GPZ系列盆式橡胶支座主要尺寸表
- 格式:doc
- 大小:334.00 KB
- 文档页数:12
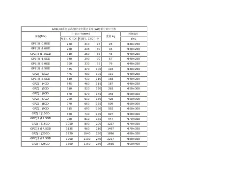
GPZ(II)系列盆式橡胶支座固定支座(GD)型主要尺寸表规格(MN)主要尺寸(mm)重量kg预埋底柱A(B)、C(D)A'(B')、C'(D')H d×LGPZ(Ⅱ)0.8GD2502107525Φ40×250 GPZ(Ⅱ)1.0GD2802358034Φ40×250 GPZ(Ⅱ)1.25GD3102608545Φ40×250 GPZ(Ⅱ)1.5GD3402909057Φ40×250 GPZ(Ⅱ)2.0GD3903309579Φ40×250 GPZ(Ⅱ)2.5GD435370100104Φ40×250 GPZ(Ⅱ)3GD475400105131Φ40×250 GPZ(Ⅱ)3.5GD510430110158Φ40×250 GPZ(Ⅱ)4GD545460115187Φ40×250 GPZ(Ⅱ)5GD610520130265Φ50×300 GPZ(Ⅱ)6GD670570145348Φ50×300 GPZ(Ⅱ)7GD720610150428Φ50×300 GPZ(Ⅱ)8GD770650155509Φ60×300 GPZ(Ⅱ)9GD815690160592Φ60×300 GPZ(Ⅱ)10GD860730170697Φ60×300 GPZ(Ⅱ)12.5GD960810185947Φ70×350 GPZ(Ⅱ)15GD10508902001227Φ70×350 GPZ(Ⅱ)17.5GD11359602101497Φ70×350 GPZ(Ⅱ)20GD122010402301896Φ80×350 GPZ(Ⅱ)22.5GD129011002402217Φ80×350 GPZ(Ⅱ)25GD136011502502566Φ90×400 GPZ(Ⅱ)27.5GD143012202602930Φ90×400 GPZ(Ⅱ)30GD149012702703295Φ90×400 GP Z(Ⅱ)32.5GD155013202803709Φ100×400 GPZ(Ⅱ)35GD161013702904154Φ100×400 GPZ(Ⅱ)37.5GD167014203004610Φ100×400 GPZ(Ⅱ)40GD172014603105050Φ100×400 GPZ(Ⅱ)45GD183015603205856Φ110×450 GPZ(Ⅱ)50GD192016303356744Φ110×450GPZ(Ⅱ)55GD 20201720 350 7872 Φ120×450 GPZ(Ⅱ)60GD 2100 1790365 8817 Φ120×450注:表中数据规格除"MN"计及注明者外,均以毫米为单位.GPZ(II)系列盆式橡胶支座单向活动支座(DX)型主要尺寸表规格(MN) 纵向位移(mm)横向主要尺寸(mm ) 重量kg预埋底柱位移A A'B B' C(D) C' D' H d×LGPZ(Ⅱ)0.8DX ±50±100±150 ±3 320 420 520 280 380480 315 220265 230 180 75 34.2 38.843.1Φ40×250GPZ(Ⅱ)1.0DX ±50±100±150 ±3 340 440 540 300 400500 340 245290 250 200 80 42.6 47.8 53.1Φ40×250GPZ(Ⅱ)1.25DX ±50±100±150 ±3 360 460 560 320 420520 370 275320 280 230 85 52.5 58.3 61.0Φ40×250GPZ(Ⅱ)1.5DX ±50±100±150 ±3 380 480 580 340 440540 410 300350 310 260 90 66.9 73.9 80.9Φ40×250GPZ(Ⅱ)2.0DX ±50±100±150 ±3 420 520 620 380 480580 460 350400 360 310 100 96.0 104.9 113.8Φ40×250GPZ(Ⅱ)2.5DX ±50±100±150 ±3 460 560 660 420 520620 505 39545 405 355 105 122.3 132.3 142.4Φ40×250GPZ(Ⅱ)3DX ±50±100±150 ±3 485 585 685 435 535635 565 425485 435 370 110 157.3 169.6 182.1Φ40×250GPZ(Ⅱ)3.5DX ±100±150±200 ±3 620 720 820 570 670770 600 460520 470 400 115 202.6 216.7 230.8Φ40×250GPZ(Ⅱ)4DX ±100±150±200 ±3 640 740 840 590 690790 635 485555 505 435 130 285.5 275.5 292.9Φ40×250GPZ(Ⅱ)5DX ±100±150±200 ±3 690 790 890 635 735835 710 545620 560 480 140 338.5 358.5 378.7Φ50×300GPZ(Ⅱ)6DX ±100±150±200 ±3 740 840 940 680 780880 770 600680 620 540 150 423.4 446.3 468.7Φ50×300GPZ(Ⅱ)7DX ±100±150±200 ±3 780 880 980 720 820920820 650730 670 590 160 516.7 542.5 568.1Φ50×300GPZ(Ⅱ)8DX ±100±150±200 ±3 810 910 740 840 890 690780 710 620170 634.0 664.7 Φ60×3001010940695.5GPZ(Ⅱ)9DX±100±150±200±3850 9501050780 880980935725825755665180744.9 778.9813.0Φ60×300GPZ(Ⅱ)10DX±100±150±200±39801080118091010101110985770875800715190907.1 944.9982.3Φ60×300GPZ(Ⅱ)12.5DX±150±200±250±31060116012609801080118011008609708907802051205.41251.11291.1Φ70×350GPZ(Ⅱ)15DX±150±200±250±3113012301330105011501250119095010609808702201513.71565.91618.2Φ70×350GPZ(Ⅱ)17.5DX±150±200±250±311901290139011051205130512951030114510609352351887.61949.12010.6Φ70×350GPZ(Ⅱ)20DX±150±200±250±3125013501450115512551355137511001225113010002502263.92332.12400.2Φ80×350GPZ(Ⅱ)22.5DX±150±200±250±3131014101510122013201420145011801300121010802602620.32694.22768.1Φ80×350GPZ(Ⅱ)25DX±150±200±250±3137014601560127013601460154012401370127011202703058.83134.33229.2Φ90×400GPZ(Ⅱ)27.5DX±150±200±250±3144015101610131014101510161013101440134011902803476.13539.83161.7Φ90×400GPZ(Ⅱ)30DX±150±200±250±3150015601660140014601560167013701500140012502903903.93975.04072.7Φ90×400GPZ(Ⅱ)32.5DX±200±250±300±3161017101810150016001700175014201560145012703004470.04577.14684.7Φ100×400GPZ(Ⅱ)35DX±200±250±300±3165017501850154016401740181014801620151013303104949.35064.35179.3Φ100×400GPZ(Ⅱ)37.5DX±200±250±300±3169017901890158016801780189015401680157013703205512.05637.25762.4Φ100×400GPZ(Ⅱ)40DX±200±250±300±3173018301930162017201820194015901730162014203306003.46134.96266.5Φ100×400GPZ(Ⅱ)45DX±200±250±300±3184019102010171017801880207016801840171015103457109.87214.27361.8Φ110×450GPZ(Ⅱ)50DX±200±250±300±31930199018001860216017701930180016003608124.98222.9Φ110×4502090 19608383.6 GPZ(Ⅱ)55DX ±200±250±300 ±3 2030 2060 2160 1890 1920 2020 2280 1860 2030 1890 1680 375 9130.39468.89665.4 Φ120×450GPZ(Ⅱ)60DX ±200±250±300 ±3 2110 2130 2230 1970 1990 2090 2360 1940 2110 1970 1760 390 10484.51026.410718.8Φ120×450注:表中数据除规格以"MN"计及注名者外,均以毫米为单位.GPZ(II)系列盆式橡胶支座双向活动支座(SX)型主要尺寸表 单位:mm规格(MN) 纵向位移(mm) 横向 主要尺寸(mm )重量位移A A'B B' C(D) C'(D') H (mm) KgGPZ(II)0.8SX ±50 ±100 ±150 ±40 320 420 520 280 380 480 300 260 245 200 75 26.9GPZ(II)1.0SX ±50 ±100 ±150 ±40 340 440 540 300 400 500 320 280 270 225 80 33.9GPZ(II)1.25SX ±50 ±100 ±150 ±40 360 460 560 320 420 520 340 300 300 250 85 42.0GPZ(II)1.5SX ±50 ±100 ±150 ±40 380 480 580 340 440 540 360 320 330 275 90 52.5GPZ(II)2SX ±50 ±100 ±150 ±40 420 520 620 380 480 580 400 360 385 320 100 78.7GPZ(II)2.5SX ±50 ±100 ±150 ±40 460 560 660 420 520 620 440 400 425 355 105 100.GPZ(II)3SX ±50 ±100 ±150 ±40 490 590 690 440 540 640 465 415 465 385 110 124.GPZ(II)3.5SX ±100 ±150 ±200 ±40 620 720 820 570 670 770 500 450 500 415 115 159.GPZ(II)4SX ±100 ±150 ±200 ±40 640 740 840 590 690 790 540 490 540 450 130 210.GPZ(II)5SX ±100 ±150 ±200 ±40 690 790 890 630 730 830 600 540 600 500 140 271.GPZ(II)6SX ±100 ±150 ±200 ±40 740 840 940 680 780 880 655 595 655 540 150 341.GPZ(II)7SX ±100 ±150 ±200 ±40 780 880 980 720 820 920 705 640 705 580 160 423.GPZ(II)8SX ±100 ±150 ±200 ±40 810 910 1010 735 835 935 755 680 755 630 170 512.GPZ(II)9SX ±100 ±150 ±200 ±40 850 950 1050 775 875 975 800 720 800 660 180 608.GPZ(II)10SX ±150 ±200 ±250 ±40 980 1080 1180 905 1005 1105 845 765 845 700 190 736.GPZ(II)12.5SX ±150 ±200 ±250 ±40 1060 1160 1260 970 1070 1170 945 855 945 780 205 983.GPZ(II)15SX ±150 ±200 ±250 ±40 1130 1230 1330 1040 1140 1240 1030 940 1030 860 220 1215GPZ(II)17.5SX ±150 ±200 ±250 ±40 1190 1290 1390 1100 1200 1300 1110 1020 1110 920 235 1531GPZ(II)20SX ±150 ±200 ±250 ±40 1250 1350 1450 1150 1250 1350 1190 1090 1190 990 250 1861GPZ(II)22.5SX ±150 ±200 ±250 ±40 1310 1410 1510 1210 1310 1410 1260 1090 1260 1050 260 2166GPZ(II)25SX ±150 ±200 ±250 ±40 1360 1460 1560 1250 1350 1450 1340 1160 1340 1110 270 2510GPZ(II)27.5SX±150±200±250±401410 1510 16101300 1400 15001410123014011702802898 GPZ(II)30SX±150±200±250±401470 1560 16601360 1450 155014701300147012202903277 GPZ(II)32.5SX±200±250±300±401610 1710 18101490 1590 169015251360152512703003714 GPZ(II)35SX±200±250±300±501650 1750 18501530 1630 173015851460158513203104113 GPZ(II)37.5SX±200±250±300±501690 1790 18901570 1670 177016451520164513703204581 GPZ(II)40SX±200±250±300±501730 1830 19301610 1710 181016901570169014103304993 GPZ(II)45SX±200±250±300±501810 1910 20101680 1780 188018001660180015003455870 GPZ(II)50SX±200±250±300±501890 1990 20901760 1860 196018901750189015703606751 GPZ(II)55SX±200±250±300±501990 2060 21601850 1920 202019901850199016603757832 GPZ(II)60SX±200±250±300±502070 2130 22301930 1990 209020701930207017203908823注:表中数据除规格以"MN"计及注明者外,均以毫米为单位.公路盆式支座;数字(8)表示竖向承载力,单位:MN;DX、SX、GD表示:支座类别,DX表示单向活动支座具有竖向转动和单一方向滑移性能,SX表示双向活动支座具有竖向转动和纵向与横向滑移性能,GD表示固定支座具有竖向转动性能。
GPZ(KZ)型系列公路桥梁抗震盆式橡胶支座(DX单向,SX双向,GD固定)主要尺寸表GPZ(KZ)公路桥梁抗震盆式橡胶支座GPZ(KZ)系列抗震盆式橡胶支座是依据中华人民共和国交通行业标准《》(标准号JT391-1999)及公路工程抗震设计规范(JTJ004-89),在盆式橡胶支座的基础上增加了消能和阻尼措施。
包括固定支座和单向活动支座两种型式,和与之配套使用的还有双向活动支座。
支座规格按JT391-1999要求分为31级。
支座竖向设计承载力、支座转角、支座摩擦系数及位移均按标准要求设计。
仅固定支座各方向和单向活动支座非滑移方向的水平力由原支座设计承载力的10%提高至20%。
现在.国内外采取的是刚性抗震法和柔性减震法两种抗震方法,刚性抗震需增大结构(包括基础结构和抗震支座结构)尺寸,柔性减震的特点是:减震性能好而刚度较小,在较大地震波的情况下有被破坏的可能。
该系列支座采取了刚、柔结合等有效抗震措施,增大了支座的耗能能力,极大的改善了支座的抗震性能,因此地震发生时可提高桥梁的抗震能力,最大限度的限制了桥梁上下部结构之间的相对位移,减小了地震力的放大系数。
非地震时等同一般盆式橡胶支座使用。
由于GPZ(KZ)系列抗震盆式橡胶支座设计有固定支座和单向活动支座,两种型式支座配合使用比仅在桥梁固定墩上设置抗震支座对提高全桥结构的抗震能力是不言而喻的。
GPZ(KZ)盆式橡胶支座结构形式GPZ(KZ)GD(固定抗震盆式橡胶支座),主要由上座板、消能板、密封圈、橡胶板、底盆和阻尼胶圈等组成。
GPZ(KZ)DX(单向活动抗震盆式橡胶支座)还有中间钢板、四氟滑板、不锈钢滑板及侧向滑移装置等。
减震原理主要是当支座水平力大于支座设计竖向承载力的20%后,消能板开始滑移,起到第一道隔震效果;然后阻尼圈发挥第二道阻尼效果,支座起到抗震作用;当地震冲击波超过一定极限时,该系列的刚性抗震起到了第三道抗震效果。
GPZ(KZ)盆式橡胶支座性能1、此种支座按竖向设计承载力:可分31级,即、1、、、2、、3、、4、5、6、7、8、9、10、、15、、20、、25、、30、、35、、40、45、50、55、60MN。
GPZ(KZ)型系列公路桥梁抗震盆式橡胶支座(DX单向,SX双向,GD固定)主要尺寸表GPZ(KZ)公路桥梁抗震盆式橡胶支座GPZ(KZ)系列抗震盆式橡胶支座是依据中华人民共和国交通行业标准《公路桥梁盆式橡胶支座》(标准号JT391-1999)及公路工程抗震设计规范(JTJ004-89),在盆式橡胶支座的基础上增加了消能和阻尼措施。
GPZ(KZ)系列抗震盆式橡胶支座包括固定支座和单向活动支座两种型式,和与之配套使用的还有双向活动支座。
支座规格按JT391-1999要求分为31级。
支座竖向设计承载力、支座转角、支座摩擦系数及位移均按标准要求设计。
仅固定支座各方向和单向活动支座非滑移方向的水平力由原支座设计承载力的10%提高至20%。
现在.国内外采取的是刚性抗震法和柔性减震法两种抗震方法,刚性抗震需增大结构(包括基础结构和抗震支座结构)尺寸,柔性减震的特点是:减震性能好而刚度较小,在较大地震波的情况下有被破坏的可能。
该系列支座采取了刚、柔结合等有效抗震措施,增大了支座的耗能能力,极大的改善了支座的抗震性能,因此地震发生时可提高桥梁的抗震能力,最大限度的限制了桥梁上下部结构之间的相对位移,减小了地震力的放大系数。
非地震时等同一般盆式橡胶支座使用。
由于GPZ(KZ)系列抗震盆式橡胶支座设计有固定支座和单向活动支座,两种型式支座配合使用比仅在桥梁固定墩上设置抗震支座对提高全桥结构的抗震能力是不言而喻的。
GPZ(KZ)盆式橡胶支座结构形式GPZ(KZ)GD(固定抗震盆式橡胶支座),主要由上座板、消能板、密封圈、橡胶板、底盆和阻尼胶圈等组成。
GPZ(KZ)DX(单向活动抗震盆式橡胶支座)还有中间钢板、四氟滑板、不锈钢滑板及侧向滑移装置等。
减震原理主要是当支座水平力大于支座设计竖向承载力的20%后,消能板开始滑移,起到第一道隔震效果;然后阻尼圈发挥第二道阻尼效果,支座起到抗震作用;当地震冲击波超过一定极限时,该系列的刚性抗震起到了第三道抗震效果。
GPZ(KZ)型系列公路桥梁抗震盆式橡胶支座(DX单向,SX双向,GD固定)主要尺寸表GPZ(KZ)公路桥梁抗震盆式橡胶支座GPZ(KZ)系列抗震盆式橡胶支座是依据中华人民共和国交通行业标准《公路桥梁盆式橡胶支座》(标准号JT391-1999)及公路工程抗震设计规范(JTJ004-89),在盆式橡胶支座的基础上增加了消能和阻尼措施。
GPZ(KZ)系列抗震盆式橡胶支座包括固定支座和单向活动支座两种型式,和与之配套使用的还有双向活动支座。
支座规格按JT391-1999要求分为31级。
支座竖向设计承载力、支座转角、支座摩擦系数及位移均按标准要求设计。
仅固定支座各方向和单向活动支座非滑移方向的水平力由原支座设计承载力的10%提高至20%。
现在.国内外采取的是刚性抗震法和柔性减震法两种抗震方法,刚性抗震需增大结构(包括基础结构和抗震支座结构)尺寸,柔性减震的特点是:减震性能好而刚度较小,在较大地震波的情况下有被破坏的可能。
该系列支座采取了刚、柔结合等有效抗震措施,增大了支座的耗能能力,极大的改善了支座的抗震性能,因此地震发生时可提高桥梁的抗震能力,最大限度的限制了桥梁上下部结构之间的相对位移,减小了地震力的放大系数。
非地震时等同一般盆式橡胶支座使用。
由于GPZ(KZ)系列抗震盆式橡胶支座设计有固定支座和单向活动支座,两种型式支座配合使用比仅在桥梁固定墩上设置抗震支座对提高全桥结构的抗震能力是不言而喻的。
GPZ(KZ)盆式橡胶支座结构形式GPZ(KZ)GD(固定抗震盆式橡胶支座),主要由上座板、消能板、密封圈、橡胶板、底盆和阻尼胶圈等组成。
GPZ(KZ)DX(单向活动抗震盆式橡胶支座)还有中间钢板、四氟滑板、不锈钢滑板及侧向滑移装置等。
减震原理主要是当支座水平力大于支座设计竖向承载力的20%后,消能板开始滑移,起到第一道隔震效果;然后阻尼圈发挥第二道阻尼效果,支座起到抗震作用;当地震冲击波超过一定极限时,该系列的刚性抗震起到了第三道抗震效果。
GPZ(KZ)型系列公路桥梁抗震盆式橡胶支座(DX单向,SX双向,GD固定)主要尺寸表GPZ(KZ)公路桥梁抗震盆式橡胶支座GPZ(KZ)系列抗震盆式橡胶支座是依据中华人民共和国交通行业标准《公路桥梁盆式橡胶支座》(标准号JT391-1999)及公路工程抗震设计规范(JTJ004-89),在盆式橡胶支座的基础上增加了消能和阻尼措施。
GPZ(KZ)系列抗震盆式橡胶支座包括固定支座和单向活动支座两种型式,和与之配套使用的还有双向活动支座。
支座规格按JT391-1999要求分为31级。
支座竖向设计承载力、支座转角、支座摩擦系数及位移均按标准要求设计。
仅固定支座各方向和单向活动支座非滑移方向的水平力由原支座设计承载力的10%提高至20%。
现在.国内外采取的是刚性抗震法和柔性减震法两种抗震方法,刚性抗震需增大结构(包括基础结构和抗震支座结构)尺寸,柔性减震的特点是:减震性能好而刚度较小,在较大地震波的情况下有被破坏的可能。
该系列支座采取了刚、柔结合等有效抗震措施,增大了支座的耗能能力,极大的改善了支座的抗震性能,因此地震发生时可提高桥梁的抗震能力,最大限度的限制了桥梁上下部结构之间的相对位移,减小了地震力的放大系数。
非地震时等同一般盆式橡胶支座使用。
由于GPZ(KZ)系列抗震盆式橡胶支座设计有固定支座和单向活动支座,两种型式支座配合使用比仅在桥梁固定墩上设置抗震支座对提高全桥结构的抗震能力是不言而喻的。
GPZ(KZ)盆式橡胶支座结构形式GPZ(KZ)GD(固定抗震盆式橡胶支座),主要由上座板、消能板、密封圈、橡胶板、底盆和阻尼胶圈等组成。
GPZ(KZ)DX(单向活动抗震盆式橡胶支座)还有中间钢板、四氟滑板、不锈钢滑板及侧向滑移装置等。
减震原理主要是当支座水平力大于支座设计竖向承载力的20%后,消能板开始滑移,起到第一道隔震效果;然后阻尼圈发挥第二道阻尼效果,支座起到抗震作用;当地震冲击波超过一定极限时,该系列的刚性抗震起到了第三道抗震效果。
GPZ(II)系列盆式橡胶支座固定支座(GD)型主要尺寸表规格(MN) 主要尺寸(mm)重量kg预埋底柱A(B)、C ( D) A'(B') 、C'(D') H dXLGPZ(H )0.8GD 250 210 75 25 ①40X250 GPZ(H )1.0GD 280 235 80 34 ①40X250 GPZ(H )1.25GD 310 260 85 45 ①40X250 GPZ(n )1.5GD 340 290 90 57 ①40X250 GPZ(n )2.0GD 390 330 95 79 ①40X250 GPZ(n )2.5GD 435 370 100 104 ①40X250 GPZ(n )3GD 475 400 105 131 ①40X250 GPZ(n )3.5GD 510 430 110 158 ①40X250 GPZ(H )4GD 545 460 115 187 ①40X250 GPZ(n )5GD 610 520 130 265 ① 50X300 GPZ(n )6GD 670 570 145 348 ① 50X300 GPZ(n )7GD 720 610 150 428 ① 50X300 GPZ(n )8GD 770 650 155 509 ①60X300 GPZ(n )9GD 815 690 160 592 ①60X300 GPZ(n )10GD 860 730 170 697 ①60X300 GPZ(n )12.5GD 960 810 185 947 ①70X350 GPZ(n )15GD 1050 890 200 1227 ①70X350 GPZ(n )17.5GD 1135 960 210 1497 ①70X350 GPZ(n )20GD 1220 1040 230 1896 ① 80X350 GPZ(n )22.5GD 1290 1100 240 2217 ① 80X350 GPZ(H )25GD 1360 1150 250 2566 ①90X400 GPZ(H )27.5GD 1430 1220 260 2930 ①90X400 GPZ(H )30GD 1490 1270 270 3295 ①90X400 GPZ(H )32.5GD 1550 1320 280 3709 ① 100 X400 GPZ(H )35GD 1610 1370 290 4154 ① 100 X400 GPZ(H )37.5GD 1670 1420 300 4610 ① 100 X400 GPZ(H )40GD 1720 1460 310 5050 ① 100 X400 GPZ(H )45GD 1830 1560 320 5856 ①110X450 GPZ(H )50GD 1920 1630 335 6744 ①110X450 GPZ(H )55GD 2020 1720 350 7872 ① 120 X450 GPZ(H )60GD 2100 1790 365 8817 ① 120 X450 注:表中数据规格除"MN"计及注明者外,均以毫米为单位.GPZ(U )ffi定支座(GD )结构示意图GPZ(II)系列盆式橡胶支座单向活动支座 (DX)型主要尺寸表横 向 主要尺寸(mr)i预埋底柱规格(MN) 纵【向彳位^移向重量 kg 规“格(MN)^纵向位移 (mm)重量 f\y位 A A'BB' C(D) C' D' Hd XL移GPZ(H )0.8DX ±50 ±100 ±150 ±3 320 420 520 280 380 480 315 220 265 230 180 75 34.2 38.8 43.1 ① 40X250 GPZ(H )1.0DX±50 ±100 ±150 ±3 340 440 540300 400 500 340 245 290 250 200 80 42.6 47.8 53.1 ① 40X250 GPZ(H )1.25DX ±50 ±100 ±150 ±3 360 460 560 320 420 520 370 275 320 280 230 85 52.5 58.3 61.0 ① 40X250 GPZ(n )1.5DX ±50 ±100 ±150 ±3 380 480 580 340 440 540 410 300 350 310 260 90 66.9 73.9 80.9 ① 40X250 GPZ(n )2.0DX ±50 ±100 ±150 ±3 420 520 620 380 480 580 460 350 400 360 310 100 96.0 104.9 113.8 ① 40X250 GPZ(n )2.5DX ±50 ±100 ±150 ±3 460 560 660 420 520 620 505 395 45 405 355 105 122.3 132.3 142.4 ① 40X250 GPZ(n )3DX ±50 ±100 ±150 ±3 485 585 685 435 535 635 565 425 485 435 370 110 157.3 169.6 182.1 ① 40X250 GPZ(n )3.5DX ±100 ±150 ±200 ±3 620 720 820 570 670 770 600 460 520 470 400 115 202.6 216.7 230.8 ① 40X250 GPZ(n )4DX ±100 ±150 ±200 ±3 640 740 840 590 690 790 635 485 555 505 435 130 285.5 275.5 292.9 ① 40X250 GPZ(n )5DX ±100 ±150 ±200 ±3 690 790 890 635 735 835 710 545 620 560 480 140 338.5 358.5 378.7 ① 50X300 GPZ(n )6DX ±100 ±150 ±200 ±3 740 840 940 680 780 880 770 600 680 620 540 150 423.4 446.3 468.7 ① 50X300 GPZ(n )7DX ±100 ±150 ±200 ±3 780 880 980720 820 920820 650 730 670 590 160 516.7 542.5 568.1 ① 50X300 GPZ(n )8DX ±100 ±150 ±200 ±3 810 910 1010 740 840 940890 690 780 710 620 170 634.0 664.7 695.5① 60X300 GPZ(n )9DX ±100 ±150±200 ±3 850 950 1050 780 880 980 935 725 825 755 665 180 744.9 778.9 813.0 ① 60X300 GPZ(n )10DX±100 ±150 ±200±3 980 1080 1180 910 1010 1110 985 770 875 800 715 190 907.1 944.9 982.3① 60X30010601160GPZ(n )12.5DX ±150±200 ±3980 1080 1180 1100 860 970 890 780 205 1205.4 1251.1 1291.1① 70X35012601130 12301050 1150GPZ(n )15DX±150±200 ±31190 950 1060 980 870 220 1513.7 1565.9 1618.2① 70X3501330 12501190 12901105 1205GPZ(n )17.5DX ±150±200 ±31295 1030 1145 1060 935 235 1887.6 1949.1 2010.6① 70X3501390 13051250 13501155 1255GPZ(n )20DX±150±200 ±31375 1100 1225 1130 1000 250 2263.9 2332.1 2400.2① 80X3501450 1355131014101220 1320GPZ(n )22.5DX ±150±200 ±31450 1180 1300 1210 1080 260 2620.3 2694.2 2768.1① 80X3501510 14201370 14601270 1360GPZ(n )25DX±150±200 ±31540 1240 1370 1270 1120 270 3058.8 3134.3 3229.2① 90X4001560 14601440 15101310 1410GPZ(n )27.5DX ±150±200 ±31610 1310 1440 1340 1190 280 3476.1 3539.8 3161.7① 90X4001610 15101500 15601400 1460GPZ(n )30DX±150±200 ±31670 1370 1500 1400 1250 290 3903.9 3975.0 4072.7① 90X4001660 1560161017101500 1600GPZ(n )32.5DX ±200±250 ±31750 1420 1560 1450 1270 300 4470.0 4577.1 4684.7① 100 X4001810 17001650 17501540 1640GPZ(n )35DX±200±250 ±31810 1480 1620 1510 1330 310 4949.3 5064.3 5179.3① 100 X4001850 17401690 17901580 1680GPZ(n )37.5DX ±200±250 ±31890 1540 1680 1570 1370 320 5512.0 5637.2 5762.4① 100 X4001890 1780GPZ(n )40DX±200±250±300±3 1730 18301620 17201940 1590 1730 1620 1420 330 6003.4 6134.9 6266.5 ① 100 X400GPZ( II}单向活动支座(DX }结构示竞图193018201840 1910 1710 1780GPZ(H )45DX ±200 ±250 ±300 ±32010 18802070 1680 18401710 1510 345 7109.8 7214.2 7361.8 ① 110 X4501930 1990 1800 1860GPZ(H )50DX ±200 ±250 ±300 ±32090 1960 21601770 193018001600360 8124.9 8222.9 8383.6 ① 110 X4502030 2060 1890 1920GPZ(H )55DX ±200 ±250 ±300 ±32160 20202280 1860203018901680375 9130.3 9468.8 9665.4 ① 120 X4502110 2130 1970 1990 10484.5 1026.4GPZ(H )60DX ±200 ±250 ±300 ±3 2360 1940 21101970 1760 390 ① 120 X4502230 2090 10718.8注:表中数据除规格以"MN"计及注名者外,均以毫米为单位.GPZ(II)系列盆式橡胶支座双向活动支座(SX)型主要尺寸表单位:mm规格(MN) 纵向位移(mm)横向主要尺寸(mm重量预埋底柱位移A A'B B' C(D) C'(D') H(mm) Kg dxlGPZ(II)0.8SX ±50 ±100 ±150 ±40320 420 520 280 380 480 300 260 245 200 75 26.9 30.1 33.4 $40X250 GPZ(II)1.0SX ±50 ±100 ±150 ±40340 440 540 300 400 500 320 280 270 225 80 33.9 37.6 41.3 $40X250 GPZ(II)1.25SX ±50 ±100 ±150 ±40360 460 560 320 420 520 340 300 300 250 85 42.0 46.0 50.0 $40X250 GPZ(II)1.5SX ±50 ±100 ±150 ±40380 480 580 340 440 540 360 320 330 275 90 52.5 57.0 61.5 $40X250 GPZ(II)2SX ±50 ±100 ±150 ±40420 520 620 380 480 580 400 360 385 320 100 78.7 81.7 90.6 $40X250 GPZ(II)2.5SX ±50 ±100 ±150 ±40460 560 660 420 520 620 440 400 425 355 105 100.1 107.0 113.8 $40X250 GPZ(II)3SX ±50 ±100 ±150 ±40490 590 690 440 540 640 465 415 465 385 110 124.1 131.7 139.3 $40X250 GPZ(II)3.5SX ±100 ±150 ±200 ±40620 720 820 570 670 770 500 450 500 415 115 159.2 168.2 177.2 $40X250 GPZ(II)4SX ±100 ±150 ±200 ±40640 740 840 590 690 790 540 490 540 450 130 210.4 221.8 233.3 $40X250 GPZ(II)5SX ±100 ±150 ±200 ±40690 790 890 630 730 830 600 540 600 500 140 271.6 284.7 297.8 $50X300 GPZ(II)6SX ±100 ±150 ±200 ±40740 840 940 680 780 880 655 595 655 540 150 341.7 356.5 371.3 $50X300 GPZ(II)7SX ±100 ±150 ±200 ±40780 880 980 720 820 920 705 640 705 580 160 423.7 444.3 458.9 $50X300 GPZ(II)8SX ±100 ±150 ±200 ±40810 910 1010 735 835 935 755 680 755 630 170 512.2 532.2 552.2 $60X300 GPZ(II)9SX ±100 ±150 ±200 ±40850 950 1050 775 875 975 800 720 800 660 180 608.2 630.7 653.1 $60X300 GPZ(II)10SX ±150 ±200 ±250 ±40980 1080 1180 905 1005 1105 845 765 845 700 190 736.9 762.0 787.0 $60X300 GPZ(II)12.5SX ±150 ±200 ±250 ±401060 1160 1260 970 1070 1170 945 855 945 780 205 983.4 1013.6 1043.9 $70X350 GPZ(II)15SX ±150 ±200 ±250 ±401130 1230 1330 1040 1140 1240 1030 940 1030 860 220 1215.2 1280.5 1315.9 $70X350 GPZ(II)17.5SX ±150 ±200 ±250 ±401190 1290 1390 1100 1200 1300 1110 1020 1110 920 235 1531.4 1572.4 1612.8 $70X350 GPZ(II)20SX ±150 ±200 ±250 ±401250 1350 1450 1150 1250 1350 1190 1090 1190 990 250 1861.8 1911.2 1957.6 $80X350 GPZ(II)22.5SX ±150 ±200 ±250 ±401310 1410 1510 1210 1310 1410 1260 1090 1260 1050 260 2166.2 2217.1 2268.5 $80X350 GPZ(II)25SX ±150 ±200 ±250 ±401360 1460 1560 1250 1350 1450 1340 1160 1340 1110 270 2510.1 2597.9 2651.2 $90X400 GPZ(II)27.5SX ±150 ±200 ±250 ±401410 1510 1610 1300 1400 1500 1410 1230 140 1170 280 2898.8 2961.5 3019.5 $90X400 GPZ(II)30SX ±150 ±200 ±250 ±401470 1560 1660 1360 1450 1550 1470 1300 1470 1220 290 3277.3 3331.5 3403.2 $90X400 GPZ(II)32.5SX ±200 ±250 ±300 ±401610 1710 1810 1490 1590 1690 1525 1360 1525 1270 300 3714.1 3788.9 3963.8 $100X400 GPZ(II)35SX ±200 ±250 ±300 ±501650 1750 1850 1530 1630 1730 1585 1460 1585 1320 310 4113.9 4225.5 4307.0 $100X400 GPZ(II)37.5SX ±200 ±250 ±300 ±501690 1790 1890 1570 1670 1770 1645 1520 1645 1370 320 4581.9 4669.0 4756.2 $100X400 GPZ(II)40SX ±200 ±250 ±300 ±501730 1830 1930 1610 1710 1810 1690 1570 1690 1410 330 4993.3 5085.5 5177.7 $100X400 GPZ(II)45SX ±200 ±250 ±300 ±501810 1910 2010 1680 1780 1880 1800 1660 1800 1500 345 5870.9 5973.3 6075.8 $110X450 GPZ(II)50SX ±200 ±250 ±300 ±501890 1990 2090 1760 1860 1960 1890 1750 1890 1570 360 6751.0 6861.5 6977.9 $110X450 GPZ(n冈向活动支座(sx 1绪构示議图。
GPZ(KZ)型系列公路桥梁抗震盆式橡胶支座(DX单向,SX双向,GD固定)主要尺寸表GPZ(KZ)公路桥梁抗震盆式橡胶支座GPZ(KZ)系列抗震盆式橡胶支座是依据中华人民共和国交通行业标准《公路桥梁盆式橡胶支座》(标准号JT391-1999)及公路工程抗震设计规范(JTJ004-89),在盆式橡胶支座的基础上增加了消能和阻尼措施。
GPZ(KZ)系列抗震盆式橡胶支座包括固定支座和单向活动支座两种型式,和与之配套使用的还有双向活动支座。
支座规格按JT391-1999要求分为31级。
支座竖向设计承载力、支座转角、支座摩擦系数及位移均按标准要求设计。
仅固定支座各方向和单向活动支座非滑移方向的水平力由原支座设计承载力的10%提高至20%。
现在.国内外采取的是刚性抗震法和柔性减震法两种抗震方法,刚性抗震需增大结构(包括基础结构和抗震支座结构)尺寸,柔性减震的特点是:减震性能好而刚度较小,在较大地震波的情况下有被破坏的可能。
该系列支座采取了刚、柔结合等有效抗震措施,增大了支座的耗能能力,极大的改善了支座的抗震性能,因此地震发生时可提高桥梁的抗震能力,最大限度的限制了桥梁上下部结构之间的相对位移,减小了地震力的放大系数。
非地震时等同一般盆式橡胶支座使用。
由于GPZ(KZ)系列抗震盆式橡胶支座设计有固定支座和单向活动支座,两种型式支座配合使用比仅在桥梁固定墩上设置抗震支座对提高全桥结构的抗震能力是不言而喻的。
GPZ(KZ)盆式橡胶支座结构形式GPZ(KZ)GD(固定抗震盆式橡胶支座),主要由上座板、消能板、密封圈、橡胶板、底盆和阻尼胶圈等组成。
GPZ(KZ)DX(单向活动抗震盆式橡胶支座)还有中间钢板、四氟滑板、不锈钢滑板及侧向滑移装置等。
减震原理主要是当支座水平力大于支座设计竖向承载力的20%后,消能板开始滑移,起到第一道隔震效果;然后阻尼圈发挥第二道阻尼效果,支座起到抗震作用;当地震冲击波超过一定极限时,该系列的刚性抗震起到了第三道抗震效果。
GPZ(KZ)型系列公路桥梁抗震盆式橡胶支座(DX单向,SX双向,GD固定)主要尺寸表GPZ(KZ)公路桥梁抗震盆式橡胶支座GPZ(KZ)系列抗震盆式橡胶支座是依据中华人民共和国交通行业标准《》(标准号JT391-1999)及公路工程抗震设计规范(JTJ004-89),在盆式橡胶支座的基础上增加了消能和阻尼措施。
包括固定支座和单向活动支座两种型式,和与之配套使用的还有双向活动支座。
支座规格按JT391-1999要求分为31级。
支座竖向设计承载力、支座转角、支座摩擦系数及位移均按标准要求设计。
仅固定支座各方向和单向活动支座非滑移方向的水平力由原支座设计承载力的10%提高至20%。
现在.国内外采取的是刚性抗震法和柔性减震法两种抗震方法,刚性抗震需增大结构(包括基础结构和抗震支座结构)尺寸,柔性减震的特点是:减震性能好而刚度较小,在较大地震波的情况下有被破坏的可能。
该系列支座采取了刚、柔结合等有效抗震措施,增大了支座的耗能能力,极大的改善了支座的抗震性能,因此地震发生时可提高桥梁的抗震能力,最大限度的限制了桥梁上下部结构之间的相对位移,减小了地震力的放大系数。
非地震时等同一般盆式橡胶支座使用。
由于GPZ(KZ)系列抗震盆式橡胶支座设计有固定支座和单向活动支座,两种型式支座配合使用比仅在桥梁固定墩上设置抗震支座对提高全桥结构的抗震能力是不言而喻的。
GPZ(KZ)盆式橡胶支座结构形式GPZ(KZ)GD(固定抗震盆式橡胶支座),主要由上座板、消能板、密封圈、橡胶板、底盆和阻尼胶圈等组成。
GPZ(KZ)DX(单向活动抗震盆式橡胶支座)还有中间钢板、四氟滑板、不锈钢滑板及侧向滑移装置等。
减震原理主要是当支座水平力大于支座设计竖向承载力的20%后,消能板开始滑移,起到第一道隔震效果;然后阻尼圈发挥第二道阻尼效果,支座起到抗震作用;当地震冲击波超过一定极限时,该系列的刚性抗震起到了第三道抗震效果。
GPZ(KZ)盆式橡胶支座性能1、此种支座按竖向设计承载力:可分31级,即、1、、、2、、3、、4、5、6、7、8、9、10、、15、、20、、25、、30、、35、、40、45、50、55、60MN。
盆式橡胶支座一、分类GPZ(II)盆式橡胶支座按其性能划分为SX:双向活动支座,具有竖向转动和纵向与横向滑移性能。
DX:单向活动支座。
具有竖向转动和单一方法(纵向或横向)滑移性能。
GD:固定支座,仅有竖向转动性能二、产品构造特点公路盆式橡胶支座GPZ(II)是由上支座板、聚四氟乙烯滑板、中间钢板、黄铜密封圈、橡胶板、底盆、地脚螺栓等组成。
三、支座性能1、竖向承载力即支座反力,可分为31级,800KN、1000KN、1250KN……60000KN。
2、水平承载力:固定支座在各信方向和单向支座的非滑移方向的水平承载力均不得小于支座竖向承载力的10%GPZ盆式橡胶支座全称叫"GPZ系列公路桥梁盆式橡胶支座",它是一种专用于公路桥梁的盆式橡胶支座产品。
GPZ支座名称的代表:公路盆式支座产品。
GPZ盆式橡胶支座是一种公路桥梁橡胶支座产品,它是将橡胶块安置于密封钢盆中的,在三向受力的情况下,而产生相应的反力,承受桥梁的垂直荷载,同时,支座可以利用橡胶的弹性,满足梁端的转动,通过焊接在上座板上的不锈钢板与聚四氟乙烯来进行自由滑移,就可以完成桥梁上部构造的水平位移。
盆式支座具有结构合理、变形小、水平位移量大、承载能力大、转动灵活、并有良好的缓冲性能的特点,是公路桥梁连续式桥梁支座的最佳选择。
1、GPZ橡胶支座性能及分类:A. 双向活动支座:具有竖向转动和纵向与横向滑移性能,代号为SX。
B. 单向活动支座:具有竖向转动的单一方向滑移性能,代号为DX。
C. 固定支座:仅量有竖向转动性能,代号为GD。
2、GPZ橡胶支座代号GPZ XXX SX(DX、GD)(F)表示耐寒型,常温型不表示:SX 表示支座类型:XXX 用数字表示竖向承载力单位kn;GPZ 支座名称:公路盆式支座3、橡胶支座适用温度范围:A. 常温型支座:适用于-25℃---60℃;B. 耐寒型支座:适用于-25℃---60℃,代号F4、GPZ的技术性能:A. 支座竖向转角不小于40。
GPZ(II)系列盆式橡胶支座固定支座(GD)型主要尺寸表规格(MN)主要尺寸(mm)重量kg预埋底柱A(B)、C(D)A'(B')、C'(D')H d×LGPZ(Ⅱ)0.8GD2502107525Φ40×250 GPZ(Ⅱ)1.0GD2802358034Φ40×250 GPZ(Ⅱ)1.25GD3102608545Φ40×250 GPZ(Ⅱ)1.5GD3402909057Φ40×250 GPZ(Ⅱ)2.0GD3903309579Φ40×250 GPZ(Ⅱ)2.5GD435370100104Φ40×250 GPZ(Ⅱ)3GD475400105131Φ40×250 GPZ(Ⅱ)3.5GD510430110158Φ40×250 GPZ(Ⅱ)4GD545460115187Φ40×250 GPZ(Ⅱ)5GD610520130265Φ50×300 GPZ(Ⅱ)6GD670570145348Φ50×300 GPZ(Ⅱ)7GD720610150428Φ50×300 GPZ(Ⅱ)8GD770650155509Φ60×300 GPZ(Ⅱ)9GD815690160592Φ60×300 GPZ(Ⅱ)10GD860730170697Φ60×300 GPZ(Ⅱ)12.5GD960810185947Φ70×350 GPZ(Ⅱ)15GD10508902001227Φ70×350 GPZ(Ⅱ)17.5GD11359602101497Φ70×350 GPZ(Ⅱ)20GD122010402301896Φ80×350 GPZ(Ⅱ)22.5GD129011002402217Φ80×350 GPZ(Ⅱ)25GD136011502502566Φ90×400 GPZ(Ⅱ)27.5GD143012202602930Φ90×400 GPZ(Ⅱ)30GD149012702703295Φ90×400 GP Z(Ⅱ)32.5GD155013202803709Φ100×400 GPZ(Ⅱ)35GD161013702904154Φ100×400 GPZ(Ⅱ)37.5GD167014203004610Φ100×400 GPZ(Ⅱ)40GD172014603105050Φ100×400 GPZ(Ⅱ)45GD183015603205856Φ110×450 GPZ(Ⅱ)50GD192016303356744Φ110×450GPZ(Ⅱ)55GD 20201720 350 7872 Φ120×450 GPZ(Ⅱ)60GD 2100 1790365 8817 Φ120×450注:表中数据规格除"MN"计及注明者外,均以毫米为单位.GPZ(II)系列盆式橡胶支座单向活动支座(DX)型主要尺寸表规格(MN) 纵向位移(mm)横向主要尺寸(mm ) 重量kg预埋底柱位移A A'B B' C(D) C' D' H d×LGPZ(Ⅱ)0.8DX ±50±100±150 ±3 320 420 520 280 380480 315 220265 230 180 75 34.2 38.843.1Φ40×250GPZ(Ⅱ)1.0DX ±50±100±150 ±3 340 440 540 300 400500 340 245290 250 200 80 42.6 47.8 53.1Φ40×250GPZ(Ⅱ)1.25DX ±50±100±150 ±3 360 460 560 320 420520 370 275320 280 230 85 52.5 58.3 61.0Φ40×250GPZ(Ⅱ)1.5DX ±50±100±150 ±3 380 480 580 340 440540 410 300350 310 260 90 66.9 73.9 80.9Φ40×250GPZ(Ⅱ)2.0DX ±50±100±150 ±3 420 520 620 380 480580 460 350400 360 310 100 96.0 104.9 113.8Φ40×250GPZ(Ⅱ)2.5DX ±50±100±150 ±3 460 560 660 420 520620 505 39545 405 355 105 122.3 132.3 142.4Φ40×250GPZ(Ⅱ)3DX ±50±100±150 ±3 485 585 685 435 535635 565 425485 435 370 110 157.3 169.6 182.1Φ40×250GPZ(Ⅱ)3.5DX ±100±150±200 ±3 620 720 820 570 670770 600 460520 470 400 115 202.6 216.7 230.8Φ40×250GPZ(Ⅱ)4DX ±100±150±200 ±3 640 740 840 590 690790 635 485555 505 435 130 285.5 275.5 292.9Φ40×250GPZ(Ⅱ)5DX ±100±150±200 ±3 690 790 890 635 735835 710 545620 560 480 140 338.5 358.5 378.7Φ50×300GPZ(Ⅱ)6DX ±100±150±200 ±3 740 840 940 680 780880 770 600680 620 540 150 423.4 446.3 468.7Φ50×300GPZ(Ⅱ)7DX ±100±150±200 ±3 780 880 980 720 820920820 650730 670 590 160 516.7 542.5 568.1Φ50×300GPZ(Ⅱ)8DX ±100±150±200 ±3 810 910 740 840 890 690780 710 620170 634.0 664.7 Φ60×3001010940695.5GPZ(Ⅱ)9DX±100±150±200±3850 9501050780 880980935725825755665180744.9 778.9813.0Φ60×300GPZ(Ⅱ)10DX±100±150±200±39801080118091010101110985770875800715190907.1 944.9982.3Φ60×300GPZ(Ⅱ)12.5DX±150±200±250±31060116012609801080118011008609708907802051205.41251.11291.1Φ70×350GPZ(Ⅱ)15DX±150±200±250±3113012301330105011501250119095010609808702201513.71565.91618.2Φ70×350GPZ(Ⅱ)17.5DX±150±200±250±311901290139011051205130512951030114510609352351887.61949.12010.6Φ70×350GPZ(Ⅱ)20DX±150±200±250±3125013501450115512551355137511001225113010002502263.92332.12400.2Φ80×350GPZ(Ⅱ)22.5DX±150±200±250±3131014101510122013201420145011801300121010802602620.32694.22768.1Φ80×350GPZ(Ⅱ)25DX±150±200±250±3137014601560127013601460154012401370127011202703058.83134.33229.2Φ90×400GPZ(Ⅱ)27.5DX±150±200±250±3144015101610131014101510161013101440134011902803476.13539.83161.7Φ90×400GPZ(Ⅱ)30DX±150±200±250±3150015601660140014601560167013701500140012502903903.93975.04072.7Φ90×400GPZ(Ⅱ)32.5DX±200±250±300±3161017101810150016001700175014201560145012703004470.04577.14684.7Φ100×400GPZ(Ⅱ)35DX±200±250±300±3165017501850154016401740181014801620151013303104949.35064.35179.3Φ100×400GPZ(Ⅱ)37.5DX±200±250±300±3169017901890158016801780189015401680157013703205512.05637.25762.4Φ100×400GPZ(Ⅱ)40DX±200±250±300±3173018301930162017201820194015901730162014203306003.46134.96266.5Φ100×400GPZ(Ⅱ)45DX±200±250±300±3184019102010171017801880207016801840171015103457109.87214.27361.8Φ110×450GPZ(Ⅱ)50DX±200±250±300±31930199018001860216017701930180016003608124.98222.9Φ110×4502090 19608383.6 GPZ(Ⅱ)55DX ±200±250±300 ±3 2030 2060 2160 1890 1920 2020 2280 1860 2030 1890 1680 375 9130.39468.89665.4 Φ120×450GPZ(Ⅱ)60DX ±200±250±300 ±3 2110 2130 2230 1970 1990 2090 2360 1940 2110 1970 1760 390 10484.51026.410718.8Φ120×450注:表中数据除规格以"MN"计及注名者外,均以毫米为单位.GPZ(II)系列盆式橡胶支座双向活动支座(SX)型主要尺寸表 单位:mm规格(MN) 纵向位移(mm) 横向 主要尺寸(mm )重量位移A A'B B' C(D) C'(D') H (mm) KgGPZ(II)0.8SX ±50 ±100 ±150 ±40 320 420 520 280 380 480 300 260 245 200 75 26.9GPZ(II)1.0SX ±50 ±100 ±150 ±40 340 440 540 300 400 500 320 280 270 225 80 33.9GPZ(II)1.25SX ±50 ±100 ±150 ±40 360 460 560 320 420 520 340 300 300 250 85 42.0GPZ(II)1.5SX ±50 ±100 ±150 ±40 380 480 580 340 440 540 360 320 330 275 90 52.5GPZ(II)2SX ±50 ±100 ±150 ±40 420 520 620 380 480 580 400 360 385 320 100 78.7GPZ(II)2.5SX ±50 ±100 ±150 ±40 460 560 660 420 520 620 440 400 425 355 105 100.GPZ(II)3SX ±50 ±100 ±150 ±40 490 590 690 440 540 640 465 415 465 385 110 124.GPZ(II)3.5SX ±100 ±150 ±200 ±40 620 720 820 570 670 770 500 450 500 415 115 159.GPZ(II)4SX ±100 ±150 ±200 ±40 640 740 840 590 690 790 540 490 540 450 130 210.GPZ(II)5SX ±100 ±150 ±200 ±40 690 790 890 630 730 830 600 540 600 500 140 271.GPZ(II)6SX ±100 ±150 ±200 ±40 740 840 940 680 780 880 655 595 655 540 150 341.GPZ(II)7SX ±100 ±150 ±200 ±40 780 880 980 720 820 920 705 640 705 580 160 423.GPZ(II)8SX ±100 ±150 ±200 ±40 810 910 1010 735 835 935 755 680 755 630 170 512.GPZ(II)9SX ±100 ±150 ±200 ±40 850 950 1050 775 875 975 800 720 800 660 180 608.GPZ(II)10SX ±150 ±200 ±250 ±40 980 1080 1180 905 1005 1105 845 765 845 700 190 736.GPZ(II)12.5SX ±150 ±200 ±250 ±40 1060 1160 1260 970 1070 1170 945 855 945 780 205 983.GPZ(II)15SX ±150 ±200 ±250 ±40 1130 1230 1330 1040 1140 1240 1030 940 1030 860 220 1215GPZ(II)17.5SX ±150 ±200 ±250 ±40 1190 1290 1390 1100 1200 1300 1110 1020 1110 920 235 1531GPZ(II)20SX ±150 ±200 ±250 ±40 1250 1350 1450 1150 1250 1350 1190 1090 1190 990 250 1861GPZ(II)22.5SX ±150 ±200 ±250 ±40 1310 1410 1510 1210 1310 1410 1260 1090 1260 1050 260 2166GPZ(II)25SX ±150 ±200 ±250 ±40 1360 1460 1560 1250 1350 1450 1340 1160 1340 1110 270 2510GPZ(II)27.5SX±150±200±250±401410 1510 16101300 1400 15001410123014011702802898 GPZ(II)30SX±150±200±250±401470 1560 16601360 1450 155014701300147012202903277 GPZ(II)32.5SX±200±250±300±401610 1710 18101490 1590 169015251360152512703003714 GPZ(II)35SX±200±250±300±501650 1750 18501530 1630 173015851460158513203104113 GPZ(II)37.5SX±200±250±300±501690 1790 18901570 1670 177016451520164513703204581 GPZ(II)40SX±200±250±300±501730 1830 19301610 1710 181016901570169014103304993 GPZ(II)45SX±200±250±300±501810 1910 20101680 1780 188018001660180015003455870 GPZ(II)50SX±200±250±300±501890 1990 20901760 1860 196018901750189015703606751 GPZ(II)55SX±200±250±300±501990 2060 21601850 1920 202019901850199016603757832 GPZ(II)60SX±200±250±300±502070 2130 22301930 1990 209020701930207017203908823注:表中数据除规格以"MN"计及注明者外,均以毫米为单位.公路盆式支座;数字(8)表示竖向承载力,单位:MN;DX、SX、GD表示:支座类别,DX表示单向活动支座具有竖向转动和单一方向滑移性能,SX表示双向活动支座具有竖向转动和纵向与横向滑移性能,GD表示固定支座具有竖向转动性能。