中国县域统计年鉴数据处理:江西各区县2013-2017多年宏观经济指标数据分析对比
- 格式:xlsx
- 大小:187.93 KB
- 文档页数:40
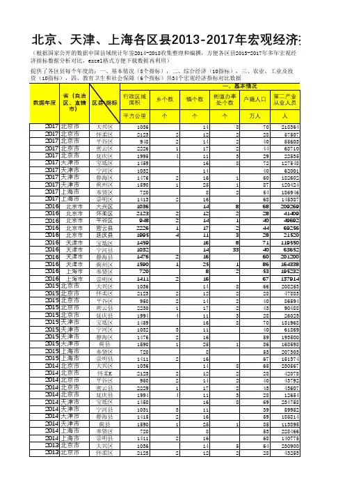
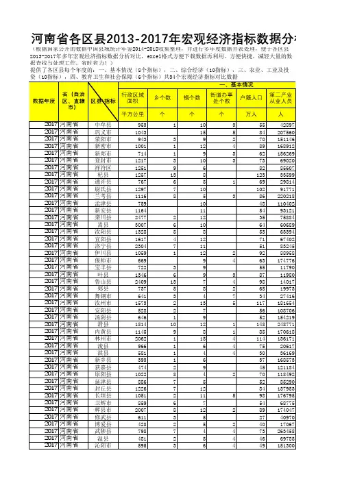
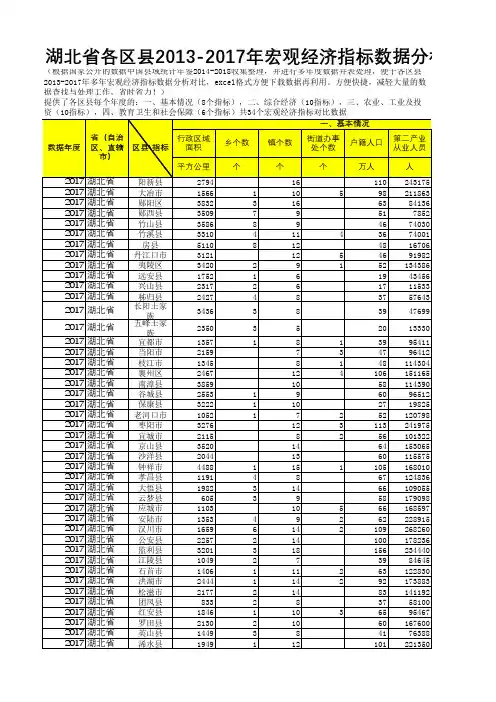
湖北省各区县2013-2017年宏观经济指标数据分析对(根据国家公开的数据中国县域统计年鉴2014-2018收集整理,并进行多年度数据并表处理,便于各区县
2013-2017年多年宏观经济指标数据分析对比,excel格式方便下载数据再利用。
方便快捷,减轻大量的数
据查找与处理工作,省时省力!)
提供了各区县每个年度的:一、基本情况(8个指标),二、综合经济(10指标),三、农业、工业及投
资(10指标),四、教育卫生和社会保障(6个指标)共34个宏观经济指标对比数据
分析对比表
各种社会福利收养性单位床
床
2145
1850
2579
1930
2338
2532
1521
2483
1716
666
540
2335
1505
748
2573
1298
2020
5633
3573
3232
1387
2580
4088
1821
3756
2062
5271
2109
2134
4880
3993
2713
3181
6288
2548
1059
4519
4320
3747
1167
1786
3062
1856
3448。
贵州省各区县2013-2017年宏观经济指标数据分析对(根据国家公开的数据中国县域统计年鉴2014-2018收集整理,并进行多年度数据并表处理,便于各区县
2013-2017年多年宏观经济指标数据分析对比,excel格式方便下载数据再利用。
方便快捷,减轻大量的数
据查找与处理工作,省时省力!)
提供了各区县每个年度的:一、基本情况(8个指标),二、综合经济(10指标),三、农业、工业及投
资(10指标),四、教育卫生和社会保障(6个指标)共34个宏观经济指标对比数据
分析对比表
各种社会福利收养性单位床
床
2164
1083
1298
1713
80
1260
3154
2510
2672
1750
3232
658
1476
970
1546
313
1716
3432
2335
538
569
903
732
377
1687
2206
1310
1090
1530
1036
1558
759
517
433
810
314
1400
1125。
指标单位南昌县新建县安义县进贤县浮梁县一.基本情况行政区域土地面积平方公里1684233866619552851乡(镇)个数个1619102117村民委员会个数个267309109273155年末总户数户2607851715217901821698181378乡村户数户1762981177764527514532157514年末总人口万人9166257528乡村人口万人7359186423年末单位从业人员数人4013534013108842171421616乡村从业人员数人35689028461481938321219107997农林牧渔业人2445402159694956715951173467农业机械总动力万千瓦特634184118本地电话年末用户户1356151057483928210506236276二.综合经济第一产业增加值万元2119031402114968614314652067第二产业增加值万元3311281944155091522309673190地方财政一般预算收入万元33202212636455145276308地方财政一般预算支出万元6066838598178523602619149城乡居民储蓄存款余额万元46429727385615607933811792903年末金融机构各项贷款余额万元33463320089010251420810058942三.农业.工业及基本建设粮食总产量吨755726492193132770365518137988棉花产量吨9927463454406油料产量吨7376224195562371083300肉类总产量吨9933343610174873883110109规模以上工业企业个数个7378277040规模以上工业总产值(现价)万元4655272923594915524100046488基本建设投资完成额万元17074575849246943540234182四.教育.卫生和社会保障普通中学在校学生数人5629340931165045522218243小学在校学生数人7777376161211086915319712医院.卫生院床位数床1037996372775261社会福利院数个2320131515社会福利院床位数床1301290216343254指标单位九江县武宁县修水县永修县德安县一.基本情况行政区域土地面积平方公里873350745032035863乡(镇)个数个1219361413村民委员会个数个10419838913684年末总户数户1070979631218712211041670386乡村户数户62356731311484206763626908年末总人口万人3535773723乡村人口万人2729662711年末单位从业人员数人149009595195492705912194乡村从业人员数人13231014482332095813336954074农林牧渔业人65501911221901799682533351农业机械总动力万千瓦特91218114本地电话年末用户户5262565000718325538831086二.综合经济第一产业增加值万元5001363295921806670422180第二产业增加值万元4764483500915907271865161地方财政一般预算收入万元85851140016187111086359地方财政一般预算支出万元2263025421425702585215771城乡居民储蓄存款余额万元10438812509016060714118288694年末金融机构各项贷款余额万元856608427614537319193380170三.农业.工业及基本建设粮食总产量吨5924212405517828617316742168棉花产量吨10682130525081935077油料产量吨1414659965145106174060肉类总产量吨52592551418960104805639规模以上工业企业个数个2227399133规模以上工业总产值(现价)万元590077750292967116827150895基本建设投资完成额万元1356415640550292257062041四.教育.卫生和社会保障普通中学在校学生数人287142700033351202109854小学在校学生数人313921784466137387289689医院.卫生院床位数床410507806765605社会福利院数个1921443413社会福利院床位数床188526026022039465指标单位分宜县余江县贵溪市赣县信丰县一.基本情况行政区域土地面积平方公里1389933231329932878乡(镇)个数个1011181916村民委员会个数个127125192279260年末总户数户9919190619153144151042181997乡村户数户5867369549102932116576139306年末总人口万人3135585767乡村人口万人2128424856年末单位从业人员数人1559618899441152141724431乡村从业人员数人104969134510199617256545286828农林牧渔业人6258781960123663137867138531农业机械总动力万千瓦特137141420本地电话年末用户户5020846340754005910074986二.综合经济第一产业增加值万元5536958984777757586690799第二产业增加值万元976653047537626150966122258地方财政一般预算收入万元164566194268741071616120地方财政一般预算支出万元3105919014374453034034699城乡居民储蓄存款余额万元147548127328269517170447225643年末金融机构各项贷款余额万元9188910291966413387120119554三.农业.工业及基本建设粮食总产量吨124379208369311928190870208902棉花产量吨204345油料产量吨246911488816849846939肉类总产量吨1945042181305883825922402规模以上工业企业个数个4227342129规模以上工业总产值(现价)万元9830990787192143514039979958基本建设投资完成额万元2461485171592373918775280四.教育.卫生和社会保障普通中学在校学生数人1458625789393713791451060小学在校学生数人1810031745420355116157469医院.卫生院床位数床553483923679529社会福利院数个4622242817社会福利院床位数床1020122411357501300指标单位定南县全南县宁都县于都县兴国县一.基本情况行政区域土地面积平方公里13161521405328933214乡(镇)个数个79242325村民委员会个数个11986288356304年末总户数户5244447649210547232138190065乡村户数户3832032280141921169607144060年末总人口万人2019729474村人口万人1713617463年末单位从业人员数人920213404201163166019383乡村从业人员数人8673765098319179351439364424农林牧渔业人5221333409199669191228农业机械总动力万千瓦特77161416本地电话年末用户户3156428875645619195464493二.综合经济第一产业增加值万元301023487310321588427104499第二产业增加值万元271044099210603010771878915地方财政一般预算收入万元63725691113221502811286地方财政一般预算支出万元1673815764379424228239665城乡居民储蓄存款余额万元5769569392262366240435177178年末金融机构各项贷款余额万元459674116612144995043112060三.农业.工业及基本建设粮食总产量吨5593269079310606233317258667棉花产量吨2222油料产量吨11937768100166784306肉类总产量吨266218769606793635166949规模以上工业企业个数个1321333525规模以上工业总产值(现价)万元3116757566332839372785354基本建设投资完成额万元916828435170102411653332四.教育.卫生和社会保障普通中学在校学生数人1438312360502105931145808小学在校学生数人15651105155518512115769311医院.卫生院床位数床488506883874566社会福利院数个110322530社会福利院床位数床360250310024001100指标单位吉安县吉水县峡江县新干县永丰县一.基本情况行政区域土地面积平方公里21112475131012292691乡(镇)个数个1918101321村民委员会个数个31524976135217年末总户数户1227471582424638996886105687乡村户数户8397989957316856896773052年末总人口万人4448163041乡村人口万人3839122434年末单位从业人员数人165892107093551304315839乡村从业人员数人18347918360958762119631167047农林牧渔业人1219481302334099878717117744农业机械总动力万千瓦特203071515本地电话年末用户户5310460059252144814447479二.综合经济第一产业增加值万元7335665815372676117168650第二产业增加值万元7771460632250804915074600地方财政一般预算收入万元139951088365671165310529地方财政一般预算支出万元3176826098142762463725096城乡居民储蓄存款余额万元18532218527288978187776144492年末金融机构各项贷款余额万元87520971576583310786488536三.农业.工业及基本建设粮食总产量吨280152374728184314259216236545棉花产量吨31471油料产量吨10143101936629151016025肉类总产量吨2180330042100933510016685规模以上工业企业个数个2455254140规模以上工业总产值(现价)万元120748834304111782232100592基本建设投资完成额万元4839322238220422828031669四.教育.卫生和社会保障普通中学在校学生数人2860627835109372376328824小学在校学生数人3988340792146402301644907医院.卫生院床位数床633576309635515社会福利院数个2121121728社会福利院床位数床97510606767901215乐平市莲花县上栗县芦溪县197410627129631613910298157155136 2223796543310834273744 1532314885098560604878025462864214525 4488410349109207209 298641100303226529126207 16937566701949696962635141413 7725234366506184322978540303954758342881 2586454320019130191290 2000052981260410089 38691194392739921135 325257971998107378180 20694738253404006650032621912410214788311049826201143640281061469 2442513052206051672091203945 253832300799049279144 60250381427478269670 54883207363450420552 673391824242364166931205353402382272017267087387731139星子县都昌县湖口县彭泽县瑞昌市894267066915421423102412141677257122177158 628211726717626594500120040 46848150094524866881375440 24732735422165222931 967423485170461543925118 97524317966108574146507143852 5482217474366525898657672162310136 43587701184254557070721122600058975445395541541120 34000412993798939331111850 6887109087376744713505 1720835768181192157024562 6213917336995122107972145551 600221195438659411558218109369004242180910147677877914 150418176045200172062 47511319513321245729803 5270164346770819512117 1423252662 27200459387091657202206576 2803334581478724957156011 1467864433243612613729509 3025483978212212772032038 570783457654694121142419474358011198182大余县上犹县崇义县安远县龙南县13681544219723751641 111416181310613112316794 9555481145550268306982141 5120763014398266725362649 30282035302125163026 1463711533114431106417351 10626813421380567145365153991 6967166442499919274278477 1085610 4521331121313373851548983 4779244915311715229149362 8540430868453701831083384 1020464597090610914328 2096818938167602371524303 136488872867442158850121107 681874787356356519225676390670897115308811208671815313414699225032587 2222915239680819431227122819211543 100613480987370315769122461 422487368203457094829092092920293127672654621532 18754213401512740404253756713662884462511218201988501500520800250会昌县寻乌县石城县瑞金市南康市272223111582244817961915101719237172130232294 1088458155080197142568233033 86422584225470811516816627444303162783926245066 12329941097271951018280 207375127958122632246073376930 2183921384508777780313144085194645 6881121 401993633532627614211118676607045703462506998182167 347522249822715708011082536579642754821105516701 2403120721194493180036215 842044103391990197948275900 487784138237413769031489551689369707694519173865228522141326121252968712496 30591266211385832642418071410102933 39841140955934114146145727 184259877188953838317331 2651122151247304135561895 55877332032725760328752154853174164658622317152922 14507407002100910泰和县遂川县万安县安福县永新县26813092203727962159 2223161923 297303137256256 15284714072083082108582121756 98132118711574056844682290 52533038484449252940 1984714934134421857113678 206817257226117014145233198208 14057315334979909105757137868 2410141417 784536203939472528745745310959051867419107178163138 7179554755267556216650001 1456297827622107077469 3053926635207132531027604 238423138338116317171077188730 12175470553113508656096198735239618361114577424346221944716658364165331534213191 3926225445163311866722359 2524222616 8665835689439526705941533 21009324661145771752711471 3237833796199132676927883 4259944245258462547444588 8556234795976702630192126 1320137213247801240。
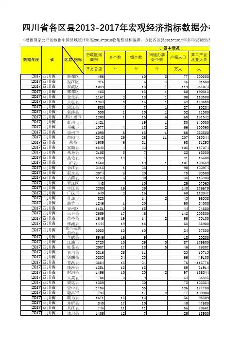
四川省各区县2013-2017年宏观经济指标数据分析对(根据国家公开的数据中国县域统计年鉴2014-2018收集整理和编撰,方便各区县2013-2017年多年宏观经济指2016四川省温江区276644388600 2016四川省双流区1029187107196295 2016四川省金堂县1156218190117700 2016四川省郫县43813158194900 2016四川省大邑县1284316151138400 2016四川省蒲江县5804712750200 2016四川省新津县33011013270300 2016四川省都江堰市1208113562150600 2016四川省彭州市142119181167000 2016四川省邛崃市1377418266106800 2016四川省崇州市1090618167280000 2016四川省简阳市221329254150119100 2016四川省荣县16056216877200 2016四川省富顺县1342422109116400 2016四川省米易县2110572217800 2016四川省盐边县32691242116300 2016四川省泸县1530191107188800 2016四川省合江县241422590185848 2016四川省叙永县29747187291900 2016四川省古蔺县318462087115800 2016四川省中江县220016291421110002016四川省罗江县448102533000 2016四川省广汉市54921661114000 2016四川省什邡市8201424483050 2016四川省绵竹市12461205177000 2016四川省安州区11813154574900 2016四川省三台县26592241145204400 2016四川省盐亭县1645191425770400 2016四川省梓潼县1444191338541002016四川省北川羌族308313102437900自治县2016四川省平武县59461691820300 2016四川省江油市27201029388180200 2016四川省旺苍县2980181734575700 2016四川省青川县321625112312033 2016四川省剑阁县320234236647700 2016四川省苍溪县233415247781000 2016四川省蓬溪县1251131871124400 2016四川省射洪县149610202100177500 2016四川省大英县703295563300 2016四川省威远县12892073115500 2016四川省资中县173533128185600 2016四川省隆昌县79417278195000 2016四川省犍为县137118125790700 2016四川省井研县84017104148500 2016四川省夹江县74511113570300 2016四川省沐川县140512726201002016四川省峨边彝族23821361514600自治县2016四川省马边彝族2293155229500自治县2016四川省峨眉山市11816124370200 2016四川省南部县223040312127247600 2016四川省营山县16353419193131900 2016四川省蓬安县133124157057100 2016四川省仪陇县17732829109183200 2016四川省西充县110928166270300 2016四川省阆中市18752125486103200 2016四川省彭山区4673103360800 2016四川省仁寿县26082634157178873 2016四川省洪雅县18974113528900 2016四川省丹棱县449251626400 2016四川省青神县387372050200 2016四川省南溪区7045824375200 2016四川省宜宾县2940323103171500 2016四川省江安县8943155678500 2016四川省长宁县9965134756700 2016四川省高县13207125461900 2016四川省珙县11456114474600 2016四川省筠连县1256994556200 2016四川省兴文县13805104952200 2016四川省屏山县1504693132700 2016四川省岳池县1479212211784500 2016四川省武胜县9561417348499600 2016四川省邻水县19072421103112700 2016四川省华蓥市4641933658300 2016四川省达川区225530242121179600 2016四川省宣汉县4271272713268400 2016四川省开江县10327136164600 2016四川省大竹县2079232531111797002016四川省渠县20183525140157600 2016四川省万源市405337155936900 2016四川省名山区6141192832200 2016四川省荥经县17771831533000 2016四川省汉源县221520103223409 2016四川省石棉县267915111212100 2016四川省天全县23901321528900 2016四川省芦山县1191451225200 2016四川省宝兴县311463612400 2016四川省通江县412035147564000 2016四川省南江县3388291966115700 2016四川省平昌县222915291101136113 2016四川省安岳县2690422716195400 2016四川省乐至县14248178355900 2016四川省马尔康市662610463200 2016四川省汶川县408448109100 2016四川省理县43188542400 2016四川省茂县3897147117500 2016四川省松潘县834123282700 2016四川省九寨沟县528812373000 2016四川省金川县552419372900 2016四川省小金县556516583300 2016四川省黑水县415414362600 2016四川省壤塘县66409341600 2016四川省阿坝县1043517282400 2016四川省若尔盖县1043713483300 2016四川省红原县82966551900 2016四川省康定市11486156119500 2016四川省泸定县21655793100 2016四川省丹巴县465612364300 2016四川省九龙县676616274400 2016四川省雅江县75581435900 2016四川省道孚县70531846800 2016四川省炉霍县46011335800 2016四川省甘孜县73031937900 2016四川省新龙县857016351700 2016四川省德格县1102520691500 2016四川省白玉县103861526722 2016四川省石渠县249441669600 2016四川省色达县93321346783 2016四川省理塘县1399722271900 2016四川省巴塘县785216351500 2016四川省乡城县50169331100 2016四川省稻城县73231133680 2016四川省得荣县29169333600 2016四川省西昌市265729866684400 2016四川省木里藏族132222541413900自治县2016四川省盐源县84122193812500 2016四川省德昌县223010112115000 2016四川省会理县4537301324673100 2016四川省会东县32257134326600 2016四川省宁南县16721872011100 2016四川省普格县1905313206700 2016四川省布拖县1685273183000 2016四川省金阳县1587304215200 2016四川省昭觉县27024613211100 2016四川省喜德县2202177322180002016四川省冕宁县442222164028700 2016四川省越西县22583463628000 2016四川省甘洛县21562172315400 2016四川省美姑县2515351268800分析对比表经济指标数据分析对比,excel格式方便下载数据再利用)1323002120004264588178313165227107712127165357152279208 3528815848449671540353256272782670374566353851580752194 260700868323236557434820320749961611482262245105162295 131300177767462725322304321594960892643626397814276300 141700104879204230433484213042718397586405911054272355 577001015481179685184788104709756635872686067242646 7740067762259200416859390582697281510811201061134789 21660016700830622452563261090711024471111523442544177117 1461009484836072884815063029321663742048538210635154929 178800709112281261355767176355153413104995214323796056 1480007220025404353364221934461288631234032169881131100 19660010600038278387563293269473862111975879196035138028 13640063394201627143007825701111761310306295768836836 18610092104242562842111722334513218012441127156747479 2640033286145090312952495331196009508628807156480 161002101212406909753258478282719335974882241269 147500834002803245477014274220163083164177813090479039 12374655594178061035737020365012031176608410006651186 94700491061093350215414124040684235092077721149415 1085005735314011352163441286947247381639416152678064 314000929133111510795268345287406107132154212363042455470002574997169019194185053970115132933250521147 1330001342003556673332165187729130188213942616595499785 82070760792506197273506182039836881387451154195110345 1290007878823776543009241777111064661340972120278106411 855005869711795142853811668781012435277315672842361 20600010236722335707549964378222697806100888471542743 92100344929418563558722042771229352615673262720097 673003461791782327272315722696676369513271791384443100243074388591039494929738615155435400472812432700137963722528159043756258751939282828412584 1728001578843470945439537260033151046167444817639281593 805004682496479115954084339641285265224109623231 3328721611318113739043751025005129854168549561 100300446129829852532911377721062623687694261022732 1010009153612488442916901380421168155380064610932715 162700316511325320262951146178864906359294669427578 186300893723207652432325230850169829182057710020070540 89500331421423317244754131617927257856715720537795 14650091809317358342630525450112866821140167016346425 168400106525255944966044335945323142911350598809941639 20540091030252661530866114884011661715821307918857222 122800540121461684260055128150990707068085556836517 8350033840866677217017773021058383804475246417933 73500708961370061195690116917607337169876563331944 572002216558376813069673202287722589692807415082 29500115223779954368015416220131938502652934544 4200014479349327780954871921374148524347372291912750010029424119771725878403278598124703425195280532 314600113196289008157186125376326568815316168792147421 2186007670115495483966851863302001556853346023138983 1583005203514184753759681813081752616542005350026064 1755007316816887615817352311503222116354096295438157 1493004790911000993167711541291494864363265269134039 23290010994219388754558002428811697768648539464762480 62200590391341020136969566276143777392013116691326 21548516350036789827368753916142838641835067220200121552 4570026200108530016156373138694776050959007557908 209003276154277110581459665384362790613443021205 27000284007019769049942715377283626614635028745 81700362191167350221465131288736306113478663237206 180800726812346417427990234757162437122411310410972908 80700392631327022237147127760824127539157355347852 73100415821180729242671109213800775489145623529232 78800372961220131212266112886844526978384720027867 800004151313275731810768126585935211916910042057 6440034221119852120477896893952927055696021627534 567004156587880519627199927800723516286830729892 471002125143490115862685291575161400076380735636 16340075860203554241025121863216549393172210677461495 112800535252030722382499209982146614102925811146860038 13980071734211924638994521982414319910387379688652185 5360043217143216211961266151441079365226819539663 1644001409482404444500686318956147009103302412825473676 2926001056002425270590070385539172219102366115814699145 1310004250711187603149111903521049083918134550823500 16530094049283556157223834874418692413222321858716082325630078206235542861204738472619197592300410056746982 13600095001256975292879187962922674732343796925192 4860038486665236183052138613411572946121500210836 38800213746601646380334581173743958822064116592 7424639235690692143949106866318093495924032536101 30400205547603095606438157166885448784160034500 32300189775379367494426545312323096791547712644 30000188403549975501529174182152119181371811276 1010096132869883521116687133741913312010013805 196000582151044476200061113884759724388374309818856 134000108900112969617615799190682426402737779636523 181355544211314859221276102818949807110358025747856 155000881913044190751955464399244188132918812428863367 1058003633519349263312961345631652859737638020155292 289002050624292423154613715782352081854614997 30100190665664733572415770128583738103008819165 10900909023255019355115996779169261110087509 27500209843284085126831956169982092681678112300 247001789019293233684144321665159212370968602 27100320042609911994872219248830612375913772 145003420122973291609114168684346764454848 11800108991447142856712525136056120766323184 185007304217343236967336122791545851265085700 7700361976551245834362189251314022371594 109004855104130355613926311782103655013924 82008700164280750132409719073095057202668 86006983121435393273545353003435143082674 25632339275508414868524662227842435344944336826 147001464718303134342275706501773171695811403 1120062731417543562322582122455614490976976 700051432208813154017942113451397902231515143 69004530108558261051270010293452222520519344 840035848141224361806139931487480665184 7300327261984251065507189091215951753500 1030046958920246306187442684484931665293875 48002180857033623410247242401293445283057 5200253978194354768979252041209649392685 5302120011041234722754624808512311763614622 5700264983712442451289029823709272492909 499029676900634835308731199723466582941 7000500010389440326717032193181671215310931 10200459810662431465166601354040959114639749 4900353187437226391099985633274156905098 62105536651272056310044872015079120005761 1532291170269200851100868012533351532919 21700017545645720064302422742351257472262176472390173983 3730057042973905706025886260691562045607839689 3250020298757819193961115937738463953737011354300 3870022026681963172043113327480223046064951329138 16430053686219033840960124991913002512613587850053610 684002414412407953952472467761156275590078523867241 258001799054105116388883817680912112844540325342 197007250241943819065187925812742441781613727 10600363424576873007459952373210921894584282 1640054652893066826837115263491502961900713398 317007448274784102145489474334177757129146332 4590064301999307027432186349505576813666456267000333871072629206403122744725385958796223840999 700001527436011911812467287427741186201313211037 37600115352668746357929965311691027171823111355 2560051212115988934530944498645145367894882412892368706537044791714414784671398 1499432761472080410683123070363921115028930 467173231101322245222328173230731110046481 6006734151905433588224108204818065410032 29607120892001481220262627297720116712107 18161110280407787781612667645317915914 31255717722572062062161468368310332310386 4081353594410224118025156314973821824 461872344539823008104031612144127480017442 42262023319741899050373539973626940038056 371277314181019463634141553139129300024732 573927320052621270466434467145868000037367597 338333182262210341853519406417043123514826 380166244641413636082918267286250024617656 1651795405845464192071203475903301202 142616331211478851173301141690841532 439590249282412376784816987246752510811122 3955782043319116263939217333305173404262 41007795014673404537128152102520165134 458930763967106013522108665926482316548 496453285322411339965951670136979597820276290135965694035492177201471526512732237965 321508301991325108232542007449131961631852 26179417613011324601182744688719342113610 28905317066311184903254433073128176113038 20140812488838716174036076228025525139399 523853281800313272816460766200740876131120085 2866211248424591259392626625530155110037345 193385816525588240352630328121162145492321415459213886924496993546947709918317537929259625010800147625025557 38188431787641917367694096097130301045939 288859100803050321829810221520825215586 189576478036520685936004251083089959 34322812483396650328557519548422330107494 398167189051510959478238668136037320154988 3157621329118878737192254312873443523648789 3471022427990163770025266671417437793363628177 2152721145836100539916794936249890207825643 309893177806315190203033070520630701720702 44637326142111288899353646744852809740084 310833202049410455543122000132028019111376 2732871355112960859341160020123854411290 17350010667985993583156808222886014446 18618115264548196824511944201811361013400 18080047114735478913103014779905818 18685932770458026611689396911492 197932298654231102670276636626272422542145952161811931689140329544013122 562786239919912531974475215955218524375099 505558218703410536623523753362536948049554 372824129700561936333612567033229445631 5028232061268123415741884229814677412564253 33600014006837439082627320200837062221141107 438851221586214919874421125122836874442361 2637831358943871319241683022215273510470 635158395527220016067062000597481882550643170 227235699532712166201076883912812710586 181517581299294357229567325794237472 145764651568419399178100101907837865 23008885696284624422480063121682377513 4436781915741194316959566740952098935982 24425910186786685552151753022269427941 21930774893964146629612633521648313676 2553728022824926032020223736611264 2439446843185442472327407341461279380 2449405131864498631413331841550033033 2781385974655331072157463592137194613 2067525648454324871413342701170417642 47851325851299799355449467147853174730816 368997205423210039663567290110534234821943 44338819655909673045130267121546150036836 248593118484071745623826710061043182358 55888710493514376624526910535850337657069 618300250063511967735427233287860089588068 2781011324511509232301560541526244338442 465353285717814146263835067204355889444909539538287257212888904037826394755468358271 351887106891981456832390045128539828014 134980838709557758272316212921069132 107982501121336988181850552510536293 1703838563404951432310004301130382152 1145004110006154001433333275892657 10996145174549666812171706614688 155531359100254400162207146470803446 8768719690623521791218534572 44618512522417278532816731171239403436210 4621021461491919201361452053536241525031 48231815840009978005220859243139067942367 58381830875641351836773073437272660916776760 3624911878776896009372367215837099559835 1162922547556015508129346 14747030521930495561211054958 850461376862174885857333 149532294147238708549323051231 14661816582712139064205318980269 13562223062138557187510645358 12980815006065630618189180 15329217422419933011122451890 125144118071138507615338 1195184994018047412433056272 1655319252444418617023258251570 1572951002449684051660250481568 12709663975923121106733 19725151886513179851238550672220499 124152345621282139467107131882252 1259591527133168998745114111092 113092982522212908620419506344 146298788167696081265310602133 14061768003192456319010149801470 1281276378722320420191713200569 1550349457028373759005377002000 125757519121345862002612105731 13352556707162311367214402 12035649320392465387411400600 18248855457391682180228179384 2082671266651807113346238716 1872107339136545816133713885897 10518390771585092200815505809 895505451295954515901910706701 1141495892268013714511110591102 8898947542657886105111989456 62515925807203569525642287733002927623119 267879139553289144105585179881 289452354733213921456720266174697634 158982417610241895269295321949381012 26933988921873968156167962492865954652 25248153248322203534567030024885220397 1509832906769685911327424812501018 166459152022707281012508973866356 1872911409414172141072084100 186807113531593617962793186 233320195638734991544114106014 1647791512235286573578698038522023282155192134002015122191791744763687 22763029350912134791857401196008286 1876602256238473575817601843 20805414510484222528179429肉类总产量规模以上工业企业单位数规模以上工业总产值固定资产投资普通中学在校学生数中等职业教育学校在校学生小学在校学生数医疗卫生机构床位数各种社会福利收养性单位数吨个万元万元人人人床个340376239962767485880132132002415517320305977832154042182347964966313034428909154625197342279217329141975557654665420135163214846239914077161059304141211473173481621158212281525223261599240032975352416138111652093157333773458972115121996284325913412121166203621088302275633504918390698341166571206572912110625443084631002911548793500163362390028451053526131404198910328633140228212912865421123257402947562583470118991718064558335439262313957709237327423278563517154427162912075024536110271053122134322870686981748205731417619190925426229920234127092548174002956171471286015351938841402312014087135621955192749441600517262837761269231338722371962027545045896715181429114971839829618461144816427334872743679470710235263346837354567407327617657220722046266216417083947933287110601918241612952929524048264455166399853663196717432218825726264328116330295739539194653408716228331727206195813842679931583699339202675489875063624844484519632652154746087370641711783327022548122032956116718531785415501498909612651304323091126975612811535777523四、教育、卫生和社会保障资67612114567666368087419744172583071855548 48838323122723449802462382222133573051619426 720942042046581369411433329315847988610720 85593486246732330910027622154364917139259 732221252452408221184415702858322994383113 564739510322451526275860614011094215128 416951525242547301481011987126214615227012 47722901785573230160423797307331039590910 598411285925541230570323856623036250530415 1247781442110000234336921947314924818382811 78772160287767825385582119797229000497156 1168601977614282331111558388938983291680849 80400912157890101646619954263431347322229 880881132744545126642647913433965479322228 1425848178999011810961077326491435587011 1735835182808796119693691440283210 10099313030981183000166613431057079895399425 690438813109032563641404221562478263365530 3845653488555136583436835311561962231729 41293372191120196914243063690371724240029 13185821437616891533214433897148677874554564099810926752939855187517470610452105312 535203108877394202388517900220024817299520 382352264662830159674712963277916423297718 478941466250278178935413218123418325290322 358541092217657112016614394179621613187222 1241788874825698389044315431261287604069 557111811201362801913454255819341269250 392864510788837676469259254113653140619200503525473240802388112045108931338121174828220235343032526287866916879 558602215419367180100827364861134204732935 3449571127881472350618339213022239248014 18437403627014193278013111091077789 744595994784068696220750448128425283717 738064875905195401731125617741349321718 5265471985611146524918401247325439239429 80946118428162206726734570684140715401140 48181812042799183515516308370125494195414 51546885492045182250626270515837223355626 92122752437936172425546914498966155405052 46634984388000175450930446139447314334638 6260673140779995080017547280225637211231 690805514335754400191155181718425147816 3331297217663612365259513129712729211611 2106831476313473921891910931541480322 9216295318712514314732600112395287 14163222590424111781008810002320556552463878277347116366521506124041800727165 818431083731371279870949410335660972487955 72373542115767108479035023125249631420656 47391693061304132831223824257833097294086 93214561686825143583647557311255915375761 58520791553808106498918656216622900272840 74050551520898215436429816749146241426745 38375109369548022729649327236812876139418 12582016942048003168039328751047768185561894 2842543611106115888310148277814350153011 18761395402966882944056105166206868 200885110650966826945138858678312127 37910801856209100817220451556327729183116 867071043215220195062547177840765891437738 41330692674219150205221756389132100244427 38495611417418141816318731607330297191920 37531602002943143404621444373235422159622 35967641190877137890916324539330314183919 364354070521695844922184313734979149618 3566963694931105723529004573437707205517 244573942969473533412475285821308110214 755198124018001916472454161323661320365043 82286933482286177727234676697239996267732 72585922755514199817952446984357518289841 330381153622675186409916736299722879152214 8192310220892722797361613361115073050472552 884193511826692581327658181058693322350351 4720950622060110607325922182035728162920 92403106228642727007515037461117027336134695924711780584266456652143480858739469247 4654437561632122915227624221637136172942 32754501096248622056942514381541194423 8932547079856005675685628100788726 20313289435416002451343813161829911254 83334385119460070054204651067413236 139593141145268343964589261031212042 914946481838611791525765126387 596841413469532230182129822074 7529843701306199219840336649154858319016 68918491154664261449335656972835046269823 73659532101325273590146788733751840466216 1210821673058417231540359609789591730595774 824881032794910208949824107479735981304351 75956299023331763516160833535973 4978341346746289415646068049125012 264715260569485384152020292462 7082215667893706865460111267975936 5748660582353234411945372791 4163476103390627385148833443 592425162370809247434302835 61208124375190290384242083481 549611169176165104190933051581 5743147456115144972315 786313297178050242098245553 17103450256203951552179102572 7711965039170410292347802173 485014184829101566484782272868818314 50007963703530446455383761234312 3923549200137378304437214083 319712166274113868508570342311 221114021650038244351132152 3003150909173061231451 342126476110707233652541805 4783101405317061173014 37001036881027370912411 501887709135976903218 430015629312479979545673651 5006103325171491201369 6636117526118246704597 4970161065213273561767 2608312546230089312656593622 2275322792123286140336421241 1765205048123028082501 20591631113292710582060983 577185633788003203842546901409979852579511 1100651814007140636545124975661 31560192792005704442282629153843216732 24878345328007204051182436222049310844 782165125356009402682228233352983819239 503152110050001162533227253814059717446 22085205684001100097997217081752710092 1158231170002151598353296525664 1115641228002264314192310676682 133207218002141046136275107582 223881011280030318311420389899752 1319162300015007189807828585535131922344952006072811947414544104520314 2469014222800230569138743984635611101 148051595700190820100721564269009592 230264398002218067944375309082。
山西省各区县2013-2017年宏观经济指标数据分析对(根据国家公开的数据中国县域统计年鉴2014-2018收集整理,并进行多年度数据并表处理,便于各区县
2013-2017年多年宏观经济指标数据分析对比,excel格式方便下载数据再利用。
方便快捷,减轻大量的数
据查找与处理工作,省时省力!)
提供了各区县每个年度的:一、基本情况(8个指标),二、综合经济(10指标),三、农业、工业及投
资(10指标),四、教育卫生和社会保障(6个指标)共34个宏观经济指标对比数据
分析对比表
各种社会福利收养性单位床
床
740
1269
1096
504
710
680
392
1075
560
226
503
1070
942
48
419
246
423
861
781
856
781
50
989
641
330
1094
480
550
1322
424
805
680
2268
131
770
220
858
26
1097
430
71
810
705
796。
湖南省各区县2013-2017年宏观经济指标数据分析对(根据国家公开的数据中国县域统计年鉴2014-2018收集整理,并进行多年度数据并表处理,便于各区县
2013-2017年多年宏观经济指标数据分析对比,excel格式方便下载数据再利用。
方便快捷,减轻大量的数
据查找与处理工作,省时省力!)
提供了各区县每个年度的:一、基本情况(8个指标),二、综合经济(10指标),三、农业、工业及投
资(10指标),四、教育卫生和社会保障(6个指标)共34个宏观经济指标对比数据
分析对比表
各种社会福利收养性单位床
床
2827
4055
7078
5323
925
1839
135
1260
4450
2150
5810
349
4775
2414
2244
1398
2280
1344
1926
4712
875
1412
1282
794
659
998
507
1024
2242
1250
2248
2310
1757
1385
2950
245
3933
3000
4567
2055
2367
2007
429。
山东省各区县2013-2017年宏观经济指标数据分析对(根据国家公开的数据中国县域统计年鉴2014-2018收集整理,并进行多年度数据并表处理,便于各区县
2013-2017年多年宏观经济指标数据分析对比,excel格式方便下载数据再利用。
方便快捷,减轻大量的数
据查找与处理工作,省时省力!)
提供了各区县每个年度的:一、基本情况(8个指标),二、综合经济(10指标),三、农业、工业及投
资(10指标),四、教育卫生和社会保障(6个指标)共34个宏观经济指标对比数据
分析对比表
各种社会福利收养性单位床
床
967
2006
1226
1339
997
3408
2499
2505
2901
2542
856
369
3795
1536
1489
1618
80
2452
2390
4866
833
3444
986
4925
1365
1921
6930
7863
6955
1366
5899
2132
3569
1826
1347
1250
2566
3356
2041
2467
1842
6710
2899
2450。
江西省各区县2013-2017年宏观经济指标数据分析对(根据国家公开的数据中国县域统计年鉴2014-2018收集整理,并进行多年度数据并表处理,便于各区县
2013-2017年多年宏观经济指标数据分析对比,excel格式方便下载数据再利用。
方便快捷,减轻大量的数
据查找与处理工作,省时省力!)
提供了各区县每个年度的:一、基本情况(8个指标),二、综合经济(10指标),三、农业、工业及投
资(10指标),四、教育卫生和社会保障(6个指标)共34个宏观经济指标对比数据
分析对比表
各种社会福利收养性单位床
床
3041
4165
2655
1336
3172
1235
1137
1273
2605
1237
4593
2817
781
1270
1349
2314
2200
70
430
860
1520
1470
1968
851
1723
738
866
880
906
856
1091
630
3615
2049
2861
2126
1074
1426
2541
1109
1347
1064
1001。