结构化学第四章习题
- 格式:doc
- 大小:444.50 KB
- 文档页数:18
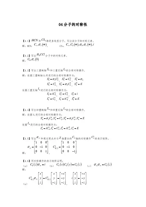
04分子的对称性【4.1】HCN 和2CS 都是直线型分子,写出该分子的对称元素。
解:HCN :(),C υσ∞∞; CS 2:()()2,,,,h C C i υσσ∞∞∞【4.2】写出3H CCl 分子中的对称元素。
解:()3,3C υσ【4.3】写出三重映轴3S 和三重反轴3I 的全部对称操作。
解:依据三重映轴S 3所进行的全部对称操作为:1133h S C σ=,2233S C =,33h S σ= 4133S C =,5233h S C σ=,63S E = 依据三重反轴3I 进行的全部对称操作为:1133I iC =,2233I C =,33I i = 4133I C =,5233I iC =,63I E =【4.4】写出四重映轴4S 和四重反轴4I 的全部对称操作。
解:依据S 4进行的全部对称操作为:11213344442444,,,h h S C S C S C S E σσ====依据4I 进行的全部对称操作为:11213344442444,,,I iC I C I iC I E ====【4.5】写出xz σ和通过原点并与χ轴重合的2C 轴的对称操作12C 的表示矩阵。
解:100010001xz σ⎡⎤⎢⎥=-⎢⎥⎢⎥⎣⎦, ()12100010001x C ⎡⎤⎢⎥=-⎢⎥⎢⎥-⎣⎦【4.6】用对称操作的表示矩阵证明: (a )()2xy C z i σ= (b ) ()()()222C x C y C z = (c ) ()2yz xz C z σσ=解:(a )()()1122xy z z x x x C y C y y z z z σ-⎡⎤⎡⎤⎡⎤⎢⎥⎢⎥⎢⎥==-⎢⎥⎢⎥⎢⎥⎢⎥⎢⎥⎢⎥--⎣⎦⎣⎦⎣⎦, x x i y y z z -⎡⎤⎡⎤⎢⎥⎢⎥=-⎢⎥⎢⎥⎢⎥⎢⎥-⎣⎦⎣⎦()12xy z C iσ=推广之,有,()()1122xy xy n z n z C C i σσ==即:一个偶次旋转轴与一个垂直于它的镜面组合,必定在垂足上出现对称中心。
结构化学3和4章习题第三章⼀、填空、选择:1.对称元素C n轴与垂直于它的组合可得到C2()。
2. S1和S2不是独⽴的对称元素,因为S1=(),S2=()。
3.下列说法错误的是()。
A、分⼦中有S n轴,则此分⼦必然同时存在C n轴和σh。
B、凡是正四⾯体构型的分⼦⼀定属于T d群C、S4是个独⽴的对称元素。
D、分⼦既有C n轴⼜有垂直于C n轴的σh,此分⼦必有S n轴。
4下列分⼦中具有偶极矩,⽽不属于C nv群的是A H2O2B NH3C CH2Cl2D CH2 =CH25下⾯说法正确的是:---------------------------- ( )(A) 分⼦中各类对称元素的完全集合构成分⼦的对称群(B) 同⼀种分⼦必然同属于⼀个点群,不同种分⼦必然属于不同的点群(C) 分⼦中有S n轴,则此分⼦必然同时存在C n轴和σh⾯(D) 镜⾯σd⼀定也是镜⾯σv6下⾯说法正确的是:---------------------------- ( )(A) 如构成分⼦的各类原⼦均是成双出现的,则此分⼦必有对称中⼼(B) 分⼦中若有C4,⼜有i,则必有σ(C) 凡是平⾯型分⼦必然属于C s群(D) 在任何情况下,2?S=E?n7 下列说法正确的是:---------------------------- ( )(A) 凡是⼋⾯体络合物⼀定属于O h点群(B) 凡是四⾯体构型的分⼦⼀定属于T d点群(C) 异核双原⼦分⼦⼀定没有对称中⼼(D) 在分⼦点群中对称性最低的是C1群,对称性最⾼的是O h群8下列分⼦中属于D3群的是:---------------------------- ( )(A) BF3(B) NH3(C)部分交错式⼄烷(D)交错式⼄烷9. 属于下列哪⼀点群的分⼦可能有旋光性()A.D∞h B. Cs C. O h D. D n⼆、写出下列分⼦所归属的点群及全部对称元素:HCN,SO3,氯苯(C6H5Cl),苯(C6H6),萘(C10H8),CH4,CH3Cl,CH2Cl2,CHCl3。
一、填空题
1.群的表示可分为可约表示和不可约表示。
2.判断分子有无旋光性的标准是是否具有反轴。
3. 分子有无偶极矩与分子对称性有密切关系,只有属于C n和C nv这两类点群的分子才具有偶极矩,而其它点群的分子偶极矩为0。
二、选择题
1. CO2分子没有偶极矩,表明该分子是【D 】
A. 以共价键结合的
B. 以离子键结合的
C. V形的
D. 线形的,并且有对称中心
2. 根据分子的对称性,可知CCl4分子的偶极矩等于【A 】
A. 0
B. 1.03
C. 1.85
D. 1.67
3. 组成点群的群元素是什么【A 】
A. 对称操作
B. 对称元素
C. 对称中心
D. 对称面
4. CH4属于下列哪类分子点群【A 】
A. T d
B. D h
C. C3v
D. C s
5. H2O属于下列哪类分子点群【 A 】
A. C2v
B. C3v
C. C2h
D. O h
三、回答问题
1. 找出H2O分子和NH3分子的对称元素和对称操作及其所属点群,并建立其对称操作的乘积表。
课本第125页:表4.2.1和表4.2.2
课本第142页:表4.6.3。
第四章习题一、 选择题1. 下面说法正确的是:---------------------------- ( D )(A) 分子中各类对称元素的完全集合构成分子的对称群(B) 同一种分子必然同属于一个点群,不同种分子必然属于不同的点群(C) 分子中有 Sn 轴,则此分子必然同时存在 Cn 轴和σh 面(D) 镜面σd 一定也是镜面σv2. 下面说法正确的是:---------------------------- ( B )(A) 如构成分子的各类原子均是成双出现的,则此分子必有对称中心(B) 分子中若有C4,又有i ,则必有σ(C) 凡是平面型分子必然属于Cs 群(D) 在任何情况下,2ˆn S =E ˆ3. 如果图形中有对称元素S6,那么该图形中必然包含:---------------------------- ( C )(A) C6, σh (B) C3, σh (C) C3,i (D) C6,i二、 填空题1. I3和I6不是独立的对称元素,因为I3= +I ,I6= +σh 。
2. 对称元素C2与σh 组合,得到__ i __;Cn 次轴与垂直它的C2组合,得到_n 个C2__。
3. 有两个分子,N3B3H6和 C4H4F2,它们都为非极性,且为反磁性,则N3B3H6几何构型_平面六元环__,点群 _。
C4H4F2几何构型_平面,有两个双键_,点群 。
三、 判断题1. 既不存在C n 轴,又不存在σh 时,S n 轴必不存在。
---------------------------- ( × )2. 在任何情况下,2ˆnS =E ˆ 。
---------------------------- ( × ) 3. 分子的对称元素仅7种,即σ ,i 及轴次为1,2,3,4,6的旋转轴和反轴。
---------------------------- ( × )四、 简答题1. 写出六重映轴的全部对称操作。
《结构化学》第四萃习题4001厶和人不是独立的对称元素• I大1为心___ ,/6= ________4002判断:既不存在G轴.又不存在6时,久轴必不存在。
--------------------- ()4003判断:在任何情况下,S^E。
------------------------- ()4004判断:分子的对称元素仅7种,即o , i及轴次为1. 2. 3, 4, 6的旋转轴和反轴。
4005下面说法正确的是:------------------- ()(A)分子中各类对称元素的完全集合构成分子的对称群(B)同一种分子必然同属于一个点群.不同种分子必然属于不同的点群(C)分子中有&轴.则此分子必然同时存在G轴和6面(D)tfirfliod —定也是镜而64006下面说法正确的是:------------------- ()(A)如构成分子的各类原子均是成双出现的,则此分子必有对称中心(B)分子中若有C,又有i,则必有o(C)凡是平面型分子必然属于C,群(D)在任何情况下,= E4008对称元素G与6组合•得到 ___________________ : C”次轴与垂直它的G组合,得到.4009如果图形中有对称元素S6,那么该图形中必然包含:(A) a. 6 (B)C3,Qh (C)G,i (D)Cj i4010判断:因为映轴是旋转轴与垂直于轴的面组合所得到的对称元素.所以点群分子中必有对称元素6 和Cno ----------------------------- ()4011给出下列点群所具有的全部对称元素:(l)C2h (2) C JV⑶⑺⑷0⑸C引4012假定CuCl卩原來属于门点群,四个C1原子的编号如下图所示。
十出现下面的变化时•点群将如何变化(写出分子点群)。
(1)Cu-Cl(l)键长缩短(2)Cu-Cl(l)和Cu—C1⑵缩短同样长度(3)Cu-Cl(l)和Cu-Cl(2)缩短不同长度(4)0(1)和Cl(2)两原子沿这两原子(5)C1 (1)和CK2)沿其连线逆向移动相同距离.0(3)和Cl(4)亦沿其连线如上同样距离相向移动ci2--Cu-CL (Ch和Cb在纸面以上,X I C12和CX在纸面以下)4013d'(d._ 如.d 2-.2)sp4)杂化的几何构型属于 _________________ 点群°4014已知络合物MAaB:的中心原子M是dtp]杂化.该分子有多少种界构体?这些界构体备属什么点群?4015有一个AB.分子,实验测得其偶极矩为零且有一个三重轴,则此分子所属点群是4016有两个分子,NDH B和CHF"它们都为非极性,且为反磁性,则N3B3H6几何构型 __________________ 点群__________ o C1H4F2几何构型________ ,点群__________ 。
第四章分子对称性习题1、NF3分子属于_____________点群。
该分子是极性分子,其偶极矩向量位于__________上。
2、画出正八面体配位的Co(en)33+的结构示意图,指明其点群。
3、写出下列分子所属的点群:CHCl3,B2H6,SF6,NF3,SO32-4、下列说法正确的是:---------------------------- ( )(A) 凡是八面体络合物一定属于O h点群(B) 凡是四面体构型的分子一定属于T d点群(C) 异核双原子分子一定没有对称中心(D) 在分子点群中对称性最低的是C1群,对称性最高的是O h群5、判别分子有无旋光性的标准是__________。
6、偶极矩μ=0,而可能有旋光性的分子所属的点群为____________;偶极矩μ≠0,而一定没有旋光性的分子所属的点群为___________。
7、下列各组分子中,哪些有极性但无旋光性?----------------------------------- ( )(1)I3-(2)O3(3)N3-分子组:(A) 1,2 (B) 1,3 (C) 2,3 (D) 1,2,3 (E) 28、在下列空格中打上"+"或"-"以表示正确与错误。
分子所属点群C i C n vD n T d D n d分子必有偶极矩分子必无旋光性9、HCl的偶极矩是3.57×10-30C·m,键长是1.30Å。
如果把这个分子看作是由相距为1.30 Å 的电荷+q与-q组成的,求q并计算q/e。
(e=1.602×10-19C)10、分子有什么对称元素?属于何种点群?写出该群的乘法表。
11、CO2分子没有偶极矩,表明该分子是:-------------------------------------( )(A) 以共价键结合的(B) 以离子键结合的(C) V形的(D) 线形的,并且有对称中心(E) 非线形的11、一个具有一个三重轴、三个二重轴、三个对称面和一个对称中心的分子属于_______________________点群。
第四章结构化学1 一个电子排布式为1s22s22p63s23p1的元素,其热力学最稳定的氧化态是:(A) +1 (B) +2 (C) +3 (D) –1 (E) –22 将一个基态氢原子的电子转移到无限远的地方,需要2.179⨯10-18 J。
若将一个电子由n = 3的能级激发到n = (无穷)的能级,所需要的能量为:(A) 2.42⨯10-19 J (B) 3.63⨯10-19 J (C) 7.26⨯10-19 J (D) 4.84⨯10-19 J3 下列哪个离子中的半径最小?(A) K+(B) Ca2+(C) Sc3+(D) Ti3+(E) Ti4+4 由偶极诱导产生的分子间作用力称为:(A) 离子键(B) 氢键(C) 配位键(D) 范德华力5 密立根(Millikan)油滴实验测定了:(A) 荷质比(B) K层的电子数(C) 电子的电荷值(D) 普朗克常数(E) 阿伏加德罗常数6 OF2分子的电子结构是哪种杂化?(A) sp2(B) sp (C) sp3(D) spd3(E) sd27 任一原子的s轨道:(A) 与角度无关(B) 与sinθ有关(C) 与cosθ有关(D) 与sinθcosθ有关(E)与sinθcosθ无关8 电子位于确定的轨道或能级的最好的证明(或观察)是:(A) 原子光谱是由不连续的谱线组成的,不含连续带(B) β射线中的电子有很高的动能(C) 阴极射线电子的穿透能力决定于产生阴极射线的电压(D) 电子围绕原子核旋转(E) 金属中的电子一般是自由电子9 如果一个原子的主量子数是3,则它:(A) 只有s电子和p电子(B) 只有s电子(C) 只有s,p和d电子(D) 只有s,p,d和f电子(E) 只有p电子10 下列哪一个化合物为极性共价化合物:(A) B2H6(B) NaCl (C) CCl4(D) H2S (E) CH411 下列描述配合物的配位数与空间构型关系的说法不正确的是:(A) 中心离子配位数为2的配合物均为直线形;(B) 中心离子配位数为3的配合物均为三角形;(C) 中心离子配位数为4的配合物均为四面体型;(D) 中心离子配位数为6的配合物均为八面体型。
第四章 分子点群1.(中山96)①3NH 分子所属的点群是(C )A. 3CB. 3DC. 3V CD. 3h D ②下列分子中有偶极矩的是( B )A. 2CSB. 2H SC. 3SOD. 4CCl 2. (中山97)①FCH C CHF ==分子的点群为(2C )②属于(C n )点群的分子,既有旋光性,也有偶极矩。
③有偶极矩的分子有( B )A. 2COB. 2H OC. 4CHD.苯 ④丙二烯分子的点群为( D )A. 4SB. 2DC. 2h DD. 2d D3. (中山98) 3AsH ,3ClF ,3SO ,23SO -,3CH +,3CH -中偶极矩为零的是(B ) A ClF 3和CH 3- B. SO 3和CH 3+ C. AsH 3和CH 3- D. ClF 3和SO 32-[ClF 3:sp 3d 2杂化,T 型。
CH 3- :sp 3杂化,三角锥型] [SO 3:sp 2杂化,平面正三角形。
CH 3+:sp 2杂化,平面正三角形] [AsH 3和CH 3-:三角锥。
SO 32-:sp 3杂化,三角锥型]ClF 34.(中山99)AlF 63-离子中心Al 的杂化轨道为(3s,3p x ,3p y ,3p z ,3d x2-y2,3d z2)几何构型为(正八面体),分子点群为(O h )群。
5.(南开96)写出下列分子所属点群的熊夫列符号。
C=CH HH H2h D C=C HClClH2h CC=C H HClCl 2V C6. (南开95) 下列所属点群为:CHFClBr (C 1) CHClBr 2 (Cs) CHCl 3 (C 3v ) CCl 4 (T d ) 7.(南开94)联苯有三种不同构象,两个苯平面构成之二面角α分别为(1)=0°,(2)=90°,(3)0°<<90°,判断这三种构象所属点群。
(1)2h D (2)2d D (3)2D 8.(南开92)H 2O 分子属于(C 2v ) 群 NH 3分子属于(C 3v ) 群 CH 4分子属于(T d ) 群 苯分子属于(D 6h ) 群 9.(北大94) 写出下列分子所属点群的记号及有无偶极矩。
1、填空题1、双原子分子刚性转子模型主要内容:原子核体积是可以忽略不计的质点;分子的核间距不变;分子不受外力作用。
2、谐振子模型下,双原子分子转动光谱选律为:极性分子,3、谐振子模型下,双原子分子振动光谱选律为:极性分子,谱线波数为:。
4、刚性转子模型下,转动能级公式为。
5、谐振子模型下的双原子分子能量公式为,其中特征频率为6、分子H2,N2,HCl,CH4,CH3Cl,NH3中不显示纯转动光谱的有:H2,N2,不显示红外吸收光谱的分子有: H2,N2,CH4。
二、选择题1、已知一个双原子分子的转动常数B(波数单位),纯转动光谱中第二条谱线的波长为( D )?(A)B/4(B)B/2(C)1/6B(D)1/4B解:2、HCl分子的正则振动方式共有( B )种?线性3N-5 非线性3N-6(A)0(B)1(C)2(D)3CO2分子的正则振动方式共有( D )种?(A)1(B)2(C)3(D)4HCN分子的正则振动方式共有( D )种?(A)1(B)2(C)3(D)4对H2O而言,其平动、转动、振动自由度分别为( A )(A)3,3,3(B)3,2,4(C)3,2,3(D)1,2,33、已知一双原子分子转动光谱的第四条谱线在80cm-1,则第九条谱线位置为( D )?(A)120cm-1(B)140cm-1(C)160cm-1(D)180cm-14、运用刚性转子模型处理异核双原子分子纯转动光谱,一般需知几条谱线位置(J),可计算其核间距( B )(A)5 (B)2 (C)3 (D)45、红外光谱(IR)由分子内部何种能量跃迁引起( D )(A)转动(B)电子-振动(C)振动(D)振动-转动6、H2和D2的零点能比值为:( B )(A)1 (B)(C)(D)不确定四、计算题1、已知HCl的纯转动光谱每二谱线间的间隔为20.8cm-1,试求其键长。
解:2、已知1H79Br在远红外区给出了间隔为16.94cm-1的一系列谱带,计算HBr的平衡核间距。
04分子的对称性【4.1】HCN 和2CS 都是直线型分子,写出该分子的对称元素。
解:HCN :(),C υσ∞∞; CS 2:()()2,,,,h C C iυσσ∞∞∞【4.2】写出3H CCl 分子中的对称元素。
解:()3,3C υσ【4.3】写出三重映轴3S 和三重反轴3I 的全部对称操作。
解:依据三重映轴S 3所进行的全部对称操作为:1133h S C σ=,2233S C =,33h S σ= 4133S C =,5233h S C σ=,63S E = 依据三重反轴3I 进行的全部对称操作为:1133I iC =,2233I C =,33I i = 4133I C =,5233I iC =,63I E =【4.4】写出四重映轴4S 和四重反轴4I 的全部对称操作。
解:依据S 4进行的全部对称操作为:11213344442444,,,h h S C S C S C S E σσ====依据4I 进行的全部对称操作为:11213344442444,,,I iC I C I iC I E ====【4.5】写出xz σ和通过原点并与χ轴重合的2C 轴的对称操作12C 的表示矩阵。
解:100010001xz σ⎡⎤⎢⎥=-⎢⎥⎢⎥⎣⎦, ()12100010001x C ⎡⎤⎢⎥=-⎢⎥⎢⎥-⎣⎦【4.6】用对称操作的表示矩阵证明: (a )()2xy C z iσ= (b )()()()222C x C y C z = (c )()2yz xz C z σσ=解:(a )()()1122xy z z x x x C y C y y z z z σ-⎡⎤⎡⎤⎡⎤⎢⎥⎢⎥⎢⎥==-⎢⎥⎢⎥⎢⎥⎢⎥⎢⎥⎢⎥--⎣⎦⎣⎦⎣⎦, x x i y y z z -⎡⎤⎡⎤⎢⎥⎢⎥=-⎢⎥⎢⎥⎢⎥⎢⎥-⎣⎦⎣⎦()12xy z C iσ=推广之,有,()()1122xy xy n z n z C C i σσ==即:一个偶次旋转轴与一个垂直于它的镜面组合,必定在垂足上出现对称中心。
第四章1. 下列哪种对称操作是真操作(B)A. 反映 B •旋转 C •反演2. 下列哪种分子与立方烷具有完全相同的对称性:(C)A. C6o B .金刚烷 C . SF63. 设想从乙烷分子的重叠构象出发,经过非重叠非交叉构象,最后变为交叉构象•点群的变化是:(B)A.D3 ~D3h -D3dB.D3h f D3f D3dC.Cs h ~C3~C4. S 在室温下稳定存在的形式为正交硫,其中的分子是S8环,分子点群为(B)C4v B. D4d C. D8hA.5. 对s、p、d、f原子轨道分别进行反演操作,可以看出它们的对称性分别是(B)A. u, g, u, gB. g, u, g, uC. g, g, g, g6. CH4分子中具有映轴S (B )A. 但旋转轴C4和与之垂直的镜面都不独立存在B. 旋转轴C4和与之垂直的镜面也都独立存在C. 旋转轴C4也存在,而与之垂直的镜面不存在7. 对映异构体的旋光大小相等、方向相反(B )A. 其中偏振面顺、逆时针旋转者分别称为右旋体和左旋体,记作(+)和(-)B. 其中偏振面顺、逆时针旋转者分别称为左旋体和右旋体,记作(-)和(+)C. 对映异构体的等量混合物称为内消旋体,用(土)标记.8. CH4分子中具有映轴S ( A)A. 但旋转轴C4和与之垂直的镜面都不独立存在B. 旋转轴C4和与之垂直的镜面也都独立存在C. 旋转轴C4也存在,而与之垂直的镜面不存在9. 对映异构体的旋光大小相等、方向相反(A )A.其中偏振面顺、逆时针旋转者分别称为右旋体和左旋体,记作(+)和(-)B. 其中偏振面顺、逆时针旋转者分别称为左旋体和右旋体,记作(-)和(+)C. 对映异构体的等量混合物称为内消旋体,用(土)标记•10. 丙二烯分子属于D2d点群.由此推测(C )A.分子中只有c键B. 分子中有一个大n键nfC. 分子中有两个互相垂直的小n键11. 己三烯电环化反应,在加热条件下保持什么对称性不变?( B )A. C2B.mC. m 和C212. 旋光性分子的对映异构体可用R与S区分,分别取自拉丁词右和左的首字母;旋光方向用(+)与(-)区分,分别代表右旋和左旋(C)A. R型分子的旋光方向必定是(+), S型分子必定是(-)B. R型分子的旋光方向必定是(-),S型分子必定是(+)C .一般地说,由R、S构型不能断定分子的旋光方向13. 一个分子的分子点群是指:(A )A .全部对称操作的集合B .全部对称元素的集合C .全部实对称操作的集合14. 对于CO和H20,下列哪种说法是正确的:(A )A. CO 2振动的红外与拉曼活性是互斥的,而HO则否B. SO 2振动的红外与拉曼活性是互斥的,而HO则否C. 它们都属于◎点群15. 群中的某些元素若可以通过相似变换联系起来,它们就共同组成(A )A. 一个类B. 一个子群C. 一个不可约表示16. 对一个可约表示进行约化得到几个不可约表示。
04分子的对称性【4.1】HCN和CS2都是直线型分子,写出该分子的对称元素。
解:HCN : C::f ;CS2:C::,C2 ,i【4.2】写出H3C CI分子中的对称元素。
解:C3,G3【4.3】写出三重映轴S和三重反轴1 3的全部对称操作。
解:依据三重映轴S3所进行的全部对称操作为:s3=<ih C3 &=町s3 = c3 s3 s3 = E依据三重反轴1 3进行的全部对称操作为:I3=Q3, ifI34二c3, i3s4 =Oh C;,S4 =C2,s^=^h C43,s4 = E依据|4进行的全部对称操作为:1 1 214 =0,丨4【4.5】写出二xz和通过原点并与轴重合的C2轴的对称操作C2的表示矩阵。
【4.6】用对称操作的表示矩阵证明:(a)C2 z 匚=i (匕)C2 x C2 y = C2 z (C)L=C2 z解:(a)■x lj y =C=C3 , 13 = i =iC; , I3 =E【4.4】写出四重映轴S4和四重反轴1 4的全部对称操作。
解:依据S4进行的全部对称操作为:解:-10 0〕■100〕^xz =0—1 0_1100 1_卫0T」C 2 z;「xy 云 1 1推广之,有, C 2n z ;「xy = ;「xy C 2n z =i即:一个偶次旋转轴与一个垂直于它的镜面组合,必定在垂足上出现对称中心。
C 2轴,则其交点上必定出现垂直于这两个 C 2轴的第三个C 2轴。
推广之,交角为2二/2n 的两个轴组合,在其交点上必定出现一个垂直于这两个 C 2轴C n 轴,在垂直于C n 轴且过交点的平面内必有 n 个C 2轴。
进而可推得,一个C n 轴与垂 直于它的C 2轴组合,在垂直于 C n 的平面内有n 个C 2轴,相邻两轴的夹角为 2二/2n 。
这说明,两个互相垂直的镜面组合, 可得一个C 2轴,此C 2轴正是两镜面的交线。
推而广之, 若两个镜面相交且交角为 2- /2n ,则其交线必为一个 n 次旋转轴。
2组长:070601314组员:070601313070601315070601344070601345070601352第四章 双原子分子结构与性质1.简述 LCAO-MO 的三个基本原则,其依据是什么?由此可推出共价键应具有什么样的特征?答:1.(1)对称性一致(匹配)原则: φa = φs 而φb = φ pz 时, φs 和φ pz 在σˆ yz 的操作下对称性一致。
故 σˆ yz ⎰φs H ˆφ pz d τ = β s , pz ,所以, β s , pz ≠ 0 ,可以组合成分子轨道(2)最大重叠原则:在 α a 和α b 确定的条件下,要求 β 值越大越好,即要求 S ab 应尽可能的大(3)能量相近原则: 当α a = α b 时,可得 h = β ,c 1a = c 1b , c 1a =- c 1b ,能有效组合成分子轨道;2.共价键具有方向性。
2、以 H 2+为例,讨论共价键的本质。
答:下图给出了原子轨道等值线图。
在二核之间有较大几率振幅,没有节面,而在核间值则较小且存在节面。
从该图还可以看出,分子轨道不是原子轨道电子云的简单的加和,而是发生了波的叠加和强烈的干涉作用。
图 4.1 H + 的 ψ 1(a)和 ψ 2(b)的等值线图研究表明,采用 LCAO-MO 法处理 H 2+是成功的,反映了原子间形成共价键 的本质。
但由计算的得到的 Re=132pm ,De=170.8kJ/mol ,与实验测定值Re=106pm、De=269.0 kJ/mol 还有较大差别,要求精确解,还需改进。
所以上处理方法被称为简单分子轨道法。
当更精确的进行线性变分法处理,得到的最佳结果为Re=105.8pm、De=268.8 kJ/mol,十分接近H2+的实际状态。
成键后电子云向核和核间集中,被形象的称为电子桥。
通过以上讨论,我们看到,当二个原子相互接近时,由于原子轨道间的叠加,产生强烈的干涉作用,使核间电子密度增大。
04分子的对称性【4.1】HCN 和2CS 都是直线型分子,写出该分子的对称元素。
解:HCN :(),C υσ∞∞; CS 2:()()2,,,,h C C iυσσ∞∞∞【4.2】写出3H CCl 分子中的对称元素。
解:()3,3C υσ【4.3】写出三重映轴3S 和三重反轴3I 的全部对称操作。
解:依据三重映轴S 3所进行的全部对称操作为:1133h S C σ=,2233S C =,33h S σ= 4133S C =,5233h S C σ=,63S E = 依据三重反轴3I 进行的全部对称操作为:1133I iC =,2233I C =,33I i = 4133I C =,5233I iC =,63I E =【4.4】写出四重映轴4S 和四重反轴4I 的全部对称操作。
解:依据S 4进行的全部对称操作为:11213344442444,,,h h S C S C S C S E σσ====依据4I 进行的全部对称操作为:11213344442444,,,I iC I C I iC I E ====【4.5】写出xz σ和通过原点并与χ轴重合的2C 轴的对称操作12C 的表示矩阵。
解:100010001xz σ⎡⎤⎢⎥=-⎢⎥⎢⎥⎣⎦, ()12100010001x C ⎡⎤⎢⎥=-⎢⎥⎢⎥-⎣⎦【4.6】用对称操作的表示矩阵证明: (a )()2xy C z iσ= (b )()()()222C x C y C z = (c )()2yz xz C z σσ=解:(a )()()1122xy z z x x x C y C y y z z z σ-⎡⎤⎡⎤⎡⎤⎢⎥⎢⎥⎢⎥==-⎢⎥⎢⎥⎢⎥⎢⎥⎢⎥⎢⎥--⎣⎦⎣⎦⎣⎦, x x i y y z z -⎡⎤⎡⎤⎢⎥⎢⎥=-⎢⎥⎢⎥⎢⎥⎢⎥-⎣⎦⎣⎦()12xy z C iσ=推广之,有,()()1122xy xy n z n z C C i σσ==即:一个偶次旋转轴与一个垂直于它的镜面组合,必定在垂足上出现对称中心。
第四章 分子点群1.(中山96)①3NH 分子所属的点群是(C )A. 3CB. 3DC. 3V CD. 3h D ②下列分子中有偶极矩的是( B )A. 2CSB. 2H SC. 3SOD. 4CCl 2. (中山97)①FCH C CHF ==分子的点群为(2C )②属于(C n )点群的分子,既有旋光性,也有偶极矩。
③有偶极矩的分子有( B )A. 2COB. 2H OC. 4CHD.苯 ④丙二烯分子的点群为( D )A. 4SB. 2DC. 2h DD. 2d D3. (中山98) 3AsH ,3ClF ,3SO ,23SO -,3CH +,3CH -中偶极矩为零的是(B ) A ClF 3和CH 3- B. SO 3和CH 3+ C. AsH 3和CH 3- D. ClF 3和SO 32-[ClF 3:sp 3d 2杂化,T 型。
CH 3- :sp 3杂化,三角锥型] [SO 3:sp 2杂化,平面正三角形。
CH 3+:sp 2杂化,平面正三角形] [AsH 3和CH 3-:三角锥。
SO 32-:sp 3杂化,三角锥型]ClF 34.(中山99)AlF 63-离子中心Al 的杂化轨道为(3s,3p x ,3p y ,3p z ,3d x2-y2,3d z2) 几何构型为(正八面体),分子点群为(O h )群。
5.(南开96)写出下列分子所属点群的熊夫列符号。
C=CH HH H2h D C=C HClClH2h CC=C H HClCl 2V C6. (南开95) 下列所属点群为:CHFClBr (C 1) CHClBr 2 (Cs) CHCl 3 (C 3v ) CCl 4 (T d ) 7.(南开94)联苯有三种不同构象,两个苯平面构成之二面角α分别为(1)α=0°,(2)α=90°,(3)0°<α<90°,判断这三种构象所属点群。
(1)2h D (2)2d D (3)2D 8.(南开92)H 2O 分子属于(C 2v ) 群 NH 3分子属于(C 3v ) 群 CH 4分子属于(T d ) 群 苯分子属于(D 6h ) 群 9.(北大94) 写出下列分子所属点群的记号及有无偶极矩。
第四章分子的对称性1、HCN和CS2都是线性分子。
写出该分子的对称元素解:HCN分子构型为线性不对称构型,具有的对称元素有:C∞,nσV; CS2分子为线性对称性分子构型,具有对称元素有:C∞,nC2, nσV ,σh 2、写出H3CCl分子的对称元素解:H3CCl 的对称元素有:C3,3σV3、写出三重映轴S3和三重反轴I3的全部对称操作解:S31=C3σ; S32=C32 ; S33=σ; S34= C3 ; S35 = C32σI31= C3i ; I32=C32 ; I33= i; I34= C3 ; I35 = C32i4、写出四重映轴S4和四重反轴I4的全部对称操作解:S41=C4σ; S42=C2 ; S43=C43σ; S44= EI41= C4i ; I42=C2 ; I43=C43 i; I44= E5、写出σxz和通过原点并与x轴重合的C2轴的对称操作C21的表示矩阵解:σxz和C2轴所在位置如图所示(基函数为坐标)σxz(x,y,z)’=(x,-y,z)σxz的变换矩阵为C21(x,y,z)’=(x,-y,-z)C21的变换矩阵为6、用对称操作的表示矩阵证明(1) C2(z) σxy = i(2) C2(x)C2(y) =C2(z)(3) σyzσxz=C2(z)解:C2(x),C2(y),C2(z),σxy,σyz,σxz,i对称操作的变换矩阵分别为,,,,,(1) C2(z) σxy = i=(2) C2(x)C2(y) =C2(z)=(3) σyzσxz=C2(z)=7、写出ClCH=CHCl(反式)分子的全部对称操作及其乘法表解:反式1,2-二氯乙烯的结构为:具有的对称元素为C2, I ; σh,σh即为分子平面,i位于C-C键中心C2与σh垂直。
分子为C2h群8、写出下列分子所隶属的点群:HCN,SO3,氯苯(C6H5)Cl,苯(C6H5),萘(C10H8)解HCN(属于C∞V),SO3(D3h),氯苯(C6H5)Cl(C2v),苯(C6H5)(D6h),萘(C10H8)(D2h)9、判断下列结论是否正确,说明理由(1) 凡线性分子一定有C∞轴(2) 甲烷分子有对称中心(3) 分子中最高轴次(n)与点群记号中的n相同(4) 分子本身有镜面,它的镜像和它本身全同解 (1) 正确线性分子的分子轴为一个C∞轴(2) 错甲烷分子没有对称中心(3) 错在只含一根主旋转轴的分子点群记号中n与主轴次相同,而在T,I,O类群中不相同(4) 正确分子含镜面,镜面前后部分成镜像关系,整个分子与它的镜像等同。
结构化学试卷答案一、选择题( 共8题16分)1. 2 分(4009)4009(C)2. 2 分(4006)4006(B)3. 2 分(4004)4004不对4. 2 分(4002)4002(非)5. 2 分(4144)4144(C)6. 2 分(4003)4003(非)7. 2 分(4010)4010(否)8. 2 分(4005)4005(D)二、填空题( 共7题14分)9. 2 分(4001)4001C3+i; C3+ h*. 2 分(4048)4048C n11. 2 分(4044)4044I n:分子有I n,无旋光;分子无I n,可能观察到旋光。
12. 2 分(4008)4008i; n个C213. 2 分(4075)4075C n14. 2 分(4018)4018C3v; C315. 2 分(4074)4074C n垂直四、问答题( 共1题10分)20. 10 分(4147)4147(a) T d无(b) C2有(d) D3h无(e) C s无量子力学基础习题一、填空题(在题中的空格处填上正确答案)1101、光波粒二象性的关系式为_______________________________________。
1102、德布罗意关系式为____________________;宏观物体的λ值比微观物体的λ值_______________。
1103、在电子衍射实验中,│ψ│2对一个电子来说,代表___________________。
1104、测不准关系是_____________________,它说明了_____________________。
1105、一组正交、归一的波函数ψ1, ψ2, ψ3,…。
正交性的数学表达式为 ,归一性的表达式为 。
1106、│ψ (x 1, y 1, z 1, x 2, y 2, z 2)│2代表______________________。
1107、物理量xp y - yp x 的量子力学算符在直角坐标系中的表达式是_____。
《结构化学》第四章习题4001I3和I6不是独立的对称元素,因为I3=,I6=。
4002判断:既不存在C n轴,又不存在h时,S n轴必不存在。
---------------------------- ( )4003判断:在任何情况下,2ˆn S=Eˆ。
---------------------------- ( )4004判断:分子的对称元素仅7种,即,i及轴次为1,2,3,4,6的旋转轴和反轴。
---------------------------- ( )4005下面说法正确的是:---------------------------- ( )(A) 分子中各类对称元素的完全集合构成分子的对称群(B) 同一种分子必然同属于一个点群,不同种分子必然属于不同的点群(C) 分子中有S n轴,则此分子必然同时存在C n轴和h面(D) 镜面d一定也是镜面v4006下面说法正确的是:---------------------------- ( )(A) 如构成分子的各类原子均是成双出现的,则此分子必有对称中心(B) 分子中若有C4,又有i,则必有(C) 凡是平面型分子必然属于C s群(D) 在任何情况下,2ˆn S=Eˆ4008对称元素C2与h组合,得到___________________;C n次轴与垂直它的C2组合,得到______________。
4009如果图形中有对称元素S6,那么该图形中必然包含:---------------------------- ( )(A) C6,h(B) C3,h(C) C3,i(D) C6,i4010判断:因为映轴是旋转轴与垂直于轴的面组合所得到的对称元素,所以S n 点群分子中必有对称元素h和C n 。
---------------------------- ( )4011给出下列点群所具有的全部对称元素: (1) C 2h (2) C 3v (3) S 4 (4) D 2 (5) C 3i 4012假定 CuCl 43-原来属于 T d 点群,四个 Cl 原子的编号如下图所示。
当出现下面的变化时,点群将如何变化(写出分子点群)。
(1) Cu —Cl(1) 键长缩短 (2) Cu —Cl(1) 和 Cu —Cl(2)缩短同样长度 (3) Cu —Cl(1) 和 Cu —Cl(2)缩短不同长度 (4) Cl(1)和Cl(2)两原子沿这两原子(5) Cl(1)和Cl(2) 沿其连线逆向移动相同距离,Cl(3)和Cl(4)亦沿其连线如上同样距离相向移动(Cl 1和Cl 3在纸面以上, Cl 2和Cl 4在纸面以下) 4013d 3(2d z ,d xy ,d 22y x )sp(p z )杂化的几何构型属于_________点群。
4014已知络合物 MA 4B 2 的中心原子 M 是d 2sp 3杂化,该分子有多少种异构体?这些异构体各属什么点群? 4015有一个 AB 3分子,实验测得其偶极矩为零且有一个三重轴,则此分子所属点群是_______________________。
4016有两个分子,N 3B 3H 6和 C 4H 4F 2,它们都为非极性,且为反磁性,则N 3B 3H 6几何构型___________,点群___________。
C 4H 4F 2几何构型_________,点群__________。
4017作图示出下列各分子的空间构型,并指出所属点群。
(1) [Re2Cl8]2-(2) B5H9(3) [PtCl3(C2H4)]-(4) 重叠式二茂铁(5) H2C=CHCl4018NF3分子属于_____________点群。
该分子是极性分子,其偶极矩向量位于__________上。
4019下列分子中:(1)对-二氟苯(2)邻-二氟苯(3)间-二氟苯,哪些有相同的点群?-------------------------- ( )(A) 1,2 (B) 1,3 (C) 2,3 (D) 1,2,3 (E) 都不同4020Cr 与CO 形成羰基化合物Cr(CO)6,其分子点群为:-------------------------- ( )(A) D4h(B) T d(C) D5h(D) D6h(E) O h4022判断:和空间构型相同,都属于C2点群。
4023画出正八面体配位的Co(en)33+的结构示意图,指明其点群。
4024判断下列分子所属的点群:SO3,SO32-,CH3+,CH3-,BF34025当联苯( C6H5—C6H5)的两个苯环平面的夹角()分别为:(1) = 0°,(2) = 90°,(3) 0 < < 90时,判断这三种构象的点群。
4026写出下列分子所属的点群:CHCl3,B2H6,SF6,NF3,SO32-4027B2H6所属点群是:---------------------------- ( )(A) C2v(B) D2h(C) C3v(D) D3h(E) D3d4028[Co(en)2Cl2]+可能的点群有____________。
4029CH2═C═O 分子属于________点群,其大键是________。
4030试写出下列分子所属的点群:SO2,CO2,N2O 。
4031画一立方体,在八个顶角上各放一相同的球,写明编号,去掉三个球,列表指出所去球的号数及剩余的球属于什么点群。
4032画一立方体,在八个顶角上均放一相同的球,写明编号。
若要去掉四个球,共有六种不同方式。
列表示出所去球的号数及剩余的球属于什么点群。
4033画一立方体,在八个顶角上放八个相同的球,写明编号。
現要去掉二个球,列表指出所去球的号数及剩余的球属于什么点群。
4034环形S8分子属D4d点群,分子中包含轴次最高的对称轴为_______。
4035下列分子具有偶极矩且不属于C n v的分子是:---------------------------- ( )(A) H2O2(B) NH3(C) CH2Cl2(D) CH2═CH24036萘分子所属点群为:---------------------------- ( )(A) C s(B) C2v(C) D2(D) D2h4037丙二烯分子所属点群为:---------------------------- ( )(A) C2v(B) D2(C) D2h(D) D2d4038与NH3分子属于不同点群的分子是:---------------------------- ( )(A) BF3(B) O═PCl3(C) CH3Cl (D) (C6H6)Cr(CO)34039与H2O 分子不同点群的分子是:---------------------------- ( )(A) 吡啶(B) CO2(C) HCHO (D) 吡咯( C4H8O )4041下列说法正确的是:---------------------------- ( )(A) 凡是八面体络合物一定属于O h点群(B) 凡是四面体构型的分子一定属于T d点群(C) 异核双原子分子一定没有对称中心(D) 在分子点群中对称性最低的是C1群,对称性最高的是O h群4042下列分子中属于D3群的是:---------------------------- ( )(A) BF3(B) NH3(C)部分交错式乙烷(D)交错式乙烷4043分子具有旋光性,则可能属于___________等点群。
4044判别分子有无旋光性的标准是__________。
4045下列各组分子中,哪些有极性但无旋光性?----------------------------------- ( )(1)I3-(2)O3(3)N3-分子组:(A) 1,2 (B) 1,3 (C) 2,3 (D) 1,2,3 (E) 24046写出下列分子的点群以及有无偶极矩:(1) NH3(2) H2O (3) CO32-(4) (5)4047确定下列分子所属点群,判断有无偶极矩:(1)溴代吡啶(2)HF (3)H2O2(4)重迭型二茂铁(5)CH2Cl24048既具有偶极矩,又具有旋光性的分子必属于_________点群。
4049根据分子对称性,试推测属于哪些点群的分子可以有偶极矩和旋光性,哪些点群则没有?4050偶极矩=0,而可能有旋光性的分子所属的点群为____________;偶极矩0,而一定没有旋光性的分子所属的点群为___________。
4051在下列空格中打上"+"或"-"以表示正确与错误。
分子所属点群C i C n vD n T d D n d分子必有偶极矩分子必无旋光性4052写出乙烷分子的重迭式、全交叉式和任意角度时所属的点群。
4053正八面体六个顶点上的原子有三个被另一种原子置换,有几种可能型式?各属什么点群,有无旋光性和永久偶极矩?4054 写出(1) H2C═C═CH2,(2) FHC═C═CH2,(3) F2C═C═CH2,(4) FHC═C═CHF 分子的点群。
4055吡啶( C5H5N ) 分子属于_____________点群。
4056乙烯(C2H4 ) 分子属于_______________点群。
4057重叠式乙烷( C2H6) 分子属于__________点群。
4058交叉式乙烷( C2H6) 分子属于__________点群。
4059椅式环己烷( C6H12 ) 分子属于____________点群。
4060H2C═C═CH2分子属于_____________点群。
4061H2C═C═C═CH2分子属于_____________点群。
4062SF6分子属于____________点群。
4069HCl的偶极矩是3.57×10-30?C·m,键长是1.30?Å。
如果把这个分子看作是由相距为1.30 Å 的电荷+q与-q组成的,求q并计算q/e。
(e=1.602×10-19?C)4070CCl4(l)在20?C和标准压力下,介电常数r=2.24,密度=1.59?g·cm-3。
计算CCl4的极化率。
已知0=8.854×10-12?C2·J-1·m-1。
4071水分子的偶极矩是6.17×10-30?C·m,求O—H键的键距,已知H2O键角=104.5。
4072已知O—H键的键矩O─H=5.04×10-30?C·m,求H2O2的偶极矩。
在H2O2中,HOO=9652′,二面角为9331′。
4073已知甲苯的偶极矩为1.335×10-30?C·m,求邻-二甲苯、间-二甲苯及对-二甲苯的偶极矩。