高考数学一轮复习解三角形题型归纳教案设计
- 格式:pdf
- 大小:230.27 KB
- 文档页数:10
单元(或主题)教学设计模板以下内容、形式均只供参考,参评者可自行设计。
教学过程既可以采用表格式描述,也可以采取叙事的方式。
如教学设计已经过实施,则应尽量采用写实的方式将教学过程的真实情景以及某些值得注意和思考的现象和事件描述清楚;如教学设计尚未经过实施,则应着重将教学中的关键环节以及教学过程中可能出现的问题及处理办法描述清楚。
表格中所列项目及格式仅供参考,应根据实际教学情况进行调整。
问题,体验数学在解决实际问题中的作用,提升学生数学抽象、数学建模、直观想象、数学运算的数学核心素养。
重点:掌握正弦定理、余弦定理及面积公式,并能正确应用定理解三角形难点:能应用正弦定理、余弦定理等知识和方法解决一些测量与几何计算有关的实际问题。
3.单元(或主题)整体教学思路(教学结构图)第一课时,正弦定理及可以解决的问题第二课时,余弦定理及可以解决的问题第三课时,三角形内角和定理、正弦定理、余弦定理的选择第1课时教学设计课题正弦定理课型新授课□章/单元复习课□专题复习课√习题/试卷讲评课□学科实践活动课□其他□1.教学内容分析本课时是解三角形复习课的起始课,由实际问题出发引起学生对定理及变形的回忆,提升学生数学建模、直观想象的核心素养;由几个典型的例题,归纳出正弦定理可以解决的类型,再由定理本身出发再次分析定理可以解决的类型,提升学生逻辑推理、数学运算的核心素养,提高学生对数学符号解读的能力。
再析定理,进而推出“三角形面积公式”,提升学生逻辑推理的核心素养。
3、你还有哪些收获?活动意图说明对于本节课的重点内容强化提问,既检测又强化重点。
“你还有哪些收获”,希望学生能够答出:三角形面积公式、SSA 的情况可能出现两解、取舍的方法、方程和数形结合的思想方法等。
环节六:课堂检测教的活动61、 在中,已知 45,30,10A C c cm ︒︒===,求a 边. 2、 在△ABC 中,π32,6,2===B b c ,求∠A 。
第六节解三角形☆☆☆2021考纲考题考情☆☆☆1.正弦定理错误!=错误!=错误!=2R其中2R为△ABC外接圆直径。
变式:a=2R in A,b=2R in B,c=2R in C。
a∶b∶c=in A∶in B∶in C。
2.余弦定理a2=b2+c2-2bc co A;b2=a2+c2-2ac co B;c2=a2+b2-2ab co C。
变式:co A=错误!;co B=错误!;co C=错误!。
in2A=in2B+in2C-2in B in C co A。
3.解三角形1已知三边a,b,c。
运用余弦定理可求三角A,B,C。
2已知两边a,b及夹角C。
运用余弦定理可求第三边c。
3已知两边a,b及一边对角A。
先用正弦定理,求in B,in B=错误!。
①A为锐角时,若ab,一解。
4已知一边a及两角A,B或B,C用正弦定理,先求出一边,后求另一边。
4.三角形常用面积公式1S=错误!a·h a h a表示a边上的高。
2S=错误!ab in C=错误!ac in B=错误!bc in A=错误!。
3S=错误!ra+b+cr为内切圆半径。
微点提醒1.在一个三角形中,边和角共有6个量,已知三个量其中至少有一边就可解三角形。
2.判断三角形形状的两种思路:一是化边为角;二是化角为边,并用正弦定理余弦定理实施边、角转换。
3.当a2+b2<c2时判断三角形的形状,由co C=错误!<0,得∠C为钝角,则三角形为钝角三角形。
小|题|快|练一、走进教材1.必修510A2A2A2A20A32A2A2A a A A A A2a c a c2A2C2A2A22A2a3a2a2a2如图,两座相距60 m的建筑物AB,CD的高度分别为20 m、50 m,BD为水平面,则从建筑物AB的顶端A看建筑物CD的张角∠CAD等于________。
32021·湖北高考如图,一辆汽车在一条水平的公路上向正西行驶,到A处时测得公路北侧一山顶D在西偏北30°的方向上,行驶600m后到达B处,测得此山顶在西偏北75°的方向上,仰角为30°,则此山的高度CD=________ m。
第8课 解三角形【考点导读】1.掌握正弦定理,余弦定理,并能运用正弦定理,余弦定理解斜三角形;2.解三角形的基本途径:根据所给条件灵活运用正弦定理或余弦定理,然后通过化边为角或化角为边,实施边和角互化. 【基础练习】1.在△ABC 中,已知BC =12,A =60°,B =45°,则AC =.2.在ABC ∆中,若sin :sin :sin5:7:8A B C =,则B ∠的大小是______________.3.在ABC△中,若1tan 3A =,150C =,1BC =,则AB = .4.在△ABC 中,若22tan tan ba B A =,则△ABC 的形状是等腰三角形或直角三角形. 5.在△ABC 中,AB=3,BC=13,AC=4,则边AC 上的高为 . 6.△ABC 中,a ,b ,c 分别为∠A ,∠B ,∠C 的对边.如果a ,b ,c 成等差数列,∠B=30°,△ABC 的面积为23,那么b【范例解析】例1.在△ABC 中,a ,b ,c 分别为∠A ,∠B ,∠C 的对边,已知20a c +=,2C A =,3cos 4A =. (1)求ca的值;(2)求b 的值. 分析:利用2C A =转化为边的关系.解:(1)由sin sin 232cos sin sin 2c C A A a A A ====. (2)由20,3.2a c c a +=⎧⎪⎨=⎪⎩得8,12.a c =⎧⎨=⎩.由余弦定理2222cos a b c bc A =+-得: 218800b b -+=,解得:8b =或10b =, 若8b =,则A B =,得4A π=,即3cos 24A =≠矛盾,故10b =. 点评:在解三角形时,应注意多解的情况,往往要分类讨论.例2.在三角形ABC 中,已知2222()sin()()sin()a b A B a b A B +-=-+,试判断该三角形的形状. 分析一:边化角解法一:由已知得:22[sin()sin()][sin()sin()]a A B A B b A B A B --+=---+,3π 2233化简得222cos sin 2cos sin a A B b B A =,由正弦定理得:22sin cos sin sin cos sin A A B B B A =, 即sin sin (sin cos sin cos )0A B A A B B -=,又,(0,)A B π∈,sin sin 0A B ∴⋅≠,sin 2sin 2A B ∴=.又2,2(0,2)A B π∈,22A B ∴=或22A B π=-,即该三角形为等腰三角形或直角三角形. 分析二:角化边解法二:同解法一得:222cos sin 2cos sin a A B b B A =,由正余弦定理得:2222222222b c a a c b a b b a bc ac+-+-=,整理得:22222()()0a b c a b ---=,即a b =或222c a b =+,即该三角形为等腰三角形或直角三角形.点评:判断三角形形状主要利用正弦或余弦定理进行边角互化,从而利用角或边判定三角形形状. 例3.如图,已知△ABC 是边长为1的正三角形,M ,N 分别是边AB 、AC 上的点, 线段MN 经过△ABC 的中心G ,设∠MGA =α(233ππα≤≤). (1)试将△AGM 、△AGN 的面积(分别记为S 1与S 2)表示为α的函数; (2)求221211y S S =+的最大值与最小值. 分析:利用正弦定理建立目标函数. 解:(1)因为G 是边长为1的正三角形ABC 的中心, 所以AG =2323⨯=,∠MAG =6π, 由正弦定理GM GA sin sin 66πππα=(--)得GM 6sin 6πα=(+) 则S 1=12GM ∙GA ∙sin α=sin 12sin 6απα(+),同理可求得S 2=sin 12sin 6απα(-).(2)221211y S S =+=222144sin sin sin 66ππααα〔(+)+(-)〕=72(3+22cos sin αα) 因为233ππα≤≤,所以当α=3π或α=23π时,y 取得最大值y max =240;当α=2π时,y 取得最小值y min =216.点评:本题关键是选取变量,建立目标函数,根据目标函数求最值.AB CNMGαD例3例4.如图,D 是直角△ABC 斜边BC 上一点,AB =AD ,记∠CAD =α,∠ABC =β. (1)证明:sin cos 20αβ+=; (2)若AC,求β.分析:识别图中角之间的关系,从而建立等量关系. (1)证明:C βα=+,2C B π=-,22πβα∴=+,sin cos 20αβ∴+=(2)解:AC,2sin βαββ∴===(0,)2πβ∈,sin β∴=,3πβ∴=.点评:本题重点是从图中寻找到角之间的等量关系,从而建立三角函数关系,进而求出β的值. 【反馈演练】1.在ABC ∆中,,75,45,300===C A AB 则BC =_____________. 2.ABC ∆的内角∠A ,∠B ,∠C 的对边分别为a ,b ,c ,若a ,b ,c 成等比数列,且2c a=,则c o s B =_____.3.已知ABC ∆顶点的直角坐标分别为(34)A ,,(00)B ,,(0)C c ,.若A ∠是钝角,则c 的取值范围 ___________ . 4.已知ABC ∆的三个内角A 、B 、C 成等差数列,且AB =1,BC =4,则边BC 上的中线AD 5.在ABC ∆中,若2a b c =+,2sin sin sin A B C =,则∆的形状是____等边___三角形.6.若ABC ∆的内角A 满足2sin 23A =,则sin cos A A += . 7. ABC ∆的三个内角为ABC 、、,则cos 2cos 2B CA ++的最大值为. 8.在ABC ∆中,已知C BA sin 2tan=+,给出以下四个论断: ①tan 1tan AB= ;② 1sin sin A B <+≤③ 1cos sin 22=+B A ; ④ C B A 222sin cos cos =+.其中正确的序号有______②④_____. 9.如果111A BC ∆的三个内角的余弦值分别等于222A B C ∆的三个内角的正弦值,给出下列结论:①111A B C ∆和222A B C ∆都是锐角三角形; ②111A B C ∆和222A B C ∆都是钝角三角形;③111A B C ∆是钝角三角形,222A B C ∆是锐角三角形; ④111A B C ∆是锐角三角形,222A B C ∆是钝角三角形.BDCαβ A例433- 34 25(,)3+∞ 332其中,正确结论的序号有____④_____. 10.在ABC ∆中,已知2AC =,3BC =,4cos 5A =-. (Ⅰ)求sinB 的值;(Ⅱ)求sin 26B π⎛⎫+⎪⎝⎭的值. 解:(Ⅰ)在ABC ∆中,3sin 5A ===,由正弦定理,sin sin BC AC A B =.所以232sin sin 355AC B A BC ==⨯=. (Ⅱ)因为4cos 5A =-,所以角A 为钝角,从而角B 为锐角,于是cos 5B ===2217cos 22cos 12125B B =-=⨯-=,2sin 22sin cos 25525B B B ==⨯⨯=. sin 2sin 2cos cos 2sin 666B B B πππ⎛⎫+=+ ⎪⎝⎭171252=⨯= 11.在ABC ∆中,已知内角A π=3,边BC =B x =,周长为y . (1)求函数()y f x =的解析式和定义域;(2)求y 的最大值. 解:(1)ABC ∆的内角和A B C ++=π,由00A B C π=>>3,,得20B π<<3.应用正弦定理,知sin 4sin sin sin BC AC B x x A ===3,2sin 4sin sin BC AB C x A π⎛⎫==- ⎪3⎝⎭. 因为y AB BC AC =++,所以224sin 4sin 03y x x x ππ⎛⎫⎫=+-+<<⎪⎪3⎝⎭⎭,(2)因为14sin sin 2y x x x ⎛⎫=+++ ⎪ ⎪⎝⎭5x xππππ⎛⎫⎫=++<+<⎪⎪6666⎝⎭⎭,所以,当xππ+=62,即xπ=3时,y取得最大值12.在ABC∆中,1tan4A=,3tan5B=.(Ⅰ)求角C的大小;(Ⅱ)若ABC∆解:(Ⅰ)π()C A B=-+,1345tan tan()113145C A B+∴=-+=-=--⨯.又0πC<<,3π4C∴=.(Ⅱ)34C=π,AB∴边最大,即AB=.又tan tan0A B A Bπ⎛⎫<∈ ⎪2⎝⎭,,,,∴角A最小,BC边为最小边.由22sin1tancos4sin cos1AAAA A⎧==⎪⎨⎪+=⎩,,且π2A⎛⎫∈ ⎪⎝⎭,,得sin17A=.由sin sinAB BCC A=得:sin2sinABC ABC==所以,最小边BC.。
高三数学第一轮复习解三角形教案三角形是几何学中研究的一个重要的图形,它拥有许多特征和性质,因此在数学中被广泛地研究和应用。
在高三数学第一轮复习中,对于三角形的解题方法和相关知识的掌握是非常重要的。
本文将为大家介绍三角形的基本概念、常用定理和解题技巧。
一、三角形的基本概念1. 三角形的定义:三角形是由三条线段组成的图形,其中任意两条线段的长度之和大于第三条线段的长度。
2. 三角形的分类:(1) 根据边长分类:等边三角形、等腰三角形、一般三角形。
(2) 根据角度分类:锐角三角形、直角三角形、钝角三角形。
(3) 根据边角关系分类:外角、内角、对角、邻角等。
3. 三角形的元素:三角形的边、角和顶点。
二、三角形的常用定理1. 三角形内角和定理:一个三角形的三个内角的和为180°。
2. 直角三角形的性质:(1) 斜边平方等于两直角边平方和的定理(勾股定理)。
(2) 直角三角形内角的关系:直角对顶角为90°,直角三角形的其它两个内角为锐角。
三、三角形的解题技巧1. 判断三角形的类型:(1) 根据边长关系判断三角形的类型:边长相等的三角形为等边三角形,两边相等的三角形为等腰三角形,其余为一般三角形。
(2) 根据角度关系判断三角形的类型:有一个角大于90°的三角形为钝角三角形,有一个角等于90°的三角形为直角三角形,其余为锐角三角形。
2. 运用三角形的性质和定理解题:(1) 利用三角形内角和定理解决求角度的问题。
(2) 运用勾股定理解决用已知信息求三角形边长的问题。
(3) 利用等腰三角形的性质解决求角度或边长的问题。
四、三角形解题的思路1. 首先,根据问题中给出的已知条件判断三角形的类型,并利用已知信息列写方程。
2. 其次,根据三角形的性质和定理对三角形进行推导和运算,求解未知量。
3. 最后,验证解答的合理性,并作出结论。
通过掌握三角形的基本概念、常用定理和解题技巧,我们不仅可以更好地理解三角形的属性和性质,还能够灵活运用这些知识解决实际问题。
解三角形复习教案教案标题:解三角形复习教案教案目标:1. 复习学生在解三角形方面的基本知识和技能。
2. 强化学生对三角形相关概念的理解。
3. 提供学生机会通过练习和解决问题来巩固所学内容。
教学资源:1. 教科书2. 白板/黑板和彩色粉笔/白板笔3. 幻灯片或投影仪(可选)4. 三角形练习题和解答教学步骤:引入:1. 向学生复习三角形的定义和基本概念,例如三边、三角形内角和外角的性质等。
2. 提示学生,解三角形是通过已知条件来确定三角形的各个要素,如边长、角度等。
主体:3. 讲解解三角形的基本方法,包括使用正弦、余弦和正切函数以及三角恒等式。
4. 通过示例演示如何解决已知三边、两边一角和两角一边的三角形问题。
5. 提供学生机会进行实践,解决一些简单的三角形问题,如计算未知边长或角度。
6. 引导学生思考和讨论解决复杂三角形问题的策略,如使用余弦定理或正弦定理。
巩固:7. 分发练习题给学生,让他们独立或合作解决问题。
8. 鼓励学生互相检查答案,并解释他们的解决方法。
9. 与学生一起回顾和讨论练习题的解答,解释正确答案的推理过程。
总结:10. 总结本节课所学的内容,强调解三角形的重要性和应用领域。
11. 提醒学生复习并巩固所学内容,以便在考试中能够应用。
扩展活动(可选):12. 鼓励学生在课后进一步探索三角形的性质和解决问题的方法,可以使用在线资源或相关书籍。
13. 提供一些挑战性的三角形问题,以激发学生的兴趣和思考能力。
教学提示:1. 在讲解过程中,使用图示和实例来帮助学生更好地理解和记忆。
2. 鼓励学生积极参与课堂讨论和问题解决,并及时给予肯定和鼓励。
3. 根据学生的学习进度和理解程度,调整教学节奏和难度。
教案评估:1. 观察学生在课堂上的参与度和理解程度。
2. 检查学生在解决练习题和问题时的准确性和推理过程。
3. 提供反馈和指导,帮助学生改进和巩固所学内容。
高三一轮 3.7 解三角形
【教学目标】
1.掌握正弦定理、余弦定理,并能解决一些简单的三角形度量问题;
2.本部分是高考中的重点考查内容,主要考查利用正、余弦定理解三角形、判断三角形的形状,
求三角形的面积及解三角形的具体应用问题。
【重点难点】
1.教学重点:熟练运用正、余弦定理解三角形;
2.教学难点:学会对知识进行整理达到系统化,提高分析问题和解决问题的能力;
【教学策略与方法】
自主学习、小组讨论法、师生互动法
【教学过程】
由题意,在△ABC中,∠BAC=30°75°=105°,故∠ACB=45°.又AB=600
故由正弦定理得600
sin 45°=BC
sin 30°,解得BC=300
A,B间距离为________
处的乙船,现乙船朝北偏东θ的方
cos θ的值为________.
=40,AC=20,∠BAC
的同侧,选定一点C,测出AC
,∠CAB=105°,则A,。
第8课解三角形【考点导读】1.掌握正弦定理,余弦定理,并能运用正弦定理,余弦定理解斜三角形;2.解三角形的基本途径:根据所给条件灵活运用正弦定理或余弦定理,然后通过化边为角或化角为边,实施边和角互化.【基础练习】1.在△ABC中,已知BC=12,A=60°,B=45°,则AC=.2.在中,若,则的大小是______________.3.在中,若,,,则.4.在△ABC中,若,则△ABC的形状是等腰三角形或直角三角形.5.在△ABC中,AB=3,BC=,AC=4,则边AC上的高为.6.△ABC中,a,b,c分别为∠A,∠B,∠C的对边.如果a,b,c成等差数列,∠B=30°,△ABC的面积为,那么b= _____.【范例解析】例1.在△ABC中,a,b,c分别为∠A,∠B,∠C的对边,已知,,.(1)求的值;(2)求的值.分析:利用转化为边的关系.解:(1)由.(2)由得.由余弦定理得:,解得:或,若,则,得,即矛盾,故.点评:在解三角形时,应注意多解的情况,往往要分类讨论.例2.在三角形ABC中,已知,试判断该三角形的形状.分析一:边化角解法一:由已知得:,化简得,由正弦定理得:,即,又,,.又,或,即该三角形为等腰三角形或直角三角形.分析二:角化边解法二:同解法一得:,由正余弦定理得:,整理得:,即或,即该三角形为等腰三角形或直角三角形.点评:判断三角形形状主要利用正弦或余弦定理进行边角互化,从而利用角或边判定三角形形状.例3.如图,已知△ABC是边长为1的正三角形,M,N分别是边AB、AC上的点,线段MN经过△ABC的中心G,设∠MGA=α().(1)试将△AGM、△AGN的面积(分别记为S1与S2)表示为α的函数;(2)求的最大值与最小值.分析:利用正弦定理建立目标函数.解:(1)因为G是边长为1的正三角形ABC的中心,所以AG=,∠MAG=,由正弦定理得则S1=GM∙GA∙sinα=,同理可求得S2=.(2)==72(3+)因为,所以当α=或α=时,y取得最大值y max=240;当α=时,y取得最小值y min=216.点评:本题关键是选取变量,建立目标函数,根据目标函数求最值.例4.如图,D是直角△ABC斜边BC上一点,AB=AD,记∠CAD=,∠ABC=.(1)证明:;(2)若AC=DC,求.分析:识别图中角之间的关系,从而建立等量关系.(1)证明:,,,(2)解:AC=DC,.,,.点评:本题重点是从图中寻找到角之间的等量关系,从而建立三角函数关系,进而求出的值.【反馈演练】1.在中,则BC =_____________.2.的内角∠A,∠B,∠C的对边分别为a,b,c,若a,b,c成等比数列,且,则_____.3.已知顶点的直角坐标分别为,,.若是钝角,则的取值范围___________ .4.已知的三个内角A、B、C成等差数列,且AB=1,BC=4,则边BC上的中线AD的长为.5.在中,若,,则的形状是____等边___三角形.6.若的内角满足,则=.7.的三个内角为,则的最大值为.8.在中,已知,给出以下四个论断:①;②;③;④.其中正确的序号有______②④_____.9.如果的三个内角的余弦值分别等于的三个内角的正弦值,给出下列结论:①和都是锐角三角形;②和都是钝角三角形;③是钝角三角形,是锐角三角形;④是锐角三角形,是钝角三角形.其中,正确结论的序号有____④_____.10.在中,已知,,.(Ⅰ)求的值;(Ⅱ)求的值.解:(Ⅰ)在中,,由正弦定理,.所以.(Ⅱ)因为,所以角为钝角,从而角为锐角,于是,,..11.在中,已知内角,边.设内角,周长为.(1)求函数的解析式和定义域;(2)求的最大值.解:(1)的内角和,由得.应用正弦定理,知,.因为,所以,(2)因为,所以,当,即时,取得最大值.12.在中,,.(Ⅰ)求角的大小;(Ⅱ)若最大边的边长为,求最小边的边长.解:(Ⅰ),.又,.(Ⅱ),边最大,即.又,角最小,边为最小边.由且,得.由得:.所以,最小边.。
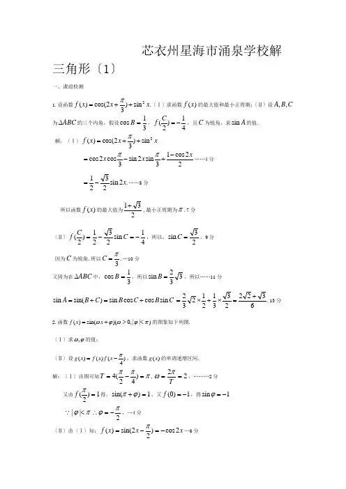
芯衣州星海市涌泉学校解三角形〔1〕一、课前检测1.设函数.sin )32cos()(2x x x f ++=π〔Ⅰ〕求函数)(x f 的最大值和最小正周期;〔Ⅱ〕设C B A ,,为ABC ∆的三个内角,假设31cos =B ,41)2(-=C f ,且C 为锐角,求A sin 的值. 解:〔Ⅰ〕x x x f 2sin )32cos()(++=π 22cos 13sin 2sin 3cos2cos x x x -+-=ππ……4分 .2sin 2321x -=……5分 所以函数)(x f 的最大值为231+,最小正周期为π.7分 〔Ⅱ〕41sin 2321)2(-=-=C C f ,所以,23sin =C ,9分因为C 为锐角,所以.3π=C …10分又因为在ABC ∆中,31cos =B ,所以332sin =B ,所以……11分 C B C B C B A sin cos cos sin )sin(sin +=+=.6322233121232+=⨯+⨯=13分 2.函数()sin()(0,||)f x x ωϕωϕπ=+><的图象如下列图.〔Ⅰ〕求,ωϕ的值; 〔Ⅱ〕设()()()4g x f x f x π=-,求函数()g x 的单调递增区间. 解:〔Ⅰ〕由图可知πππ=-=)42(4T ,22==T πω,………2分 又由1)2(=πf 得,1)sin(=+ϕπ,又(0)1f =-,得sin 1ϕ=- πϕ<||2πϕ-=∴,…4分 〔Ⅱ〕由〔Ⅰ〕知:x x x f 2cos )22sin()(-=-=π…6分因为()(cos 2)[cos(2)]cos 2sin 22g x x x x x π=---=1sin 42x =…9分 所以,24222k x k ππππ-≤≤+,即 (Z)2828k k x k ππππ-≤≤+∈.……12分 故函数()g x 的单调增区间为[,] (Z)2828k k k ππππ-+∈.……13分 3.α为锐角,且tan()24πα+=.〔Ⅰ〕求tan α的值;〔Ⅱ〕求sin 2cos sin cos 2αααα-的值. 解:〔Ⅰ〕1tan tan()41tan πααα++=-,…………2分 所以1tan 21tan αα+=-,1tan 22tan αα+=-, 所以1tan 3α=.……………5分 〔Ⅱ〕2sin 2cos sin 2sin cos sin cos 2cos 2αααααααα--= 2sin (2cos 1)sin cos 2sin cos 2cos 2ααααααα-===.……8分 因为1tan 3α=,所以cos 3sin αα=,又22sin cos 1αα+=, 所以21sin 10α=,………10分又α为锐角,所以sin α=,所以sin 2cos sin cos 2αααα-=.………12分 二、知识梳理〔一).三角形中的各种关系设△ABC 的三边为a 、b 、c ,对应的三个角为A 、B 、C .1.角与角关系:A+B+C=π,由A =π-〔B +C 〕可得:1〕sinA =sin 〔B +C 〕,cosA =-cos 〔B +C 〕.2〕222C B A +-=π.有:2cos 2sin C B A +=,2sin 2cos C B A +=.2.边与边关系:a+b>c ,b+c>a ,c+a>b ,a -b<c ,b -c<a ,c -a>b .3.边与角关系:1〕正弦定理R Cc B b A a 2sin sin sin === 变式有:①C B A cb a sin :sin :sin ::=; ②C Rc B R b A R asin 2,sin 2,sin 2===; ③CB A c b aC c B b A a sin sin sin sin sin sin ++++===; ④C B A c b a sin :sin :sin ::=。
福建省长泰一中高考数学一轮复习《解三角形》教案(一)正弦定理和余弦定理掌握正弦定理、余弦定理,并能解决一些简单的三角形度量问题(二) 应用能够运用正弦定理、余弦定理等知识和方法解决一些与测量和几何计算有关的实际问题正弦定理、余弦定理及利用三角公式进行恒等变形的能力.以化简、求值或判断三角形的形状为主.解三角形常常作为解题工具用于立体几何中的计算或证明.第1课时 三角形中的有关问题1利用正弦定理,可以解决以下两类有关三角形的问题:⑴ 已知两角和一边,求其他两边和一角;⑵ 已知两边和其中一边的对角,求另一边的对角,从而进一步求出其他的边和角. 2.余弦定理:利用余弦定理,可以解决以下两类有关三角形的问题. ⑴ 已知三边,求三角;⑵ 已知两边和它们的夹角,求第三边和其它两个角. 3.三角形的面积公式: 例1. 在△ABC 中,已知a =3,b =2,B =45°,求角A 、C 及边c .解 A 1=60° C 1=75° c 1=226A 2=120° C 2=15° c 2=226-变式训练1:(1)A B C ∆的内角A 、B 、C 的对边分别为a 、b 、c ,若a 、b 、c 成等比数列,且2c a =,则cos B = ( )A .14B .34C .4D .3解:B 提示:利用余弦定理解:A 提示:在△ABC 中,由sin sin A B A B >⇔> 知角B 为锐角(4)若钝角三角形三边长为1a +、2a +、3a +,则a 的取值范围是 . 解:02a << 提示:由222(1)(2)3(1)(2)(3)a a a a a a +++>+⎧⎨+++<+⎩可得(5)在△ABC 中,060,1,sin sin sin A B C a b c A b S A B C++∠===++ 则= .解:3提示:由面积公式可求得4c =,由余弦定理可求得a =例2. 在△AB C 中,若 sinA =2sinB cos C , sin 2A =sin 2B +sin 2C ,试判断△ABC 的形状.解:sinA =2sinBcosC ⇒sin(B +C)=2sinBcosC ⇒sin(B -C)=0⇒B =Csin 2A =sin 2B +sin 2C ⇒a 2=b 2+c 2 ⇒∠A=90°∴ △ABC 是等腰直角三角形。
第四章⎪⎪⎪三角函数、解三角形 第一节任意角和弧度制、任意角的三角函数突破点(一) 角的概念1.角的定义角可以看成平面内一条射线绕着端点从一个位置旋转到另一个位置所形成的图形. 2.角的分类角的分类⎩⎪⎨⎪⎧按旋转方向不同分类⎩⎪⎨⎪⎧ 正角:按顺时针方向旋转形成的角负角:按逆时针方向旋转形成的角零角:射线没有旋转按终边位置不同分类⎩⎪⎨⎪⎧象限角:角的终边在第几象限,这个角就是第几象限角轴线角:角的终边落在坐标轴上3.终边相同的角 所有与角α终边相同的角,连同角α在内,可构成一个集合:S ={β|β=α+k ·360°,k∈Z}或{β|β=α+2k π,k ∈Z}.[例1] (1)设集合M =⎩⎨⎧x ⎪⎪⎭⎬⎫x =k 2·180°+45°,k ∈Z ,N =xx =k4·180°+45°,k ∈Z ,那么( )A .M =NB .M ⊆NC .N ⊆MD .M ∩N =∅(2)在-720°~0°范围内所有与45°终边相同的角为________.本节主要包括3个知识点: 1.角的概念;弧度制及其应用;3.任意角的三角函数.[解析] (1)法一:由于M =xx =k2·180°+45°,k ∈Z ={…,-45°,45°,135°,225°,…},N =⎩⎨⎧⎭⎬⎫x ⎪⎪x =k 4·180°+45°,k ∈Z ={…,-45°,0°,45°,90°,135°,180°,225°,…},显然有M ⊆N .法二:由于M 中,x =k2·180°+45°=k ·90°+45°=45°·(2k +1),k ∈Z,2k +1是奇数;而N 中,x =k4·180°+45°=k ·45°+45°=(k +1)·45°,k ∈Z ,k +1是整数,因此必有M ⊆N .(2)所有与45°有相同终边的角可表示为:β=45°+k ×360°(k ∈Z),则令-720°≤45°+k ×360°<0°,得-765°≤k ×360°<-45°,解得-765360≤k <-45360(k ∈Z), 从而k =-2或k =-1.将k =-2,k =-1分别代入β=45°+k ×360°(k ∈Z),得β=-675°或β=-315°.[答案] (1)B (2)-675°或-315° [方法技巧]终边相同角的集合的应用利用终边相同的角的集合可以求适合某些条件的角,方法是先写出与这个角的终边相同的所有角的集合,然后通过对集合中的参数k 赋值来求得所需角.象限角[例2] (1)给出下列四个命题:①-3π4是第二象限角;②4π3是第三象限角;③-400°是第四象限角;④-315°是第一象限角.其中正确的命题有( )A .1个B .2个C .3个D .4个(2)若角α是第二象限角,则α2是( )A .第一象限角B .第二象限角C .第一或第三象限角D .第二或第四象限角[解析] (1)-3π4=5π4-2π=π4+π-2π,从而-3π4是第三象限角,故①错误;4π3=π+π3,从而4π3是第三象限角,故②正确;-400°=-360°-40°,从而-400°是第四象限角,故③正确;-315°=-360°+45°,从而-315°是第一象限角,故④正确.(2)∵α是第二象限角, ∴π2+2k π<α<π+2k π,k ∈Z , ∴π4+k π<α2<π2+k π,k ∈Z. 当k 为偶数时,α2是第一象限角;当k 为奇数时,α2是第三象限角.[答案] (1)C (2)C [方法技巧]确定αn(n ≥2,且n ∈N *)的终边位置的方法(1)讨论法①用终边相同角的形式表示出角α的范围; ②写出αn 的范围;③根据k 的可能取值讨论确定αn 的终边所在位置. (2)等分象限角的方法已知角α是第m (m =1,2,3,4)象限角,求αn 是第几象限角. ①等分:将每个象限分成n 等份;②标注:从x 轴正半轴开始,按照逆时针方向顺次循环标上1,2,3,4,直至回到x 轴正半轴;③选答:出现数字m 的区域,即为αn 的终边所在的象限.1.[考点一、二]给出下列命题: ①第二象限角大于第一象限角;②三角形的内角是第一象限角或第二象限角;③不论是用角度制还是用弧度制度量一个角,它们与扇形半径的大小无关; ④若sin α=sin β,则α与β的终边相同; ⑤若cos θ<0,则θ是第二或第三象限的角. 其中正确命题的个数是( ) A .1 B .2 C .3D .4解析:选A 由于第一象限角如370°不小于第二象限角100°,故①错;当三角形的内角为90°时,其既不是第一象限角,也不是第二象限角,故②错;③正确;由于sin π6=sin 5π6,但π6与5π6的终边不相同,故④错;当cos θ=-1,θ=π时,θ既不是第二象限角,也不是第三象限角,故⑤错.综上可知只有③正确.2.[考点一]集合⎩⎨⎧⎭⎬⎫α⎪⎪k π+π4≤α≤k π+π2,k ∈Z 中的角所表示的范围(阴影部分)是( )解析:选C 当k =2n (n ∈Z)时,2n π+π4≤α≤2n π+π2,此时α表示的范围与π4≤α≤π2表示的范围一样;当k =2n +1(n ∈Z)时,2n π+π+π4≤α≤2n π+π+π2,此时α表示的范围与π+π4≤α≤π+π2表示的范围一样.比较各选项,可知选C. 3.[考点二]若α为第一象限角,则β=k ·180°+α(k ∈Z)是第________象限角. 解析:∵α是第一象限角,∴k 为偶数时,k ·180°+α的终边在第一象限;k 为奇数时,k ·180°+α的终边在第三象限.即β=k ·180°+α(k ∈Z)是第一或第三象限角.答案:一或三4.[考点一]终边在直线y =3x 上的角的集合为________. 解析:终边在直线y =3x 上的角的集合为αα=k π+π3,k ∈Z.答案:αα=k π+π3,k ∈Z5.[考点一、二]已知α与150°角的终边相同,写出与α终边相同的角的集合,并判断α3是第几象限角.解:与α终边相同的角的集合为{α|α=k ·360°+150°,k ∈Z}. 则α3=k ·120°+50°,k ∈Z. 若k =3n (n ∈Z),α3是第一象限角;若k =3n +1(n ∈Z),α3是第二象限角;若k =3n +2(n ∈Z),α3是第四象限角.故α3是第一、第二或第四象限角. 突破点(二) 弧度制及其应用1.弧度制的定义把长度等于半径长的弧所对的圆心角叫做1弧度的角,弧度记作rad. 2.弧度制下的有关公式[典例] (1)已知扇形的周长是6,面积是2,则扇形的圆心角的弧度数是( ) A .1 B .4 C .1或4 D .2或4(2)若扇形的圆心角是α=120°,弦长AB =12 cm ,则弧长l =________cm. [解析] (1)设此扇形的半径为r ,弧长为l ,则⎩⎪⎨⎪⎧2r +l =6,12rl =2,解得⎩⎪⎨⎪⎧ r =1,l =4或⎩⎪⎨⎪⎧r =2,l =2.从而α=l r =41=4或α=l r =22=1.(2)设扇形的半径为r cm ,如图.由sin 60°=122r ,得r =43(cm), 又α=2π3,所以l =|α|·r =2π3×43=833π(cm).[答案] (1)C (2)833π[方法技巧]弧度制下有关弧长、扇形面积问题的解题策略(1)明确弧度制下弧长及扇形面积公式,在使用公式时,要注意角的单位必须是弧度. (2)分析题目已知哪些量、要求哪些量,然后灵活地运用弧长公式、扇形面积公式直接求解,或合理地利用圆心角所在三角形列方程(组)求解.能力练通 抓应用体验的“得”与“失”1.若一扇形的圆心角为72°,半径为20 cm ,则扇形的面积为( ) A .40π cm 2 B .80π cm 2 C .40 cm 2D .80 cm 2解析:选B ∵72°=2π5,∴S 扇形=12αr 2=12×2π5×202=80π(cm 2).2.如果一个圆的半径变为原来的一半,而弧长变为原来的32倍,则该弧所对的圆心角是原来的________倍.解析:设圆的半径为r ,弧长为l ,则其弧度数为lr .将半径变为原来的一半,弧长变为原来的32倍,则弧度数变为32l 12r =3·lr , 即弧度数变为原来的3倍. 答案:33.弧长为3π,圆心角为135°的扇形半径为________,面积为________. 解析:由题可知,弧长l =3π,圆心角α=135°=3π4,所以半径r =l α=3π3π4=4.面积S =12lr =12×3π×4=6π.答案:4 6π4.已知扇形周长为40,当它的半径和圆心角分别取何值时,扇形的面积最大? 解:设圆心角是θ,半径是r ,则2r +rθ=40.又S =12θr 2=12r (40-2r )=r (20-r )=-(r -10)2+100≤100.当且仅当r =10时,S max =100,此时2×10+10θ=40,θ=2. 所以当r =10,θ=2时,扇形的面积最大.突破点(三) 任意角的三角函数[例1](1)若sin αtan α<0,且cos αtan α<0,则角α是()A.第一象限角B.第二象限角C.第三象限角D.第四象限角(2)sin 2·cos 3·tan 4的值()A.小于0 B.大于0C.等于0 D.不确定[解析](1)由sin αtan α<0可知sin α,tan α异号,则α为第二或第三象限角.由co s αtan α<0可知cos α,tan α异号,则α为第三或第四象限角.综上可知,α为第三象限角.(2)2 rad,3 rad是第二象限角,所以sin 2>0,cos 3<0,4 rad是第三象限角,所以tan 4>0,故sin 2·cos 3·tan 4<0.[答案](1)C(2)A[例2](1)已知角α的终边经过点P(4,-3),则sin α=________.(2)若角α的终边在直线3x+4y=0上,求sin α,cos α和tan α的值.[解析](1)sin α=-342+(-3)2=-35.(2)设α终边上任一点为P(-4a,3a),当a>0时,r=5a,sin α=35,cos α=-45,tan α=-34;当a<0时,r=-5a,sin α=-35,cos α=45,tan α=-34.[答案] (1)-35[方法技巧]由三角函数定义求三角函数值的方法(1)已知角α终边上一点P 的坐标,则可先求出点P 到原点的距离r ,然后用三角函数的定义求解.(2)已知角α的终边所在的直线方程,则可先设出终边上一点的坐标,求出此点到原点的距离,然后用三角函数的定义来求解.由三角函数值求点的坐标[例3] (1)若角α的终边上有一点P (-4,a ),且sin α·cos α=3,则a 的值为( ) A .4 3B .±4 3C .-43或-433D. 3(2)若420°角的终边所在直线上有一点(x,3),则x 的值为________. [解析] (1)由三角函数的定义得sin α·cos α=a (-4)2+a2·-4(-4)2+a2=-4a(-4)2+a 2=34, 即3a 2+16a +163=0, 解得a =-43或-433.故选C.(2)由三角函数的定义知tan 420°=3x , 所以x =3tan 420°=33= 3.[答案] (1)C (2) 3 [方法技巧]求角α终边上点的坐标的类型及方法(1)已知角α的某三角函数值,求角α终边上一点P 的坐标中的参数值,可根据定义中的两个量列方程求参数值.(2)已知角α的终边所在的直线方程或角α的大小,根据三角函数的定义可求角α终边上某特定点的坐标.能力练通 抓应用体验的“得”与“失”1.[考点一]若θ是第二象限角,则下列选项中能确定为正值的是( ) A .sin θ2B .cos θ2C .tan θ2D .cos 2θ解析:选C 由θ是第二象限角可得θ2为第一或第三象限角,所以tan θ2>0,故选C.2.[考点一]已知θ是第四象限角,则sin(sin θ)( ) A .大于0 B .大于等于0 C .小于0D .小于等于0解析:选C ∵θ是第四象限角,∴sin θ∈(-1,0).令sin θ=α,当-1<α<0时,sin α<0.故sin(sin θ)<0.3.[考点二]已知角α的终边与单位圆的交点P ⎝⎛⎭⎫x ,32,则tan α=( )A. 3 B .±3 C.33D .±33解析:选B 因为P ⎝⎛⎭⎫x ,32在单位圆上,所以x 2+⎝⎛⎭⎫322=1,解得x =±12.所以tan α=±3.4.[考点二、三]设α是第二象限角,P (x,4)为其终边上的一点,且cos α=15x ,则tan α=( )A.43B.34 C .-34D .-43解析:选D ∵α是第二象限角,∴x <0. 又由题意知xx 2+42=15x , 解得x =-3. ∴tan α=4x =-43.5.[考点三]已知角α的终边经过点(3a -9,a +2),且cos α≤0,sin α>0,则实数a 的取值范围是________.解析:∵cos α≤0,sin α>0,∴⎩⎪⎨⎪⎧3a -9≤0,a +2>0,即-2<a ≤3. 答案:(-2,3][课时达标检测] 重点保分课时——一练小题夯双基,二练题点过高考[练基础小题——强化运算能力]1.若cos α>0且tan α<0,则α是( ) A .第一象限角 B .第二象限角 C .第三象限角D .第四象限角解析:选D 由cos α>0,得α的终边在第一或第四象限或x 轴非负半轴上,又由tan α<0,得α的终边在第二或第四象限,所以α是第四象限角.2.若α=k ·360°+θ,β=m ·360°-θ(k ,m ∈Z),则角α与β的终边的位置关系是( ) A .重合 B .关于原点对称 C .关于x 轴对称D .关于y 轴对称解析:选C 角α与θ终边相同,β与-θ终边相同.又角θ与-θ的终边关于x 轴对称,所以角α与β的终边关于x 轴对称.3.若一圆弧长等于其所在圆的内接正三角形的边长,则其圆心角α(0<α<π)的弧度数为( )A.π3B.π2C. 3D .2解析:选C 设圆的半径为r ,则其内接正三角形的边长为3r .根据题意,由3r =αr ,得α= 3.4.角α的终边与直线y =3x 重合,且sin α<0,又P (m ,n )是角α终边上一点,且|OP |=10,则m -n 等于( )A .2B .-2C .4D .-4解析:选A ∵角α的终边与直线y =3x 重合,且sin α<0,∴角α的终边在第三象限.又P (m ,n )是角α终边上一点,故m <0,n <0.又|OP |=10,∴⎩⎪⎨⎪⎧n =3m ,m 2+n 2=10,解得m =-1,n =-3,故m -n =2.5.设角α是第三象限角,且⎪⎪⎪⎪sin α2=-sin α2,则角α2是第________象限角. 解析:由角α是第三象限角,知2k π+π<α<2k π+3π2(k ∈Z),则k π+π2<α2<k π+3π4(k ∈Z),故α2是第二或第四象限角.由⎪⎪⎪⎪sin α2=-sin α2知sin α2<0,所以α2只能是第四象限角. 答案:四[练常考题点——检验高考能力]一、选择题1.已知sin θ-cos θ>1,则角θ的终边在( ) A .第一象限 B .第二象限 C .第三象限D .第四象限解析:选B 由已知得(sin θ-cos θ)2>1,即1-2sin θcos θ>1,则sin θcos θ<0.又由sin θ-cos θ>1知sin θ>cos θ,所以sin θ>0>cos θ,所以角θ的终边在第二象限.2.若α是第三象限角,则y =sin α2sin α2+cosα2cos α2的值为( )A .0B .2C .-2D .2或-2解析:选A 由于α是第三象限角, 所以α2是第二或第四象限角.当α2是第二象限角时,sin α2>0,cos α2<0, y =sin α2sin α2+-cos α2cos α2=1-1=0;当α2是第四象限角时,sin α2<0,cos α2>0,y =-sin α2sin α2+cosα2cos α2=-1+1=0.故选A.3.已知角α的终边经过一点P (x ,x 2+1)(x >0),则tan α的最小值为( ) A .1 B .2 C.12D. 2解析:选B tan α=x 2+1x =x +1x ≥2 x ·1x =2,当且仅当x =1时取等号,即tan α的最小值为2.故选B.4.如图,在直角坐标系xOy 中,射线OP 交单位圆O 于点P ,若∠AOP =θ,则点P 的坐标是( )A .(cos θ,sin θ)B .(-cos θ,sin θ)C .(sin θ,cos θ)D .(-sin θ,cos θ)解析:选A 由三角函数定义知,点P 的横坐标x =cos θ,纵坐标y =sin θ. 5.已知角α的终边与单位圆x 2+y 2=1交于P ⎝⎛⎭⎫12,y 0,则cos 2α=( ) A .-12B .1 C.12D .-32解析:选A ∵角α的终边与单位圆x 2+y 2=1交于P ⎝⎛⎭⎫12,y 0, ∴⎝⎛⎭⎫122+(y 0)2=1,∴y 0=±32, 则cos α=12,sin α=±32,∴cos 2α=cos 2α-sin 2α=-12.6.(2017·连云港质检)已知角α的终边上一点的坐标为⎝⎛⎭⎫sin 2π3,cos 2π3,则角α的最小正值为( )A.5π6 B.2π3 C.5π4D.11π6解析:选D ∵⎝⎛⎭⎫sin 2π3,cos 2π3=⎝⎛⎭⎫32,-12, ∴角α为第四象限角,且sin α=-12,cos α=32.∴角α的最小正值为11π6.二、填空题7.已知点P (sin θcos θ,2cos θ)位于第三象限,则θ是第________象限角. 解析:因为点P (sin θcos θ,2cos θ)位于第三象限,所以⎩⎪⎨⎪⎧ sin θcos θ<0,2cos θ<0,即⎩⎪⎨⎪⎧sin θ>0,cos θ<0,所以θ为第二象限角. 答案:二8.已知角α的终边上一点P (-3,m )(m ≠0),且sin α=2m4, 则m =________.解析:由题设知点P 的横坐标x =-3,纵坐标y =m , ∴r 2=|OP |2=(-3)2+m 2(O 为原点), 即r =3+m 2.∴sin α=m r =2m 4=m22,∴r =3+m 2=22,即3+m 2=8,解得m =±5. 答案:±59.一扇形的圆心角为120°,则此扇形的面积与其内切圆的面积之比为________. 解析:设扇形半径为R ,内切圆半径为r ,如图.则(R -r )sin 60°=r ,即R =⎝⎛⎭⎫1+233r .又S 扇=12|α|R 2=12×2π3×R 2=π3R 2=π3⎝⎛⎭⎫1+2332r 2=7+439πr 2,S 内切圆=πr 2,所以S 扇S 内切圆=7+439.答案:(7+43)∶910.在(0,2π)内,使sin x >cos x 成立的x 的取值范围为________. 解析:如图所示,找出在(0,2π)内,使sin x =cos x 的x 值,sinπ4=cos π4=22,sin 5π4=cos 5π4=-22.根据三角函数线的变化规律可知,满足题中条件的角x ∈⎝⎛⎭⎫π4,5π4.答案:⎝⎛⎭⎫π4,5π4 三、解答题11.已知sin α<0,tan α>0. (1)求角α的集合; (2)求角α2终边所在的象限;(3)试判断 tan α2sin α2cos α2的符号.解:(1)由sin α<0,知角α的终边在第三、四象限或y 轴的非正半轴上; 由tan α>0, 知角α的终边在第一、三象限, 故角α的终边在第三象限,其集合为⎩⎨⎧⎭⎬⎫α⎪⎪2k π+π<α<2k π+3π2,k ∈Z .(2)由2k π+π<α<2k π+3π2,k ∈Z ,得k π+π2<α2<k π+3π4,k ∈Z ,当k 为偶数时,角α2终边在第二象限;当k 为奇数时,角α2终边在第四象限.故角α2终边在第二或第四象限.(3)当角α2在第二象限时,tan α2<0,sin α2>0, cos α2<0,所以tan α2sin α2cos α2取正号;当α2在第四象限时, tan α2<0, sin α2<0, cos α2>0, 所以 tan α2sin α2cos α2也取正号.因此,tan α2sin α2cos α2取正号.12.已知扇形AOB 的周长为8.(1)若这个扇形的面积为3,求圆心角的大小;(2)求这个扇形的面积取得最大值时圆心角的大小和弦长AB . 解:设扇形AOB 的半径为r ,弧长为l ,圆心角为α,(1)由题意可得⎩⎪⎨⎪⎧2r +l =8,12lr =3,解得⎩⎪⎨⎪⎧ r =3,l =2或⎩⎪⎨⎪⎧r =1,l =6,∴α=l r =23或α=lr =6.(2)∵2r +l =8,∴S 扇=12lr =12r (8-2r )=r (4-r )=-(r -2)2+4≤4,当且仅当r =2,l =4,即α=lr =2时,扇形面积取得最大值4. 此时弦长AB =2sin 1×2=4sin 1. 第二 节同角三角函数的基本关系与诱导公式本节主要包括2个知识点: 1.同角三角函数的基本关系; 2.三角函数的诱导公式.突破点(一) 同角三角函数的基本关系1.同角三角函数的基本关系(1)平方关系:sin 2α+cos 2α=1(α∈R). (2)商数关系:tan α=sin αcos α⎝⎛⎭⎫α≠k π+π2,k ∈Z .2.同角三角函数基本关系式的应用技巧[例1] (2017·南京模拟)已知α为第二象限角,则cos α·1+tan 2α+sin α 1+1tan 2α=________.[解析] 原式=cos αsin 2α+cos 2αcos 2α+sin αsin 2α+cos 2αsin 2α=cos α·1|cos α|+ sin α·1|sin α|,因为α是第二象限角, 所以sin α>0, cos α<0,所以cos α·1|cos α|+sin α·1|sin α|=-1+1=0,即原式等于0.[答案] 0[例2] 若tan α=2,则 (1)2sin α-3cos α4sin α-9cos α=________; (2)4sin 2α-3sin αcos α-5cos 2α=________.[解析] (1)2sin α-3cos α4sin α-9cos α=2tan α-34tan α-9=2×2-34×2-9=-1.(2)4sin 2α-3sin αcos α-5cos 2α=4sin 2α-3sin αcos α-5cos 2αsin 2α+cos 2α=4tan 2α-3tan α-5tan 2α+1=4×4-3×2-54+1=1.[答案] (1)-1 (2)1 [方法技巧]同角三角函数关系式应用的注意事项(1)同角并不拘泥于角的形式,如sin 2α2+cos 2α2=1,sin 3xcos 3x =tan 3x ⎝⎛⎭⎫3x ≠k π+π2,k ∈Z 都成立,但是sin 2α+cos 2β=1就不一定成立.(2)对于含有sin α,cos α的齐次式,可根据同角三角函数商的关系,通过除以某一齐次项,转化为只含有正切的式子,即化弦为切,整体代入.sin α±cos α与sin αcos α关系的应用[例3] 已知x ∈(-π,0),sin x +cos x =15.(1)求sin x -cos x 的值; (2)求sin 2x +2sin 2x 1-tan x 的值.[解] (1)由sin x +cos x =15,平方得sin 2x +2sin x cos x +cos 2x =125,整理得2sin x cos x =-2425.∴(sin x -cos x )2=1-2sin x cos x =4925.由x ∈(-π,0),知sin x <0, 又sin x +cos x >0,∴cos x >0,则sin x -cos x <0, 故sin x -cos x =-75.(2)sin 2x +2sin 2x 1-tan x =2sin x (cos x +sin x )1-sin x cos x=2sin x cos x (cos x +sin x )cos x -sin x=-2425×1575=-24175.[方法技巧]同角三角函数关系式的方程思想对于sin α+cos α,sin α-cos α,sin αcos α这三个式子,知一可求二,转化公式为(sin α±cos α)2=1±2sin αcos α,体现了方程思想的应用.能力练通 抓应用体验的“得”与“失”1.[考点二]若sin α=-513,且α为第四象限角,则tan α的值等于( )A.125 B .-125 C.512D .-512解析:选D 因为α为第四象限角,故cos α=1-sin 2α=1-⎝⎛⎭⎫-5132=1213,所以tan α=sin αcos α=-5131213=-512.2.[考点三](2017·厦门质检)已知sin αcos α=18,且5π4<α<3π2,则cos α-sin α的值为( )A .-32 B.32 C .-34 D.34解析:选B ∵5π4<α<3π2,∴cos α<0,sin α<0且|cos α|<|sin α|,∴cos α-sin α>0.又(cos α-sin α)2=1-2sin αcos α=1-2×18=34,∴cos α-sin α=32.3.[考点二]已知sin α+2cos α=3,则tan α=( )A.22 B. 2 C .-22D .- 2解析:选A ∵sin α+2cos α=3,∴(sin α+2cos α)2=3,即sin 2α+22sin αcos α+2cos 2α=3,∴sin 2α+22sin αcos α+2cos 2αsin 2α+cos 2α=3,∴tan 2α+22tan α+2tan 2α+1=3,即2tan 2α-22tan α+1=0,解得tan α=22.4.[考点一]sin 21°+sin 22°+…+sin 289°=________.解析:原式=(sin 21°+sin 289°)+(sin 22°+sin 288°)+…+(sin 244°+sin 246°)+sin 245°=(sin 21°+cos 21°)+(sin 22°+cos 22°)+…+(sin 244°+cos 244°)+12=+12=4412. 答案:44125.[考点二、三]已知tan α=-43,求:(1)sin α-4cos α5sin α+2cos α的值; (2)1cos 2α-sin 2α的值; (3)sin 2α+2sin αcos α的值.解:(1)sin α-4cos α5sin α+2cos α=tan α-45tan α+2=-43-45×⎝⎛⎭⎫-43+2=87.(2)1cos 2α-sin 2α=sin 2α+cos 2αcos 2α-sin 2α=sin 2α+cos 2αcos 2αcos 2α-sin 2αcos 2α=tan 2α+11-tan 2α=⎝⎛⎭⎫-432+11-⎝⎛⎭⎫-432=-257.(3)sin 2α+2sin αcos α=sin 2α+2sin αcos αsin 2α+cos 2α=tan 2α+2tan αtan 2α+1=169-83169+1=-825.突破点(二) 三角函数的诱导公式1.三角函数的诱导公式1.利用诱导公式把任意角的三角函数转化为锐角三角函数的步骤也就是:“负化正,大化小,化到锐角就好了”. 2.利用诱导公式化简三角函数的要求 (1)化简过程是恒等变形;(2)结果要求项数尽可能少,次数尽可能低,结构尽可能简单,能求值的要求出值. [典例] (1)若sin α是方程5x 2-7x -6=0的根,则sin ⎝⎛⎭⎫-α-3π2sin ⎝⎛⎭⎫3π2-αtan 2(2π-α)cos ⎝⎛⎭⎫π2-αcos ⎝⎛⎭⎫π2+αsin (π+α)=( )A.35B.53C.45D.54(2)求值:sin(-1 200°)cos 1 290°+cos(-1 020°)·sin(-1 050°)=________. [解析] (1)方程5x 2-7x -6=0的两根为x 1=-35,x 2=2,则sin α=-35.原式=cos α(-cos α)tan 2αsin α(-sin α)(-sin α)=-1sin α=53.(2)原式=-sin 1 200°cos 1 290°-cos 1 020°sin 1 050°=-sin(3×360°+120°)cos(3×360°+210°)-cos(2×360°+300°)sin(2×360°+330°)=-sin 120°cos 210°-cos 300°sin 330°=-sin(180°-60°)cos(180°+30°)-cos(360°-60°)·sin(360°-30°) =sin 60°cos 30°+cos 60°sin 30° =32×32+12×12=1. [答案] (1)B (2)1[方法技巧]应用诱导公式化简求值的注意事项(1)已知角求值问题,关键是利用诱导公式把任意角的三角函数值转化为锐角的三角函数值求解.转化过程中注意口诀“奇变偶不变,符号看象限”的应用.(2)对给定的式子进行化简或求值时,要注意给定的角之间存在的特定关系,充分利用给定的关系结合诱导公式将角进行转化.特别要注意每一个角所在的象限,防止符号及三角函数名出错.能力练通 抓应用体验的“得”与“失” 1.已知sin ⎝⎛⎭⎫5π2+α=15,那么cos α=( ) A .-25 B .-15 C.15 D.25解析:选C ∵sin ⎝⎛⎭⎫5π2+α=sin ⎝⎛⎭⎫π2+α=cos α,∴cos α=15.2.sin 210°cos 120°的值为( )A.14 B .-34 C .-32 D.34解析:选A sin 210°cos 120°=-sin 30°(-cos 60°)=-12×⎝⎛⎭⎫-12=14. 3.已知A =sin (k π+α)sin α+cos (k π+α)cos α(k ∈Z),则A 的值构成的集合是( )A .{1,-1,2,-2}B .{-1,1}C .{2,-2}D .{1,-1,0,2,-2}解析:选C k 为偶数时,A =sin αsin α+cos αcos α=2;k 为奇数时,A =-sin αsin α+-cos αcos α=-2.则A 的值构成的集合为{2,-2}.4.已知tan ⎝⎛⎭⎫π6-α=33,则tan ⎝⎛⎭⎫5π6+α=________. 解析:tan ⎝⎛⎭⎫5π6+α=tan ⎝⎛⎭⎫π-π6+α=tanπ-π6-α=-tan ⎝⎛⎭⎫π6-α=-33. 答案:-335.已知α为第三象限角,f (α)=sin ⎝⎛⎭⎫α-π2·cos ⎝⎛⎭⎫3π2+α·tan (π-α)tan (-α-π)·sin (-α-π).(1)化简f (α);(2)若cos ⎝⎛⎭⎫α-3π2=15,求f (α)的值. 解:(1)f (α)=sin ⎝⎛⎭⎫α-π2·cos ⎝⎛⎭⎫3π2+α·tan (π-α)tan (-α-π)·sin (-α-π)=(-cos α)·sin α·(-tan α)(-tan α)·sin α=-cos α.(2)∵cos ⎝⎛⎭⎫α-3π2=15, ∴-sin α=15,从而sin α=-15.又α为第三象限角, ∴cos α=-1-sin 2α=-265,∴f (α)=-cos α=265.[全国卷5年真题集中演练——明规律] 1.(2016·全国丙卷)若tan α=34,则cos 2α+2sin 2α=( )A.6425B.4825 C .1D.1625解析:选A 因为tan α=34,则cos 2α+2sin 2α=cos 2α+4sin αcos αsin 2α+cos 2α=1+4tan αtan 2α+1=1+4×34⎝⎛⎭⎫342+1=6425.故选A. 2.(2016·全国乙卷)已知θ是第四象限角,且sin ⎝⎛⎭⎫θ+π4=35,则tan ⎝⎛⎭⎫θ-π4=________. 解析:由题意知sin ⎝⎛⎭⎫θ+π4=35,θ是第四象限角, 所以cos ⎝⎛⎭⎫θ+π4>0, 所以cos ⎝⎛⎭⎫θ+π4= 1-sin 2⎝⎛⎭⎫θ+π4=45. 则tan ⎝⎛⎭⎫θ-π4=tan ⎝⎛⎭⎫θ+π4-π2 =-sin ⎣⎡⎦⎤π2-⎝⎛⎭⎫θ+π4cos ⎣⎡⎦⎤π2-⎝⎛⎭⎫θ+π4=-cos ⎝⎛⎭⎫θ+π4sin ⎝⎛⎭⎫θ+π4=-45×53=-43.答案:-43[课时达标检测] 重点保分课时——一练小题夯双基,二练题点过高考[练基础小题——强化运算能力]1.若α∈⎝⎛⎭⎫-π2,π2,sin α=-35,则cos(-α)=( )A .-45B.45C.35D .-35解析:选B 因为α∈⎝⎛⎭⎫-π2,π2,sin α=-35,所以cos α=45,则cos(-α)=cos α=45. 2.若sin θcos θ=12,则tan θ+cos θsin θ的值是( )A .-2B .2C .±2D.12解析:选B tan θ+cos θsin θ=sin θcos θ+cos θsin θ=1cos θsin θ=2.3.已知sin(π+θ)=-3cos(2π-θ),|θ|<π2,则θ等于( )A .-π6B .-π3C.π6D.π3解析:选D ∵sin(π+θ)=-3cos(2π-θ),∴-sin θ=-3cos θ,∴tan θ= 3.∵|θ|<π2,∴θ=π3.4.已知α∈⎝⎛⎭⎫π2,π,sin α=45,则tan α=________. 解析:∵α∈⎝⎛⎭⎫π2,π,sin α=45,∴cos α=-1-sin 2α=-35,∴tan α=sin αcos α=-43.答案:-435.1-2sin 40°cos 40°cos 40°-1-sin 250°=________. 解析:原式=sin 240°+cos 240°-2sin 40°cos 40°cos 40°-cos 50°=|sin 40°-cos 40°|sin 50°-sin 40°=|sin 40°-sin 50°|sin 50°-sin 40°=sin 50°-sin 40°sin 50°-sin 40°=1.答案:1[练常考题点——检验高考能力]一、选择题1.sin(-600°)的值为( ) A.32B.22 C .1D.33解析:选A sin(-600°)=sin(-720°+120°)=sin 120°=32. 2.已知tan(α-π)=34,且α∈⎝⎛⎭⎫π2,3π2,则sin ⎝⎛⎭⎫α+π2=( ) A.45 B .-45C.35D .-35解析:选B 由tan(α-π)=34得tan α=34.又因为α∈⎝⎛⎭⎫π2,3π2,所以α为第三象限的角,由⎩⎪⎨⎪⎧tan α=sin αcos α=34,sin 2α+cos 2α=1,可得,sin α=-35,cos α=-45.所以sin ⎝⎛⎭⎫α+π2=cos α=-45. 3.已知函数f (x )=a sin(πx +α)+b cos(πx +β),且f (4)=3,则f (2 017)的值为( ) A .-1 B .1 C .3D .-3解析:选D ∵f (4)=a s in(4π+α)+b cos(4π+β) =a sin α+b cos β=3,∴f (2 017)=a sin(2 017π+α)+b cos(2 017π+β) =a sin(π+α)+b cos(π+β) =-a sin α-b cos β =-(a sin α+b cos β)=-3.4.已知2tan α·sin α=3,-π2<α<0,则sin α=( )A.32B .-32C.12 D .-12解析:选B 因为2tan α·sin α=3,所以2sin 2αcos α=3,所以2sin 2α=3cos α,即2-2cos 2α=3cos α,所以cos α=12或cos α=-2(舍去),又-π2<α<0,所以sin α=-32.5.若θ∈⎣⎡⎦⎤π4,π2,sin θ·cos θ=3716,则sin θ=( ) A.35 B.45 C.74D.34解析:选D ∵sin θ·cos θ=3716,∴(sin θ+cos θ)2=1+2sin θ·cos θ=8+378,(sin θ-cos θ)2=1-2sin θcos θ=8-378,∵θ∈⎣⎡⎦⎤π4,π2,∴sin θ+cos θ=3+74 ①,sin θ-cos θ=3-74 ②,联立①②得,sin θ=34. 6.(2017·长沙模拟)若sin θ,cos θ是方程4x 2+2mx +m =0的两根,则m 的值为( ) A .1+ 5 B .1- 5 C .1±5D .-1- 5解析:选B 由题意知,sin θ+cos θ=-m 2,sin θcos θ=m 4.∵(sin θ+cos θ)2=1+2sin θcosθ,∴m 24=1+m2,解得m =1±5,又Δ=4m 2-16m ≥0,∴m ≤0或m ≥4,∴m =1- 5.二、填空题7.化简:cos (α-π)sin (π-α)·sin ⎝⎛⎭⎫α-π2·cos ⎝⎛⎭⎫3π2-α=________. 解析:cos (α-π)sin (π-α)·sin ⎝⎛⎭⎫α-π2·cos ⎝⎛⎭⎫3π2-α=-cos αsin α·(-cos α)·(-sin α)=-cos 2α. 答案:-cos 2α8.若f (α)=sin[(k +1)π+α]·cos[(k +1)π-α]sin (k π-α)·cos (k π+α)(k ∈Z),则f (2 017)=________.解析:①当k 为偶数时,设k =2n (n ∈Z),原式=sin (2n π+π+α)·cos (2n π+π-α)sin (2n π-α)·cos (2n π+α)=-sin α·(-cos α)-sin α·cos α=-1;②当k 为奇数时,设k =2n +1(n ∈Z),原式=sin[(2n +2)π+α]·cos[(2n +2)π-α]sin[(2n +1)π-α]·cos[(2n +1)π+α]=sin α·cos αsin α·(-cos α)=-1.综上所述,当k ∈Z 时,f (α)=-1, 故f (2 017)=-1. 答案:-19.若角θ满足2cos ⎝⎛⎭⎫π2-θ+cos θ2sin (π+θ)-3cos (π-θ)=3,则tan θ的值为________.解析:由2cos ⎝⎛⎭⎫π2-θ+cos θ2sin (π+θ)-3cos (π-θ)=3,得2sin θ+cos θ-2sin θ+3cos θ=3,等式左边分子分母同时除以cos θ,得2tan θ+1-2tan θ+3=3,解得tan θ=1. 答案:110.已知角A 为△ABC 的内角,且sin A +cos A =15,则tan A 的值为________.解析:∵sin A +cos A =15 ①,①式两边平方得1+2sin A cos A =125,∴sin A cos A =-1225,则(sin A -cos A )2=1-2sin A cos A =1+2425=4925,∵角A 为△ABC 的内角,∴sin A >0, 又sin A cos A =-1225<0,∴cos A <0, ∴sin A -cos A >0, 则sin A -cos A =75②.由①②可得sin A =45,cos A =-35,∴tan A =sin A cos A =45-35=-43.答案:-43三、解答题11.已知sin(3π+α)=2sin ⎝⎛⎭⎫3π2+α,求下列各式的值: (1)sin α-4cos α5sin α+2cos α; (2)sin 2α+sin 2α.解:由已知得sin α=2cos α. (1)原式=2cos α-4cos α5×2cos α+2cos α=-16.(2)原式=sin 2α+2sin αcos αsin 2α+cos 2α =sin 2α+sin 2αsin 2α+14sin 2α=85.12.已知关于x 的方程2x 2-(3+1)x +m =0的两根分别是sin θ和cos θ,θ∈(0,2π),求:(1)sin 2θsin θ-cos θ+cos θ1-tan θ的值; (2)m 的值;(3)方程的两根及此时θ的值. 解:(1)原式=sin 2θsin θ-cos θ+cos θ1-sin θcos θ=sin 2θsin θ-cos θ+cos 2θcos θ-sin θ=sin 2θ-cos 2θsin θ-cos θ=sin θ+cos θ. 由条件知sin θ+cos θ=3+12,故sin 2θsin θ-cos θ+cos θ1-tan θ=3+12.(2)由已知,得sin θ+cos θ=3+12,sin θcos θ=m2, 又1+2sin θcos θ=(sin θ+cos θ)2,可得m =32. (3)由⎩⎪⎨⎪⎧sin θ+cos θ=3+12,sin θcos θ=34,得⎩⎨⎧sin θ=32,cos θ=12或⎩⎨⎧sin θ=12,cos θ=32.又θ∈(0,2π),故θ=π3或θ=π6.第三节三角函数的图象与性质突破点(一) 三角函数的定义域和值域本节主要包括2个知识点: 1.三角函数的定义域和值域; 2.三角函数的性质.Z)时,取得最大值1;当且仅当x =-π2+2k π(k ∈Z)时,取得最小值-1时,取得最大值1;当且仅当x =π+2k π(k ∈Z)时,取得最小值-1考点贯通 抓高考命题的“形”与“神”三角函数的定义域[例1] 函数y =lg(2sin x -1)+1-2cos x 的定义域是________. [解析] 要使函数y =lg(2sin x -1)+1-2cos x 有意义,则⎩⎪⎨⎪⎧2sin x -1>0,1-2cos x ≥0,即⎩⎨⎧sin x >12,cos x ≤12.解得2k π+π3≤x <2k π+5π6,k ∈Z.即函数的定义域为⎣⎡⎭⎫2k π+π3,2k π+5π6,k ∈Z. [答案] ⎣⎡⎭⎫2k π+π3,2k π+5π6,k ∈Z [方法技巧]三角函数定义域的求法求三角函数定义域实际上是构造简单的三角不等式(组),常借助三角函数线或三角函数图象来求解.[提醒] 解三角不等式时要注意周期,且k ∈Z 不可以忽略.三角函数的值域(最值)求解三角函数的值域(最值)常见的题目类型:(1)形如y =a sin x +b cos x +k 的三角函数化为y =A sin(ωx +φ)+k 的形式,再求值域(最值);(2)形如y =a sin 2x +b sin x +k 的三角函数,可先设sin x =t ,化为关于t 的二次函数求值域(最值);(3)形如y =a sin x cos x +b (sin x ±cos x )+c 的三角函数,可先设t =sin x ±cos x ,化为关于t 的二次函数求值域(最值).[例2] (1)函数y =2sin ⎝⎛⎭⎫πx 6-π3(0≤x ≤9)的最大值与最小值之和为( ) A .2- 3 B .0 C .-1 D .-1- 3 (2)函数y =3-sin x -2cos 2x ,x ∈⎣⎡⎦⎤π6,76π的值域为________. [解析] (1)∵0≤x ≤9,∴-π3≤π6x -π3≤7π6,∴sin ⎝⎛⎭⎫π6x -π3∈⎣⎡⎦⎤-32,1. ∴y ∈[-3,2],∴y max +y min =2- 3. (2)∵x ∈⎣⎡⎦⎤π6,7π6,∴sin x ∈⎣⎡⎦⎤-12,1. 又y =3-sin x -2cos 2x =3-sin x -2(1-sin 2x )=2⎝⎛⎭⎫sin x -142+78,∴当sin x =14时,y min =78; 当sin x =-12或sin x =1时,y max =2.故该函数的值域为⎣⎡⎦⎤78,2. [答案] (1)A (2)⎣⎡⎦⎤78,2 [方法技巧]三角函数值域或最值的三种求法(1)直接法:直接利用sin x ,cos x 的值域求出.(2)化一法:化为y =A sin(ωx +φ)+k 的形式,确定ωx +φ的范围,根据正弦函数单调性写出函数的值域(最值).(3)换元法:把sin x 或cos x 看作一个整体,转化为二次函数,求在给定区间上的值域(最值)问题.能力练通 抓应用体验的“得”与“失”1.[考点一]函数y = cos x -32的定义域为( ) A.⎣⎡⎦⎤-π6,π6 B.⎣⎡⎦⎤k π-π6,k π+π6(k ∈Z) C.⎣⎡⎦⎤2k π-π6,2k π+π6(k ∈Z) D .R解析:选C 要使函数有意义,则cos x -32≥0,即cos x ≥32,解得2k π-π6≤x ≤2k π+π6,k ∈Z. 2.[考点二]函数f (x )=sin ⎝⎛⎭⎫2x -π4在区间⎣⎡⎦⎤0,π2上的最小值为( ) A .-1B .-22 C .0 D.22解析:选B 因为0≤x ≤π2,所以-π4≤2x -π4≤3π4,由正弦函数的图象知,-22≤sin ⎝⎛⎭⎫2x -π4≤1,所以函数f (x )=sin ⎝⎛⎭⎫2x -π4在区间⎣⎡⎦⎤0,π2上的最小值为-22. 3.[考点一]函数y =1tan x -1的定义域为________.解析:要使函数有意义,必须有⎩⎪⎨⎪⎧tan x -1≠0,x ≠π2+k π,k ∈Z ,即⎩⎨⎧x ≠π4+k π,k ∈Z ,x ≠π2+k π,k ∈Z.故函数的定义域为xx ≠π4+k π且x ≠π2+k π,k ∈Z.答案:⎩⎨⎧x ⎪⎪⎭⎬⎫x ≠π4+k π且x ≠π2+k π,k ∈Z 4.[考点一]函数y =lg(sin 2x )+9-x 2的定义域为________.解析:由⎩⎪⎨⎪⎧sin 2x >0,9-x 2≥0,得⎩⎪⎨⎪⎧k π<x <k π+π2,k ∈Z ,-3≤x ≤3.∴-3≤x <-π2或0<x <π2.∴函数y =lg(sin 2x )+9-x 2的定义域为⎣⎡⎭⎫-3,-π2∪⎝⎛⎭⎫0,π2. 答案:⎣⎡⎭⎫-3,-π2∪⎝⎛⎭⎫0,π2 5.[考点二]求函数y =cos 2x +sin x ⎝⎛⎭⎫|x |≤π4的最大值与最小值. 解:令t =sin x ,则y =-t 2+t +1=-⎝⎛⎭⎫t -122+54. ∵|x |≤π4,∴t ∈⎣⎡⎦⎤-22,22,∴当t =12时,y max =54,当t =-22时,y min =1-22.∴函数y =cos 2x +sin x ⎝⎛⎭⎫|x |≤π4的最大值为54,最小值为1-22.突破点(二) 三角函数的性质三角函数的单调性考法(一) [例1] 求下列函数的单调区间: (1)f (x )=2sin ⎝⎛⎭⎫x +π4,x ∈[0,π]; (2)f (x )=|tan x |;(3)f (x )=cos ⎝⎛⎭⎫2x -π6,x ∈⎣⎡⎦⎤-π2,π2. [解] (1)当-π2+2k π≤x +π4≤π2+2k π,k ∈Z ,即-3π4+2k π≤x ≤π4+2k π,k ∈Z 时,函数f (x )是增函数.当2k π+π2≤x +π4≤2k π+3π2,k ∈Z ,即2k π+π4≤x ≤2k π+5π4,k ∈Z 时,函数f (x )是减函数.又x ∈[0,π],所以f (x )的单调递增区间为⎣⎡⎦⎤0,π4, 单调递减区间为⎣⎡⎦⎤π4,π.(2)观察图象可知,y =|tan x |的单调递增区间是⎣⎡⎭⎫k π,k π+π2,k ∈Z ,单调递减区间是k π-π2,k π,k ∈Z.(3)当2k π-π≤2x -π6≤2k π(k ∈Z),即k π-5π12≤x ≤k π+π12,k ∈Z 时,函数f (x )是增函数;当2k π≤2x -π6≤2k π+π(k ∈Z),即k π+π12≤x ≤k π+7π12,k ∈Z 时,函数f (x )是减函数.因此函数f (x )在⎣⎡⎦⎤-π2,π2上的单调递增区间是-5π12,π12,单调递减区间为⎣⎡⎦⎤-π2,-5π12,⎣⎡⎦⎤π12,π2.[方法技巧]求三角函数单调区间的两种方法(1)代换法:就是将比较复杂的三角函数含自变量的代数式整体当作一个角u (或t ),利用基本三角函数的单调性列不等式求解.(2)图象法:画出三角函数的正、余弦曲线,结合图象求它的单调区间.[提醒] 求解三角函数的单调区间时,若x 的系数为负,应先化为正,同时切莫忽视函数自身的定义域.考法(二) 已知单调区间求参数范围[例2] 已知ω>0,函数f (x )=sin ⎝⎛⎭⎫ωx +π4在⎝⎛⎭⎫π2,π上是减函数,则ω的取值范围是________.[解析] 由π2<x <π,得π2ω+π4<ωx +π4<πω+π4,由题意知⎝⎛⎭⎫π2ω+π4,πω+π4⊆π2+2k π,3π2+2k π(k ∈Z)且2πω≥2×⎝⎛⎭⎫π-π2,则⎩⎨⎧π2ω+π4≥π2+2k π,k ∈Z ,πω+π4≤3π2+2k π,k ∈Z ,且0<ω≤2,故12≤ω≤54.[答案] ⎣⎡⎦⎤12,54[方法技巧] 已知单调区间求参数范围的三种方法 子集法求出原函数的相应单调区间,由已知区间是所求某区间的子集,列不等式(组)求解反子 集法 由所给区间求出整体角的范围,由该范围是某相应正、余弦函数的某个单调区间的子集,列不等式(组)求解周期 性法 由所给区间的两个端点到其相应对称中心的距离不超过14周期列不等式(组)求解三角函数的周期性[例3] (1)函数y =1-2sin 2⎝⎛⎭⎫x -3π4是( ) A .最小正周期为π的奇函数B .最小正周期为π的偶函数C .最小正周期为π2的奇函数D .最小正周期为π2的偶函数(2)若函数f (x )=2tan ⎝⎛⎭⎫kx +π3的最小正周期T 满足1<T <2,则自然数k 的值为________. [解析] (1)y =1-2sin 2⎝⎛⎭⎫x -3π4=cos 2x -3π4=-sin 2x , 所以f (x )是最小正周期为π的奇函数. (2)由题意知,1<π|k |<2,即|k |<π<2|k |.又k ∈N , 所以k =2或k =3. [答案] (1)A (2)2或3 [方法技巧]三角函数周期的求解方法(1)定义法:直接利用周期函数的定义求周期.(2)公式法:①三角函数y =sin x ,y =cos x ,y =tan x 的最小正周期分别为2π,2π,π;②y =A sin(ωx +φ)和y =A cos(ωx +φ)的最小正周期为2π|ω|,y =tan(ωx +φ)的最小正周期为π|ω|.(3)图象法:利用三角函数图象的特征求周期.如:相邻两最高点(最低点)之间为一个周期,最高点与相邻的最低点之间为半个周期.三角函数的奇偶性[例4] (1)函数f (x )=12(1+cos 2x )sin 2x (x ∈R)是( )A .最小正周期为π的奇函数B .最小正周期为π2的奇函数C .最小正周期为π的偶函数D .最小正周期为π2的偶函数(2)若函数f (x )=sin x +φ3(φ∈[0,2π])是偶函数,则φ=( )A.π2B.2π3C.3π2D.5π3[解析] (1)由题意知,f (x )=12(1+cos 2x )sin 2x =14(1+cos 2x )(1-cos 2x )=14(1-cos 22x )=18(1-cos 4x ),即f (x )=18(1-cos 4x ),则T =2π4=π2,f (-x )=18(1-cos 4x )=f (x ),因此函数f (x )是最小正周期为π2的偶函数.(2)由f (x )=sin x +φ3是偶函数,可得φ3=k π+π2,k ∈Z ,即φ=3k π+3π2(k ∈Z),又φ∈[0,2π],所以φ=3π2.[答案] (1)D (2)C [方法技巧]与三角函数的奇偶性相关的结论(1)若y =A sin(ωx +φ)为偶函数,则有φ=k π+π2(k ∈Z);若为奇函数,则有φ=k π(k ∈Z).(2)若y =A cos(ωx +φ)为偶函数,则有φ=k π(k ∈Z);若为奇函数,则有φ=k π+π2(k ∈Z).(3)若y =A tan(ωx +φ)为奇函数,则有φ=k π(k ∈Z).三角函数的对称性[例5] (1)函数f (x )=sin ⎝⎛⎭⎫x -π4的图象的一条对称轴是( ) A .x =π4B .x =π2C .x =-π4D .x =-π2(2)函数y =cos(3x +φ)的图象关于原点成中心对称图形,则φ=________.[解析] (1)由x -π4=k π+π2(k ∈Z),得x =k π+3π4(k ∈Z),当k =-1时,x =-π4,∴x =-π4是f (x )=sin ⎝⎛⎭⎫x -π4图象的一条对称轴. (2)由题意,得y =cos(3x +φ)是奇函数,故φ=k π+π2(k ∈Z).。
高中数学解三角形教案
一、教学目标:
1. 了解三角形的定义和性质;
2. 掌握解三角形的方法;
3. 能够运用解三角形的知识解决实际问题。
二、教学重点:
1. 三角形的定义和性质;
2. 解三角形的方法。
三、教学内容:
1. 三角形的定义和性质
2. 解三角形的方法
3. 实例分析
四、教学步骤:
1. 师生互动导入:通过实际例子引入三角形的定义和性质,例如让学生观察周围的物体,
找到其中的三角形并进行分类,引导学生讨论三角形的定义和性质。
2. 教学讲解:讲解三角形的定义和性质,包括三角形的内角和为180度、三边之和大于第三边等性质,引导学生理解三角形的基本概念。
3. 解三角形的方法:介绍解三角形的方法,包括余角、角平分线、作图等方法,讲解每种
方法的应用场景和步骤。
4. 实例分析:通过实际例子进行分析和讨论,引导学生运用解三角形的方法解决实际问题,加深对知识的理解和应用能力。
五、教学评价:
教师可通过课堂练习、作业和小测验等方式进行教学评价,检验学生对三角形的理解和解
题能力。
六、拓展延伸:
师生可通过课外探究、实验等方式拓展三角形的相关知识,激发学生的学习兴趣,提高学
生的综合能力。
七、教学反思:
教师应及时总结本节课的教学效果,结合学生的表现和反馈,不断优化教学方法,提高教学质量。
富县高级中学集体备课教案年级:高三(文) 科目:数学授课人:1审核人签字:3年级:高三(文) 科目:数学授课人:富县高级中学集体备课教案5审核人签字:年月日富县高级中学集体备课教案年级:高三(文) 科目:数学授课人:7审核人签字:年月日富县高级中学集体备课教案年级:高三(文) 科目:数学授课人:9审核人签字:年月日富县高级中学集体备课教案年级:高三(文) 科目:数学授课人:COS a ;(4)sin a± e os 2sin a±n .4.函数f( a=) acos oF bsin a (a b 为常数),可化为 f( a 寸 a2+ b2 sin( a f( e) a2+ b2 cos(方$)其中$可由a , b 的值唯一确定.二:题型归类 深度剖析 题型一:三角函数式的化简与求值1 t a【例1】(1)化简:+ atan 2tanz9, sin a 3 = I ,求 cos( a B 的值.题型三:三角函数的给值求角1 II【例I 】 已知cos %=-,cos(尸3 e —,且O v 37 14v aV n ,求 3.题型四:三角变换的综合应用1【例4】 已知f(x) =1 + sin2x —tanxn n2sin x + 4 sin x — 4 .(1) 若 tan = 2,求 f( 0的值; (2) 若 x €,n ,求f(x)的取值范围.归纳小结:(1) 拆角、拼角技巧:2 a= ( aF 3F ( — 3,a= ( a、a+ 3 a — 3 a — 3 3 a+ 3— 3 3= 2 - 2 , 2 = a+ 2 - 2F 3 .(2) 化简技巧:切化弦, “1的代换等.a-• 1 + tan (2)求值:[2si n50 ° +sinlO (°tanlO ° \2sin280题型二:三角函数的给值求值 n【例2】已知0V 3V 2< aVn,且 cos a —㊁审核人签字:年月日富县高级中学集体备课教案年级:高三(文) 科目:数学授课人:过程1(3) S = 尹 + b+ c)(r为内切圆半径).1(4) 设p = 2(a+ b + c),则S=寸p p—a p —b p—c .4•解二角形问题一般可用以下几步解答:第一步:利用正弦定理或余弦定理实现边角互化(本题为边化角)第二步:三角变换、化简、消兀,从而向已知角(或边)转化第三步:代入求值第四步:反思回顾,查看关键点,易错点,如本题中公式应用是否正确二:题型归类深度剖析题型一:利用正弦定理解三角形【例1 】在厶ABC 中,a=^/3, b=^, B = 45° 求A, C 和边c.题型二:利用余弦定理解三角形【例2】在厶ABC中,a、b、c分别是角A、B、cosB bC的对边,且cosC=—2a+ c.(1) 求角B的大小;(2) 若b =浙3, a+ c= 4,求厶ABC的面积. 题型三:正弦定理、余弦定理的综合应用【例3】已知a, b, c分别为△ ABC三个内角A, B , C 的对边,acosC+Q3asinC—b—c = 0.(1) 求A;(2) 若a= 2,A ABC的面积为寸3,求b, c.归纳小结:(1)已知两边及一边的对角,利用正弦定理求其他边或角•可能有一解、两解、无解.(2)判定三角形的形状,主要有两种途径:(1)化边为角;(2)化角为边,并常用正弦(余弦)定理实施边、角转换.审核人签字:富县高级中学集体备课教案年级:高三(文) 科目:数学授课人:审核人签字:年月日。
高三一轮复习:解三角形中的最值,范围问题一、教材分析:解三角形是高考中的重点题型,对正弦定理和余弦定理的考查比较灵活,题型多变,多与三角形周长,面积有关;有时也会与平面向量,三角恒等变换,不等式等结合考查。
而三角形中的最值问题又是一个重点。
处理这个最值问题解决方法主要有两种,分别是建立目标函数后,可以利用重要不等式解决,也可以利用三角函数的有界性解决。
这两种方法对学生的思维训练而言是很有价值的。
二、学情分析:授课对象为高三文科平行班学生。
本课之前,学生已经学习了三角函数和正弦余弦定理有关内容,但是本课综合性强,但对前后知识间的联系、理解、应用有一定难度,学生学习方面比较困难。
因此在教学过程中必须调动学生积极思考和留下给学生独立思考的时间。
我采用与新课标要求相一致的新的教学方式,即互动式的教学与多变式教学相结合的方法,带领学生主动参与分析问题、解决问题并品尝劳动成果的喜悦,在师生互动、生生互动中实现教学任务和目标。
三、教学重难点:重点:正弦定理和余弦定理及三角形面积公式的运用。
难点:掌握解三角形中处理不等关系的两种方法(1)转变为一个变量的函数:通过边角互化和代入消元,将多变量表达式转变为函数,从而将问题转化为求函数的值域(最值)(2)利用均值不等式求得最值四、教学过程(一)解三角形公式回顾1.正弦定理:,其中为外接圆的半径2.余弦定理:3.面积公式: S =12ab sinC =12bcsinA =12ac sinB2sin sin sin a b c R A B C===R ABC V 2222cos a b c bc A =+-(二)例题精讲已知的内角的对边分别为,若向量,且.(1)求角的值;(2)求sinB+sinC 的取值范围;[设计意图]: 本题将引导学生利用三角恒等变换和三角函数图像解决取值范围问题。
是对三角函数知识的一个巩固。
试题分析:(1)由,得,题目中边角共存,利用正弦定理化为纯角问题可得(2) 介绍求解三角形取值范围的第一种解法,用题中条件和三角形内角和定理化为一个角的三角式函数最值问题,把角的变量个数减少,这种思路也是多元取值范围问题的常用方法。
高三一轮 3.7 解三角形【教学目标】1。
掌握正弦定理、余弦定理,并能解决一些简单的三角形度量问题;2。
本部分是高考中的重点考查内容,主要考查利用正、余弦定理解三角形、判断三角形的形状,求三角形的面积及解三角形的具体应用问题.【重点难点】1。
教学重点:熟练运用正、余弦定理解三角形;2.教学难点:学会对知识进行整理达到系统化,提高分析问题和解决问题的能力;【教学策略与方法】自主学习、小组讨论法、师生互动法【教学过程】cos A ≠..的最大值ac 0B <∠(2)(1)2cos 由可知A =-02cos A A <∠+7.(20162cos (cos 全国课标已知C a ((((1)2cos cos 2cos sin sin (0,C a C A A B A C π++∴+∈(2)c =若2(2)7a =由余弦定理即1∠A为锐角∠A为钝角或直角图形关系式a=b sin A b sin A<a〈b a≥b a〉b 解的个数一解两解一解一解知识点3 三角形常用面积公式(1)S=错误!a·h a(h a表示边a上的高);(2)S=12ab sin C=12ac sin B=错误!bc sin A;(3)S=错误!r(a+b+c)(r为内切圆半径).名师点睛:1.必会结论引导学生通过对基础知识的逐点扫描,来澄清概念,加强理识别能力和解题效率。
教师引导学生及时总结,以帮助学生形成完整的认知结构.1.如图,一辆汽车在一条水平的公路上向正西行驶,到A处时测得公路北侧一山顶D在西偏北30°的方向上,行驶600 m 后到达B处,测得此山顶在西偏北75°的方向上,仰角为30°,则此山的高度CD=______m.【解析】由题意,在△ABC 中,∠BAC=30°,∠ABC=180°-75°=105°,故∠ACB =45°。
解三角形一.【课标要求】(1)通过对任意三角形边长和角度关系的探索,掌握正弦定理、余弦定理,并能解决一些简单的三角形度量问题;(2)能够运用正弦定理、余弦定理等知识和方法解决一些与测量和几何计算有关的实际问题。
二.【命题走向】对本讲内容的考察主要涉及三角形的边角转化、三角形形状的判断、三角形内三角函数的求值以及三角恒等式的证明问题,立体几何体的空间角以及解析几何中的有关角等问题。
今后高考的命题会以正弦定理、余弦定理为知识框架,以三角形为主要依托,结合实际应用问题考察正弦定理、余弦定理及应用。
题型一般为选择题、填空题,也可能是中、难度的解答题三.【要点精讲】1.直角三角形中各元素间的关系:如图,在△ABC 中,C =90°,AB =c ,AC =b ,BC =a 。
(1)三边之间的关系:a 2+b 2=c 2。
(勾股定理) (2)锐角之间的关系:A +B =90°; (3)边角之间的关系:(锐角三角函数定义) sin A =cos B =c a ,cos A =sin B =c b ,tan A =ba。
2.斜三角形中各元素间的关系:如图6-29,在△ABC 中,A 、B 、C 为其内角,a 、b 、c 分别表示A 、B 、C 的对边。
(1)三角形内角和:A +B +C =π。
(2)正弦定理:在一个三角形中,各边和它所对角的正弦的比相等R CcB b A a 2sin sin sin ===。
(R 为外接圆半径)(3)余弦定理:三角形任何一边的平方等于其他两边平方的和减去这两边与它们夹角的余弦的积的两倍a 2=b 2+c 2-2bc cos A ;b 2=c 2+a 2-2ca cos B ;c 2=a 2+b 2-2ab cos C 。
3.三角形的面积公式:(1)△=21ah a =21bh b =21ch c (h a 、h b 、h c 分别表示a 、b 、c 上的高); (2)△=21ab sin C =21bc sin A =21ac sin B ;(3)△=)sin(2sin sin 2C B C B a +=)sin(2sin sin 2A C A C b +=)sin(2sin sin 2B A BA c +;(4)△=2R 2sin A sin B sin C 。
图二abc CBA图一cabA BC某某省东北师X大学附属中学2015届高考数学一轮复习解三角形教案理知识梳理:1、直角三角形各元素之间的关系:如图1,在Rt ABC中,C=,BC=a,AC=b,Ab=c。
(1)、三边之间的关系:+=;(勾股定理)(2)、锐角之间的关系:A+B=(3)、边角之间的关系:(锐角三角函数的定义):sinA=cosB= sinB=cosA= ,tanA2、斜三角形各元素之间的关系:如图2,ABC 中,A、B、C为其内角,a、b、c 分别表示A、B 、C的对边。
(1)、三角形内角之间的关系:A+B+C=;sin(A+B)=sinC,cos(A+B)=-cosC;tan(A+B)=-tanCsin; cos;(2)、三边之间的关系:两边之和大于第三边,两边之差小于第三边;(3)、正弦定理:在一个三角形中,各边和它所对角的正弦值的比相等;即=2R (2R为外接圆的直径)正弦定理变形:a=2R;;;;;a:b:c=(4)、余弦定理:=-2bccosA; =-2accosB;-2abcosC;余弦定理变形:cosA= ; cosB=; cosC=3、三角形的面积公式:(1)、=a=b=c(,,分别表示a,b,c三边上的高)(2)、=absinC=bcsinA=casinB(3)、=2=(4)、=;(5)、=rs(r为内切圆半径,)4、解三角形:由三角形的六个元素(即三个内角和三条边)中的三个元素(其中至少有一个是边)求其它未知元素的问题叫做解三角形,这里所说的元素还可以包括三角形的高、中线、角平分线、内切圆半径、外接圆半径、面积等等,解三角形问题一般可以分为下面两个情形:若给出是直角三角形,则称为解直角三角形;若给出的三角形为斜三角形,则称为解斜三角形。
5、实际问题中的应用。
(1)、仰角和俯角:(2)、方位角:指从正北方向顺时针转到目标方向线的角。
(3)、坡度角:坡面与水平面所成的二面角的度数。
第27讲 解三角形一.【课标要求】(1)通过对任意三角形边长和角度关系的探索,掌握正弦定理、余弦定理,并能解决一些简单的三角形度量问题;(2)能够运用正弦定理、余弦定理等知识和方法解决一些与测量和几何计算有关的实际问题。
二.【命题走向】对本讲内容的考察主要涉及三角形的边角转化、三角形形状的判断、三角形内三角函数的求值以及三角恒等式的证明问题,立体几何体的空间角以及解析几何中的有关角等问题。
今后高考的命题会以正弦定理、余弦定理为知识框架,以三角形为主要依托,结合实际应用问题考察正弦定理、余弦定理及应用。
题型一般为选择题、填空题,也可能是中、难度的解答题三.【要点精讲】1.直角三角形中各元素间的关系:如图,在△ABC 中,C =90°,AB =c ,AC =b ,BC =a 。
(1)三边之间的关系:a 2+b 2=c 2。
(勾股定理)(2)锐角之间的关系:A +B =90°;(3)边角之间的关系:(锐角三角函数定义)sin A =cos B =c a ,cos A =sin B =cb,tan A =ba。
2.斜三角形中各元素间的关系:如图6-29,在△ABC 中,A 、B 、C 为其内角,a 、b 、c 分别表示A 、B 、C 的对边。
(1)三角形内角和:A +B +C =π。
(2)正弦定理:在一个三角形中,各边和它所对角的正弦的比相等R CcB b A a 2sin sin sin ===。
(R 为外接圆半径)(3)余弦定理:三角形任何一边的平方等于其他两边平方的和减去这两边与它们夹角的余弦的积的两倍a 2=b 2+c 2-2bc cos A ;b 2=c 2+a 2-2ca cos B ;c 2=a 2+b 2-2ab cos C 。
3.三角形的面积公式:(1)△=21ah a =21bh b =21ch c (h a 、h b 、h c 分别表示a 、b 、c 上的高); (2)△=21ab sin C =21bc sin A =21ac sin B ;(3)△=)sin(2sin sin 2C B C B a +=)sin(2sin sin 2A C A C b +=)sin(2sin sin 2B A BA c +;(4)△=2R 2sin A sin B sin C 。