2000-2018年山东省县域规模以上工业企业单位数_中国县域统计年鉴
- 格式:xls
- 大小:54.50 KB
- 文档页数:6
山东省规模以上工业企业主要指标3年数据分析报告2020版前言本报告主要收集权威机构数据如中国国家统计局,行业年报等,通过整理及清洗,从数据出发解读山东省规模以上工业企业主要指标现状及趋势。
山东省规模以上工业企业主要指标数据分析报告知识产权为发布方即我公司天津旷维所有,其他方引用我方报告均需注明出处。
本报告深度解读山东省规模以上工业企业主要指标核心指标从规模以上工业企业单位数量,规模以上工业企业资产总计,规模以上工业企业流动资产合计,规模以上工业企业应收账款,规模以上工业企业存货,规模以上工业企业产成品存货,规模以上工业企业负债合计等不同角度分析并对山东省规模以上工业企业主要指标现状及发展态势梳理,相信能为你全面、客观的呈现山东省规模以上工业企业主要指标价值信息,帮助需求者提供重要决策参考。
目录第一节山东省规模以上工业企业主要指标现状 (1)第二节山东省规模以上工业企业单位数量指标分析 (3)一、山东省规模以上工业企业单位数量现状统计 (3)二、全国规模以上工业企业单位数量现状统计 (3)三、山东省规模以上工业企业单位数量占全国规模以上工业企业单位数量比重统计 (3)四、山东省规模以上工业企业单位数量(2017-2019)统计分析 (4)五、山东省规模以上工业企业单位数量(2018-2019)变动分析 (4)六、全国规模以上工业企业单位数量(2017-2019)统计分析 (5)七、全国规模以上工业企业单位数量(2018-2019)变动分析 (5)八、山东省规模以上工业企业单位数量同全国规模以上工业企业单位数量(2018-2019)变动对比分析 (6)第三节山东省规模以上工业企业资产总计指标分析 (7)一、山东省规模以上工业企业资产总计现状统计 (7)二、全国规模以上工业企业资产总计现状统计分析 (7)三、山东省规模以上工业企业资产总计占全国规模以上工业企业资产总计比重统计分析.7四、山东省规模以上工业企业资产总计(2017-2019)统计分析 (8)五、山东省规模以上工业企业资产总计(2018-2019)变动分析 (8)六、全国规模以上工业企业资产总计(2017-2019)统计分析 (9)七、全国规模以上工业企业资产总计(2018-2019)变动分析 (9)八、山东省规模以上工业企业资产总计同全国规模以上工业企业资产总计(2018-2019)变动对比分析 (10)第四节山东省规模以上工业企业流动资产合计指标分析 (11)一、山东省规模以上工业企业流动资产合计现状统计 (11)二、全国规模以上工业企业流动资产合计现状统计分析 (11)三、山东省规模以上工业企业流动资产合计占全国规模以上工业企业流动资产合计比重统计分析 (11)四、山东省规模以上工业企业流动资产合计(2017-2019)统计分析 (12)五、山东省规模以上工业企业流动资产合计(2018-2019)变动分析 (12)六、全国规模以上工业企业流动资产合计(2017-2019)统计分析 (13)七、全国规模以上工业企业流动资产合计(2018-2019)变动分析 (13)八、山东省规模以上工业企业流动资产合计同全国规模以上工业企业流动资产合计(2018-2019)变动对比分析 (14)第五节山东省规模以上工业企业应收账款指标分析 (15)一、山东省规模以上工业企业应收账款现状统计 (15)二、全国规模以上工业企业应收账款现状统计 (15)三、山东省规模以上工业企业应收账款占全国规模以上工业企业应收账款比重统计 (15)四、山东省规模以上工业企业应收账款(2017-2019)统计分析 (16)五、山东省规模以上工业企业应收账款(2018-2019)变动分析 (16)六、全国规模以上工业企业应收账款(2017-2019)统计分析 (17)七、全国规模以上工业企业应收账款(2018-2019)变动分析 (17)八、山东省规模以上工业企业应收账款同全国规模以上工业企业应收账款(2018-2019)变动对比分析 (18)第六节山东省规模以上工业企业存货指标分析 (19)一、山东省规模以上工业企业存货现状统计 (19)二、全国规模以上工业企业存货现状统计 (19)三、山东省规模以上工业企业存货占全国规模以上工业企业存货比重统计 (19)四、山东省规模以上工业企业存货(2017-2019)统计分析 (20)五、山东省规模以上工业企业存货(2018-2019)变动分析 (20)六、全国规模以上工业企业存货(2017-2019)统计分析 (21)七、全国规模以上工业企业存货(2018-2019)变动分析 (21)八、山东省规模以上工业企业存货同全国规模以上工业企业存货(2018-2019)变动对比分析 (22)第七节山东省规模以上工业企业产成品存货指标分析 (23)一、山东省规模以上工业企业产成品存货现状统计 (23)二、全国规模以上工业企业产成品存货现状统计分析 (23)三、山东省规模以上工业企业产成品存货占全国规模以上工业企业产成品存货比重统计分析 (23)四、山东省规模以上工业企业产成品存货(2017-2019)统计分析 (24)五、山东省规模以上工业企业产成品存货(2018-2019)变动分析 (24)六、全国规模以上工业企业产成品存货(2017-2019)统计分析 (25)七、全国规模以上工业企业产成品存货(2018-2019)变动分析 (25)八、山东省规模以上工业企业产成品存货同全国规模以上工业企业产成品存货(2018-2019)变动对比分析 (26)第八节山东省规模以上工业企业负债合计指标分析 (27)一、山东省规模以上工业企业负债合计现状统计 (27)二、全国规模以上工业企业负债合计现状统计分析 (27)三、山东省规模以上工业企业负债合计占全国规模以上工业企业负债合计比重统计分析27四、山东省规模以上工业企业负债合计(2017-2019)统计分析 (28)五、山东省规模以上工业企业负债合计(2018-2019)变动分析 (28)六、全国规模以上工业企业负债合计(2017-2019)统计分析 (29)七、全国规模以上工业企业负债合计(2018-2019)变动分析 (29)八、山东省规模以上工业企业负债合计同全国规模以上工业企业负债合计(2018-2019)变动对比分析 (30)第九节山东省规模以上工业企业营业收入指标分析 (31)一、山东省规模以上工业企业营业收入现状统计 (31)二、全国规模以上工业企业营业收入现状统计 (31)三、山东省规模以上工业企业营业收入占全国规模以上工业企业营业收入比重统计 (31)四、山东省规模以上工业企业营业收入(2017-2019)统计分析 (32)五、山东省规模以上工业企业营业收入(2018-2019)变动分析 (32)六、全国规模以上工业企业营业收入(2017-2019)统计分析 (33)七、全国规模以上工业企业营业收入(2018-2019)变动分析 (33)八、山东省规模以上工业企业营业收入同全国规模以上工业企业营业收入(2018-2019)变动对比分析 (34)第十节山东省规模以上工业企业营业成本指标分析 (35)一、山东省规模以上工业企业营业成本现状统计 (35)二、全国规模以上工业企业营业成本现状统计 (35)三、山东省规模以上工业企业营业成本占全国规模以上工业企业营业成本比重统计 (35)四、山东省规模以上工业企业营业成本(2017-2019)统计分析 (36)五、山东省规模以上工业企业营业成本(2018-2019)变动分析 (36)六、全国规模以上工业企业营业成本(2017-2019)统计分析 (37)七、全国规模以上工业企业营业成本(2018-2019)变动分析 (37)八、山东省规模以上工业企业营业成本同全国规模以上工业企业营业成本(2018-2019)变动对比分析 (38)第十一节山东省规模以上工业企业销售费用指标分析 (39)一、山东省规模以上工业企业销售费用现状统计 (39)二、全国规模以上工业企业销售费用现状统计分析 (39)三、山东省规模以上工业企业销售费用占全国规模以上工业企业销售费用比重统计分析39四、山东省规模以上工业企业销售费用(2017-2019)统计分析 (40)五、山东省规模以上工业企业销售费用(2018-2019)变动分析 (40)六、全国规模以上工业企业销售费用(2017-2019)统计分析 (41)七、全国规模以上工业企业销售费用(2018-2019)变动分析 (41)八、山东省规模以上工业企业销售费用同全国规模以上工业企业销售费用(2018-2019)变动对比分析 (42)第十二节山东省规模以上工业企业管理费用指标分析 (43)一、山东省规模以上工业企业管理费用现状统计 (43)二、全国规模以上工业企业管理费用现状统计分析 (43)三、山东省规模以上工业企业管理费用占全国规模以上工业企业管理费用比重统计分析43四、山东省规模以上工业企业管理费用(2017-2019)统计分析 (44)五、山东省规模以上工业企业管理费用(2018-2019)变动分析 (44)六、全国规模以上工业企业管理费用(2017-2019)统计分析 (45)七、全国规模以上工业企业管理费用(2018-2019)变动分析 (45)八、山东省规模以上工业企业管理费用同全国规模以上工业企业管理费用(2018-2019)变动对比分析 (46)第十三节山东省规模以上工业企业财务费用指标分析 (47)一、山东省规模以上工业企业财务费用现状统计 (47)二、全国规模以上工业企业财务费用现状统计 (47)三、山东省规模以上工业企业财务费用占全国规模以上工业企业财务费用比重统计 (47)四、山东省规模以上工业企业财务费用(2017-2019)统计分析 (48)五、山东省规模以上工业企业财务费用(2018-2019)变动分析 (48)六、全国规模以上工业企业财务费用(2017-2019)统计分析 (49)七、全国规模以上工业企业财务费用(2018-2019)变动分析 (49)八、山东省规模以上工业企业财务费用同全国规模以上工业企业财务费用(2018-2019)变动对比分析 (50)第十四节山东省规模以上工业企业利润总额指标分析 (51)一、山东省规模以上工业企业利润总额现状统计 (51)二、全国规模以上工业企业利润总额现状统计 (51)三、山东省规模以上工业企业利润总额占全国规模以上工业企业利润总额比重统计 (51)四、山东省规模以上工业企业利润总额(2017-2019)统计分析 (52)五、山东省规模以上工业企业利润总额(2018-2019)变动分析 (52)六、全国规模以上工业企业利润总额(2017-2019)统计分析 (53)七、全国规模以上工业企业利润总额(2018-2019)变动分析 (53)八、山东省规模以上工业企业利润总额同全国规模以上工业企业利润总额(2018-2019)变动对比分析 (54)第十五节山东省规模以上工业企业平均用工人数指标分析 (55)一、山东省规模以上工业企业平均用工人数现状统计 (55)二、全国规模以上工业企业平均用工人数现状统计分析 (55)三、山东省规模以上工业企业平均用工人数占全国规模以上工业企业平均用工人数比重统计分析 (55)四、山东省规模以上工业企业平均用工人数(2017-2019)统计分析 (56)五、山东省规模以上工业企业平均用工人数(2018-2019)变动分析 (56)六、全国规模以上工业企业平均用工人数(2017-2019)统计分析 (57)七、全国规模以上工业企业平均用工人数(2018-2019)变动分析 (57)八、山东省规模以上工业企业平均用工人数同全国规模以上工业企业平均用工人数(2018-2019)变动对比分析58八、山东省规模以上工业企业平均用工人数同全国规模以上工业企业平均用工人数(2018-2019)变动对比分析 (58)图表目录表1:山东省规模以上工业企业主要指标现状统计表 (1)表2:山东省规模以上工业企业单位数量现状统计表 (3)表3:全国规模以上工业企业单位数量现状统计表 (3)表4:山东省规模以上工业企业单位数量占全国规模以上工业企业单位数量比重统计表 (3)表5:山东省规模以上工业企业单位数量(2017-2019)统计表 (4)表6:山东省规模以上工业企业单位数量(2018-2019)变动统计表(比上年增长%) (4)表7:全国规模以上工业企业单位数量(2017-2019)统计表 (5)表8:全国规模以上工业企业单位数量(2018-2019)变动统计表(比上年增长%) (5)表9:山东省规模以上工业企业单位数量同全国规模以上工业企业单位数量(2018-2019)变动对比统计表 (6)表10:山东省规模以上工业企业资产总计现状统计表 (7)表11:全国规模以上工业企业资产总计现状统计表 (7)表12:山东省规模以上工业企业资产总计占全国规模以上工业企业资产总计比重统计表 (7)表13:山东省规模以上工业企业资产总计(2017-2019)统计表 (8)表14:山东省规模以上工业企业资产总计(2018-2019)变动统计表(比上年增长%) (8)表15:全国规模以上工业企业资产总计(2017-2019)统计表 (9)表16:全国规模以上工业企业资产总计(2018-2019)变动统计表(比上年增长%) (9)表17:山东省规模以上工业企业资产总计同全国规模以上工业企业资产总计(2018-2019)变动对比统计表(比上年增长%) (10)表18:山东省规模以上工业企业流动资产合计现状统计表 (11)表19:全国规模以上工业企业流动资产合计现状统计分析表 (11)表20:山东省规模以上工业企业流动资产合计占全国规模以上工业企业流动资产合计比重统计表 (11)表21:山东省规模以上工业企业流动资产合计(2017-2019)统计表 (12)表22:山东省规模以上工业企业流动资产合计(2018-2019)变动分析表(比上年增长%)12 表23:全国规模以上工业企业流动资产合计(2017-2019)统计表 (13)表24:全国规模以上工业企业流动资产合计(2018-2019)变动分析表(比上年增长%)..13 表25:山东省规模以上工业企业流动资产合计同全国规模以上工业企业流动资产合计(2018-2019)变动对比统计表(比上年增长%) (14)表26:山东省规模以上工业企业应收账款现状统计表 (15)表27:全国规模以上工业企业应收账款现状统计表 (15)表28:山东省规模以上工业企业应收账款占全国规模以上工业企业应收账款比重统计表..15 表29:山东省规模以上工业企业应收账款(2017-2019)统计表 (16)表30:山东省规模以上工业企业应收账款(2018-2019)变动统计表(比上年增长%) (16)表31:全国规模以上工业企业应收账款(2017-2019)统计表 (17)表32:全国规模以上工业企业应收账款(2018-2019)变动统计表(比上年增长%) (17)表33:山东省规模以上工业企业应收账款同全国规模以上工业企业应收账款(2018-2019)变动对比统计表(比上年增长%) (18)表34:山东省规模以上工业企业存货现状统计表 (19)表35:全国规模以上工业企业存货现状统计表 (19)表36:山东省规模以上工业企业存货占全国规模以上工业企业存货比重统计表 (19)表37:山东省规模以上工业企业存货(2017-2019)统计表 (20)表38:山东省规模以上工业企业存货(2018-2019)变动统计表(比上年增长%) (20)表39:全国规模以上工业企业存货(2017-2019)统计表 (21)表40:全国规模以上工业企业存货(2018-2019)变动统计表(比上年增长%) (21)表41:山东省规模以上工业企业存货同全国规模以上工业企业存货(2018-2019)变动对比统计表 (22)表42:山东省规模以上工业企业产成品存货现状统计表 (23)表43:全国规模以上工业企业产成品存货现状统计表 (23)表44:山东省规模以上工业企业产成品存货占全国规模以上工业企业产成品存货比重统计表 (23)表45:山东省规模以上工业企业产成品存货(2017-2019)统计表 (24)表46:山东省规模以上工业企业产成品存货(2018-2019)变动统计表(比上年增长%)..24 表47:全国规模以上工业企业产成品存货(2017-2019)统计表 (25)表48:全国规模以上工业企业产成品存货(2018-2019)变动统计表(比上年增长%) (25)表49:山东省规模以上工业企业产成品存货同全国规模以上工业企业产成品存货(2018-2019)变动对比统计表(比上年增长%) (26)表50:山东省规模以上工业企业负债合计现状统计表 (27)表51:全国规模以上工业企业负债合计现状统计分析表 (27)表52:山东省规模以上工业企业负债合计占全国规模以上工业企业负债合计比重统计表..27 表53:山东省规模以上工业企业负债合计(2017-2019)统计表 (28)表54:山东省规模以上工业企业负债合计(2018-2019)变动分析表(比上年增长%) (28)表55:全国规模以上工业企业负债合计(2017-2019)统计表 (29)表56:全国规模以上工业企业负债合计(2018-2019)变动分析表(比上年增长%) (29)表57:山东省规模以上工业企业负债合计同全国规模以上工业企业负债合计(2018-2019)变动对比统计表(比上年增长%) (30)表58:山东省规模以上工业企业营业收入现状统计表 (31)表59:全国规模以上工业企业营业收入现状统计表 (31)表60:山东省规模以上工业企业营业收入占全国规模以上工业企业营业收入比重统计表..31 表61:山东省规模以上工业企业营业收入(2017-2019)统计表 (32)表62:山东省规模以上工业企业营业收入(2018-2019)变动统计表(比上年增长%) (32)表63:全国规模以上工业企业营业收入(2017-2019)统计表 (33)表64:全国规模以上工业企业营业收入(2018-2019)变动统计表(比上年增长%) (33)表65:山东省规模以上工业企业营业收入同全国规模以上工业企业营业收入(2018-2019)变动对比统计表(比上年增长%)表65:山东省规模以上工业企业营业收入同全国规模以上工业企业营业收入(2018-2019)变动对比统计表(比上年增长%) (34)表66:山东省规模以上工业企业营业成本现状统计表 (35)表67:全国规模以上工业企业营业成本现状统计表 (35)表68:山东省规模以上工业企业营业成本占全国规模以上工业企业营业成本比重统计表..35 表69:山东省规模以上工业企业营业成本(2017-2019)统计表 (36)表70:山东省规模以上工业企业营业成本(2018-2019)变动统计表(比上年增长%) (36)表71:全国规模以上工业企业营业成本(2017-2019)统计表 (37)表72:全国规模以上工业企业营业成本(2018-2019)变动统计表(比上年增长%) (37)表73:山东省规模以上工业企业营业成本同全国规模以上工业企业营业成本(2018-2019)变动对比统计表 (38)表74:山东省规模以上工业企业销售费用现状统计表 (39)表75:全国规模以上工业企业销售费用现状统计表 (39)表76:山东省规模以上工业企业销售费用占全国规模以上工业企业销售费用比重统计表..39 表77:山东省规模以上工业企业销售费用(2017-2019)统计表 (40)表78:山东省规模以上工业企业销售费用(2018-2019)变动统计表(比上年增长%) (40)表79:全国规模以上工业企业销售费用(2017-2019)统计表 (41)表80:全国规模以上工业企业销售费用(2018-2019)变动统计表(比上年增长%) (41)表81:山东省规模以上工业企业销售费用同全国规模以上工业企业销售费用(2018-2019)变动对比统计表(比上年增长%) (42)表82:山东省规模以上工业企业管理费用现状统计表 (43)表83:全国规模以上工业企业管理费用现状统计分析表 (43)表84:山东省规模以上工业企业管理费用占全国规模以上工业企业管理费用比重统计表..43 表85:山东省规模以上工业企业管理费用(2017-2019)统计表 (44)表86:山东省规模以上工业企业管理费用(2018-2019)变动分析表(比上年增长%) (44)表87:全国规模以上工业企业管理费用(2017-2019)统计表 (45)表88:全国规模以上工业企业管理费用(2018-2019)变动分析表(比上年增长%) (45)表89:山东省规模以上工业企业管理费用同全国规模以上工业企业管理费用(2018-2019)变动对比统计表(比上年增长%) (46)表90:山东省规模以上工业企业财务费用现状统计表 (47)表91:全国规模以上工业企业财务费用现状统计表 (47)表92:山东省规模以上工业企业财务费用占全国规模以上工业企业财务费用比重统计表..47 表93:山东省规模以上工业企业财务费用(2017-2019)统计表 (48)表94:山东省规模以上工业企业财务费用(2018-2019)变动统计表(比上年增长%) (48)表95:全国规模以上工业企业财务费用(2017-2019)统计表 (49)表96:全国规模以上工业企业财务费用(2018-2019)变动统计表(比上年增长%) (49)表97:山东省规模以上工业企业财务费用同全国规模以上工业企业财务费用(2018-2019)变动对比统计表(比上年增长%) (50)表98:山东省规模以上工业企业利润总额现状统计表 (51)表99:全国规模以上工业企业利润总额现状统计表 (51)表100:山东省规模以上工业企业利润总额占全国规模以上工业企业利润总额比重统计表.51 表101:山东省规模以上工业企业利润总额(2017-2019)统计表 (52)表102:山东省规模以上工业企业利润总额(2018-2019)变动统计表(比上年增长%) (52)表103:全国规模以上工业企业利润总额(2017-2019)统计表 (53)表104:全国规模以上工业企业利润总额(2018-2019)变动统计表(比上年增长%) (53)表105:山东省规模以上工业企业利润总额同全国规模以上工业企业利润总额(2018-2019)变动对比统计表 (54)表106:山东省规模以上工业企业平均用工人数现状统计表 (55)表107:全国规模以上工业企业平均用工人数现状统计表 (55)表108:山东省规模以上工业企业平均用工人数占全国规模以上工业企业平均用工人数比重统计表 (55)表109:山东省规模以上工业企业平均用工人数(2017-2019)统计表 (56)表110:山东省规模以上工业企业平均用工人数(2018-2019)变动统计表(比上年增长%)56 表111:全国规模以上工业企业平均用工人数(2017-2019)统计表 (57)表112:全国规模以上工业企业平均用工人数(2018-2019)变动统计表(比上年增长%).57 表113:山东省规模以上工业企业平均用工人数同全国规模以上工业企业平均用工人数(2018-2019)变动对比统计表(比上年增长%) (58)第一节山东省规模以上工业企业主要指标现状山东省规模以上工业企业主要指标现状详细情况见下表(2019年):表1:山东省规模以上工业企业主要指标现状统计表注:本报告以国家各级统计部门数据为基准,并借助专业统计分析方法得出。
2018年省国民经济和社会发展总体情况一、综合经济运行稳中有进。
初步核算,全省生产总值(GDP)76469.7亿元,按可比价格计算,比上年增长6.4%。
其中,第一产业增加值4950.5亿元,增长2.6%;第二产业增加值33641.7亿元,增长5.1%;第三产业增加值37877.4亿元,增长8.3%。
三次产业结构为6.5:44.0:49.5。
人均生产总值76267元,增长5.9%,按年均汇率折算为11525美元。
就业保持良好态势。
城镇新增就业136.8万人,比上年增长6.7%;城镇登记失业率为3.35%,比上年降低0.05个百分点。
物价水平涨势温和。
居民消费价格比上年上涨2.5%。
其中,消费品价格上涨2.5%,服务项目价格上涨2.4%;食品价格上涨2.4%,非食品价格上涨2.5%。
农业生产资料价格上涨6.9%,农产品生产者价格上涨0.5%。
工业生产者出厂价格上涨3.7%,购进价格上涨3.6%。
固定资产投资价格上涨6.1%。
常住人口保持平稳。
全年出生人口132.95万人,出生率13.26‰;死亡人口71.99万人,死亡率7.18‰;自然增长率6.08‰。
年末常住人口10047.24万人。
其中,0-14岁人口占总人口的18.08%,15-64岁人口占66.88%,65岁与以上人口占15.04%。
常住人口城镇化率为61.18%,比上年末提高0.60个百分点。
二、重点战略动能转换全面起势。
“破立降”继续深化,全年压减粗钢产能355万吨,生铁产能60万吨,煤炭产能495万吨。
规模以上工业每百元主营业务收入成本为85.85元,比上年减少0.59元。
年末国有与国有控股工业资产负债率为63.1%,比上年末下降1.6个百分点。
“四新”经济快速发展,新登记市场主体168.1万户,比上年增长12.3%。
其中,新登记“四新”经济企业增长31.0%。
高新技术产业产值占规模以上工业的比重为36.9%,比上年提高2.0个百分点。
山东省规模以上工业企业办研发机构情况数据分析报告2018版序言山东省规模以上工业企业办研发机构情况数据分析报告旨在运用严谨的数据分析,以更为客观、真实的角度,对山东省规模以上工业企业办研发机构情况进行剖析和阐述。
山东省规模以上工业企业办研发机构情况分析报告同时围绕关键指标即机构数,机构人员等,对山东省规模以上工业企业办研发机构情况进行了全面深入的分析和总结。
山东省规模以上工业企业办研发机构情况数据分析报告相关知识产权为发布方即我公司天津旷维所有,任何其他方引用我方报告,均需注明出处。
山东省规模以上工业企业办研发机构情况数据分析报告可以帮助投资决策者效益最大化,是了解山东省规模以上工业企业办研发机构情况的重要参考渠道。
本报告数据来源于权威政府部门如中国国家统计局、相关科研机构及行业协会等,数据客观、精准。
目录第一节山东省规模以上工业企业办研发机构情况现状概况 (1)第二节山东省机构数指标分析 (3)一、山东省机构数现状统计 (3)二、全国机构数现状统计 (3)三、山东省机构数占全国机构数比重统计 (3)四、山东省机构数(2015-2017)统计分析 (4)五、山东省机构数(2016-2017)变动分析 (4)六、全国机构数(2015-2017)统计分析 (5)七、全国机构数(2016-2017)变动分析 (5)八、山东省机构数同全国机构数(2016-2017)变动对比分析 (6)第三节山东省机构人员指标分析 (7)一、山东省机构人员现状统计 (7)二、全国机构人员现状统计分析 (7)三、山东省机构人员占全国机构人员比重统计分析 (7)四、山东省机构人员(2015-2017)统计分析 (8)五、山东省机构人员(2016-2017)变动分析 (8)六、全国机构人员(2015-2017)统计分析 (9)七、全国机构人员(2016-2017)变动分析 (9)八、山东省机构人员同全国机构人员(2016-2017)变动对比分析 (10)第四节山东省机构博士和硕士人员指标分析 (11)一、山东省机构博士和硕士人员现状统计 (11)二、全国机构博士和硕士人员现状统计分析 (11)三、山东省机构博士和硕士人员占全国机构博士和硕士人员比重统计分析 (11)四、山东省机构博士和硕士人员(2015-2017)统计分析 (12)五、山东省机构博士和硕士人员(2016-2017)变动分析 (12)六、全国机构博士和硕士人员(2015-2017)统计分析 (13)七、全国机构博士和硕士人员(2016-2017)变动分析 (13)八、山东省机构博士和硕士人员同全国机构博士和硕士人员(2016-2017)变动对比分析14 第五节山东省机构经费支出指标分析 (15)一、山东省机构经费支出现状统计 (15)二、全国机构经费支出现状统计 (15)三、山东省机构经费支出占全国机构经费支出比重统计 (15)四、山东省机构经费支出(2015-2017)统计分析 (16)五、山东省机构经费支出(2016-2017)变动分析 (16)六、全国机构经费支出(2015-2017)统计分析 (17)七、全国机构经费支出(2016-2017)变动分析 (17)八、山东省机构经费支出同全国机构经费支出(2016-2017)变动对比分析 (18)第六节山东省仪器和设备原价分析 (19)一、山东省仪器和设备原价现状统计 (19)二、全国仪器和设备原价现状统计 (19)三、山东省仪器和设备原价占全国仪器和设备原价比重统计 (19)四、山东省仪器和设备原价(2015-2017)统计分析 (20)五、山东省仪器和设备原价(2016-2017)变动分析 (20)六、全国仪器和设备原价(2015-2017)统计分析 (21)七、全国仪器和设备原价(2016-2017)变动分析 (21)八、山东省仪器和设备原价同全国仪器和设备原价(2016-2017)变动对比分析 (22)图表目录表1:山东省规模以上工业企业办研发机构情况现状统计表 (1)表2:山东省机构数现状统计表 (3)表3:全国机构数现状统计表 (3)表4:山东省机构数占全国机构数比重统计表 (3)表5:山东省机构数(2015-2017)统计表 (4)表6:山东省机构数(2016-2017)变动统计表(比上年增长%) (4)表7:全国机构数(2015-2017)统计表 (5)表8:全国机构数(2016-2017)变动统计表(比上年增长%) (5)表9:山东省机构数同全国机构数(2016-2017)变动对比统计表 (6)表10:山东省机构人员现状统计表 (7)表11:全国机构人员现状统计表 (7)表12:山东省机构人员占全国机构人员比重统计表 (7)表13:山东省机构人员(2015-2017)统计表 (8)表14:山东省机构人员(2016-2017)变动统计表(比上年增长%) (8)表15:全国机构人员(2015-2017)统计表 (9)表16:全国机构人员(2016-2017)变动统计表(比上年增长%) (9)表17:山东省机构人员同全国机构人员(2016-2017)变动对比统计表(比上年增长%) .10表18:山东省机构博士和硕士人员现状统计表 (11)表19:全国机构博士和硕士人员现状统计分析表 (11)表20:山东省机构博士和硕士人员占全国机构博士和硕士人员比重统计表 (11)表21:山东省机构博士和硕士人员(2015-2017)统计表 (12)表22:山东省机构博士和硕士人员(2016-2017)变动分析表(比上年增长%) (12)表23:全国机构博士和硕士人员(2015-2017)统计表 (13)表24:全国机构博士和硕士人员(2016-2017)变动分析表(比上年增长%) (13)表25:山东省机构博士和硕士人员同全国机构博士和硕士人员(2016-2017)变动对比统计表(比上年增长%) (14)表26:山东省机构经费支出现状统计表 (15)表27:全国机构经费支出现状统计表 (15)表28:山东省机构经费支出占全国机构经费支出比重统计表 (15)表29:山东省机构经费支出(2015-2017)统计表 (16)表30:山东省机构经费支出(2016-2017)变动统计表(比上年增长%) (16)表31:全国机构经费支出(2015-2017)统计表 (17)表32:全国机构经费支出(2016-2017)变动统计表(比上年增长%) (17)表33:山东省机构经费支出同全国机构经费支出(2016-2017)变动对比统计表(比上年增长%) (18)表34:山东省仪器和设备原价现状统计表 (19)表35:全国仪器和设备原价现状统计表 (19)表36:山东省仪器和设备原价占全国仪器和设备原价比重统计表 (19)表37:山东省仪器和设备原价(2015-2017)统计表 (20)表38:山东省仪器和设备原价(2016-2017)变动统计表(比上年增长%) (20)表39:全国仪器和设备原价(2015-2017)统计表 (21)表40:全国仪器和设备原价(2016-2017)变动统计表(比上年增长%) (21)表41:山东省仪器和设备原价同全国仪器和设备原价(2016-2017)变动对比统计表 (22)第一节山东省规模以上工业企业办研发机构情况现状概况山东省规模以上工业企业办研发机构情况现状详细情况见下表(2017年):表1:山东省规模以上工业企业办研发机构情况现状统计表第二节山东省机构数指标分析一、山东省机构数现状统计表2:山东省机构数现状统计表二、全国机构数现状统计表3:全国机构数现状统计表三、山东省机构数占全国机构数比重统计分析表4:山东省机构数占全国机构数比重统计表四、山东省机构数(2015-2017)统计分析表5:山东省机构数(2015-2017)统计表五、山东省机构数(2016-2017)变动分析表6:山东省机构数(2016-2017)变动统计表(比上年增长%)六、全国机构数(2015-2017)统计分析表7:全国机构数(2015-2017)统计表七、全国机构数(2016-2017)变动分析表8:全国机构数(2016-2017)变动统计表(比上年增长%)八、山东省机构数同全国机构数(2016-2017)变动对比分析表9:山东省机构数同全国机构数(2016-2017)变动对比表(比上年增长%)第三节山东省机构人员指标分析一、山东省机构人员现状统计表10:山东省机构人员现状统计表二、全国机构人员现状统计分析表11:全国机构人员现状统计表三、山东省机构人员占全国机构人员比重统计分析表12:山东省机构人员占全国机构人员比重统计表四、山东省机构人员(2015-2017)统计分析表13:山东省机构人员(2015-2017)统计表五、山东省机构人员(2016-2017)变动分析表14:山东省机构人员(2016-2017)变动统计表(比上年增长%)六、全国机构人员(2015-2017)统计分析表15:全国机构人员(2015-2017)统计表七、全国机构人员(2016-2017)变动分析表16:全国机构人员(2016-2017)变动统计表(比上年增长%)八、山东省机构人员同全国机构人员(2016-2017)变动对比分析表17:山东省机构人员同全国机构人员(2016-2017)变动对比表(比上年增长%)第四节山东省机构博士和硕士人员指标分析一、山东省机构博士和硕士人员现状统计表18:山东省机构博士和硕士人员现状统计表二、全国机构博士和硕士人员现状统计分析表19:全国机构博士和硕士人员现状统计表三、山东省机构博士和硕士人员占全国机构博士和硕士人员比重统计分析表20:山东省机构博士和硕士人员占全国机构博士和硕士人员比重统计表四、山东省机构博士和硕士人员(2015-2017)统计分析表21:山东省机构博士和硕士人员(2015-2017)统计表五、山东省机构博士和硕士人员(2016-2017)变动分析表22:山东省机构博士和硕士人员(2016-2017)变动统计表(比上年增长%)六、全国机构博士和硕士人员(2015-2017)统计分析表23:全国机构博士和硕士人员(2015-2017)统计表七、全国机构博士和硕士人员(2016-2017)变动分析表24:全国机构博士和硕士人员(2016-2017)变动统计表(比上年增长%)八、山东省机构博士和硕士人员同全国机构博士和硕士人员(2016-2017)变动对比分析表25:山东省机构博士和硕士人员同全国机构博士和硕士人员(2016-2017)变动对比表(比上年增长%)第五节山东省机构经费支出指标分析一、山东省机构经费支出现状统计表26:山东省机构经费支出现状统计表二、全国机构经费支出现状统计表27:全国机构经费支出现状统计表三、山东省机构经费支出占全国机构经费支出比重统计分析表28:山东省机构经费支出占全国机构经费支出比重统计表四、山东省机构经费支出(2015-2017)统计分析表29:山东省机构经费支出(2015-2017)统计表五、山东省机构经费支出(2016-2017)变动分析表30:山东省机构经费支出(2016-2017)变动统计表(比上年增长%)六、全国机构经费支出(2015-2017)统计分析表31:全国机构经费支出(2015-2017)统计表七、全国机构经费支出(2016-2017)变动分析表32:全国机构经费支出(2016-2017)变动统计表(比上年增长%)八、山东省机构经费支出同全国机构经费支出(2016-2017)变动对比分析表33:山东省机构经费支出同全国机构经费支出(2016-2017)变动对比表(比上年增长%)第六节山东省仪器和设备原价分析一、山东省仪器和设备原价现状统计表34:山东省仪器和设备原价现状统计表二、全国仪器和设备原价现状统计表35:全国仪器和设备原价现状统计表三、山东省仪器和设备原价占全国仪器和设备原价比重统计分析表36:山东省仪器和设备原价占全国仪器和设备原价比重统计表四、山东省仪器和设备原价(2015-2017)统计分析表37:山东省仪器和设备原价(2015-2017)统计表五、山东省仪器和设备原价(2016-2017)变动分析表38:山东省仪器和设备原价(2016-2017)变动统计表(比上年增长%)六、全国仪器和设备原价(2015-2017)统计分析表39:全国仪器和设备原价(2015-2017)统计表年份指标数量(万元)七、全国仪器和设备原价(2016-2017)变动分析表40:全国仪器和设备原价(2016-2017)变动统计表(比上年增长%)八、山东省仪器和设备原价同全国仪器和设备原价(2016-2017)变动对比分析表41:山东省仪器和设备原价同全国仪器和设备原价(2016-2017)变动对比表(比上年增长%)2017 12.72% 20.76%。
“三农”问题一直是党和国家高度重视的根本性问题[1]。
2019年中央一号文件指出,必须坚持把解决好“三农”问题作为全党工作重中之重不动摇,而实施乡村振兴战略是从根本上解决“三农”问题的关键法宝,促进农民增收是“三农”工作的核心任务。
以贵州为代表的西部农村正处在脱贫攻坚的决胜期,农民收入增速总体放缓,收入水平仍然偏低。
而农民收入的可持续增长,关系着民族地区脱贫攻坚和如期全面建成小康社会目标的实现。
本文基于对贵州省精准扶贫以来农民收入结构变化和影响因素的分析,结合十九大及《乡村振兴战略规划(2018―2022年)》(以下简称《规划》)中与农民增收相关的政策内容,提出在乡村振兴战略下促进农民增收的路径选择,以期为西部地区农民脱贫增收提供参考。
一、贵州省农村居民收入变化分析(一)农民收入增速下滑、收入水平偏低“十二五”以来,在国家各项强农惠农富农政策的支持下,农民收入保持持续增长,但高增速的“黄金期”已结束[2]。
从全国来看,2014年开始,农民收入名义增长率出现“拐点式”变化,由两位数跌至个位数。
贵州省增速“拐点”较全国晚出现两年,但收入增长的绝对数偏小。
2011年,贵州农民人均可支收稿日期:2020-05-12作者简介:郭艳,女,湖南桃源县人,怀化学院商学院讲师,博士。
研究方向:农村经济、旅游经济。
林源,男,湖南沅陵县人,怀化学院商学院教授,博士。
研究方向:农村金融经济。
乡村振兴战略下西部地区农民增收路径研究——以贵州为例郭艳,林源(怀化学院商学院,湖南怀化418000)摘要:西部农民收入的可持续增长,关系着民族地区脱贫攻坚和如期全面建成小康社会目标的实现。
乡村振兴战略为破解农民增收难题提供了治本之策。
课题组成员以贵州省为例,基于精准扶贫以来农民收入结构变化分析了影响农民增收的主要因素,结合《乡村振兴战略规划(2018-2022年)》中与农民增收相关的政策,提出打造山地特色生态农业现代化模式、优化产业结构、推进产业融合、拓宽非农就业渠道以及完善财政金融支农服务体系等促进农民增收的建议。
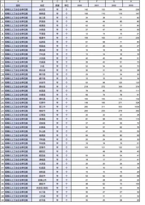
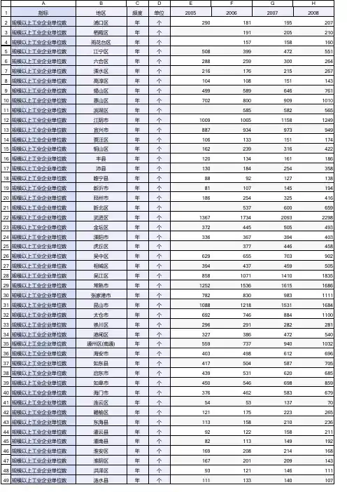
山东省各区县2013-2017年宏观经济指标数据分析对(根据国家公开的数据中国县域统计年鉴2014-2018收集整理,并进行多年度数据并表处理,便于各区县
2013-2017年多年宏观经济指标数据分析对比,excel格式方便下载数据再利用。
方便快捷,减轻大量的数
据查找与处理工作,省时省力!)
提供了各区县每个年度的:一、基本情况(8个指标),二、综合经济(10指标),三、农业、工业及投
资(10指标),四、教育卫生和社会保障(6个指标)共34个宏观经济指标对比数据
分析对比表
各种社会福利收养性单位床
床
967
2006
1226
1339
997
3408
2499
2505
2901
2542
856
369
3795
1536
1489
1618
80
2452
2390
4866
833
3444
986
4925
1365
1921
6930
7863
6955
1366
5899
2132
3569
1826
1347
1250
2566
3356
2041
2467
1842
6710
2899
2450。
2024年统计师之初级统计基础理论及相关知识题库附答案(典型题)单选题(共180题)1、增长速度是指()。
A.发展速度B.增长量C.增长量与基期发展水平的比值D.基期水平【答案】 C2、对于一个样本,如果样本方差越大,表明()。
A.样本观察值的分布越集中B.样本观察值的分布越分散C.样本的趋中程度越好D.观察值与平均水平的差异程度越小【答案】 B3、为了便于数据分析,人们常用数字1表示男性,2表示女性,这个数字1和2()。
A.具有数量上的差异B.具有实际数字名义C.只是一个编号D.可以进行运算【答案】 C4、《统计法》规定,县级以上人民政府应当将统计工作所需经费()。
A.预算报送上级人民政府B.预算报送上级人民政府统计机构C.列入本级财政预算D.列入下级财政预算【答案】 C5、已知一组数据均值为3,标准差为1.58,则其离散系数为()A.1.90B.0.53C.4.58D.4.74【答案】 B6、下列属于质量指数的是()。
A.职工人数指数B.产量指数C.销售量指数D.单位成本指数【答案】 D7、根据《统计法》规定,县级以上人民政府统计机构和有关部门统计调查取得的统计资料()。
A.应当予以保密,不得对外提供B.应当予以保密,不得对外公开C.除依法应当保密的外,应当及时公开D.除依法应当保密的外,可以有偿提供【答案】 C8、统计执法检查员应当取得()。
A.统计员资格证B.统计师职务证C.注册会计师证D.统计执法检查证【答案】 D9、对于一个月度时间数列,适宜进行()项移动平均来分析序列的长期趋势。
A.3B.4C.8D.12【答案】 D10、某运动中心有20个篮球场,30个羽毛球场,40个排球场,15个手球场。
在上面的描述中,则运动场的众数是()。
A.40B.30D.手球场【答案】 C11、《统计法》规定,统计调查中获得的()的资料,任何单位和个人不得对外提供、泄露,不得用于统计以外的目的。
A.能够识别统计调查对象身份B.能够推断单个调查对象身份C.能够识别或者推断单个统计调查对象身份D.调查对象所有信息【答案】 C12、根据统计机构依法履行职责原则规定,下列各项中不正确的是()。
山东省工业和信息化厅关于公布2018年度山东省新跨越民营企业的通知
正文:
----------------------------------------------------------------------------------------------------------------------------------------------------
山东省工业和信息化厅关于公布2018年度山东省新跨越民营企业的通知
鲁工信非公〔2019〕247号
各市、财政直管县(市)工业和信息化局:
根据省委、省政府《关于支持非公有制经济健康发展的十条意见》(鲁发〔2017〕21号)和《山东省工业和信息化厅关于组织山东省新跨越民营企业申报的通知》(鲁工信非公〔2019〕152号)要求,经各市、财政直管县(市)工信部门审核、推荐和省工业和信息化厅公示,确定山东东明石化集团有限公司等5家企业符合新跨越民营企业条件,现予以公布。
附件:2018年度山东省新跨越民营企业名单
山东省工业和信息化厅
2019年12月31日
附件
2018年度山东省新跨越民营企业名单
一、年销售(营业)收入首次突破1000亿元的民营企业(1家)
山东东明石化集团有限公司
二、年销售(营业)收入首次突破500亿元的民营企业(2家)
山东金诚石化集团有限公司
山东太阳控股集团有限公司
三、年销售(营业)收入首次突破100亿元的民营企业(2家)
鲁南制药集团股份有限公司
山东齐悦科技有限公司
——结束——。