数值分析 第三章习题
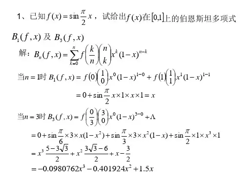
- 格式:pdf
- 大小:160.41 KB
- 文档页数:1
第一章 绪论(12) 第二章 插值法(40-42)2、当2,1,1-=x 时,4,3,0)(-=x f ,求)(x f 的二次插值多项式。
[解]372365)1(34)23(21)12)(12()1)(1(4)21)(11()2)(1()3()21)(11()2)(1(0))(())(())(())(())(())(()(2221202102210120120102102-+=-++--=+-+-⨯+------⨯-+-+-+⨯=----+----+----=x x x x x x x x x x x x x x x x x x x y x x x x x x x x y x x x x x x x x y x L 。
3、给出x x f ln )(=的数值表用线性插值及二次插值计算54.0ln 的近似值。
X 0.4 0.5 0.6 0.7 0.8 x ln -0.916291 -0.693147 -0.510826 -0.357765 -0.223144[解]若取5.00=x ,6.01=x ,则693147.0)5.0()(00-===f x f y ,510826.0)6.0()(11-===f x f y ,则604752.182321.1)5.0(10826.5)6.0(93147.65.06.05.0510826.06.05.06.0693147.0)(010110101-=---=--⨯---⨯-=--+--=x x x x x x x x x y x x x x y x L ,从而6202186.0604752.19845334.0604752.154.082321.1)54.0(1-=-=-⨯=L 。
若取4.00=x ,5.01=x ,6.02=x ,则916291.0)4.0()(00-===f x f y ,693147.0)5.0()(11-===f x f y ,510826.0)6.0()(22-===f x f y ,则 217097.2068475.404115.2)2.09.0(5413.25)24.0(3147.69)3.01.1(81455.45)5.06.0)(4.06.0()5.0)(4.0()510826.0()6.05.0)(4.05.0()6.0)(4.0()693147.0()6.04.0)(5.04.0()6.0)(5.0(916291.0))(())(())(())(())(())(()(22221202102210120120102102-+-=+--+-⨯++-⨯-=----⨯-+----⨯-+----⨯-=----+----+----=x x x x x x x x x x x x x x x x x x x x x x y x x x x x x x x y x x x x x x x x y x L ,从而61531984.0217097.21969765.259519934.0217097.254.0068475.454.004115.2)54.0(22-=-+-=-⨯+⨯-=L补充题:1、令00=x ,11=x ,写出x e x y -=)(的一次插值多项式)(1x L ,并估计插值余项。
第一章 绪 论1. 设x >0,x 的相对误差为δ,求ln x 的误差.2. 设x 的相对误差为2%,求nx 的相对误差.3. 下列各数都是经过四舍五入得到的近似数,即误差限不超过最后一位的半个单位,试指出它们是几位有效数字:*****123451.1021,0.031,385.6,56.430,7 1.0.x x x x x =====⨯4. 利用公式(3.3)求下列各近似值的误差限:********12412324(),(),()/,i x x x ii x x x iii x x ++其中****1234,,,x x x x 均为第3题所给的数.5. 计算球体积要使相对误差限为1%,问度量半径R 时允许的相对误差限是多少?6. 设028,Y =按递推公式11783100n n Y Y -=-( n=1,2,…)计算到100Y .若取783≈27.982(五位有效数字),试问计算100Y 将有多大误差?7. 求方程25610x x -+=的两个根,使它至少具有四位有效数字(783≈27.982).8. 当N 充分大时,怎样求211Ndx x +∞+⎰?9. 正方形的边长大约为100㎝,应怎样测量才能使其面积误差不超过1㎝2?10. 设212S gt =假定g 是准确的,而对t 的测量有±0.1秒的误差,证明当t 增加时S 的绝对误差增加,而相对误差却减小. 11. 序列{}n y 满足递推关系1101n n y y -=-(n=1,2,…),若02 1.41y =≈(三位有效数字),计算到10y 时误差有多大?这个计算过程稳定吗?12. 计算6(21)f =-,取2 1.4≈,利用下列等式计算,哪一个得到的结果最好?36311,(322),,9970 2.(21)(322)--++13. 2()ln(1)f x x x =--,求f (30)的值.若开平方用六位函数表,问求对数时误差有多大?若改用另一等价公式22ln(1)ln(1)x x x x --=-++计算,求对数时误差有多大?14. 试用消元法解方程组{101012121010;2.x x x x +=+=假定只用三位数计算,问结果是否可靠?15. 已知三角形面积1sin ,2s ab c =其中c 为弧度,02c π<<,且测量a ,b ,c 的误差分别为,,.a b c ∆∆∆证明面积的误差s ∆满足.s a b cs a b c ∆∆∆∆≤++第二章 插值法1. 根据(2.2)定义的范德蒙行列式,令200011211121()(,,,,)11n n n n n n n n n x x x V x V x x x x x x x xx x ----==证明()n V x 是n 次多项式,它的根是01,,n x x - ,且101101()(,,,)()()n n n n V x V x x x x x x x ---=-- .2. 当x = 1 , -1 , 2 时, f (x)= 0 , -3 , 4 ,求f (x )的二次插值多项式.3. 给出f (x )=ln x 的数值表用线性插值及二次插值计算ln 0.54 的近似值.x 0.4 0.5 0.6 0.7 0.8 ln x -0.916291-0.693147-0.510826-0.357765-0.2231444. 给出cos x ,0°≤x ≤90°的函数表,步长h =1′=(1/60)°,若函数表具有5位有效数字,研究用线性插值求cos x 近似值时的总误差界.5. 设0k x x kh =+,k =0,1,2,3,求032max ()x x x l x ≤≤.6. 设jx 为互异节点(j =0,1,…,n ),求证:i) 0()(0,1,,);nk kj j j x l x x k n =≡=∑ii)()()1,2,,).nk jj j xx l x k n =-≡0(=∑7. 设[]2(),f x C a b ∈且()()0f a f b ==,求证21()()().8max max a x ba xb f x b a f x ≤≤≤≤≤-"8. 在44x -≤≤上给出()xf x e =的等距节点函数表,若用二次插值求xe 的近似值,要使截断误差不超过610-,问使用函数表的步长h 应取多少?9. 若2n n y =,求4n y ∆及4n y δ.10. 如果()f x 是m 次多项式,记()()()f x f x h f x ∆=+-,证明()f x 的k 阶差分()(0)kf x k m ∆≤≤是m k -次多项式,并且()0(m lf x l +∆=为正整数).11. 证明1()k k k k k k f g f g g f +∆=∆+∆.12. 证明110010.n n kkn n k k k k f gf g f g g f --+==∆=--∆∑∑13. 证明1200.n j n j y y y -=∆=∆-∆∑14. 若1011()n nn n f x a a x a x a x --=++++ 有n 个不同实根12,,,n x x x ,证明{10,02;, 1.1()n k njk n a k n j jx f x -≤≤-=-=='∑15. 证明n 阶均差有下列性质: i)若()()F x cf x =,则[][]0101,,,,,,n n F x x x cf x x x = ;ii) 若()()()F x f x g x =+,则[][][]010101,,,,,,,,,n n n F x x x f x x x g x x x =+ .16. 74()31f x x x x =+++,求0172,2,,2f ⎡⎤⎣⎦ 及0182,2,,2f ⎡⎤⎣⎦ . 17. 证明两点三次埃尔米特插值余项是(4)22311()()()()/4!,(,)k k k k R x f x x x x x x ++=ξ--ξ∈并由此求出分段三次埃尔米特插值的误差限.18. 求一个次数不高于4次的多项式()P x ,使它满足(0)(1)P P k =-+并由此求出分段三次埃尔米特插值的误差限.19. 试求出一个最高次数不高于4次的函数多项式()P x ,以便使它能够满足以下边界条件(0)(0)0P P ='=,(1)(1)1P P ='=,(2)1P =.20. 设[](),f x C a b ∈,把[],a b 分为n 等分,试构造一个台阶形的零次分段插值函数()n x ϕ并证明当n →∞时,()n x ϕ在[],a b 上一致收敛到()f x .21. 设2()1/(1)f x x =+,在55x -≤≤上取10n =,按等距节点求分段线性插值函数()h I x ,计算各节点间中点处的()h I x 与()f x 的值,并估计误差.22. 求2()f x x =在[],a b 上的分段线性插值函数()h I x ,并估计误差.23. 求4()f x x =在[],a b 上的分段埃尔米特插值,并估计误差. 24. 给定数据表如下:j x 0.25 0.30 0.39 0.45 0.53 j y0.50000.54770.62450.67080.7280试求三次样条插值()S x 并满足条件i) (0.25) 1.0000,(0.53)0.6868;S S '='= ii)(0.25)(0.53)0.S S "="=25. 若[]2(),f x C a b ∈,()S x 是三次样条函数,证明 i)[][][][]222()()()()2()()()bbbbaaaaf x dx S x dx f x S x dx S x f x S x dx"-"="-"+""-"⎰⎰⎰⎰;ii) 若()()(0,1,,)i i f x S x i n == ,式中i x 为插值节点,且01n a x x x b =<<<= ,则[][][]()()()()()()()()()baS x f x S x dx S b f b S b S a f a S a ""-"="'-'-"'-'⎰.26. 编出计算三次样条函数()S x 系数及其在插值节点中点的值的程序框图(()S x 可用(8.7)式的表达式).第三章 函数逼近与计算1. (a)利用区间变换推出区间为[],a b 的伯恩斯坦多项式.(b)对()sin f x x =在[]0,/2π上求1次和三次伯恩斯坦多项式并画出图形,并与相应的马克劳林级数部分和误差做比较. 2. 求证:(a)当()m f x M ≤≤时,(,)n m B f x M ≤≤. (b)当()f x x =时,(,)n B f x x =.3. 在次数不超过6的多项式中,求()sin 4f x x =在[]0,2π的最佳一致逼近多项式.4. 假设()f x 在[],a b 上连续,求()f x 的零次最佳一致逼近多项式.5. 选取常数a ,使301max x x ax≤≤-达到极小,又问这个解是否唯一?6. 求()sin f x x =在[]0,/2π上的最佳一次逼近多项式,并估计误差.7. 求()xf x e =在[]0,1上的最佳一次逼近多项式.8. 如何选取r ,使2()p x x r =+在[]1,1-上与零偏差最小?r 是否唯一? 9. 设43()31f x x x =+-,在[]0,1上求三次最佳逼近多项式.10. 令[]()(21),0,1n n T x T x x =-∈,求***0123(),(),(),()T x T x T x T x .11. 试证{}*()nTx 是在[]0,1上带权21x x ρ=-的正交多项式.12. 在[]1,1-上利用插值极小化求11()f x tg x -=的三次近似最佳逼近多项式.13. 设()x f x e =在[]1,1-上的插值极小化近似最佳逼近多项式为()n L x ,若nf L ∞-有界,证明对任何1n ≥,存在常数n α、n β,使11()()()()(11).n n n n n T x f x L x T x x ++α≤-≤β-≤≤14. 设在[]1,1-上234511315165()128243843840x x x x x x ϕ=-----,试将()x ϕ降低到3次多项式并估计误差. 15. 在[]1,1-上利用幂级数项数求()sin f x x =的3次逼近多项式,使误差不超过0.005.16. ()f x 是[],a a -上的连续奇(偶)函数,证明不管n 是奇数或偶数,()f x 的最佳逼近多项式*()n nF x H ∈也是奇(偶)函数.17. 求a 、b 使[]220sin ax b x dx π+-⎰为最小.并与1题及6题的一次逼近多项式误差作比较.18. ()f x 、[]1(),g x C a b ∈,定义 ()(,)()();()(,)()()()();b baaa f g f x g x dxb f g f x g x dx f a g a =''=''+⎰⎰问它们是否构成内积?19. 用许瓦兹不等式(4.5)估计6101x dx x +⎰的上界,并用积分中值定理估计同一积分的上下界,并比较其结果.20. 选择a ,使下列积分取得最小值:1122211(),x ax dx x ax dx----⎰⎰.21. 设空间{}{}10010121,,,span x span x x 1ϕ=ϕ=,分别在1ϕ、2ϕ上求出一个元素,使得其为[]20,1x C ∈的最佳平方逼近,并比较其结果.22. ()f x x =在[]1,1-上,求在{}2411,,span x x ϕ=上的最佳平方逼近.23.[]2sin (1)arccos ()1n n x u x x +=-是第二类切比雪夫多项式,证明它有递推关系()()()112n n n u x xu x u x +-=-.24. 将1()sin2f x x =在[]1,1-上按勒让德多项式及切比雪夫多项式展开,求三次最佳平方逼近多项式并画出误差图形,再计算均方误差.25. 把()arccos f x x =在[]1,1-上展成切比雪夫级数.26. 用最小二乘法求一个形如2y a bx =+的经验公式,使它与下列数据拟合,并求均方误差.i x 19 25 31 38 44 i y19.032.349.073.397.827. 观测物体的直线运动,得出以下数据:时间t (秒) 0 0.9 1.9 3.0 3.9 5.0 距离s (米) 010305080110求运动方程.28. 在某化学反应里,根据实验所得分解物的浓度与时间关系如下:时间 0 5 10 15 20 25 30 35 40 45 50 55 浓度0 1.272.162.863.443.874.154.374.514.584.624.64用最小二乘拟合求()y f t =.29. 编出用正交多项式做最小二乘拟合的程序框图. 30. 编出改进FFT 算法的程序框图. 31. 现给出一张记录{}{}4,3,2,1,0,1,2,3k x =,试用改进FFT 算法求出序列{}k x 的离散频谱{}k C (0,1,,7).k =第四章 数值积分与数值微分1. 确定下列求积公式中的待定参数,使其代数精度尽量高,并指明所构造出的求积公式所具有的代数精度: (1)101()()(0)()hh f x dx A f h A f A f h --≈-++⎰; (2)21012()()(0)()hh f x dx A f h A f A f h --≈-++⎰;(3)[]1121()(1)2()3()/3f x dx f f x f x -≈-++⎰;(4)[][]20()(0)()/1(0)()hf x dx h f f h ah f f h ≈++'-'⎰.2. 分别用梯形公式和辛普森公式计算下列积分:(1)120,84xdx n x =+⎰; (2)1210(1),10x e dx n x --=⎰;(3)91,4xdx n =⎰; (4)260sin ,6dx n π-ϕ=⎰.3. 直接验证柯特斯公式(2.4)具有5次代数精度.4. 用辛普森公式求积分1x e dx-⎰并计算误差.5. 推导下列三种矩形求积公式:(1)2()()()()()2ba f f x dxb a f a b a 'η=-+-⎰; (2)2()()()()()2baf f x dx b a f b b a 'η=---⎰;(3)3()()()()()224baa b f f x dx b a f b a +"η=-+-⎰.6. 证明梯形公式(2.9)和辛普森公式(2.11)当n →∞时收敛到积分()baf x dx⎰.7. 用复化梯形公式求积分()baf x dx⎰,问要将积分区间[],a b 分成多少等分,才能保证误差不超过ε(设不计舍入误差)?8. 用龙贝格方法计算积分12x e dxπ-⎰,要求误差不超过510-.9. 卫星轨道是一个椭圆,椭圆周长的计算公式是22201()sin cS a d a π=-θθ⎰,这里a 是椭圆的半长轴,c是地球中心与轨道中心(椭圆中心)的距离,记h 为近地点距离,H 为远地点距离,6371R =公里为地球半径,则(2)/2,()/2a R H h c H h =++=-.我国第一颗人造卫星近地点距离439h =公里,远地点距离2384H =公里,试求卫星轨道的周长.10. 证明等式3524sin3!5!n nn n ππππ=-+-试依据sin(/)(3,6,12)n n n π=的值,用外推算法求π的近似值.11. 用下列方法计算积分31dyy ⎰并比较结果.(1) 龙贝格方法;(2) 三点及五点高斯公式;(3) 将积分区间分为四等分,用复化两点高斯公式.12. 用三点公式和五点公式分别求21()(1)f x x =+在x =1.0,1.1和1.2处的导数值,并估计误差.()f x 的值由下表给出:x1.0 1.1 1.2 1.3 1.4 ()f x0.25000.22680.20660.18900.1736第五章 常微分方程数值解法1. 就初值问题0)0(,=+='y b ax y 分别导出尤拉方法和改进的尤拉方法的近似解的表达式,并与准确解bx ax y +=221相比较。
数值分析习题解⼆三章12. 设()k T x 是k 次Chebyshev 多项式,证明(1)()()m n mn T T x T x =;(2)()()()()2m n m n m n T x T x T x T x +-+=. 证明:由Chebyshev 多项式的定义,()()()()()()cos arccos cos arccos cos arccos m n mn T T x m n x m n x T x ==??=()()()()()()()()()()cos arccos cos arccos 2cos arccos cos arccos 2m n m n m n T x T x m n x m n x m x n x T x T x +-+=+?+-?=??= 13. 求函数()f x =[]0,1上的⼀次最佳平⽅逼近多项式。
解:⽅法⼀(⽤多项式21,,,x x 作基底)令()01x ?=,()1x x ?=,设所求多项式为()*01S x a a x =+。
因为()12000,1d 1x ??==?,()()1011001,,d 2x x ===?,()121101,d 3x x ??==?,()(001,ln 122f x ?==++?,()()1101,13f x ?==?所以关于0a 和1a 的法⽅程为(()0011111ln 1=0.9343222110.4269511233a a a a ??+?=?=因此所求最佳平⽅逼近多项式 ()*0.934320.42695S x x =+。
⽅法⼆(⽤Legendre 正交多项式()01P x =, ()1P x x =, ()()221 31P x x =-, 因为[][]0,11,1≠-,令()[]11,1,12x t t =+∈-,则()()f x F t ==令()()001t P t ?==,()()11t P t t ?==,则()0,,2,21i j i ji j i ??≠??=?=?+?。
]第一章 绪论姓名 学号 班级习题主要考察点:有效数字的计算、计算方法的比较选择、误差和误差限的计算。
1若误差限为5105.0-⨯,那么近似数有几位有效数字(有效数字的计算) 解:2*103400.0-⨯=x ,325*10211021---⨯=⨯≤-x x 故具有3位有效数字。
2 14159.3=π具有4位有效数字的近似值是多少(有效数字的计算) 解:10314159.0⨯= π,欲使其近似值*π具有4位有效数字,必需!41*1021-⨯≤-ππ,3*310211021--⨯+≤≤⨯-πππ,即14209.314109.3*≤≤π即取( , )之间的任意数,都具有4位有效数字。
3已知2031.1=a ,978.0=b 是经过四舍五入后得到的近似值,问b a +,b a ⨯有几位有效数字(有效数字的计算)解:3*1021-⨯≤-aa ,2*1021-⨯≤-b b ,而1811.2=+b a ,1766.1=⨯b a 2123****102110211021)()(---⨯≤⨯+⨯≤-+-≤+-+b b a a b a b a故b a +至少具有2位有效数字。
2123*****10210065.01022031.1102978.0)()(---⨯≤=⨯+⨯≤-+-≤-b b a a a b b a ab 故b a ⨯至少具有2位有效数字。
4设0>x ,x 的相对误差为δ,求x ln 的误差和相对误差(误差的计算)~解:已知δ=-**xx x ,则误差为 δ=-=-***ln ln xx x x x则相对误差为******ln ln 1ln ln ln xxx x xxx x δ=-=-5测得某圆柱体高度h 的值为cm h 20*=,底面半径r 的值为cm r 5*=,已知cm h h 2.0||*≤-,cm r r 1.0||*≤-,求圆柱体体积h r v2π=的绝对误差限与相对误差限。
(误差限的计算)解:*2******2),(),(h h r r r h r r h v r h v -+-≤-ππ绝对误差限为πππ252.051.02052)5,20(),(2=⨯⋅+⨯⋅⋅⋅≤-v r h v相对误差限为%420120525)5,20()5,20(),(2==⋅⋅≤-ππv v r h v 6设x 的相对误差为%a ,求nx y =的相对误差。
第一章 绪 论1. 设x >0,x 的相对误差为δ,求ln x 的误差.2. 设x 的相对误差为2%,求nx 的相对误差.3. 以下各数都是经过四舍五入得到的近似数,即误差限不超过最后一位的半个单位,试指出它们是几位有效数字:*****123451.1021,0.031,385.6,56.430,7 1.0.x x x x x =====⨯4. 利用公式(3.3)求以下各近似值的误差限:********12412324(),(),()/,i x x x ii x x x iii x x ++其中****1234,,,x x x x 均为第3题所给的数.5. 计算球体积要使相对误差限为1%,问度量半径R 时允许的相对误差限是多少?6. 设028,Y =按递推公式1n n Y Y -=( n=1,2,…)计算到100Y .27.982(五位有效数字),试问计算100Y 将有多大误差?7. 求方程25610x x -+=的两个根,使它至少具有四位有效数字27.982).8. 当N 充分大时,怎样求211Ndx x +∞+⎰?9. 正方形的边长大约为100㎝,应怎样测量才能使其面积误差不超过1㎝2?10. 设212S gt =假定g 是准确的,而对t 的测量有±0.1秒的误差,证明当t 增加时S 的绝对误差增加,而相对误差却减小. 11. 序列{}n y 满足递推关系1101n n y y -=-(n=1,2,…),假设0 1.41y ≈(三位有效数字),计算到10y 时误差有多大?这个计算过程稳定吗?12.计算61)f =,1.4≈,利用以下等式计算,哪一个得到的结果最好?3--13.()ln(f x x =,求f (30)的值.假设开平方用六位函数表,问求对数时误差有多大?假设改用另一等价公式ln(ln(x x =-计算,求对数时误差有多大?14. 试用消元法解方程组{101012121010;2.x x x x +=+=假定只用三位数计算,问结果是否可靠?15. 已知三角形面积1sin ,2s ab c =其中c 为弧度,02c π<<,且测量a ,b ,c 的误差分别为,,.a b c ∆∆∆证明面积的误差s ∆满足.s a b cs a b c ∆∆∆∆≤++第二章 插值法1. 根据(2.2)定义的范德蒙行列式,令2000011211121()(,,,,)11n n n n n n n n n x x x V x V x x x x x x x xx x ----==证明()n V x 是n 次多项式,它的根是01,,n x x -,且101101()(,,,)()()n n n n V x V x x x x x x x ---=--.2. 当x = 1 , -1 , 2 时, f (x)= 0 , -3 , 4 ,求f (x )的二次插值多项式.3. 给出f (x )=ln x 的数值表用线性插值及二次插值计算ln 0.54 的近似值.4. 给出cos x ,0°≤x ≤90°的函数表,步长h =1′=(1/60)°,假设函数表具有5位有效数字,研究用线性插值求cos x 近似值时的总误差界.5. 设0k x x kh =+,k =0,1,2,3,求032max ()x x x l x ≤≤.6. 设jx 为互异节点(j =0,1,…,n ),求证:i)0()(0,1,,);nkkj jj x l x x k n =≡=∑ii)()()1,2,,).nk jj j xx l x k n =-≡0(=∑7. 设[]2(),f x C a b ∈且()()0f a f b ==,求证21()()().8max max a x ba xb f x b a f x ≤≤≤≤≤-"8. 在44x -≤≤上给出()xf x e =的等距节点函数表,假设用二次插值求xe 的近似值,要使截断误差不超过610-,问使用函数表的步长h 应取多少? 9. 假设2n n y =,求4n y ∆及4n y δ.10. 如果()f x 是m 次多项式,记()()()f x f x h f x ∆=+-,证明()f x 的k 阶差分()(0)k f x k m ∆≤≤是m k -次多项式,并且()0(m lf x l +∆=为正整数).11. 证明1()k k k k k k f g f g g f +∆=∆+∆.12. 证明110010.n n kkn n k k k k f gf g f g g f --+==∆=--∆∑∑13. 证明1200.n j n j y y y -=∆=∆-∆∑14. 假设1011()n n n n f x a a x a x a x --=++++有n 个不同实根12,,,n x x x ,证明{10,02;, 1.1()n k njk n a k n j jx f x -≤≤-=-=='∑15. 证明n 阶均差有以下性质: i)假设()()F x cf x =,则[][]0101,,,,,,n n F x x x cf x x x =;ii) 假设()()()F x f x g x =+,则[][][]010101,,,,,,,,,n n n F x x x f x x x g x x x =+.16. 74()31f x x x x =+++,求0172,2,,2f ⎡⎤⎣⎦及0182,2,,2f ⎡⎤⎣⎦.17. 证明两点三次埃尔米特插值余项是(4)22311()()()()/4!,(,)k k k k R x f x x x x x x ++=ξ--ξ∈并由此求出分段三次埃尔米特插值的误差限.18. 求一个次数不高于4次的多项式()P x ,使它满足(0)(1)P P k =-+并由此求出分段三次埃尔米特插值的误差限.19. 试求出一个最高次数不高于4次的函数多项式()P x ,以便使它能够满足以下边界条件(0)(0)0P P ='=,(1)(1)1P P ='=,(2)1P =.20. 设[](),f x C a b ∈,把[],a b 分为n 等分,试构造一个台阶形的零次分段插值函数()n x ϕ并证明当n →∞时,()n x ϕ在[],a b 上一致收敛到()f x .21. 设2()1/(1)f x x =+,在55x -≤≤上取10n =,按等距节点求分段线性插值函数()h I x ,计算各节点间中点处的()h I x 与()f x 的值,并估计误差.22. 求2()f x x =在[],a b 上的分段线性插值函数()h I x ,并估计误差.23. 求4()f x x =在[],a b 上的分段埃尔米特插值,并估计误差. 24. 给定数据表如下:试求三次样条插值并满足条件i) (0.25) 1.0000,(0.53)0.6868;S S '='=ii)(0.25)(0.53)0.S S "="=25. 假设[]2(),f x C a b ∈,()S x 是三次样条函数,证明 i)[][][][]222()()()()2()()()bbbba a a a f x dx S x dx f x S x dx S x f x S x dx "-"="-"+""-"⎰⎰⎰⎰;ii) 假设()()(0,1,,)i i f x S x i n ==,式中i x 为插值节点,且01n a x x x b =<<<=,则[][][]()()()()()()()()()baS x f x S x dx S b f b S b S a f a S a ""-"="'-'-"'-'⎰.26. 编出计算三次样条函数()S x 系数及其在插值节点中点的值的程序框图(()S x 可用(8.7)式的表达式).第三章 函数逼近与计算1. (a)利用区间变换推出区间为[],a b 的伯恩斯坦多项式.(b)对()sin f x x =在[]0,/2π上求1次和三次伯恩斯坦多项式并画出图形,并与相应的马克劳林级数部分和误差做比较. 2. 求证:(a)当()m f x M ≤≤时,(,)n m B f x M ≤≤. (b)当()f x x =时,(,)n B f x x =.3. 在次数不超过6的多项式中,求()sin 4f x x =在[]0,2π的最正确一致逼近多项式.4. 假设()f x 在[],a b 上连续,求()f x 的零次最正确一致逼近多项式.5. 选取常数a ,使301max x x ax≤≤-到达极小,又问这个解是否唯一?6. 求()sin f x x =在[]0,/2π上的最正确一次逼近多项式,并估计误差.7. 求()xf x e =在[]0,1上的最正确一次逼近多项式.8. 如何选取r ,使2()p x x r =+在[]1,1-上与零偏差最小?r 是否唯一? 9. 设43()31f x x x =+-,在[]0,1上求三次最正确逼近多项式. 10. 令[]()(21),0,1n n T x T x x =-∈,求***0123(),(),(),()T x T x T x T x .11. 试证{}*()nT x 是在[]0,1上带权ρ=的正交多项式.12. 在[]1,1-上利用插值极小化求11()f x tg x -=的三次近似最正确逼近多项式. 13. 设()xf x e =在[]1,1-上的插值极小化近似最正确逼近多项式为()n L x ,假设nf L ∞-有界,证明对任何1n ≥,存在常数n α、n β,使11()()()()(11).n n n n n T x f x L x T x x ++α≤-≤β-≤≤14. 设在[]1,1-上234511315165()128243843840x x x x x x ϕ=-----,试将()x ϕ降低到3次多项式并估计误差. 15. 在[]1,1-上利用幂级数项数求()sin f x x =的3次逼近多项式,使误差不超过0.005.16. ()f x 是[],a a -上的连续奇(偶)函数,证明不管n 是奇数或偶数,()f x 的最正确逼近多项式*()n n F x H ∈也是奇(偶)函数.17. 求a 、b 使[]220sin ax b x dxπ+-⎰为最小.并与1题及6题的一次逼近多项式误差作比较.18. ()f x 、[]1(),g x C a b ∈,定义 ()(,)()();()(,)()()()();b baaa f g f x g x dxb f g f x g x dx f a g a =''=''+⎰⎰问它们是否构成内积?19. 用许瓦兹不等式(4.5)估计6101x dx x +⎰的上界,并用积分中值定理估计同一积分的上下界,并比较其结果.20. 选择a ,使以下积分取得最小值:1122211(),x ax dx x ax dx----⎰⎰.21. 设空间{}{}10010121,,,span x span x x 1ϕ=ϕ=,分别在1ϕ、2ϕ上求出一个元素,使得其为[]20,1x C ∈的最正确平方逼近,并比较其结果.22. ()f x x =在[]1,1-上,求在{}2411,,span x x ϕ=上的最正确平方逼近.23.sin (1)arccos ()n n x u x +=是第二类切比雪夫多项式,证明它有递推关系()()()112n n n u x xu x u x +-=-.24. 将1()sin 2f x x=在[]1,1-上按勒让德多项式及切比雪夫多项式展开,求三次最正确平方逼近多项式并画出误差图形,再计算均方误差.25. 把()arccos f x x =在[]1,1-上展成切比雪夫级数.26. 用最小二乘法求一个形如2y a bx =+的经验公式,使它与以下数据拟合,并求均方误差.27.28. 在某化学反应里,根据实验所得分解物的浓度与时间关系如下:用最小二乘拟合求.29. 编出用正交多项式做最小二乘拟合的程序框图. 30. 编出改良FFT 算法的程序框图. 31. 现给出一张记录{}{}4,3,2,1,0,1,2,3k x =,试用改良FFT 算法求出序列{}k x 的离散频谱{}k C (0,1,,7).k =第四章 数值积分与数值微分1. 确定以下求积公式中的待定参数,使其代数精度尽量高,并指明所构造出的求积公式所具有的代数精度: (1)101()()(0)()hh f x dx A f h A f A f h --≈-++⎰; (2)21012()()(0)()hh f x dx A f h A f A f h--≈-++⎰;(3)[]1121()(1)2()3()/3f x dx f f xf x -≈-++⎰;(4)[][]20()(0)()/1(0)()hf x dx h f f h ah f f h ≈++'-'⎰.2. 分别用梯形公式和辛普森公式计算以下积分:(1)120,84xdx n x =+⎰; (2)1210(1),10x e dx n x --=⎰;(3)1,4n =⎰; (4),6n =.3. 直接验证柯特斯公式(2.4)具有5次代数精度.4. 用辛普森公式求积分1x e dx-⎰并计算误差.5. 推导以下三种矩形求积公式:(1)2()()()()()2ba f f x dxb a f a b a 'η=-+-⎰; (2)2()()()()()2baf f x dx b a f b b a 'η=---⎰;(3)3()()()()()224baa b f f x dx b a f b a +"η=-+-⎰.6. 证明梯形公式(2.9)和辛普森公式(2.11)当n →∞时收敛到积分()baf x dx⎰.7.用复化梯形公式求积分()baf x dx⎰,问要将积分区间[],a b 分成多少等分,才能保证误差不超过ε(设不计舍入误差)?8.1x e dx-,要求误差不超过510-.9. 卫星轨道是一个椭圆,椭圆周长的计算公式是S a =θ,这里a 是椭圆的半长轴,c是地球中心与轨道中心(椭圆中心)的距离,记h 为近地点距离,H 为远地点距离,6371R =公里为地球半径,则(2)/2,()/2a R H h c H h =++=-.我国第一颗人造卫星近地点距离439h =公里,远地点距离2384H =公里,试求卫星轨道的周长.10. 证明等式3524sin3!5!n nn n ππππ=-+-试依据sin(/)(3,6,12)n n n π=的值,用外推算法求π的近似值.11. 用以下方法计算积分31dyy ⎰并比较结果.(1) 龙贝格方法;(2) 三点及五点高斯公式;(3) 将积分区间分为四等分,用复化两点高斯公式.12. 用三点公式和五点公式分别求21()(1)f x x =+在x =1.0,1.1和1.2处的导数值,并估计误差.()f x 的值由下表给出:第五章 常微分方程数值解法1. 就初值问题0)0(,=+='y b ax y 分别导出尤拉方法和改良的尤拉方法的近似解的表达式,并与准确解bx ax y +=221相比较。
第三章 习题解:在坐标纸上标出所给数据,如图3.1。
从图看到各点在一条直线附近,故可选择线性函数做拟合,即令()x a a x S 101+=这里根据最小二乘法,N=5,m=1,()10=x ϕ,()xx =1ϕ,故其法方程为()()101,,,,==∑=k f a kjj jkϕϕϕ图3.1其中()()()()()()()()105151,,,,,=⎪⎪⎩⎪⎪⎨⎧==∑∑==k j x x f x f x x x i ik i i k i i k i j i k j ϕωϕϕϕωϕϕ 即()()()()()()∑∑∑∑∑================5115105121151011051005.1454774228i ii i ii i i i i ii i if f f f x x ωϕωϕωϕϕωϕϕϕϕωϕϕ,,,,,,于是得方程组⎩⎨⎧=+=+5.1457422472281010a a a a解得20.156.210==a a ,于是所求拟合曲线为()x x S 20.156.21+=2.求形如)(是常数,b a ae y bx =的经验公式,使它能和下表给出的数据相拟合。
解:对经验公式两边取常用对数得 e bx a x lg lg lg += 作变换令e b B a A y u lg lg lg ===,,得Bx A u +=这样可将原来的指数型拟合问题转化为一次多项式拟合来求解。
为了得出法方程组需算出一下数值:∑∑∑∑∑======81281818181lg i ii ii i i iii ixu x y u x ,,,这些数值课由表3.1算出表3.1 计算列表由上表得出的法方程组为⎩⎨⎧=+=+89595.63204360189.13368B A B A 求解得A=1.058337,B=0.12645由此得291162.043776.11==b a ,因此,所求的经验公式为291162.043776.11e y =3.用最小二乘法求一个形如2bx a y +=的经验公式,使它与下列数据想拟合,并计算均方误差。
第一章绪论习题一1.设x>0,x*的相对误差为δ,求f(x)=ln x的误差限。
解:求lnx的误差极限就是求f(x)=lnx的误差限,由公式(1.2.4)有已知的相对误差满足,而,故即2.有5位有效数字,其误差限,相对误差限有2位有效数字,有5位有效数字,3.(1)(2)解:要使计算较准确,主要是避免两相近数相减,故应变换所给公式。
(1)(2)4.近似数x*=0.0310,是 3 位有数数字。
5.计算取,利用:式计算误差最小。
1. 给定的数值表解:计(误差限,因误差限,故2. 在-4≤x≤4上给出的等距节点函数表,若用二次插值法求的近似值,要使误差不超过,函数表的步长h应取多少?解:用误差估计式(5.8),令因得3. 若,求和.解:由均差与导数关系于是4. 若互异,求的值,这里解:,由均差对称性可知当有而当P=n+1时于是得5. 求证.解:解:只要按差分定义直接展开得6. 已知由式由此可得f(0.23) N3(0.23)=0.23203由余项表达式(5.15)可得由于7. 给定f(x)=cosx的函数表用Newton等距插值公式计算cos 0.048及cos 0.566的近似值并估计误差解:先构造差分表计算,用误差估计由公式(5.17)得其中计算时用Newton后插公式(5.18)误差估计由公式(5.19)得这里8.使,显然,再令由9. 令称为第二类的表达式,并证明是[]上带权解:因10. 用最小二乘法求一个形如的经验公式,使它拟合下列数据,并计算均方误差.解:本题给出拟合曲线,即,故法方程系数解得最小二乘拟合曲线为11.满足条件的插值多项式(2) ,).设为互异节点,=( ),=( ).(4) 设是区间[0,1]上权函数为ρ(x)=x的最高项系数为1的正交多项式序列,其中,则=( ),=( )答:(1)(2)(3)(4)习题1.解 6.13)对)求出,按式()求得2. 用由(6.8)式估计误差,因,故3. 确定下列求积公式中的待定参数,使其代数精确度尽量高,并指明求积公式所具有的代数精确度.(1)(2)(3)解:本题直接利用求积公式精确度定义,则可突出求积公式的参数。
第一章 绪论(12)1、设0>x ,x 的相对误差为δ,求x ln 的误差。
[解]设0*>x 为x 的近似值,则有相对误差为δε=)(*x r ,绝对误差为**)(x x δε=,从而x ln 的误差为δδεε=='=*****1)()(ln )(ln x xx x x , 相对误差为****ln ln )(ln )(ln x x x x rδεε==。
2、设x 的相对误差为2%,求n x 的相对误差。
[解]设*x 为x 的近似值,则有相对误差为%2)(*=x r ε,绝对误差为**%2)(x x =ε,从而nx 的误差为nn x x nxn x x n x x x **1***%2%2)()()()(ln *⋅=='=-=εε,相对误差为%2)()(ln )(ln ***n x x x nr==εε。
3、下列各数都是经过四舍五入得到的近似数,即误差不超过最后一位的半个单位,试指出它们是几位有效数字:1021.1*1=x ,031.0*2=x ,6.385*3=x ,430.56*4=x ,0.17*5⨯=x 。
[解]1021.1*1=x 有5位有效数字;0031.0*2=x 有2位有效数字;6.385*3=x 有4位有效数字;430.56*4=x 有5位有效数字;0.17*5⨯=x 有2位有效数字。
4、利用公式(3.3)求下列各近似值的误差限,其中*4*3*2*1,,,x x x x 均为第3题所给的数。
(1)*4*2*1x x x ++;[解]3334*4*2*11***4*2*1*1005.1102110211021)()()()()(----=⨯=⨯+⨯+⨯=++=⎪⎪⎭⎫ ⎝⎛∂∂=++∑x x x x x f x x x e nk k k εεεε;(2)*3*2*1x x x ;[解]52130996425.010********.2131001708255.01048488.2121059768.01021)031.01021.1(1021)6.3851021.1(1021)6.385031.0()()()()()()()()(3333334*3*2*1*2*3*1*1*3*21***3*2*1*=⨯=⨯+⨯+⨯=⨯⨯+⨯⨯+⨯⨯=++=⎪⎪⎭⎫⎝⎛∂∂=-------=∑x x x x x x x x x x x f x x x e n k k kεεεε;(3)*4*2/x x 。
第一章 绪论(12)1、设0>x ,x 的相对误差为δ,求x ln 的误差。
[解]设0*>x 为x 的近似值,则有相对误差为δε=)(*x r ,绝对误差为**)(x x δε=,从而x ln 的误差为δδεε=='=*****1)()(ln )(ln x x x x x , 相对误差为****ln ln )(ln )(ln x x x x rδεε==。
2、设x 的相对误差为2%,求n x 的相对误差。
[解]设*x 为x 的近似值,则有相对误差为%2)(*=x r ε,绝对误差为**%2)(x x =ε,从而n x 的误差为nn x x nxn x x n x x x **1***%2%2)()()()(ln *⋅=='=-=εε,相对误差为%2)()(ln )(ln ***n x x x nr==εε。
3、下列各数都是经过四舍五入得到的近似数,即误差不超过最后一位的半个单位,试指出它们是几位有效数字:1021.1*1=x ,031.0*2=x ,6.385*3=x ,430.56*4=x ,0.17*5⨯=x 。
[解]1021.1*1=x 有5位有效数字;0031.0*2=x 有2位有效数字;6.385*3=x 有4位有效数字;430.56*4=x 有5位有效数字;0.17*5⨯=x 有2位有效数字。
4、利用公式(3.3)求下列各近似值的误差限,其中*4*3*2*1,,,x x x x 均为第3题所给的数。
(1)*4*2*1x x x ++; [解]3334*4*2*11***4*2*1*1005.1102110211021)()()()()(----=⨯=⨯+⨯+⨯=++=⎪⎪⎭⎫ ⎝⎛∂∂=++∑x x x x x f x x x e nk k k εεεε;(2)*3*2*1x x x ;[解]52130996425.010********.2131001708255.01048488.2121059768.01021)031.01021.1(1021)6.3851021.1(1021)6.385031.0()()()()()()()()(3333334*3*2*1*2*3*1*1*3*21***3*2*1*=⨯=⨯+⨯+⨯=⨯⨯+⨯⨯+⨯⨯=++=⎪⎪⎭⎫⎝⎛∂∂=-------=∑x x x x x x x x x x x f x x x e n k k kεεεε;(3)*4*2/x x 。
数值分析课后习题及答案第一章绪论(12)第二章插值法(40-42)2、当时,,求的二次插值多项式。
[解]。
3、给出的数值表用线性插值及二次插值计算的近似值。
X 0.4 0.5 0.6 0.7 0.8 -0.916291 -0.693147 -0.510826 -0.357765 -0.223144 [解]若取,,则,,则,从而。
若取,,,则,,,则,从而补充题:1、令,,写出的一次插值多项式,并估计插值余项。
[解]由,可知,,余项为,故。
2、设,试利用拉格朗日插值余项定理写出以为插值节点的三次插值多项式。
[解]由插值余项定理,有,从而。
5、给定数据表:,1 2 4 6 7 4 1 0 1 1 求4次牛顿插值多项式,并写出插值余项。
[解]一阶差商二阶差商三阶差商四阶差商 1 42 1 -34 0 6 17 1 0 由差商表可得4次牛顿插值多项式为:,插值余项为。
第三章函数逼近与计算(80-82)26、用最小二乘法求一个形如的经验公式,使它与下列数据相拟合,并求均方误差。
19 25 31 38 44 19.0 32.3 49.0 73.3 97.8[解]由。
又,,,故法方程为,解得。
均方误差为。
27、观测物体的直线运动,得出以下数据:时间t(秒)0 0.9 1.9 3.0 3.9 5.0 距离s(米)0 10 30 5080 110 [解]设直线运动为二次多项式,则由。
,。
又,,,故法方程为,解得。
故直线运动为。
补充题:1、现测得通过某电阻R的电流I及其两端的电压U如下表:I ……U ……试用最小二乘原理确定电阻R的大小。
[解]电流、电阻与电压之间满足如下关系:。
应用最小二乘原理,求R使得达到最小。
对求导得到:。
令,得到电阻R为。
2、对于某个长度测量了n次,得到n个近似值,通常取平均值作为所求长度,请说明理由。
[解]令,求x使得达到最小。
对求导得到:,令,得到,这说明取平均值在最小二乘意义下误差达到最小。