一元一次不等式组计算题50题
- 格式:docx
- 大小:57.67 KB
- 文档页数:7
一元一次不等式组 专题练习(含答案解析)一、计算题(本大题共25小题,共150.0分)1. 解不等式组,并在数轴上表示出解集:(1){8x +5>9x +62x −1<7(2){2x−13−5x+12≤15x −1<3(x +1).2. 解不等式组:{x +1>0x ≤x−23+2.3. 解不等式组{3(x +2)≥x +4x−12<1,并求出不等式组的非负整数解.4. 解不等式组:{2x −6≤5x +63x <2x −15. 求不等式组:{x −3(x −2)≤85−12x >2x 的整数解.6. 解下列不等式组并将不等式组的解集在数轴上表示出来.(1){3x <2(x −1)+3x+62−4≥x ; (2){5x +7>3(x +1)1−32x ≥x−83.7. 解不等式组{x −3(x −2)≥42x−15<x+12,并将它的解集在数轴上表示出来.8. 解不等式组 {3(x −2)+4<5x 1−x 4+x ≥2x −1.9. 解不等式组:{−3(x +1)−(x −3)<82x+13−1−x 2≤1,并求它的整数解的和.10. 试确定实数a 的取值范围,使不等式组{x 2+x+13>0x +5a+43>43(x +1)+a 恰有两个整数解.11. 解不等式组{2(x +2)≤x +3x 3<x+14.12. 求不等式组{4(x +1)+3>x①x−42≤x−53②的正整数解.13. {x −3(x −2)≤42x−15>x+12.14. 求不等式组{1−x ≤0x+12<3的解集.15. 解下列不等式组(1){3x −2<82x −1>2(2){5−7x ≥2x −41−34(x −1)<0.5.16. 解不等式组:{2x −1>53x+12−1≥x,并在数轴上表示出不等式组的解集.17. 解不等式组:{x 2−1<xx −(3x −1)≥−5.18. 解不等式组:{2x +9<5x +3x−12−x+23≤019. 解不等式组:{3x +1<2x +3①2x >3x−12②20. 解不等式组:{3x +7≥5(x +1)3x−22>x +1.21. 解不等式组{1−2(x −1)≤53x−22<x +12.22. 解不等式组:{4x >2x −6x−13≤x+19,并把解集在数轴上表示出来.23. 若关于x 的不等式组{x 2+x+13>03x +5a +4>4(x +1)+3a恰有三个整数解,求实数a 的取值范围.24. 求不等式组{4(x +1)+3>x①x−42≤x−53②的正整数解.25. 解不等式组{x−32<−1x 3+2≥−x .答案和解析1.【答案】解:(1), 解不等式①得,x <-1,解不等式②得,x <4,∴不等式组的解集是x <-1,在数轴上表示如下:;(2){2x−13−5x+12≤1①5x −1<3(x +1)②, 解不等式①得,x ≥-1,解不等式②得,x <2,∴不等式组的解集是-1≤x <2,在数轴上表示如下:.【解析】 本题考查了不等式的解法与不等式组的解法,解此类题目常常要结合数轴来判断.要注意x 是否取得到,若取得到则x 在该点是实心的.反之x 在该点是空心的.(1)先求出两个不等式的解集,然后求出两个解集的公共部分即可得解;(2)先求出两个不等式的解集,然后求出两个解集的公共部分即可得解.2.【答案】解:{x +1>0①x ≤x−23+2②, 由①得,x >-1,由②得,x ≤2,所以,原不等式组的解集是-1<x ≤2.【解析】先求出两个不等式的解集,再求其公共解.本题主要考查了一元一次不等式组解集的求法,其简便求法就是用口诀求解.求不等式组解集的口诀:同大取大,同小取小,大小小大中间找,大大小小找不到(无解).3.【答案】解:解不等式(1)得x ≥-1解不等式(2)得x <3∴原不等式组的解是-1≤x <3∴不等式组的非负整数解0,1,2.【解析】先求出不等式组中每个不等式的解集,然后求出其公共解集,最后求其非负整数解即可.本题旨在考查不等式组的解法及整数解的确定.求不等式组的解集,应遵循以下原则:同大取较大,同小取较小,小大大小中间找,大大小小解不了.4.【答案】解:解不等式①,得x ≥-4,解不等式②,得x <-1,所以不等式组的解集为:-4≤x <-1.【解析】先求出各不等式的解集,再求其公共解集即可.解不等式组应遵循的原则:同大取较大,同小取较小,小大大小中间找,大大小小解不了.5.【答案】解:由x -3(x -2)≤8得x ≥-1由5-12x >2x 得x <2∴-1≤x <2∴不等式组的整数解是x =-1,0,1.【解析】先求出每个不等式的解集,再确定其公共解,得到不等式组的解集,然后求其整数解.解答此题要先求出不等式组的解集,求不等式组的解集要遵循以下原则:同大取较大,同小取较小,小大大小中间找,大大小小解不了.6.【答案】解:(1){3x <2(x −1)+3①x+62−4≥x②, 解①得x <1,解②得x ≤-2,所以不等式组的解集为x ≤-2,用数轴表示为:;(2){5x +7>3(x +1)①1−32x ≥x−83②, 解①得x >-2,解②得x ≤2,所以不等式组的解集为-2<x ≤2,用数轴表示为:. 【解析】(1)分别解两个不等式得到x <1和x≤-2,然后根据同小取小确定不等式组的解集,再利用数轴表示解集; (2)分别解两个不等式得到x >-2和x≤2,然后根据大于小的小于大的取中间确定不等式组的解集,再利用数轴表示解集.本题考查了解一元一次不等式组:分别求出不等式组各不等式的解集,然后根据“同大取大,同小取小,大于小的小于大的取中间,大于大的小于小的无解”确定不等式组的解集.7.【答案】解:由①得:-2x≥-2,即x≤1,由②得:4x-2<5x+5,即x>-7,所以-7<x≤1.在数轴上表示为:【解析】先解不等式组中的每一个不等式,再根据大大取较大,小小取较小,大小小大取中间,大大小小无解,把它们的解集用一条数轴表示出来.本题考查不等式组的解法和解集在数轴上的表示法,如果是表示大于或小于号的点要用空心,如果是表示大于等于或小于等于号的点用实心.8.【答案】解:{3(x−2)+4<5x①1−x4+x≥2x−1②,由①得:x>-1;由②得:x≤1;∴不等式组的解集是-1<x≤1.【解析】根据不等式的性质求出不等式的解集,根据找不等式组解集的规律找出即可.本题主要考查对解一元一次不等式(组),不等式的性质等知识点的理解和掌握,能根据不等式的解集找出不等式组的解集是解此题的关键.9.【答案】解:由①得x>-2,由②得x≤1,∴不等式组的解集为-2<x≤1∴不等式组的整数解的和为-1+0+1=0.【解析】分别求出每一个不等式的解集,根据口诀:同大取大、同小取小、大小小大中间找、大大小小无解了确定不等式组的解集.本题考查的是解一元一次不等式组,正确求出每一个不等式解集是基础,熟知“同大取大;同小取小;大小小大中间找;大大小小找不到”的原则是解答此题的关键.10.【答案】解:由x 2+x+13>0,两边同乘以6得3x +2(x +1)>0,解得x >-25, 由x +5a+43>43(x +1)+a ,两边同乘以3得3x +5a +4>4(x +1)+3a ,解得x <2a ,∴原不等式组的解集为-25<x <2a .又∵原不等式组恰有2个整数解,即x =0,1;则2a 的值在1(不含1)到2(含2)之间,∴1<2a ≤2,∴0.5<a ≤1.【解析】先求出不等式组的解集,再根据x 的两个整数解求出a 的取值范围即可.此题考查的是一元一次不等式的解法,得出x 的整数解,再根据x 的取值范围求出a 的值即可. 求不等式组的解集,应遵循以下原则:同大取较大,同小取较小,小大大小中间找,大大小小解不了.11.【答案】解:{2(x +2)≤x +3①x 3<x+14②, ∵由①得:x ≤-1,由②得:x <3,∴不等式组的解集是x ≤-1.【解析】根据不等式的性质求出每个不等式的解集,根据找不等式组解集的规律找出不等式组的解集即可. 本题考查了不等式的性质,解一元一次不等式(组)的应用,关键是根据不等式的解集找出不等式组的解集,题目比较好,难度也适中.12.【答案】解:由①得4x +4+3>x解得x >- 73,由②得3x -12≤2x -10,解得x ≤2,∴不等式组的解集为- 73<x ≤2.∴正整数解是1,2.【解析】 本题主要考查了不等式组的解法,并会根据未知数的范围确定它所满足的特殊条件的值.一般方法是先解不等式组,再根据解集求出特殊值.先解每一个不等式,求出不等式组的解集,再求出正整数解即可.13.【答案】解:{x −3(x −2)≤4①2x−15>x+12②, 由①得:x ≥1,由②得:x <-7,∴不等式组的解集是空集.【解析】根据不等式性质求出不等式的解集,根据找不等式组解集的规律找出即可.本题主要考查对不等式的性质,解一元一次不等式(组)等知识点的理解和掌握,能根据不等式的解集找出不等式组的解集是解此题的关键.14.【答案】解:{1−x ≤0①x+12<3②, 解不等式①,得x ≥1.解不等式②,得x <5.所以,不等式组的解集是1≤x <5.【解析】先求出不等式组中每一个不等式的解集,再求出它们的公共部分即可.本题考查的是一元一次不等式组的解,解此类题目常常要结合数轴来判断.还可以观察不等式的解,若x >较小的数、<较大的数,那么解集为x 介于两数之间.15.【答案】解:(1){3x −2<8①2x −1>2②, 解不等式①,得x <103, 解不等式②,得x >32.∴原不等式组的解集是:32<x <103;(2){5−7x ≥2x −4①1−34(x −1)<0.5②, 解不等式①,得x ≤1,解不等式②,得x >53. ∴原不等式组无解.【解析】 本题考查的是一元一次不等式组的解,解此类题目常常要结合数轴来判断.还可以观察不等式的解,若x 大于较小的数、小于较大的数,那么解集为x 介于两数之间.(1)先分别解答出方程组中的每一个不等式的解集,然后取这两个不等式的解集的交集即为不等式组的解集;(2)先分别解答出方程组中的每一个不等式的解集,然后取这两个不等式的解集的交集即为不等式组的解集;如果两个不等式没有交集,说明原不等式组无解.16.【答案】解:{2x −1>5①3x+12−1≥x②解①得:x >3,解②得:x ≥1,则不等式组的解集是:x >3;在数轴上表示为:【解析】分别解两个不等式得到x >3和x≥1,然后利用同大取大确定不等式组的解集,再利用数轴表示解集. 本题考查了解一元一次不等式组:解一元一次不等式组时,一般先求出其中各不等式的解集,再求出这些解集的公共部分,利用数轴可以直观地表示不等式组的解集.解集的规律:同大取大;同小取小;大小小大中间找;大大小小找不到.17.【答案】解:{x2−1<x①x −(3x −1)≥−5②, 由①得:x >-2,由②得:x ≤3,∴不等式组的解集是:-2<x ≤3.【解析】根据不等式的性质求出不等式的解集,根据找不等式组的解集得规律找出不等式组的解集即可.本题主要考查对不等式的性质,解一元一次不等式,解一元一次不等式组等知识点的理解和掌握,根据不等式的解集能找出不等式组的解集是解此题的关键.18.【答案】解:解不等式2x +9<5x +3,得:x >2,解不等式x−12-x+23≤0,得:x ≤7,则不等式组的解集为2<x ≤7.【解析】首先解每个不等式,两个不等式的解集的公共部分就是不等式组的解集.本题考查的是解一元一次不等式组,熟知“同大取大;同小取小;大小小大中间找;大大小小找不到”的原则是解答此题的关键.19.【答案】解:由①,得3x-2x<3-1.∴x<2.由②,得4x>3x-1.∴x>-1.∴不等式组的解集为-1<x<2.【解析】分别求出不等式①②的解集,同大取大;同小取小;大小小大中间找;大大小小找不到求出不等式组解集.本题考查了解一元一次不等式组的解法,利用同大取大;同小取小;大小小大中间找;大大小小找不到求不等式组解集是本题关键.20.【答案】解:{3x+7≥5(x+1)①3x−22>x+1②,由①得,x≤1,由②得,x>4,所以,不等式组无解.【解析】本题主要考查了一元一次不等式组解集的求法,其简便求法就是用口诀求解.求不等式组解集的口诀:同大取大,同小取小,大小小大中间找,大大小小找不到(无解).先求出两个不等式的解集,再求其公共解.21.【答案】解:由①得:1-2x+2≤5∴2x≥-2即x≥-1由②得:3x-2<2x+1∴x<3.∴原不等式组的解集为:-1≤x<3.【解析】解先求出各不等式的解集,再求其公共解集即可.解不等式组应遵循的原则:同大取较大,同小取较小,小大大小中间找,大大小小解不了.22.【答案】解:{4x>2x−6①x−13≤x+19②,解①得x>-3,解②得x≤2,所以不等式组的解集为-3<≤2,用数轴表示为:【解析】先分别解两个不等式得到x>-3和x≤2,再根据大小小大中间找得到不等式组的解集,然后利用数轴表示解集.本题考查了解一元一次不等式组:解一元一次不等式组时,一般先求出其中各不等式的解集,再求出这些解集的公共部分,利用数轴可以直观地表示不等式组的解集.解集的规律:同大取大;同小取小;大小小大中间找;大大小小找不到.23.【答案】解:{x2+x+13>0①3x+5a+4>4(x+1)+3a②,由①得:x>-25,由②得:x<2a,则不等式组的解集为:-25<x<2a,∵不等式组只有3个整数解为0、1、2,∴2<2a≤3,∴1<a≤32,故答案为:1<a≤32.【解析】首先利用a表示出不等式组的解集,根据解集中的整数恰好有3个,即可确定a的值.本题考查不等式组的解法及整数解的确定.求不等式组的解集,应遵循以下原则:同大取较大,同小取较小,小大大小中间找,大大小小解不了.24.【答案】解:由①得4x+4+3>x解得x>-73,由②得3x-12≤2x-10,解得x≤2,∴不等式组的解集为-73<x≤2.∴正整数解是1、2.【解析】先解每一个不等式,求出不等式组的解集,再求出正整数解即可.此题主要考查了不等式组的解法,并会根据未知数的范围确定它所满足的特殊条件的值.一般方法是先解不等式组,再根据解集求出特殊值.25.【答案】解:{x−32<−1①x3+2≥−x②,解①得x<1,解②得x≥-32,所以不等式组的解集为-32≤x<1.【解析】分别解两个不等式得到x<1和x≥-,然后根据大于小的小于大的取中间确定不等式组的解集.本题考查了解一元一次不等式组:求解出两个不等式的解集,然后按照“同大取大,同小取小,大于小的小于大的取中间,小于小的大于大的无解”确定不等式组的解集.。
七年级下册数学《第九章不等式与不等式组》专题解一元一次不等式组(计算题共50题)1.(2022秋•越秀区校级期末)解不等式组:5−1>4+2≥2−4.【分析】分别求出每一个不等式的解集,根据口诀:同大取大、同小取小、大小小大中间找、大大小小找不到确定不等式组的解集.【解答】解:5−1>4+2①≥2−4②,由①得:x>3,由②得:x≤4,则不等式组的解集为3<x≤4.【点评】本题考查的是解一元一次不等式组,正确求出每一个不等式解集是基础,熟知“同大取大;同小取小;大小小大中间找;大大小小找不到”的原则是解答此题的关键.2.(20231≤3+2.【分析】先求出不等式组中每一个不等式的解集,再求出它们的公共部分即可求解.1−≤3+2,由3K23>1得x>53,由4x﹣5≤3x+2得x≤7,故不等式组的解集为53<x≤7.【点评】本题考查了解一元一次不等式组.解集的规律:同大取大;同小取小;大小小大中间找;大大小小找不到.3.(20233−1−2<K56.【分析】分别求出每一个不等式的解集,根据口诀:同大取大、同小取小、大小小大中间找、大大小小找不到确定不等式组的解集.【解答】解:解不等式5x≥3x﹣1得:x≥−12,解不等式r23−2<K56得:x<3,则不等式组的解集为−12≤x<3.【点评】本题考查的是解一元一次不等式组,正确求出每一个不等式解集是基础,熟知“同大取大;同小取小;大小小大中间找;大大小小找不到”的原则是解答此题的关键.4.(20231≤−+1+23.【分析】分别求出每一个不等式的解集,根据口诀:同大取大、同小取小、大小小大中间找、大大小小找不到确定不等式组的解集.1≤−+1①+23②,由①得:x≤23,由②得:x>﹣1,则不等式组的解集为﹣1<x≤23.【点评】本题考查的是解一元一次不等式组,正确求出每一个不等式解集是基础,熟知“同大取大;同小取小;大小小大中间找;大大小小找不到”的原则是解答此题的关键.5.(2023•陕西模拟)解不等式组:2+5≤3(+2)−1<2.【分析】分别解两个不等式,然后根据大小小大中间找确定不等式组的解集.【解答】解:2+5≤3(+2)①−1<2②,解不等式①得:x≥﹣1,解不等式②得:x<3,∴不等式组的解集为:﹣1≤x<3.【点评】本题考查了解一元一次不等式组:解一元一次不等式组时,一般先求出其中各不等式的解集,再求出这些解集的公共部分得到不等式组的解集.6.(2023•安徽模拟)解不等式组2+1≤4−−1<32.【分析】分别求出每一个不等式的解集,根据口诀:同大取大、同小取小、大小小大中间找、大大小小找不到确定不等式组的解集.【解答】解:2+1≤4−s−1<32②,由①得x≤1,由②得:x>﹣2,则不等式组的解集为﹣2<x≤1.【点评】本题考查的是解一元一次不等式组,正确求出每一个不等式解集是基础,熟知“同大取大;同小取小;大小小大中间找;大大小小找不到”的原则是解答此题的关键.7.(2023≥+1≤.【分析】分别求出每一个不等式的解集,根据口诀:同大取大、同小取小、大小小大中间找、大大小小找不到确定不等式组的解集.【解答】解:由3x﹣5≥x+1,得:x≥3,由3K42≤x,得:x≤4,则不等式组的解集为:3≤x≤4.【点评】本题考查的是解一元一次不等式组,正确求出每一个不等式解集是基础,熟知“同大取大;同小取小;大小小大中间找;大大小小找不到”的原则是解答此题的关键.8.(2023−3)≤−1>0.【分析】分别求出每一个不等式的解集,根据口诀:同大取大、同小取小、大小小大中间找、大大小小找不到确定不等式组的解集.−3)≤s−1>0②,解不等式①得:x≥113,解不等式②得:x>3,则不等式组的解集为x≥113.【点评】本题考查的是解一元一次不等式组,正确求出每一个不等式解集是基础,熟知“同大取大;同小取小;大小小大中间找;大大小小找不到”的原则是解答此题的关键.9.(2023−1)≤4−1.【分析】分别求出每一个不等式的解集,根据口诀:同大取大、同小取小、大小小大中间找、大大小小找不到确定不等式组的解集.【解答】解:解不等式①得:≥−12,不等式②得:x<4,∴不等式组的解集为:−12≤<4.【点评】本题考查了解一元一次不等式组,正确掌握一元一次不等式解集确定方法是解题的关键.10.(20233≤13−2<−1.【分析】先求出每个不等式的解集,再根据不等式的解集求出不等式组的解集即可.3≤13①−2<−1②,由①得x≤2,由②得x>﹣2,∴不等式组的解集为﹣2<x≤2.【点评】本题主要考查解一元一次不等式组,正确求出每一个不等式解集是基础,熟知“同大取大;同小取小;大小小大中间找;大大小小找不到”的原则是解答此题的关键.11.(2023+2)≥2+51<K22并把它的解集在数轴上表示出来.【分析】分别求出每一个不等式的解集,将解集表示在数轴上,根据数轴求得不等式的解集即可求解.【解答】解:解不等式①得,x≥﹣1,解不等式②得,x>0,所以不等式组的解集为x>0.这个不等式组的解集在数轴上表示如图:【点评】本题考查了解一元一次不等式组,在数轴上表示不等式的解集,数形结合是解题的关键.12.(20232)>8+9①2>r23②.【分析】分别求出每一个不等式的解集,根据口诀:同大取大、同小取小、大小小大中间找、大大小小找不到确定不等式组的解集.【解答】解:解不等式①,得:x<32,解不等式②,得:x>﹣5,则不等式组的解集为﹣5<x<32.【点评】本题考查的是解一元一次不等式组,正确求出每一个不等式解集是基础,熟知“同大取大;同小取小;大小小大中间找;大大小小找不到”的原则是解答此题的关键.13.(2023−7<3(+1)−1≥7−32.【分析】分别求出每一个不等式的解集,根据口诀:同大取大、同小取小、大小小大中间找、大大小小找不到确定不等式组的解集.−7<3(+1)①−1≥7−32t,解不等式①得:x<5,解不等式②得:x≥4,则不等式组的解集为4≤x<5.【点评】本题考查的是解一元一次不等式组,正确求出每一个不等式解集是基础,熟知“同大取大;同小取小;大小小大中间找;大大小小找不到”的原则是解答此题的关键.14.(2023•碑林区校级三模)解不等式组:2(−2)≤3−1−2r13>+1.【分析】首先解每个不等式,两个不等式的解集的公共部分就是不等式组的解集.【解答】解:2(−2)≤3−①1−2r13>+1②,解①得:x≤73,解②得x<−15.故不等式组的解集是:x<−15.【点评】本题考查了一元一次不等式组的解法:解一元一次不等式组时,一般先求出其中各不等式的解集,再求出这些解集的公共部分,15.(2023−1)<72≥.【分析】先解每个不等式,再求两个不等式解集的公共部分即可.−1)<7①+2≥t,解不等式①得,x<3,解不等式②得,x≤2,∴不等式组的解集为x≤2.【点评】本题考查了解一元一次不等式组,熟练掌握解一元一次不等式组的步骤是解题的关键.16.(2023•香洲区校级一模)解不等式组:4−2≤3(+1)①1−K12<4②.【分析】分别求出不等式组中两不等式的解集,找出两解集的公共部分即可.【解答】解:由①得x≤5,由②得x>2,故不等式组的解集为2<x≤5.【点评】本题考查的是解一元一次不等式组,熟知“同大取大;同小取小;大小小大中间找;大大小小找不到”的原则是解答此题的关键.17.(20231<−+21+23.【分析】分别将每个一元一次不等式求解,然后求出公共解集即可.【解答】解:解不等式2x﹣1<﹣x+2,得x<1,解不等式K12<1+23,得x>﹣5,故不等式组的解集是:﹣5<x<1.【点评】本题考查了解一元一次不等式组,正确求出每一个不等式解集是基础,熟知“同大取大;同小取小;大小小大中间找;大大小小找不到”的原则是解答此题的关键.18.(20232≥4+1K32+1.【分析】分别解两个不等式,求解集的公共部分即可.2≥4+1①K32+1②解不等式①得:x≥﹣1,解不等式②得:x<3.∴不等式组的解集为﹣1≤x<3.【点评】本题考查解一元一次不等式组,解题关键是熟练掌握解一元一次不等式的步骤.19.(20233)<41≤2r13.【分析】分别求出不等式组中两不等式的解集,找出两解集的公共部分即可.3)<4s−1≤2r13②,由①得:x>﹣3,由②得:x≤1,∴不等式组的解集为﹣3<x≤1.【点评】此题考查了解一元一次不等式组,熟练掌握不等式组的解法是解本题的关键.20.(20231≤7−32K12+1.【分析】先解出每个不等式的解集,即可得到不等式组的解集,然后写出相应的整数解即可.1≤7−32①K12+1②解不等式①,得:x≤4,解不等式②,得:x>﹣1,∴不等式组的解集是﹣1<x≤4.【点评】本题考查解一元一次不等式组,熟练掌握解一元一次不等式的方法是解答本题的关键.1.(2023•河北区一模)解不等式组2>−4①+3≤5②.请结合解题过程,完成本题的解答.(Ⅰ)解不等式①,得;(Ⅱ)解不等式②,得;(Ⅲ)把不等式①和②的解集在数轴上表示出来:(Ⅳ)原不等式组的解集为.【分析】根据解一元一次不等式组的方法,可以解答本题.【解答】解:2>−4①+3≤5②,解不等式①,得x>﹣2,解不等式②,得x≤2,把不等式①和②的解集在数轴上表示出来:故原不等式组的解集为﹣2<x≤2.故答案为:x>﹣2,x≤2,﹣2<x≤2.【点评】本题考查了解一元一次不等式组、在数轴上表示不等式组的解集,掌握解一元一次不等式组的方法是关键.2.(2023•河西区模拟)解不等式组+5≥4,①4≥7−6.②请结合题意填空,完成本题的解答.(Ⅰ)解不等式①,得;(Ⅱ)解不等式②,得;(Ⅲ)把不等式①和②的解集在数轴上表示出来:(Ⅳ)原不等式组的解集为.【分析】分别求出每一个不等式的解集,根据口诀:同大取大、同小取小、大小小大中间找、大大小小找不到确定不等式组的解集.【解答】解:+5≥4①4≥7−6②,解不等式①,得x≥﹣1,解不等式②,得x≤2,把不等式①和②的解集在数轴上表示出来:∴原不等式组的解集:﹣1≤x≤2.故答案为:x≥﹣1;x≤2;﹣1≤x≤2.【点评】本题考查的是解一元一次不等式组,正确求出每一个不等式解集是基础,熟知“同大取大;同小取小;大小小大中间找;大大小小找不到”的原则是解答此题的关键.3.(2023<7①2≥+1②请按下列步骤完成解答.(1)解不等式①,得;(2)解不等式②,得;(3)把不等式①和②的解集在数轴上表示出来;(4)原不等式组的解集是.【分析】分别求出每一个不等式的解集,根据口诀:同大取大、同小取小、大小小大中间找、大大小小找不到确定不等式组的解集.【解答】解:(1)解不等式①,得x<4;(2)解不等式②,得x≥3;(3)把不等式①和②的解集在数轴上表示出来:(4)原不等式组的解集为3≤x<4,故答案为:x<4,x≥3,3≤x<4.【点评】本题考查的是解一元一次不等式组,正确求出每一个不等式解集是基础,熟知“同大取大;同小取小;大小小大中间找;大大小小找不到”的原则是解答此题的关键.4.(2023•南昌模拟)解不等式组3<92>−3+5,并将解集在数轴上表示出来.【分析】先解出每个不等式的解集,即可得到不等式组的解集,然后在数轴上表示出其解集即可.【解答】解:解不等式3x<9可得:x<3;解不等式2x>﹣3x+5可得:x>1;故原不等式组的解集是1<x<3.其解集在数轴上表示如下所示:.【点评】本题考查解一元一次不等式组,解答本题的关键是明确解一元一次不等式的方法.5.(2023+3>−K13≤1,并把它的解集在数轴上表示出来.【分析】分别求出每一个不等式的解集,根据口诀:同大取大、同小取小、大小小大中间找、大大小小找不到确定不等式组的解集.【解答】解:由2x+3>x得:x>﹣3,由2−K13≤1得:x≤4,则不等式组的解集为﹣3<x≤4,将解集表示在数轴上如下:【点评】本题考查的是解一元一次不等式组,正确求出每一个不等式解集是基础,熟知“同大取大;同小取小;大小小大中间找;大大小小找不到”的原则是解答此题的关键.6.(2023春•东台市月考)解不等式组并将其解集在数轴上表示:3−2<42(−1)≤3+1.【分析】分别求出不等式组中两不等式的解集,找出两解集的公共部分即可.【解答】解:3−2<4①2(−1)≤3+1②,由①得:x<2,由②得:x≥﹣3,则不等式组的解集为﹣3≤x<2..【点评】此题考查了解一元一次不等式组,以及在数轴上表示不等式的解集,熟练掌握不等式组的解法是解本题的关键.7.(20232>3(−1)≤7−,并把解集在数轴上表示出来.【分析】先求出每个不等式的解集,再求出不等式组的解集,最后在数轴上表示出来即可.2>3(−1)①≤7−t,解不等式①得:x>−12,解不等式②得:x≤5,∴不等式组的解集为:−12<x≤5,在数轴上表示不等式组的解集为:.【点评】本题考查了解一元一次不等式组,在数轴上表示不等式组的解集的应用,解此题的关键是能根据不等式的解集求出不等式组的解集.8.(2023•鼓楼区校级模拟)解不等式组,并把它的解集表示在数轴上:−1)≤3(1+p①−K12②.【分析】分别求出每一个不等式的解集,根据口诀:同大取大、同小取小、大小小大中间找、大大小小找不到确定不等式组的解集.【解答】解:解不等式①得:x≤5,解不等式②得:x>﹣1,则不等式组的解集为﹣1<x≤5,将不等式组的解集表示在数轴上如下:【点评】本题考查的是解一元一次不等式组,正确求出每一个不等式解集是基础,熟知“同大取大;同小取小;大小小大中间找;大大小小找不到”的原则是解答此题的关键.9.(2023<6K12,并把它的解集在数轴上表示出来.【分析】分别求出各不等式的解集,再求出其公共解集并在数轴上表示出来即可.<6①K12②,由①得,x<1,由②得,x>﹣1,故不等式组的解集为﹣1<x<1,在数轴上表示为:【点评】本题考查的是解一元一次不等式组及在数轴上表示不等式组的解集,熟知同大取大;同小取小;大小小大中间找;大大小小找不到的原则是解题的关键.10.(2023>3(−1).【分析】分别求出每一个不等式的解集,根据口诀:同大取大、同小取小、大小小大中间找、大大小小找不到确定不等式组的解集.【解答】解;解不等式5x+3>3(x﹣1),得:x>﹣3,解不等式8r29>,得x<2,则不等式组的解集为﹣3<x<2.【点评】本题考查的是解一元一次不等式组,正确求出每一个不等式解集是基础,熟知“同大取大;同小取小;大小小大中间找;大大小小找不到”的原则是解答此题的关键.11.(2023•蜀山区校级模拟)解不等式组:3−1≥+1+4<4−2.并在数轴上表示它的解集.【分析】分别求出每一个不等式的解集,根据口诀:同大取大、同小取小、大小小大中间找、大大小小找不到确定不等式组的解集.【解答】解:由3x﹣1≥x+1得:x≥1,由x+4<4x﹣2得:x>2,则不等式组的解集为x>2,将不等式组的解集表示在数轴上如下:【点评】本题考查的是解一元一次不等式组,正确求出每一个不等式解集是基础,熟知“同大取大;同小取小;大小小大中间找;大大小小找不到”的原则是解答此题的关键.12.(20234≥2−1,并将解集在数轴上表示出来.【分析】分别计算出方程组中两个不等式的解集,两个解集的公共部分就是不等式组的解集.4≥2−1①②解不等式①,得:x<﹣1;解不等式②,得:x≤3;在数轴上表示为:∴这个不等式组的解集为x<﹣1.【点评】此题考查一元一次不等式组的解集,在数轴上表示不等式的解集,解题关键在于掌握运算法则.13.(2023−3<4s14≤r12②,并把它的解集在数轴上表示出来.【分析】先求出不等式组的解集,然后根据数轴上不等式组的解集表示出来即可.−3<4①14≤r12②,解不等式①,得:x<3,解不等式②,得:x≥﹣2,∴该不等式组的解集为:﹣2≤x<3,把该不等式组的解集在数轴上表示为:【点评】本题考查了一元一次不等式组的解法以及数轴上表示不等式的解集,解题关键是熟练掌握确定不等式组解集的口诀:同大取大、同小取小、大小小大中间找、大大小小找不到.14.(2022−1<3(−1)K22≥13,并把解集在数轴上表示出来.【分析】首先解每一个不等式,求得每一个不等式的解集,即可求得该不等式组的解集,再在数轴上表示出来即可.【解答】解:由5x﹣1<3(x﹣1)得:5x﹣1<3x﹣3,解得x<﹣1,由23−K22≥13得:4x﹣3x+6≥2,解得x≥﹣4,故原不等式组的解集为﹣4≤x<﹣1,把解集在数轴上表示出来,如下图:【点评】此题主要考查了解一元一次不等式组,关键是正确掌握解集的规律:同大取大;同小取小;大小小大中间找;大大小小找不到.在数轴上表示解集时,“≥”,“≤”要用实心圆点表示;“<”,“>”要用空心圆点表示.15.(20231)<3−2①1≤r22②并将其解集在数轴上表示出来.【分析】先解出每个不等式的解集,即可得到不等式组的解集,然后在数轴上表示出其解集即可.1)<3−2①−1≤r22②,解不等式①,得:x<2,解不等式②,得:x≥﹣6,∴原不等式组的解集是﹣6≤x<2,其解集在数轴上表示如下:.【点评】本题考查解一元一次不等式组,解答本题的关键是明确解一元一次不等式的方法.1.(20233)≤−4在数轴上表示出它的解集,并求出它的整数解.【分析】分别求出不等式组中两不等式的解集,找出两解集的公共部分求出不等式组的解集,进而求出整数解即可.3)≤−4①t ,由①得:x ≤2,由②得:x >﹣2,∴不等式组的解集为﹣2<x ≤2,解集表示在数轴上,如图所示:则不等式组的整数解为﹣1,0,1,2.【点评】此题考查了解一元一次不等式组,以及在数轴上表示不等式的解集,熟练掌握不等式组的解法是解本题的关键.2.(2023•鼓楼区一模)解不等式组4(−1)>3−22−3≤5,并写出该不等式组的整数解.【分析】首先解每个不等式,两个不等式的解集的公共部分就是不等式组的解集,然后确定整数解即可.【解答】解:4(−1)>3−2①2−3≤5②,解①得x >2,解②得x ≤4.则不等式组的解集是:2<x ≤4.则整数解是:3,4.【点评】本题考查了一元一次不等式组的解法:解一元一次不等式组时,一般先求出其中各不等式的解集,再求出这些解集的公共部分,解集的规律:同大取大;同小取小;大小小大中间找;大大小小找不到.3.(2022秋•道县期末)解不等式组3−2<4①2(−1)≤3+1②,并求出它的非负整数解.【分析】【先分别解不等式,求出不等式组的解集,然后找出负整数解.【解答】解:解①得:x<2,解②得:x≥﹣3,∴不等式组的解集为﹣3≤x<2,∴不等式组的非负整数解为0,1.【点评】本题考查了解一元一次不等式组,解题关键是求不等式的公共解,要遵循以下原则:同大取较大,同小取较小,小大大小中间找,大大小小无解了.4.(2022≤3(+1)≥−1的最大整数解.【分析】先求出不等式组的解集,再求出最大整数解即可.【解答】解:由5x﹣1≤3(x+1),得:x≤2;由1+23≥−1,得:x≤4;∴不等式组的解集为:x≤2,∴不等式组的最大整数解为:2.【点评】本题考查求不等式组的整数解.正确的求出不等式组的解集,是解题的关键.5.(2022秋•湘潭县期末)求不等式组4−7<5(−1)2≤18−3+7的正整数解.【分析】先求出不等式组的解集,再求出正整数解即可.【解答】解:4−7<5(−1)①2≤18−3+7②,解不等式①得:x>﹣2,解不等式②得:x≤5,∴不等式组的解集为:﹣2<x≤5,其中正整数解是1,2,3,4,5.【点评】本题考查了解不等式组及不等式组的解集,熟练掌握不等式组的解法是解决问题的关键.6.(2023•长清区校级开学)解不等式组:2+>7−4<4+2,并求出所有整数解的和.【分析】分别求出每一个不等式的解集,根据口诀:同大取大、同小取小、大小小大中间找、大大小小找不到确定不等式组的解集.【解答】解:由2+x>7﹣4x,得:x>1,由x<4+2,得:x<4,则不等式组的解集为1<x<4,所有整数解的和为2+3=5.【点评】本题考查的是解一元一次不等式组,正确求出每一个不等式解集是基础,熟知“同大取大;同小取小;大小小大中间找;大大小小找不到”的原则是解答此题的关键.7.(2023−1)≥1−1,并写出它的所有非负整数解.【分析】分别求出两个不等式的解集,然后求出两个解集的公共部分,再写出范围内的非负整数解即可.−1)≥1①−1②,解不等式①得,x≤1,解不等式②得,x>﹣3,所以不等式组的解集是﹣3<x≤1,所以不等式组的非负整数解是0、1.故答案为:0、1.【点评】本题主要考查了一元一次不等式组解集的求法,其简便求法就是用口诀求解.求不等式组解集的口诀:同大取大,同小取小,大小小大中间找,大大小小找不到(无解).8.(2022秋•鄞州区期末)解不等式组:−4<2+3−2≤1,并求出所有满足条件的整数之和.【分析】分别求出每一个不等式的解集,根据口诀:同大取大、同小取小、大小小大中间找、大大小小找不到确定不等式组的解集.【解答】解:由x﹣4<2x,得x>﹣4,由x+3−2≤1,得:x≤﹣1,则不等式组的解集为﹣4<x≤﹣1,不等式组的整数解的和为﹣3﹣2﹣1=﹣6.【点评】本题考查的是解一元一次不等式组,正确求出每一个不等式解集是基础,熟知“同大取大;同小取小;大小小大中间找;大大小小找不到”的原则是解答此题的关键.9.(2023−2)>4≥3r26−1并写出该不等式组的最小整数解.【分析】分别求出每一个不等式的解集,根据口诀:同大取大、同小取小、大小小大中间找、大大小小找不到确定不等式组的解集.【解答】解:由x﹣3(x﹣2)>4,得:x<1,由2K13≥3r26−1,得:x≥﹣2,则不等式组的解集为﹣2≤x<1,∴该不等式组的最小整数解为﹣2.【点评】本题考查的是解一元一次不等式组,正确求出每一个不等式解集是基础,熟知“同大取大;同小取小;大小小大中间找;大大小小找不到”的原则是解答此题的关键.10.(2023−1)≥1−5r12<1,并写出它的整数解.【分析】分别求出不等式组中两不等式的解集,找出两解集的公共部分确定出不等式组的解集,进而求出整数解即可.−1)≥1①−5r12<1②,由①得:x≤1,由②得:x>﹣1,∴不等式组的解集为﹣1<x≤1,则不等式组的整数解为0,1.【点评】此题考查了一元一次不等式组的整数解,以及解一元一次不等式组,熟练掌握运算法则是解本题的关键.11.(2022+22r15,并直接写出这个不等式组的所有负整数解.【分析】先解出每个不等式的解集,即可得到不等式组的解集,然后即可写出这个不等式组的所有负整数解.+2①2r15②,解不等式①,得:x<1,解不等式②,得:x>﹣3,∴该不等式组的解集为﹣3<x<1,∴这个不等式组的所有负整数解是﹣2,﹣1.【点评】本题考查解一元一次不等式组、一元一次不等式组的整数解,解答本题的关键是明确解一元一次不等式的方法.12.(2022春•大兴区校级期中)解不等式组4(+1)≤7+10−5<K83,并求出这个不等式组的所有的正整数解.【分析】求出每个不等式的解集,根据找不等式组解集的规律找出即可.【解答】解:4(+1)≤7+10①−5<K83②,解不等式①得:x≥﹣2,解不等式②得:x<72,所以不等式组的解集为:−2≤<72,所以不等式组的所有正整数解为:1,2,3.【点评】本题考查了一元一次不等式组的整数解的应用,关键是能根据不等式的解集找出不等式组的解集.13.(2023−5r12≤1<3(+1),在数轴上表示它的解集,并写出它的最大整数解和最小整数解.【分析】先求出每个不等式的解集,再求出不等式组的解集即可.−5r12≤1①<3(+1)②,∵解不等式①得:x≥﹣1,解不等式②得:x<2,∴不等式组的解集为:﹣1≤x<2,在数轴上表示不等式组的解集为:,∴不等式组的最大整数解为:1,最小整数解为:﹣1.【点评】本题考查了解一元一次不等式组,在数轴上表示不等式组的解集的应用,解题的关键是掌握不等式组的解法.14.(2022•会东县校级模拟)解不等式组3(−1)<5+1(−1)≥2−4并求它的所有的非负整数解.【分析】首先解每个不等式,两个不等式的解集的公共部分就是不等式组的解集,然后确定非负整数解即可.【解答】解:3(−1)<5+1①(−1)≥2−4②,解①得x>﹣2,解②得x≤3.则不等式组的解集是:﹣2<x≤3.则非负整数解是:0,1、2、3.【点评】本题考查了一元一次不等式组的解法:解一元一次不等式组时,一般先求出其中各不等式的解集,再求出这些解集的公共部分,解集的规律:同大取大;同小取小;大小小大中间找;大大小小找不到.15.(2023•鼓楼区模拟)解关于x的不等式组:4(+1)≤7+102−3<K12,并求出它所有整数解的和.【分析】先求出两个不等式的解集,再求其公共解,然后写出范围内的整数求其和即可.【解答】解:4(+1)≤7+10①2−3<K12②,解不等式①得,x≥﹣2,解不等式②得,x<53,所以不等式组的解集为﹣2≤x<53,所以原不等式组的整数解是﹣2、﹣1、0、1,所以所有整数解的和为﹣2.【点评】本题主要考查了一元一次不等式组解集的求法,其简便求法就是用口诀求解.求不等式组解集的口诀:同大取大,同小取小,大小小大中间找,大大小小找不到(无解).。
解一元一次不等式专项练习(80 题、附答案)(1)3(x+2)﹣8≥1﹣2(x﹣1);(2)x ﹣≤2﹣.(3)2(x﹣1)+2<5﹣3(x+1)(4).(5)﹣<1;(6)3﹣(3y﹣1)≥(3+y)(7)x ﹣≥﹣1(8)﹣>﹣1 (9)﹣1≤.(10)﹣3x+2≤8.(11)﹣3x﹣4≥6x+2.(12)﹣8x﹣6≥4(2﹣x)+3.(13)(14)(15).(16)2(x﹣1)<﹣3(1﹣x)(17)≤﹣1 (18)10﹣3(x﹣2)≤2(x+1)(19)﹣2≤.(20)﹣3x>2(21)x >﹣x﹣2(22)3(x+1)<4(x﹣2)﹣3 (23)≤1.(24)≥;(25)﹣>﹣2.(26)5x﹣4>3x+2(27)4(2x﹣1)>3(4x+2)(28)≤(29)﹣2≥.(30)4(x﹣1)+3≥3x;(31)2x﹣3<;(32)≤1.(33)3[x﹣2(x﹣2)]>6+3 (34)(35)(36).(37)3(x+2)﹣8≥1﹣2(x﹣1);(38)>;(39)≤;(40)<.(41)3(2x﹣3)≥2(x﹣4)(42)≥0(43)7(1﹣2x)>10﹣5(4x﹣3)(44).(45)﹣<0;(46)1﹣≤﹣x.(47)5x﹣12≤2(4x﹣3);(48)≥x﹣2.(49)4x﹣2(3+x)<0 (50)﹣≥0.(51)3x﹣2<﹣4(x﹣5);(52)﹣1<<2.(53);(54).(55)5x+15>4x﹣13(56)≤.(57)7(4﹣x)﹣2(4﹣3x)<4x;(58)10﹣4(x﹣3)≥2(x﹣1);(59)3[x﹣2(x﹣2)]>x﹣3(x﹣3);(60)(2x﹣1)+x﹣1+(1﹣2x)≤0;(61)﹣y ﹣;(62).(63)x(x+1)>(x﹣2)2;(64).(65)3(y﹣3)<7y﹣4(66)﹣21<6﹣3x≤9.(67);(68);(69)0.5x+3(1﹣0.2x)≥0.4x﹣0.6;(70)x ﹣<1﹣;(71)2[x﹣(x﹣1)+2]<1﹣x;(72).(73)3x﹣7<5x﹣3;(74).(75)(76)(77)≤.(78)3x﹣9≤0;(79)2x﹣5<5x﹣2;(80)2(﹣3+x)>3(x+2);参考答案:(1)3(x+2)﹣8≥1﹣2(x﹣1),3x+6﹣8≥1﹣2x+2,3x+2x≥1+2﹣6+8,5x≥5,x≥1;(2)x ﹣≤2﹣,6x﹣3(x﹣1)≤12﹣2(x+2),6x﹣3x+3≤12﹣2x﹣4,3x+2x≤8﹣3,5x≤5,x≤1(3)2(x﹣1)+2<5﹣3(x+1)2x﹣2+2<5﹣3x﹣3,2x+3x<5﹣3+2﹣2,5x<2,x,(4),3(1+x)≤2(2x﹣1)+6,3+3x≤4x﹣2+6,3x﹣4x≤﹣2+6﹣3,﹣x≤1,x≥﹣1(5)去分母得,2x﹣3(x﹣1)<6,去括号得,2x﹣3x+3<6,移项、合并同类项得,﹣x<3,把x的系数化为1得,x>﹣3.(6)去分母得,24﹣2(3y﹣1)≥5(3+y),去括号得,24﹣6y+2≥15+5y,移项、合并同类项,﹣11y≥﹣11,把x的系数化为1得,y≤1(7)去分母得,6x﹣2(2x﹣1)≥3(2+x)﹣6去括号得,6x﹣4x+2>6+3x﹣6,移项得,6x﹣8x﹣3x>6﹣6﹣2,合并同类项得,﹣5x>﹣2,把x的系数化为1得,x <﹣,(8)去分母得,6(2x﹣1)﹣4(2x+5)>3(6x﹣1),去括号得,12x﹣6﹣8x﹣20>18x﹣3,移项得,12x﹣8x﹣18x>﹣3+6+20,合并同类项得,﹣14x>23,把x的系数化为1得,x <﹣,(9)分子与分母同时乘以10得,﹣1≤,去分母得,2(2x﹣1)﹣6≤3(5x+2),去括号得,4x﹣2﹣6≤15x+6,移项得,4x﹣15x≤6+2+6,合并同类项得,﹣11x≤14,把x的系数化为1得,x ≥﹣(10)移项合并得:﹣3x≤6,解得:x≥﹣2,(11)移项合并得:9x≤﹣6,解得:x ≤﹣,(12)去括号得:﹣8x﹣6≥8﹣4x+3,移项合并得:﹣4x≥17,解得:x ≤﹣(13)去分母得:4x﹣8>6x+2,移项合并得:﹣2x>10,解得:x<﹣5;(14)去分母得:2x﹣4x+1<3,移项合并得:﹣2x<2,解得:x>﹣1;(15)去分母得:12+3x﹣6≥8x+8,移项合并得:5x≥﹣2,解得:x ≤﹣(16)去括号得,2x﹣2≤﹣3+3x,移项得,2x﹣3x≤﹣3+2,合并同类项得,﹣x≤﹣1把x的系数化为1得,x≥1,(17)去分母得,3(2﹣3x)≤2x﹣1﹣6,去括号得,6﹣9x≤3x﹣7,移项得,﹣9x﹣3x≤﹣7﹣6,合并同类项得,﹣12x≤13,x的系数化为1得,x ≥﹣,(18)去括号得,10﹣3x+6≤2x+2,移项得,﹣3x﹣2x≤2﹣10﹣6,合并同类项得,﹣5x≤﹣24把x的系数化为1得,x ≥﹣,(19)去分母得,2(1﹣5x)﹣24≤3(3﹣x)去括号得,2﹣10x﹣24≤9﹣3x,移项得,﹣10x+3x≤9﹣2+24,合并同类项得,﹣7x≤31,x的系数化为1得,x ≥﹣(20)﹣3x>2,解得:x <﹣;(21)去分母得:x>﹣2x﹣6,解得:x>﹣2;(22)去括号得:3x+3<4x﹣8﹣3,解得:x>14;(23)去分母得:2(2x﹣1)﹣3(5x+1)≤6,去括号得: 4x﹣2﹣15x﹣3≤6,解得: x≥﹣1(24)去分母得,3(x+4)≥﹣2(2x+1),去括号得,3x+12≥﹣4x﹣2,移项、合并同类项得,7x≥﹣14,把x的系数化为1得,x ≥﹣.(25)去分母得,4(x﹣1)﹣3(2x+5)>﹣24,去括号得,4x﹣4﹣6x﹣15>﹣24,移项、合并同类项得,﹣2x>﹣5,把x的系数化为1得,x <(26)移项得,5x﹣3x>2+4,合并同类项得,2x>6,把x的系数化为1得,x>3.(27)去括号得,8x﹣4>12x+6,移项得,8x﹣12x>6+4,合并同类项得,﹣4x>10,把x的系数化为1得,x<﹣.(28)去分母得,3(4x﹣1)≤1﹣5x,去括号得,12x﹣3≤1﹣5x,移项得,12x+5x≤1+3,合并同类项得,17x≤4,把x的系数化为1得,x ≤.(29)去分母得,2(5x+1)﹣24≥3(x﹣5),去括号得,10x+2﹣24≥3x﹣15,移项得,10x﹣3x≥﹣15﹣2+24,合并同类项得,7x≥7,把x的系数化为1得,x≥1(30)去括号得,4x﹣4+3≥3x,移项得,4x﹣3x≤4﹣3,合并同类项得,x≤1,(31)去分母得,3(2x﹣3)<x+1,去括号得,6x﹣9<x+1,移项得,6x﹣x<1+9,合并同类项得,5x<10,x的系数化为1得,x<2,(32)去分母得,2(2x﹣1)﹣(9x+2)≤6,去括号得,4x﹣2﹣9x﹣2≤6,移项得,4x﹣9x≤6+2+2,合并同类项得,﹣5x≤10,x的系数化为1得,x≥﹣2(33)3[x﹣2(x﹣2)]>6+3x解:去小括号,3[x﹣3x+4]>6+3x合并,3[﹣x+4]>6+3x去中括号,﹣3x+12>6+3x移项,合并,﹣6x>﹣6化系数为1,x<1.(34)解:去分母,2(2x﹣5)≤3(3x+1)﹣8x去括号,4x﹣10≤9x+3﹣8x移项合并,3x≤13化系数为1,x ≤.(35)解:去分母,3(2﹣x)﹣3(x﹣5)>2(﹣4x+1)+8 去括号,6﹣9x﹣3x+15>﹣8x+2+8移项合并,﹣4x>﹣11化系数为1,x <.(36)解:利用分数基本性质化小数分母为整数去括号,4x﹣1﹣10x+7>2﹣4x移项合并,﹣2x>﹣4化系数为1,x<2(37)去括号,得:3x+6﹣8≥1﹣2x+2,移项、合并同类项,得:5x≥5,系数化成1得:x≥1;(38)去分母,得:3(x﹣3)﹣6>2(x﹣5),去括号,得:3x﹣9﹣6>2x﹣10,移项、合并同类项得:x>5;(39)去分母,得:6x﹣3(x﹣1)≤12﹣2(x+2),去括号,得:6x﹣3x+3≤12﹣2x﹣4,移项、合并同类项得:5x≤5系数化成1得:x≤1;(40)去分母,得:6x﹣3x<6+x+8﹣2(x+1),去括号,得:6x﹣3x<6+x+8﹣2x﹣2,移项得:6x﹣3x﹣x+2x<6﹣2+8合并同类项得:4x<12系数化成1得:x<3(41)去括号,得6x﹣9≥2x﹣8,移项,得6x﹣2x≥﹣8+9,合并同类项,得4x≥1,两边同除以4,得x ≥,(42)去分母,得4﹣8x≥0,移项得﹣8x≥﹣4,两边同除以﹣8,得x ≤,(43)去括号,得7﹣14x>10﹣20x+15,移项,得﹣14x+20x>10+15﹣7,合并同类项得6x>18,两边同除以6得x>3,(44)去分母,得2x+6<﹣6x﹣3(x+10),去括号,得2x+6<﹣6x﹣3x﹣30,移项,得2x+6x+3x<﹣30﹣6,合并同类项,得11x<﹣36,两边同除以11得x <﹣(45)去分母得:2(2x+1)﹣(5﹣2x)<0,去括号得:4x+2﹣5+2x<0,移项合并得:6x<3,解得:x <,表示在数轴上,如图所示:;(46)去分母得:6﹣2(x﹣1)≤3(2x+3)﹣6x,去括号得:6﹣2x+2≤6x+9﹣6x,移项合并得:﹣2x≤1,解得:x ≥﹣(47)去括号得,5x﹣12≤8x﹣6,移项得,5x﹣8x≤﹣6+12,合并同类项得,﹣3x≤6,x的系数化为1得,x≥﹣2;(48)去分母得,x﹣3≥2(x﹣2),去括号得,x﹣3≥2x﹣4,移项得,x﹣2x≥﹣4+3,合并同类项得,﹣x≥﹣1,x的系数化为1得,x≤1(49)去括号得4x﹣6﹣2x<0,移项、合并同类项得2x<6,系数化为1得x<3;这个不等式的解集在数轴上表示如图1:(50)去分母得3(2x﹣3)﹣4(x﹣2)≥0,去括号得6x﹣9﹣4x+8≥0,移项、合并同类项得2x≥1,系数化为1得x≥0.5(51)3x﹣2<﹣4(x﹣5);去括号得3x﹣2<﹣4x+20,移项得3x+4x<20+2合并同类项得7x<22未知项的系数化为1得x <,(52)﹣1<<2,去分母得﹣3<2﹣x<6,移项得﹣3﹣2<﹣x<6﹣2,合并同类项得﹣5<﹣x<4未知项的系数化为1得﹣4<x<5(53)去分母得,2(x﹣1)﹣3(x+4)>﹣12,去括号得,2x﹣2﹣3x﹣12>﹣12,移项、合并同类项得﹣x<2,化系数为1得x<﹣2.(54)去分母得,(x﹣2)﹣3(x﹣1)<3,去括号得,x﹣2﹣3x+3<3,移项、合并同类项得﹣2x<2,化系数为1得x>﹣120.解:(55)移项,得:5x﹣4x>﹣13﹣15,合并同类项,得:x>﹣28;(56)去分母,得:2(2x﹣1)≤3x﹣4,去括号,得:4x﹣2≤3x﹣4,移项,得:4x﹣3x≤﹣4+2,合并同类项,得:x≤﹣2(57)去括号得,28﹣7x﹣8+6x<4x,移项得,﹣7x+6x﹣4x<8﹣28,合并同类项得,﹣5x<﹣20,系数化为1得,x>4.(58)去括号得,10﹣4x+12≥2x﹣2,移项得,﹣4x﹣2x≥﹣2﹣10﹣12,合并同类项得,﹣6x≥﹣24,系数化为1得,x≤4.(59)去括号得,3x﹣6x+12>x﹣3x+9,移项得,x﹣6x﹣x+4x>9﹣12,合并同类项得,﹣3x>﹣3,系数化为1得,x<1.(60)去分母得,(2x﹣1)+3x﹣3+(1﹣2x)≤0,去括号得,2x﹣1+3x﹣3+1﹣2x≤0,移项得,2x+3x﹣2x≤3+1﹣1,合并同类项得,3x≤3,系数化为1得,x>1.(61)去分母得,﹣10y﹣5(y﹣1)≥20﹣2(y+2),去括号得,﹣10y﹣5y+5≥20﹣2y﹣4,移项得,﹣10y﹣5y+2y≥20﹣4﹣5,合并同类项得,﹣13y≥11,系数化为1得,y ≤﹣.(62)去分母得,2(3x+2)﹣(7x﹣3)>16,去括号得,6x+4﹣7x+3>16,移项得,6x﹣7x>16﹣4﹣3,合并同类项得,﹣x>9,系数化为1得,x<﹣9(63)由原不等式,得x2+x>x2﹣4x+4,移项、合并同类项,得5x>4,不等式两边同时除以5,得x >,即原不等式的解集是x >;(64)由原不等式,得﹣17x+1<12﹣10x,移项、合并同类项,得﹣7x<11,不等式两边同时除以﹣7(不等号的方向发生改变),得x >﹣,即原不等式的解集是x >﹣(65)去括号,得:3y﹣9<7y﹣4,移项,得:3y﹣7y<9﹣4,即﹣4y<5,;(66)﹣21<6﹣3x≤9两边同时减去6再除以﹣3,不等号的方向改变,得:﹣1≤x<9(67)去分母得,2(1﹣2x)≥4﹣3x,去括号得,2﹣4x≥4﹣3x,移项得,﹣4x+3x≥4﹣2,合并同类项得,﹣x≥2,化系数为1得,x≤﹣2;(68)去分母得,2(x+4)﹣3(3x﹣1)<6,去括号得,2x+8﹣9x+3<6,移项得,2x﹣9x<6﹣8﹣3,合并同类项得,﹣7x<﹣5,化系数为1得,x >;(69)去括号得,0.5x+3﹣0.6x≥0.4x﹣0.6,移项得,0.5x﹣0.6x﹣0.4x≥﹣0.6﹣3,合并同类项得,﹣0.5x≥﹣3.6,化系数为1得,x≤7.2.(70)去分母得,6x﹣3x﹣(x+8)<6﹣2(x+1),去括号得,6x﹣3x﹣x﹣8<6﹣2x﹣2,移项得,6x﹣3x﹣x+2x<6﹣2+8,合并同类项得,4x<12,化系数为1得,x<3;(71)去括号得,2x﹣2x+2+4<1﹣x,移项得,2x﹣2x+x<1﹣2﹣4,合并同类项得,x<﹣5;(72)去分母得,2(2x﹣1)﹣3(5x+1)≤6,去括号得,4x﹣2﹣15x﹣3≤6,移项得,4x﹣15x≤6+2+3,合并同类项得,﹣11x≤11,化系数为1得,x≥﹣1(73)移项合并得:﹣2x<4,解得:x>﹣2;(74)去分母得:3(x+5)﹣2(2x+3)≥12,去括号得:3x+15﹣4x﹣6≥12,移项合并得:﹣x≥3,解得:x≤﹣3(75)原不等式的两边同时乘以6,得2x+6>21﹣3x,移项,合并同类项,得5x>15,不等式的两边同时除以5,得x>3,∴原不等式的解集是x>3.(76)原不等式的两边同时乘以6,得8x+2≤14﹣x,移项,合并同类项,得9x≤16,不等式的两边同时除以9,得x≤;所以,原不等式的解集是x≤;(77)原不等式的两边同时乘以6,得8﹣2x≤9,移项,合并同类项,得﹣2x≤1,不等式的两边同时除以﹣2,得x≥﹣,所以,原不等式的解集是x≥﹣(78)移项得,3x≤9,x的系数化为1得,x≤3.(79)移项得,2x﹣5x<﹣2+5,合并同类项得,﹣3x<3,把x的系数化为1得,x>﹣1.。
一元一次不等式组100道计算题(总13页)-CAL-FENGHAI.-(YICAI)-Company One1-CAL-本页仅作为文档封面,使用请直接删除一元一次不等式组计算题1. ⎩⎨⎧-≤+>+145321x x xx 2. 31422x x x ->⎧⎨<+⎩3. 512324x x x x ->+⎧⎨+<⎩4. 21241x x x x >-⎧⎨+<-⎩5. 230320x x -<⎧⎨+>⎩ 6. 23182x x x >-⎧⎨-≤-⎩7. 253(2)123x x x x +≤+⎧⎪-⎨<⎪⎩ 8. ⎪⎩⎪⎨⎧+≥--<+-13215423x x x x x )(9. ⎪⎩⎪⎨⎧-≤-+>+312214513x x x x )( 10. ⎪⎩⎪⎨⎧>+-≥+x x x x 4121213)()(11. ⎪⎩⎪⎨⎧+<-<->+412052013x x x x 12. ⎪⎩⎪⎨⎧+<++≤--->+3.22.05.02832)1(42x x x x x x13. ⎩⎨⎧-≤+>+145321x x xx 14. 314,2 2.x x x ->⎧⎨<+⎩15. 230320x x -<⎧⎨+>⎩ 16. 512,324.x x x x ->+⎧⎨+<⎩17. 21,24 1.x x x x >-⎧⎨+<-⎩18. 251,3311.48x x x x ⎧+>-⎪⎪⎨⎪-<-⎪⎩19. 3(2)451312x xx x x -+<⎧⎪⎨--≥+⎪⎩ 20. 312(1)2(1)4x x x x +≥-⎧⎨+>⎩21. ⎪⎩⎪⎨⎧-≥-->+356634)1(513x x x x 22. ⎪⎩⎪⎨⎧-≤-+>+3122145)1(3x x x x23. ⎪⎪⎩⎪⎪⎨⎧-<-+<-.3212112)2(31x x x x 24.253(2)123x x x x +≤+⎧⎪-⎨<⎪⎩25. ()324,12 1.3x x x x --≥⎧⎪⎨+>-⎪⎩ 26. ⎩⎨⎧≤+-<+51148x x x27. 0≤523x-≤1 28. -1<213-x ≤429. ⎩⎨⎧>-<-21312x x 30. ⎩⎨⎧>-≤-01202x x31. ⎩⎨⎧+<->-22413x x x 32. ⎪⎩⎪⎨⎧>-≤--x x x x 22158)2(333. ⎪⎩⎪⎨⎧+-<>+23201x x x 34. ⎪⎩⎪⎨⎧->+≥--13214)2(3x x x x35. ⎩⎨⎧<+≤+53201x x 36. ⎩⎨⎧>-<-212823x x37. ⎪⎩⎪⎨⎧<---≥5.0)1(431427-5x x x 38. 512+≤-<x x x39. ⎪⎩⎪⎨⎧-≤+--+<-142.045.03)9(2)1(3x x x x 40. ⎪⎩⎪⎨⎧->+≤--122314)12(23x x x x41. ⎩⎨⎧>+<-023032x x 42. ⎩⎨⎧>-<+965732x x43. ⎩⎨⎧-<+<6372x x x x 44. 535112<-<-x45. ⎪⎩⎪⎨⎧≤-->3231335x x x 46. ⎩⎨⎧->+->+148)1(223x x x x47. 5124≤-<-x 48. ⎪⎩⎪⎨⎧+>+-<-2312572x x x x49. ⎪⎩⎪⎨⎧+≤-<--<+732516932x x x x x 50. ⎪⎩⎪⎨⎧-+>-+≤+-)3)(3()1(2211x x x x x x51. ⎪⎩⎪⎨⎧-≤--<-++)54(31)7(4102721x x x x x 52. 35741≤-≤-x53. ⎪⎩⎪⎨⎧>-<->+050903x x x 54. ⎪⎩⎪⎨⎧+>-<+523)1(212x x x x55. ⎪⎩⎪⎨⎧-<--≥+-x x xx 8)1(31323 56. ⎪⎪⎩⎪⎪⎨⎧+≤-<--+<+32112)1(3223x x x x x x57. ⎩⎨⎧>-<+423532x x 58. 25431≤+<-x59. ⎪⎩⎪⎨⎧+>-≥--23214)2(231x x x x 60. ⎪⎩⎪⎨⎧>++-<-xx x x 1321)2(3461. ⎩⎨⎧->-+≤)1(6255.12x x x x 62. ⎪⎩⎪⎨⎧->--+>+132533227)1(2x x x x x63. ⎪⎩⎪⎨⎧->-+<-x x x x 215123)12(334 64. ⎩⎨⎧+<+--≥+)1(21)1(323x x x x65. ⎩⎨⎧<+>-x x x 5)2(301 66. ⎩⎨⎧+≤>+23412x x xx67. ⎪⎩⎪⎨⎧-≥+>+)1(6)5(2031x x x 68. ⎩⎨⎧≤-<-12523x x69. ⎩⎨⎧-≤++≥-148112x x x x 70. ⎪⎩⎪⎨⎧-≤-<+x x x x 3571315)1(371. ⎪⎩⎪⎨⎧<-≤+421121x x 72. ⎪⎩⎪⎨⎧-->+≤-121222x x x x73. ⎩⎨⎧<->+423532x x 74. ⎩⎨⎧≥--<+13112x x75. ⎩⎨⎧-<+>-12434x x xx 76. ⎩⎨⎧>-≥-02401x x77. ⎩⎨⎧-≤-<+x x x x 316148 78. ⎪⎩⎪⎨⎧≥+-<-x xx 121351279. ⎩⎨⎧->+<2)1(22x x 80. ⎩⎨⎧<>-311x x81. ⎪⎩⎪⎨⎧<-+<+x x x x 321)2(452 82. ⎪⎩⎪⎨⎧+≤-+<+23531)2(213x x x x83. ⎪⎩⎪⎨⎧≥+<-131202x x 84. ⎪⎩⎪⎨⎧≥+-<-x x x 121351285. ⎪⎩⎪⎨⎧<+-≥14313x x 86. ⎩⎨⎧-≤-->+2334)1(223x x x x87. ⎪⎩⎪⎨⎧>-+<+02)8(21042x x 88. ⎩⎨⎧->++<-148112x x x x89. ⎪⎩⎪⎨⎧-<-≥--312123)2(43x x x x 90. ⎪⎩⎪⎨⎧+>-≥--23214)2(231x x x x91. ⎪⎩⎪⎨⎧>++-<-x x x x 1321)2(34 92. ⎩⎨⎧->-+≤)1(6255.12x x x x93. ⎪⎩⎪⎨⎧->--+>+132533227)1(2x x x x x 94. ⎪⎩⎪⎨⎧->-+<-x x x x 215123)12(33495. 33120<+<x 96. ⎪⎩⎪⎨⎧+-<--≥-132218232x x x x97. ⎩⎨⎧≤->+0630164x x 98. ⎪⎩⎪⎨⎧-≤-+->-31321435x x x x99. ⎪⎩⎪⎨⎧≤->-74133413x x 100. ⎩⎨⎧+>-->+)2(532)7(3)1(2x x x x。
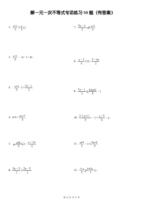
解一元一次不等式专项练习50题(有答案)1.,2.﹣(x﹣1)≤1,3.﹣1>.4.x+2<,5..6.,7.≥,8.9.10.>,11.,12..第1 页共7 页14. 3x ﹣,15.3(x﹣1)+2≥2(x﹣3).16.,17.10﹣4(x﹣4)≤2(x﹣1),18.﹣1<.19..21.,22.,23.≥.24.>1.25..26.,28.;29..30.≤31.,32.(x+1)≤2﹣x33.2(5x+3)≤x﹣3(1﹣2x)35.;36..37..38.4x+3≥3x+5.39.2(x+2)≥4(x﹣1)+7.40.>x﹣141.2(3﹣x)<x﹣3.42.3(x+2)≤5(x﹣1)+7,43.1﹣≥44.2(x+3)﹣4x>3﹣x.45.2(1﹣2x)+5≤3(2﹣x)46.,47..48.2﹣>3+.49.4(x+3)﹣<2(2﹣x)﹣(x ﹣)50..解不等式50题参考答案:1.解:去分母得:3(x+1)>2x+6,去括号得:3x+3>2x+6,移项、合并同类项得:x>3,∴不等式的解集为x>32.解:去分母得:x+1﹣2(x﹣1)≤2,∴x+1﹣2x+2≤2,移项、合并同类项得:﹣x≤﹣1,不等式的两边都除以﹣1得:x≥13.解:去分母得2(x+4)﹣6>3(3x﹣1),去括号得2x+8﹣6>9x﹣3,移项得2x﹣9x>﹣3﹣8+6,合并同类项得﹣7x>﹣5,化系数为1得x <4.解;x+2<,去分母得:3x+6<4x+7,移项、合并同类项得:﹣x<1,不等式的两边都除以﹣1得:x>﹣1,∴不等式的解集是x>﹣15.解:去分母,得6x+2(x+1)≤6﹣(x﹣14)去括号,得6x+2x+2≤6﹣x+14…(3分)移项,合并同类项,得9x≤18 …(5分)两边都除以9,得x≤26.解:去分母得:2(2x﹣3)>3(3x﹣2)去括号得:4x﹣6>9x﹣6移项合并同类项得:﹣5x>0∴x<07.解:去分母得,3(3x﹣4)+30≥2(x+2),去括号得,9x﹣12+30≥2x+4,移项,合并同类项得,7x≥﹣14,系数化为1得,x>﹣28.解:x﹣3<24﹣2(3﹣4x),x﹣3<24﹣6+8x,x﹣8x<24﹣6+3,﹣7x<21,x>﹣39.解:化简原不等式可得:6(3x﹣1)≤(10x+5)﹣6,即8x≥﹣16,可求得x≥﹣210.解:去分母,得3(x+1)﹣8>4(x﹣5)﹣8x,去括号,得3x+3﹣8>4x﹣20﹣8x,移项、合并同类项,得7x>﹣15,系数化为1,得x >﹣11.解:去分母,得x+5﹣2<3x+2,移项,得x﹣3x<2+2﹣5,合并同类项,得﹣2x<﹣1,化系数为1,得x >12.解:去分母,得3(x+1)≥2(2x+1)+6,去括号,得3x+3≥4x+2+6,移项、合并同类项,得﹣x≥5,系数化为1,得x≤﹣513.解:去分母,得2(2x﹣1)﹣24>﹣3(x+4),去括号,得4x﹣2﹣24>﹣3x﹣12,移项、合并同类项,得7x>14,两边都除以7,得x>214.解:去分母得,6x﹣1<2x+7,移项得,6x﹣2x<7+1,合并同类项得,4x<8,化系数为1得,x<215.解:3(x﹣1)+2≥2(x﹣3),去括号得:3x﹣3+2≥2x﹣6,移项得:3x﹣2x≥﹣6+3﹣2,解得:x≥﹣516.解:去分母得:2(x﹣1)﹣3(x+4)>﹣12,去括号得:2x﹣2﹣3x﹣12>﹣12,移项得:2x﹣3x>﹣12+2+12,合并得:﹣x>2,解得:x<﹣217.解:去括号得:10﹣4x+16≤2x﹣2,移项合并得:﹣6x≤﹣28,解得:x ≥18.解:去分母得,3(x+5)﹣6<2(3x+2),去括号得,3x+15﹣6<6x+4,移项、合并同类项得,5<3x,把x的系数化为1得x >.19.解:∵∴3(x+5)﹣6<2(3x+2)∴3x+15﹣6<6x+4∴3x﹣6x<4﹣15+6∴﹣3x<﹣5∴x20.解:去分母得30﹣2(2﹣3x)≤5(1+x),去括号得30﹣4+6x≤5+5x,移项得6x﹣5x≤5+4﹣30,合并得x≤﹣2121.解:去分母得,2(2x﹣1)﹣6x<3x+3,去括号得,4x﹣2﹣6x<3x+3,移项得,4x﹣6x﹣3x<3+2,合并同类项得,﹣5x<5,系数化为1得,x>﹣1.故此不等式的解集为:x>﹣122.解:去分母得,2(2x﹣5)>3(3x+4)+18,去括号得,4x﹣10>9x+12+18,移项得,4x﹣9x>12+18+10,合并同类项得,﹣5x>40,系数化为1得,x<﹣823.解:≥1﹣,去分母得:2(2x﹣1)≥6﹣3(5﹣x),去括号得:4x﹣2≥6﹣15+3x,移项合并得:x≥﹣724.解:原不等式可变为:2(x+4)﹣3(3x﹣1)>6,2x+8﹣9x+3>6,﹣7x>﹣5,x <25.解:原不等式可化为,6(2x﹣1)≥10x+1,去分母得,12x﹣6≥10x+1,合并同类项得,2x≥7,把系数化为1得,x ≥26.解:去分母得,2(2x﹣1)﹣6≤3(5x﹣1),去括号得,4x﹣2﹣6≤15x﹣3,移项得,4x﹣15x≤﹣3+2+6,合并同类项得,﹣11x≤5,化系数为1得,x≥﹣27.解:去分母,得32﹣2(3x﹣1)≥5(x+3)+8;去括号,得32﹣6x+2≥5x+15+8;移项,得﹣6x﹣5x≥15+8﹣32﹣2;合并同类项,得﹣11x≥﹣11;系数化为1,得x≤128.解:(1)在不等式的左右两边同乘以2得,(3﹣x)﹣6≥0,解得:x≤﹣3,29. (2)在不等式的左右两边同乘以12得,6(2x﹣1)﹣4(2x+5)<3(6x﹣7),解得:x30.解:不等式两边都乘以8得,32﹣2(3x﹣1)≤5(x+3)+8,去括号得,32﹣6x+2≤5x+15+8,移项得,11≤6x+5x,∴x≥131.解:∵,∴12x﹣6﹣8x﹣20<18x﹣21﹣12,∴14x>7,∴32.解:不等式两边同时乘以2,得:x+1≤4﹣2x,移项,得:x+2x≤4﹣1,合并同类项,得:3x≤3,解得:x≤133.解:去括号得,10x+6≤x﹣3+6x,移项合并同类项得,3x≤﹣9,解得x≤﹣334.解:去分母,得3(x+2)≤4﹣x+6(2分)去括号,得3x+6≤4﹣x+6移项,得3x+x≤4+6﹣6(4分)合并同类项,得4x≤4两边同除以4,得x≤135.解:(1)去分母,得5(x﹣1)>2(3x+1),去括号,得5x﹣5>6x+2,移项,得5x﹣6x>2+5,合并同类项,得﹣x>7,系数化为1,得x<﹣7.36. 去分母,得5(3x+1)﹣3(7x﹣3)≤30+2(x﹣2),去括号,得15x+5﹣21x+9≤30+2x﹣4,移项,得15x﹣21x﹣2x≤30﹣4﹣5﹣9,合并同类项,得﹣8x≤12,系数化为1,得x≥﹣1.537.解:原不等式的两边同时乘以4,并整理得x﹣7<3x﹣2,移项,得﹣2x<5,不等式的两边同时除以﹣2(不等式的符号的方向发生改变),得x >,故原不等式的解集是x >38.4x+3≥3x+5.解:移项、合并得x≥2.39.解:2(x+2)≥4(x﹣1)+7,2x+4≥4x﹣4+7,2x﹣4x≥﹣4+7﹣4,﹣2x≥﹣1,40.解:去分母得1+2x>3x﹣3,移项得2x﹣3x>﹣3﹣1,合并同类项得﹣x>﹣4,解得x<441.解:去括号,得6﹣2x<x﹣3,移项、合并同类项,得﹣3x<﹣9,化系数为1,得x>342.解:去括号得,3x+6≤5x﹣5+7,移项得,3x﹣5x≤2﹣6,合并同类项得,﹣2x≤﹣4系数化为1,得x≥243.解:去分母,原不等式的两边同时乘以6,得6﹣3x+1≥2x+2,移项、合并同类项,得5x≤5,不等式的两边同时除以5,得x≤144.解:去括号,得:2x+6﹣4x>3﹣x,移项,得:2x﹣4x+x>﹣6,合并同类项,得:﹣x>﹣6,则x<645.解:去括号,得:2﹣4x+5≤6﹣3x,移项,得:﹣4x+3x≤6﹣2﹣5,合并同类项,得﹣x≤1,解得x≥﹣146.解;去分母得:x+1﹣6≤6x移项得:x﹣6x≤6﹣1合并同类项得:﹣5x≤5系数化1得:x≥﹣147.解:去分母得:7x+4﹣12>12(x+1),去括号得:7x+4﹣12>12x+12,移项得:7x﹣12x>12+12﹣4,合并同类项得:﹣5x>20,系数化为1得:x<﹣448.解:去分母得:16﹣(3x﹣2)>24+2(x﹣1)16﹣3x+2>24+2x﹣2﹣3x﹣2x>24﹣2﹣16﹣2﹣5x>4x <﹣49.解;去括号得,4x+12﹣<4﹣2x﹣x+,移项合并同类项得,7x<﹣1,把x的系数化为1得,x <﹣,50.解:不等式的两边同时乘以12,得3(x+1)﹣2(2x﹣3)≤12,即﹣x+9≤12,不等式的两边同时减去9,得﹣x≤3,不等式的两边同时除以﹣1,得x≥﹣3,∴原不等式的解集是x≥﹣3。
一元一次不等式组练习题1、解以下不等式组,并把解集在数轴上表示出来2x-1≥0〔2〕4<1-3x<133x +1>03x -2<02、a=x3,b=x2,且a>2>b,那么求x的取值范围。
33、方程组2x+y=5m+6的解为负数,求m的取值范围。
X-2y=-174、假设不等式组x<a无解,求a的取值范围。
3x1>125、当x取哪些整数时,不等式2〔x+2〕<x+5与不等式3(x-2)+9>2x同时成立?7、某工厂现有A种原料290千克,B种原料220千克,方案利用这两种原料生产甲、乙两种产品共40件,生产甲种产品需要A种原料8千克,B种原料4千克,生产乙种产品需要A种原料5千克,B 种原料9千克。
问有几种符合题意的生产方案?8、有长度为3cm,7cm,xcm的三条线段,问,当x为多长时,这三条线段可以围成一个三角形?9、把一批铅笔分给几个小朋友,每人分5支还余2支;每人分6支,那么最后一个小朋友分得的铅笔小于2支,求小朋友人数和铅笔支数。
一元一次不等式组练习题之一1x2x24一、填空:1、不等式组3的解集为12xx232、假设m<n,那么不等式组x m1的解集是x n2x a3.假设不等式组2x11无解,那么a的取值范围是.34.方程组2x ky4有正数解,那么k的取值范围是.x2y05.假设关于x的不等式组x6x1的解集为x4,那么m的取值范围是.54x m06.不等式x7x23的解集为.二、选择题:7、假设关于x的不等式组1x2有解,那么m的范围是〔〕x mA.m2B.m2C.m1D.1m2x 28、不等式组 x.0 的解集是( )C.0x1D.2x1x1x y 3 )9、如果关于x 、y 的方程组2y 的解是负数,那么a 的取值范围是(x a2A.-4<a<5B.a>5C.a<-4D.无解三、解答题10、解以下不等式组,并在数轴上表示解集。
x43x2x 22x17x 23x 4x332x123⑴12x⑶⑷31⑵1x5x26x1x51x15x33x22211、方程组2x y 5m6的解为负数,求m 的取值范围.x 2y1712、代数式2x1的值小于3且大于0,求x 的取值范围.313、求同时满足 23x2x8和1x2x 1的整数解2314、某校今年冬季烧煤取暖时间为 4个月.如果每月比方案多烧 5吨煤,那么取暖用煤总量将超过100吨;如果每月比方案少烧 5吨煤,那么取暖用煤总量缺乏 68吨.该校方案每月烧煤多少吨?15、某班学生完成一项工作,原方案每人做 4只,但由于其中 10人另有任务未能参加这项工作,其余 学生每人做6只,结果仍没能完成此工作,假设以该班人数为未知数列方程,求此不等式解集。