量子力学第二章波函数和方程.
- 格式:ppt
- 大小:2.18 MB
- 文档页数:15
第二章1.波函数/平面波:(1)频率和波长都不随时间变化的波叫平面波。
(2)如果,粒子受到随时间或位置变化的力场作用,他的动量和能量不再是常量,这时的粒子就不能用平面波来描写。
在一般情况下,我们用一个复函数表示描写粒子的波,并称这个函数为波函数2.自由粒子/粒子的状态:不被位势束缚的粒子叫做自由粒子.3.波函数的几率解释/波恩解释: (1)粒子衍射试验中,如果入射电子流的强度很大,则照片上很快就会出现衍射图样;如果入射电子流强度很小,电子一个一个的从晶体表面上反射,开始它们看起来是毫无规则的散布着,随时间变化在照片上同样出现了衍射图样。
由此可见,实验所显示的电子的波动性是许多电子在同一实验的统计结果,或者是一个电子在许多次相同试验中的统计结果。
(2)波恩提出了统计解释,即:波函数在空间中某一点的强度(振幅绝对值的平方)和该点找到粒子的概率成比例,按照这种解释,描写粒子的波乃是概率波。
4.几率密度: 在t 时刻r 点,单位体积内找到粒子的几率是: ω(r,t) ={dW(r,t)/d τ}= C|Ψ(r,t)|25.平方可积: 由于粒子在空间总要出现(不讨论粒子产生和湮灭情况), 所以在全空间找到粒子的几率应为一,即: C ∫∞|Ψ(r,t)|2d τ= 1 而得常数C 之值为: C = 1/∫∞|Ψ(r,t)|2d τ 若 ∫∞|Ψ(r , t)|2d τ→∞,则 C → 0, 这是没有意义的。
故要求描写粒子量子状态的波函数Ψ必须是绝对值平方可积的函数。
7.归一化: C ∫∞|Φ(x,y,z,t)|2d τ= 1 (波函数乘以一个常数以后,并不改变空间各点找到粒子的概率,不改变波函数的状态) C = 1/∫∞|Φ(x,y,z,t)|2d τ 现把上式所确定的C 开平方后乘以Φ,并以Ψ表示所得函数: Ψ(x,y,z,t)=C ½Φ(x,y,z,t) 在t 时刻 在(x,y,z )点附近单位体积内找到粒子的概率密度是: ω( x,y,z,t) = C|Φ(x,y,z,t)|2故把(1)式改写成 ∫∞|Ψ(r , t)|2d τ=1 把Φ换成Ψ的步骤称为归一化。
量子力学专题二:波函数和薛定谔方程一、波粒二象性假设的物理意义及其主要实验事实(了解)1、波动性:物质波(matter wave )——de Broglie (1923年)p h =λ实验:黑体辐射2、粒子性:光量子(light quantum )——Einstein (1905年)hE =ν 实验:光电效应二、波函数的标准化条件(熟练掌握)1、有限性:A 、在有限空间中,找到粒子的概率是有限值,即有=⎰ψψτ*d 有限值有限空间 B 、在全空间中,找到粒子的概率是有限值,即有=⎰ψψτ*d 有限值 全空间 2、连续性:波函数ψ及其各阶微商连续;3、单值性:2ψ是单值函数(注意:不是说ψ是单值!)三、波函数的统计诠释(深入理解) 1、∝dV 2ψ在dV 中找到粒子的概率;2、ψ和ψC 表示的是同一个波函数(注意:我们关心的只是相对概率);四、态叠加原理以及任何波函数按不同动量的平面波展开的方法及其物理意义(理解)1、态叠加原理:设1ψ,2ψ是描述体系的态,则2211ψψψC C +=也是体系的一个态。
其中,1C 、2C 是任意复常数。
2、两种表象下的平面波的形式:A 、坐标表象中r d e p r r p i 3/2/3)()2(1)( •⎰=ϕπψ B 、动量表象中p d e r p r p i 3/2/3)()2(1)( •-⎰=ψπϕ 注意:2/3)2( π是热力学中,Maxwell速率分布的一个常数,也可以使原子物理中,一个相空间的大小!五、Schrodinger Equation (1926年)1、Schrodinger Equation 的建立过程(熟练掌握)ψψH ti ˆ=∂∂ 其中,V T H ˆˆˆ+=。
2、定态薛定谔方程,定态与非定态波函数的意义及相关联系(深入了解)A 、定态:若某一初始时刻(0=t )体系处于某一能量本征态)()0,(r r E ψψ=,则/)(),(iEt E e r t r -=ψψ说描述的态,叫做定态(stationary state );B 、非定态:由不同能量能量本征态线性叠加而形成的态,叫做非定态(nonstationary state )。
第一章 绪论1.1.由黑体辐射公式导出维恩位移定律:C m b bTm3109.2 ,×´==-l 。
证明:由普朗克黑体辐射公式:由普朗克黑体辐射公式:n n p nr n nd ec hd kTh 11833-=, 及ln c=、l ln d c d 2-=得1185-=kThcehc l l l p r ,令kT hc x l =,再由0=l r l d d ,得l .所满足的超越方程为所满足的超越方程为15-=x x e xe用图解法求得97.4=x ,即得97.4=kT hc m l ,将数据代入求得C m 109.2 ,03×´==-b b T ml 1.2.在0K 附近,钠的价电子能量约为3eV ,求de Broglie 波长. 解:010A 7.09m 1009.72=´»==-mEh p h l # 1.3. 氦原子的动能为kT E 23=,求K T 1=时氦原子的de Broglie 波长。
波长。
解:010A 63.12m 1063.1232=´»===-mkT h mE h p h l其中kg 1066.1003.427-´´=m ,123K J 1038.1--×´=k # 1.4利用玻尔—索末菲量子化条件,求:利用玻尔—索末菲量子化条件,求: (1)一维谐振子的能量。
)一维谐振子的能量。
(2)在均匀磁场中作圆周运动的电子的轨道半径。
)在均匀磁场中作圆周运动的电子的轨道半径。
已知外磁场T 10=B ,玻尔磁子123T J 10923.0--×´=B m ,求动能的量子化间隔E D ,并与K 4=T 及K 100=T 的热运动能量相比较。
的热运动能量相比较。
解:(1)方法1:谐振子的能量222212q p E mw m +=可以化为()12222222=÷÷øöççèæ+mw m E q Ep的平面运动,轨道为椭圆,两半轴分别为22,2mw m Eb E a ==,相空间面积为,相空间面积为,2,1,0,2=====òn nh EE ab pdq nw pp 所以,能量 ,2,1,0,==n nh E n方法2:一维谐振子的运动方程为02=+¢¢q q w ,其解为,其解为()j w +=t A q sin速度为速度为 ()j w w +=¢t A q c o s ,动量为()j w mw m +=¢=t A q p cos ,则相积分为,则相积分为 ()()nh T A dt t A dt t A pdq T T ==++=+=òòò2)cos 1(2cos 220220222mw j w mw j w mw , ,2,1,0=n nmw nh T nh A E ===222, ,2,1,0=n (2)设磁场垂直于电子运动方向,受洛仑兹力作用作匀速圆周运动。
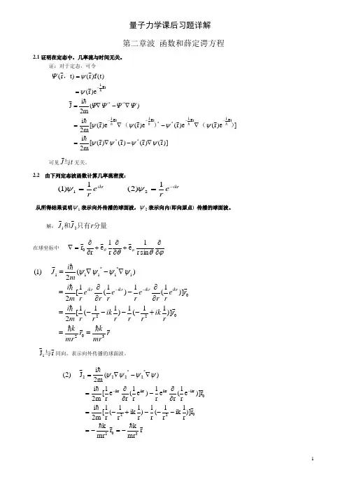
量子力学课后习题详解 第二章波 函数和薛定谔方程2.1证明在定态中,几率流与时间无关。
证:对于定态,可令)]r ()r ()r ()r ([m 2i ]e )r (e )r (e )r (e )r ([m2i )(m2i J e )r ( )t (f )r ()t r (**Et iEt i **Et i Et i **Etiψψψψψψψψψψψψψψψ∇-∇=∇-∇=∇-∇===-----)()(, 可见t J 与无关。
2.2 由下列定态波函数计算几率流密度:ikr ikr e re r -==1)2( 1)1(21ψψ 从所得结果说明1ψ表示向外传播的球面波,2ψ表示向内(即向原点) 传播的球面波。
解:分量只有和r J J 21在球坐标中ϕθθϕθ∂∂+∂∂+∂∂=∇sin r 1e r 1e r r 0r mrk r mr k r r ik r r r ik r r m i r e rr e r e r r e r m i mi J ikr ikr ikr ikr30202201*1*111 )]11(1)11(1[2 )]1(1)1(1[2 )(2 )1(==+----=∂∂-∂∂=∇-∇=--ψψψψr J 1与同向。
表示向外传播的球面波。
rmrk r mr k r )]r 1ik r 1(r 1)r 1ik r 1(r 1[m 2i r )]e r1(r e r 1)e r 1(r e r 1[m 2i )(m2i J )2(3020220ik r ik r ik r ik r *2*222-=-=---+-=∂∂-∂∂=∇-∇=--ψψψψ可见,r J与2反向。
表示向内(即向原点) 传播的球面波。
补充:设ikx e x =)(ψ,粒子的位置几率分布如何?这个波函数能否归一化?∞==⎰⎰∞∞dx dx ψψ*∴波函数不能按1)(2=⎰∞dx x ψ方式归一化。
其相对位置几率分布函数为12==ψω表示粒子在空间各处出现的几率相同。
第二章:函数与波动方程P69 当势能)(r V 改变一常量C 时,即c r V r V +→)()(,粒子的波函数与时间无关部分变否?能量本征值变否?(解)设原来的薛定谔方程式是0)]([2222=-+ψψx V E m dxd将方程式左边加减相等的量ψC 得:0]})([]{[2222=+-++ψψC x V C E m dxd这两个方程式从数学形式上来说完全相同,因此它们有相同的解)(x ψ, 从能量本征值来说,后者比前者增加了C 。
设粒子势能的极小值是V min 证明>E n Vmin(证)先求粒子在某一状态中的平均值能量Ex d r V mE 322*)](2[⎰⎰⎰+∇-=υψψ其中动能平均值一定为正:x d mT 322*)2(⎰⎰⎰∇-=ψψ=⎰⎰⎰∇∇-∇∇-τψψψψd m }][{2**2=⎰⎰⎰⎰⎰⎰∇∇+∇⋅∇-τψψτψψd md m*2*22)(2用高斯定理:τψψψψd ms d mT B∇∇+⋅∇-=⎰⎰⎰⎰⎰*2*22)(2=⎰⎰⎰∇⋅∇ττψψd m*22中间一式的第一项是零,因为ψ假定满足平方可积条件,因而0>T 因此 V V T E >+=,能让能量平均值 VV min>因此VE min>令ψψn=(本征态)则EnE =而VE n min>得证2.1设一维自由粒子的初态()/00,x ip ex =ψ, 求()t x ,ψ。
解: () /2200,⎪⎪⎭⎫⎝⎛-=t m p x p i et x ψ2.2对于一维自由运动粒子,设)()0,(x x δψ=求2),(t x ψ。
(解)题给条件太简单,可以假设一些合理的条件,既然是自由运动,可设粒子动量是p ,能量是E ,为了能代表一种最普遍的一维自由运动,可以认为粒子的波函数是个波包(许多平面波的叠加),其波函数: p d e p t x i E px ip )()(21),(-∞-∞=⎰=φπψ (1)这是一维波包的通用表示法,是一种福里哀变换,上式若令0=t 应有 p d e p x pxip⎰∞-∞==)(21)0,(φπψ (2)但按题意,此式等于)(x δ。
第二章波函数和薛定谔方程2.1 波函数的统计解释与态叠加原理1、波函数的统计解释上一章已说到,为了表示粒子的波粒二象性,可以用复数形式的平面波束描写自由粒子。
自由粒子是不受力场作用的,它的能量与动量都是常量。
如果粒子受到随时间及位置等变化的力场的作用,它的能量和动量就不再是常量,或者不再都是常量。
这时,粒子就不能用平面波来描写,设这时描写粒子的波是某一个函数,这个函数就称为波函数。
它描写粒子所处的状态,所以也称为态函数,它通常是一个复数。
究竟怎样理解波函数和它所描写的粒子之间的关系呢?对于这个问题,曾经有过各种不同的看法。
例如,将波看作是由它所描写的粒子构成的,这种看法是不对的。
我们知道,衍射现象是由波的干涉而产生的,如果波果真是由它所描写的粒子构成,则粒子流的衍射现象应当是由于构成波的这些粒子相互作用而形成的。
但事实证明,在粒子流的衍射实验中,照片上所显示出来的衍射图形与入射粒子流的强度无关,如果减少入射粒子流强度,即使粒子是一个一个地被衍射,虽然一开始照片上的点子看起来是毫无规则的,但当足够长的时间后,如果落在照片上的粒子数基本上保持不变,则所得到的衍射图形是相同的。
这说明每一个粒子被衍射的现象与其他粒子无关,衍射图形不是由粒子之间的相互作用而产生的。
除了上面的看法外,还有其他一些企图解释波函数的尝试,但都因与实验事实不符而被否定。
为人们所普遍接受的对波函数的解释,是由玻恩(Born)首先提出的统计解释:波函数在空间某一点的强度(振幅绝对值的平方)和在该点找到粒子的几率成比例。
按照这种解释,描写粒子的波及是几率波。
按照波函数的几率解释,很容易理解衍射实验:每一个粒子都具有波性,所以每一个粒子都被衍射。
但如果粒子数很少,则统计性质显示不出来,所以在照片上的点子看起来好象是毫无规则的;如果粒子数目足够大,则在波的强度最大的地方,粒子投射在这里的几率也最大,便出现衍射极大,在波的强度最小的地方,粒子投射在这里的几率也最小,便出现衍射极小。
量子力学第二章波函数和薛定谔方程山东大学期末考试知识点复习量子力学第二章波函数和薛定谔方程山东大学期末考试知识点复习山东大学期末考试知识点述评第二章波函数和薛定谔方程1.微粒运动状态描述(1)波函数波函数ψ(r,t)是描述微观粒子状态的复值函数,波函数需要满足的标准条件为单值性、连续性和有界性,实际体系的波函数满足平方可积条件,即(2)波函数的意义波函数的模平方给出t时刻粒子出现在位置r邻域单位体积内的概率,即概率密度。
因此,标准的波函数应该是归一化的,即满足归一化条件非标准化波函数可以通过乘以标准化因子进行标准化。
(3)波函数的性质波函数ψ(r,t)满足叠加原理,如果ψi(r,t),i=1,2,…为微观粒子的可能状态,则这也是一种可能的状态。
山东大学期末考试知识点复习2.微态演化(1)薛定谔方程状态ψ(r,t)随时间演化满足薛定谔方程在…之间称为哈密顿算符,u(r,t)是势能,若已知初始状态ψ(r,0),由薛定谔方程可求出任意时刻t的状态ψ(r,t)。
(2)连续性方程由薛定谔方程可以推出连续性方程在…之间称为概率流密度,即沿着给定方向单位时间通过单位截面的概率,连续性方程是概率守恒定律的定域表现。
(3)定态薛定谔方成若体系的哈密顿不显含时间,即势场u不含t时,薛定谔方程可以分离变量,得到定态波函数解其中e是能量本征值,ψe(R)是相应的本征函数,满足稳态薛定谔方程山东大学期末考试知识点复习3.一维束缚稳态问题的描述(1)一维束缚定态问题由下面的方程和边界条件组成束缚态能量满足条件e<U(±∞). (2)束缚定态解的性质束缚定态中的能量取值不连续,形成能级,同一能级只对应一个本征函数,无简并现象,第n个能级en,n∈n对应的本征函数ψn(x)有n个内部零点(不包括边界)。
束缚态本征函数ψN(x)可以归一化,且归一化本征函数满足正交归一化本征函数集合具有完备性,任何平方可积函数ψ(x)都可以展开为归一化本征函数的线性组合,即其中膨胀系数为(3)典型实例:一维简谐振子一般的解析势阱在其极小值附近都可以近似为简谐振子势,其标准形式为在上述势场中,粒子作束缚运动,能级为山东大学期末考试知识点复习相应的本征函数为简谐振子的本征函数满足递推关系4.一维散射问题(1)问题描述以能量e>u(±∞)自左边向势场u(x)入射的粒子满足下面的方程和边界条件(2)问题的重要性(3)典型实例:粒子对方势垒的透射山东大学期末考试知识点述评能量为e的粒子入射到一个宽度为a,高度为u0的方形势垒反射系数和透射系数分别为。