高三数学三角函数经典练习题及答案精析
- 格式:docx
- 大小:825.74 KB
- 文档页数:19
高三数学三角函数试题答案及解析1.设角的终边在第一象限,函数的定义域为,且,当时,有,则使等式成立的的集合为.【答案】【解析】令得:,令得:,由得:,又角的终边在第一象限,所以因而的集合为.【考点】抽象函数赋值法2.“θ≠”是“cos θ≠”的()A.充分不必要条件B.必要不充分条件C.充要条件D.既不充分也不必要条件【答案】B【解析】因为“cos θ=”是“θ=”的必要不充分条件,所以“θ≠”是“cos θ≠”的必要不充分条件,选B.3.已知函数,则一定在函数图象上的点是()A.B.C.D.【答案】C.【解析】根据的解析式,求出,判断函数的奇偶性,由函数的奇偶性去判断四个选项是否在图象上..为奇函数,在图象上.故选C.【考点】函数的奇偶性.4.函数y=的定义域是.【答案】{x|kπ-<x≤kπ+,k∈Z}【解析】由1-tanx≥0,即tanx≤1,结合正切函数图象可得,kπ-<x≤kπ+,k∈Z,故函数的定义域是{x|kπ-<x≤kπ+,k∈Z}.5.若方程有实根,则实数的取值范围为【答案】【解析】由方程得,,即,因为,所以,若方程有实根,则,解得.【考点】方程的根.6.已知的三个内角所对的边分别为,且,则角的大小为 .【答案】【解析】根据正弦定理:,,即:,,【考点】1、正弦定理;2、两角和与差的三角函数公式.7.已知函数上有两个零点,则的值为()A.B.C.D.【答案】D【解析】,由于,故,由于函数在区间上有两个零点,所以,所以,所以,故选D.【考点】1.三角函数的图象;2.三角函数的对称性8.已知函数d的最大值为2,是集合中的任意两个元素,且的最小值为.(1)求函数的解析式及其对称轴;(2)若,求的值.【答案】(1),;(2).【解析】本题主要考查两角和与差的正弦公式、二倍角的余弦公式、诱导公式、三角函数的最小正周期、单调性等基础知识,考查运算能力.第一问,利用倍角公式化简表达式,先利用周期求出,再求最值,通过解方程求出,确定了解析式后求正弦函数的对称轴;第二问,通过角之间的关系转化角,考查诱导公式和倍角公式.试题解析:(1),由题意知:的周期为,由,知 2分由最大值为2,故,又, 4分∴ 5分令,解得的对称轴为 7分(2)由知,即, 8分∴ 10分12分【考点】1.倍角公式;2.两角和与差的三角函数;3.函数的周期;4.函数的对称轴.9.已知函数时有极大值,且为奇函数,则的一组可能值依次为( )A.B.C.D.【答案】D【解析】,因为当时有极大值,所以=0,解得当k=0时,;因为=为奇函数,所以,当k=0时,,故选D.【考点】1.求函数的导数及其导数的性质;2.三角函数的性质.10.已知函数的最大值为4,最小值为0,最小正周期为,直线是其图像的一条对称轴,则下列各式中符合条件的解析式是()A.B.C.D.【答案】D【解析】由题意可得,则据此可知答案选D.【考点】函数的图像与性质.11.中,角所对的边分别为且.(Ⅰ)求角的大小;(Ⅱ)若向量,向量,,,求的值.【答案】(Ⅰ);(Ⅱ);【解析】(Ⅰ)主要利用三角形中内角和定理、三角恒等变换来求;(Ⅱ)通过余弦定理、解方程组可求;试题解析:(Ⅰ)∵∴,∴,∴或∴(II)∵∴,即①又,∴,即②由①②可得,∴又∴,∴【考点】解三角形中内角和定理以及余弦定理的使用、三角恒等变换等知识点,考查学生的计算能力.12.在中,角的对边分别为向量,,且.(1)求的值;(2)若,,求角的大小及向量在方向上的投影.【答案】(1);(2),向量在方向上的投影.【解析】(1)由向量数量积坐标形式列式,可求得的值,再利用平方关系可求得的值;(2)先利用正弦定理可求得的值,再利用大边对大角可求得角的大小.由投影的定义可求得向量在方向上的投影.试题解析:(1)由,得, 1分, 2分.. 3分.4分(2)由正弦定理,有, 5分.6分,, 7分. 8分由余弦定理,有, 9分或(舍去). 10分故向量在方向上的投影为 11分. 12分【考点】1、向量数量积、投影;2、三角恒等变换;3、解三角形.13.已知函数若方程有三个不同的实根,且从小到大依次成等比数列,则m的值为 .【答案】【解析】设三个根由小到大依次为,结合余弦函数图像可知关于直线对称,关于直线对称,代入计算得【考点】三角函数图像及性质点评:题目中主要结合三角函数图像的轴对称性找到三根之间的联系14.函数的最小正周期为.【答案】【解析】根据题意,由于即为其周期,故答案为【考点】三角函数的性质点评:主要是考查了三角函数的性质的运用,属于基础题。
三角函数题解1.(2003上海春,15)把曲线y cos x +2y -1=0先沿x 轴向右平移2π个单位,再沿y 轴向下平移1个单位,得到的曲线方程是( )A.(1-y )sin x +2y -3=0B.(y -1)sin x +2y -3=0C.(y +1)sin x +2y +1=0D.-(y +1)sin x +2y +1=0 2.(2002春北京、安徽,5)若角α满足条件sin2α<0,cos α-sin α<0,则α在( ) A.第一象限 B.第二象限 C.第三象限 D.第四象限3.(2002上海春,14)在△ABC 中,若2cos B sin A =sinC ,则△ABC 的形状一定是( ) A.等腰直角三角形 B.直角三角形 C.等腰三角形 D.等边三角形4.(2002京皖春文,9)函数y =2sin x 的单调增区间是( ) A.[2k π-2π,2k π+2π](k ∈Z )B.[2k π+2π,2k π+23π](k ∈Z )C.[2k π-π,2k π](k ∈Z )D.[2k π,2k π+π](k ∈Z )5.(2002全国文5,理4)在(0,2π)内,使sin x >cos x 成立的x 取值范围为( ) A.(4π,2π)∪(π,45π)B.(4π,π)C.(4π,45π)D.(4π,π)∪(45π,23π)6.(2002北京,11)已知f (x )是定义在(0,3)上的函数,f (x )的图象如图4—1所示,那么不等式f (x )cos x <0的解集是( )A.(0,1)∪(2,3)B.(1,2π)∪(2π,3)图4—1C.(0,1)∪(2π,3)D.(0,1)∪(1,3)7.(2002北京理,3)下列四个函数中,以π为最小正周期,且在区间(2π,π)上为减函数的是( )A.y =cos 2xB.y =2|sin x |C.y =(31)cos xD.y =-cot x8.(2002上海,15)函数y =x +sin|x |,x ∈[-π,π]的大致图象是( )9.(2001春季北京、安徽,8)若A 、B 是锐角△ABC 的两个内角,则点P (cos B -sin A ,sin B -cos A )在( )A.第一象限B.第二象限C.第三象限D.第四象限10.(2001全国文,1)tan300°+cot405°的值是( ) A.1+3B.1-3C.-1-3D.-1+311.(2000全国,4)已知sin α>sin β,那么下列命题成立的是( ) A.若α、β是第一象限角,则cos α>cos β B.若α、β是第二象限角,则tan α>tan β C.若α、β是第三象限角,则cos α>cos β D.若α、β是第四象限角,则tan α>tan β12.(2000全国,5)函数y =-x cos x 的部分图象是( )13.(1999全国,4)函数f (x )=M sin (ωx +ϕ)(ω>0),在区间[a ,b ]上是增函数,且f (a )=-M ,f (b )=M ,则函数g (x )=M cos (ωx +ϕ)在[a ,b ]上( )A.是增函数B.是减函数C.可以取得最大值-D.可以取得最小值-m14.(1999全国,11)若sin α>tan α>cot α(-2π<α<2π),则α∈( ) A.(-2π,-4π) B.(-4π,0)C.(0,4π) D.(4π,2π)15.(1999全国文、理,5)若f (x )sin x 是周期为π的奇函数,则f (x )可以是( ) A.sin x B.cos x C.sin2x D.cos2x16.(1998全国,6)已知点P (sin α-cos α,tan α)在第一象限,则在[0,2π]内α的取值范围是( )A.(2π,43π)∪(π,45π) B.(4π,2π)∪(π,45π) C.(2π,43π)∪(45π,23π) D.(4π,2π)∪(43π,π) 17.(1997全国,3)函数y =tan (3121-x π)在一个周期内的图象是( )18.(1996全国)若sin 2x >cos 2x ,则x 的取值范围是( ) A.{x |2k π-43π<x <2k π+4π,k ∈Z }B.{x |2k π+4π<x <2k π+45π,k ∈Z }C.{x |k π-4π<x <k π+4π,k ∈Z }D.{x |k π+4π<x <k π+43π,k ∈Z }19.(1995全国文,7)使sin x ≤cos x 成立的x 的一个变化区间是( ) A.[-43π,4π] B.[-2π,2π]C.[-4π,43π] D.[0,π]20.(1995全国,3)函数y =4sin (3x +4π)+3cos (3x +4π)的最小正周期是( )A.6πB.2πC.32πD.3π21.(1995全国,9)已知θ是第三象限角,若sin 4θ+cos 4θ=95,那么sin2θ等于( ) A.322 B.-322 C.32D.-32 22.(1994全国文,14)如果函数y =sin2x +a cos2x 的图象关于直线x =-8π对称,那么a等于( )A.2B.-2C.1D.-123.(1994全国,4)设θ是第二象限角,则必有( ) A.tan2θ>cot 2θ B.tan2θ<cot 2θC.sin2θ>cos 2θD.sin2θ-cos 2θ 24.(2002上海春,9)若f (x )=2sin ωx (0<ω<1)在区间[0,3π]上的最大值是2,则ω= .25.(2002北京文,13)sin 52π,cos 56π,tan 57π从小到大的顺序是 .26.(1997全国,18)︒︒-︒︒︒+︒8sin 15sin 7cos 8sin 15cos 7sin 的值为_____.27.(1996全国,18)tan20°+tan40°+3tan20°·tan40°的值是_____.28.(1995全国理,18)函数y =sin (x -6π)cos x 的最小值是 .29.(1995上海,17)函数y =sin 2x +cos 2x在(-2π,2π)内的递增区间是 .30.(1994全国,18)已知sin θ+cos θ=51,θ∈(0,π),则cot θ的值是 .31.(2000全国理,17)已知函数y =21cos 2x +23sin x cos x +1,x ∈R .(1)当函数y 取得最大值时,求自变量x 的集合;(2)该函数的图象可由y =sin x (x ∈R )的图象经过怎样的平移和伸缩变换得到?32.(2000全国文,17)已知函数y =3sin x +cos x ,x ∈R .(1)当函数y 取得最大值时,求自变量x 的集合;(2)该函数的图象可由y =sin x (x ∈R )的图象经过怎样的平移和伸缩变换得到?33.(1995全国理,22)求sin 220°+cos 250°+sin20°cos50°的值.34.(1994上海,21)已知sin α=53,α∈(2π,π),tan (π-β)=21,求tan (α-2β)的值.35.(1994全国理,22)已知函数f (x )=tan x ,x ∈(0,2π),若x 1、x 2∈(0,2π),且x 1≠x 2,证明21[f (x 1)+f (x 2)]>f (221x x +).36.已知函数12()log (sin cos )f x x x =-⑴求它的定义域和值域; ⑵求它的单调区间; ⑶判断它的奇偶性; ⑷判断它的周期性.37. 求函数f (x )=121log cos()34x π+的单调递增区间38. 已知f (x )=5sin x cos x -35cos 2x +325(x ∈R ) ⑴求f (x )的最小正周期; ⑵求f (x )单调区间;⑶求f (x )图象的对称轴,对称中心。
高三数学三角函数的图象与性质试题答案及解析1.将函数f(x)=sinωx(其中ω>0)的图象向右平移个单位长度,所得图象关于对称,则ω的最小值是( )A.6B.C.D.【答案】D【解析】将f(x)=sinωx的图象向左平移个单位,所得图象关于x=,说明原图象关于x=-对称,于是f(-)=sin(-)=±1,故(k∈Z),ω=3k+(k∈Z),由于ω>0,故当k=0时取得最小值.选D考点:三角函数的图象与性质2.已知函数的最大值是2,且.(1)求的值;(2)已知锐角的三个内角分别为,,,若,求的值.【答案】(1);(2)【解析】(1)先由辅助角公式将化为一个的三角函数,利用最大值为2求出A,再利用列出关于的方程,解出的值;(2)由(1)可得的解析式,由可求得和,再由同角三角函数基本关系式求出,将2C代入将用C表示出来,利用三角形内角和定理及诱导公式,将化为A,B的函数,再利用两角和与差的三角公式,化为A,B的三角函数,即可求出.试题解析:(1)∵函数的最大值是2,,∴ 2分∵又∵,∴ 4分(2)由(1)可知 6分,∴ 8分∵∴, 10分∴12分考点: 辅助角公式;三角函数图像与性质;诱导公式;两角和与差的三角公式;运算求解能力3.函数的部分图象如图所示,则的值分别是()A.B.C.D.【答案】A【解析】由图知在时取到最大值,且最小正周期满足,故,,∴,∵,∴,∴,∴,∴.【考点】由三角函数图象确定函数解析式.4.设则A.B.C.D.【答案】C.【解析】故选C.【考点】1.三角函数基本关系式(商关系);2. 三角函数的单调性.5.设函数.(1)求函数f(x)的最大值和最小正周期。
(2)设A、B、C为⊿ABC的三个内角,若,,且C为锐角,求.【答案】(1);(2)【解析】(1)利用领个角的和的余弦公式、二倍角化简整理得,由可求得函数的最大值,根据求出函数的最小正周期;(2)将代入,再利用倍角公式求得,从而得到角,由,根据,求得,由结合诱导公式、两个角的和的正弦公式求出结论.(1).∴当,即(k∈Z)时,,(4分)f(x)的最小正周期,故函数f(x)的最大值为,最小正周期为π.(6分)(2)由,即,解得.又C为锐角,∴.(8分)∵,∴.∴.(12分)【考点】三角函数的和差公式、二倍角公式.6.(12分)(2011•广东)已知函数f(x)=2sin(x﹣),x∈R.(1)求f(0)的值;(2)设α,β∈,f(3)=,f(3β+)=.求sin(α+β)的值.【答案】(1)﹣1(2)【解析】(1)把x=0代入函数解析式求解.(2)根据题意可分别求得sinα和sinβ的值,进而利用同角三角函数基本关系求得cosα和cosβ的值,最后利用正弦的两角和公式求得答案.解:(1)f(0)=2sin(﹣)=﹣1(2)f(3)=2sinα=,f(3β+)=2sinβ=.∴sinα=,sinβ=∵α,β∈,∴cosα==,cosβ==∴sin(α+β)=sinαcosβ+cosαsinβ=点评:本题主要考查了两角和与差的正弦函数.考查了对三角函数基础公式的熟练记忆.7.已知命题:函数是最小正周期为的周期函数,命题:函数在上单调递减,则下列命题为真命题的是()A.B.C.D.【答案】D【解析】函数的最小正周期为,故命题为真命题;结合正切函数图象可知,正切函数在区间上是增函数,因此函数在区间上是增函数,故命题为假命题,因此命题、、为假命题,为真命题,故选D.【考点】1.三角函数的基本性质;2.复合命题8.(2013•湖北)将函数的图象向左平移m(m>0)个单位长度后,所得到的图象关于y轴对称,则m的最小值是()A.B.C.D.【答案】B【解析】y=cosx+sinx=2(cosx+sinx)=2sin(x+),∴图象向左平移m(m>0)个单位长度得到y=2sin[(x+m)+]=2sin(x+m+),∵所得的图象关于y轴对称,∴m+=kπ+(k∈Z),则m的最小值为.故选B9.已知函数,.(1)求函数的最小正周期;(2)若函数有零点,求实数的取值范围.【答案】(1);(2)实数的取值范围是.【解析】(1)求函数的最小正周期,需对函数化简,把它化为一个角的一个三角函数,利用来求,因此本题的关键是化简,由形式,需对三角函数降次,因此利用二倍角公式将函数化为,由,即可得,即可求出周期;(2)若函数有零点,即,有解,移项得,因此,方程有解,只要在函数的值域范围即可,因此只需求出即可.(1) 4分6分∴周期 7分(2)令,即, 8分则, 9分因为, 11分所以, 12分所以,若有零点,则实数的取值范围是. 13分【考点】三角恒等变化,三角函数的周期,值域.10.已知向量,设函数.(1)求f(x)的最小正周期;(2)求f(x)在[0,]上的最大值和最小值.【答案】(1)π(2)最大值是1,最小值是-【解析】(1)f(x)=a·b=(cosx,-)·(sinx,cos2x)=cosxsinx-cos2x=sin2x-cos2x=sin(2x-)f(x)的最小正周期为T=π,(2)∵0≤x≤,∴-≤2x-≤.由正弦函数的性质知,sin(2x-)∈[-,1]当2x-=,即x=时,f(x)取得最大值1.当2x-=-,即x=0时,f(0)=-,因此, f(x)在[0,]上的最大值是1,最小值是-.11.已知函数f(x)=(2cos2x-1)sin2x+cos4x(1)求f(x)的最小正周期及最大值。
1在△ABC 中,角A 、B 、C 所对的边分别是a ,b ,c ,且.21222ac b c a =-+ (1)求B CA 2cos 2sin 2++的值; (2)若b=2,求△ABC 面积的最大值. 解:(1) 由余弦定理:conB=14sin22A B ++cos2B= -14(2)由.415sin ,41cos ==B B 得 ∵b=2, a2+c 2=12ac+4≥2ac,得ac ≤38,S △ABC =12acsinB ≤315(a=c 时取等号)故S △ABC 的最大值为3152在△ABC 中,角A ,B ,C 的对边分别为a ,b ,c ,且.cos cos 3cos B c B a C b -= (I )求cosB 的值;(II )若2=⋅BC BA ,且22=b ,求c a 和b 的值.解:(I )由正弦定理得C R c B R b A R a sin 2,sin 2,sin 2===,,0sin .cos sin 3sin ,cos sin 3)sin(,cos sin 3cos sin cos sin ,cos sin cos sin 3cos sin ,cos sin 2cos sin 6cos sin 2≠==+=+-=-=A B A A B A C B B A B C C B B C B A C B B C R B A R C B R 又可得即可得故则因此.31cos =B(II )解:由2cos ,2==⋅B a 可得,,,0)(,12,cos 2,6,31cos 222222c a c a c a B ac c a b ac B ==-=+-+===即所以可得由故又 所以a =c = 63已知向量m =()B B cos 1,sin -, 向量n = (2,0),且m 与n 所成角为π3,其中A 、B 、C 是ABC ∆的内角。
(1)求角B 的大小;(2)求 C A sin sin +的取值范围。
三角函数高三计算题解析一、单选题1.(2024·湖北·二模)若ππcos ,,tan 223sin αααα⎛⎫∈-= ⎪-⎝⎭,则πsin 23α⎛⎫-= ⎪⎝⎭()A .718-B .718-C .18-D .182.(23-24高三下·重庆·阶段练习)若,π2α⎛⎫∈ ⎪⎝⎭,且cos 13αα=,则sin 212α⎛⎫- ⎪⎝⎭的值为()A B .338C .D .3.(2024·全国·模拟预测)已知角θ的顶点为坐标原点,始边与x轴的正半轴重合,点2023π2023πsin,cos46P⎛⎫⎪⎝⎭在角θ的终边上,则sin21cos2θθ=+()AB.C D.4.(2024·陕西咸阳·二模)当函数3sin4cosy x x=+取得最小值时,sin6x⎛⎫+=⎪⎝⎭()A.4+-B.310+-C.310+D.410+5.(2024·安徽·模拟预测)已知()tan 4αβ-=,()()sin 3cos αβαβ-=+,则tan tan αβ-=()A .12B .35C .65D .536.(2024·山东泰安·一模)若2πcos 24sin 22αα⎛⎫+-=- ⎪⎝⎭,则tan2α=()A .2-B .12-C .2D .127.(2024·贵州毕节·模拟预测)已知sin 125α⎛⎫+= ⎪⎝⎭,0,2α⎛⎫∈ ⎪⎝⎭,则cos 3α⎛⎫+= ⎪⎝⎭()A .10-B .5-C .4D .34-8.(2024·福建泉州·模拟预测)若0,2α⎛⎫∈ ⎪⎝⎭,3sin 2cos 2sin cos 20αααα+=,则tan α=()A .4B .2C .12D .149.(2024·河北·模拟预测)已知1tan 22θ=-,则3cos sin cos θθθ=+()A .925-B .925C .2725-D .272510.(2024·江苏盐城·模拟预测)在ABC 中,已知tan tan tan tan 1A B A B ++=,则cos 2sin C C +的值为()A .2B .2C D .11.(2024·辽宁·一模)已知,αβ满足πππ2π,44αβ≤≤-≤≤,且553π32cos 5,962sin252ααββ⎛⎫-+=+=- ⎪⎝⎭,则24πsin 994αβ⎛⎫+-=⎪⎝⎭()A B C D12.(23-24高三下·内蒙古锡林郭勒盟·开学考试)若cos 20501)a -=,则=a ()A .12B .1C .32D .213.(23-24高三下·江苏扬州·阶段练习)已知()cos(),cos 35αβαβ+=-=,则2log (tan tan )αβ-=()A .12B .12-C .2D .2-【答案】D根据余弦的和差角公式求得tan tan αβ,再求结果即可.【详解】因为()11cos(),cos35αβαβ+=-=,14.(2024高三·全国·专题练习)已知sin 1523α︒⎛⎫-= ⎪⎝⎭,则()cos 30α︒-=()A .13B .13-C .23D .23-【答案】A 【详解】因为sin (15°-)=,所以cos (30°-α)=cos 2(15°-)=1-2sin2(15°-)=1-2×=.15.(2024·吉林白山·二模)若πcos 43πcos 4αα⎛⎫+ ⎪⎝⎭=⎛⎫- ⎪⎝⎭,则πtan 24α⎛⎫-= ⎪⎝⎭()A .7-B .7C .17-D .17【详解】因为πcos cos sin 1tan 43πcos sin 1tan cos 4αααααααα⎛⎫+ ⎪--⎝⎭===++⎛⎫- ⎪⎝⎭,故1tan 2α=-,则22122tan 42tan21tan 3112ααα⎛⎫⨯- ⎪⎝⎭===--⎛⎫-- ⎪⎝⎭,故4π1tan2tanπ34tan 27π441tan2tan 143ααα---⎛⎫-== ⎪⎝⎭+⋅-.故选:B.16.(23-24高三下·江西·开学考试)已知α为锐角,且πtan tan 14αα⎛⎫++= ⎪⎝⎭,则sin 21cos 2αα+=()A .12B .3-C .2-D .13【答案】C 【分析】根据已知条件结合两角和的正切公式可得出关于tan α的方程,由已知可得出tan 0α>,可得出关于tan α的方程,求出tan α的值,利用二倍角的正弦和余弦公式可求得所求代数式的值.【详解】因为α为锐角,则tan 0α>,则πtantan π4tan tan tan π41tan tan 4ααααα+⎛⎫++=+⎪⎝⎭-1tan tan 11tan ααα+=+=-,整理可得2tan 3tan 0αα-=,解得tan 3α=,所以,()()()22222cos sin sin 21cos 2sin cos sin cos 2cos sin cos sin cos sin αααααααααααααα++++==--+cos sin 1tan 132cos sin 1tan 13αααααα+++====----.故选:C.17.(2023·全国·高考真题)已知()11sin ,cos sin 36αβαβ-==,则()cos 22αβ+=().A .79B .19C .19-D .79-18.(2021·全国·高考真题)若tan 2θ=-,则sin 1sin 2sin cos θθ+=+()A .65-B .25-C .25D .6519.(2021·全国·高考真题)若0,,tan 222sin παααα⎛⎫∈= ⎪-⎝⎭,则tan α=()A .15B C D20.(1995·全国·高考真题)已知θ是第三象限的角,且44sin cos 9+=θθ,那么sin 2θ的值为A B .C .23D .23-。
高三数学三角函数试题答案及解析1.设角的终边在第一象限,函数的定义域为,且,当时,有,则使等式成立的的集合为.【答案】【解析】令得:,令得:,由得:,又角的终边在第一象限,所以因而的集合为.【考点】抽象函数赋值法2. sin7°cos37°﹣sin83°cos53°的值为()A.﹣B.C.D.﹣【答案】A【解析】sin7°cos37°﹣sin83°cos53°=cos83°cos37°﹣sin83°sin37°=cos(83°+37°)=cos120°=﹣,故选A.3.若点在函数的图象上,则的值为 .【答案】.【解析】由题意知,解得,所以.【考点】1.幂函数;2.三角函数求值4.已知函数则=【答案】【解析】因为函数由需要求的x都是整数,所以当x为奇数时的解析式为,当x为偶数时的解析式为.所以.所以.【考点】1.分段函数的性质.2.归纳推理的思想.3.三角函数的运算.4.等差数列的求和公式.5.已知向量,设函数.(1)求函数在上的单调递增区间;(2)在中,,,分别是角,,的对边,为锐角,若,,的面积为,求边的长.【答案】(1)函数在上的单调递增区间为,;(2)边的长为.【解析】(1)根据平面向量的数量积,应用和差倍半的三角函数公式,将化简为.通过研究的单调减区间得到函数在上的单调递增区间为,.(2)根据两角和的正弦公式,求得,利用三角形的面积,解得,结合,由余弦定理得从而得解.试题解析:(1)由题意得3分令,解得:,,,或所以函数在上的单调递增区间为, 6分(2)由得:化简得:又因为,解得: 9分由题意知:,解得,又,所以故所求边的长为. 12分【考点】平面向量的数量积,和差倍半的三角函数,三角函数的图像和性质,正弦定理、余弦定理的应用.6.函数的最小正周期为,若其图象向右平移个单位后关于y轴对称,则()A.B.C.D.【答案】B【解析】由题意可知:,得,函数关于对称,所以,,又因为,解得,故选B.【考点】的图像和性质7.已知函数的最小正周期为,将的图像向左平移个单位长度,所得图像关于轴对称,则的一个值是()A.B.C.D.【答案】D【解析】函数的最小正周期为,所以从而.将各选项代入验证可知选【考点】1、三角函数的周期;2、函数图象的变换8.若函数的一个对称中心是,则的最小值为()A.B.C.D.【答案】B【解析】由于正切函数的对称中心坐标为,且函数的一个对称中心是,所以,因此有,因为,所以当时,取最小值,故选B.【考点】三角函数的对称性9.在中,(1)求角B的大小;(2)求的取值范围.【答案】(1) ;(2) .【解析】(1)由正弦定理实现边角互化,再利用两角和与差的正余弦公式化简为,再求角的值;(2)二倍角公式降幂扩角,两角差余弦公式展开,同时注意隐含条件,即可化为一角一函数,再结合求其值域.求解时一定借助函数图象找其最低点与最高点的纵坐标.试题解析:(1)由已知得:,即∴∴ 5分(2)由(1)得:,故+又∴所以的取值范围是. 12分【考点】1.正余弦定理;2.三角函数值域;3.二倍角公式与两角和与差的正余弦公式.10.已知函数,(1)求的值;(2)若,且,求.【答案】(1);(2).【解析】(1)直接将代入计算即可;(2)用二倍角的正弦、余弦公式化简,再将正弦、余弦合为同一个的三角函数;根据已知条件,求出的值.试题解析:(1)(2)因为,且,所以,所以【考点】1、三角恒等变换;2、三角函数的基本运算.11.函数,,在上的部分图象如图所示,则的值为.【答案】【解析】根据题意,由于函数,,在上的部分图象可知周期为12,由此可知,A=5,将(5,0)代入可知,5sin(+)=0,可知=,故可知==,故答案为【考点】三角函数的解析式点评:主要是考查了三角函数的解析式的求解和运用,属于基础题。
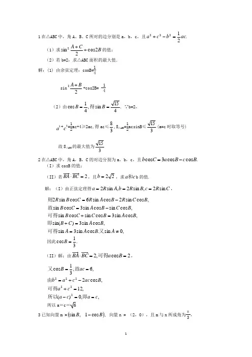
(完整版)高考三角函数经典解答题及答案1. 在△ABC 中,角 A、B、C 所对的边分别是 a、b、c,且 a²+c²-b²=(1) 求 sin²(2A+C)+cos²B 的值;(2) 若 b=2,求△ABC 面积的最大值。
解:(1) 由余弦定理:cosB=(a²+ c²- b²)/(2ac)=4/√115,得sinB=√(1-cos²B)=3√(23)/23。
由正弦定理sin²(2A+C)+cos²B=4sin²B+cos²B=13/23。
2. 在△ABC 中,角 A、B、C 的对边分别为 a、b、c,且bcosC=3acosB-ccosB。
(I) 求 cosB 的值;(II) 若 BA·BC=2,且b=√2,求 a 和 c·b 的值。
解:(I) 由正弦定理得 a=2RsinA,b=2RsinB,c=2RsinC,则 2RsinBcosC=6RsinAcosB-2RsinCcosB,故sinBcosC=3sinAcosB-sinCcosB,可得sinBcosC+sinCcosB=3sinAcosB,即 sin(B+C)=3sinAcosB,可得 sinA=3sinAcosB/sinB。
又sinA≠0,因此 cosB=1/3。
3. 已知向量 m=(sinB,1-cosB),向量 n=(2,k),且 m 与 n 所成角为π/3,其中 A、B、C 是△ABC 的内角。
(1) 求角 B 的大小;(2) 求 sinA+sinC 的取值范围。
解:(1) ∠m与∠n所成角为π/3,且 m·n=2sinB+ k(1-cosB)=2√3/2cosB+k√(1-cos²B),又 m·n=2cosB+k(1-cosB),解得 k=4/3。
三角函数典型习题1 •设锐角ABC的内角A B, C的对边分别为a, b, c,a 2bsi nA.(I )求B的大小;(n)求cosA sin C的取值范围• A B C 厂2 •在ABC中角A,B,C所对的边分别为a, b, c,sin sin— 2 .2 2(1)试判断△ ABC的形状;(II)若厶ABC的周长为16,求面积的最大值•23 •已知在ABC中,A B,且tan A与tan B是方程x 5x 6 0的两个根•(I )求tan (A B)的值;(n )若AB 5 ,求BC的长•2 2 2 14. 在ABC中,角A. B. C所对的边分别是a,b,c,且a c b ac.22A C(1) 求sin cos2B 的值;2(2) 若b=2,求厶ABC面积的最大值.5. 已知函数f(x) 2s in2 n x 3cos2x, xn,-n•4 4 2(1 )求f (x)的最大值和最小值;(2)f(x) m 2在x n,n上恒成立,求实数m的取值范围.4 26. 在锐角△ ABC 中,角A. B. C 的对边分别为a、b、c,已知(b2 c2 a2)ta nA 3bc.(I) 求角A;(II) 若a=2,求厶ABC面积S的最大值?7. 已知函数f (x) (sin x cosx) +cos2 x .(I )求函数f x的最小正周期;(n )当x o,?时,求函数f x的最大值拼写出x相应的取值•8 .在ABC中,已知内角A . B . C所对的边分别为a、b、c,向量r r 2 B r r m 2sin B, 、3 ,n cos2B, 2cos 1,且m//n?2(I) 求锐角B的大小;(II) 如果b 2,求ABC的面积S ABC的最大值?答案解析11【解析】:(I )由a 2bsi nA ,根据正弦定理得si nA 2si n Bsin A ,所以sin B -,2 由ABC 为锐角三角形得B n .6(n )cosA sin C cos A sinAcos A sin -A61 3cos A cos Asin A22、、3sinA -.32【解析】 :I. sinC . sin CC cos .C sin2sin('—222 224C C 即C,所以此三角形为直角三角形2 422••• tanA 3, A 为三角形的内角,二sin A由正弦定理得:-A 艮 -BCsin C sin A-2 2b a b 2 abII.16 号,此时面积的最大值为 32 6 42 .-2ab ,—2ab 64(2 -.2)当且仅当a b 时取等3【解析】:(I )由所给条件 方程x 2 5x 6 ••• tan (A B) tan A tan B1 tan Atan BB C 180 ,• C180 (A 0 的两根 tan A 3, tan B 2 . 1B).由(I )知,tanCtan(A B)1,•/ C 为三角形的内角,• sinC_2 23 10弘知教育内部资料 中小学课外辅导专家2 3••• BC 1 —汇 3.5. 近 y/10 2r r 2B 厂8【解析】:(1) m//n2sinB(2cos ;-1)=-,3cos2B 2sinBcosB=- 3cos2Btan2B=- 32兀 心宀 n••• 0<2B< n,2B=y,A 锐角 B=3① 当B=n^,已知b=2,由余弦定理,得: 4=a 2+c ?-ac > 2aac=ac(当且仅当a=c=2时等号成立)■/ △ ABC 的面积 S ABC =3acsinBh^ac w 3ABC 的面积最大值为.3② 当B=6n 时,已知b=2,由余弦定理,得:4=a 2+c 2+ 3ac 县ac+ . 3ac=(2+ 3)ac(当且仅当 a=c= , 6- . 2时等号成立) •,ac < 4(23)1 1•••△ ABC 的面积 S AABC =2 acsinB^ac <2- , 3 ,△ ABC 的面积最大值为 2- 314【解析】:(1)由余弦定理:cosB=4sid +cos2B=1 24⑵由cos B4 得sinB.15 •/ b=2,4n1 2sin 2x —;=;ac+4 > 2c,得 acw —,c 233 2sin(2x -)2 ,即 0 1 -2sin(2x -) 12 44(2)由 tan2B=- .3n [、. 5nB=3或石 1 V15S\ ABc =~acsi nBw(a=c 时取等号)3故S A ABC 的最大值为5【解析】(I ) T f(x).n _1 cos 2x3cos2x 1 sin2x 3cos2x弘知教育内部资料 中小学课外辅导专家n nn n又••• x —< 2x -<4 2 613 又 S besin A be24所以△ ABC 面积S 的最大值等于32 27【解析】:(I )因为 f (x) (sin x eosx) +eos2 x sin1 sin2x eos2x ( ) =1+.2si n(2x )42所以,T —,即函数f(x)的最小正周期为2(n )因为 0 x ,得 2x L,所以有-sin(2x) 12 4 4 4 24所以,函数f x 的最大值为1 2此时,因为一2x —丄,所以,2x ,即x -4 4 4428即 2 < 1 2sinn2x -3 • f(x) maxf (X)min(n) •/ f (x)f(x)f(x)•- m f (X)maxf ( X) min••• 1 m 4,即m 的取值范围是(1,4).6【解析】:(1)由已知得b 1 2 * 4e 2 a 2 si nA ,32bccos A又在锐角△ ABC 中,所以A=60,[不说明是锐角 △ ABC 中,扣 1 分](II)因为 a=2,A=60 所以 b e be 4,S1 3besin Abe2而 b 2 e 2 2be be 42bcbe 4 ,3x 2sin xeosx eos 2 x eos2x。
高三数学三角函数试题答案及解析1.某广告公司设计一个凸八边形的商标,它的中间是一个正方形,外面是四个腰长为,顶角为的等腰三角形.(1)若角时,求该八边形的面积;(2)写出的取值范围,当取何值时该八边形的面积最大,并求出最大面积.【答案】(1);(2),当时,八边形的面积取最大值.【解析】(1)先利用结合余弦定理确定正方形的边长,然后将八边形分为一个正方形与四个等腰三角形求面积,最后将面积相加得到八边形的面积;(2)利用得到角的取值范围,利用正弦定理求出正方形的边长(利用含的代数式表示),然后利用面积公式求出八边形的面积关于的三角函数,结合降幂公式、辅助角公式将三角函数解析式进行化简,最后求出相应函数在区间的最大值.(1)由题可得正方形边长为,;(2)显然,所以,,,,故,,此时.【考点】1.三角形的面积;2.二倍角;3.辅助角公式;4.三角函数的最值2.“θ≠”是“cos θ≠”的()A.充分不必要条件B.必要不充分条件C.充要条件D.既不充分也不必要条件【答案】B【解析】因为“cos θ=”是“θ=”的必要不充分条件,所以“θ≠”是“cos θ≠”的必要不充分条件,选B.3.已知函数,则一定在函数图象上的点是()A.B.C.D.【答案】C.【解析】根据的解析式,求出,判断函数的奇偶性,由函数的奇偶性去判断四个选项是否在图象上..为奇函数,在图象上.故选C.【考点】函数的奇偶性.4.据市场调查,某种商品一年中12个月的价格与月份的关系可以近似地用函数f(x)=A sin(ωx+φ)+7(A>0,ω>0,|φ|<)来表示(x为月份),已知3月份达到最高价9万元,7月份价格最低,为5万元,则国庆节期间的价格约为()A.4.2万元B.5.6万元C.7万元D.8.4万元【答案】D【解析】由题意得函数f(x)图象的最高点为(3,9),相邻的最低点为(7,5),则A==2,=7-3,∴T=8,又∵T=,∴ω=,∴f(x)=2sin+7,把点(3,9)代入上式,得sin=1,∵|φ|<,∴φ=-,则f(x)=2sin+7,∴当x=10时,f(10)=2sin+7=+7≈8.4.5.若向量m=(sinωx,0),n=(cosωx,-sinωx)(ω>0),在函数f(x)=m·(m+n)+t的图象中,对称中心到对称轴的最小距离为,且当x∈[0,]时,f(x)的最大值为1.(1)求函数f(x)的解析式.(2)求函数f(x)的单调递增区间.【答案】(1) f(x)=sin(2x-)-(2) [kπ-,kπ+π](k∈Z)【解析】(1)由题意得f(x)=m·(m+n)+t=m2+m·n+t=3sin2ωx+sinωx·cosωx+t=-cos2ωx+sin2ωx+t=sin(2ωx-)++t.∵对称中心到对称轴的最小距离为,∴f(x)的最小正周期为T=π.∴=π,∴ω=1.∴f(x)=sin(2x-)++t,当x∈[0,]时,2x-∈[-,],∴当2x-=,即x=时,f(x)取得最大值3+t.∵当x∈[0,]时,f(x)=1,max∴3+t=1,∴t=-2,∴f(x)=sin(2x-)-.(2)由(1)知f(x)=sin(2x-)-.2kπ-≤2x-≤2kπ+,k∈Z,2kπ-≤2x≤2kπ+π,kπ-≤x≤kπ+π,∴函数f(x)的单调递增区间为[kπ-,kπ+π](k∈Z).6.若方程有实根,则实数的取值范围为【答案】【解析】由方程得,,即,因为,所以,若方程有实根,则,解得.【考点】方程的根.7.已知函数f(x)=2sin xcos x+cos 2x(x∈R).(1)当x取什么值时,函数f(x)取得最大值,并求其最大值;(2)若θ为锐角,且f=,求tan θ的值.【答案】(1) x=kπ+ (k∈Z)时,函数f(x)取得最大值,其最大值为.(2)【解析】解:(1)f(x)=2sin xcos x+cos 2x=sin 2x+cos 2x==sin.∴当2x+=2kπ+ (k∈Z),即x=kπ+ (k∈Z)时,函数f(x)取得最大值,其最大值为.(2)∵f=,∴sin=,∴cos 2θ=.∵θ为锐角,即0<θ<,∴0<2θ<π,∴sin 2θ==,∴tan 2θ==2,∴=2,∴tan2θ+tan θ-=0,∴(tan θ-1)(tan θ+)=0,∴tan θ=或tan θ=- (不合题意,舍去),∴tan θ=.8.已知的三个内角所对的边分别为,且,则角的大小为 .【答案】【解析】根据正弦定理:,,即:,,【考点】1、正弦定理;2、两角和与差的三角函数公式.9.若函数的一个对称中心是,则的最小值为()A.B.C.D.【答案】B【解析】由于正切函数的对称中心坐标为,且函数的一个对称中心是,所以,因此有,因为,所以当时,取最小值,故选B.【考点】三角函数的对称性10.在锐角中,,,则的值等于;的取值范围为 .【答案】;【解析】,所以,由正弦定理得,即,所以,为锐角三角形,则,且,即,则有,且有,所以,故有,,所以,即,故的取值范围为.【考点】1.正弦定理;2.三角函数的取值范围11.已知函数时有极大值,且为奇函数,则的一组可能值依次为( )A.B.C.D.【答案】D【解析】,因为当时有极大值,所以=0,解得当k=0时,;因为=为奇函数,所以,当k=0时,,故选D.【考点】1.求函数的导数及其导数的性质;2.三角函数的性质.12.已知函数.(Ⅰ)求函数图像的对称中心;(Ⅱ)求函数在区间上的最小值和最大值.【答案】(Ⅰ),;(Ⅱ)最大值为,最小值为-2.【解析】(Ⅰ) 通过三角恒等变换化简函数,然后利用图形来求;(Ⅱ)分析函数的单调性,然后求最值.试题解析:(I)因此,函数图象的对称中心为,.(Ⅱ)因为在区间上为增函数,在区间上为减函数,又,,故函数在区间上的最大值为,最小值为-2.【考点】三角恒等变换、函数图象与性质,考查分析问题、解决问题的能力.13.在中,角的对边分别为向量,,且.(1)求的值;(2)若,,求角的大小及向量在方向上的投影.【答案】(1);(2),向量在方向上的投影.【解析】(1)由向量数量积坐标形式列式,可求得的值,再利用平方关系可求得的值;(2)先利用正弦定理可求得的值,再利用大边对大角可求得角的大小.由投影的定义可求得向量在方向上的投影.试题解析:(1)由,得, 1分, 2分.. 3分.4分(2)由正弦定理,有, 5分.6分,, 7分. 8分由余弦定理,有, 9分或(舍去). 10分故向量在方向上的投影为 11分. 12分【考点】1、向量数量积、投影;2、三角恒等变换;3、解三角形.14.已知四边形是矩形,,,是线段上的动点,是的中点.若为钝角,则线段长度的取值范围是 .【答案】.【解析】法一:如下图所示,设,则,由勾股定理易得,,,,,由于为钝角,则,则有,即,即,解得;法二:如下图所示,设,则,以点为坐标原点,、所在的直线分别为轴、轴建立平面直角坐标系,则,,,,,是钝角,则,即,整理得,解得,且、、三点不共线,故有,解得.【考点】余弦定理、勾股定理、平面向量的数量积15.已知函数的部分图象如图所示,设是图象的最高点,是图象与轴的交点,则()A.B.C.D.【答案】B【解析】函数周期由余弦定理得【考点】三角函数性质及解三角形点评:三角函数中,解三角形时常借助于正余弦定理实现边与角的互化,本题中由三边长度利用余弦定理求得三角形内角,进而利用同角间的三角函数关系式求得正切值16.已知函数.(Ⅰ)求函数的最小正周期;(Ⅱ)当时,求函数的最大值,最小值.【答案】(Ⅰ)(Ⅱ)的最大值为1,最小值【解析】(I).的最小正周期为.(II)..当时,函数的最大值为1,最小值.【考点】本小题主要考查三角函数的化简、求值和三角函数的性质.点评:求三角函数的性质(如周期、单调性、最值等),都必须把函数式画出或的形式再求解.17.已知,则A.B.C.D.【答案】A【解析】因为,则tan =-2,那么,故答案为A.【考点】二倍角的正切公式点评:主要是考查了同角公式和二倍角的公式的运用,属于基础题。
三角函数高考试题精选一.选择题(共18小题)1.(2017•山东)函数y=sin2x+cos2x的最小正周期为()A.B. C.πD.2π2.(2017•天津)设函数f(x)=2sin(ωx+φ),x∈R,其中ω>0,|φ|<π.若f ()=2,f()=0,且f(x)的最小正周期大于2π,则()A.ω=,φ=B.ω=,φ=﹣C.ω=,φ=﹣D.ω=,φ=3.(2017•新课标Ⅱ)函数f(x)=sin(2x+)的最小正周期为()A.4πB.2πC.πD.4.(2017•新课标Ⅲ)设函数f(x)=cos(x+),则下列结论错误的是()A.f(x)的一个周期为﹣2πB.y=f(x)的图象关于直线x=对称C.f(x+π)的一个零点为x=D.f(x)在(,π)单调递减5.(2017•新课标Ⅰ)已知曲线C1:y=cosx,C2:y=sin(2x+),则下面结论正确的是()A.把C1上各点的横坐标伸长到原来的2倍,纵坐标不变,再把得到的曲线向右平移个单位长度,得到曲线C2B.把C1上各点的横坐标伸长到原来的2倍,纵坐标不变,再把得到的曲线向左平移个单位长度,得到曲线C2C.把C1上各点的横坐标缩短到原来的倍,纵坐标不变,再把得到的曲线向右平移个单位长度,得到曲线C2D.把C1上各点的横坐标缩短到原来的倍,纵坐标不变,再把得到的曲线向左平移个单位长度,得到曲线C26.(2017•新课标Ⅲ)函数f(x)=sin(x+)+cos(x﹣)的最大值为()A.B.1 C.D.7.(2016•上海)设a∈R,b∈[0,2π),若对任意实数x都有sin(3x﹣)=sin (ax+b),则满足条件的有序实数对(a,b)的对数为()A.1 B.2 C.3 D.48.(2016•新课标Ⅲ)若tanα=,则cos2α+2sin2α=()A.B.C.1 D.9.(2016•新课标Ⅲ)若tanθ=﹣,则cos2θ=()A.﹣ B.﹣ C.D.10.(2016•浙江)设函数f(x)=sin2x+bsinx+c,则f(x)的最小正周期()A.与b有关,且与c有关B.与b有关,但与c无关C.与b无关,且与c无关D.与b无关,但与c有关11.(2016•新课标Ⅱ)若将函数y=2sin2x的图象向左平移个单位长度,则平移后的图象的对称轴为()A.x=﹣(k∈Z)B.x=+(k∈Z)C.x=﹣(k∈Z)D.x=+(k∈Z)12.(2016•新课标Ⅰ)已知函数f(x)=sin(ωx+φ)(ω>0,|φ|≤),x=﹣为f(x)的零点,x=为y=f(x)图象的对称轴,且f(x)在(,)上单调,则ω的最大值为()A.11 B.9 C.7 D.513.(2016•四川)为了得到函数y=sin(2x﹣)的图象,只需把函数y=sin2x 的图象上所有的点()A.向左平行移动个单位长度B.向右平行移动个单位长度C.向左平行移动个单位长度 D.向右平行移动个单位长度14.(2016•新课标Ⅰ)将函数y=2sin(2x+)的图象向右平移个周期后,所得图象对应的函数为()A.y=2sin(2x+)B.y=2sin(2x+)C.y=2sin(2x﹣)D.y=2sin(2x﹣)15.(2016•北京)将函数y=sin(2x﹣)图象上的点P(,t)向左平移s(s >0)个单位长度得到点P′,若P′位于函数y=sin2x的图象上,则()A.t=,s的最小值为B.t=,s的最小值为C.t=,s的最小值为D.t=,s的最小值为16.(2016•四川)为了得到函数y=sin(x+)的图象,只需把函数y=sinx的图象上所有的点()A.向左平行移动个单位长度B.向右平行移动个单位长度C.向上平行移动个单位长度 D.向下平行移动个单位长度17.(2016•新课标Ⅱ)函数y=Asin(ωx+φ)的部分图象如图所示,则()A.y=2sin(2x﹣)B.y=2sin(2x﹣)C.y=2sin(x+) D.y=2sin (x+)18.(2016•新课标Ⅱ)函数f(x)=cos2x+6cos(﹣x)的最大值为()A.4 B.5 C.6 D.7二.填空题(共9小题)19.(2017•北京)在平面直角坐标系xOy中,角α与角β均以Ox为始边,它们的终边关于y轴对称,若sinα=,则sinβ=.20.(2017•上海)设a1、a2∈R,且+=2,则|10π﹣α1﹣α2|的最小值为.21.(2017•新课标Ⅱ)函数f(x)=sin2x+cosx﹣(x∈[0,])的最大值是.22.(2017•新课标Ⅱ)函数f(x)=2cosx+sinx的最大值为.23.(2016•上海)设a,b∈R,c∈[0,2π),若对于任意实数x都有2sin(3x﹣)=asin(bx+c),则满足条件的有序实数组(a,b,c)的组数为.24.(2016•江苏)定义在区间[0,3π]上的函数y=sin2x的图象与y=cosx的图象的交点个数是.25.(2016•新课标Ⅲ)函数y=sinx﹣cosx的图象可由函数y=2sinx的图象至少向右平移个单位长度得到.26.(2016•新课标Ⅲ)函数y=sinx﹣cosx的图象可由函数y=sinx+cosx的图象至少向右平移个单位长度得到.27.(2016•江苏)在锐角三角形ABC中,若sinA=2sinBsinC,则tanAtanBtanC的最小值是.三.解答题(共3小题)28.(2017•北京)已知函数f(x)=cos(2x﹣)﹣2sinxcosx.(I)求f(x)的最小正周期;(II)求证:当x∈[﹣,]时,f(x)≥﹣.29.(2016•山东)设f(x)=2sin(π﹣x)sinx﹣(sinx﹣cosx)2.(Ⅰ)求f(x)的单调递增区间;(Ⅱ)把y=f(x)的图象上所有点的横坐标伸长到原来的2倍(纵坐标不变),再把得到的图象向左平移个单位,得到函数y=g(x)的图象,求g()的值.30.(2016•北京)已知函数f(x)=2sinωxcosωx+cos2ωx(ω>0)的最小正周期为π.(1)求ω的值;(2)求f(x)的单调递增区间.三角函数2017高考试题精选(一)参考答案与试题解析一.选择题(共18小题)1.(2017•山东)函数y=sin2x+cos2x的最小正周期为()A.B. C.πD.2π【解答】解:∵函数y=sin2x+cos2x=2sin(2x+),∵ω=2,∴T=π,故选:C2.(2017•天津)设函数f(x)=2sin(ωx+φ),x∈R,其中ω>0,|φ|<π.若f ()=2,f()=0,且f(x)的最小正周期大于2π,则()A.ω=,φ=B.ω=,φ=﹣C.ω=,φ=﹣D.ω=,φ=【解答】解:由f(x)的最小正周期大于2π,得,又f()=2,f()=0,得,∴T=3π,则,即.∴f(x)=2sin(ωx+φ)=2sin(x+φ),由f()=,得sin(φ+)=1.∴φ+=,k∈Z.取k=0,得φ=<π.∴,φ=.故选:A.3.(2017•新课标Ⅱ)函数f(x)=sin(2x+)的最小正周期为()A.4πB.2πC.πD.【解答】解:函数f(x)=sin(2x+)的最小正周期为:=π.故选:C.4.(2017•新课标Ⅲ)设函数f(x)=cos(x+),则下列结论错误的是()A.f(x)的一个周期为﹣2πB.y=f(x)的图象关于直线x=对称C.f(x+π)的一个零点为x=D.f(x)在(,π)单调递减【解答】解:A.函数的周期为2kπ,当k=﹣1时,周期T=﹣2π,故A正确,B.当x=时,cos(x+)=cos(+)=cos=cos3π=﹣1为最小值,此时y=f(x)的图象关于直线x=对称,故B正确,C当x=时,f(+π)=cos(+π+)=cos=0,则f(x+π)的一个零点为x=,故C正确,D.当<x<π时,<x+<,此时函数f(x)不是单调函数,故D 错误,故选:D5.(2017•新课标Ⅰ)已知曲线C1:y=cosx,C2:y=sin(2x+),则下面结论正确的是()A.把C1上各点的横坐标伸长到原来的2倍,纵坐标不变,再把得到的曲线向右平移个单位长度,得到曲线C2B.把C1上各点的横坐标伸长到原来的2倍,纵坐标不变,再把得到的曲线向左平移个单位长度,得到曲线C2C.把C1上各点的横坐标缩短到原来的倍,纵坐标不变,再把得到的曲线向右平移个单位长度,得到曲线C2D.把C1上各点的横坐标缩短到原来的倍,纵坐标不变,再把得到的曲线向左平移个单位长度,得到曲线C2【解答】解:把C1上各点的横坐标缩短到原来的倍,纵坐标不变,得到函数y=cos2x图象,再把得到的曲线向左平移个单位长度,得到函数y=cos2(x+)=cos(2x+)=sin(2x+)的图象,即曲线C2,故选:D.6.(2017•新课标Ⅲ)函数f(x)=sin(x+)+cos(x﹣)的最大值为()A.B.1 C.D.【解答】解:函数f(x)=sin(x+)+cos(x﹣)=sin(x+)+cos(﹣x+)=sin(x+)+sin(x+)=sin(x+).故选:A.7.(2016•上海)设a∈R,b∈[0,2π),若对任意实数x都有sin(3x﹣)=sin (ax+b),则满足条件的有序实数对(a,b)的对数为()A.1 B.2 C.3 D.4【解答】解:∵对于任意实数x都有sin(3x﹣)=sin(ax+b),则函数的周期相同,若a=3,此时sin(3x﹣)=sin(3x+b),此时b=﹣+2π=,若a=﹣3,则方程等价为sin(3x﹣)=sin(﹣3x+b)=﹣sin(3x﹣b)=sin(3x ﹣b+π),则﹣=﹣b+π,则b=,综上满足条件的有序实数组(a,b)为(3,),(﹣3,),共有2组,故选:B.8.(2016•新课标Ⅲ)若tanα=,则cos2α+2sin2α=()A.B.C.1 D.【解答】解:∵tanα=,∴cos2α+2sin2α====.故选:A.9.(2016•新课标Ⅲ)若ta nθ=﹣,则cos2θ=()A.﹣ B.﹣ C.D.【解答】解:由tanθ=﹣,得cos2θ=cos2θ﹣sin2θ==.故选:D.10.(2016•浙江)设函数f(x)=sin2x+bsinx+c,则f(x)的最小正周期()A.与b有关,且与c有关B.与b有关,但与c无关C.与b无关,且与c无关D.与b无关,但与c有关【解答】解:∵设函数f(x)=sin2x+bsinx+c,∴f(x)图象的纵坐标增加了c,横坐标不变,故周期与c无关,当b=0时,f(x)=sin2x+bsinx+c=﹣cos2x++c的最小正周期为T==π,当b≠0时,f(x)=﹣cos2x+bsinx++c,∵y=cos2x的最小正周期为π,y=bsinx的最小正周期为2π,∴f(x)的最小正周期为2π,故f(x)的最小正周期与b有关,故选:B11.(2016•新课标Ⅱ)若将函数y=2sin2x的图象向左平移个单位长度,则平移后的图象的对称轴为()A.x=﹣(k∈Z)B.x=+(k∈Z)C.x=﹣(k∈Z)D.x=+(k∈Z)【解答】解:将函数y=2sin2x的图象向左平移个单位长度,得到y=2sin2(x+)=2sin(2x+),由2x+=kπ+(k∈Z)得:x=+(k∈Z),即平移后的图象的对称轴方程为x=+(k∈Z),故选:B.12.(2016•新课标Ⅰ)已知函数f(x)=sin(ωx+φ)(ω>0,|φ|≤),x=﹣为f(x)的零点,x=为y=f(x)图象的对称轴,且f(x)在(,)上单调,则ω的最大值为()A.11 B.9 C.7 D.5【解答】解:∵x=﹣为f(x)的零点,x=为y=f(x)图象的对称轴,∴,即,(n∈N)即ω=2n+1,(n∈N)即ω为正奇数,∵f(x)在(,)上单调,则﹣=≤,即T=≥,解得:ω≤12,当ω=11时,﹣+φ=kπ,k∈Z,∵|φ|≤,∴φ=﹣,此时f(x)在(,)不单调,不满足题意;当ω=9时,﹣+φ=kπ,k∈Z,∵|φ|≤,∴φ=,此时f(x)在(,)单调,满足题意;故ω的最大值为9,故选:B13.(2016•四川)为了得到函数y=sin(2x﹣)的图象,只需把函数y=sin2x 的图象上所有的点()A.向左平行移动个单位长度B.向右平行移动个单位长度C.向左平行移动个单位长度 D.向右平行移动个单位长度【解答】解:把函数y=sin2x的图象向右平移个单位长度,可得函数y=sin2(x ﹣)=sin(2x﹣)的图象,故选:D.14.(2016•新课标Ⅰ)将函数y=2sin(2x+)的图象向右平移个周期后,所得图象对应的函数为()A.y=2sin(2x+)B.y=2sin(2x+)C.y=2sin(2x﹣)D.y=2sin(2x﹣)【解答】解:函数y=2sin(2x+)的周期为T==π,由题意即为函数y=2sin(2x+)的图象向右平移个单位,可得图象对应的函数为y=2sin[2(x﹣)+],即有y=2sin(2x﹣).故选:D.15.(2016•北京)将函数y=sin(2x﹣)图象上的点P(,t)向左平移s(s >0)个单位长度得到点P′,若P′位于函数y=sin2x的图象上,则()A.t=,s的最小值为B.t=,s的最小值为C.t=,s的最小值为D.t=,s的最小值为【解答】解:将x=代入得:t=sin=,将函数y=sin(2x﹣)图象上的点P向左平移s个单位,得到P′(+s,)点,若P′位于函数y=sin2x的图象上,则sin(+2s)=cos2s=,则2s=+2kπ,k∈Z,则s=+kπ,k∈Z,由s>0得:当k=0时,s的最小值为,故选:A.16.(2016•四川)为了得到函数y=sin(x+)的图象,只需把函数y=sinx的图象上所有的点()A.向左平行移动个单位长度B.向右平行移动个单位长度C.向上平行移动个单位长度 D.向下平行移动个单位长度【解答】解:由已知中平移前函数解析式为y=sinx,平移后函数解析式为:y=sin(x+),可得平移量为向左平行移动个单位长度,故选:A17.(2016•新课标Ⅱ)函数y=Asin(ωx+φ)的部分图象如图所示,则()A.y=2sin(2x﹣)B.y=2sin(2x﹣)C.y=2sin(x+) D.y=2sin (x+)【解答】解:由图可得:函数的最大值为2,最小值为﹣2,故A=2,=,故T=π,ω=2,故y=2sin(2x+φ),将(,2)代入可得:2sin(+φ)=2,则φ=﹣满足要求,故y=2sin(2x﹣),故选:A.18.(2016•新课标Ⅱ)函数f(x)=cos2x+6cos(﹣x)的最大值为()A.4 B.5 C.6 D.7【解答】解:函数f(x)=cos2x+6cos(﹣x)=1﹣2sin2x+6sinx,令t=sinx(﹣1≤t≤1),可得函数y=﹣2t2+6t+1=﹣2(t﹣)2+,由∉[﹣1,1],可得函数在[﹣1,1]递增,即有t=1即x=2kπ+,k∈Z时,函数取得最大值5.故选:B.二.填空题(共9小题)19.(2017•北京)在平面直角坐标系xOy中,角α与角β均以Ox为始边,它们的终边关于y轴对称,若sinα=,则sinβ=.【解答】解:∵在平面直角坐标系xOy中,角α与角β均以Ox为始边,它们的终边关于y轴对称,∴α+β=π+2kπ,k∈Z,∵sinα=,∴sinβ=sin(π+2kπ﹣α)=sinα=.故答案为:.20.(2017•上海)设a1、a2∈R,且+=2,则|10π﹣α1﹣α2|的最小值为.【解答】解:根据三角函数的性质,可知sinα1,sin2α2的范围在[﹣1,1],要使+=2,∴sinα1=﹣1,sin2α2=﹣1.则:,k1∈Z.,即,k2∈Z.那么:α1+α2=(2k1+k2)π,k1、k2∈Z.∴|10π﹣α1﹣α2|=|10π﹣(2k1+k2)π|的最小值为.故答案为:.21.(2017•新课标Ⅱ)函数f(x)=sin2x+cosx﹣(x∈[0,])的最大值是1.【解答】解:f(x)=sin2x+cosx﹣=1﹣cos2x+cosx﹣,令cosx=t且t∈[0,1],则y=﹣t2+t+=﹣(t﹣)2+1,当t=时,f(t)max=1,即f(x)的最大值为1,故答案为:122.(2017•新课标Ⅱ)函数f(x)=2cosx+sinx的最大值为.【解答】解:函数f(x)=2cosx+sinx=(cosx+sinx)=sin(x+θ),其中tanθ=2,可知函数的最大值为:.故答案为:.23.(2016•上海)设a,b∈R,c∈[0,2π),若对于任意实数x都有2sin(3x﹣)=asin(bx+c),则满足条件的有序实数组(a,b,c)的组数为4.【解答】解:∵对于任意实数x都有2sin(3x﹣)=asin(bx+c),∴必有|a|=2,若a=2,则方程等价为sin(3x﹣)=sin(bx+c),则函数的周期相同,若b=3,此时C=,若b=﹣3,则C=,若a=﹣2,则方程等价为sin(3x﹣)=﹣sin(bx+c)=sin(﹣bx﹣c),若b=﹣3,则C=,若b=3,则C=,综上满足条件的有序实数组(a,b,c)为(2,3,),(2,﹣3,),(﹣2,﹣3,),(﹣2,3,),共有4组,故答案为:4.24.(2016•江苏)定义在区间[0,3π]上的函数y=sin2x的图象与y=cosx的图象的交点个数是7.【解答】解:画出函数y=sin2x与y=cosx在区间[0,3π]上的图象如下:由图可知,共7个交点.故答案为:7.25.(2016•新课标Ⅲ)函数y=sinx﹣cosx的图象可由函数y=2sinx的图象至少向右平移个单位长度得到.【解答】解:∵y=sinx﹣cosx=2sin(x﹣),令f(x)=2sinx,则f(x﹣φ)=2in(x﹣φ)(φ>0),依题意可得2sin(x﹣φ)=2sin(x﹣),故﹣φ=2kπ﹣(k∈Z),即φ=﹣2kπ+(k∈Z),当k=0时,正数φmin=,故答案为:.26.(2016•新课标Ⅲ)函数y=sinx﹣cosx的图象可由函数y=sinx+cosx的图象至少向右平移个单位长度得到.【解答】解:∵y=f(x)=sinx+cosx=2sin(x+),y=sinx﹣cosx=2sin(x﹣),∴f(x﹣φ)=2sin(x+﹣φ)(φ>0),令2sin(x+﹣φ)=2sin(x﹣),则﹣φ=2kπ﹣(k∈Z),即φ=﹣2kπ(k∈Z),当k=0时,正数φmin=,故答案为:.27.(2016•江苏)在锐角三角形ABC中,若sinA=2sinBsinC,则tanAtanBtanC的最小值是8.【解答】解:由sinA=sin(π﹣A)=sin(B+C)=sinBcosC+cosBsinC,sinA=2sinBsinC,可得sinBcosC+cosBsinC=2sinBsinC,①由三角形ABC为锐角三角形,则cosB>0,cosC>0,在①式两侧同时除以cosBcosC可得tanB+tanC=2tanBtanC,又tanA=﹣tan(π﹣A)=﹣tan(B+C)=﹣②,则tanAtanBtanC=﹣•tanBtanC,由tanB+tanC=2tanBtanC可得tanAtanBtanC=﹣,令tanBtanC=t,由A,B,C为锐角可得tanA>0,tanB>0,tanC>0,由②式得1﹣tanBtanC<0,解得t>1,tanAtanBtanC=﹣=﹣,=()2﹣,由t>1得,﹣≤<0,因此tanAtanBtanC的最小值为8,另解:由已知条件sinA=2sinBsinc,sin(B十C)=2sinBsinC,sinBcosC十cosBsinC=2sinBcosC,两边同除以cosBcosC,tanB十tanC=2tanBtanC,∵﹣tanA=tan(B十C)=,∴tanAtanBtanC=tanA十tanB十tanC,∴tanAtanBtanC=tanA十2tanBtanC≥2,令tanAtanBtanC=x>0,即x≥2,即x≥8,或x≤0(舍去),所以x的最小值为8.当且仅当t=2时取到等号,此时tanB+tanC=4,tanBtanC=2,解得tanB=2+,tanC=2﹣,tanA=4,(或tanB,tanC互换),此时A,B,C 均为锐角.三.解答题(共3小题)28.(2017•北京)已知函数f(x)=cos(2x﹣)﹣2sinxcosx.(I)求f(x)的最小正周期;(II)求证:当x∈[﹣,]时,f(x)≥﹣.【解答】解:(Ⅰ)f(x)=cos(2x﹣)﹣2sinxcosx,=(co2x+sin2x)﹣sin2x,=cos2x+sin2x,=sin(2x+),∴T==π,∴f(x)的最小正周期为π,(Ⅱ)∵x∈[﹣,],∴2x+∈[﹣,],∴﹣≤sin(2x+)≤1,∴f(x)≥﹣29.(2016•山东)设f(x)=2sin(π﹣x)sinx﹣(sinx﹣cosx)2.(Ⅰ)求f(x)的单调递增区间;(Ⅱ)把y=f(x)的图象上所有点的横坐标伸长到原来的2倍(纵坐标不变),再把得到的图象向左平移个单位,得到函数y=g(x)的图象,求g()的值.【解答】解:(Ⅰ)∵f(x)=2sin(π﹣x)sinx﹣(sinx﹣cosx)2 =2sin2x﹣1+sin2x=2•﹣1+sin2x=sin2x﹣cos2x+﹣1=2sin(2x﹣)+﹣1,令2kπ﹣≤2x﹣≤2kπ+,求得kπ﹣≤x≤kπ+,可得函数的增区间为[kπ﹣,kπ+],k∈Z.(Ⅱ)把y=f(x)的图象上所有点的横坐标伸长到原来的2倍(纵坐标不变),可得y=2sin(x﹣)+﹣1的图象;再把得到的图象向左平移个单位,得到函数y=g(x)=2sinx+﹣1的图象,∴g()=2sin+﹣1=.30.(2016•北京)已知函数f(x)=2sinωxcosωx+cos2ωx(ω>0)的最小正周期为π.(1)求ω的值;(2)求f(x)的单调递增区间.【解答】解:(1)f(x)=2sinωxcosωx+cos2ωx=sin2ωx+cos2ωx==.由T=,得ω=1;(2)由(1)得,f(x)=.再由,得.∴f(x)的单调递增区间为[](k∈Z).。
高三数学三角函数综合试题答案及解析1.设函数f(x)=Asin(ωx+)(其中A>0,ω>0,-π<≤π)在x=处取得最大值2,其图象与x轴的相邻两个交点的距离为.(1)求f(x)的解析式;(2)求函数g(x)=的值域.【答案】(1) f(x)=2sin(2x+) (2) [1, ]∪(,]【解析】解:(1)由题设条件知f(x)的周期T=π,即=π,解得ω=2.因为f(x)在x=处取得最大值2,所以A=2,从而sin(2×+)=1,所以2×+=+2kπ,k∈Z.又由-π<≤π,得=.故f(x)的解析式为f(x)=2sin(2x+).(2)g(x)====cos2x+1(cos2x≠).因为cos2x∈[0,1],且cos2x≠,故g(x)的值域为[1,]∪(,].2.已知函数.(Ⅰ)求的值;(Ⅱ)求在区间上的最大值和最小值.【答案】(Ⅰ);(Ⅱ)【解析】(Ⅰ)可直接将角代入求值,也可先用正弦、余弦二倍角公式和化一公式将此函数化简为正弦型函数,再代入角求值。
(Ⅱ)根据的范围先求整体角的范围,再根据三角函数图像求其值域。
试题解析:解:(Ⅰ)由,得.所以. 8分(Ⅱ)因为,所以.当,即时,函数在区间上的最大值为.当,即时,函数在上的最小值为. 13分【考点】用二倍角公式、化一公式化简三角函数,考查三角函数图像。
3.已知,,则x= .(结果用反三角函数表示)【答案】【解析】本题关键是注意反三角函数值的取值范围,适当利用诱导公式,,,而,故,即.【考点】反正弦函数.4.函数的定义域为.【答案】【解析】函数的定义域是使函数式有意义的自变量的取值集合,当然我们要记住基本初等函数本身的定义域要求,如反正弦函数的定义域是,因此本题中有.【考点】反正弦函数的定义域.5.函数的部分图象如右图所示,设是图象的最高点,是图象与轴的交点,则()A.B.C.D.【答案】B【解析】过作的垂线,垂足为,∵,,,,,,∴.【考点】1.三角函数的周期;2.两角和的正切公式.6.已知以角为钝角的的三角形内角的对边分别为、、,,且与垂直.(1)求角的大小;(2)求的取值范围【答案】(1);(2).【解析】(1)观察要求的结论,易知要列出的边角之间的关系,题中只有与垂直提供的等量关系是,即,这正是我们需要的边角关系.因为要求角,故把等式中的边化为角,我们用正弦定理,,,代入上述等式得,得出,从而可求出角;(2)要求的范围,式子中有两个角不太好计算,可以先把两个角化为一个角,由(1),从而,再所其化为一个三角函数(这是解三角函数问题常用方法),下面只要注意这个范围即可.试题解析:1)∵垂直,∴(2分)由正弦定理得(4分)∵,∴,(6分)又∵∠B是钝角,∴∠B(7分)(2)(3分)由(1)知A∈(0,),, (4分),(6分)∴的取值范围是(7分)【考点】(1)向量的垂直,正弦定理;(2)三角函数的值域.7.已知,且,设,的图象相邻两对称轴之间的距离等于.(1)求函数的解析式;(2)在△ABC中,分别为角的对边,,,求△ABC面积的最大值.【答案】(1);(2).【解析】(1)运用向量的数量积,二倍角、辅助角公式把函数变成的形式,利用的图象相邻两对称轴之间的距离等于,再求出,从而得到;(2)用代替函数中的,求出,再利用三角形的面积公式,均值不等式求出面积的最大值,注意、何时能取得最大值.试题解析:(1)=依题意:,∴.(2)∵,∴,又,∴.,当且仅当等号成立,所以面积最大值为.【考点】向量的数量积,二倍角、辅助角公式,三角形面积,基本不等式.8.函数的最小值和最大值分别为()A.3,1B.2,2C.3,D.2,【答案】C.【解析】函数,则函数的最大值、最小值分别为.【考点】三角函数运算.9.已知,,则的值为________.【答案】.【解析】由,得,又,则,得.【考点】三角函数运算.10.已知中,,则()A.B.C.D.【答案】C【解析】由已知代入化简得【考点】三角函数的化简11.已知函数().(1)求函数的最小正周期;(2)求函数在区间上的值域.【答案】(1);(2).【解析】(1)利用三角函数公式化简为一个角的三角函数式,易得周期;(2)把x的取值范围代入(1)所求函数的解析式中,可得值域(注意函数的单调性).试题解析:(1)(4分)的最小正周期为; (6分)(2)由(1)知,在区间上单调递增,在区间上单调递减; (10分); (12分)又,;所以函数在区间上的值域是 (15分)【考点】1、和差化积公式及二倍角公式;2三角函数的单调性及值域.12.如图,已知点,,点为坐标原点,点在第二象限,且,记.(1)求的值;(2)若,求的面积.【答案】(1);(2).【解析】(1)先利用三角函数的定义求出和的值,然后利用二倍角公式求出的值;(2)先在中利用余弦定理求出的值,求出,再由面积公式求出的面积.试题解析:(1)由三角函数定义得,,;(2),且,,由余弦定理得,,所以,设点的坐标为,则,.【考点】1.三角函数的定义;2.二倍角公式;3.余弦定理;4.两角和的正弦公式;5.三角形的面积13.函数是()A.最小正周期为的奇函数B.最小正周期为的奇函数C.最小正周期为的偶函数D.最小正周期为的偶函数【答案】C【解析】根据诱导公式将函数化简为,于是可判断其为最小正周期为的偶函数.【考点】本小题主要考查诱导公式、三角函数的奇偶性14.设函数.(1)求的最小正周期;(2)当时,求实数的值,使函数的值域恰为并求此时在上的对称中心.【答案】(1);(2).【解析】(1)将降次化一,可化为的形式,由此即可求得其周期.(2)在(1)中得,当时,可以得到.又,所以.这样.令,得,从而得对称中心为.试题解析:(1)∴函数的最小正周期T=。
高三数学三角函数试题1.已知O为锐角△ABC的外心,AB=6,AC=10,,且2x+10y=5,则边BC的长为.【答案】4【解析】分别取AB、AC的中点D、E,连结OD、OE,∵O是锐角△ABC的外接圆的圆心,D、E分别为AB、AC的中点,∴OD⊥AB,OE⊥AC.由此可得在Rt△AOD中,c o s∠OAD=,∴==18.同理可得=50.∵,∴等式的两边都与作数量积,得,化简得18=36x+y,①同理,等式的两边都与作数量积,化简得50=x+100y,②又∵根据题意知2x+10y=5,③∴①②③联解,可得=20,x=且y=.∴AC·AB c o s∠A=20,即10×6c o s∠A=20,c o s∠A=,由余弦定理得,BC2=AB2+AC2-2AB·AC c o s∠A=96,BC=4.【考点】1.三角形外接圆的性质;2.锐角的三角函数在直角三角形中的定义;3.向量量的数量积公式和方程组的解法.2.定义运算a⊕b=ab2+a2b,则sin15°⊕cos15°=()A.B.C.D.【答案】A【解析】根据新定义可得sin15°⊕cos15°=sin15°(cos15°)2+(sin15°)2cos15°,即sin15°⊕cos15°=sin15°cos15°(sin15°+cos15°),由sin15°cos15°=sin30°=,且(sin15°+cos15°)2=1+sin30°=,所以sin15°+cos15°=,sin15°⊕cos15°=,所以选A.3.若将函数的图象向右平移个单位长度后与函数的图象重合,则的最小值为()A.1B.2C.D.【答案】D【解析】将函数的图象向右平移个单位长度后,所得图象对应的函数解析式为,由题意可得+2kπ,k∈z,解得w=,则w的最小值为,故选D.【考点】本题主要考查函数 y=Asin(ωx+∅)的图象变换规律点评:由 y=Asin(ωx+∅)的部分图象求函数解析式,属于中档题4.若关于x的不等式在闭区间上恒成立,则实数的取值范围是:()A.B.C.D.【答案】D【解析】∵关于x的不等式|cos2x|≥asinx在闭区间恒成立,故||≥asinx在闭区间上恒成立.设sinx=t,则||≥at,其中t∈.作出f(x)=||在区间上的图象,再作出g(x)=ax在区间上的图象,此题就是f(x)≥g(x),其中x∈,结合图象可得:a∈[0,1],故选D.【考点】本题考查了函数图象的运用点评:此类问题常常三角函数公式转化为二次函数的恒成立问题,数形结合求解即可5.(本小题满分12分)已知设,,,若图象中相邻的两条对称轴间的距离等于.(1)求的值;(2)在中,分别为角的对边,.当时,求的值.【答案】(1);(2)或。
三角函数高考试题精选一.选择题(共18小题)1.(2017•山东)函数y=sin2x+cos2x的最小正周期为()A.B.C.πD.2π2.(2017•天津)设函数f(x)=2sin(ωx+φ),x∈R,其中ω>0,|φ|<π.若f()=2,f()=0,且f(x)的最小正周期大于2π,则()A.ω=,φ=B.ω=,φ=﹣C.ω=,φ=﹣D.ω=,φ=3.(2017•新课标Ⅱ)函数f(x)=sin(2x+)的最小正周期为()A.4πB.2πC.πD.4.(2017•新课标Ⅲ)设函数f(x)=cos(x+),则下列结论错误的是()A.f(x)的一个周期为﹣2πB.y=f(x)的图象关于直线x=对称C.f(x+π)的一个零点为x=D.f(x)在(,π)单调递减5.(2017•新课标Ⅰ)已知曲线C1:y=cosx,C2:y=sin(2x+),则下面结论正确的是()A.把C1上各点的横坐标伸长到原来的2倍,纵坐标不变,再把得到的曲线向右平移个单位长度,得到曲线C2B.把C1上各点的横坐标伸长到原来的2倍,纵坐标不变,再把得到的曲线向左平移个单位长度,得到曲线C2C.把C1上各点的横坐标缩短到原来的倍,纵坐标不变,再把得到的曲线向右平移个单位长度,得到曲线C2D.把C1上各点的横坐标缩短到原来的倍,纵坐标不变,再把得到的曲线向左平移个单位长度,得到曲线C26.(2017•新课标Ⅲ)函数f(x)=sin(x+)+cos(x﹣)的最大值为()A.B.1 C.D.7.(2016•上海)设a∈R,b∈[0,2π),若对任意实数x都有sin(3x﹣)=sin(ax+b),则满足条件的有序实数对(a,b)的对数为()A.1 B.2 C.3 D.48.(2016•新课标Ⅲ)若tanα=,则cos2α+2sin2α=()A.B.C.1 D.9.(2016•新课标Ⅲ)若tanθ=﹣,则cos2θ=()A.﹣B.﹣C.D.10.(2016•浙江)设函数f(x)=sin2x+bsinx+c,则f(x)的最小正周期()A.与b有关,且与c有关 B.与b有关,但与c无关C.与b无关,且与c无关D.与b无关,但与c有关11.(2016•新课标Ⅱ)若将函数y=2sin2x的图象向左平移个单位长度,则平移后的图象的对称轴为()A.x=﹣(k∈Z)B.x=+(k∈Z)C.x=﹣(k∈Z)D.x=+(k∈Z)12.(2016•新课标Ⅰ)已知函数f(x)=sin(ωx+φ)(ω>0,|φ|≤),x=﹣为f(x)的零点,x=为y=f(x)图象的对称轴,且f(x)在(,)上单调,则ω的最大值为()A.11 B.9 C.7 D.513.(2016•四川)为了得到函数y=sin(2x﹣)的图象,只需把函数y=sin2x 的图象上所有的点()A.向左平行移动个单位长度B.向右平行移动个单位长度C.向左平行移动个单位长度D.向右平行移动个单位长度14.(2016•新课标Ⅰ)将函数y=2sin(2x+)的图象向右平移个周期后,所得图象对应的函数为()A.y=2sin(2x+)B.y=2sin(2x+)C.y=2sin(2x﹣)D.y=2sin(2x﹣)15.(2016•北京)将函数y=sin(2x﹣)图象上的点P(,t)向左平移s(s>0)个单位长度得到点P′,若P′位于函数y=sin2x的图象上,则()A.t=,s的最小值为B.t=,s的最小值为C.t=,s的最小值为D.t=,s的最小值为16.(2016•四川)为了得到函数y=sin(x+)的图象,只需把函数y=sinx 的图象上所有的点()A.向左平行移动个单位长度B.向右平行移动个单位长度C.向上平行移动个单位长度D.向下平行移动个单位长度17.(2016•新课标Ⅱ)函数y=Asin(ωx+φ)的部分图象如图所示,则()A.y=2sin(2x﹣)B.y=2sin(2x﹣) C.y=2sin(x+)D.y=2sin(x+)18.(2016•新课标Ⅱ)函数f(x)=cos2x+6cos(﹣x)的最大值为()A.4 B.5 C.6 D.7二.填空题(共9小题)19.(2017•北京)在平面直角坐标系xOy中,角α与角β均以Ox为始边,它们的终边关于y轴对称,若sinα=,则sinβ= .20.(2017•上海)设a1、a2∈R,且+=2,则|10π﹣α1﹣α2|的最小值为.21.(2017•新课标Ⅱ)函数f(x)=sin 2x+cosx﹣(x∈[0,])的最大值是.22.(2017•新课标Ⅱ)函数f(x)=2cosx+sinx的最大值为.23.(2016•上海)设a,b∈R,c∈[0,2π),若对于任意实数x都有2sin(3x ﹣)=asin(bx+c),则满足条件的有序实数组(a,b,c)的组数为.24.(2016•江苏)定义在区间[0,3π]上的函数y=sin2x的图象与y=cosx的图象的交点个数是.25.(2016•新课标Ⅲ)函数y=sinx﹣cosx的图象可由函数y=2sinx的图象至少向右平移个单位长度得到.26.(2016•新课标Ⅲ)函数y=sinx﹣cosx的图象可由函数y=sinx+cosx 的图象至少向右平移个单位长度得到.27.(2016•江苏)在锐角三角形ABC中,若sinA=2sinBsinC,则tanAtanBtanC 的最小值是.三.解答题(共3小题)28.(2017•北京)已知函数f(x)=cos(2x﹣)﹣2sinxcosx.(I)求f(x)的最小正周期;(II)求证:当x∈[﹣,]时,f(x)≥﹣.29.(2016•山东)设f(x)=2sin(π﹣x)sinx﹣(sinx﹣cosx)2.(Ⅰ)求f(x)的单调递增区间;(Ⅱ)把y=f(x)的图象上所有点的横坐标伸长到原来的2倍(纵坐标不变),再把得到的图象向左平移个单位,得到函数y=g(x)的图象,求g()的值.30.(2016•北京)已知函数f(x)=2sinωxcosωx+cos2ωx(ω>0)的最小正周期为π.(1)求ω的值;(2)求f(x)的单调递增区间.三角函数2017高考试题精选(一)参考答案与试题解析一.选择题(共18小题)1.(2017•山东)函数y=sin2x+cos2x的最小正周期为()A.B.C.πD.2π【解答】解:∵函数y=sin2x+cos2x=2sin(2x+),∵ω=2,∴T=π,故选:C2.(2017•天津)设函数f(x)=2sin(ωx+φ),x∈R,其中ω>0,|φ|<π.若f()=2,f()=0,且f(x)的最小正周期大于2π,则()A.ω=,φ=B.ω=,φ=﹣C.ω=,φ=﹣D.ω=,φ=【解答】解:由f(x)的最小正周期大于2π,得,又f()=2,f()=0,得,∴T=3π,则,即.∴f(x)=2sin(ωx+φ)=2sin(x+φ),由f()=,得sin(φ+)=1.∴φ+=,k∈Z.取k=0,得φ=<π.∴,φ=.故选:A.3.(2017•新课标Ⅱ)函数f(x)=sin(2x+)的最小正周期为()A.4πB.2πC.πD.【解答】解:函数f(x)=sin(2x+)的最小正周期为:=π.故选:C.4.(2017•新课标Ⅲ)设函数f(x)=cos(x+),则下列结论错误的是()A.f(x)的一个周期为﹣2πB.y=f(x)的图象关于直线x=对称C.f(x+π)的一个零点为x=D.f(x)在(,π)单调递减【解答】解:A.函数的周期为2kπ,当k=﹣1时,周期T=﹣2π,故A正确,B.当x=时,cos(x+)=cos(+)=cos=cos3π=﹣1为最小值,此时y=f(x)的图象关于直线x=对称,故B正确,C当x=时,f(+π)=cos(+π+)=cos=0,则f(x+π)的一个零点为x=,故C正确,D.当<x<π时,<x+<,此时函数f(x)不是单调函数,故D 错误,故选:D5.(2017•新课标Ⅰ)已知曲线C1:y=cosx,C2:y=sin(2x+),则下面结论正确的是()A.把C1上各点的横坐标伸长到原来的2倍,纵坐标不变,再把得到的曲线向右平移个单位长度,得到曲线C2B.把C1上各点的横坐标伸长到原来的2倍,纵坐标不变,再把得到的曲线向左平移个单位长度,得到曲线C2C.把C1上各点的横坐标缩短到原来的倍,纵坐标不变,再把得到的曲线向右平移个单位长度,得到曲线C2D.把C1上各点的横坐标缩短到原来的倍,纵坐标不变,再把得到的曲线向左平移个单位长度,得到曲线C2【解答】解:把C1上各点的横坐标缩短到原来的倍,纵坐标不变,得到函数y=cos2x图象,再把得到的曲线向左平移个单位长度,得到函数y=cos2(x+)=cos(2x+)=sin(2x+)的图象,即曲线C2,故选:D.6.(2017•新课标Ⅲ)函数f(x)=sin(x+)+cos(x﹣)的最大值为()A.B.1 C.D.【解答】解:函数f(x)=sin(x+)+cos(x﹣)=sin(x+)+cos (﹣x+)=sin(x+)+sin(x+)=sin(x+).故选:A.7.(2016•上海)设a∈R,b∈[0,2π),若对任意实数x都有sin(3x﹣)=sin(ax+b),则满足条件的有序实数对(a,b)的对数为()A.1 B.2 C.3 D.4【解答】解:∵对于任意实数x都有sin(3x﹣)=sin(ax+b),则函数的周期相同,若a=3,此时sin(3x﹣)=sin(3x+b),此时b=﹣+2π=,若a=﹣3,则方程等价为sin(3x﹣)=sin(﹣3x+b)=﹣sin(3x﹣b)=sin (3x﹣b+π),则﹣=﹣b+π,则b=,综上满足条件的有序实数组(a,b)为(3,),(﹣3,),共有2组,故选:B.8.(2016•新课标Ⅲ)若tanα=,则cos2α+2sin2α=()A.B.C.1 D.【解答】解:∵tanα=,∴cos2α+2sin2α====.故选:A.9.(2016•新课标Ⅲ)若tanθ=﹣,则cos2θ=()A.﹣B.﹣C.D.【解答】解:由tanθ=﹣,得cos2θ=cos2θ﹣sin2θ==.故选:D.10.(2016•浙江)设函数f(x)=sin2x+bsinx+c,则f(x)的最小正周期()A.与b有关,且与c有关 B.与b有关,但与c无关C.与b无关,且与c无关D.与b无关,但与c有关【解答】解:∵设函数f(x)=sin2x+bsinx+c,∴f(x)图象的纵坐标增加了c,横坐标不变,故周期与c无关,当b=0时,f(x)=sin2x+bsinx+c=﹣cos2x++c的最小正周期为T==π,当b≠0时,f(x)=﹣cos2x+bsinx++c,∵y=cos2x的最小正周期为π,y=bsinx的最小正周期为2π,∴f(x)的最小正周期为2π,故f(x)的最小正周期与b有关,故选:B11.(2016•新课标Ⅱ)若将函数y=2sin2x的图象向左平移个单位长度,则平移后的图象的对称轴为()A.x=﹣(k∈Z)B.x=+(k∈Z)C.x=﹣(k∈Z)D.x=+(k∈Z)【解答】解:将函数y=2sin2x的图象向左平移个单位长度,得到y=2sin2(x+)=2sin(2x+),由2x+=kπ+(k∈Z)得:x=+(k∈Z),即平移后的图象的对称轴方程为x=+(k∈Z),故选:B.12.(2016•新课标Ⅰ)已知函数f(x)=sin(ωx+φ)(ω>0,|φ|≤),x=﹣为f(x)的零点,x=为y=f(x)图象的对称轴,且f(x)在(,)上单调,则ω的最大值为()A.11 B.9 C.7 D.5【解答】解:∵x=﹣为f(x)的零点,x=为y=f(x)图象的对称轴,∴,即,(n∈N)即ω=2n+1,(n∈N)即ω为正奇数,∵f(x)在(,)上单调,则﹣=≤,即T=≥,解得:ω≤12,当ω=11时,﹣+φ=kπ,k∈Z,∵|φ|≤,∴φ=﹣,此时f(x)在(,)不单调,不满足题意;当ω=9时,﹣+φ=kπ,k∈Z,∵|φ|≤,∴φ=,此时f(x)在(,)单调,满足题意;故ω的最大值为9,故选:B13.(2016•四川)为了得到函数y=sin(2x﹣)的图象,只需把函数y=sin2x 的图象上所有的点()A.向左平行移动个单位长度B.向右平行移动个单位长度C.向左平行移动个单位长度D.向右平行移动个单位长度【解答】解:把函数y=sin2x的图象向右平移个单位长度,可得函数y=sin2(x﹣)=sin(2x﹣)的图象,故选:D.14.(2016•新课标Ⅰ)将函数y=2sin(2x+)的图象向右平移个周期后,所得图象对应的函数为()A.y=2sin(2x+)B.y=2sin(2x+)C.y=2sin(2x﹣)D.y=2sin(2x﹣)【解答】解:函数y=2sin(2x+)的周期为T==π,由题意即为函数y=2sin(2x+)的图象向右平移个单位,可得图象对应的函数为y=2sin[2(x﹣)+],即有y=2sin(2x﹣).故选:D.15.(2016•北京)将函数y=sin(2x﹣)图象上的点P(,t)向左平移s(s>0)个单位长度得到点P′,若P′位于函数y=sin2x的图象上,则()A.t=,s的最小值为B.t=,s的最小值为C.t=,s的最小值为D.t=,s的最小值为【解答】解:将x=代入得:t=sin=,将函数y=sin(2x﹣)图象上的点P向左平移s个单位,得到P′(+s,)点,若P′位于函数y=sin2x的图象上,则sin(+2s)=cos2s=,则2s=+2kπ,k∈Z,则s=+kπ,k∈Z,由s>0得:当k=0时,s的最小值为,故选:A.16.(2016•四川)为了得到函数y=sin(x+)的图象,只需把函数y=sinx 的图象上所有的点()A.向左平行移动个单位长度B.向右平行移动个单位长度C.向上平行移动个单位长度D.向下平行移动个单位长度【解答】解:由已知中平移前函数解析式为y=sinx,平移后函数解析式为:y=sin(x+),可得平移量为向左平行移动个单位长度,故选:A17.(2016•新课标Ⅱ)函数y=Asin(ωx+φ)的部分图象如图所示,则()A.y=2sin(2x﹣)B.y=2sin(2x﹣) C.y=2sin(x+)D.y=2sin(x+)【解答】解:由图可得:函数的最大值为2,最小值为﹣2,故A=2,=,故T=π,ω=2,故y=2sin(2x+φ),将(,2)代入可得:2sin(+φ)=2,则φ=﹣满足要求,故y=2sin(2x﹣),故选:A.18.(2016•新课标Ⅱ)函数f(x)=cos2x+6cos(﹣x)的最大值为()A.4 B.5 C.6 D.7【解答】解:函数f(x)=cos2x+6cos(﹣x)=1﹣2sin2x+6sinx,令t=sinx(﹣1≤t≤1),可得函数y=﹣2t2+6t+1=﹣2(t﹣)2+,由∉[﹣1,1],可得函数在[﹣1,1]递增,即有t=1即x=2kπ+,k∈Z时,函数取得最大值5.故选:B.二.填空题(共9小题)19.(2017•北京)在平面直角坐标系xOy中,角α与角β均以Ox为始边,它们的终边关于y轴对称,若sinα=,则sinβ= .【解答】解:∵在平面直角坐标系xOy中,角α与角β均以Ox为始边,它们的终边关于y轴对称,∴α+β=π+2kπ,k∈Z,∵sinα=,∴sinβ=sin(π+2kπ﹣α)=sinα=.故答案为:.20.(2017•上海)设a1、a2∈R,且+=2,则|10π﹣α1﹣α2|的最小值为.【解答】解:根据三角函数的性质,可知sinα1,sin2α2的范围在[﹣1,1],要使+=2,∴sinα1=﹣1,sin2α2=﹣1.则:,k1∈Z.,即,k2∈Z.那么:α1+α2=(2k1+k2)π,k1、k2∈Z.∴|10π﹣α1﹣α2|=|10π﹣(2k1+k2)π|的最小值为.故答案为:.21.(2017•新课标Ⅱ)函数f(x)=sin2x+cosx﹣(x∈[0,])的最大值是 1 .【解答】解:f(x)=sin 2x+cosx﹣=1﹣cos2x+cosx﹣,令cosx=t且t∈[0,1],则y=﹣t 2+t+=﹣(t﹣)2+1,当t=时,f(t)max=1,即f(x)的最大值为1,故答案为:122.(2017•新课标Ⅱ)函数f(x)=2cosx+sinx的最大值为.【解答】解:函数f(x)=2cosx+sinx=(cosx+sinx)=sin(x+θ),其中tanθ=2,可知函数的最大值为:.故答案为:.23.(2016•上海)设a,b∈R,c∈[0,2π),若对于任意实数x都有2sin(3x ﹣)=asin(bx+c),则满足条件的有序实数组(a,b,c)的组数为 4 .【解答】解:∵对于任意实数x都有2sin(3x﹣)=asin(bx+c),∴必有|a|=2,若a=2,则方程等价为sin(3x﹣)=sin(bx+c),则函数的周期相同,若b=3,此时C=,若b=﹣3,则C=,若a=﹣2,则方程等价为sin(3x﹣)=﹣sin(bx+c)=sin(﹣bx﹣c),若b=﹣3,则C=,若b=3,则C=,综上满足条件的有序实数组(a,b,c)为(2,3,),(2,﹣3,),(﹣2,﹣3,),(﹣2,3,),共有4组,故答案为:4.24.(2016•江苏)定义在区间[0,3π]上的函数y=sin2x的图象与y=cosx的图象的交点个数是7 .【解答】解:画出函数y=sin2x与y=cosx在区间[0,3π]上的图象如下:由图可知,共7个交点.故答案为:7.25.(2016•新课标Ⅲ)函数y=sinx﹣cosx的图象可由函数y=2sinx的图象至少向右平移个单位长度得到.【解答】解:∵y=sinx﹣cosx=2sin(x﹣),令f(x)=2sinx,则f(x﹣φ)=2in(x﹣φ)(φ>0),依题意可得2sin(x﹣φ)=2sin(x﹣),故﹣φ=2kπ﹣(k∈Z),即φ=﹣2kπ+(k∈Z),当k=0时,正数φmin=,故答案为:.26.(2016•新课标Ⅲ)函数y=sinx﹣cosx的图象可由函数y=sinx+cosx 的图象至少向右平移个单位长度得到.【解答】解:∵y=f(x)=sinx+cosx=2sin(x+),y=sinx﹣cosx=2sin(x﹣),∴f(x﹣φ)=2sin(x+﹣φ)(φ>0),令2sin(x+﹣φ)=2sin(x﹣),则﹣φ=2kπ﹣(k∈Z),即φ=﹣2kπ(k∈Z),当k=0时,正数φmin=,故答案为:.27.(2016•江苏)在锐角三角形ABC中,若sinA=2sinBsinC,则tanAtanBtanC 的最小值是8 .【解答】解:由sinA=sin(π﹣A)=sin(B+C)=sinBcosC+cosBsinC,sinA=2sinBsinC,可得sinBcosC+cosBsinC=2sinBsinC,①由三角形ABC为锐角三角形,则cosB>0,cosC>0,在①式两侧同时除以cosBcosC可得tanB+tanC=2tanBtanC,又tanA=﹣tan(π﹣A)=﹣tan(B+C)=﹣②,则tanAtanBtanC=﹣•tanBtanC,由tanB+tanC=2tanBtanC可得tanAtanBtanC=﹣,令tanBtanC=t,由A,B,C为锐角可得tanA>0,tanB>0,tanC>0,由②式得1﹣tanBtanC<0,解得t>1,tanAtanBtanC=﹣=﹣,=()2﹣,由t>1得,﹣≤<0,因此tanAtanBtanC的最小值为8,另解:由已知条件sinA=2sinBsinc,sin(B十C)=2sinBsinC,sinBcosC十cosBsinC=2sinBcosC,两边同除以cosBcosC,tanB十tanC=2tanBtanC,∵﹣tanA=tan(B十C)=,∴tanAtanBtanC=tanA十tanB十tanC,∴tanAtanBtanC=tanA十2tanBtanC≥2,令tanAtanBtanC=x>0,即x≥2,即x≥8,或x≤0(舍去),所以x的最小值为8.当且仅当t=2时取到等号,此时tanB+tanC=4,tanBtanC=2,解得tanB=2+,tanC=2﹣,tanA=4,(或tanB,tanC互换),此时A,B,C均为锐角.三.解答题(共3小题)28.(2017•北京)已知函数f(x)=cos(2x﹣)﹣2sinxcosx.(I)求f(x)的最小正周期;(II)求证:当x∈[﹣,]时,f(x)≥﹣.【解答】解:(Ⅰ)f(x)=cos(2x﹣)﹣2sinxcosx,=(co2x+sin2x)﹣sin2x,=cos2x+sin2x,=sin(2x+),∴T==π,∴f(x)的最小正周期为π,(Ⅱ)∵x∈[﹣,],∴2x+∈[﹣,],∴﹣≤sin(2x+)≤1,∴f(x)≥﹣29.(2016•山东)设f(x)=2sin(π﹣x)sinx﹣(sinx﹣cosx)2.(Ⅰ)求f(x)的单调递增区间;(Ⅱ)把y=f(x)的图象上所有点的横坐标伸长到原来的2倍(纵坐标不变),再把得到的图象向左平移个单位,得到函数y=g(x)的图象,求g()的值.【解答】解:(Ⅰ)∵f(x)=2sin(π﹣x)sinx﹣(sinx﹣cosx)2 =2sin2x ﹣1+sin2x=2•﹣1+sin2x=sin2x﹣cos2x+﹣1=2sin(2x﹣)+﹣1,令2kπ﹣≤2x﹣≤2kπ+,求得kπ﹣≤x≤kπ+,可得函数的增区间为[kπ﹣,kπ+],k∈Z.(Ⅱ)把y=f(x)的图象上所有点的横坐标伸长到原来的2倍(纵坐标不变),可得y=2sin(x﹣)+﹣1的图象;再把得到的图象向左平移个单位,得到函数y=g(x)=2sinx+﹣1的图象,∴g()=2sin+﹣1=.30.(2016•北京)已知函数f(x)=2sinωxcosωx+cos2ωx(ω>0)的最小正周期为π.(1)求ω的值;(2)求f(x)的单调递增区间.【解答】解:(1)f(x)=2sinωxcosωx+cos2ωx=sin2ωx+cos2ωx==.由T=,得ω=1;(2)由(1)得,f(x)=.再由,得.∴f(x)的单调递增区间为[](k∈Z).。
高三数学三角函数试题答案及解析1.已知函数,若数列满足,且的前项和为,则_____________.【答案】8042【解析】.因为,,,,,,,.所以8042.【考点】1.分段函数的问题.2.数列的思想.3.三角函数的周期性.4.分类列举的数学思想.2.若方程有实根,则实数的取值范围为【答案】【解析】由方程得,,即,因为,所以,若方程有实根,则,解得.【考点】方程的根.3.函数的最小正周期为,若其图象向右平移个单位后关于y轴对称,则()A.B.C.D.【答案】B【解析】由题意可知:,得,函数关于对称,所以,,又因为,解得,故选B.【考点】的图像和性质4.已知函数的最小正周期为,将的图像向左平移个单位长度,所得图像关于轴对称,则的一个值是()A.B.C.D.【答案】D【解析】函数的最小正周期为,所以从而.将各选项代入验证可知选【考点】1、三角函数的周期;2、函数图象的变换5.是偶函数,,则 .【答案】【解析】,,所以,因为为偶函数,所以对任意的,都有即成立,又,所以.【考点】三角函数的恒等变换,偶函数.6.已知向量,向量,函数·.(1)求的最小正周期T;(2)若方程在上有解,求实数的取值范围.【答案】(1);(2).【解析】(1)先列出的表达式,利用倍角公式将其化为一个复合角的三角函数,即可求得结果;(2)根据已知的范围,先求出的值域,从而得实数的取值范围.试题解析: 2分4分6分7分8分10分11分方程在上有解,实数的取值范围为 12分【考点】1.平面向量;2.三角恒等变换;3.三角函数的周期、值域.7.已知方程在上有两个不同的解、,则下列结论正确的是()A.B.C.D.【答案】C【解析】由于方程在上有两个不同的解、,即方程在上有两个不同的解、,也就是说,直线与函数在轴右侧的图象有且仅有两个交点,由图象可知,当时,直线与曲线相切,且切点的横坐标为,当时,,则,故,在切点处有,即,,两边同时乘以得,,故选C.【考点】1.函数的零点;2.函数的图象;3.利用导数求切线的斜率8.设=【答案】【解析】因为,所以,由,得,又,所以,所以【考点】同角三角函数关系.9.已知函数(Ⅰ)求的最小正周期及最大值;(Ⅱ)若,且,求的值.【答案】(Ⅰ)(Ⅱ)【解析】第(Ⅰ)题,化简函数解析式为最简形式,利用公式求出周期和最值。
第一章 三角函数一、选择题 1.已知为第三象限角,则2α所在的象限是( ). A .第一或第二象限 B .第二或第三象限 C .第一或第三象限D .第二或第四象限2.若sin θcos θ>0,则θ在( ). A .第一、二象限 B .第一、三象限 C .第一、四象限D .第二、四象限3.sin3π4cos 6π5tan ⎪⎭⎫ ⎝⎛3π4-=( ). A .-433B .433 C .-43 D .43 4.已知tan θ+θtan 1=2,则sin θ+cos θ等于( ). A .2B .2C .-2D .±25.已知sin x +cos x =51(0≤x <π),则tan x 的值等于( ). A .-43B .-34C .43D .346.已知sin >sin ,那么下列命题成立的是( ). A .若,是第一象限角,则cos >cosB .若,是第二象限角,则tan >tanC .若,是第三象限角,则cos >cosD .若,是第四象限角,则tan>tan7.已知集合A ={|=2k π±3π2,k ∈Z },B ={|=4k π±3π2,k ∈Z },C = {γ|γ=k π±3π2,k ∈Z },则这三个集合之间的关系为( ). A .A ⊆B ⊆CB .B ⊆A ⊆CC .C ⊆A ⊆BD .B ⊆C ⊆A8.已知cos (+)=1,sin =31,则sin 的值是( ). A .31B .-31C .322D .-322 9.在(0,2π)内,使sin x >cos x 成立的x 取值范围为( ).A .⎪⎭⎫ ⎝⎛2π ,4π∪⎪⎭⎫⎝⎛4π5,π B .⎪⎭⎫ ⎝⎛π ,4πC .⎪⎭⎫ ⎝⎛4π5 ,4πD .⎪⎭⎫ ⎝⎛π ,4π∪⎪⎭⎫⎝⎛23π ,4π5 10.把函数y =sin x (x ∈R )的图象上所有点向左平行移动3π个单位长度,再把所得图象上所有点的横坐标缩短到原来的21倍(纵坐标不变),得到的图象所表示的函数是( ). A .y =sin ⎪⎭⎫ ⎝⎛3π - 2x ,x ∈RB .y =sin ⎪⎭⎫ ⎝⎛6π + 2x ,x ∈RC .y =sin ⎪⎭⎫ ⎝⎛3π + 2x ,x ∈RD .y =sin ⎪⎭⎫ ⎝⎛32π + 2x ,x ∈R二、填空题11.函数f (x )=sin 2 x +3tanx 在区间⎥⎦⎤⎢⎣⎡3π4π ,上的最大值是 .12.已知sin =552,2π≤≤π,则tan = . 13.若sin ⎪⎭⎫ ⎝⎛α + 2π=53,则sin ⎪⎭⎫⎝⎛α - 2π= .14.若将函数y =tan ⎪⎭⎫ ⎝⎛4π + x ω(ω>0)的图象向右平移6π个单位长度后,与函数y =tan ⎪⎭⎫ ⎝⎛6π + x ω的图象重合,则ω的最小值为 .15.已知函数f (x )=21(sin x +cos x )-21|sin x -cosx |,则f (x )的值域是 . 16.关于函数f (x )=4sin ⎪⎭⎫ ⎝⎛3π + 2x ,x ∈R ,有下列命题: ①函数 y = f (x )的表达式可改写为y = 4cos ⎪⎭⎫ ⎝⎛6π - 2x ; ②函数 y = f (x )是以2π为最小正周期的周期函数; ③函数y =f (x )的图象关于点(-6π,0)对称; ④函数y =f (x )的图象关于直线x =-6π对称. 其中正确的是______________.三、解答题17.求函数f (x )=lgsin x +1cos 2-x 的定义域.18.化简:(1))-()+(-)++()+()-(-)++(-αααααα︒︒︒︒180cos cos 180tan 360tan sin 180sin ;(2))-()+()-()++(πcos πsin πsin πsin n n n n αααα(n ∈Z ).19.求函数y =sin ⎪⎭⎫ ⎝⎛6π - 2x 的图象的对称中心和对称轴方程.20.(1)设函数f (x )=xax sin sin +(0<x <π),如果 a >0,函数f (x )是否存在最大值和最小值,如果存在请写出最大(小)值;(2)已知k <0,求函数y =sin 2x +k (cos x -1)的最小值.参考答案一、选择题 1.D解析:2k π+π<<2k π+23π,k ∈Z ⇒k π+2π<2α<k π+43π,k ∈Z .2.B解析:∵ sin θcos θ>0,∴ sin θ,cos θ同号.当sin θ>0,cos θ>0时,θ在第一象限;当sin θ<0,cos θ<0时,θ在第三象限. 3.A解析:原式=⎪⎭⎫ ⎝⎛-⎪⎭⎫ ⎝⎛-⎪⎭⎫ ⎝⎛-3πtan 6πcos 3πsin =-433.4.D解析:tan θ+θtan 1=θθcos sin +θθsin cos =θθcos sin 1=2,sin cos =21.(sin θ+cos θ)2=1+2sin θcos θ=2.sin +cos =±2.5.B解析:由 得25cos 2x -5cos x -12=0.解得cos x =54或-53. 又 0≤x <π,∴ sin x >0. 若cos x =54,则sin x +cos x ≠51,∴ cos x =-53,sin x =54,∴ tan x =-34. 6.D解析:若 ,是第四象限角,且sin >sin ,如图,利用单位圆中的三角函数线确定,的终边,故选D .7.B解析:这三个集合可以看作是由角±3π2的终边每次分别旋转一周、两周和半周所得到的角的集合. ⎩⎨⎧1=cos +sin 51=cos +sin 22x x x x (第6题`)8.B解析:∵ cos (+)=1,∴ +=2k π,k ∈Z . ∴=2k π-.∴ sin =sin(2k π-)=sin(-)=-sin=-31.9.C解析:作出在(0,2π)区间上正弦和余弦函数的图象,解出两交点的横坐标4π和45π,由图象可得答案.本题也可用单位圆来解.10.C解析:第一步得到函数y =sin ⎪⎭⎫ ⎝⎛+3πx 的图象,第二步得到函数y =sin ⎪⎭⎫ ⎝⎛+3π2x 的图象.二、填空题 11.415. 解析:f (x )=sin 2x +3tanx 在⎥⎦⎤⎢⎣⎡3π4π ,上是增函数,f (x )≤sin 23π+3tan 3π=415.12.-2. 解析:由sin =552,2π≤≤πcos =-55,所以tan =-2.13.53.解析:sin ⎪⎭⎫ ⎝⎛α + 2π=53,即cos =53,∴ sin ⎪⎭⎫ ⎝⎛α - 2π=cos=53.14.21.解析:函数y =tan ⎪⎭⎫ ⎝⎛4π+x ω (ω>0)的图象向右平移6π个单位长度后得到函数 y =tan ⎥⎦⎤⎢⎣⎡⎪⎭⎫⎝⎛4π+6π-x ω=tan ⎪⎭⎫ ⎝⎛ωω6π-4π+x 的图象,则6π=4π-6πω+k π(k ∈Z ),ω=6k +21,又ω>0,所以当k =0时,ωmin =21.15.⎥⎦⎤⎢⎣⎡221 ,-. 解析:f (x )=21(sin x +cos x )-21|sin x -cosx |=⎩⎨⎧)<()(x x x x x x cos sin sin cos ≥sin cos即 f (x )等价于min{sin x ,cos x },如图可知,f (x )max =f ⎪⎭⎫ ⎝⎛4π=22,f (x )min =f (π) =-1.16.①③.解析:① f (x )=4sin ⎪⎭⎫ ⎝⎛+3π2x =4cos ⎪⎭⎫ ⎝⎛--3π22πx =4cos ⎪⎭⎫ ⎝⎛+-6π2x =4cos ⎪⎭⎫ ⎝⎛-6π2x .② T =22π=π,最小正周期为π. ③ 令 2x +3π=k π,则当 k =0时,x =-6π, ∴ 函数f (x )关于点⎪⎭⎫⎝⎛0 6π-,对称. ④ 令 2x +3π=k π+2π,当 x =-6π时,k =-21,与k ∈Z 矛盾. ∴ ①③正确. 三、解答题17.{x |2k π<x ≤2k π+4π,k ∈Z }. 解析:为使函数有意义必须且只需⎪⎩⎪⎨⎧-② 0 ≥1 cos 2①>0 sin x x先在[0,2π)内考虑x 的取值,在单位圆中,做出三角函数线. 由①得x ∈(0,π),由②得x ∈[0,4π]∪[47π,2π]. 二者的公共部分为x ∈⎥⎦⎤⎝⎛4π0,.所以,函数f (x )的定义域为{x |2k π<x ≤2k π+4π,k ∈Z }. (第15题)(第17题)18.(1)-1;(2) ±αcos 2. 解析:(1)原式=αααααα cos cos tan tan sin sin -+--=-ααtan tan =-1.(2)①当n =2k ,k ∈Z 时,原式=)-()+()-()++(π2 cos π2sin π2sin π2sin k k k k αααα=αcos 2.②当n =2k +1,k ∈Z 时,原式=])+-([])++([])+-([]+)++([π12 cos π12sin π12sin π12sin k k k k αααα=-αcos 2.19.对称中心坐标为⎪⎭⎫⎝⎛0 ,12π + 2πk ;对称轴方程为x =2πk +3π(k ∈Z ). 解析:∵ y =sin x 的对称中心是(k π,0),k ∈Z ,∴ 令2x -6π=k π,得x =2πk +12π. ∴ 所求的对称中心坐标为⎪⎭⎫⎝⎛0 ,12π + 2πk ,k ∈Z .又 y =sin x 的图象的对称轴是x =k π+2π, ∴ 令2x -6π=k π+2π,得x =2πk +3π. ∴ 所求的对称轴方程为x =2πk +3π(k ∈Z ). 20.(1)有最小值无最大值,且最小值为1+a ; (2)0. 解析:(1) f (x )=x a x sin sin +=1+xa sin ,由0<x <π,得0<sin x ≤1,又a >0,所以当sin x =1时,f (x )取最小值1+a ;此函数没有最大值.(2)∵-1≤cos x ≤1,k <0, ∴ k (cos x -1)≥0, 又 sin 2x ≥0,∴ 当 cos x =1,即x =2k(k ∈Z )时,f (x )=sin 2x +k (cos x -1)有最小值f (x )min =0.。