中国县域统计年鉴数据处理:辽宁各区县2013-2017多年宏观经济指标数据分析对比
- 格式:xlsx
- 大小:134.43 KB
- 文档页数:25
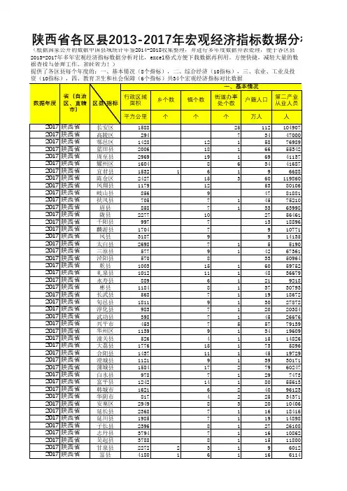
江西省各区县2013-2017年宏观经济指标数据分析对(根据国家公开的数据中国县域统计年鉴2014-2018收集整理,并进行多年度数据并表处理,便于各区县
2013-2017年多年宏观经济指标数据分析对比,excel格式方便下载数据再利用。
方便快捷,减轻大量的数
据查找与处理工作,省时省力!)
提供了各区县每个年度的:一、基本情况(8个指标),二、综合经济(10指标),三、农业、工业及投
资(10指标),四、教育卫生和社会保障(6个指标)共34个宏观经济指标对比数据
分析对比表
各种社会福利收养性单位床
床
3041
4165
2655
1336
3172
1235
1137
1273
2605
1237
4593
2817
781
1270
1349
2314
2200
70
430
860
1520
1470
1968
851
1723
738
866
880
906
856
1091
630
3615
2049
2861
2126
1074
1426
2541
1109
1347
1064
1001。
湖北省各区县2013-2017年宏观经济指标数据分析对(根据国家公开的数据中国县域统计年鉴2014-2018收集整理,并进行多年度数据并表处理,便于各区县
2013-2017年多年宏观经济指标数据分析对比,excel格式方便下载数据再利用。
方便快捷,减轻大量的数
据查找与处理工作,省时省力!)
提供了各区县每个年度的:一、基本情况(8个指标),二、综合经济(10指标),三、农业、工业及投
资(10指标),四、教育卫生和社会保障(6个指标)共34个宏观经济指标对比数据
分析对比表
各种社会福利收养性单位床
床
2145
1850
2579
1930
2338
2532
1521
2483
1716
666
540
2335
1505
748
2573
1298
2020
5633
3573
3232
1387
2580
4088
1821
3756
2062
5271
2109
2134
4880
3993
2713
3181
6288
2548
1059
4519
4320
3747
1167
1786
3062
1856
3448。
黑龙江省各区县2013-2017年宏观经济指标数据分析(根据国家公开的数据中国县域统计年鉴2014-2018收集整理,并进行多年度数据并表处理,便于各区县
2013-2017年多年宏观经济指标数据分析对比,excel格式方便下载数据再利用。
方便快捷,减轻大量的数
据查找与处理工作,省时省力!)
提供了各区县每个年度的:一、基本情况(8个指标),二、综合经济(10指标),三、农业、工业及投
资(10指标),四、教育卫生和社会保障(6个指标)共34个宏观经济指标对比数据
据分析对比表
各种社会福利收养性单位床
床
2108
1210
2181
556
1238
3970
1361
1103
1107
1250
514
4778
900
2044
1847
1140
1172
1871
640
1153
3732
1376
654
2325
125
260
961
998
1039
120
1552
2020
1432
361
578
2992
990
380
792
516
1266
30
680。
山西省各区县2013-2017年宏观经济指标数据分析对(根据国家公开的数据中国县域统计年鉴2014-2018收集整理,并进行多年度数据并表处理,便于各区县
2013-2017年多年宏观经济指标数据分析对比,excel格式方便下载数据再利用。
方便快捷,减轻大量的数
据查找与处理工作,省时省力!)
提供了各区县每个年度的:一、基本情况(8个指标),二、综合经济(10指标),三、农业、工业及投
资(10指标),四、教育卫生和社会保障(6个指标)共34个宏观经济指标对比数据
分析对比表
各种社会福利收养性单位床
床
740
1269
1096
504
710
680
392
1075
560
226
503
1070
942
48
419
246
423
861
781
856
781
50
989
641
330
1094
480
550
1322
424
805
680
2268
131
770
220
858
26
1097
430
71
810
705
796。
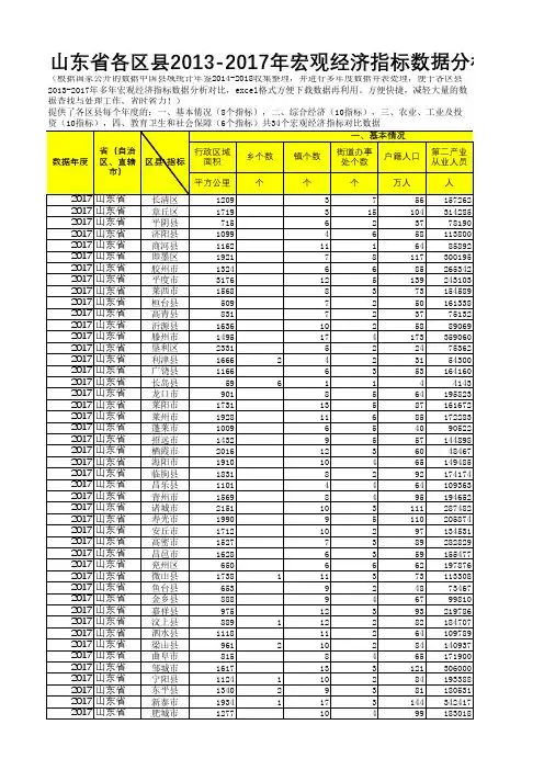
山东省各区县2013-2017年宏观经济指标数据分析对(根据国家公开的数据中国县域统计年鉴2014-2018收集整理,并进行多年度数据并表处理,便于各区县
2013-2017年多年宏观经济指标数据分析对比,excel格式方便下载数据再利用。
方便快捷,减轻大量的数
据查找与处理工作,省时省力!)
提供了各区县每个年度的:一、基本情况(8个指标),二、综合经济(10指标),三、农业、工业及投
资(10指标),四、教育卫生和社会保障(6个指标)共34个宏观经济指标对比数据
分析对比表
各种社会福利收养性单位床
床
967
2006
1226
1339
997
3408
2499
2505
2901
2542
856
369
3795
1536
1489
1618
80
2452
2390
4866
833
3444
986
4925
1365
1921
6930
7863
6955
1366
5899
2132
3569
1826
1347
1250
2566
3356
2041
2467
1842
6710
2899
2450。