第六章 磁介质讲解
- 格式:ppt
- 大小:2.30 MB
- 文档页数:55
§6 磁介质 ( Magnetic medium)§6-1 分子电流观点1.何为磁介质在前几章里讨论载流线圈产生磁场和变化的磁场产生感应电动势的时候,都假定导体以外是真空,或者不存在磁性物质(磁介质)。
然而在实际中大多数情况下电感器件(如镇流器、变压器、电动机和发电机)的线圈中都有铁芯。
那么,铁芯在这里起什么作用呢?为了说明这个问题,看一个演示实验。
图6-2就是有关电磁感应现象的演示实验,当初级线圈的电路中开关K接通或断开时,就在次级线圈A中产生一定的感应电流。
不过这里我们在线圈中加一软铁芯。
重复上述实验就会发现,次级线圈中的感应电流图6-1居里夫人大大增强了。
知道感应电流的强度是与磁通量的时间变化率成正比的。
上述实验表明,铁芯可以使线圈中的磁通量大大增图6-2电磁感应现象的演示实验加。
2.两种观点有关磁介质(铁芯)磁化的理论,有两种不同的观点—— 分子电流观点和磁荷观点。
两种观点假设的微观模型不同,从而赋予磁感应强度B 和磁场强度H 的物理意义也不同,但是最后得到的宏观规律的表达式完全一样,因而计算的结果也完全一样。
在这种意义下两种观点是等效的。
本节介绍分子电流观点,下节介绍磁荷观点,并讨论两种观点的等效性问题。
3. 分子电流观点分子电流观点即安培的分子环流假说。
现在按照这个观点来说明,为什么铁芯能够使线圈中的磁通量增加。
如图6-3,我们考虑一段插在线圈内的软铁棒。
按照安培分子环流的观点,棒内每个磁分子相当于一个环形电流。
在没有外磁场的作用下,各 分子环流的取向是杂乱无章的(图6-3),它们的磁矩相互抵消。
宏观看起来,软铁棒不显示磁性。
我们说,这时它处于未磁化状态。
当线圈中通人电流后,它产生一个外磁场B (这个由外加电流产生,并与之成正比的磁场,又叫做磁化场,产生磁化场的外加电流,叫做励磁电流)。
在磁化场的力矩作用下,各分子环流的磁矩在一定程度上沿着场的方向排列起来(图6-4)。
第六章磁介质一磁介质教学内容1.物质的磁化磁介质的分类(1)磁介质(2)磁介质的分类(3)弱磁质磁化的微观机制2.磁化强度(1)磁化强度(2)磁化电流3.介质中的安培环路定理(1)介质中的总场(2)弱磁质的磁化规律(3)介质中的安培环路定理(4)磁场强度4.铁磁质(1)起始磁化曲线(2)磁滞回线(3)铁磁质分类(4)铁磁质磁化的微观机制说明与要求:1.本章包括磁场对介质的作用及磁化的介质对磁场的影响两方面的内容。
2.本章重点为2、3、4节,难点是磁滞概念。
3.根据实际情况可增加磁荷的观点、磁路、地球的磁场等有关内容。
二、磁介质教学目标三 磁介质重难点分析重点:磁化强度、磁场强度两个概念及介质中安培环路定理的应用。
难点:介质中磁化电流分布分析,介质中磁场的对称性分布分析,以及铁磁质特点的理解。
(一)磁化强度矢量磁化强度矢量定义为V m M i ∆=∑,V ∆是一个物理无限小的体积元,∑i m是V ∆中所有分子磁矩的矢量和,所以M 是介质中宏观矢量点函数。
在非铁磁质中,M 与H 或B有正比关系。
在真空中由于没有磁化电流存在,则0=M。
(二)各向同性弱磁质磁化规律各向同性弱磁质磁化规律的数学表示式为H M m χ=(三)磁场强度矢量磁场强度矢量的定义式为M B H-=0μ,在各向同性弱磁质中H u H B r 0μμ==,r μ是相对磁导率,μ是磁导率。
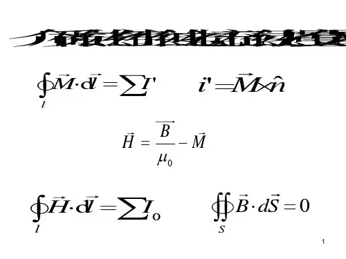
(四)介质中的安培环路定理介质中的安培环路定理的数学表示式为⎰∑=⋅lio I l d H ,该方程表明磁场强度H 的环量与传导电流有关,而磁场强度本身既与传导电流有关,也与磁化电流有关。
四 检测题(一)公式类1.磁化强度的定义式。
2.磁化强度与磁化面电流的关系式。
3.磁化强度与磁化体电流的关系式。
4.磁场强度的定义式。
5.介质中安培环路定理的数学表示式。
6.介质中磁场高斯定理的数学表示式。
7.各向同性弱磁质磁化规律的数学表示式。
8.各向同性弱磁质中B 与H的关系式。
大学物理磁介质在大学物理的学习中,磁介质是一个重要且有趣的课题。
它不仅帮助我们更深入地理解磁场的本质和特性,还在许多实际应用中发挥着关键作用。
磁介质,简单来说,就是处于磁场中的物质,其会对磁场产生一定的影响。
为了更好地理解磁介质,我们首先需要回顾一下磁场的一些基本概念。
磁场是由电流或永磁体产生的,它可以用磁力线来形象地描述。
磁力线的疏密程度表示磁场的强弱,而磁力线的方向则表示磁场的方向。
当磁介质置于磁场中时,会发生磁化现象。
磁化的过程就像是磁介质内部的小磁矩被“排列整齐”。
不同的磁介质,其磁化的程度和方式是不同的。
这主要取决于磁介质的分子结构和组成。
磁介质可以分为三大类:顺磁质、抗磁质和铁磁质。
顺磁质中的分子具有固有磁矩,在没有外磁场时,这些磁矩的方向是杂乱无章的,对外不显示磁性。
但当有外磁场存在时,分子磁矩会沿着外磁场方向有一定的取向,从而使磁介质内部产生与外磁场方向相同的附加磁场,增强了原来的磁场。
常见的顺磁质有氧气、铝等。
抗磁质的分子没有固有磁矩。
在外磁场的作用下,电子的轨道运动发生变化,产生了与外磁场方向相反的附加磁矩,从而导致磁介质内部产生与外磁场方向相反的附加磁场,削弱了原来的磁场。
大多数有机化合物和生物组织都是抗磁质。
而铁磁质则具有非常特殊的性质。
它的磁化程度远远高于顺磁质和抗磁质,并且磁化后的磁性能够保持。
铁磁质内部存在着许多自发磁化的小区域,称为磁畴。
在没有外磁场时,磁畴的取向是随机的,整体不显示磁性。
但当有外磁场作用时,磁畴会发生转动和畴壁移动,使磁畴的方向逐渐趋于一致,从而产生很强的磁性。
常见的铁磁质有铁、钴、镍等。
磁介质的磁化程度可以用磁化强度来描述。
磁化强度是单位体积内分子磁矩的矢量和。
通过对磁化强度的研究,我们可以更深入地了解磁介质的磁化特性。
磁介质对磁场的影响可以通过引入一个物理量——磁导率来表示。
磁导率反映了磁介质传导磁场的能力。
对于真空,磁导率是一个常数。
而对于不同的磁介质,磁导率通常大于或小于真空磁导率。
第六章磁介质•介质在磁场中的磁化现象•磁介质存在下的磁场理论§6.1 磁介质的磁化顺磁性和抗磁性•与电介质的极化不同,从磁化规律看有两种性质相反的磁介质:–顺磁质:磁介质在磁化后的等效磁矩和外磁场同向,比如铝、钠–抗磁质:磁介质在磁化后的等效磁矩和外磁场反向,比如铜、铅、水–在外磁场下,顺磁质和抗磁质在磁化后的受力方向相反。
–注意:在外磁场中放入磁介质,磁场是增强还是减弱了?和电介质的极化比较一下。
磁化现象的解释•最初,物质磁效应的解释是“磁荷”说。
磁荷说难以解释抗磁性的存在;迄今也未发现磁荷。
•后来,安培提出了磁性的电流说。
认为物质的磁性起源于物质体内“分子环流”。
•现代观点看,原子中存在电子、原子核运动导致的原子的总磁矩是物质磁性的起源。
–自然状态下,如果原子自身磁矩为零,或者尽管有非零的原子磁矩,但大量原子随机取向导致叠加的磁矩为零,则物质不显示宏观磁性。
–在自然条件下,或在外磁场的作用下,如果物质中大量原子磁矩的叠加非零,则物质显示宏观磁性。
顺磁和抗磁性的解释•外磁场对物质的作用有两方面–分子环流的磁矩在外磁场作用下转向磁场的方向,这就是顺磁性的起源。
–外磁场建立的过程中磁介质中的分子环流在电磁感应的作用下出现了附加的感应磁矩。
这种感应磁矩的作用是抵抗外磁场的建立,这就是抗磁性的起源(更准确的解释需要量子力学)。
•一种物质中顺磁性和抗磁性常常是并存的。
顺磁质中的顺磁性为主。
铁磁质•在物质中,以铁、镍等为代表的一类物质磁性很强,远远强于一般的物质,这类物质称为铁磁质。
•铁磁性起源于量子效应引起的原子间的某种相互作用。
由于这种效应,铁磁体中小范围内的原子的磁矩自动定向排列,构成了一个个小磁铁,称为“磁畴”,在外场下,一个个小磁铁再定向排列,使大部分原子磁矩定向排列。
•相比之下,在同样外磁场下,普通物质中只有极少的原子磁矩发生定向排列。
不妨设(1)单位体积内的分子环流数为n,所有的分子环流都是i(2)在小体积内磁化强度均匀,和所有分子环流tj m ˆ=⋅Kσ考虑^t可为任意方向,故:ab MK 介质tˆ§6.2 磁介质中磁场2ˆn1ˆnSΔ1B Kˆ)(12=⋅−nB B KK nn B B 21=界面两侧磁感应强度的法向分量连续a b 1H K tˆ1(H H K K −•若界面上无传导电流t H H 1=若界面无传导电流,界面两侧磁场强度的切向分量连续考虑t为任意切向SΔ1m B K 1r μmj K 2B K 1B KSΔ1r μ1B K 1θ1θ1H K •方向相同,因此,以上结论对B 和H是相同的。
NS BP miSN第六章 磁介质(magnetic medium )[基本要求]1、理解三种磁介质磁化的微观机制和束缚电流的产生,了解磁化强度的意义。
2、理解磁场强度的定义及磁场强度的环路定理的意义并能利用它们求解有磁介质存在时具有一定对称性的磁场的问题。
3、了解铁磁介质的特性。
4、掌握磁场的边界条件,会计算简单的磁路问题。
5、理解磁场能量的概念和磁场能量密度公式。
[重点难点]1、磁化强度矢量M 和磁导率μ是本章的重要物理量,掌握M与磁化电流的关系;深刻理解磁场强度H的意义,掌握有磁介质时的安培环路定理,并会用该定理计算某些特殊情况下磁介质中的磁场分布。
明确B ,H ,M三者的联系和区别。
2、掌握磁场的边界条件。
3、明确磁场作为物质存在的一种形态,具有能量。
[教学内容]§1 分子电流观点 一、磁介质的磁化 磁化强度矢量M及其与磁化电流的关系1、 有关磁介质磁化理论的两种观点: 1) 磁荷观点2) 分子电流观点:即安培的分子环流假说例:软铁棒:分子是一个复杂的带电系统。
一个分子有一个等效电流i , 即称分子环流。
a)无外磁场时一般由于分子的热运动,各分子环流的取向完全是混乱的。
b)有外磁场时在外磁场的力矩作用下,分子环流的取向会发生转向, 在一定程度上沿着场的方向排列,这就是软磁棒的“磁化”。
外磁场越强,转向排列越整齐。
c)结果:当介质均匀时由于分环流的回绕方向一致,在内MBdlP mP mPi π r 2M θdl BMidlS dI ’部任何两个分子环流中相邻的那一对电流元回绕方向总是彼此相反,相互抵消。
即在宏观上,这横截面内所有分子环流的总体与沿截面边缘的一个大环形电流等效,就象是一个由磁化电流组成的“螺线管”,它在棒内的方向与外磁化场一致,则增加了原磁场。
2、磁化强度矢量:磁化的强弱还可以用磁化强度来描述。
定义磁化强度:单位体积内分子磁矩的矢量和。
V m M ∆≡∑分子(∆V −−宏观小、微观大)单位:安每米(A/m )3. 磁化电流与磁化强度的关系在磁介质内取一宏观体积元,分子看成完全一样的电流环,即环具有同样的面积a 和取向,则介质中的磁化强度为a nI VmM=∆≡∑分子任取一微小矢量元ld ,它与B 的夹角为θ,则与l d 套住的分子电流的中心都是位于以ld 为轴、以a 为底面积的小柱体内。