水平面上任意方向的分量守恒,竖直方向分量不守恒.(D) 总动量在任何方向的分量均不守恒. [ C ]14、质量为m 的小球,沿水平方向以速率v 与固定的竖直壁作弹性碰撞,设指向壁内的方向为正方向,则由于此碰撞,小球的动量增量为(A) mv . (B) 0.(C) 2mv . (D) –2mv . [ D ]15、对于一个物体系来说,在下列的哪种情况下系统的机械能守恒?(A) 合外力为0.(B) 合外力不作功.(C) 外力和非保守内力都不作功.(D) 外力和保守内力都不作功. [ C ]16、下列叙述中正确的是(A)物体的动量不变,动能也不变.(B)物体的动能不变,动量也不变.(C)物体的动量变化,动能也一定变化.(D)物体的动能变化,动量却不一定变化.[ A ]17.考虑下列四个实例.你认为哪一个实例中物体和地球构成的系统的机械能不守恒?(A)物体作圆锥摆运动.(B)抛出的铁饼作斜抛运动(不计空气阻力).(C)物体在拉力作用下沿光滑斜面匀速上升.(D)物体在光滑斜面上自由滑下.[ C ]18.一子弹以水平速度v0射入一静止于光滑水平面上的木块后,随木块一起运动.对于这一过程正确的分析是(A) 子弹、木块组成的系统机械能守恒.(B) 子弹、木块组成的系统水平方向的动量守恒.(C) 子弹所受的冲量等于木块所受的冲量.(D) 子弹动能的减少等于木块动能的增加.[ B ]19、一光滑的圆弧形槽M置于光滑水平面上,一滑块m自槽的顶部由静止释放后沿槽滑下,不计空气阻力.对于这一过程,以下哪种分析是对的?(A) 由m和M组成的系统动量守恒.(B) 由m和M组成的系统机械能守恒.(C) 由m、M和地球组成的系统机械能守恒.(D) M对m的正压力恒不作功.[ C ]20.关于刚体对轴的转动惯量,下列说法中正确的是(A)只取决于刚体的质量,与质量的空间分布和轴的位置无关.(B)取决于刚体的质量和质量的空间分布,与轴的位置无关.(C)取决于刚体的质量、质量的空间分布和轴的位置.(D)只取决于转轴的位置,与刚体的质量和质量的空间分布无关.[ C ]21.刚体角动量守恒的充分而必要的条件是(A) 刚体不受外力矩的作用.(B) 刚体所受合外力矩为零.(C) 刚体所受的合外力和合外力矩均为零.(D) 刚体的转动惯量和角速度均保持不变. [ B ]22. 对一个作简谐振动的物体,下面哪种说法是正确的?(A) 物体处在运动正方向的端点时,速度和加速度都达到最大值;(B) 物体位于平衡位置且向负方向运动时,速度和加速度都为零;(C) 物体位于平衡位置且向正方向运动时,速度最大,加速度为零;(D) 物体处在负方向的端点时,速度最大,加速度为零。
动力学课后习题答案动力学课后习题答案动力学是物理学中的一个重要分支,研究物体的运动以及运动的原因和规律。
在学习动力学的过程中,课后习题是巩固知识、检验理解的重要方式。
下面将为大家提供一些动力学课后习题的答案,希望能够帮助大家更好地理解和掌握动力学知识。
1. 一个物体以5m/s的速度匀速运动了10秒,求物体的位移是多少?答:位移等于速度乘以时间,即位移=速度×时间=5m/s×10s=50m。
2. 一个物体以2m/s²的加速度匀加速运动了8秒,求物体的位移是多少?答:位移等于初速度乘以时间再加上加速度乘以时间的平方的一半,即位移=初速度×时间+0.5×加速度×时间²=0×8s+0.5×2m/s²×(8s)²=64m。
3. 一个物体以10m/s的速度向上抛出,经过2秒后落地,求物体的最大高度是多少?答:物体的最大高度等于初速度的平方除以2倍的重力加速度,即最大高度=(初速度²)/(2×重力加速度)=(10m/s)²/(2×9.8m/s²)≈5.1m。
4. 一个物体以20m/s的速度水平抛出,求物体在2秒后的水平位移是多少?答:物体在水平方向的速度是恒定的,所以水平位移等于速度乘以时间,即水平位移=速度×时间=20m/s×2s=40m。
5. 一个物体以10m/s的速度水平抛出,求物体在2秒后的竖直位移是多少?答:物体在竖直方向上受到重力的作用,所以竖直位移等于初速度乘以时间再加上0.5倍的重力加速度乘以时间的平方,即竖直位移=初速度×时间+0.5×重力加速度×时间²=10m/s×2s+0.5×9.8m/s²×(2s)²=19.6m。
.《动力学I 》第一章 运动学部分习题参考解答1-3 解:运动方程:θtan l y =,其中kt =θ。
将运动方程对时间求导并将030=θ代入得34cos cos 22lklk l y v ====θθθ&& 938cos sin 2232lk lk y a =-==θθ&&1-6证明:质点做曲线运动,所以n t a a a +=, 设质点的速度为v ,由图可知:a a v v yn cos ==θ,所以: yv va a n =将c v y =,ρ2n va =代入上式可得 ρc v a 3=证毕1-7证明:因为n2a v=ρ,va a v a ⨯==θsin n所以:va ⨯=3v ρ证毕1-10解:设初始时,绳索AB 的长度为L ,时刻t 时的长度 为s ,则有关系式:t v L s 0-=,并且 222x l s +=将上面两式对时间求导得:0v s -=&,xx s s &&22= 由此解得:xsv x-=& (a ) (a)式可写成:s v x x 0-=&,将该式对时间求导得: 2002v v s x x x =-=+&&&& (b)将(a)式代入(b)式可得:3220220xlv x x v x a x -=-==&&&(负号说明滑块A 的加速度向上)1-11解:设B 点是绳子AB 与圆盘的切点,由于绳子相对圆盘无滑动,所以R v B ω=,由于绳子始终处于拉直状态,因此绳子上A 、B 两点的速度在 A 、B 两点连线上的投影相等,即: θcos A B v v = (a ) 因为xR x 22cos -=θ (b ) 将上式代入(a )式得到A 点速度的大小为: 22Rx x Rv A -=ω (c )由于x v A &-=,(c )式可写成:Rx R x xω=--22&,将该式两边平方可得: 222222)(x R R x x ω=-&将上式两边对时间求导可得:x x R x x R x x x &&&&&2232222)(2ω=--将上式消去x &2后,可求得:22242)(R x xR x --=ω&&由上式可知滑块A 的加速度方向向左,其大小为 22242)(R x xR a A -=ω1-13解:动点:套筒A ;动系:OA 杆; 定系:机座; 运动分析:o vAxω OθAvAx ωO BvB Ra ve vr vxyoanavy vθ θxyo anatθ.绝对运动:直线运动; 相对运动:直线运动; 牵连运动:定轴转动。
题3.1:质量为m 的物体,由水平面上点O 以初速为0v 抛出,0v 与水平面成仰角α。
若不计空气阻力,求:(1)物体从发射点O 到最高点的过程中,重力的冲量;(2)物体从发射点到落回至同一水平面的过程中,重力的冲量。
题3.1分析:重力是恒力,因此,求其在一段时间内的冲量时,只需求出时间间隔即可。
由抛体运动规律可知,物体到达最高点的时间g v t αsin 01=∆,物体从出发到落回至同一水平面所需的时间是到达最高点时间的两倍。
这样,按冲量的定义即可求出结果。
另一种解的方法是根据过程的始、末动量,由动量定理求出。
解1:物体从出发到达最高点所需的时间为g v t αsin 01=∆ 则物体落回地面的时间为gv t t αsin 22012=∆=∆ 于是,在相应的过程中重力的冲量分别为 j j F I αsin d 0111mv t mg t t -=∆-==⎰∆j j F I αsin 2d 0222mv t mg t t -=∆-==⎰∆解2:根据动量定理,物体由发射点O 运动到A 、B 的过程中,重力的冲量分别为j j j I αsin 00y Ay 1mv mv mv -=-= j j j I αsin 200y By 2mv mv mv -=-=题3.2:高空作业时系安全带是必要的,假如质量为51.0kg 的人不慎从高空掉下来,由于安全带的保护,使他最终被悬挂起来。
已知此时人离原处的距离为2米,安全带的缓冲作用时间为0.50秒。
求安全带对人的平均冲力。
题3.2解1:以人为研究对象,在自由落体运动过程中,人跌落至2 m 处时的速度为ghv 21= (1)在缓冲过程中,人受重力和安全带冲力的作用,根据动量定理,有()12mv mv t -=∆+P F (2)由(1)式、(2)式可得安全带对人的平均冲力大小为 ()N 1014.123⨯=∆+=∆∆+=tgh m mg t mv mg F解2:从整个过程来讨论,根据动量定理有N 1014.1/23⨯=+∆=mg g h tmgF 题 3.3:如图所示,在水平地面上,有一横截面2m 20.0=S 的直角弯管,管中有流速为1s m 0.3-⋅=v 的水通过,求弯管所受力的大小和方向。
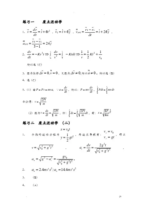
1、26t i dt r d v+==,j i v 61+= ,j i tr r v 261331+=-=-∆ , j v v a 24131331=--=-2、0202212110v Kt v Ktdt v dv t Kv dt dv t v v +=⇒-⎰=⎰⇒-= 所以选(C ) 3、因为位移00==v r ∆,又因为,v 0≠∆0≠a 。
所以选(B )4、选(C )5、(1)由,mva Fv P ==dt dv a = ,所以:dt dv mv P =,⎰⎰=vtmvdv Pdt 0积分得:mPtv 2=(2)因为m Pt dtdx v 2==,即:dt m Ptdx tx ⎰⎰=002,有:2398t mP x = 练习二 质点运动学 (二)1、平抛的运动方程为2021gt y tv x ==,两边求导数有:gtv v v y x ==0,那么2220t g v v +=,222022t g v tg dt dv a t +==,=-=22t n a g a 2220tg v gv +。
2、 2241442s /m .a ;s /m .a n n ==3、 (B )4、(A )1、0232332223x kt x ;tk )t (a ;)k s (t +=== 2、0321`=++v v v 3、(B ) 4、(C )练习四 质点动力学(一)1、m x ;i v 912==2、(A )3、(C )4、(A )练习五 质点动力学(二)1、m'm muv )m 'm (v V +-+-=002、(A )3、(B )4、(C )5、(1)Ns v v m I v s m v t t v 16)(,3,/19,38304042=-===+-= (2)J mv mv A 17621212024=-=练习六、质点动力学(三)1、J 9002、)R R R R (m Gm A E 2121-=3、(B )4、(D )5、)(21222B A m -ω练习七 质点动力学(四)1、)m m (l Gm v 212212+=2、动量、动能、功3、(B )4、(B )练习八 刚体绕定轴的转动(一)1、πωω806000.,.解:(1)摩擦力矩为恒力矩,轮子作匀变速转动 因为00120180ωωωββωω..t -=-=⇒+=;同理有00260ωβωω.t =+=。
动力学1A 一、选择题 1. 连串反应 Ak 1Bk 2C 其中 k 1= 0.1 min -1, k 2= 0.2 min -1,假定反应开始时只有 A ,且浓度为 1 mol ·dm -3 ,则 B 浓度达最大的时间为: ( )(A) 0.3 min (B) 5.0 min (C) 6.93 min (D) ∞ 2. 平行反应 Ak 1B (1); Ak 2D (2),其反应 (1) 和(2) 的指前因子相同而活化能不同,E 1为 120 kJ ·mol -1,E 2为 80 kJ ·mol -1,则当在 1000K 进行时,两个反应速率常数的比是: ( )(A) k 1/k 2= 8.138×10-3 (B) k 1/k 2= 1.228×102(C) k 1/k 2= 1.55×10-5 (D) k 1/k 2= 6.47×104 3. 如果臭氧 (O 3) 分解反应 2O 3→ 3O 2的反应机理是: O 3→ O + O 2 (1) O + O 3→ 2O 2 (2) 请你指出这个反应对 O 3而言可能是: ( )(A) 0 级反应 (B) 1 级反应 (C) 2 级反应 (D) 1.5 级反应4. 化学反应速率常数的 Arrhenius 关系式能成立的范围是: ( ) (A) 对任何反应在任何温度范围内 (B) 对某些反应在任何温度范围内 (C) 对任何反应在一定温度范围内 (D) 对某些反应在一定温度范围内5. 如果反应 2A + B = 2D 的速率可表示为:r = -12d c A /d t = - d c B /d t = 12d c D /d t则其反应分子数为: ( )(A) 单分子 (B) 双分子 (C) 三分子 (D) 不能确定3 (A) kp H 23 p N 2 (B) kp H 22p N 2(C) kpH2pN2(D) kpH2pN227. 在反应 A k1Bk2C,Ak3D 中,活化能E1> E2> E3,C 是所需要的产物,从动力学角度考虑,为了提高 C 的产量,选择反应温度时,应选择: ( )(A) 较高反应温度 (B) 较低反应温度(C) 适中反应温度 (D) 任意反应温度8. [X]0 [Y][Z] 增加 0.0050 mol·dm-3所需的时间/ s0.10 mol·dm-3 0.10 mol·dm-3 720.20 mol·dm-3 0.10 mol·dm-3 180.20 mol·dm-3 0.05 mol·dm-3 36对于反应 X + 2Y → 3Z,[Z] 增加的初始速率为: ( )(A) 对 X 和 Y 均为一级 (B) 对 X 一级,对 Y 零级(C) 对 X 二级,对 Y 为一级 (D) 对 X 四级,对 Y 为二级9. 一级反应,反应物反应掉 1/n所需要的时间是: ( )(A) -0.6932/k (B) (2.303/k) lg[n/(n-1)](C) (2.303/k) lg n (D) (2.303/k) lg(1/n)10. 关于反应速率理论中概率因子P的有关描述,不正确的是: ( )(A) P与∆≠S m有关(B) P体现空间位置对反应速率的影响(C) P与反应物分子间相对碰撞能有关(D) P值大多数<1,但也有>1的二、填空题12. 60Co广泛用于癌症治疗, 其半衰期为5.26 a (年), 则其蜕变速率常数为:_________________, 某医院购得该同位素20 mg, 10 a后剩余 ______________mg。
大学物理第四章习题及答案大学物理第四章习题及答案第四章是大学物理课程中的重要章节,主要涉及力学和运动学的内容。
在这一章中,学生将学习到关于运动的基本概念和原理,以及如何应用这些知识解决实际问题。
为了帮助学生更好地理解和掌握这一章节的知识,以下是一些常见的习题及其答案。
习题一:一个物体以10 m/s的速度从10 m高的斜面上滑下,滑到底部时的速度是多少?解答:根据能量守恒定律,物体在滑下过程中,其机械能守恒。
由于没有外力做功,物体的机械能在滑下过程中保持不变。
因此,物体在滑到底部时的机械能等于初始机械能。
初始机械能 = 动能 + 重力势能= 1/2 mv^2 + mgh根据题目给出的条件,可得:1/2 mv^2 + mgh = 1/2 m(10)^2 + m(10)(10)= 50m + 100m= 150m因此,滑到底部时的速度为10 m/s。
习题二:一个物体以10 m/s的速度从斜面上滑下,滑到底部时的时间是多少?解答:根据运动学中的运动方程,可以求解物体滑下斜面所用的时间。
在这个问题中,物体的初速度为0,加速度为重力加速度g,位移为斜面的长度L。
根据运动方程:S = ut + 1/2 at^2L = 0 + 1/2 gt^22L = gt^2t^2 = 2L/gt = sqrt(2L/g)根据题目给出的条件,斜面的长度L为10 m,重力加速度g为10 m/s^2,代入上述公式可得:t = sqrt(2(10)/10)= sqrt(2)≈ 1.414 s因此,滑到底部时的时间约为1.414秒。
习题三:一个物体以10 m/s的速度从斜面上滑下,滑到底部时的加速度是多少?解答:根据牛顿第二定律,物体在斜面上滑动时受到的合力等于物体的质量乘以加速度。
在这个问题中,物体的质量为m,斜面的倾角为θ,重力加速度为g。
合力 = m * 加速度m * g * sinθ = m * 加速度加速度= g * sinθ根据题目给出的条件,斜面的倾角θ为30度,重力加速度g为10 m/s^2,代入上述公式可得:加速度= 10 * sin(30°)≈ 5 m/s^2因此,滑到底部时的加速度约为5 m/s^2。
质点运动学和动力学习题解答一、选择题1、 D ,位移()m x x x s t s t 313-=-=∆==;()⎰⎰=+-=-==32205,42m vdt vdt s t xv 。
2、 B ,3、 B ,4 、C ,020==∆∆=t t rv;tR t R t s v ππ224==∆=。
5、 B ,A B a a 2=,B A T T 2=,对A 、B 两物体应用牛顿运动定律:A A ma T =,B B ma T mg =-,联立上述各式可得g a B54=。
6、 D ,绳中张力为零时,物体仅受重力和支持力的作用。
由于物体的加速度方向水平向右,可知支持力的竖直分量刚好与重力抵消,水平分量使得物体有了水平方向的加速度,因此可得物体的加速度为θgtg 。
7、 D , 8、 A ,设绳中张力为T ,则弹簧秤的读数为T 2,因为A 、B 两物体的加速度大小相等,方向相反,可设加速度大小为a ,对A 、B 两物体应用牛顿运动定律:a m T g m 11=-,a m g m T 22=-,可得g m m m m T 21212+=。
二、填空题1.tS ∆ ;0 ;tV ∆-2 。
2.大小;方向;n a a an+=ττ 。
3.3002310Ct V V dt Ct dV adt dV dt dV at V V +=⇒=⇒=⇒=⎰⎰;400030121310Ct t V x x dt Ct V dx Vdt dx dt dx V t x x ++=⇒⎪⎭⎫⎝⎛+=⇒=⇒=⎰⎰。
4.t R a 4.2==θτ ,()28.42-⋅==s m s t a τ;4224.14t R R a n ===θω ,由a a 21=τ可得τa a n 3=,633=t ,rad t 15.33322423=+=+=θ。
5.30023ct dt ct Vdt ds Vdt ds dt ds V s t ===⇒=⇒=⎰⎰⎰;ct dtdV a 6==τ;R t c R V a n 4229==。
练习一 力学(质点和刚体、运动学和动力学)一、选择题:1.某质点的运动方程为6533+-=t t x (SI),则该质点作(A)匀加速直线运动,加速度沿X 轴正方向. (B)匀加速直线运动,加速度沿X 轴负方向. (C)变加速直线运动,加速度沿X 轴正方向.(D)变加速直线运动,加速度沿X 轴负方向. 2.某物体的运动规律为t kv t v 2d d -=,式中的k 为大于零的常数.当0=t 时,初速为0v ,则速度v 与时间t 的函数关系是(A)0221v kt v +=(B)0221v kt v +-= (C)021211v kt v += (D)021211v kt v +-=.3.如图所示,质量为m 的物体用细绳水平拉住,静止在倾角为θ的固定的光滑斜面上,则斜面给物体的支持力为 (A)θcos mg . (B)θsin mg . (C)θcos mg . (D) θsin mg. 4.如图,物体A 、B 质量相同,B 在光滑水平桌面上,滑轮与绳的质量以及空气阻力均不计,滑轮与其轴之间的摩擦也不计.系统无初速地释放,则物体A 下落的加速度是(A)g . (B)2/g . (C)3/g . (D)5/4g . 5.对于一个物体系来说,在下列条件中,那种情况下系统的机械能守恒?(A)合外力为0. (B)合外力不作功.(C)外力和非保守内力都不作功. (D)外力和保守内力都不作功.6.质量为m 的一艘宇宙飞船关闭发动机返回地球时,可认为该飞船只在地球的引力场中运动.已知地球质量为M ,万有引力恒量为G .则当它从距地球中心1R 处下降到2R 处时,飞船增加的动能应等于 (A)2R GMm (B)22R GMm(C)2121R R R R GMm - (D)2121R R R GMm - (E)222121R R R R GMm - 7.如图所示,有一个小块物体,置于一个光滑的水平桌面上,有一绳其一端连结此物体,另一端穿过桌面中心的小孔,该物体原以角速度ω在距孔为R 的圆周上转动,今将绳从小孔缓慢往下拉.则物体(A)动能不变,动量改变. (B)动量不变,动能改变. (C)角动量不变,动量不变.(D)角动量改变,动量改变. (E)角动量不变,动能、动量都改变.8.光滑的水平桌面上有长为l 2、质量为m 的匀质细杆,可绕过其中点O 且垂直于桌面的竖直固定轴自由转动。
质点运动学及动力学练习题一 判断题1.质点作圆周运动,其加速度一定与速度垂直。
( ) 2.物体作直线运动,法向加速度必为零。
( )3.物体作曲线运动,法向加速度必不为零,且轨道最弯处,法向加速度最大。
( ) 4.某时刻质点速度为零,切向加速度必为零。
( ) 5.在单摆和抛体运动中,加速度保持不变。
( )6.某人器自行车以速率V 向正东方向行驶,遇到由北向南刮来的风,(设风速也为V ),则他感到风是从东北方向吹来的。
( )7.质点沿x 方向作直线运动,其 v - t 图象为一抛物线,如图所示。
判断下列说法的正误:(1)21t t时加速度为零。
( )(2)在0 ~ t 2 秒内的位移可用图中v – t 曲线与t 轴所围面积表示,t 轴上、下部分的面积均取正值。
( )(3)在0 ~ t 2 秒内的路程可用图中v – t 曲线与t 轴所围面积表示,t 轴上、下部分的面积均取正值。
( )8.某质点的运动方程为 x =3t -5t 3+6 (SI) ,则该质点作变加速直线运动,加速度沿X 负方向。
( )9.物体的运动方向和合外力方向一定相同。
( ) 10.物体受到几个力的作用,一定产生加速度。
( ) 11.物体运动的速度很大,所受到的合外力也很大。
( ) 12.物体运动的速率不变,所受到的合外力为零。
( )13.小力作用在一个静止的物体上,只能使它产生小的速度。
( )14.小球从距地面高为h 处以初速度v 0水平抛出,与地面碰撞后又反弹回同样的高度,速度仍为水平方向,大小为v 0 在这一过程中小球的动量受恒。
( ) 15.物体m 被放在斜面M 上,如把m 和M 看成一个系统,判断在下列何种情形下,系统的水平方向分动量是守恒的?(1)m 与M 间无摩擦,而M 与地面间有摩擦。
( )vtt 2t 1t 1/2(2)m 与M 间无摩擦,而M 与地面间无摩擦。
( ) (3)两处都没有摩擦。
练习题1:质点运动学和动力学
一、判断题(每题2分,共20分)
1.物体做匀速圆周运动,由于速率大小不变,所以加速度为零。
(×)
2.质点的位置矢量方向不变,质点一定作直线运动。
(√)
3. 物体匀速率运动,加速度必定为零。
( × )
4. 对于一个运动的质点,具有恒定速率,但可能有变化的速度。
( √ )
5. 物体作曲线运动时,一定有加速度,加速度的法向分量一定不等于零。
( √ )
6.质点运动经一闭合路径,保守力对质点作的功为零。
(√)
7.一个系统如果只受到保守内力的作用,此系统机械能守恒。
(√)
8.质量为 M 的木块静止在光滑水平面上,一质量为 m的子弹水平地射入木块后又穿出木块,则在子弹射穿木块的过程中,子弹和木块组成的系统动量守恒。
(√)
9. 子弹分别打在固定的软和硬的两块木块内,则木块受到的冲量相同,但硬木块的平均作用力大。
(√)
10. 一对内力作功之和必为零。
(×)
二、选择题(每题2分,共20分)
1.当物体的加速度不为零时,则:( B )
(A)对该物体必须做功;(B)对该物体必须施力,且合力不会为零;
(C)它的速率必然增大;(D)它的动能必然增大。
2. 质点在O−xy平面内运动,其运动方程为r⃗=2ti⃗+(4−t2)j⃗ (SI),则当t=2S时,质点的速度是 ( A )
(A) (2i ⃗−4j ⃗)m s ⁄ (B) (−2i ⃗)m s ⁄ (C) (−4j ⃗)m s ⁄ (D) (2i ⃗+4j ⃗)m s ⁄
3、下列几种运动形式,哪一种运动是加速度矢量a ⃗⃗保持不变的运动?( C )。
A 、单摆运动;
B 、匀速度圆周运动;
C 、抛体运动;
D 、以上三种运动都是a ⃗⃗保持不变的运动。
4. 一个质点在做圆周运动时,则有( B )
(A) 切向加速度一定改变,法向加速度也改变;
(B) 切向加速度可能不变,法向加速度一定改变;
(C) 切向加速度可能不变,法向加速度不变;
(D) 切向加速度一定改变,法向加速度不变。
5. 质点作半径为R 的变速圆周运动的加速度大小为( D )
(A)/dv dt (B)2/v r (C)2//dv dt v r + (D)
6. 质点系统不受外力作用的非弹性碰撞过程中 ( C )
(A) 动能和动量都守恒; (B) 动能和动量都不守恒;
(C) 动能不守恒,动量守恒; (D) 动能守恒,动量不守恒。
7. 质点的内力可以改变 ( C )
(A) 系统的总质量; (B) 系统的总动量; (C) 系统的总动能; (D) 系统的总角动量。
8. 一物体沿固定圆弧形光滑轨道由静止下滑,在下滑过程中,则 ( B )
(A) 它的加速度方向永远指向圆心,其速率保持不变;
(B) 它受到的轨道的作用力的大小不断增加;
(C) 它受到的合外力大小变化,方向永远指向圆心;
(D) 它受到的合外力大小不变,其速率不断增加。
9. 作匀速圆周运动的物体运动一周后回到原处,这一周期内物体( C )
(A) 动量守恒,合外力为零;
(B) 动量守恒,合外力不为零;
(C) 动量变化为零,合外力不为零, 合外力的冲量为零;
(D) 动量变化为零,合外力为零。
10. 子弹射入光滑水平面上静止的木块而不穿出,地面为参考系,下列说法中正确的是( C )
(A)子弹的动能转变为木块的动能;
(B) 子弹与木块系统的机械能守恒;
(C) 子弹动能的减少等于子弹克服木块阻力所作的功;
(D) 子弹克服木块阻力所作的功等于这一过程中产生的热。
三、计算题(每题10分,共60分)
1. 质点在oxy 平面内运动,其运动方程22(6)r ti t j =--(SI ), 求(1)质点的轨迹方程;(2)t=3 s 时速度。
(1)将运动方程矢量写成分量形式:2
2,(6)x t y t ==--,消去参数t ,得质点轨迹方程:2
64x y =-+
(2)对运动方程求导得速度表达式:22v i tj =+,t=3时,26v i j =+,大小v =,与x 轴成角度arctg 3。
2. 一质点直线运动,速度为22v t t =-(SI ),初始位置坐标为x 0求质点运动的轨道和加速度.
解:对速度表达式积分下223122d 23
x t t t t t c =-=-+⎰,其中,t=0时x=x 0,的c=x 0,故质点运动 轨道为2230122d 23
x t t t t t x =-=-+⎰。
对速度表达式求导得加速度14t α=-。
3.一质点沿半径为1 m 的圆周运动,它通过的弧长s 按s =t 2+2的规律变化.问它在2 s 末的速率、切向加速度、法向加速度各是多少?
解:对弧长表达式求导,得圆周运动的切向速度大小为v =2t m/s ,为匀加速圆周运动。
2s 末的速率v =4 m/s 。
对切向速率求导,得切向加速度大小t α=2 m/s 2,任何时间内切向加速度大小保持不变,方向沿运动的切线方向。
2s 末法向加速度大小22
4161
n v R α=== m/s 2。
方向指向圆心。
4.一质量为10 kg 的物体沿x 轴无摩擦运动,t=0时物体静止于原点。
(1)若物体在力F=3+4t(N)的作用下运动了3 s ,它的冲量增为多大?(2)物体在力F=3+4x (N )作用下移动了3 m ,它的速度增为多大?
解:(1)根据冲量定义d I F t =⎰,3秒内冲量增量为3323
000
d 34d [32]27I F t t t t t ==+=+=⎰⎰ kg ·m/s 。
(2) 在力的作用下运动3m ,做功3
2300Fd 34d [32]27W x x x x x ==+=+=⎰⎰ J. 因为物体时从零开
始运动故力做功等于其动能增加,21272W mv == J ,则:5v =m/s
5.大炮在发射时炮身会发生反冲现象。
设炮身的仰角为θ, 炮弹和炮身的质量分别为m 和M, 炮弹在离开炮口时的速率为v, 若忽略炮身反冲时与地面的摩擦力, 求炮身的反冲速率。
解:设x 轴沿水平祥右,根据动量守恒定律得
所以炮身的反冲速率为
6.如图所示一绳长为L 的单摆,A 端固定,可在竖直平面内摆动,一小钉 B 固定在与竖直平面平行的墙面上。
摆球自摆线水平位置C 释放,恰能绕B 做圆周运动,问B 与A 的距离d 是多少? 解 设BD=R,由分析可得摆球和地球组成的系统机械能守恒。
圆周运动
M v m v '+=cos θ0'=-v mv M cos θR mg mv mgl E 2221+=R v m mg E 2=⇒gR
v E =l R 52=l R l d 5
3 =-=∴
附加题(每题10分,共20分)
7.质点在oxy 平面内运动,其运动方程x=2t+5,
12232y t t -=+- (SI)。
(1)写出质点位置矢量表达式;(2)计算t=4s 时的速度和加速度。
解:(1)位置矢量表达式:21(25)(32)2
r t i t t j =+++-。
(2)对未知矢量求导得速度表达式:2(3)v i t j =+
+,t=4s 时,27v i j =+,大小v =,方
向与x 轴成角度27
arctg 。
再对速度求导,得质点加速度j α=,大小为1m/s 2,方向沿y 轴。
8.质量为M =1.5 kg 的物体,用一根长L=3 m 的轻质细绳悬挂在天花板上,有一质量为m =10 g 的子弹以v 0=500 m/s 的水平速度射穿物体,刚穿出物体时子弹速度为v =50 m/s ,设穿透时间极短。
求(1)子弹刚穿出时绳子的张力N 大小;(2)子弹在穿透过程中所受的冲量。
解:(1)根据动量定理,子弹穿出物块过程中子弹和物块组成的系统动量守恒(设子弹穿出时子弹和物块的速度分别为12,v v ),则
01223mv mv Mv v =+⇒= m/s ,
根据受力分析和圆周运动法向加速度公式:
2
18v N Mg N L
-=⇒= N 。
(2)根据动量定理,子弹受到的冲量等于其动量变化:
104.5
I P mv mv
=∆=-=- kg·m/s,
即:动量变化大小为4.5 kg·m/s,方向与子弹运动方向相反。