江西理工大学大学物理(上)复习提纲
- 格式:doc
- 大小:531.50 KB
- 文档页数:8
大学物理复习内容提要第一章提要1.1 运动的描述1 参考系质点为描述物体的运动而选择的参考物(或标准物)称参考系.在研究问题的过程中,物体的形状和大小可忽略,把它看成一个具有一定质量的点,即质点模型.2 位矢运动方程从坐标原点到质点所在处的矢径称质点的位置矢量.位置矢量随时刻t变化的关系式称质点的运动方程.运动学中的两类问题(1)(2)已知运动方程,求速度、加速度———求导数的方法.(2)已知加速度和初始条件,求速度和运动方程———运用积分方法.1.2 圆周运动1 圆周运动的角量描述:角坐标:任一时刻t质点的矢径与极轴o o'的夹角θ,称角坐标θ角位移:某段时间t ∆内角坐标的增量θ∆称质点在段时间t ∆内的角位移.角速度 dtd θ0=∆∆=→∆t lim t θω角加速度 220d d d d t t t limt θωωβ==∆∆=→∆2 角量与线量的关系θRd ds =ωθR tR t s ===d d d d vβωR tR t a t ===d d d d v22ωR Ra n ==v第二章提要2.1 牛顿三定律第一定律:任何物体都要保持静止或作匀速直线运动的状态,直到外力迫使它改变这种状态为止.也称惯性定律,给出惯性和力的概念.第二定律:表达式 ()dtv m d F =.当m 为常量,a m F= 给出力与加速度、质量的定量关系.第三定律:表达式 2112F F-= 作用力与反作用力定律,说明物体间的作用力总是成对出现.牛顿定律仅适用于宏观、低速的情况,且只对质点模型在惯性系中成立.2.2 动量 动量守恒定律冲量 力对时间的积分⎰=21t t dt F I,称力冲量. 是矢量,与过程对应 .动量 质点的动量v m P = 质点系的动量∑=ii m P i v, 是矢量,与状态对应.动量定理 在给定的时间内,作用于系统的合外力上的冲量,等于系统动量的0P P I -=动量守恒定律 当系统所受合外力为零时,系统的总动量保持不变。
刚体复习重点(一)要点质点运动位置矢量(运动方程) r = r (t ) = x (t )i + y (t )j + z (t )k ,速度v = d r/d t = (d x /d t )i +(d y /d t )j + (d z /d t )k ,动量 P=m v加速度 a=d v/d t=(d v x /d t )i +(d v y /d t )j +(d v z /d t )k曲线运动切向加速度 a t = d v /d t , 法向加速度 a n = v 2/r .圆周运动及刚体定轴转动的角量描述 θ=θ(t ), ω=d θ/d t , β= d ω/d t =d 2θ/d t 2,角量与线量的关系 △l=r △θ, v=r ω (v= ω×r ),a t =r β, a n =r ω2力矩 M r F 转动惯量 2i i J r m =∆∑, 2d mJ r m =⎰ 转动定律 t d L M =M J α= 角动量: 质点p r L ⨯= 刚体L=J ω;角动量定理 ⎰tt 0d M =L -L 0角动量守恒 M=0时, L=恒量; 转动动能2k E J ω= (二) 试题一 选择题(每题3分)1.一轻绳跨过一具有水平光滑轴、质量为M 的定滑轮,绳的两端分别悬有质量为m 1和m 2的物体(m 1<m 2),如图.绳与轮之间无相对滑动.若某时刻滑轮沿逆时针方向转动,则绳中的张力(答案:C )(A) 处处相等. (B) 左边大于右边.(C) 右边大于左边. (D) 哪边大无法判断. 2.将细绳绕在一个具有水平光滑轴的飞轮边缘上,现在在绳端挂一质量为m 的重物,飞轮的角加速度为β.如果以拉力2mg 代替重物拉绳时,飞轮的角加速度将 (答案:C )(A) 小于β. (B) 大于β,小于2 β. (C) 大于2 β. (D) 等于2 β.3. 均匀细棒OA 可绕通过其一端O 而与棒垂直的水平固定光滑轴转动,如图所示,今使棒从水平位置由静止开始自由下落,在棒摆动到竖立位置的过程中,下述说法哪一种是正确的?(A) 角速度从小到大,角加速度从大到小. (答案:A )(B) 角速度从小到大,角加速度从小到大.(C) 角速度从大到小,角加速度从大到小.(D) 角速度从大到小,角加速度从小到大.4. 关于刚体对轴的转动惯量,下列说法中正确的是(答案:C )(A) 只取决于刚体的质量,与质量的空间分布和轴的位置无关.(B) 取决于刚体的质量和质量的空间分布,与轴的位置无关.(C) 取决于刚体的质量,质量的空间分布和轴的位置.(D) 只取决于转轴的位置,与刚体的质量和质量的空间分布无关.5. 花样滑冰运动员绕通过自身的竖直轴转动,开始时两臂伸开,转动惯量为J 0,角速度为ω0.然后她将两臂收回,使转动惯量减少为J 0/3.这时她转动的角速度变为(答案:D )(A) ω0/3. (B) ()3/1 ω0. (C) 3 ω0. (D) 3ω0.二、填空题1.(本题4分)一飞轮作匀减速运动,在5s 内角速度由40π rad/s 减少到10π rad/s ,则飞轮在这5s内总共转过了 圈,飞轮再经 的时间才能停止转动。
《⼤学物理》上册复习资料⼩飞说明:本资料纯属个⼈总结,只是提供给⼤家⼀些复习⽅⾯,题⽬均来⾃课件如有不⾜望谅解。
(若要打印,打印时请删去此⾏)第⼀章质点运动学1.描述运动的主要物理量位置⽮量:位移⽮量:速度⽮量:加速度⽮量:速度的⼤⼩:加速度的⼤⼩:2.平⾯曲线运动的描述切向加速度:法相加速度:(圆周运动半径为R,则a n= )3.圆周运动的⾓量描述⾓位置:⾓速度:⾓加速度:圆周运动的运动⽅程:4.匀⾓加速运动⾓量间的关系ω= θ=5.⾓量与线量间的关系ΔS= V= a t= a n=6.运动的相对性速度相加原理: 加速度相加关系:7. 以初速度v0由地⾯竖直向上抛出⼀个质量为m 的⼩球,若上抛⼩球受到与其瞬时速率成正⽐的空⽓阻⼒,求⼩球能升达的最⼤⾼度是多⼤?8.⼀飞轮以n=1500r/min的转速转动,受到制动⽽均匀地减速,经t=50s后静⽌。
(1)求⾓加速度β和从制动开始到静⽌时飞轮的转数N为多少?(2)求制动开始t=25s时飞轮的⾓速度ω(3)设飞轮的半径R=1m时,求t=25s时,飞轮边缘上⼀点的速度、切向加速度和法向加速度9.⼀带蓬卡车⾼h=2m,它停在马路上时⾬点可落在车内到达蓬后沿前⽅d=1m处,当它以15 km/h 速率沿平直马路⾏驶时,⾬滴恰好不能落⼊车内,求⾬滴相对地⾯的速度及⾬滴相对车的速度。
x x 'yy 'z z 'O O 'S S 'uP ),,(),,(z y x z y x '''第⼆章⽜顿运动定律 1.经典⼒学的时空观(1)(2)(3) 2.伽利略变换 (Galilean transformation ) (1)伽利略坐标变换X ’= Y ’= Z ’= t ’=(2)伽利略速度变换V ’= (3)加速度变换关系 a ’=3.光滑桌⾯上放置⼀固定圆环,半径为R ,⼀物体贴着环带内侧运动,如图所⽰。
引言概述:正文内容:
1.运动学
1.1匀速直线运动
1.1.1位移、速度和加速度的概念
1.1.2匀速直线运动的数学描述
1.1.3匀速直线运动的图像解析
1.2匀变速直线运动
1.2.1加速度和速度的关系
1.2.2匀变速直线运动的数学描述
1.2.3匀变速直线运动的图像解析
1.2.4自由落体运动
2.力学
2.1牛顿力学基本概念
2.1.1质点、力和力的合成
2.1.2牛顿三定律及其应用
2.2静力学
2.2.1物体的平衡条件
2.2.2弹力、摩擦力和力的矩
2.3.1动量、动量守恒定律和冲量
2.3.2力的合成和动量定理
2.3.3动能、功和功率
2.3.4动力学的应用:斜面和圆周运动
3.能量与能量守恒
3.1动能和势能
3.2机械能守恒定律
3.2.1弹性碰撞
3.2.2完全非弹性碰撞
3.2.3弹簧振子
4.流体力学
4.1流体的基本性质
4.1.1流体的压强、密度和体积弹性模量4.1.2静力学中的流体平衡条件
4.2流体的动力学性质
4.2.1流体运动的流速、流量和连续性方程4.2.2流体的伯努利定律
4.3流体的应用:大气压力和沉浮
5.1温度和热平衡
5.2热传导和热量
5.3热力学第一定律
5.4理想气体的状态方程
5.5热力学第二定律和熵
5.6热力学过程中的功和热量的转化总结:。
大学物理I 复习纲要本期考试比例:力学:28分;热学:25分;振波:22分;光学:25分。
大学物理I 包括:力学(运动学、牛顿力学、刚体的定轴转动);热学(气体动理论、热力学第一定律);振动波动(机械振动、机械波);光学(光的干涉、衍射和偏振)。
根据大纲对各知识点的要求以及总结历年考试的经验,现列出期末复习的纲要如下: 1. 计算题可能覆盖范围a. 刚体碰撞及转动定律;b. 热力学第一定律;c. 机械振动与机械波波动方程;d. 单缝衍射及光栅衍射 2. 大学物理I 重要规律与知识点(一)力学 质点运动学(速度、加速度、位移、路程概念分析、圆周运动);质点的相对运动,伽利略变换;质点运动的机械能与角动量;牛顿第二定律;质点动量定理;变力做功;刚体定轴转动定理;刚体定轴转动角动量定理及角动量守恒定律;刚体力矩(二)热学 理想气体的状态方程;理想气体的温度、压强、内能;能均分定理;麦克斯韦速率分布函数的统计意义和三种统计速率;热力学第一定律在理想气体等值过程中的应用;循环过程及效率、绝热过程。
(三)振动、波动 旋转矢量法的应用;同方向同频率简谐振动的合成;波速、周期(频率)与波长的关系(uT =λ);波程、波程差以及相位差;相干波及驻波;振动曲线和波动曲线,振动方程与波动方程的求解;波的能量。
(四)光学 光程差与相位差;杨氏双缝干涉;干涉与光程;半波损失;劈尖薄膜干涉、增透,增反;单缝衍射,光栅衍射;马吕斯定律。
1. 计算题21.(本题10分)一根放在水平光滑桌面上的匀质棒,可绕通过其一端的竖直固定光滑轴O 转动.棒的质量为m = 1.5 kg ,长度为l = 1.0 m ,对轴的转动惯量为J = 231ml .初始时棒静止.今有一水平运动的子弹垂直地射入棒的另一端,并留在棒中,如图所示.子m , lOvm '弹的质量为m '= 0.020 kg ,速率为v = 400 m ·s -1.试问: (1) 棒开始和子弹一起转动时角速度ω有多大?(2) 若棒转动时受到大小为M r = 4.0 N ·m 的恒定阻力矩作用,棒能转过多大的角度θ? 21. (本题10分) 解:(1) 角动量守恒:ω⎪⎭⎫⎝⎛'+='2231l m ml l m v 2分∴ l m m m ⎪⎭⎫ ⎝⎛'+'=31v ω=15.4 rad ·s -1 2分(2) -M r =(231ml +2l m ')β2分0-ω 2=2βθ2分∴ rM l m m 23122ωθ⎪⎭⎫ ⎝⎛'+==15.4 rad 2分22.(本题10分)一定量的单原子分子理想气体,从A 态出发经等压过程膨胀到B 态,又经绝热过程膨胀到C 态,如图所示.试求这全过程中气体对外所作的功,内能的增量以及吸收的热量. 22. (本题10分)解:由图可看出 p A V A = p C V C从状态方程 pV =νRT T A =T C ,因此全过程A →B →C∆E =0.3分B →C 过程是绝热过程,有Q BC = 0. A →B 过程是等压过程,有 )(25)( A A B B A B p AB V p V p T T C Q -=-=ν=14.9×105 J . 故全过程A →B →C 的 Q = Q BC +Q AB =14.9×105 J . 4分A BCV (m 3)p (Pa) 2 3.4981×1054×105O根据热一律Q =W +∆E ,得全过程A →B →C 的W = Q -∆E =14.9×105 J . 3分24.(本题10分)(3530)一衍射光栅,每厘米200条透光缝,每条透光缝宽为a=2×10-3 cm ,在光栅后放一焦距f=1 m 的凸透镜,现以λ=600 nm (1 nm =10-9 m)的单色平行光垂直照射光栅,求: (1) 透光缝a 的单缝衍射中央明条纹宽度为多少?(2) 在该宽度内,有几个光栅衍射主极大(亮纹)?24.解:(1) a sin ϕ = k λ tg ϕ = x / f 2分当x << f 时,ϕϕϕ≈≈sin tg , a x / f = k λ , 取k = 1有x = f l / a = 0.03 m 1分 ∴中央明纹宽度为 ∆x = 2x = 0.06 m 1分(2)( a + b ) sin ϕλk '=2分='k ( a +b ) x / (f λ)= 2.5 2分取k '= 2,有k '= 0,±1,±2 共5个主极大2分22.(本题10分)气缸内贮有36 g 水蒸汽(视为刚性分子理想气体),经abcda 循环过程如图所示.其中a -b 、c -d 为等体过程,b -c 为等温过程,d -a 为等压过程.试求:(1) d -a 过程中水蒸气作的功W da (2) a -b 过程中水蒸气内能的增量∆E ab (3) 循环过程水蒸汽作的净功W(4) 循环效率η(注:循环效率η=W /Q 1,W 为循环过程水蒸汽对外作的净功,Q 1为循环过程水蒸汽吸收的热量,1 atm=1.013×105 Pa) 22. (本题10分)解:水蒸汽的质量M =36×10-3 kg 水蒸汽的摩尔质量M mol =18×10-3 kg ,i = 6(1) W da = p a (V a -V d )=-5.065×103 J (2)ΔE ab =(M /M mol )(i /2)R (T b -T a )=(i /2)V a (p b - p a )=3.039×104 J(3) 914)/(==RM M V p T mol ab b KW bc = (M /M mol )RT b ln(V c /V b ) =1.05×104 J净功 W =W bc +W da =5.47×103 J(4) Q 1=Q ab +Q bc =ΔE ab +W bc =4.09×104 Jp (atm )V (L)Oabcd25 5026η=W / Q 1=13%23.(本题10分)图示一平面简谐波在t = 0 时刻的波形图,求 (1) 该波的波动表达式; (2) P 处质点的振动方程. 23. (本题10分)解:(1) O 处质点,t = 0 时0c o s 0==φA y , 0sin 0>-=φωA v 所以 π-=21φ 2分又 ==u T /λ (0.40/ 0.08) s= 5 s 2分故波动表达式为 ]2)4.05(2c o s [04.0π--π=x t y (SI) 4分(2) P 处质点的振动方程为]2)4.02.05(2c o s [04.0π--π=t y P )234.0c o s(04.0π-π=t (SI) 2分 补充题3-1用铁锤把质量很小的钉子敲入木板,设木板对钉子的阻力与钉子进入木板的深度成正比。
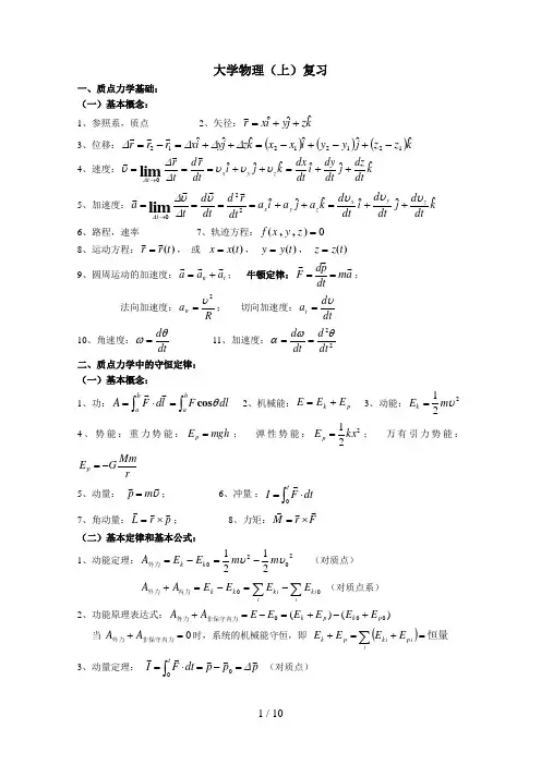
大学物理(上)复习一、质点力学基础: (一)基本概念:1、参照系,质点2、矢径:kz j y i x r ˆˆˆ++= 3、位移:()()()k z z j y y i x x k z j y i x r r r ˆˆˆˆˆˆ12121212-+-+-=++=-=∆∆∆∆4、速度:k dt dz j dt dy i dt dx k j i dt r d t r z y x t ˆˆˆˆˆˆlim ++=++===→υυυ∆∆υ∆5、加速度:k dt d j dt d i dt d k a j a i a dt r d dt d t a z y x z y x t ˆˆˆˆˆˆlim υυυυ∆υ∆∆++=++====→2206、路程,速率7、轨迹方程:0=),,(z y x f8、运动方程:)(t r r=, 或 )(t x x =, )(t y y =, )(t z z =9、圆周运动的加速度:t n a a a +=; 牛顿定律:a m dtp d F==;法向加速度:Ra n 2υ=; 切向加速度:dtd a t υ=10、角速度:dt d θω= 11、加速度:22dtd dt d θωα== 二、质点力学中的守恒定律: (一)基本概念:1、功:⎰⎰=⋅=b a ba dl F l d F A θcos 2、机械能:p k E E E += 3、动能:221υm E k =4、势能:重力势能:mgh E p =; 弹性势能:221kx E p =; 万有引力势能:rMmG E p -= 5、动量: υm p =; 6、冲量 :⎰⋅=t dt F I 07、角动量:p r L ⨯=; 8、力矩:F r M⨯=(二)基本定律和基本公式: 1、动能定理:20202121υυm m E E A k k -=-=外力 (对质点) ∑∑-=-=+iii k i k k k E E E E A A 00内力外力 (对质点系)2、功能原理表达式:)()(000p k p k E E E E E E A A +-+=-=+非保守内力外力 当 0=+非保守内力外力A A 时,系统的机械能守恒,即 ()恒量=+=+∑ii p ik p k E EE E3、动量定理: p p p dt F I t∆=-=⋅=⎰00(对质点)p p p dt F I n i n i t n i i∆=-=⋅⎪⎭⎫ ⎝⎛=∑∑⎰∑===10101 (对质点系)若体系所受的合外力0=∑F ,此时体系的动量守恒,即:恒量==∑ii i m p υ4、碰撞定律: ⎪⎩⎪⎨⎧<<=--=非弹性碰撞完全非弹性碰撞弹性碰撞,1001201012e e υυυυ5、角动量定理: ()p r dtd dt L d M⨯==(对质点) ∑∑⨯===ii i i i F r dt L d dt L d M外 (对质点系)当质点或质点系所受的合外力矩为零时,质点或质点系的角动量守恒,即:常矢量=L三、转动的刚体: (一)基本概念:1、转动惯量: ⎪⎩⎪⎨⎧∆=⎰∑连续离散dm r m r I ii i 22 2、转动动能: 221ωI E k =3、力矩: F r M ⨯=4、角动量: ωI L =(对刚体)5、角冲量: t M dt M H t ∆⋅=⋅=⎰ 06、力矩的功: ⎰⋅=21θθθd M A(二)基本定律和基本公式:1、平行轴公式:2mh I I C += 正交轴公式:y x z I I I +=2、转动定律:αI M = 3、转动动能定理:2022121ωωθI I d M A -=⋅=⎰4、角动量定理:000ωωI I dt tt -=∆=⋅=⎰5、角动量守恒定律:若刚体受到的合外力矩0=,则刚体的角动量守恒恒矢量==I四、机械振动: (一)简谐振动方程:1、简谐振动动力学特征方程: x k F -=2、简谐振动运动学特征方程: 02=+x x ω3、简谐振动的运动方程:)cos(ϕω+=t A x如果物体的运动规律满足上述三个方程中的任意一个,即可判定该物体的运动为简谐振动。
第一章复习一、描述运动的物理量1、描写质点运动的基本物理量(线量)(1)位置矢量:k z j y i x r++=。
(2)位移12r r r-=∆,注意与路程的区别。
(3)速度:dt r d v =,平均速度:t r v ∆∆= ,速率:||||dtrd dt dS v v ===(4)加速度直角坐标系:22dtrd dt v d a ==;平面自然坐标系:n v dt dv n a a a n ρτττττ2+=+= 2、描写刚体定轴转动的基本物理量(角量) (1)角位置θ(2)角位移12θθθ-=∆ (3)角速度dtd θω=(4)角加速度22dtd dt d θωβ==3、圆周运动角量与线量的关系:θ∆=∆R s ; R v ω=; R dtdva βτ==; R R v a n 22ω==。
二、运动方程1、直角坐标系中的运动方程:)(t r r=;2、定轴转动刚体的运动方程:)(t θθ=;3、自然坐标系中的运动方程:)(t s s =;三、轨迹方程四、可能出现的题型:1、根据运动方程求:位移,路程,速度,平均速度,速率,加速度,平均加速度等。
注意判别所求的物理量是矢量还是标量!2、根据加速度或速度以及初始条件求运动方程等。
可能用到的方法:图形面积法;矢量积分法(注意式中各物理量之间的变换,如:dxvdvdx dx dt dv dt dv a ===)。
3、根据运动方程求轨迹方程——消去运动方程中的时间即可。
4、利用匀变速直线运动公式或匀变速转动公式求解有关量。
匀变速直线运动公式:恒量=a ,at v v +=0,20021at t v x x ++=,)(20202x x a v v -=-匀变速转动公式:恒量=β,t βωω+=0,20021t t βωθθ++=,)(20202θθβωω-=-5、n a a a ,,τ的求解(1)直角坐标系中一般可由22dt r d dt v d a ==求出总加速度a,再根据||||dtr d v v ==求出速率,再根据dtdv a =τ求τa ,然后根据22n a a a +=τ求n a ,进而求曲率半径。
第2章质点动力学一、质点:是物体的理想模型。
它只有质量而没有大小。
平动物体可作为质点运动来处理,或物体的形状大小对物体运动状态的影响可忽略不计是也可近似为质点。
二、力:是物体间的相互作用。
分为接触作用与场作用。
在经典力学中,场作用主要为万有引力(重力),接触作用主要为弹性力与摩擦力。
1、弹性力:(为形变量)2、摩擦力:摩擦力的方向永远与相对运动方向(或趋势)相反。
固体间的静摩擦力:(最大值)固体间的滑动摩擦力:3、流体阻力:或。
4、万有引力:特例:在地球引力场中,在地球表面附近:。
式中R为地球半径,M为地球质量。
在地球上方(较大),。
在地球内部(),。
三、惯性参考系中的力学规律牛顿三定律牛顿第一定律:时,。
牛顿第一定律阐明了惯性与力的概念,定义了惯性系。
牛顿第二定律:普遍形式:;经典形式:(为恒量)牛顿第三定律:。
牛顿运动定律是物体低速运动()时所遵循的动力学基本规律,是经典力学的基础。
四、非惯性参考系中的力学规律1、惯性力:惯性力没有施力物体,因此它也不存在反作用力。
但惯性力同样能改变物体相对于参考系的运动状态,这体现了惯性力就是参考系的加速度效应。
2、引入惯性力后,非惯性系中力学规律:五、求解动力学问题的主要步骤恒力作用下的连接体约束运动:选取研究对象,分析运动趋势,画出隔离体示力图,列出分量式的运动方程。
变力作用下的单质点运动:分析力函数,选取坐标系,列运动方程,用积分法求解。
第3章机械能和功一、功1、功能的定义式:恒力的功:变力的功:2、保守力若某力所作的功仅取决于始末位置而与经历的路径无关,则该力称保守力。
或满足下述关系的力称保守力:3、几种常见的保守力的功:(1)重力的功:(2)万有引力的功:(3)弹性力的功:4、功率二、势能保守力的功只取决于相对位置的改变而与路径无关。
由相对位置决定系统所具有的能量称之为势能。
1、常见的势能有(1)重力势能(2)万有引力势能(3)弹性势能2、势能与保守力的关系(1)保守力的功等于势能的减少(2)保守力为势能函数的梯度负值。
大学物理复习提纲(基本概念,基本定律、定理、原理、公式)第一部分:力学基本要求一基本概念1. 位移,速度,加速度, 动量,力,冲量,功,动能,势能,机械能,角动量,力矩;2. 参考系,坐标系,惯性坐标系,质点, 位置矢量,速率,角速度,角加速度, 法向加速度,切向加速度,转动惯量,冲量矩。
二.基本定律、定理、原理、公式 1. 质点运动学:位置矢量:在直角坐标系中 k z j y i x r ++= ,r ∆=r=222z y x ++ 运动方程:k t z j t y i t x t r )()()()(++=;或)(t x x =;)(t y y =;)(t z z =位移:12r r r -=∆=k z j y i x ∆+∆+∆,r ∆=222z y x ∆+∆+∆,r ∆≠ 速度:dtr d v =,在直角坐标系中:k v j v i v v z y x ++=; dtdx v x =;dtdy v y =;dtdz v z =;速率:222zy x v v v v ++=加速度:22dtr d dtv d a ==,在直角坐标系中:k a j a i a a z y x ++=;22dtx d dtdv a x x ==;22dty d dtdv a y y ==;22dtz d dtdv a z z ==;222zy x a a a a ++=在自然坐标系中:运动方程:)(t s s = ,速率:dtds v =圆周运动角量描述:运动方程:)(t θθ=,角速度:dtd θω=,角加速度:dtd ωβ=切向加速度:βR dtdv a t ==, 法向加速度:22ωR Rva n ==,一般曲线运动ρ2va n =加速度:t a n a a n τ+= ; 22tn a a a +=, ,ωR v = n πω2=直线运动:)(t x x =;dtdx v =;22dtx d dtdv a ==匀变速直线运动:20021att v x x ++=;at v v +=0;)(20202x x a v v -+=匀变速圆周运动:t βωω+=0;)(20202θθβωω-+=; 抛物体运动。
相对运动:'+=v v v 0,'+=a a a 0运动学两类问题:(1))()()(t a t v t r →→,求导;(2))()(t r t v a →→,积分。
2.质点动力学:牛顿运动三定律。
动量v m P =,力:dtv m d F )(=,m 常数时a m F =,∑=iF F牛顿定律解题的基本思路:察明题意,隔离物体,受力分析,列出方 程(一般用分量式),求解、讨论。
力学中常见的几种力: 万有引力:2210rm m G F =,重力mgRmM G G ==2;弹力:kx F -=;摩擦力:(1)滑动磨擦力N f k k μ=;(2)静摩擦力N f f s s μ=≤ 动量定理:物体在运动过程中所受合外力的冲量,等于该物体动量的增量。
1221P P dt F I t t -=⎰=合 。
其中, 冲量:dtF I t t ⎰=21,动量:v m P =动量守恒定律: 条件:若0=∑i F ,结论:常矢量=∑v m i分量:若0=∑ix F ,则:常数=∑ix i v m质点的动能定理:合外力对质点做的功等于质点动能的增量。
功:r d F dA ∙= ,dz F dy F dx F r d F A z babay x ab ++=∙=⎰⎰保守力的功:0=∙⎰r d F L,动能:E k =221mv , 机械能:E=E k +E p势能:万有引力势能:rMm G E p 0-= ∞=r 为零势能参考位置。
重力势能: m g h E p =, h=0处为势能零点。
弹簧弹性势能:221kxE p =以弹簧的自然长度为势能零点。
功能原理: E E E A p k ∆=∆+∆=+非保守内力外力A 。
保守力的功:)(E 12p P p E E A --=∆=-保 机械能守恒定律:若0A =+非保守内力外A ,则常数=+p k E E 。
碰撞:弹性碰撞;非弹性碰撞;完全非弹性碰撞。
222121ab ab mv mv A -=力矩: F r M ⨯= (对O 点) ;质点的角动量: v r m p r L ⨯=⨯= (对O 点)质点系的角动量定理:dtL d M→=合外。
质点系的角动量: iLL ∑=质点系的角动守恒定律: 若0=合外M,则恒矢量=L 。
3.刚体的定轴转动:角速度 dtd θω=;角加速度dtd ωβ=距转轴r 处质元的线量与角量关系:ωr v =;βτr a =;2ωr a n = 转动惯量:i im rI ∆=∑2, ⎰=dmr I 2,平行轴定理 2md I I c +=刚体定轴转动定律: βI M z =定轴转动的动能定理:2122212121ωωθθθI I Md A -==⎰。
转动动能:221ωI E k =,力矩的功: ⎰=21θθθMd A机械能守恒定律:只有保守内力做功时,则有常数=+p k E E 。
刚体的重力势能 c p mgh E = c h 为质心相对参考点的高度。
刚体的角动量定理: dtdL M z z =式中ωI L z =刚体的角动量守恒定律: 0=z M 时,常数=∑i izIω4.狭义相对论:狭义相对论两条基本原理:相对性原理;光速不变原理。
狭义相对论的时空观:洛仑兹坐标变换,同时的相对性;长度收缩:L=L 0221cv -<L 0; 时间膨胀:02201τττ>+=cv狭义相对论动力学:质速关系:2201cv m m -=;质能关系:E=mc 2;动量:v m p =;力:dt P d F /=;静止能:E 0=m 0c 2;动能E k =E-E 0=mc 2- E=mc 2;外力作功:A=E k2 -E k1 ;动量能量关系:E 2=E 02+(Pc )2第二部分:电学基本要求 一. 基本概念电场强度, 电势;电势差, 电势能,电场能量。
二.基本定律、定理、公式 1.真空中的静电场: 库仑定律:r rq q F 321041πε=。
=041πε9×109N·m 2·C -2电场强度定义:0q F E =, 单位:N·C -1 ,或V·m -1点电荷的场强:r rq E 341πε=点电荷系的场强:N E E E E +++= 21,(电场强度叠加原理)。
任意带电体电场中的场强:电荷元dq 场中某点产生的场强为: rrdq E d 341πε=,整个带电体在该产生的场强为:⎰=E d E电荷线分布dq=,dl λ 电荷面分布dq=dS σ, 电荷体分布dq=dV ρ电通量:S d E Se ⋅=⎰⎰φ=⎰⎰SdSE θcos高斯定理:在真空中的静电场中,穿过任一闭合曲面的电场强度的通量等于该闭合曲面所包围的电荷电量的代数和除以0ε 。
ε∑⎰⎰=⋅iSqS d E 。
物理意义:表明了静电场是有源场注意理解:E 是由高斯面内外所有电荷共同产生的。
∑i q 是高斯面内所包围的电荷电量的代数和。
若高斯面内无电荷或电量的代数和为零,则0=∙⎰⎰S d E ,但高斯面上各点的E 不一定为零。
在静电场情况下,高斯定理是普遍成立的。
对于某些具有对称性场强分布问题,可用高斯定理计算场强。
典型静电场:均匀带电球面:0=E (球面内);rrq E341πε=(球面外)。
均匀带电无限长直线:E=r02πελ, 方向垂直带电直线。
均匀带电无限大平面:E=2εσ, 方向垂直带电直线。
均匀带电圆环轴线上: E=2/3220)(4x R qx+πε , 方向沿轴线(R 为圆环半径)。
电场力:E q F 0= , 电场力的功:A ab =⎰⎰=∙babadl E q l d E q θcos 00,特点:积分与路经无关, 说明静电场力是保守力。
静电场环路定理:0=∙⎰l d E L。
物理意义:静电场是保守力场(无旋场)。
电势能W :由A ab =l d E q ba∙⎰0=-∆W=W a -W b , 保守力作功,等于其势能减少。
通常取r ∞→,W b =W ∞=0,则a 点电势能为: W a =A a ∞=l d E q a ∙⎰∞0。
W a 0q ∝两点电荷q 0、q 间的电势能:W a =q 0ar q 04πε电势的定义:U a =q A q W a a ∞==l d E a∙⎰∞。
电势计算:点电荷的电势:U a =ar q 04πε点电荷系的电势:U=∑ii r q 04πε,U=U 1+U 2+…+U N带电体的电势:U=⎰rdq 04πε电势差(电压):U a -U b =l d E ba∙⎰ 。
电场力的功:A ab =l d E q ba∙⎰0=q 0(U a -U b ),两点电荷q 0、q 间的电势能:W a =q 0ar q 04πε=q 0U a电场强度与电势的关系:积分关系:U a =l d E a ∙⎰∞微分关系:E =-gradU= -U ∇,式中电势梯度gradU=ndndU =U ∇,在直角坐标系中k zj yi x∂∂+∂∂+∂∂=∇,U=U (,,,z y x ),则E = -U ∇=-(k zU j yU i xU ∂∂+∂∂+∂∂)静电场中的导体和电介质:导体静电平衡条件:导体内场强处处为零。
导体表面上场强都和表面垂直。
整个导体是一个等势体。
电荷只分布在导体表面上。
导体表面外侧:E=0εσ 。
电介质内:电场强度:E E E '+=0,电位移:E D ε=,电介质电容率:0εεεr =,r ε叫电介质相对电容率,0ε真空中电容率。
有电介质时的高斯定理:∑⎰⎰=∙iSq S d D 。
∑iq 为S 面内自由电荷代数和。
电容定义:电容器电容:C=21U U q -;孤立导体电容:C=Uq平行板电容器C=00C dSdSr r εεεε==真空中,1=r ε C 0=dS0ε电容器并联:C=C 1+C 2 ; 电容器串联:21111C C C +=电场的能量:电容器充电后所贮存的电能:W=)(21)(212212212U U Q U U C CQ-=-=电场能量密度DEEw e 21212==ε ,电场的能量:W=dV E dV w VVe 221ε⎰⎰⎰⎰⎰⎰=。
第三部分:磁学基本要求 一.基本概念1. 磁感应强度;2. 磁场强度, 磁通量,电动势,磁矩,磁场能量,涡旋电场,位移电流。
二. 基本定律、定理、公式 磁感应强度定义:B=IdldF max 。
1.毕奥-萨伐尔定律: d B =πμ403rrl Id ⨯; 其中πμ40=10-7 T·m/A 。