大连理工研究生连续介质力学作业题
- 格式:pdf
- 大小:338.29 KB
- 文档页数:17
《连续介质力学》例题和习题第一张、矢量和张量分析第一节 矢量与张量代数一、 矢量代数令 11223A A A =++A e e e 112233B B B =++B e e e 则有 11223A A A αααα=++A e e e 11122233()()()A B A B A B +=+++++A B e ee 1122331122331122()()A A A B B B A B A B A B ∙=++∙++=++A B e e e e e e112233112233111112121313212122222323313132323333()() A A A B B B A B A B A B A B A B A B A B A B A B ⨯=++⨯++=⨯+⨯+⨯+⨯+⨯+⨯+⨯+⨯+⨯A B e e e e e e e e e e e e e e e e e e e e e e e e 又因为 11⨯=e e 0 123⨯=e e e 132⨯=-e e e 213⨯=-e e e 22⨯=e e 0 231⨯=e e e 312⨯=e e e 321⨯=-e e e 33⨯=e e 0则 2332131132122(_)()()A B A B A B A B A B A B⨯=+-+-A B e e e习题1、证明下列恒等式:1)[]2()()()()⨯∙⨯⨯⨯=∙⨯A B B C C A A B C2) [][]()()()()⨯∙⨯=∙⨯-∙⨯A B C D A C D B B C D A2、请判断下列矢量是否线性无关?1232=-+A e e e 23=--B e e 12=-+C e e .其中i e 单位为正交的基矢量。
*补充知识:矩阵及矩阵运算1、定义:[]()111213212223313233,1,2,3ij A A A A A A A i j A AA ⎡⎤⎢⎥⎡⎤===⎣⎦⎢⎥⎢⎥⎣⎦A i 表示行,j 表示列;m 和n 相等表示为方阵,称为m (或n )阶矩阵。
连续介质力学作业必做题以下各题中,取物质坐标系}{A X 和空间坐标系}{i x 为同一个直角坐标系,其单位基向量为),,(321e e e 。
2-1 如果物体在运动过程中保持任意两点间的距离不变,则称这样的运动为刚体运动,试证:物体的运动若为刚体运动,则参考构形中的物质点X 变换到当前构形中的空间位置x 时,必满足:)()()(t a A X t Q x +-⋅=,其中)(t Q 为正常正交仿射量。
2-2 现取物质坐标系}{A X 和空间坐标系}{i x 为同一个直角坐标系,其单位基向量为),,(321e e e ,有一物体的变形为:33222011,,X x X x X k X x ==+=,试写出以下各量:1)变形梯度张量F 和变形梯度张量之逆1-F ;2)右,左Cauchy-Green 张量B C ,;并计算C 和B 的三个主不变量;2-4 现取空间坐标系}{i x 为直角坐标系,其单位基向量为),,(321e e e ,有一物体的小变形位移场为3212323213131))(())((e x x e x x x x e x x x x u -+++--=,试求:(1)P (0,2,-1)点的小应变张量e ,小转动张量Ω 及其反偶矢量ω ;(2)求P 点在9/)48(321e e e +-=ν方向上的线应变;(3)求P 点在9/)48(321e e e +-=ν和9/)744(321e e e -+=μ二方向上的直角的变化量。
2-6 取物质坐标系}{A X 和空间坐标系}{i x 为同一个直角坐标系,其单位基向量为),,(321e e e ,有一物体的运动为:11X x =,2/)(2/)(32322X X e X X e x t t -++=-,2/)(2/)(32323X X e X X e x t t --+=-,试求物质和空间速度分量。
2-12 在习题2-2给出的简单剪切变形中,如果)(00t k k =是时间t 的函数,试写出相应的速度梯度L ,变形率张量D 和物质旋率W 的表达式。
《连续介质力学》例题和习题第一章 矢量和张量分析第一节 矢量与张量代数一、矢量代数令112233A A A =++A e e e ,112233B B B =++B e e e ,则有112233A A A αααα=++A e e e111222333()()()A B A B A B +=+++++A B e e e112233112233112233()()A A A B B B A B A B A B •=++•++=++A B e e e e e e112233112233111112121313212122222323313132323333()() A A A B B B A B A B A B A B A B A B A B A B A B ⨯=++⨯++=⨯+⨯+⨯+⨯+⨯+⨯+⨯+⨯+⨯A B e e e e e e e e e e e e e e e e e e e e e e e e又因为: 11⨯=e e 0;123⨯=e e e ;132⨯=-e e e ;213⨯=-e e e ;22⨯=e e 0;231⨯=e e e ; 312⨯=e e e ;321⨯=-e e e ;33⨯=e e 0则: 233213113212213(_)()()A B A B A B A B A B A B ⨯=+-+-A B e e e 习题:1、证明下列恒等式:1)[]2()()()()⨯•⨯⨯⨯=•⨯A B B C C A A B C2) [][]()()()()⨯•⨯=•⨯-•⨯A B C D A C D B B C D A2、请判断下列矢量是否线性无关?1232=-+A e e e 23=--B e e 12=-+C e e .其中i e 为单位正交基矢量。
3、试判断[]816549782-⎡⎤⎢⎥=⎢⎥⎢⎥--⎣⎦A 是否有逆矩阵;如有,请求出其逆阵[]1-A 。
二、张量代数例1:令T 是一个张量,其使得矢量a ,b 经其变换后变为2=+Ta a b ,=-Tb a b ,假定一个矢量2=+c a b ,求Tc 。
大连理工大学2007年硕士研究生入学考试《材料力学》一.求图示连续梁的支座反力,并作剪力图和弯矩图二.已知一两端固定梁受轴向均布荷载大小q的作用,梁的线膨胀系数为■求当温度下降△t 时两端的支座反力。
三.T型截面梁如图所示,在线弹性阶段中弯曲中性轴Z的位置在哪里?当出现塑性弯矩时,中性轴Z又在哪里?并求塑性弯矩Ms和极限弯矩Mu之比四.一折杆ABC如图所示,在距C端高h处重量为Q的物体以初速度■下落,已知梁的抗弯刚度为EI,抗弯截面系数为W截的抗扭刚度为GI,试求折杆的动荷系数和最大正应力。
五.如图所示,悬臂梁AB在B端受集中力F作用,梁的截面如图①,②两种情况,试比较①,②情况下柳钉所承受的剪力?其强度是否一样?六.如图所示,梁受均布荷载q 作用,梁的抗弯刚度EI 是常量且q 和I 已知。
从强度考虑为了能使梁的受力最合理,试求支座A 应上移的距离△。
七.简答题1.已知用直角应变花测得6104000-⨯=︒ε,61010045-⨯-=︒ε,61020090-⨯-=︒ε试用作圆法,既作这一点的应变圆,并求出主应变的大小,要求写清作图步骤。
2.作如下截面的截面核心的大致形状,定性画出形心主轴位置,并定性画出1,2中性轴所对应的力的作用点的大致位置。
3.已知一简支梁的弯矩图如下所示,试作出梁的荷载图以及剪力图,并定性画出挠曲线的大致形状(注意图中曲线为抛物线)。
4.两块钢板利用相同材料的两块盖板和是个柳钉连接,如图所示,已知钢材的[]MPa 120=τ,[]MPa 300=■,[]MPa 160=σ,试校核该接头的强度(单位:mm )。
5.如图所示,AB 段为圆截面杆,直径为d,BC 段为正方形截面杆,边长为a,两杆的弹性模量■相同,试求合理的da 。
6.空间一点的应力状态如下图所示,求第三与四强度的相当应力3rσ和4rσ。
大连理工大学2008年硕士研究生入学考试《材料力学》一.简答题1.一空心圆截面铝轴,外径D=100mm,内径d=90mm,L=1m,G=80GPa,轴两端作用扭转力偶M ,MPa 70max =τ,求:(1)两端面的相对扭转角;(2)在相同的应力条件下实心轴的直径。
连续介质力学作业(第二章)参考答案1、初始构型和当前构型的转换关系:21122X X x +=,21222X X x +=,33X x = 其中()321,,X X X 为一个物质点在初始构型上的坐标,()321,,x x x 为同一个物质点在当前构型上的坐标。
参考基是~3~2~1,,e e e 标准正交基求:(1)变形梯度F(2)右Cauchy-Green 变形张量C (3)Green 变形张量E(4)初始构型上一向量~33~22~11~e X e X e X X ++=,变形后在当前构型上是~x ,证明~~~~X C X x x ••=•和()~~~~~~2X E X X X x x ••=•−•(5)左Cauchy-Green 变形张量b (6)Almansi 变形张量A解答:(1)⎟⎟⎟⎠⎞⎜⎜⎜⎝⎛⎥⎥⎥⎥⎥⎥⎥⎦⎤⎢⎢⎢⎢⎢⎢⎢⎣⎡=⎟⎟⎟⎠⎞⎜⎜⎜⎝⎛3213211001220221X X X x x x (2)⎥⎥⎥⎥⎥⎥⎦⎤⎢⎢⎢⎢⎢⎢⎣⎡=⎥⎥⎥⎥⎥⎥⎥⎦⎤⎢⎢⎢⎢⎢⎢⎢⎣⎡⎥⎥⎥⎥⎥⎥⎥⎦⎤⎢⎢⎢⎢⎢⎢⎢⎣⎡=•=100232022310012202211001220221TTF F C(3)()⎥⎥⎥⎥⎥⎥⎥⎦⎤⎢⎢⎢⎢⎢⎢⎢⎣⎡=−=000041220224121I C E (4)~33~221~121~2222e X e X X e X X x +⎟⎟⎠⎞⎜⎜⎝⎛++⎟⎟⎠⎞⎜⎜⎝⎛+=[]~~3213212321222123221221~~100023202232223232222XC X X X X X X X X X X X X X X X X X x x ••=⎟⎟⎟⎠⎞⎜⎜⎜⎝⎛⎥⎥⎥⎥⎥⎥⎦⎤⎢⎢⎢⎢⎢⎢⎣⎡=+++=+⎟⎟⎠⎞⎜⎜⎝⎛++⎟⎟⎠⎞⎜⎜⎝⎛+=• []()~~321321212221~~~~210002120221222121XE X X X X X X X X X X X X X x x ••=⎟⎟⎟⎠⎞⎜⎜⎜⎝⎛⎥⎥⎥⎥⎥⎥⎦⎤⎢⎢⎢⎢⎢⎢⎣⎡=++=•−• (5)⎥⎥⎥⎥⎥⎥⎥⎦⎤⎢⎢⎢⎢⎢⎢⎢⎣⎡=1001220221F ⎥⎥⎥⎥⎥⎥⎦⎤⎢⎢⎢⎢⎢⎢⎣⎡=⎥⎥⎥⎥⎥⎥⎥⎦⎤⎢⎢⎢⎢⎢⎢⎢⎣⎡•⎥⎥⎥⎥⎥⎥⎥⎦⎤⎢⎢⎢⎢⎢⎢⎢⎣⎡=•=1000232022310012202211001220221TTF F b(6)()⎥⎥⎥⎦⎤⎢⎢⎢⎣⎡−−=−=−10005.2220225.2211b I A2、一个连续体内的任意一点,初始时刻坐标为()Y X ,,经过t 时刻后,变为()y x ,,其中:atY X x +=,Y y = ,其中a 是常数。
连续介质力学作业(第一章)习题1. 向量~~~~k z j y i x a ++=。
~i ,~j ,~k 表示三维空间中标准正交基。
给定一组协变基~~12i g =,~~~2j i g +=,~~~3k j g +=。
(1)求逆变基1g ,2g ,3g 。
(2)求ij g(3)向量~a 参考逆变基~1g ,~2g ,~3g 表示时,~~i i g a a =,求i a 。
(1)[]222~~~~~~~~~3~2~1= +•= +• +×=• ×=k j k k j j i i g g g g+−=+× += ×=~~~~~~~~3~2~121211i j k k j j i g g g g~~~~~~1~3~22211j k i k j g g g g +−= × += ×=~~~~~2~1~32211k j i i g g gg =+×= ×=(2) g ij =gg ii ⋅gg jj �g ij �=�3/4−11/2−12−11/2−11�(3)a i =aa ⋅gg ii a 1=2x,a 2=x +y,a 3=y +z2. 已知笛卡尔坐标系331e e e ,,,一个新的坐标系定义为−−−= ′′′32132161312161312162310e e e e e e 向量321e e e x 321x x x ++=,给定函数2321x x )f(−=x 。
(1) 求函数f 的梯度)(f grad(2) 求向量x 参考新坐标系的表示形式i ′′=e x i x(3) 求函数f 在新的坐标系下的表达形式),,(321′′′′x x x f (4) 判断)(f grad 的客观性。
3. 二维情况下,一质点应力张量σ主值6.11=σλ,3.22=σλ。
主方向2112123e e N −=,2122321e e N +=。
2010—2011学年第 3学期连续介质力学课程期末考试试卷(A卷)2010—2011学年第 3学期连续介质力学课程期末考试试卷(A卷)O Ox x y y2010—2011学年第 3学期连续介质力学课程期末考试试卷(A卷)2010—2011学年第 3学期连续介质力学课程期末考试试卷(A卷)答案及评分标准2010—2011学年第 3学期连续介质力学课程期末考试试卷(A卷)答案及评分标准2、axy y x 622=∂∂=φσ22212ax xy =∂∂=φσ 223ay yx xy-=∂∂∂-=φτ(3分)3ah 23ah 23al 23alh3ah 2xy(4分)五、证明题(本大题25分)1、证明:假想从物体内任意点P 取出一个微分四面体元PABC ,如图。
斜截面ABC 离开O 点一微小距离 h ,它的外法线为 n 。
(2分)设已知作用于截面 PBC ,PAC ,PAB 上的合应力矢量分别为T 1,T 2,T 3,于是,作用于与坐标轴X i 垂直的面元上的合应力矢量i T 可由沿坐标轴方向的分量表示为j ij ie T σ=。
(3分)设面元 ABC 的面积为 dA ,则其余与轴 x j 垂直的各截面的面积为()dA n n x dA dA j j j ==,cos ,这里的n j 是斜截面ABC 的外法线n 的方向余弦。
(2分)根据应力连续性的假设,应力矢量在物体内是连续变化的,作用在截面ABC 上的应力分量的合力为dA T i n;同理作用在PBC ,PCA 与PAB 等截面上的应力分量的合力为dA n j ij σ-,前取负号是因为dA j 的外法线与X j 轴的正方向相反;体力F 的分量为F i hdA/3,其中hdA/3是四面体的体积。
(3分)至此,可以列出四面体的平衡方程:2010—2011学年第 3学期连续介质力学课程期末考试试卷(A卷)答案及评分标准。
1 / 1 连续介质力学习题一一、张量复习1-1 已知k j i ,,为直角坐标系的基矢量,某斜角坐标系的协变基矢为j i g k i g k j g +=+=+=321,,,(1)求逆变基矢321,,g g g (用k j i ,.,表示);(2)求度量张量ij g ;(3)验证公式i ij j g g g =;(4)有两个矢量:,32321g g g u -+=321g g g v +-=,求v u ,的协变分量i i v u ,及两矢量点积v u ⋅。
1-2 球坐标系,令ϕθ===321,,x x R x ,求该坐标系的2,,,,ds g g g g ij ij j i 。
1-3 设有一抛物柱面坐标系(由两族抛物柱面及平面构成),令ςηξ===321,,x x x ,若已知抛物柱面坐标系与直角坐标系的关系为:ςξηξη-==-=z y x ,),(2122,设 321,,i i i 为直角坐标系的基矢量,试求抛物柱面坐标系的协变基矢和逆变基矢及度量张量(用直角坐标系的基矢量表示)。
1-4 设T 为二阶对称张量,S 为二阶反对称张量,u 为任意矢量,试证明:(1)u T T u ⋅=⋅;(2)u S S u ⋅-=⋅。
1-5 设T 为二阶对称张量,设S 为二阶反对称张量,求证:0:=S T 。
1-6 设S T ,为任意二阶张量,**,S T 为它们的转置,求证:*:**:*::T S S T T S S T ===。
1-7 证明:(1)*)(*)(11--=T T ;(2)对称张量的逆也对称;(3)111)(---⋅=⋅A B B A 。
1-8 设)(),(x v x u 为光滑矢量场,试证:(1)v u v u v u ⋅∇⨯-∇⨯⋅=∇⋅⨯)()()( ;(2)v u v u v u v u v u )()()()()(∇⋅-⋅∇+∇⋅-⋅∇=⨯⨯∇ 。
1-9 证明:对二阶对称张量N ,有N N ⋅∇=∇⋅。
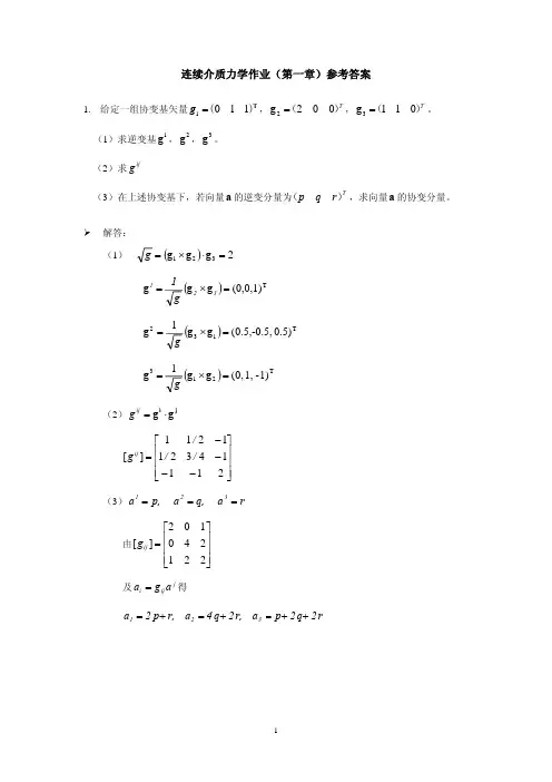
连续介质力学作业-----1
1.给定一组协变基矢量
(1)求逆变基
(2)求
(3)在上述协变基下,若的逆变分量为,求的协变分量解:
(1)
(2)
(3)
2.已知笛卡尔坐标系,一个新的坐标系定义为:
向量,给定函数
(1)求函数的梯度
(2)求向量参考新坐标系的表示形式
(3)求函数在新坐标系下的表达形式
(4)判断的客观性
解:
(1)
(2)
(3)
(4)
其中,故具有张量的客观性。
(#)
3.二维情况下,一质点应力张量主值。
主方向,。
应变张量主值,主方向与应力张量相同。
为平面直
角坐标系的单位基矢量。
(1)以,为基,计算该质点处应变能密度
(2)求,使得
(3)求,使得
(4)以为基,计算该质点处的应变能密度
(5)计算的球应力张量和偏应力张量,并计算偏应力张量的主值和方向解:
(1)
(2)
(3)
(4)
(5)
4. 是二阶张量,证明:
证明:
将张量按照标准正交基分解有:
(#)
5(1) 如果二阶张量是反对称张量,对于任意一阶张量,证明
(2) 是二阶反对称张量,是二阶对称张量,证明
证明:
(1)
故对于任意,均有
(2)。