10容积调速
- 格式:ppt
- 大小:358.01 KB
- 文档页数:22
第1章概述1.从世界上第一台水压机问世算起,液压传动至今已有()余年的历史。
A.50B.100C.150D.2002.CAD代表()。
A.计算机直接控制B.计算机辅助设计C.机电一体化技术D.计算机辅助测试3.液压技术在工程机械领域应用最广的是()。
A.推土机B.起重机C.挖掘机D.泵车4.液压传动是以液体作为工作介质体,利用液体的()来传递运动和动力的。
A.动能 B.压力能 C.机械能 D.势能5.液压千斤顶以()作为液压泵。
A.大活塞B.小活塞C.单向阀D.杠杆6.液压系统常用的工作介质是:()A.机械油B.矿物油C.乳化液D.水7.液压传动的动力元件是:()。
A.电动机B.液压马达C.蓄能器D.油泵8.液压传动系统中可完成能量转换的是()元件。
A.执行B.辅助C.控制D.动力9.液压元件使用寿命长是因为()。
A.易过载保护B.能自行润滑C.工作平稳D.操纵方便10.液压元件的制造成本较高是因为其()。
A.与泄漏无关B.对油液的污染比较敏感无关C.制造精度要求较高D.不易泄漏11.液压传动()。
A.传动比准确B.反应慢C.调速范围大D.制造成本不高第2章液压流体力学基础1.在液压系统中,油液不起()的作用。
A.升温B.传递动力C.传递运动D.润滑元件2.油液的粘度指的是()。
A.油液流动时内部产生的摩擦力的大小B.粘度大,牌号小C.粘度与温度无关D.粘度随温度升高而增大。
3.油液在管道中同一截面上各点的流动速度是()。
A.均匀的B.直线分布C.相等的D.呈抛物线4.对液压油不正确的要求是()。
A.适宜的粘度B.良好的润滑性C.闪点要低D.凝点要低5.抗磨液压油的品种代号是()。
A.HLB.HMC.HVD.HG6.单位cm2/s是()的单位。
A.动力粘度B.运动粘度C.相对粘度D.泊7.液体压力的错误提法是()。
A.垂直压向单位面积上的力称压力B.压力指的是压强,单位是帕C.系统压力决定负载大小D.密封容器内压力处处相等8.液压系统中正常工作的最低压力是()。
液压系统装配、调试与维修试题1一、填空题(每题3分,共30分)。
1、液压传动系统由(动力元件)、(执行元件)、(控制元件)、辅助元件和工作介质等部分组成。
2、液压油的粘度主要有(动力粘度)、(运动粘度)、(相对粘度)。
3、齿轮泵的泄漏途径为(齿轮两侧面与端盖间的轴向间隙)、(泵体孔和齿轮外圆间的径向间隙)、(两个齿轮的齿面啮合间隙)4、选择液压泵时,首先根据液压系统所提出的要求(压力)和(流量)选择液压泵的类型,然后再选型号和规格。
5、液压缸常用的密封装置有(摩擦环密封)、(O形密封圈)、(V形密封圈)和间隙密封等。
6、流体在管道中流动时的压力损失有(沿程压力)损失和(局部压力)损失。
7、溢流阀按其工作原理可分为(直动型)溢流阀和(先导型)溢流阀两种。
8、液压缸的种类繁多,按结构形式主要有(活塞缸)、(柱塞缸)(摆动缸)三种。
9、蓄能器的作用有(辅助动力源)、(泄流补偿)作应急能源、缓和液压冲击和吸收压力脉动等。
10、液压系统中的压力取决于(负载),执行元件的运动速度取决于(输入流量)。
二、选择题(每题2分,共10分)。
1、流量连续性方程是( C )在流体力学中的表达形式。
A 能量守恒定律B 动量定理C 质量守恒定律2、双作用叶片泵具有( A )的结构特点。
A 作用在转子和定子上的液压径向力平衡B 不考虑叶片厚度,瞬时流量是均匀的C 改变定子和转子之间的偏心可改变排量3、一水平放置的双伸出杆液压缸,采用三位四通电磁换向阀,要求阀处于中位时,液压泵卸荷,且液压缸浮动,其中位机能应选用( C )。
A O型B M型C H型4、下面几种调速回路中,( B )中的溢流阀是安全阀。
A 定量泵和节流阀的进油节流调速回路B 定量泵和节流阀的旁路节流调速回路C 定量泵和变量马达的闭式调速回路5、液压泵单位时间内排出油液的体积称为泵的流量,泵在额定转速和额定压力下的输出流量称为( C )。
A 实际流量B 理论流量C 额定流量三、判断题(论述正确的在括号后面打“√”,错误的打“X”。
容积调节式调速型液力偶合器调速原理
由于液力偶合器传递动力的能力与其工作腔的充液率大致成正比。
所以,如果在运行中设法改变偶合器工作腔的充液率,便可以在输入转速不变的情况下,改变其输出力矩和输出转速。
不同的充液量时的偶合器液体质量不同,转速不同,输出的功率也会相对变化。
很显然,调节了液力偶合器的充液率也就调节了它的输出转速,这是液力偶合器容积调速的最基本原理。
现在,广州液力偶合器容积调节方式主要有三种:
1.进口调节。
调速时间较长,反应不够灵敏,但结构比较简单、轴向尺寸较短
2.出口调节。
调速时间较短、调速精度高、反应灵敏,但结构比较复杂。
3.进出口调节。
调速时间段、反应灵敏、降低辅助供油系统的功率消耗、换热能力强,但结构比较复杂。
液压传动系统中速度控制回路包括调节液压执行元件的速度的调速回路、使之获得快速运动的快速回路、快速运动和工作进给速度以及工作进给速度之间的速度换接回路。
一、调速回路调速是为了满足液压执行元件对工作速度的要求,在不考虑液压油的压缩性和泄漏的情况下,液压缸的运动速度为液压马达的转速:由以上两式可知,改变输入液压执行元件的流量q或改变液压缸的有效面积A<或液压马达的排量VM)均可以达到改变速度的目的。
但改变液压缸工作面积的方法在实际中是不现实的,因此,只能用改变进入液压执行元件的流量或用改变变量液压马达排量的方法来调速。
为了改变进入液压执行元件的流量,可采用变量液压泵来供油,也可采用定量泵和流量控制阀,以改变通过流量阀流量的方法。
用定量泵和流量问阀来调速时,称为节流拥速;用改变变量泵或变量液压马达的排量调速时,称为容积调速;用变量泵和流量阀来达到调速目的时,则称为容积节流调速。
<-)节流调速回路节流调速回路的工作原理是通过改变回路中流量控制元件<节流阀和调速阀)通流截面积的大小来控制流入执行元件或自执行元件流出的流量,以调节其运动速度。
根根流量阀在回路中的位置不同,分为进油节流调速、回油节流调速和旁路节流调速三种回路。
前两种回路称为定压式节流调速回路,后一种因为回路的供油压力随负载的变化而变化又称为变压式节流调速回路。
1、进油节流调速回路<1)速度负载特性缸稳定工作时有式中,P1为进油腔压力;P2为出油腔压力,P2=0;F为液压缸的负载;A1为液压缸无杆腔面积;A2为液压缸有杆腔面积,AT为节流阀通流面积。
故节流阀两端的压差为节流阀进入液压缸的流量为液压缸的运动速度为这种回路的调速范围较大,当AT调定后,速度随负载的增大而减小,故负载特性软。
适用于低速轻载场合。
<2)最大承载能力<3)功率和效率在节流阀进油节流调速回路中,液压泵的输出功率为=常量,而液压缸的输出功率为,所以该回路的功率损失为式中,qy为通过溢流阀的溢流量,qy=qp-q1由上式可以看出,功率损失由两部分组成,即溢流损失功率和节流损失功率。
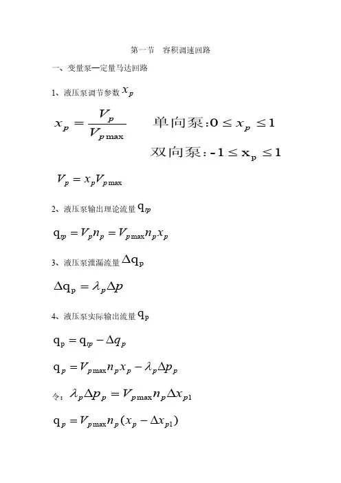
第一节 容积调速回路一、变量泵—定量马达回路1、液压泵调节参数px1x 1-10p max≤≤≤≤=双向泵:单向泵:p p p p x V V xmaxp p p V x V =2、液压泵输出理论流量tpq pp p p p tp x n V n V max q ==3、液压泵泄漏流量pq ∆pp ∆=∆λp q 4、液压泵实际输出流量pq ptp q ∆-=q q p pp p p p p p x n V ∆-=λmax q 令:1max p p p p p x n V p ∆=∆λ)(q 1max p p p p p x x n V ∆-=5、液压马达是转速、泄漏流量m n mq ∆mm m m mm m p q V q q ∆=∆∆-=λn 忽略液压泵到液压马达之间的容积损失:mp q =q mmm p p p p m m m m V p x x n V V q q ∆-∆-=∆-=λ)(n 1max 令:2max p p p m m x n V p ∆=∆λpmp n n V V K max 1=有:)]([211p p p n mx x x K n ∆+∆-=6、液压马达的转矩mT Tp K p V T m m mm m m m =∆=∆=1η令:mmm m V K η=17、恒转矩负载工况功率,m P constp m =∆)]([211p p p n mm m m mmm m m m m m x x x K p V n p V n T P ∆+∆-∆=∆==ηη令:constK p V K n mm m m N =∆=11η有:)]([211p p p N m x x x K P ∆+∆-=8、恒功率负载工况功率mP 马达输出功率:constP n T P m m m m===0)()]([21'2110p p p mp p p n m m x x x Kx x x K P T ∆+∆-=∆+∆-=令:const K P Kn m m==10'二、定量泵——变量马达回路1、液压泵输出流量pq constn V pv p p p ==ηq 不考虑液压泵到液压马达是容积损失:2、液压马达调节参数mx 1x 1-10m max≤≤≤≤=双向泵:单向马达:m m mmx V V x 3、液压马达转速mn mmvpv n m m mv pv p p m mv m m x K x V n V V q ηηηηη2max n ===令:constV n V m p p n ==max2K 4、液压马达输出转矩mT mm mmm m m mm m m m x K p x V p V T 2max =∆=∆=ηη令:constp V K mm m m m =∆=ηmax 25、液压马达输出功率mP mvpv N mmvpv n mm m m m K x K x K n T P ηηηη222===令:constK K K n m N ==222三、变泵——变马达1、马达输出转速mn mp mvpv n mv pv m m pp p m mv p m mv m m x x K x V n x V V q V q ηηηηη3max max n ====令:constV n V m p p n ==maxmax 3K 2、马达输出转矩mT mm mmm m m mm m m m x K p x V p V T 3max =∆=∆=ηη令:constp V K mm m m m =∆=ηmax 33、马达输出功率mP pmv pv N mm mp mvpv n m m m x K x K x x K T n P ηηηη333===令:constK K K n m N ==333pN m m m m mp n m x K P x K T x x K 333n ===)(m m n f T =)(p m x x ϕ=第三节 主要参数的选择1、转矩放大系数MK pmM T T K =pmmm pp m m MV p V p K η∆∆=2、容积调速回路的传动比ipm n n i =mvlv pv mp V V i ηηη=3、容积调速回路的效率cηpmlv q q =ηlvlm pp mm c q p q p ηηη==pm lmp p =η4、容积调速回路的调速范围Dminmaxm m n n D =(1)变量泵—定量马达回路minmaxmin max p p m m p V V n n D ==40≤p D (2)定量泵—变量马达回路minmaxmin max m m m m m V V n n D ==43~=m D (3)变量泵—变量马达回路m p m m p p m m D D V V V V n n D =⋅==minmaxmin max min max 100≤D。
《液压气动技术》试卷(Ⅰ)单位:姓名:学号:一、判断题(20分)1.液压缸活塞运动速度只取决于输入流量的大小,与压力无关。
()2.液体流动时,其流量连续性方程是能量守恒定律在流体力学中的一种表达形式. ()3.理想流体伯努力方程的物理意义是:在管内作稳定流动的理想流体,在任一截面上的压力能、势能和动能可以互相转换,但其总和不变。
()4.雷诺数是判断层流和紊流的判据。
()5.薄壁小孔因其通流量与油液的粘度无关,即对油温的变化不敏感,因此,常用作调节流量的节流器. ( )6.流经缝隙的流量随缝隙值的增加而成倍增加. ()7.流量可改变的液压泵称为变量泵. ()8.定量泵是指输出流量不随泵的输出压力改变的泵。
()9.当液压泵的进、出口压力差为零时,泵输出的流量即为理论流量。
()10.配流轴式径向柱塞泵的排量q与定子相对转子的偏心成正比,改变偏心即可改变排量。
()二、选择题(10分)1.运动速度()时宜采用粘度较低的液压油减少摩擦损失:工作压力()时宜采用粘度较高的液压油以减少泄漏.A. 高低B. 高高C. 低高D。
低低2。
在用一个泵驱动一个执行元件的液压系统中,采用三位四通换向阀使泵卸荷,应选用( )型中位机能A。
“P”型 B. “O”型C。
“Y”型D。
“H"型3。
调速阀是用( )而成的A。
节流阀和顺序阀串联B。
节流阀和定差减压阀串联C。
节流阀和顺序阀并联D。
节流阀和定差减压阀并联4.如图,已知单杆活塞缸两腔有效面积A1,A2,泵供油量q,活塞左右运动速度分别为v1,v2.若A1=2 A2,则大腔的流量为( );A。
q B。
1.5 qC。
1.75 q D。
2 q5.当负载变化时泵的下列指标中哪些变化()。
A. 额定压力B。
工作压力C. 最大压力D。
吸入压力三、简答题(15分)1、液体静压力具有两个基本特性是什么?2.说明下图所示双泵双速回路的工作原理,如何正确确定阀3、4的调定压力?3.何谓气穴现象?它有哪些危害?通常采取哪些措施防止气穴及气蚀?四、分析题(25分)1。
重庆科技学院液压传动技术试卷3一、填空题:(本题共11小题,20空,每空1分,共20分)1、液压传动系统的压力主要取决于,执行元件的速度取决于进入它的液体的。
2、液压马达是把_______________能转变为_______________能的转换装置。
3、液压泵的效率主要包括效率和机械效率,前者反映了泄漏的大小,影响实际流量,后者反映了机械摩擦损失,影响驱动泵所需的转速。
4、对于三位四通换向阀,当中位机能为型时活塞浮动,液压泵卸荷。
为_______型时可组成差动连接。
5、在液压系统中,产生气蚀现象的根本原因是。
6、压力继电器是将信号转换为信号的一种转换元件。
7、已知单活塞杠液压缸的活塞直径D为活塞杆直径d的两倍,则差动连接的快进速度等于非差动连接前进速度的倍。
8、液压泵能正常工作的必备条件是①②③。
9、溢流阀常用在定量泵节流调速液压系统中作定压阀使用,此时,溢流阀的阀口是常(开/闭)。
10、液压传动的调速回路有、和三种。
11、液压泵的实际流量比理论流量;而液压马达实际流量比理论流量。
(大/小)一、填空题:(本题共10小题,每空1分,共20分)1、负载,流量2、液压,机械3、容积,4、H,P5、局部压力过低6、压力,电7、48、密闭的容积,密封工作容积周期性大小变化,配流装置9、开9、增大10、节流调速、容积调速、容积节流调速11、大、小二、选择题:(本题共8小题,每题2分,共16分)1、齿轮泵在正常工作时,有几处可能会产生泄漏,下面几个选项中那个部位的泄漏量可能最大:( c )A、齿轮啮合处B、径向间隙C、轴向间隙D、前三处一样大2、限压式变量叶片泵压力流量曲线如图1示,当工进时,该泵应该工作在(b )。
A、AB段B、BC段C、B点D、ABC段3、下列属于压力控制阀的是:(b )A、调速阀B、直动式溢流阀C、三位四通阀D、普通节流阀图14、在定量泵-变量马达的容积调速回路中,如果液压马达所驱动的负载转矩变小,若不考虑泄漏的影响,试判断马达转速:( c )A 、增大B 、减小C 、基本不变D 、无法判断 5、调速阀是 而成的。
一、单选题1.在液压传动中人们利用来传递动力和运动。
A、固体;B、液体;C、气体;D、绝缘体。
2.与机械传动和电力传动相比以下哪个特点不是液压传动的优点A 运动惯性小、反应速度快B 液压元件操纵控制方便C元件的制造精度低,价格低 D 容易实现直线运动3.液压传动的系统中常用的方向控制阀是()。
A、节流阀;B、溢流阀;C、顺序阀;D、换向阀。
4.能实现差动连接的油缸是:A 双活塞杆液压缸B 单活塞杆液压缸C 柱塞式液压缸D A+B+C5.液压传动系统中的执行元件是()。
A、液压泵;B、液压缸;C、各种阀;D、油箱。
6.M型三位四通换向阀的中位机能是____。
A 压力油口卸荷,两个工作油口锁闭B 压力油口卸荷,两个工作油口卸荷C 所有油口都锁闭D 所有油口都卸荷7.在液压系统中,_______可作背压阀。
A 溢流阀B 单向阀C 换向阀D 液控单向阀8.低压系统作安全阀的溢流阀,一般选择__ __结构。
A 差动式B 先导式C 直动式D 锥阀式9. 调速阀是一个由串联组合而成的。
A 溢流阀和定差减压阀B 定差减压阀和可调节节流阀C 节流阀和换向阀D 换向阀和定差减压阀10.流量控制阀是用来控制液压系统工作的流量,从而控制执行元件的。
A 运动方向B 运动速度C 压力大小D 稳定性11. 液压系统中的压力损失主要是:A沿程压力损失 B 局部压力损失 C 系统流量损失 D A+B12. 液体的静压力于其受压平面。
A相切B垂直C相交D平行13. 右图所示三位四通换向阀中位机能是_______型。
A .P B.H C .O D.M14. 用来控制和调节油液的压力、流量和流动方向的装置为液压系统的部分A . 动力 B. 执行 C .控制 D.辅助15. 以下那一个不是液压油应具备的性能A .合适的粘度B.良好的润滑性能C .体积膨胀系数大,比热容小D. 质地纯净,杂质较少16. 对挤压机和飞机等液压系统来说,以下哪一个不是液压油需要满足的要求A.耐高温 B. 不腐蚀 C. 不挥发 D. 容易溶解于水17. 理想液体在无分支管路中作稳定流动时,通过每一流通截面的相等,这称为液流连续性原理。
共六套前三套第一阶段测试题液压与气压传动考试题一.单项选择题(每小题2分,共50分)1. 二位五通阀在任意位置时,阀芯上的油口数目为---------A .2 B.3 C.5 D.42. 应用较广.性能较好,可以获得小流量的节流口形式为------------A .针阀式或轴向三角槽式 B.偏心式或周向缝隙式 C.轴向三角槽式或周向缝隙式 D.针阀式或偏心式3. 调压和减压回路所采用的主要液压元件是---------A.换向阀和液控单向阀B.溢流阀和减压阀C.顺序阀和压力继电器D.单向阀和压力继电器4. -------管多用于两个相对运动部件之间的连接,还能吸收部分液压冲击。
A. 铜管B.钢管C.橡胶软管D.塑料管5. ------是液压系统的储能元件,它能储存液体压力能,并在需要时释放出来供给液压系统。
A.油箱B.过滤器C.蓄能器D.压力计6. 能输出恒功率的容积调速回路是-------------A.变量泵---变量马达回路B.定量泵---变量马达C.变量泵---定量马达D.目前还没有7. 溢流阀的作用是配合油泵等溢出系统中多余的油液,使系统保持一定的-------A.压力B.流量C.流向D.清洁度8. 当环境温度较高时,宜选用粘度等级-----的液压油A.较低B.较高C.都行D.都不行9. 能将液压能转换为机械能的液压元件是---------A.液压泵B.液压缸C.单向阀D.溢流阀10. 下列压力控制阀中,哪一种阀的出油口直接通向油箱---------A.顺序阀B.减压阀C.溢流阀D.压力继电器11. 液压系统的动力元件是-----------A.电动机B.液压泵C.液压缸D.液压阀12. 活塞有效作用面积一定时,活塞的运动速度取决于-----A.液压缸中油液的压力B.负载阻力的大小C.进入液压缸的流量D.液压泵的输出流量13. 不能作为双向变量泵的是-----------A.双作用叶片泵B.单作用叶片泵C.轴向柱塞泵D.径向柱塞泵14. 在液压系统中用于调节进入执行元件液体流量的阀是------------A.溢流阀B.单向阀C.调速阀D.换向阀15. 压力控制回路包括-----------A.换向和闭锁回路B.调压.减压和卸荷回路C.调压与换向回路D.节流和容积调速回路16. 液压系统中减压阀处的压力损失是属于--------A.沿程压力损失B.局部压力损失C.两种都是D.两种都不是17. 柱塞泵是用于---------系统中A.高压B.中压C.低压D.都不可以18. 下列液压缸中可以进行差动连接的是-------------A.柱塞式液压缸B.摆动式液压缸C.单活塞杆式液压缸D.双活塞杆式液压缸19. Y型.V形密封圈在安装时,唇口应对应着压力--------的一侧A.高B.低C.都行D.无法确定20. 下列换向阀的中位机能中,能对液压缸进行闭锁的是------------A.O型B.H型C.Y型D.P型21. 外啮合齿轮泵的特点有-------------A.结构紧凑.流量调节方便B.通常采用减小进油口的方法来降低径向不平衡力C.噪音较小.输油量均匀,体积小,重量轻D.价格低廉,工作可靠,自吸能力弱,多用于低压系统22. 单作用叶片泵--------------A.定子内表面近似腰圆形B.转子与定子中心的偏心剧可以改变,在重合时,可以获得稳定大流量C.可改变输油量,还可改变输油方向D.转子径向压力不平衡23. 液压机床开动时,运动部件产生突然冲击的现象通常是-------------A.正常现象,随后会自行消除B.油液中混入了空气C.液压缸的缓冲装置出故障D.系统其他部分有故障24. 缸筒较长时常采用的液压缸形式是----------A.活塞式B.柱塞式C.摆动式D.无杆液压缸25.在一条很长的管中流动的液体,其压力值是------------A.前大后小B.各处相等C.前小后大D.不确定二.多项选择题(每小题2分,共10分)1、液压传动系统中,常用的方向控制阀是-------------A. 节流阀B.调速阀C.溢流阀D.减压阀E.顺序阀F.单向阀G.换向阀2.方向控制回路是----------B.换向回路 B.闭锁回路C.调压回路D.卸荷回路E.节流调速回路F.速度换接回路3.液压传动系统中,常用的的压力控制阀是----------A.节流阀B.调速阀C.溢流阀D.减压阀E.顺序阀F.单向阀G.换向阀4. -------是速度控制回路A.换向回路B.闭锁回路C.调压回路D.卸荷回路E.节流调速回路F.速度换接回路5. 液压系统中,常用的执行元件有---------A.液压缸B.液压泵C.液压马达D.压力继电器E.蓄能器F.电磁换向阀三.简答题(每小题5分,共10分)1.容积泵基本的工作条件是?2.简述溢流阀在系统中的应用?四.计算题(12分)1.如有图所示,一个液压泵驱动两个油缸串联工作。