江南大学高等数学(专升本)第1阶段测试题一
- 格式:doc
- 大小:183.00 KB
- 文档页数:3
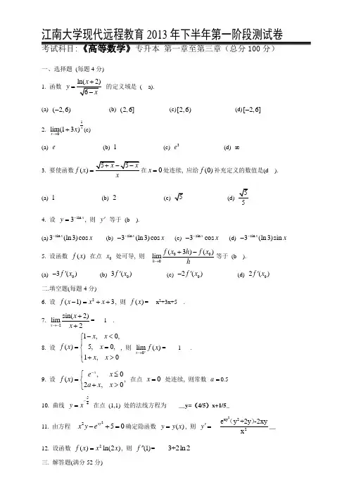
江南大学现代远程教育2013年下半年第一阶段测试卷考试科目:《高等数学》专升本 第一章至第三章(总分100分)一、选择题 (每题4分) 1. 函数 ln(2)6x y x+=- 的定义域是 ( a). (a) (2,6)- (b) (2,6] (c)[2,6) (d)[2,6]- 2. 10lim(13)xx x →+(c)(a) e (b) 1 (c) 3e (d) ∞ 3. 要使函数55()x xf x x+--=在0x =处连续, 应给(0)f 补充定义的数值是(d ).(a) 1 (b) 2 (c) 5 (d)554. 设 sin 3xy -=, 则 y ' 等于 (b ).(a)sin 3(ln 3)cos xx - (b) sin 3(ln 3)cos x x -- (c) sin 3cos x x -- (d) sin 3(ln 3)sin x x --5. 设函数 ()f x 在点 0x 处可导, 则 000(3)()limh f x h f x h→+-等于 (b ).(a) 03()f x '- (b) 03()f x ' (c) 02()f x '- (d) 02()f x ' 二.填空题(每题4分)6. 设 2(1)3f x x x -=++, 则 ()f x =__ x 2+3x+5__. 7. 2sin(2)lim2x x x →-++=___1__.8. 设 1,0,()5,0,1,0x x f x x x x -<⎧⎪==⎨⎪+>⎩, 则 0lim ()x f x +→=____1___.9. 设 ,0(),2,0x e x f x a x x -⎧≤=⎨+>⎩在点 0x = 处连续, 则常数 a =0.5______ 10. 曲线 54y x-= 在点 (1,1) 处的法线方程为______y=(4/5)x+1/5__11. 由方程 2250xyx y e-+=确定隐函数 ()y y x =, 则 y '=__2xy 22e y +2y -2xyx ()__ 12. 设函数 2()ln(2)f x x x =, 则 (1)f ''=___ 3+2ln 2_ 三. 解答题(满分52分)13. 求 45lim()46xx x x →∞--. 解答:463142411lim (1+).lim (1+)4x-64x-6x x x e -→∞→∞= 14. 求 0211limsin 3x x x→+-.解答:1201(21)12lim 3cos 6x x x -→+== 15. 确定A 的值, 使函数 62cos ,0(),tan ,0sin 2x e x x f x Ax x x-⎧-≤⎪=⎨>⎪⎩ 在点 0x = 处连续。
江南大学现代远程教育 第一阶段测试卷 考试科目:《高等数学》专升本 第一章至第三章(总分100分) 时间:90分钟__________学习中心(教学点) 批次: 层次: 专业: 学号: 身份证号: 姓名: 得分:一、选择题 (每题4分,共20分)1. 函数y = 的定义域是 ( A ). (a) (2,6)- (b) (2,6] (c)[2,6) (d)[2,6]- 2. 10lim(13)xx x →+ ( C) (a) e (b) 1 (c) 3e (d) ∞ 3.要使函数()f x x=在0x =处连续, 应给(0)f 补充定义的数值是( D ). (a) 1 (b)2(c)(d) 5 4. 设 sin 3x y -=, 则 y ' 等于 ( B ). (a)sin 3(ln 3)cos x x - (b) sin 3(ln 3)cos x x -- (c) sin 3cos x x -- (d) sin 3(ln 3)sin x x --5. 设函数 ()f x 在点 0x 处可导, 则 000(3)()lim h f x h f x h→+-等于 ( B ). (a) 03()f x '- (b) 03()f x ' (c) 02()f x '- (d) 02()f x '二.填空题(每题4分,共28分)6. 设 2(1)3f x x x -=++, 则 ()f x =__ x 2+3x+5 __.7. 2sin(2)lim 2x x x →-++=__1__. 8. 设 1,0,()5,0,1,0x x f x x x x -<⎧⎪==⎨⎪+>⎩, 则 0lim ()x f x +→=___1__.9. 设 ,0(),2,0x e x f x a x x -⎧≤=⎨+>⎩ 在点 0x = 处连续, 则常数 a =__0.5__ 10. 曲线 54y x -= 在点 (1,1) 处的法线方程为___y=(4/5)x+1/5__ 11. 由方程 2250xyx y e -+=确定隐函数 ()y y x =, 则 y '=__2xy 22e y +2y -2xy x ()___ 12. 设函数 2()ln(2)f x x x =, 则 (1)f ''=__3+2ln 2___三. 解答题(满分52分)13. 求 45lim()46x x x x →∞--. 答:14. 求01lim sin 3x x→. 答:15. 确定A 的值, 使函数 62cos ,0(),tan ,0sin 2x e x x f x Ax x x -⎧-≤⎪=⎨>⎪⎩在点 0x = 处连续。
专升本高等数学一(常微分方程)模拟试卷1(题后含答案及解析) 题型有:1. 选择题 2. 填空题 3. 解答题选择题1.微分方程(y’)2=x的阶数为( )A.1B.2C.3D.4正确答案:A解析:微分方程中出现的未知函数的最高阶导数的阶数,称为该微分方程的阶,故此微分方程的阶数为1.知识模块:常微分方程2.微分方程y2dx一(1一x)dy=0是( )A.一阶线性齐次方程B.一阶线性非齐次方程C.可分离变量方程D.二阶线性齐次方程正确答案:C解析:将该微分方程整理可得dx,所以该微分方程是可分离变量方程.知识模块:常微分方程3.已知函数y=+x+C是微分方程y’’=x一1的解,则下列正确的是( )A.y是该微分方程的通解B.y是微分方程满足条件y|x=0=1的特解C.y是微分方程的特解D.以上都不是正确答案:D解析:方程为二阶微分方程,则通解中应含有两个任意常数,因此y=x3一x2+x+C显然不是方程的通解,又y’=一x+1,y’’=x-1,故可知y=x2+x+C为y’’=x-1的解,因含有未知数,故不是特解,因此选D.知识模块:常微分方程4.方程xy’=2y的特解为( )A.y=2xB.y=x2C.y=2x3D.y=2x4正确答案:B解析:分离变量可得,两边积分得ln|y|=lnx2+C1,即y=Cx2,所以方程的特解中x的最高次数也应该为2,故选B.知识模块:常微分方程5.微分方程y’+的通解是( )A.arctanx+CB.(arctanx+C)C.arctanx+CD.+arctanx+C正确答案:B解析:所求方程为一阶线性微分方程,由通解公式可得其中C为任意常数,故选B.知识模块:常微分方程6.方程y’’一y’=ex+1的一个特解具有形式( )A.Aex+BB.Axex+BC.Aex+BxD.Axex+Bx正确答案:D解析:方程对应二阶齐次线性微分方程的特征方程为r2一r=r(r一1)=0,所以r1=0,r2=1,又有f(x)=ex+1,λ1=0,λ2=1是该二阶非齐次微分方程的一重特征根,所以特解形式为y*=Axex+Bx.故选D.知识模块:常微分方程7.某二阶常微分方程的下列解中为特解的是( )A.y=CsinxB.y=C1sin3x+C2cos3xC.y=sin3x+cos3xD.y=(C1+C2)cosx正确答案:C解析:由特解定义可知,特解中不含有任意常数,故排除A、B、D项,选C.知识模块:常微分方程8.下列方程中,可用代换p=y’,p’=y’’降为关于p的一阶微分方程的是( )A.+xy’一x=0B.+yy’一y2=0C.+x2y’一y2x=0D.+x=0正确答案:A解析:可降阶方程中的y’’=f(x,y’)型可用代换p=y’,p’=y’’,观察四个选项,只有A项是y’’=f(x,y’)型,故选A.知识模块:常微分方程填空题9.方程(xy2+x)dx+(y-x2y)dy=0满足y|x=0=1的特解为_______.正确答案:=2解析:分离变量得,两边积分得ln|x2一1|=.所以x2一1=C(y2+1),又y|x=0=1,故=2.知识模块:常微分方程10.已知微分方程y’+ay=ex的一个特解为y=xex,则a=_______.正确答案:一1解析:把y=xex,y’=ex+xex代入微分方程y’+ay=ex=(1+a)xex+ex,利用对应系数相等解得a=一1.知识模块:常微分方程11.微分方程y’’一4y’+3y=excosx+xe3x对应齐次微分方程的通解为=_______,它的特解形式为y*=________.正确答案:C1ex+C2e3x,ex(Acosx+Bsinx)+x(ax+b)e3x解析:事实上,原方程对应的齐次微分方程的特征方程为r2一4r+3=0,r1=1,r2=3,故齐次微分方程的通解为=C1ex+C2e3x.非齐次方程特解形式的假设,可分为两个方程进行:y’’一4y’+3y=excosx,①y’’一4y’+3y=xe3x.②λ=1±i不是特征方程的特征根,故①的特解形式是y1*=ex(Acosx+Bsinx);λ=3是特征方程的一重特征根,故②的特解形式应是y2*=x(ax+b)e3x,则y1*+y2*=y*即是原方程的特解形式.知识模块:常微分方程12.非齐次微分方程y’’+9y=cosx,它的一个特解应设为________.正确答案:y=Acosx+Bsinx解析:方程对应二阶齐次线性微分方程的特征方程为r2+9=0,所以r1,2=±3i,f(x)=cosx,则±i不是该二阶齐次微分方程的特征根,所以特解形式为y=Acosx+Bsinx.知识模块:常微分方程13.设二阶常系数线性齐次微分方程y’’+ay’+by=0的通解为y=C1ex+C2e2x,那么非齐次微分方程y’’+ay’+by=1满足的条件y(0)=2,y’(0)=一1的解为________.正确答案:y=4ex一解析:二阶线性常系数齐次方程对应的特征方程为r2+ar+b=0,又由通解可得特征根r1=1,r2=2,即(r一1)(r一2)=0,r2一3r+2=0,故a=一3,b=2.所以非齐次微分方程为y’’一3y’+2y=1,由于λ=0不是特征方程的根,因此,设特解y*=A,则(y*)’=0,(y*)’’=0,代入可得,所以y’’一3y’+2y=1的通解为y=C1ex+C2e2x+,再由y(0)=2,y’(0)=一1,可得C1=4,C2=,故满足初始条件的特解为y=4ex一.知识模块:常微分方程解答题14.求微分方程dy=sin(x+y+100)dx的通解.正确答案:方程可写成y’=sin(x+y+100),令μ=x+y+100,则,于是原方程化为=1+sinμ,就得到了可分离变量方程.分离变量,得=dx,恒等变形,有=dx,即(sec2μ—tanμsecμ)dμ=dx.两边积分,得tanμ—secμ=x+C,将μ=x+y+100回代,得方程通解为tan(x+y+100)一sec(x+y+100)=x+C,其中C为任意常数.涉及知识点:常微分方程15.求微分方程xy’一=0的通解.正确答案:方程分离变量得,两边积分有+C1,则方程的通解为2ln|y|+y2一ln2x=C,其中C为任意常数.涉及知识点:常微分方程16.求方程xsecydx+(1+x2)dy=0,满足初始条件y|x=0=的特解.正确答案:方程分离变量得dy,即dx=一cosydy,两边积分有dx=-∫cosydy,即n(1+x2)=一siny+C,由初始条件y|x=0=得C=1,则方程的特解为siny+=1.涉及知识点:常微分方程17.求微分方程secx.y’+tanx.y=ecosx的通解.正确答案:将原方程改写成y’+ysinx=cosxecosx,则y=e-∫sinxdx(∫cosxecosxe∫sinxdxdx+C)=ecosx(∫cosxdx+C)=ecosx(sinx+C).其中C为任意常数.涉及知识点:常微分方程18.(1)求微分方程xy’+ay=1+x2满足y|x=1=1的解y(x,a),其中a为常数.(2)证明(x,a)是方程xy’=1+x2的解.正确答案:(1)原方程可改写成y’+,微分方程的通解为(2)设y0=+lnx,则xy0’=x(x+)=1+x2,故结论成立.涉及知识点:常微分方程19.求微分方程y’+3x2y=xe-x3的通解.正确答案:由通解公式得y=e-∫3x2dx(∫xe-x3e3x2dxdx+C)=e-x3(∫xdx+C)=x2e-x3+Ce-x3.C为任意常数.涉及知识点:常微分方程20.求微分方程xy’+2y=xlnx满足y(1)=的解.正确答案:方程xy’+2y=xlnx两边同时除以x,得y’+y=lnx,是一阶线性微分方程,其中P(x)=,Q(x)=lnx,利用通解公式得涉及知识点:常微分方程21.求解方程∫0x(x—s)y(s)ds=sinx+∫0xy(s)ds.正确答案:∫0x(x—s)y(s)ds=x∫0xy(s)ds-∫0xsy(s)ds=sinx+∫0xy(s)ds,两边对x求导,得∫0xy(s)ds=cosx+y(x),且y(0)=一1,再次对x求导,得y’一y=sinx 为一阶线性非齐次微分方程.其中P(x)=一1,Q(x)=sinx,故解为y=e-∫P(x)dx[∫Q(x)eP(x)dxdx+C]=ex[∫sinxe-xdx+C]=Cex一(sinx+cosx),又由y(0)=一1,得C=,故原方程解为y(x)=(ex+sinx+cosx).涉及知识点:常微分方程22.已知某曲线经过点(1,1),它的切线在纵轴上的截距等于切点的横坐标,求它的方程.正确答案:根据题意可知,f(1)=1.由导数几何意义可知,曲线y=f(x)上任意一点(x0,y0)处的切线方程为:y—y0=f’(x0)(x—x0).令x=0,y=一f’(x0)x0+y0,其中,y0=f(x0),∴x0=一x0f’(x0)+f(x0),即x0f’(x0)一f(x0)=一x0,求曲线方程相当于求=一1满足y(1)=1的特解.由通解公式得又∵y(1)=1,∴C=1,故所求曲线方程为y=一xln|x|+x.涉及知识点:常微分方程23.求y’’一2y’+y=x3的特解.正确答案:对应的齐次方程的特征方程为r2一2r+1=0,解得r=1,为二重根,故λ=0不是特征方程的根.由f(x)=x3,设特解为y=Ax3+Bx2+Cx+D,则y’=3Ax2+2Bx+C,y’’=6Ax+2B,代入原方程得6Ax+2B一2(3Ax2+2Bx+C)+Ax3+Bx2+Cx+D=Ax3+(B一6A)x2+(6A+C一4B)x+2B+D-2C=x3,则A=1,B=6,C=18,D=24,故特解为y=x3+6x2+18x+24.涉及知识点:常微分方程24.求y’’一5y’一14y=9e7x的特解.正确答案:原方程对应的齐次方程的特征方程为r2一5r一14=0,解得r=一2,7,λ=7是特征方程的一重根,故设原方程的特解为y=Axe7x,则y’=A(7x+1)e7x,y’’=A(49x+14)e7x,代入原方程得A(49x+14)e7x一5A(7x+1)e7x 一14Axe7x=9e7x,则A=1,故特解为y=xe7x.涉及知识点:常微分方程25.求y’’一4y’+4y=xe2x的通解.正确答案:原方程对应的齐次方程的特征方程为r2一4r+4=0,解得r=2(二重根),所以对应的齐次方程的解为=(C1x+C2)e2x,λ=2是特征方程的二重根,故设原方程的特解为y*=x2e2x(Ax+B),则(y*)’=2xe2x(Ax+B)+x2e2x(2Ax+2B+A),(y*)’’=e2x(2Ax+2B)+xe2x(8Ax+8B+4A)+x2e2x(4Ax+4B+4A),代入原方程得e2x(2Ax+2B)+xe2x(8Ax+8B+4A)+x2e2x(4Ax+4B+4A)一8xe2x(Ax+B)一4x2e2x(2Ax+2B+A)+4x2e2x(Ax+B)=xe2x,解得A=,B=0,故原方程的通解为y=(C1x+C2)e2x+x3e2x.其中C1,C2为任意常数.涉及知识点:常微分方程26.已知函数y=(x+1)ex是一阶线性微分方程y’+2y=f(x)的解,求二阶常系数线性微分方程y’’+3y’+2y=f(x)的通解.正确答案:据题意的,y’=ex+(x+1)ex=(x+2)ex,f(x)=y’+2y=(x+2)ex+2(x+1)ex=(3x+4)ex,则下面求微分方程y’’+3y’+2y=(3x+4)ex 的通解,特征方程为r2+3r+2=0,求得r1=一1,r2=一2,所以y’’+3y’+2y=0的通解为y=C1e-x+C2e-2x,因λ=1不是特征方程的根,所以设y*=(Ax+B)ex 为原方程y’’+3y’+2y=(3x+4)ex的一个特解,则把(y*)’=(Ax+A+B)ex,(y*)’’=(Ax+2A+B)ex代入原方程,并比较系数得A=,B=,所以微分方程y’’+3y’+2y=(3x+4)ex的通解为y=C1e-x+C2e-2x+ex.其中C1,C2为任意常数.涉及知识点:常微分方程27.求y’’=y’+x的通解.正确答案:令y’=p,y’’=p’,原方程化为p’=p+x,解此一阶线性非齐次方程得p=e∫dx[∫xe-∫dxdx+C1]=ex(∫xe-xdx+C1)=C1ex-x-1即y’=C1ex一x一1,两边积分得通解为y=C1ex一一x+C2,其中C1,C2为任意常数.涉及知识点:常微分方程设函数f(x)在[1,+∞)上连续,若由曲线y=f(x),直线x=1,x=t(t>1)与x轴所围成的平面图形绕x轴旋转一周所成的旋转体体积为V(t)=[t2f(t)一f(1)],求:28.y=f(x)所满足的微分方程;正确答案:据题意,V(t)=π∫1t[f(x)]2dx=[t2f(t)一f(1)],即3∫1t[f(x)]2dx=t2f(t)一f(1),上式两边同时对t求导得,3f2(t)=2tf(t)+t2f’(t),即y=f(x)所满足的微分方程为x2y’+2xy一3y2=0;涉及知识点:常微分方程29.该微分方程满足条件y|x=2=的解.正确答案:将微分方程x2y’+2xy一3y2=0,化为,即为齐次方程.令μ=+μ,代入方程并化简得=3μ2一3μ.变量分离得,两端积分并代入μ=得通解为y—x=Cx3y,再把y|x=2=代入可得C=-1,故该微分方程满足条件y|x=2=的解为y—x=一x3y.涉及知识点:常微分方程。
2021年成考专升本《高数一》习题及答案(卷一)1、设z=x²+y²-2x+4y+5,则az/ay=A.2x-2B.2y+4C.2x+2y+2D.2y+4+x2-2x[答案]B1[.单选题]()。
A.发散B.条件收敛C.绝对收敛D.无法判定敛散性[答案]C1[.单选题]下列方程为一阶线性微分方程的是()。
A.y=ex+CB.y=e-x+CC.y=CexD.y=Ce-x [答案]C[答案]D1[.单选题]设f(x)为区间[a,b]上的连续函数,则曲线y=f(x)与直线x=a,x=b,y=0所围成的封闭图形的面积为()。
D.不能确定[答案]B[解析]由定积分的几何意义知应选B。
2[.单选题]方程x=z2表示的二次曲面是()。
A.球面B.椭圆抛物面C.柱面D.圆锥面[答案]C[解析]方程x=z2中缺少坐标y,是以xOy坐标面上的抛物线x=z2为准线,平行于y轴的直线为母线的抛物柱面。
所以选C。
3[.单选题]方程x2+2y2-z2=0表示的曲面是()。
A.椭球面B.锥面C.柱面D.平面[答案]B[解析]对照二次曲面的标准方程可知,所给曲面为锥面,因此选B。
4[.单选题]设直线l:x/0=y/0=z/1,则直线l()。
A.过原点且平行于X轴B.不过原点但平行于X轴C.过原点且垂直于X轴D.不过原点但垂直于X轴[答案]C7[.单选题]方程x2+y2-z=0表示的二次曲面是()。
A.椭圆面B.圆锥面C.旋转抛物面D.柱面[答案]C[解析]由二次曲面的方程可知应选C。
8[.单选题]曲线y=x2+5x+4在点(-1,0)处切线的斜率为()。
A.2B.-2C.3D.-3[答案]C9[.单选题]在空间直角坐标系中方程y2=x表示的是()。
A.抛物线B.柱面C.椭球面D.平面[答案]B[解析]空间中曲线方程应为方程组,故A不正确;三元一次方程表示空间平面,故D不正确;空间中,缺少一维坐标的方程均表示柱面,可知应选B。
引言概述:本文是关于专升本高等数学一考试题库(二)的详细介绍和解析。
高等数学是专升本考试中的重要科目之一,对于学生来说,熟练掌握高等数学的基本概念和解题方法是至关重要的。
本文将围绕该题库中的试题,从基本概念、解题方法等方面进行详细阐述,帮助读者更好地理解和掌握高等数学知识。
正文内容:一、基本概念1.数列和级数数列的定义和性质级数的定义和收敛性判断方法2.一元函数与多元函数函数的定义和基本性质多元函数的定义和偏导数计算方法3.极限极限的定义和相关性质极限存在的判定方法4.微分学导数的定义和求导法则高阶导数和隐函数求导5.积分学定积分的定义和性质不定积分和定积分的计算方法二、解题方法1.数列与级数的解题方法等差数列与等比数列的求和公式数列极限的计算方法2.一元函数与多元函数的解题思路函数图像的分析和性质判断多元函数的极值与最值计算3.极限的计算与性质应用极限的四则运算法则极限中的夹逼准则和无穷小量的比较4.微分学中的解题技巧反函数求导法高阶导数的计算方法5.积分学的解题步骤换元积分法和分部积分法定积分和面积、弧长的计算方法三、小结通过对专升本高等数学一考试题库(二)的详细解析,我们可以看到,高等数学一的考试内容广泛而深入,理解和掌握基本概念和解题方法是必不可少的。
在解题过程中,要善于运用数学知识,注重思维的灵活运用和问题的综合分析能力。
同时,刷题和做题的过程也是学习的过程,通过不断地练习和总结,可以提高数学的应用能力和解题能力。
总结:本文从基本概念、解题方法等方面,对专升本高等数学一考试题库(二)进行了详细的阐述。
希望通过本文的学习,读者可以更好地理解和掌握高等数学知识,为考试取得更好的成绩奠定坚实的基础。
我们还要强调,数学学习需要坚持和持之以恒,只有不断地学习和练习,才能真正掌握数学知识,提高解题能力。
专升本考试:2022高等数学一真题及答案(1)1、方程x 2+y 2-2z=0表示的二次曲面是()(单选题)A. 柱面B. 球面C. 旋转抛物面D. 椭球面试题答案:C2、国际标准化委员会(1SO)、国际电工委员会(1Ec)等制定的针对产品和服务的质量及技术要求的标准是()(单选题)A. 国家标准B. 国际公约C. 国际惯例D. 国际标准试题答案:D3、封口机按照封口方式的不同,额分为()封口机。
(多选题)A. 手压式B. 脚踏式C. 热压式D. 熔焊式E. 液压式试题答案:C,D,E4、()是入库商品堆存的操作及其方式、方法的总称。
(单选题)B. 翻垛C. 倒堆D. 堆码试题答案:D5、组织对人力资源的开发过程主要包括()等环节。
(多选题)A. 招聘B. 专业定向C. 岗位培训D. 脱产培训试题答案:B,C,D6、在计算机中,bit含义是()。
(单选题)A. 字B. 字长C. 字节D. 二进制位试题答案:D7、()(单选题)A.B. ƒ(2x)+CC. 2ƒ(2x)+CD.试题答案:A8、GIS系统定位的精度取决于对信号传播()的测定。
(单选题)B. 范围C. 频率D. 时间试题答案:D9、选择合作伙伴的评价指标体系设置原则有()。
(多选题)A. 系统全面性B. 简明科学性C. 稳定可比性D. 灵活可操作性E. 距离相近性试题答案:A,B,C,D10、若y=1+cosx,则dy= ()(单选题)A. (1+sinx)dxB. (1-sinx)dxC. sinxdxD. -sinxdx试题答案:D11、在下拉菜单里的各个操作命令项中有一类命令项的右面标有省略号(…)这类命令项的执行特点是()。
(单选题)A. 被选中执行时会要求用户加以确认B. 被选中执行时会弹出菜单C. 被选中执行时会弹出对话框D. 当前情况下不能执行试题答案:C12、()的四个阶段首尾相接,不断循环,每一次循环都会有新的内容和要求,他把计划的编制、执行与控制有机地结合在一起,有利于提高计划管理的水平。
学历类《成考》专升本《高等数学一》考试试题及答案解析姓名:_____________ 年级:____________ 学号:______________1、若事件A 与B 互斥,且P(A)=0.5P(AUB)=0.8,则P(B)等于( )A 、03B 、04C 、02D 、01正确答案:A答案解析:暂无解析2、设y=x5+sinx ,则y′等于( )A 、B 、C 、D 、正确答案:A答案解析:暂无解析3、当 x→0时,sin(x +5x )与 x 比较是( )A 、较高阶无穷小量B 、较l D 、低阶无穷小量正确答案:D答案解析:暂无解析6、微分方程 y ’=2y 的通解为y=( )A 、B 、C 、D 、正确答案:A答案解析:暂无解析7、设z=x -3y ,则dz=( )A 、2xdx-3ydyB 、x dx-3dyC 、2xdx-3dy正确答案:C答案解析:暂无解析8、在空间直角坐标系中,方程x +y =1表示的曲面是()A、柱面B、球面C、锥面D、旋转抛物面正确答案:A答案解析:暂无解析9、设y+sinx,则 y’’=()A、-sinxB、sinxC、-cosxD、cosx正确答案:A答案解析:暂无解析10、B答案解析:暂无解析11、设y=x ,则y’=()A、B、C、D、正确答案:C答案解析:暂无解析12、设函数z=3x2y,则αz/αy=()A、6yB、6xyC、3xD、3X正确答案:D答案解析:暂无解析13、设函数y=3x+1,则y’=()A、0B、1C、2D、3正确答案:A答案解析:暂无解析14、设函数y=(2+x) ,则y’=A、(2+x)C、(2+x)D、3(2+x)正确答案:B答案解析:暂无解析15、设函数 y=e-2 ,则dy=A、B、C、D、正确答案:B答案解析:暂无解析16、设函数y=2x+sinx,则y’=A、1-cosxB、1+cosxC、2-cosxD、2+cosx正确答案:D答案解析:暂无解析17、设z=ey ,则全微分dz=()正确答案:答案解析:暂无解析18、设函数y=cos2x,求y″=()正确答案:-4cos2x答案解析:暂无解析19、函数y=x-e的极值点x=()正确答案:答案解析:暂无解析20、函数-ex 是 f(x) 的一个原函数,则 f(x) =()正确答案:答案解析:暂无解析21、当x→0时,sin(x +5x )与x 比较是( )A、较高阶无穷小量B、较低阶的无穷小量C、等价无穷小量D、同阶但不等价无穷小量正确答案:答案解析:22、设y=x5+sinx,则y′等于( )A、B、C、D、正确答案:答案解析:23、若事件A与B互斥,且P(A)=0.5P(AUB)=0.8,则P(B)等于( )A、03B、04C、02D、01正确答案:答案解析:24、设函数y=2x+sinx,则y’=A、1-cosxB、1+cosxC、2-cosxD、2+cosx正确答案:答案解析:25、微分方程y’=x+1的通解为y= ______.正确答案:答案解析:暂无解析26、过点(1,-1,-2)且与平面2x-2y+3z=0垂直的直线方程为______.正确答案:答案解析:暂无解析27、函数y=1/3x -x的单调减少区间为______.正确答案:(-1,1)答案解析:暂无解析28、微分方程y/=3x2 的通解l正确答案:3x答案解析:暂无解析34、设函数y=x3,则y/=()正确答案:答案解析:35、设函数y=(x-3) ,则dy=()正确答案:答案解析:36、设函数y=sin(x-2),则y”=()正确答案:答案解析:37、过坐标原点且与直线(x-1)/3=(y+1)/2+(z-3)/-2垂直的平面方程为()正确答案:答案解析:38、设函数x=3x+y2,则dz=()正确答案:答案解析:39、微分方程y/=3x2的通解为y=()正确答案:答案解析:40、函数y=1/3x -x的单调减少区间为______.正确答案:答案解析:41、求曲线y=x -3x+5的拐点。
专升本(高等数学一)模拟试卷121(题后含答案及解析)题型有:1. 选择题 2. 填空题 3. 解答题选择题1.函数f(x)=在x=0处【】A.连续且可导B.连续且不可导C.不连续D.不仅可导,导数也连续正确答案:B解析:本题考查了函数在一点处的连续性和可导性的知识点.因为=0=f(0),所以函数在x=0处连续;又因不存在,所以函数在x=0处不可导.2.曲线y=【】A.没有渐近线B.仅有水平渐近线C.仅有铅直渐近线D.既有水平渐近线,又有铅直渐近线正确答案:D解析:本题考查了曲线的渐近线的知识点.因=1,所以y=1为水平渐近线.又因=∞,所以x=0为铅直渐近线.3.=6,则a的值为【】A.—1B.1C.D.2正确答案:A解析:本题考查了洛必达法则的知识点.因为x→0时分母极限为0,只有分子极限也为0,才有可能使分式极限为6,故[(1+x)(1+2x)(1+3x)+a]=1+a=0,解得a= —1,4.设f(x)=∫0sinxsint2dt,g(x)=x3+x4,当x→0时f(x)与g(x)是【】A.等价无穷小B.f(x)是比g(x)高阶无穷小C.f(x)是比g(x)低阶无穷小D.f(x)与g(x)是同阶但非等价无穷小正确答案:D解析:本题考查了两个无穷小量阶的比较的知识点.故f(x)与g(x)是同价但非等价无穷小.5.已知∫f(x2)dx=+C,则f(x) 【】A.B.C.D.正确答案:B解析:本题考查了已知积分函数求原函数的知识点.因为f(x2)=,所以f(x)=.6.曲线y=ex与其过原点的切线及y轴所围面积为【】A.∫01(ex—ex)dxB.∫1e(lny—ylny)dyC.∫0e(ex—xex)dxD.∫01(lny—ylny)dy正确答案:A解析:本题考查了曲线围成的面积的知识点.设(x0,y0)为切点,则切线方程为y=ex0x,联立得x0=1,y0=e,所以切线方程为y=ex.故所求面积为∫01(ex—ex)dx7.设函数f(x)=cosx,则= 【】A.1B.0C.D.—1正确答案:D解析:本题考查了一元函数在一点处的一阶导数的知识点.f(x)=cosx,f′(x)= —sinx,= —1.8.设y=exsinx,则y″′= 【】A.cosx.exB.sinx.exC.2ex(cosx—sinx)D.2ex(sinx—cosx)正确答案:C解析:本题考查了莱布尼茨公式的知识点.由莱布尼茨公式,得(exsinx)″′=(ex)″′sinx+3(ex)″(sinx)′+3(ex)′(sinx)″+ex(sinx)″′=exsinx+3excosx+3ex(—sinx)+ex(—cosx)=2ex(cosx—sinx).9.若级数an(x—1)n在x= —1处收敛,则此级数在x=2处【】A.发散B.条件收敛C.绝对收敛D.不能确定正确答案:C解析:本题考查了级数的绝对收敛的知识点.由题意知,级数收敛半径R≥2,则x=2在收敛域内部,故其为绝对收敛.10.f(x)=∫02x+ln2,则f(x)= 【】A.exln2B.e2xln2C.ex+ln2D.e2x+ln2正确答案:B解析:本题考查了一阶线性齐次方程的知识点.因f′(x)=f(x).2,即y′=2y,此为常系数一阶线性齐次方程,其特征根为r=2,所以其通解为y=Ce2x,又当x=0时,f(0)=ln2,所以C=ln2,故f(x)=e2xln2.注:方程y′=2y求解时也可用变量分离.填空题11.=________.正确答案:解析:本题考查了函数的极限的知识点.12.=________.正确答案:解析:本题考查了对∞—∞型未定式极限的知识点.这是∞—∞型,应合并成一个整体,再求极限.13.若x=atcost,y=atsint,则=________.正确答案:解析:本题考查了对由参数方程函数求导的知识点.参数方程为x=φ(t),y=ψ(t),则.本题φ(t)=atcost,ψ(t)=atsint,所以14.∫(tanθ+cotθ)2dθ=________.正确答案:tanθ—cotθ+C解析:本题考查了不定积分的知识点.∫(tanθ+cotθ)2dθ=∫(tan2θ+2+cot2θ)dθ=∫(sec2θ+csc2θ)dθ=tanθ—cotθ+C.15.设f(x)=,在x=0处连续,则a=________.正确答案:1解析:本题考查了函数在一点处的连续性的知识点.又f(0)=1,所以f(x)在x=0连续应有a=1.注:(无穷小量×有界量=无穷小量)=e,这是常用极限,应记牢.16.=________.正确答案:解析:本题考查了利用换元法求定积分的知识点.令x=sint,则dx=costdt.17.设函数z=x2ey,则全微分dz=________.正确答案:dz=2xeydx+x2eydy解析:本题考查了二元函数的全微分的知识点.z=x2ey,=2xey,=x2ey,则dz=2xeydx+x2eydy.18.设z=f(x2+y2,)可微,则=________.正确答案:2yf1—解析:本题考查了复合函数的一阶偏导数的知识点.=f1.2y+.19.微分方程y″+6y′+13y=0的通解为________.正确答案:y=e—3x(C1cos2x+C2sin2x)解析:本题考查了二阶线性齐次微分方程的通解的知识点.微分方程y″+6y′+13y=0的特征方程为r2+6r+13=0,特征根为r== —3±2i,所以微分方程的通解为y=e—3x(C1cos2x+C2sin2x).20.设D为x2+y2≤4且y≥0,则2dxdy=________.正确答案:4π解析:本题考查了二重积分的知识点.因积分区域为圆x2+y2=22的上半圆,则×22=4π.解答题21.设函数y=,求y′.正确答案:对数求导法.因y=,于是,两边取对数,有lny=,两边对x求导,得注:本题另解为复合函数求导法.22.如果f2(x)=∫0xf(t),求f(x).正确答案:由题设知两边同时求导得,2f(x).f′(x)=,设f(x)≠0,则f′(x)=.23.设f(x)的一个原函数为,求∫xf′(x)dx.正确答案:注:本题若从=f′(x),代入积分中计算∫xf′(x)dx运算比较繁琐,不宜采用.24.求.正确答案:25.求方程=0的通解.正确答案:原方程可分离变量,化为两边积分得通解为.26.设x>0时f(x)可导,且满足f(x)=1+∫1xf(t)dt,求f(x).正确答案:因f(x)=1+可导,在该式两边乘x得xf(x)=x+∫1xf(t)dt,两边对x求导得f(x)+xf′(x)=1+f(x),所以f′(x)=,则f(x)=lnx+C,再由x=1时,f(1)=1,得C=1,故f(x)=lnx+1.27.求方程y″—2y′+5y=ex的通解.正确答案:y″—2′+5y=0的特征方程为r2—2r+5=0,故特征根为r=1±2i,非齐次项的特解可设为y=Aex,代入原方程得A=,所以方程的通解为y=ex(C1cos2x+C2sin2x)+28.设f(x)= ∫0a—xey(2a—y)dy,求∫0af(x)dx(提示:利用二重积分交换顺序去计算).正确答案:将f(x)代入有∫0af(x)dx=∫0adx∫0a—xey(2a—y)dy=∫0ady∫0a —yey(2a—y)dx=∫0a(a—y)ey(2a—y)dy=∫0a(a—y)ea2—(a—y)2dy=∫0aea2e—(a—y)2d(a—y)2=ea2[—e—(a—y)2]|0a=ea2(e—a2—e0)=(ea2—1).。
2018年成人高考《专升本-高等数学一》模拟试题第Ⅰ卷(选择题,共 40 分)一、选择题:1~10 小题,每小题 4 分,共 40 分.在每小题给出的四个选项中,只有一项是符合题目要求的.1.A.0B.1C.2D.不存在2 .().A.单调增加且为凹B.单调增加且为凸c.单调减少且为凹D.单调减少且为凸3.A.较高阶的无穷小量B.等价无穷小量C.同阶但不等价无穷小量D.较低阶的无穷小量4.A.B.0C.D.15.A.3B.5C.1D.A.-sinxB.cos xC.D.A.B.x2C.2xD.28.A.B.C.D.9.设有直线当直线 l1与 l2平行时,λ等于().A.1B.0C.D.一 110.下列命题中正确的有().A.B.C.D.第Ⅱ卷(非选择题,共 110 分)二、填空题:11~20 小题,每小题 4 分,共 40 分.11.12.13.14.15.16.17.18.19.20.三、解答题.21~28 小题,共 70 分.解答应写出推理、演算步骤.21.(本题满分 8 分)22.(本题满分 8 分)设 y=x+arctanx,求 y'.23.(本题满分 8 分)24.(本题满分 8 分)计算25.(本题满分 8 分)26.(本题满分 10 分)27.(本题满分 10 分)28.(本题满分 10 分)求由曲线 y=x,y=lnx 及 y=0,y=1 围成的平面图形的面积 S 及此平面图形绕 y 轴旋转一周所得旋转体体积.模拟试题参考答案一、选择题1.【答案】C.【解析】本题考查的知识点为左极限、右极限与极限的关系.2.【答案】B.【解析】本题考查的知识点为利用一阶导数符号判定函数的单调性和利用二阶导数符号判定曲线的凹凸性.3.【答案】C.【解析】本题考查的知识点为无穷小量阶的比较.4.【答案】D.【解析】本题考查的知识点为拉格朗日中值定理的条件与结论.可知应选 D.5.【答案】A.【解析】本题考查的知识点为判定极值的必要条件.故应选 A.6.【答案】C.【解析】本题考查的知识点为基本导数公式.可知应选 C.7.【答案】D.【解析】本题考查的知识点为原函数的概念.可知应选 D.8.【答案】D.【解析】本题考查的知识点为牛顿一莱布尼茨公式和定积分的换元法.因此选 D.9.【答案】C.【解析】本题考查的知识点为直线间的关系.10.【答案】B.【解析】本题考查的知识点为级数的性质.可知应选 B.通常可以将其作为判定级数发散的充分条件使用.二、填空题11.【参考答案】e.【解析】本题考查的知识点为极限的运算.12.【参考答案】1.【解析】本题考查的知识点为导数的计算.13.【参考答案】x—arctan x+C.【解析】本题考查的知识点为不定积分的运算.14.【参考答案】【解析】本题考查的知识点为定积分运算.15.【参考答案】【解析】本题考查的知识点为隐函数的微分.解法 1 将所给表达式两端关于 x 求导,可得从而解法 2 将所给表达式两端微分,16.【参考答案】【解析】本题考查的知识点为二阶常系数线性齐次微分方程的求解.17.【参考答案】1.【解析】本题考查的知识点为二元函数的极值.可知点(0,0)为 z 的极小值点,极小值为 1.18.【参考答案】【解析】本题考查的知识点为二元函数的偏导数.19.【参考答案】【解析】本题考查的知识点为二重积分的计算.20.【参考答案】【解析】本题考查的知识点为幂级数的收敛半径.所给级数为缺项情形,三、解答题21.【解析】本题考查的知识点为极限运算.解法 1解法 2【解题指导】在极限运算中,先进行等价无穷小代换,这是首要问题.应引起注意.22.【解析】23.【解析】本题考查的知识点为定积分的换元积分法.【解题指导】比较典型的错误是利用换元计算时,一些考生忘记将积分限也随之变化. 24.【解析】本题考查的知识点为计算反常积分.计算反常积分应依反常积分收敛性定义,将其转化为定积分与极限两种运算.25.【解析】26.【解析】27.【解析】本题考查的知识点为二重积分运算和选择二次积分次序.28.【解析】所给曲线围成的图形如图 8—1 所示.第二部分(选择题,共 40 分)一、选择题:1~10 小题,每小题 4 分,共 40 分.在每小题给出的四个选项中,只有一项是符合题目要求的.1.A.B.eC.e2D.12.A.B.C.D.3.A.凹B.凸C.凹凸性不可确定D.单调减少4.A.2B.C.1D.一 25.设 f(x)为区间[a,b]上的连续函数,则曲线 y=f(x)与直线 x=a,x=b,y=0 所围成的封闭图形的面积为().A.B.C.D.不能确定6.A.f(2)-f(0)B.C.D.f(1)-f(0)7.A.B.C.D.8.A.B.C.D.9.A.条件收敛B.绝对收敛C.收敛性与 k 有关D.发散10.A.AxB.C.D.第Ⅱ卷(非选择题,共 110 分)二、填空题:11~20 小题,每小题 4 分,共 40 分.11.12.13.设 sinx 为 f(x)的原函数,则 f(x)=.14.15.已知平面π:2x+y 一 3z+2=0,则过原点且与π垂直的直线方程为.16.17.1 8.19.20.三、解答题:21~28 小题,共 70 分.解答应写出推理、演算步骤.21.(本题满分 8 分)22.(本题满分 8 分)23.(本题满分 8 分)24.(本题满分 8 分)25.(本题满分 8 分)26.(本题满分 10 分)(1)切点 A 的坐标(a,a2).(2)过切点 A 的切线方程。
第一章单元测试1、单选题:选项:A:AB:CC:DD:B答案:【A】2、单选题:选项:A:AB:CC:BD:D答案:【D】3、单选题:选项:A:AB:DC:BD:C答案:【D】4、单选题:选项:A:DB:BC:CD:A答案:【D】5、单选题:选项:A:AB:BC:CD:D答案:【D】6、判断题:选项:A:对B:错答案:【对】7、判断题:选项:A:对B:错答案:【对】8、判断题:选项:A:错B:对答案:【错】9、判断题:选项:A:错B:对答案:【对】10、判断题:选项:A:对B:错答案:【对】第二章单元测试1、单选题:选项:A:AB:BC:DD:C答案:【D】2、单选题:选项:A:BB:AC:CD:D答案:【C】3、单选题:选项:A:CB:DC:AD:B答案:【B】4、单选题:选项:A:CB:AC:DD:B答案:【D】5、单选题:选项:A:BB:DC:AD:C答案:【C】6、单选题:选项:A:BB:AC:CD:D答案:【B】7、单选题:选项:A:AB:BC:DD:C答案:【B】8、单选题:选项:A:DB:CC:BD:A答案:【D】9、单选题:选项:A:CB:DC:BD:A答案:【B】10、单选题:选项:A:AB:DC:BD:C答案:【A】11、判断题:选项:A:对B:错答案:【对】12、判断题:选项:A:对B:错答案:【对】13、判断题:选项:A:对B:错答案:【错】14、判断题:选项:A:对B:错答案:【错】15、判断题:选项:A:对B:错答案:【错】16、单选题:当时,函数的右极限与左极限都存在且相等是极限存在的()条件.选项:A:既非必要也非充分B:必要非充分C:充分非必要D:充分必要答案:【充分必要】17、单选题:当时,x的等价无穷小量是()选项:A:B:1-cosxC:xsinxD:sin3x答案:【】18、单选题:当时,1-cosx是xsinx的()选项:A:低阶无穷小B:等价无穷小C:高阶无穷小D:同阶无穷小答案:【同阶无穷小】19、单选题:设,则当时,有()选项:A:与x是等价无穷小B:与x同阶但非等价无穷小C:是比x高阶的无穷小D:是比x低阶的无穷小答案:【与x同阶但非等价无穷小】20、单选题:设函数,则x=0是的()选项:A:连续点B:跳跃间断点C:第二类间断点D:可去间断点答案:【第二类间断点】21、单选题:设函数在点x=0连续,则a,b的值分别为()选项:A:a=b=0B:a=b=1C:a=1,b=0D:a=0,b=1答案:【a=b=1】22、单选题:当时,用“”表示比x高阶的无穷小,则下列式子中错误的是()选项:A:B:C:D:答案:【】23、单选题:设则结论正确的是()选项:A:在x=0,x=1处连续B:在x=0处连续,在x=1处间断C:在x=0处间断,在x=1处连续D:在x=0,x=1处间断答案:【在x=0处间断,在x=1处连续】24、单选题:x=0是的()选项:A:跳跃间断点B:可去间断点C:连续点第二类间断点答案:【可去间断点】25、单选题:设函数,则是该函数的()选项:A:可去间断点B:第二类间断点C:跳跃间断点D:连续点答案:【连续点】26、单选题:函数在x=0处()选项:A:不连续B:可导C:无定义D:连续但不可导答案:【连续但不可导】27、单选题:设,则在x=0处()选项:A:极限不存在B:极限存在但不连续C:可导D:连续但不可导答案:【连续但不可导】28、单选题:设在x=a处可导,则()选项:A:B:D:答案:【】29、单选题:下列结论错误的是()选项:A:若在处连续,则在处可导B:若在处不连续,则在处不可导C:若在处可导,则在处连续D:若在处不可导,则在处也可能连续答案:【若在处连续,则在处可导】30、单选题:设,则在点x=0处()选项:A:左、右导数都不存在B:左导数不存在,右导数存在C:左、右导数都存在D:左导数存在,右导数不存在答案:【左导数存在,右导数不存在】31、单选题:若函数在点处可导,且则当时,必有()选项:A:dy是比低阶的无穷小量B:是与同阶的无穷小量C:是与高阶的无穷小量D:dy是比高阶的无穷小量答案:【是与高阶的无穷小量】32、单选题:设,则在点x=0处()选项:A:可导B:连续但不可导C:极限不存在D:极限存在,但不连续答案:【连续但不可导】33、单选题:在处左可导且右可导是在处可导的()选项:A:非充要条件B:充分非必要条件C:充要条件D:必要非充分条件答案:【充要条件】34、单选题:存在是数列有界的()选项:A:非充要条件B:必要非充分条件C:充分非必要条件D:充分必要条件答案:【充分非必要条件】35、单选题:下列关于极值命题中正确的是()选项:A:极大值一定大于极小值B:若,则必是的极值点C:若存在且是极值点,则必有D:若,则必是的极值点答案:【若存在且是极值点,则必有】36、判断题:()选项:A:对B:错答案:【对】37、判断题:设函数在点x=0处连续,则a=1.()选项:A:对B:错答案:【错】38、判断题:已知极限则a=0,b=6()选项:A:错B:对答案:【错】39、判断题:设,则()选项:A:对B:错答案:【错】40、判断题:设在x=1处可导,则a=2,b=-2()选项:A:错B:对答案:【对】41、判断题:曲线在点处的切线方程为()选项:A:对B:错答案:【错】42、判断题:曲线则.()选项:A:错B:对答案:【对】43、判断题:设且二阶可导,则.()选项:A:错B:对答案:【错】44、判断题:函数的单减区间为.(√)选项:A:对B:错答案:【对】45、判断题:曲线的拐点为.()选项:A:错B:对答案:【错】。
《高等数学1(一)》课程考试试卷(A 卷参考答案)注意:1、本试卷共3页; 2、考试时间:120分钟; 3、姓名、学号必须写在指定地方。
一. 单项选择题,请将答案填入题后的方括号内(每小题2分, 共20分)1.与函数2()f x ln x =相同的函数是[ C ]. A .lnx B .21()2ln x C .lnx D .ln x2.若(1)(2)(3)(4)(5)lim (32)x x x x x x x αβ→∞-----=-,则α与β的值为[ D ]. A .11,3αβ== B .15,3αβ== C .511,3αβ== D .515,3αβ==3.设函数()y f x =在点0x 处可导,dy 为()f x 在0x 处的微分,当自变量x 由0x 增加到0x x +∆时, 极限0limx y dyx∆→∆-∆等于[ B ].A .-1B .0C .1D .∞4.若()f x 在x a =的某个邻域内有定义,则()f x 在x a =处可导的一个充分条件是[ D ].A .1lim [()()]h h f a f a h →+∞+-存在B .0(2)()lim h f a h f a h h→+-+存在C .0()()lim2h f a h f a h h →+--存在 D .0()()lim h f a f a h h→--存在5.已知函数1sin ,0(),0x x f x xax b x ⎧>⎪=⎨⎪+≤⎩在(,)-∞+∞内连续,则a 与b 等于[ C ].A .1,1a b ==B .0,a b R =∈C .,0a R b ∈=D .,a R b R ∈∈6.若函数32()f x x ax bx =++在1x =处取得极值2-,则下列结论中正确的是[ B ].A .3,0a b =-=,且1x =为函数()f x 的极小值点B .0,3a b ==-,且1x =为函数()f x 的极小值点C .1,0a b =-=,且1x =为函数()f x 的极大值点D .0,3a b ==-,且1x =为函数()f x 的极大值点7.设1()1f x x =-,其n 阶麦克劳林展开式的拉格朗日型余项()n R x 等于[ C ]. A .11,(01)(1)(1)n n x n x θθ++<<+- B .11(1),(01)(1)(1)n n n x n x θθ++-<<+-C .12,(01)(1)n n x x θθ++<<-D .11(1),(01)(1)n n n x x θθ++-<<-8.若sin 2x 为函数()f x 的一个原函数,则()xf x dx ⎰等于[ D ]. A .sin 2cos 2x x x C ++ B .sin 2cos 2x x x C -+C .1sin 2cos 22x x x C -+ D .1sin 2cos 22x x x C ++9.若非零向量,,a b c满足0a b ⋅= 与0a c ⨯= ,则b c ⋅ 等于[ A ].A .0B .-1C .1D .310.直线2020x y z x y z -+=⎧⎨+-=⎩与平面1x y z ++=的位置关系是[ C ].A .直线在平面内B .平行C .垂直D .相交但不垂直二.填空题(每小题2分,共10分)1.一质点作直线运动,其运动规律为426s t t t =-+,则速度增加的时刻t = 1 . 2.若21arctan (1)2y x x ln x =-+,则dy =arctan xdx . 3.已知21adx x π+∞-∞=+⎰,则a = 1 .4.已知()xf x e =,则()f lnx dx x'=⎰ x C + . 5.设向量,,m n p 满足0m n p ++=,且6m = ,8n = ,10p = ,则m n n p p m ⨯+⨯+⨯=144 .三.求解下列各题(每小题5分,共10分)阅卷人 得分阅卷人 得分阅卷人 得分三峡大学试卷 教学班号 序号 班级学号 姓名密 封 线1.11lim(1)21n n n +→∞-+解:原式=((21)(1)1)/21lim(1)21n n n -+-+→∞-+ 2=(21)(1/2)(1/2)11lim(1)lim(1)2121n n n n n -+-→∞→∞-⋅-++ 41/2e -= 52.20(13)lim (sec cos )x ln x x x →+-解:原式=203cos lim (1cos )(1cos )x x xx x →-+ 2=223cos lim1(1cos )2x x x x x →+ 4=6 5四. 求解下列各题(每小题6分,共12分)1.若方程arctan 1xyy e =+确定了y 是x 的函数,求函数y 的微分dy . 解:原方程两边同时对x 求导,有2()1xyy e y xy y ''=++ 则22(1)1(1)xy xyy y e y x y e+'=-+ 4 则22(1)1(1)xyxyy y e dy dx x y e +=-+ 62.设参数方程21cos x t y t⎧=+⎨=⎩确定了y 是x 的函数,求22d ydx .解:sin 2dy tdx t-= 3 222cos sin 122t t td y t dx t-=- 5 3sin cos 4t t tt-= 6五.求解下列各题(每小题6分,共18分)1.222()lnx dx xlnx +⎰解:原式=212()()d xlnx xlnx ⎰ 42C xlnx-=+ 6 2.222max{,}x x dx -⎰解:原式=0122221x dx xdx x dx -++⎰⎰⎰ 4323012201[][][]323x x x -=++ 5=11/2 63.设21sin ()x tf x dt t =⎰,求10()xf x dx ⎰解:21100()()()2x xf x dx f x d =⎰⎰ 2221100[()](())22x x f x d f x =-⎰ 422112200sin 02sin 2x x xdx x x dx x =-=-⎰⎰ 2101[cos ]2x =cos112-= 6六. (本题10分)y阅卷人 得分阅卷人 得分阅卷人 得分已知星形线33cos sin x a ty a t⎧=⎨=⎩如右图所示,其中0a >, a 1) 计算星形线的全长; a - 0 a x 2) 求星形线与坐标轴所围成图形的面积.解:1)长度 2224()()dy dx L dt dt dtπ=+⎰2 a - 222249sin cos a t tdt π=⎰46a = 52)面积024202443sin cos a S ydx a t tdt π==-⎰⎰ 82422012sin cos at tdt π=⎰238a π= 10七. (本题7分)已知某直角三角形的边长之和为常数,求该直角三角形面积的最大值. 解:设两直角边与斜边分别为,,x y z ,其和为常数k ,所求面积为S因x y z k ++=及222x y z +=,则222()kx k y x k -=- 3则221224()kx xk S xy x k -==-,且222(24)()4()k x kx k S x x k -+'=- 有驻点222x k -= 5 则22max132241282S k k -==+为所求 7八. (本题7分)求过点(2,1,3)M 且与直线11321x y z+-==-垂直相交的直线方程. 解:记直线111:321x y zL +-==-,设过点(2,1,3)M 且垂直相交于直线1L 的平面为π 则平面π方程为3(2)2(1)(3)0x y z -+---= 2令11321x y zt +-===-则13,12,x t y t z t =-+=-+=- 代入平面π得3/7t =,即交点为2133(,,)777A - 4以12624(,,)777MA --= 为所求直线的方向向量得到 所求直线为:213214x y z ---==- 7九. (本题6分)设函数()f x 在闭区间[0,1]上连续且0()1f x <<,试判断方程02()1x x f t dt -=⎰在(0,1)内有几个实根,并证明你的结论. 证:记0()2()1x g x x f t dt =--⎰则10(0)10,(1)1()0g g f t dt =-<=->⎰2且0()1f x <<知()2()0g x f x '=->,即在闭区间[0,1]上单调增加 4 故02()1x x f t dt -=⎰在(0,1)内有一个实根 6阅卷人 得分阅卷人 得分阅卷人 得分。
2021年高等数学一(专升本)考试题库(含答案)单选题1.A、AB、BC、CD、D答案:B解析:2.设.f(x)在[a,b]上连续,x∈[a,b],则下列等式成立的是()A、AB、BC、CD、D答案:B解析:由可变限积分求导公式知选B。
3.A、x+yB、xC、yD、2x答案:D解析:4.A、-1/2B、0C、1/2D、1答案:B解析:5.设f(x)在点xo的某邻域内有定义,()A、AB、BC、CD、D答案:A解析:6.A、-2B、-1C、0D、2答案:D解析:由复合函数链式法则可知2,应选D.7.下列方程为一阶线性微分方程的是().A、AB、BC、CD、D答案:C解析:一阶线性微分方程的特点是方程中所含未知函数及其一阶导数都为一次的.因此选C.8.A、1B、2C、3D、4答案:A解析:所给级数为不缺项情形,an=1,an+1=1因此9.在空间直角坐标系中方程y2=x表示的是()A、抛物线B、柱面C、椭球面D、平面答案:B解析:空间中曲线方程应为方程组,故A不正确;三元一次方程表示空间平面,故D不正确;空间中,缺少一维坐标的方程均表示柱面,可知应选B.10.设幂级数在x=2处收敛,则该级数在x=-1处必定().A、发散B、条件收敛C、绝对收敛D、敛散性不能确定答案:C解析:11.设f(x)有连续导函数,(A、AB、BC、CD、D答案:A解析:本题考核的是不定积分的性质:“先求导后积分作用抵消”.前后两种运算不是对同一个变量的运算,因此不能直接利用上述性质.必须先变形,再利用这个性质.12.A、0B、1C、3D、6答案:C解析:所给问题为导数定义的问题,由导数定义可知故选C.【评析】导数定义的问题通常考虑y=f(x)在点x0处导数的定义的标准形式与等价形式13.A、AB、BC、CD、D答案:C解析:14.A、AB、BC、CD、D答案:C解析:由不定积分基本公式可知15.A、AB、BC、CD、D答案:D解析:16.曲线y=x2+5x+4在点(-1,0)处切线的斜率为()A、2B、-2C、3D、-3答案:C解析:点(-1,0)在曲线y=x2+5x+4上.y=x2+5x+4,y'=2x+5,由导数的几何意义可知,曲线y=x2+5x+4在点(-1,0)处切线的斜率为3,所以选C.17.A、5yB、3xC、6xD、6x+5答案:C解析:18.A、AB、BC、CD、D答案:C解析:先依所给积分次序的积分限写出区域D的不等式表达式画出积分区域D的图形如图5-2所示.上述表达式不是题目中选项中的形式.如果换为先对y积分后对x积分的积分次序,则区域D可以表示为可知应选C.说明此题虽然没有明确提出交换二重积分次序,但是这是交换二重积分次序的问题.19.微分方程(y′)2=x的阶数为().A、1B、2C、3D、4答案:A解析:所给微分方程中所含未知函数的最高阶导数为1阶,因此方程阶数为1,故选A.20.A、AB、BC、CD、D答案:D解析:21.A、x2+cosyB、x2-cosyC、x2+cosy+1D、x2-cosy+1 答案:A解析:22.曲线y=x3-6x+2的拐点坐标()A、(0,4)B、(0,2)C、(0,3)D、(0,-2)答案:B23.设函数f(x)在(0,1)内可导,f'(x)>0,则f(x)在(0,1)内()A、单调减少B、单调增加C、为常量D、不为常量,也不单调答案:B解析:由于f'(x)>0,可知f(x)在(0,1)内单调增加.因此选B.24.A、AB、BC、CD、D答案:A解析:25.设y=f(x)为可导函数,则当△x→0时,△y-dy为△x的()A、高阶无穷小B、等价无穷小C、同阶但不等价无穷小D、低阶无穷小答案:A解析:26.设平面π1:2x+y+4z+4=0,π2:2x-8y+z+1=0,则平面π1与π2的位置关系是()A、相交且垂直B、相交但不垂直C、平行但不重合D、重合答案:A解析:平面π1的法线向量,n1=(2,1,4),平面π2的法线向量n2=(2,-8,1),n1·n2=0.可知两平面垂直,因此选A.27.过点(1,0,0),(0,1,0),(0,0,1)的平面方程为().A、x+y+z=1B、2x+y+z=1C、x+2y+z=1D、x+y+2z=1答案:A解析:设所求平面方程为.由于点(1,0,0),(0,1,0),(0,0,1)都在平面上,将它们的坐标分别代入所设平面方程,可得方程组故选A.28.微分方程y′-y=0的通解为().A、y=ex+CB、y=e-x+CC、y=CexD、y=Ce-x答案:C解析:所给方程为可分离变量方程.29.微分方程yy'=1的通解为()A、AB、BC、CD、D答案:D解析:30.A、高阶无穷小B、低阶无穷小C、同阶但不等价无穷小D、等价无穷小答案:B解析:故2x+x2是比x2低阶的无穷小,因此选B.31.A、AB、BC、CD、D答案:C解析:32.A、AB、BC、CD、D答案:D解析:解法l由于当故选D.解法2故选D.33.A、过原点且平行于X轴B、不过原点但平行于X轴C、过原点且垂直于X轴D、不过原点但垂直于X轴答案:C解析:将原点(0,0,O)代入直线方程成等式,可知直线过原点(或由34.A、1/3B、1C、2D、3答案:D解析:解法1由于当x一0时,sinax~ax,可知故选D.解法2故选D.35.A、1-sinxB、1+sinxC、-sinxD、sinx答案:D解析:y=2-cosx,则y'=2'-(cosx)'=sinx.因此选D.36.A、AB、BC、CD、D答案:D解析:37.曲线Y=x-3在点(1,1)处的切线的斜率为().A、-1B、-2C、-3D、-4答案:C解析:点(1,1)在曲线.由导数的几何意义可知,所求切线的斜率为-3,因此选C.38.A、AB、BC、CD、D答案:D 解析:39.A、AB、BC、C答案:B解析:40.在空间直角坐标系中,方程x2+z2=z的图形是()A、圆柱面B、圆C、抛物线D、旋转抛物面答案:A解析:线为圆、母线平行于y轴的圆柱面.41.下列不等式成立的是()A、AC、CD、D答案:B解析:在[0,1]上,x2≥x3,由定积分的性质可知选B.同样在[1,2]上,x2≤x3,可知D不正确.42.设x是f(x)的一个原函数,则f(x)=A、AB、BC、CD、D答案:C解析:x为f(x)的一个原函数,由原函数定义可知f(x)=x'=1,故选C.43.A、0B、1C、eD、e2答案:B解析:为初等函数,且点x=0在的定义区间内,因此,故选B.44.A、cos(x+y)B、-cos(x+y)C、sin(x+y)D、-sin(x+y)答案:B解析:45.A、2dx+3y2dyB、2xdx+6ydyC、2dx+6ydyD、2xdx+3y2dy答案:C解析:46.等于().A、sinx+CB、-sinx+CC、COSx+CD、-cosx+C答案:D解析:由不定积分基本公式可知.故选D.47.A、AB、BC、CD、D答案:C解析:lim{x→0}sin(x^2+5x^3)/x^2=lim{x→0}(x^2+5x^3)/x^2=lim{x→0}(1+ 5x)=148.A、AB、BC、CD、D答案:C解析:由于f'(2)=1,则49.A、AB、BC、CD、D答案:C解析:50.A、6xarctanx2B、6xtanx2+5C、5D、6xcos2x答案:C解析:51.A、AB、BC、CD、D答案:D52.A、1B、2C、x2+y2D、TL答案:A解析:53.A、sinx+CB、cosx+CC、-sinx+CD、-COSx+C答案:A解析:54.设y=2^x,则dy等于().A、x2x-1dxB、2x-1dxC、2xdxD、2xln2dx答案:D解析:南微分的基本公式可知,因此选D.55.设f(x)在点x0处可导,()A、4B、-4C、2D、-2答案:D解析:因此f'(x0)=-2,可知选D.56.设区域D={(x,y)|-1≤x≤1,-2≤y≤2),A、0B、2C、4D、8答案:A解析:积分区域关于y轴对称,被积函数xy为X的奇函数,可知57.下列命题中正确的为()A、若xo为f(x)的极值点,则必有,f'(xo)=0B、若f'(xo)=0,则点xo必为f(x)的极值点C、若f'(xo)≠0,则点xo必定不为f(x)的极值点D、若f(x)在点xo处可导,且点xo为f(x)的极值点,则必有f'(xo)=0答案:D解析:由极值的必要条件知D正确.Y=|x|在x=0处取得极值,但不可导,知A 与C不正确.y=x3在xo=0处导数为0,但Xo=0不为它的极值点,可知B不正确.因此选D.58.A、xyB、yxyC、(x+1)y1n(x+1)D、y(x+1)y-1答案:C解析:59.设二元函数z=xy,则点Po(0,0)()A、为z的驻点,但不为极值点B、为z的驻点,且为极大值点C、为z的驻点,且为极小值点D、不为z的驻点,也不为极值点答案:A解析:可知Po点为Z的驻点.当x、y同号时,z=xy>0;当x、y异号时,z=xy<0.在点Po(0,0)处,z|Po=0.因此可知Po不为z的极值点.因此选A.60.设函数f(x)=COS2x,则f′(x)=().A、2sin2xB、-2sin2xC、sin2xD、-sin2x答案:B解析:由复合函数求导法则,可得故选B.61.A、AB、BC、CD、D答案:A解析:62.A、f(x)B、f(x)+CC、f/(x)D、f/(x)+C答案:A解析:由不定积分的性质“先积分后求导,作用抵消”可知应选A.63.A、2x2+x+CB、x2+x+CC、2x2+CD、x2+C答案:B解析:64.A、0B、cos2-cos1C、sin1-sin2D、sin2-sin1答案:A解析:由于定积分存在,它表示一个确定的数值,其导数为零,因此选A.65.A、e-1B、e-1-1C、-e-1D、1-e-1解析:66.设区域D为x2+y2≤4,A、4πB、3πC、2πD、π答案:A解析:A为区域D的面积.由于D为x2+y 2≤4表示圆域,半径为2,因此A=π×22=4π,所以选A.67.设f(x,y)为连续函数,A、AB、BC、CD、D解析:积分区域D可以由0≤x≤1,x2≤y≤x表示,其图形为右图中阴影部分.68.A、AB、BC、CD、D答案:B解析:69.B、x=2C、y=1D、y=-2答案:C解析:70.当x→0时,2x+x2是x的()A、等价无穷小B、较低阶无穷小C、较高阶无穷小D、同阶但不等价的无穷小答案:D解析:71.A、2B、1C、0答案:C解析:72.A、3B、2C、1D、0答案:A解析:73.设y=5x,则y'=()A、AB、BC、C答案:A解析:74.A、仅为x=+1B、仅为x=0C、仅为x=-1D、为x=0,±1 答案:C解析:x=-1,因此选C.75.A、AB、BC、CD、D答案:A解析:76.A、2x-2eB、2x-e2C、2x-eD、2x答案:D解析:由导数的基本公式及四则运算法则,有故选D.77.设A、-cosxB、cosxC、1-cosxD、1+cosx答案:B解析:由导数四则运算法则,有故选B.78.A、AB、BC、CD、D答案:A解析:79.A、绝对收敛B、条件收敛C、发散D、收敛性与口有关答案:A解析:80.A、AB、BC、CD、D答案:B81.A、1/2B、1C、π/2D、2π答案:B解析:82.A、充分非必要条件B、必要非充分条件C、充分必要条件D、无关条件答案:D解析:内的概念,与f(x)在点x0处是否有定义无关.83.A、2xy+sinyB、x2+xcosyC、2xy+xsinyD、x2y+siny答案:A解析:将y认作常数,可得知因此选A.84.A、2x+1B、2xy+1C、x2+1D、2xy答案:B解析:85.设,f(x)在点x0处取得极值,则().A、AB、BC、CD、D答案:A解析:如果f(x)在点x0处可导,且f(x)在点x处取得极值,由极值的必要条件可知f′(x0)=0.又如y=1xI在点戈=0处取得极小值,但在点x=0处不可导.86.对于微分方程y"-2y'+y=xex,利用待定系数法求其特解y*时,下列特解设法正确的是()A.Y*=(Ax+B)exB.y*=x(Ax+A、exB、y*=Ax3exC、Y*=x2(Ax+D、ex答案:D解析:87.微分方程y"-4y=0的特征根为()A、0,4B、-2,2C、-2,4D、2,4答案:B解析:由r2-4=0,r1=2,r2=-2,知y"-4y=0的特征根为2,-2,故选B.88.设A是一个常数,()A、单调增加且收敛B、单调减少且收敛C、收敛于零D、发散答案:C解析:89.A、arctan2-arctan1B、arctan2C、arctan1D、0答案:D解析:由于定积分存在,它表示一个确定的数值,其导数为零,因此选D.90.A、exB、2exC、-exD、-2ex答案:D解析:由导数的基本公式及四则运算法则,有故选D.91.设f(x)=e3x,则在x=0处的二阶导数,f"(0)=()A、3B、6C、9D、9e答案:C解析:92.A、必条件收敛B、必绝对收敛C、必发散D、收敛但可能为条件收敛,也可能为绝对收敛答案:D解析:93.A、AB、BC、CD、D答案:D解析:94.A、必定存在且值为0B、必定存在且值可能为0C、必定存在且值一定不为0D、可能不存在答案:B解析:由级数收敛的定义可知应选B.95.A、发散B、条件收敛C、绝对收敛D、无法判定敛散性答案:C解析:96.A、AB、BC、CD、D答案:A97.设y=2x3,则dy=().A、2x2dxB、6x2dxC、3x2dxD、x2dx答案:B解析:由微分基本公式及四则运算法则可求得.也可以利用dy=y′dx求得故选B.98.方程z=x2+y2表示的二次曲面是().A、球面B、柱面C、圆锥面D、抛物面答案:D解析:对照标准二次曲面的方程可知z=x2+y2表示的二次曲面是抛物面,故选D.99.A、AB、BC、CD、D答案:A100.A、AB、BC、C。
江南(Jiāngnán)大学现代远程教育第一阶段测试卷考试(kǎoshì)科目:《信息管理概论(gàilùn)》(总分100分)时间(shíji ān):90分钟__________学习(xuéxí)中心(教学点)批次:层次:专业:学号:身份证号:姓名:得分:一、单项选择题(本题共15小题,每小题2分,共30分。
)1、()与物质、能量一起成为构成客观世界的三大要素。
A 数据B 煤炭C 信息D 空气2、组织的高层管理活动中使用的信息是()。
A 作业信息B 战术信息C 战略信息D 内部信息3、要增强组织结构的灵活性,减少组织层次是关键,就是要使传统的“金字塔式”的组织结构转向()的组织结构。
A 扁平式B 螺旋式C 阶梯式D 分层式4、信息一词源于()“Information”,是指一种陈述或一种解释、理解等。
A 英文B 中文C 西班牙文D 拉丁文5、按信息的表现形式,可将信息划分为消息、资料和()三类。
A 知识B 讯息C 技术D 记录6、下列不是管理概念含义的是()。
A 管理是一种有目的的活动B 管理是一种有意识、有组织的群体活动C 管理的对象是组织资源和组织活动D 管理是一个静态的协调过程7、下列不是个人信息源特点的是()。
A 及时性B 强化感知性C 瞬时性D 客观性8、下列哪一个特性是文献信息源的特点()。
A 系统性B 隐蔽性C 动态管理性D 主观性9、()的目的是将无序信息变为有序信息,方便人们利用信息和传递信息。
A 信息收集B 信息组织C 信息传递D 信息利用10、企业中的信息流,另一种是信息随着材料和货物在企业间的流动,如订单等,这是信息的()流动。
A 共享性B 动态性C 可传递性D 可加工性11、ERP即(),是指建立在信息技术基础上,以系统化的管理思想为企业决策层及员工提供决策运行手段的管理平台。
A 企业资源规划B 客户关系管理C 供应链管理D 企业人员规划12、SCM即(),是指人们在认识和掌握了供应链各环节的内存规律和相互联系的基础上,利用管理中的计划、组织、指挥、协调、控制和激励职能,对产品生产和流通过程中各个环节所涉及的物流、信息流、奖金(jiǎngjīn)流、价值流以及业务流进行的合理调控。
专升本(高等数学一)模拟试卷120(题后含答案及解析)题型有:1. 选择题 2. 填空题 3. 解答题选择题1.当x→0时,无穷小x+sinx是比x 【】A.高阶无穷小B.低阶无穷小C.同阶但非等价无穷小D.等价无穷小正确答案:C解析:本题考查了无穷小量阶的比较的知识点.因=2,所以选C.2.设函数f(x)在点x0的某邻域内可导,且f(x0)为f(x)的一个极小值,则等于【】A.—2B.0C.1D.2正确答案:B解析:本题考查了函数的极值的知识点.因f(x)在x=x0处取得极值,且可导,于是f′(x0)=0,又=2f′(x0)=0.3.设函数f(x)=e—x2,则f′(x)等于【】A.—2e—x2B.2e—x2C.—2xe—x2D.2xe—x2正确答案:C解析:本题考查了一元函数的一阶导数的知识点.因f(x)=e—x2,则f′(x)=e —x2.(—2x)= —2xe—x2.4.函数y=x—arctanx在(—∞,+∞)内【】A.单调增加B.单调减少C.不单调D.不连续正确答案:A解析:本题考查了函数的单调性的知识点.因y=x—arctanx,则y′=1—≥0,于是函数在(—∞,+∞)内单调增加.5.设∫f(t)dx=ex+C,则∫xf(1—x2)dx为【】A.xe1—x2+CB.(1—x2)2+CC.e1—x2+CD.e1—x2+C正确答案:D解析:本题考查了换元积分法求不定积分的知识点.另解:将∫f(x)dx=ex+C两边对x求导得f(x)=ex,则∫xf(1—x2)dx=∫xe1—x2dx=.6.设Φ(x)=∫0x2tantdt,则Φ′(x)等于【】A.tanx2B.tanxC.sec2x2D.2xtanx2正确答案:D解析:本题考查了复合函数(变上限积分)求导的知识点.因Φ(x)=∫0x2tantdt 是复合函数,于是Φ′(x)=tanx2.2x=2xtanx2.7.下列反常积分收敛的【】A.∫1+∞B.∫0+∞C.∫1+∞D.∫1+∞正确答案:D解析:本题考查了反常积分的敛散性的知识点.由当p≤1时发散,p>1时收敛,可知应选D.注:本题容易看出A选项发散.而B选项,故此积分发散.对于C选项,由=∫1+∞lnxd(lnx)==+∞,故此积分发散.8.级数是【】A.绝对收敛B.条件收敛C.发散D.无法确定敛散性正确答案:C解析:本题考查了p级数的敛散性的知识点.级数的通项为an=,此级数为p级数.又因,所以级数发散.9.方程x2+y2=R2表示的二次曲面是【】A.椭球面B.圆柱面C.圆锥面D.旋转抛物面正确答案:D解析:本题考查了二次曲面(圆柱面)的知识点.由方程特征知,方程x2+y2=R2表示的二次曲面是圆柱面.10.曲线y=【】A.有水平渐近线,无铅直渐近线B.无水平渐近线,有铅直渐近线C.既有水平渐近线,又有铅直渐近线D.既无水平渐近线,也无铅直渐近线正确答案:C解析:本题考查了曲线的渐近线的知识点.对于曲线y=,因=1,故有水平渐近线y=1;又= —∞,故曲线有铅直渐近线y= —1.填空题11.函数F(x)=(x>0)的单调递减区间是________.正确答案:0<x<解析:本题考查了函数的单调区间的知识点.由F(x)=令F′(x)=0,得,故当0<x<时,F′(x)<0,F(x)单调递减.12.设f″(x)连续,z==________.正确答案:yf″(xy)+f′(x+y)+yf″(x+y)解析:本题考查了二元函数的混合偏导数的知识点.13.设I=x2ydxdy,D是圆域x2+y2≤a2,则I=________.正确答案:0解析:本题考查了利用极坐标求二重积分的知识点.用极坐标计算I=x2ydxdy=∫02πdθ∫0ar3cos2θsinθ.rdr=∫02πcos2θsinθdθ∫0ar4dr=—∫02πcos2θdcosθ∫0ar4dr==0.注:本题也可用对称性求出.由于D为x2+y2≤a关于x轴对称,且f(x,y)=x2y关于y为奇函数,则=0.14.设f(x)=ax3—6ax2+b在区间[—1,2]的最大值为2,最小值为—29,又知a>0,则a,b的取值为________.正确答案:解析:本题考查了函数的最大、最小值的知识点.f′(x)=3ax2—12ax,f′(x)=0,则x=0或x=4,而x=4不在[一1,2]中,故舍去.f″(x)=6ax—12a,f″(0)= —12a,因为a>0,所以f″(0)<0,所以x=0是极值点.又因f(—1)= —a —6a+b=b—7a,f(0)=b,f(2)=8a—24a+b=b—16a,因为a>0,故当x=0时,f(x)最大,即b=2;当x=2时,f(x)最小.所以b—16a= —29,即16a=2+29=31,故a=.15.设曲线y=,则该曲线的铅直渐近线为________.正确答案:x= —1解析:本题考查了曲线的铅直渐近线的知识点.故铅直渐近线为x= —1.16.当p________时,级数收敛.正确答案:>1解析:本题考查了利用比较判别法求函的敛散性的知识点.因当p>1时收敛,由比较判别法知p>1时,收敛.17.求=________正确答案:解析:本题考查了不定积分的知识点.18.幂级数的收敛半径R=________.正确答案:1解析:本题考查了幂级数的收敛半径的知识点.19.方程y″—2y′+5y=exsin2x的特解可设为y*=________.正确答案:xex(Asin2x+Bcos2x)解析:本题考查了二元常系数微分方程的特解形式的知识点.由特征方程为r2—2r+5=0,得特征根为l±2i,而非齐次项为exsin2x,因此其特解应设为y*=Axexsin2x+Bxexcos2x=xex(Asin2x+Bcos2x).20.=________.正确答案:解析:本题考查了反常积分的知识点.解答题21.设sin(t.s)+ln(s—t)=t,求的值.正确答案:在sin(t.s)+ln(s—t)=t两边对t求导,视s为t的函数,有cos(t.s)(s+t.s′)+.(s′—1)=1,而当t=0时,s=1,代入上式得=1.22.设f(x)=∫x0te—t2dt,求f(x)在[1,2]上的最大值.正确答案:∵f′(x)= —xe—x2,∴f(x)在[1,2]上单调递减,∴它的最大值是f(1),而23.如果,试求∫f(x)dx.正确答案:24.求sinx3sin2xdx.正确答案:25.计算,其中D为圆域x2+y2≤9.正确答案:26.计算,其中D是由y=x和y2=x围成.正确答案:注:本题若按另一种次序积分,即这个积分很难求解,因此可知,二重积分化成二次积分求解时,要注意选择适当的顺序.27.设2sin(x+2y—3z)=x+2y—3z,确定了函数z=f(x,y),求.正确答案:在2sin(x+2y—3z)=x+2y—3z两边对x求导,则有2cos(x+2y—3z).,注:本题另解如下:记F(x,y,z)=2sin(x+2y—3z)—x—2y+3z,则=2cos(x+2y—3z).(—3)+3,=2cos(x+2y—3z).2—2,=2cos(x+2y—3z)—1,28.讨论曲线y=的单调性、极值、凸凹性、拐点.正确答案:y=,令y′=0得x=e.而y″=,而y″=0,得x=e2.当x→1时,y→∞,则x=1为垂直渐近线.当0<x<1时,y′<0,y″<0,故y单调下降,上凸.当1<x<e时,y′<0,y″>0,故y单调下降,下凸.当e<x<e2时,y′>0,y″>0,故y单调上升,下凸.当e2<x<+∞时,y′>0,y″<0,故f(x)单调上升,上凸.当x=e时,y有极小值2e,且(e2,e2)是拐点.。
第一部分:1.下面函数与为同一函数的是( )y x =2.A y =.B y =ln .x C y e =.ln xD y e =解:,且定义域,∴选Dln ln xy e x e x === (),-∞+∞2.已知是的反函数,则的反函数是( )ϕf ()2f x()1.2A y x ϕ=().2B y x ϕ=()1.22C y x ϕ=().22D y x ϕ=解:令反解出:互换,位置得反函数,选A ()2,y f x =x ()1,2x y =ϕx y ()12y x =ϕ3.设在有定义,则下列函数为奇函数的是( )()f x (),-∞+∞()().A y f x f x =+-()().B y x f x f x =--⎡⎤⎣⎦()32.C y x f x =()().D y f x f x =-⋅解:的定义域且∴()32y x f x = (),-∞+∞()()()()()3232y x x f xx f x y x -=-=-=-选C4.下列函数在内无界的是( )(),-∞+∞21.1A y x=+.arctan B y x =.sin cos C y x x =+.sin D y x x=解: 排除法:A 有界,B 有界,C ,21122x x x x ≤=+arctan 2x π<sin cos x x +≤故选D5.数列有界是存在的( ){}n x lim n n x →∞A 必要条件B 充分条件C 充分必要条件D 无关条件解:收敛时,数列有界(即),反之不成立,(如有界,但不{}n x n x n x M ≤(){}11n --收敛,选A.6.当时,与为等价无穷小,则= ( )n →∞21sinn 1k nk AB 1C 2D -212解:, 选C 2211sin limlim 111n n k kn n n n →∞→∞==2k =i n二、填空题(每小题4分,共24分)7.设,则的定义域为 ()11f x x=+()f f x ⎡⎤⎣⎦解: ∵()f f x ⎡⎤⎣⎦()111111f x x==+++112x x x≠-+=+∴定义域为.()f f x ⎡⎤⎣⎦(,2)(2,1)(1,)-∞-⋃--⋃-+∞8.设则2(2)1,f x x +=+(1)f x -=解:(1)令 ()22,45x t f t t t +==-+()245f x x x =-+(2).()221(1)4(1)5610f x x x x x -=---+=-+9.函数的反函数是44log log 2y =解:(1),反解出:;(2)互换位置,得反函数4log y =x 214y x -=,x y .214x y -=10.n =解:原式.3lim2n =有理化11.若则.105lim 1,knn e n --→∞⎛⎫+= ⎪⎝⎭k =解:左式= 故.5lim ()510n kn k ne e e →∞---==2k =12.=2352lim sin 53n n n n→∞++解:当时,~ ∴原式== . n →∞2sin n 2n 2532lim 53nn n n →∞+⋅+65三、计算题(每小题8分,共64分)13.设 求sin1cos 2x f x ⎛⎫=+ ⎪⎝⎭()f x解:.故.22sin 2cos 21sin 222x x x f ⎛⎫⎛⎫==- ⎪ ⎪⎝⎭⎝⎭ ()()221f⎡⎤∴=-⎣⎦()()221f x x =-14.设,的反函数,求()f x ln x =()g x ()()1211x g x x -+=-()()f g x 解: (1)求 ∴反解出:22():1x g x y x +=- x 22xy y x -=+22x y y =+-互换位置得(2).,x y ()22g x x x =+-()()ln ln 22f g x g x x x ==⎡⎤⎣⎦+-15.设,求的值。
江南大学现代远程教育2013年下半年第一阶段测试卷
考试科目:《高等数学》专升本 第一章至第三章(总分100分)
一、选择题 (每题4分) 1. 函数
y =
的定义域是 ( a). (a) (2,6)- (b) (2,6] (c)[2,6) (d)[2,6]- 2. 10
lim(13)x
x x →+(c)
(a) e (b) 1 (c) 3e (d) ∞ 3.
要使函数()f x x
=
在0x =处连续, 应给(0)f 补充定义的数值是(d ).
(a) 1 (b) 2
(c)
(d)
5
4. 设 sin 3x
y -=, 则 y ' 等于 (b ).
(a)sin 3
(ln 3)cos x
x - (b) sin 3(ln 3)cos x x -- (c) sin 3cos x x -- (d) sin 3(ln 3)sin x x --
5. 设函数 ()f x 在点 0x 处可导, 则 000
(3)()
lim
h f x h f x h
→+-等于 (b ).
(a) 03()f x '- (b) 03()f x ' (c) 02()f x '- (d) 02()f x ' 二.填空题(每题4分)
6. 设 2
(1)3f x x x -=++, 则 ()f x =__ x 2+3x+5__. 7. 2sin(2)
lim
2
x x x →-++=___1__.
8. 设 1,0,
()5,0,1,0x x f x x x x -<⎧⎪
==⎨⎪+>⎩
, 则 0lim ()x f x +
→=____1___.
9. 设 ,0
(),2,0
x e x f x a x x -⎧≤=⎨
+>⎩ 在点 0x = 处连续, 则常数 a =0.5______ 10. 曲线 54
y x
-= 在点 (1,1) 处的法线方程为______y=(4/5)x+1/5__
11. 由方程 2
250xy
x y e
-+=确定隐函数 ()y y x =, 则 y '=__
2
xy 22
e y +2y -2xy
x ()__
12. 设函数 2
()ln(2)f x x x =, 则 (1)f ''=___ 3+2ln 2_ 三. 解答题(满分52分) 13. 求 45lim(
)46
x
x x x →∞
--. 解答:
4631
42
411lim (1+).lim (1+)4x-64x-6
x x x e -→∞→∞= 14. 求
x →.
解答:
1
2
01
(21)1
2lim 3cos 6
x x x -→+== 15. 确定A 的值, 使函数 62cos ,0
(),tan ,0sin 2x e x x f x Ax x x
-⎧-≤⎪
=⎨>⎪
⎩ 在点 0x = 处连续。
解答:
00200(0)(0)
tan (tan )sec 62lim lim sin 2(sin 2)2cos 2
8
x x f f x Ax A x A
x x x A ++-+→→='-===='=
16. 设 2sin 1
x
y x =-, 求 dy 。
解答:
2222
sin cos (1)2sin ()1(1)
x x x x x
dy d dx x x --==--
17. 已知曲线方程为 1
2
y x =+, 求它与 y 轴交点处的切线方程。
解答:
2
10,2
11
,当x=0时,y =-4(2)11
切线方程:y-=-x
24
x y y x ==-''=
+
18. 曲线 1(0)y x x =
>, 有平行于直线 1
104
y x ++= 18. 曲线 1(0)y x x =>, 有平行于直线 1
104
y x ++= 的切线, 求此切线方程。
解答:
21该切线斜率:k=-4
1
y =-
,当y =k 时,x=2(x 0)x 1
曲线中:x=2,y=
2
11
y=-(x-2)+
42
''>∴
19. 若()f x 是奇函数, 且(0)f '存在, 求 0
(8)
lim
x f x x
→。
解答:
00由于f (x )是奇函数且f (0)存在,则f (0)=0且f (x )在(0)点连续,则f (8x )-f(0)f (8)(0)则有,lim =8lim 8(0)
x 8x x x f f x
→→'-'=。