经纬时间控制器使 用 说 明 书
- 格式:pdf
- 大小:271.81 KB
- 文档页数:4
广州华湛电气有限公司说明:本公司保留对产品技术改进,对本说明书作修改而不另行通知之权利。
ZTQ-系列天文钟、智能时控制器使 用 说 明 书一、使用产品用前注意事项1.严禁擅自拆解产品,避免触电和失去保修条件;2.本装置必须由具有专业资格的人员进行安装作业;3.严禁湿手操作控制器,以防发生电击事故;4.产品安装场所应无爆炸危险、无腐蚀性气体、并应注意防潮、防尘;5.产品投入运行后,使用单位应作运行记录,并建立相应的管理制度,6.控制380V 线圈时另一条火线应直接接到线圈上;7.其它未尽事宜,请按电气标准的使用要求使用。
二、用途及适用范围适用于路灯、景观、楼宇、广告灯、学校、医院、公园、体育馆、展览馆、工业园区、机场、铁路等一些需要在经纬模式或定时模式工作的场合使用;主要功能是在经纬模式情况下可以自动随日出日落变化而有规律调整接通和断开之用,还含有定时、手动、光控功能;另外有RS485通讯接口(预留)、星期、节假日功能可定。
三、参数1.供电电源:AC85~260V/50Hz(能适应各种复杂电网);2.工作温度:-20°C ~75°C ;3.相对湿度:<90%;4.功率损耗:0.2W ~3W ;5.输出回路:4路6.回路功率:1250VA (5A 250VAC ) 6.是否含液晶屏:有7.自带高精度时钟:DS12887(可计算到2100年,断电可工作十年) 8.安装方式:导轨安装 9.设备尺寸:X72*Y96*H59(mm) 四、产品参考图及型号代号意义图1-1(有源款尺寸以及电气接线参考) 图1-2(无源款尺寸以及电气接线参考)图1-3(产品侧面尺寸) 图1-4(型号代号意义)五、界面以及参数设置说明1.按键说明按键功能设置翻页(共7个页循环显示) ← 光标向左移(待机界面无效) → 光标向右移(待机界面无效)+ 加数或修改时控模式(待机界面无效) - 减数或修改时控模式(待机界面无效)保存 每修改完一个参数需要长按此键超过一秒方可长期保存数据(系统时间不需)K1 单按快速显示第1回路界面,继续按将循环“手开”关“手关”“自动”工作模式K2 单按快速显示第2回路界面,继续按将循环“手开”关“手关”“自动”工作模式K3 单按快速显示第3回路界面,继续按将循环“手开”关“手关”“自动”工作模式K4单按快速显示第4回路界面,继续按将循环“手开”关“手关”“自动”工作模式2.通电第一个显示的界面是待机界面(如图2-1);待机界面图2-13.通电等待3秒(或在待机状态下按一下“设置”键)后出现第一个设置界面为系统时间和经纬度设置(如图2-2),按“→”或“←”移动光标到相应参数再按“+”或“-”进行修改数据(经纬度设置完后需按“保存”键保存参数);系统时间和经纬度设置图2-24输出回路设置界面(如图2-3);按“→”或“←”移动光标到相应参数再按“+”或“-”进行修改数据,最后长按一秒钟“保存”键进行参数保存,在经纬模式下在设置参数前请先按“保存”键(注:每一个参数都需要保存一次数据);图2-35.光控设置(如图2-4);“当前”上面的数是光控采集回的环境光线程度,只有采集回来的数值小于设置的数值对应回路才会开启,如图1-4所示只有第三路会开启,回路设置的光控值小于5的不开启光控功能。
SZ系列GPS标准时间同步钟说明书SZ系列GPS标准时间同步钟说明书目录1,装置概述............................................................1 2,技术参数 (2).............................................................................................................................. .................2 2.2 主要技术指标.................................................................................................................................. ..........................................2 2.3 机械结构.................................................................................................................................. .. (3)3,通讯规约............................................................5 3.1 规约1.................................................................................................................................... ......................................................5 3.2 规约2(BJT)........................................................................................................................... ...............................................5 3.3 规约3(IRIG―B)................................................................................................................... (6)4,装置说明............................................................7 4.1 SZ-2UA GPS标准时间同步钟.................................................................................................................................. .. (7)4.2 SZ-4U GPS标准时间同步钟.................................................................................................................................. . (8)4.3 SZ-5000 GPS双机冗余系统.................................................................................................................................. ..............10 4.4 SZ-IRIG-B扩展器.................................................................................................................................. ................................17 4.5 SZ-TM12/14/22/24同步脉冲扩展器 (1)84.6 SZ-*****扩展器.................................................................................................................................. (20)4.7 SZ-FIB81/82,SZ-FIB91/92光纤收发器 (21)4.8 SZ―LED远距离显示器.................................................................................................................................. .. (23)5,使用说明...........................................................25 5.1 开机步骤.................................................................................................................................. ................................................25 5.2 液晶显示.................................................................................................................................. ................................................25 5.3 装置调试注意事项.................................................................................................................................. ...............................25 SZ系列GPS标准时间同步钟说明书1 1,装置概述随着电力系统自动化技术的发展,系统对时间统一的要求越来越迫切,对时间的同步精度要求越来越高.由南自电网控制技术有限责任公司研制的SZ系列GPS标准时间同步钟就是专门为电力系统的自动化提供高精度时间基准的时间同步设备.该设备以美国导航星全球定位系统(GPS)为时间基准,时间同步精度1μs.它选用美国专业生产厂家生产的GPS接收机部件进行二次开发研制而成.装置可以同时跟踪视场内的12颗GPS卫星,自动选择最佳卫星进行定位,定时,装置支持IRIG-B码对时输入接口,作为GPS卫星定时信号的后备.输出与协调世界时UTC时间同步精度为1μs的秒(1PPS),分(1PPM),时(1PPH)定时脉冲和北京时间的钟面,还可实现工频量的测量,外部事件(SOE)产生的时刻记录,并按照一定格式经串行口分别输出日期,时间,周波钟,周波数,钟差,事件产生时刻和安全运行天数等信息,装置同时支持网络NTP,SNTP对时接口,供电力系统需要标准时间尺度的各种自动化装置使用.本设备采用单片机控制,软硬件结合的技术设计,充分利用GPS接收组件的潜力.因此系统具有可靠性高,功能多,精度高,性价比好和操作方便等特点,完全可以满足电力系统时间同步要求.它的使用推广,将大大促进电力系统的事故分析,故障测距和继电保护等自动化技术的发展.SZ系列GPS标准时间同步钟装置由标准同步钟本体和时标信号扩展装置组成,时标信号扩展装置包括对时脉冲扩展装置,时间报文扩展装置,IRIG-B码扩展装置,对时信号通道中继装置,双机系统切换装置等系列装置.装置设计采用模块化方式,除了提供本说明书中的典型配置方式外,可根据现场的实际需要方便扩展组合,具有广泛的适用性. SZ系列GPS标准时间同步钟说明书22,技术参数2.1 环境参数环境温度范围: a) 工作温度:-10 ~+55℃; b) 贮存,运输极限环境温度:-25 ~+75℃ ; 相对湿度: 5% ~95%(最大绝对湿度28g/m3); 大气压力: 86 KPa ~106 KPa. 2.2 主要技术指标1) 接收频率:1575.42MHz,可同时跟踪8~12颗GPS卫星.2) 天线射频灵敏度:-166dbw,天线馈线长度30~200米馈线(馈线长度超过30米订货时应注明). 3) 捕获时间:20秒~2分钟. 4) 1PPS 输出:TTL电平/RS485电平准时沿: 上升沿,上升时间≤50ns 上升沿的时间准确度≤1μs 脉冲宽度:约50ms空接点准时沿: 上升沿,上升时间≤120ns 上升沿的时间准确度≤2μs 脉冲宽度:约50ms 5) 1PPM输出TTL电平/RS485电平准时沿: 上升沿,上升时间≤90ns 上升沿的时间准确度≤2μs 脉冲宽度:约100ms空接点准时沿: 上升沿,上升时间≤150ns 上升沿的时间准确度≤2μs 脉冲宽度:约100ms 6) 1PPH输出空接点准时沿: 上升沿,上升时间≤2μs 上升沿的时间准确度≤2μs 脉冲宽度:约1000ms 7) 接口电路:SZ系列GPS标准时间同步钟说明书38) IRIG-B(DC)非调制信号: TTL电平0~5V;RS232电平电气特性符合GB/T6107-2000; RS485电平电气特性符合EIA/485; 9) IRIG-B(AC)调制信号: 载波频率:1kHz;信号幅值(峰-峰值):高:≥10V,低:符合3:1调制比要求; 输出阻抗:600欧姆,隔离输出.10) 静态空接点(光隔离)输出:允许外接电压≥250V DC(订货时应注明). 11) 有源脉冲输出:5V,24V或220V有源脉冲(订货时应注明). 12)GPS主时钟内部守时准确度优于8107-×.13) 显示:十四位LCD显示,显示内容包括日期,时间,卫星数.14) 串行口:输出编码(年月日时分秒),工频钟时间(时分秒),钟差,周波数和突发事件产生的时刻, 每秒发一次.输出有RS232电平和RS485电平.15) 告警接点输出:电源中断,外部时间基准信号消失,输出信号出错告警. 16) 电源:每台设备均为双电源供电输入电压范围:交流220V或直流110V~220V±10% 最大输出功率:15W 输入频率范围:47~63Hz 2.3 机械结构SZ系列GPS标准时间同步钟说明书4机箱尺寸为标准的19英寸N*U工业机箱.1U机箱定位孔间距为34mm; 2U机箱定位孔间距为76mm; 4U 机箱定位孔间距为101.6mm. 2U机箱尺寸及开孔图(单位:mm) SZ-2UA 标准时间同步钟1PPSSZ系列GPS标准时间同步钟说明书53,通讯规约SZ系列GPS既可以采用报文方式软件对时,又可以采用脉冲方式硬对时,其中报文方式的通讯规约如下. 3.1 规约1接口标准:RS232或RS422/RS485通讯速率:2400bps,4800 bps,9600 bps可选数据位:8位(ASCⅡ码) 起始位:1位停止位:1位校验位:无输出报文格式:报文中必须的时间信息应采用下表格式: 串口时间报文格式S T h h m m s s D D M M Y Y Y Y V V P P C A 同步标志帧头时十位时个位分十位分个位秒十位秒个位日十位日个位月十位月个位年千位年百位年十位年个位卫星求解卫星求解卫星数量十位卫星数量个位校验字节标准时结束报文说明:与秒脉冲(PPS)的前沿对齐,装置收到卫星信号则发送字符S,装置失步就停发字符S,S的ASCII 码为53H;为发送时间信息的信息头,T的ASCII码为54H;然后依次是小时的十位,个位,分钟的十位,个位……直到年的个位信息,分别为0-9的ASCII码(30H-39H);VV为卫星求解,有效发30H30H, 卫星求解无效发3FH3FH;PP为接收到的卫星数量,为0-9的ASCII码(30H-39H);校验字节是小时的十位,个位,分钟的十位,个位……直到卫星数量个位信息逐字节异或后再非运算的结果(即:异或非校验); 为发送时间信息的信息结尾,A的ASCII码为41H.报文发送时间:每秒输出,每分输出或根据请求输出1次(帧),或用户指定的方式输出. 3.2 规约2(BJT)接口标准:RS232或RS422/RS485 通讯速率:4800bps 数据位:8位(ASCⅡ码) 起始位:1位停止位:1位校验位:无输出报文格式: SZ系列GPS标准时间同步钟说明书6语句1:BJT,YYMMDD,hhmmss,±XXXX.XX,HHFFPP, ff.f1f1f1语句2:SOE,YYMMDD,hhmmss,UUUUUU 语句3:ERR, YYMMDD,hhmmss其中:BJT表示北京时间,SOE表示外部事件,ERR表示信号丢失或接收卫星少于3颗.YY为年,MM 为月,DD为日,hh为时,mm为分,ss为秒,UUUUUU为微秒,±表示钟差的符号,XXXX.XX为钟差值(标准钟―工频钟),单位为秒,HHFFPP分别为工频钟的时,分,秒.ff为周波数的两位整数部分,f1f1f1为周波数的三位小数部分.(如年份需要四位表示,即YYYY,请说明) * 正常情况,只发语句1; * 有外部事件时,发语句2;* 当出现信号丢失或接收的卫星少于3颗时,发告警语句3.语句3中的YYMMDD,hhmmss,表示失星时的年,月,日,时,分,秒.串口输出年,月,日,时,分,秒,工频时间,钟差,周波数和外部事件产生的时刻(准确到微秒), 每秒发送一次,起始位与标准秒的同步误差小于0.2ms. 3.3 规约3(IRIG―B)数据格式:秒,分,时,一年中的第n天,每秒发送一次,内含100个脉冲.分直流码和交流码两种. SZ系列GPS标准时间同步钟说明书7 4,装置说明4.1 SZ-2UA GPS标准时间同步钟4.1.1. 结构说明标准2U工业机箱,组屏方便,其尺寸为482.6(宽)mm×88.90mm(高)×290mm(深). 4.1.2.功能配置显示: 6位LCD和8位LCD两个显示窗口;串行口: 4个RS232/485串行口输出报文对时,出厂配置为串口默认输出规约1,如有特殊需求订货时应注明.。
军达产品使用说明书一、功能和用途:本产品采用先进的微电脑自动控制技术,用户只要校正好控制器的时钟,输入所在地区的经度和纬度,控制器即可根据地球自转和公转的规律,自动计算出不同季节每天的日出日落时间,实现对路灯及相关设备的全自动开关控制。
用户也可以根据所在地区的实际情况进行时间微调。
该产品技术先进、运行可靠、安装方便,调整简便,可广泛应用于路灯、庭院灯、广告灯箱、霓虹灯、航标灯等室外照明智能控制。
可显著节省电能,减少维护成本,具有明显的经济效益和社会效益,是现代室外照明控制的理想选择。
本控制器有两路输出,每路均可设为全夜灯(即天黑亮灯、天亮关灯)或半夜灯(即用户可自己设定晚间关灯时间和早晨开灯时间)。
用户可以让一部分路灯晚上长亮,另一部分路灯定时关闭,既满足了照明需要,又能最大限度的节省电能。
如果用户是在寒冷地区户外使用,气温在20℃以下时,可为用户加装内部保温部件,以确保产品的正常运行。
该控制器可以增设光控组件,此时控制器仅在经纬度计算的早晨关灯至下午开灯时间内光控起作用,区别于普通光控开关的是晚间照明期间不受自控灯光及其他灯光的干扰,可以设为一路光控,一路经纬度控制,还可以附加雨控功能,采购时请特别说明。
二、主要技术指标:1、工作电压:220VAC/50/60Hz ;(可订制12、24VDC/AC 产品) 2、输出功率:220VAC/5A 两路控制2*1000W ;3、使用范围:东经70~136°,北纬5~60°,全国各地均可使用。
4、时钟误差:±1秒/天。
5、输出设置:全夜灯/半夜灯,6、用户开关灯调整范围:±99分。
7、停电数据保护时间:四个月。
8、环境温度:-20~+60℃(温度低于20℃以下时,可定制内部保温部件)9、环境湿度:<95% 10、外形尺寸:125×82×57mm 11、固定孔尺寸:△68mm×122mm 12、重量: 365g 三、使用说明:该产品投入使用前,用户务必进行时钟、经纬度的初次设定,请按以下步骤进行:1、了解面板及各部分功能用途:1)八位LED 数码管,显示相关时间及数据。
资料范本本资料为word版本,可以直接编辑和打印,感谢您的下载经纬软件操作说明书2地点:__________________时间:__________________说明:本资料适用于约定双方经过谈判,协商而共同承认,共同遵守的责任与义务,仅供参考,文档可直接下载或修改,不需要的部分可直接删除,使用时请详细阅读内容经纬软件操作说明书2应广大网友的要求,现将重要章节全部贴出来。
速学五步曲第一步:输入过程在帮层、底层或里层输入的是部位,结束时自动封闭外轮廓,所以应先输轮廓线后输入其他元素,而在样层输入可以是任意线条,无所谓先后。
鼠标左键:定点键(确认键)ALT+鼠标右键:退点键(取消键)SHIFT+鼠标左键:顶点键CTRL+鼠标左键:角点键鼠标右键或ESC键:结束键(完成键)按住鼠标的中键并拖动:放大或缩小显示比例按住鼠标的右键并拖动:移动显示窗口按“+”键或“-”键:将鼠标所在位置移到工作区的中心并进行放大或缩小缩小后屏幕出现的表示为整个坐标系的原点(0,0)按回车键(Enter):满屏显示所有的部位按CTRL+回车键(Enter):恢复原始显示比例,即输入框的大小运行扫描面板(scnp.exe),文件记数自动调整为1,表明即将生成的文件为1.BMP,按回车扫完后文件记数自动加1,也可以更改记数值从其他数开始。
打开预览可对扫描效果进行查看,并确定适当的阀值。
在所有本批样板被扫描完后,任务切换到JWXY软件界面,按Alt+1则可读入1.BMP,按Alt+2则可读入2.BMP,依次类推,也可按Ctrl+2、Ctrl+3…一次性读入几个BMP文件。
常见问题:¨ 样板无法调进¨ 样板质量不好¨ 出现扫描程序错误解决办法:¨ 扫描生成的文件类型必须是BMP格式¨ 扫描类型必须是黑白二值¨ 扫描分辨率应控制在100DPI – 300DPI¨ 扫描阀值进行调整¨ 扫描仪是否跟电脑连接好图像描线输入(点阵图点序图)扫描过程同上;任务切换到JWXY软件,在[设定]里打开“内线扫描”选项;按ALT+?读入扫描文件;在[编辑]菜单中选上“图象吸附”,或按CTRL+1;在[鞋样描入] 菜单中选择“曲线”;对着白色的线路进行手工描线,不用对着很准,电脑会自动吸附住落点;选用[插入背景]功能可在屏幕上自由描线,如鞋底花纹的对照描入;数字化仪输入(点序图)按F7键,转向数字化仪定标器工作按F9键结束定标器工作,转向鼠标工作WACOM四个键:左:退点键(取消键)右:结束键(完成键)上:定点键(确认键)下:顶点键Calcomp四个键:0:定点键(确认键)1:退点键(取消键)2:顶点键3:结束键(完成键)移动十字标到数字化仪右下角,选择某个元素后按“定点键”,即可切换到相应的输入模式菜单说明曲线用于描入鞋样部位的外轮廓线和内部线直线同上圆弧同上定针按顶点键可随时输入定针点鞋号按住定点键不放,拖动十字标确定方向后放开水平指示扩缩5mm的方向,即楦头的长度方向,却省为数字化仪的物理水平牙尖标记内外怀,移动十字标到轮廓线旁,按定点键自动生成图案按定点键后,拖动十字标确定方向,再按定点键字串按定点键后,弹出对话框输入文字,再选确认常见问题:现象:十字标不动或停在左下角原因:1、数字化仪在开机前已打开2、参数不对3、电脑串口有问题解决办法:1、关掉数字化仪,重新打开2、参考附录重新设置参数现象:十字标在屏幕上乱跳原因:1、定标器内的电池不足2、数字化仪板上的参数不对解决办法:1、更换7号电池2、参考附录重新设置参数第二步:选定鞋号[设定参数]用鼠标对准参数位置:按鼠标左键增加号数或选下个按鼠标右键减少号数或选上个三个主要参数:鞋类:有男鞋、女鞋、童鞋、婴儿四种类型鞋号:代表中号(基本码)的尺寸,如250代表40码,在标准模式下鞋号决定了本码参数里的楦底样长和楦跖围长的数据参数模式:Ø 标准:根据鞋类、鞋号查表得出楦底样、楦跖围及长宽码差数据Ø 自定:用软皮尺测量楦头的底样长和跖围长,将数据输入到本码参数中,同样可以自己定义长宽码差数据,但必须保证这四个数据的正确性号标:可以选择统一、中国、法国、英国、美国,它决定了各个国家规定的不同鞋楦数据扩缩范围:用整套样板的最小码和最大码来表示半码/全码:表示扩缩的幅度,可以选择一个圈或两个圈当前号:在单号显示状态下,表示当前选择显示的号选择[其它]-[本码参数]功能或按F8弹出本码参数对话框,参数区的内容均可以在对话框中输入,效果同在屏幕右上角改一样。
目次1 仪器概述 (1)1.1 功能及用途 (1)1.2 主要性能指标 (1)1.3 仪器基本工作原理 (1)2 仪器组成 (2)2.1 主机 (3)2.2 供电指示盒 (5)2.3 脚架 (5)2.4 联接电缆 (5)2.5 附件 (6)3 寻北操作介绍 (6)3.1 测前准备 (6)3.2 寻北测量 (6)3.3 方位测量 (7)3.4 操作注意事项 (7)4 供电及充电操作介绍 (8)4.1 陀螺仪供电使用 (8)4.2 陀螺仪电池充电 (8)5 仪器常数的标定及键入 (8)5.1 仪器陀螺方位角的测定 (8)5.2 仪器常数的计算 (9)5.3 常数的键入 (9)6 仪器的检校 (9)6.1 陀螺仪悬带零位修正 (9)6.2 陀螺仪纬度输入 (10)6.3 经纬仪自准直望远镜校正 (10)6.4 经纬仪竖盘指标差校正 (11)6.5 经纬仪其它指标校正 (11)7 仪器的维护与保养 (11)7.1 仪器的日常维护 (11)7.2 使用中的注意事项 (12)1仪器概述1.1功能及用途Y/JTD-2陀螺经纬仪是一款全自动、全天候精密定向仪器。
在满足使用条件的前提下,可快速实现真北方位角的测量。
该仪器具有体积小、重量轻、操作方便、测量快速等特点。
在民用范围内,可广泛应用于矿山、隧道及井下的定向作业。
在军事上,可为远程武器、火炮、雷达及其它设施提供方位基准及方向基准边、棱镜法线的标定。
1.2主要性能指标a) 一次定向中误差:≤30″;b) 一次定向测量时间:≤6min;c) 使用环境温度:-20℃~+50℃;d) 重量:≤13kg;e) 使用寿命:≥1000h。
1.3仪器基本工作原理摆式陀螺的基本构成包括陀螺敏感部、悬丝等。
陀螺敏感部由一根金属合金丝悬挂,一台高速旋转的陀螺电机安装在陀螺敏感部内部,陀螺敏感部的质心位于其悬挂点下方,这样就构成了一个受重力约束的二自由度陀螺,由于其形式类似单摆,因此称摆式陀螺。
产品使用说明书JSK-4/GPS自动校时微电脑时控开关产品使用说明书一、功能和用途:本产品采用先进的微电脑自动控制及GPS定位技术,接收免费的GPS-UTC时间信息,自动校准本地日历时钟(累积误差小于0.5秒);并可接收显示当地GPS经纬度信息。
控制器有两路输出,每路可设置5组开关时间,每组开关时间为:时、分可调,按天循环。
自动控制输出的开启和关闭,可广泛应用于多个控制点需要同步协调动作的场合。
如果用户是在寒冷地区户外使用,气温在20℃以下时,可为用户加装内部保温部件,以确保产品的正常运行。
如果不使用GPS功能,本控制器的应用同普通时控开关。
本产品可接受用户定制,如精确到秒,年定时,多组定时,特殊定时等。
二、主要技术指标:1、工作电压:220VAC/50/60Hz;(可订制12、24VDC/AC产品)2、输出功率:220VAC/5A两路控制2*1000W;3、时钟误差:<0.5秒(不使用GPS功能±1秒/天)。
4、输出设置:全夜灯/半夜灯,5、环境温度:-20~+60℃(温度低于20℃以下时,可定制内部保温部件)6、环境湿度:<95%7、外形尺寸:125×82×68mm8、固定孔尺寸:68mm×122mm9、重量:365g三、使用说明:1、了解面板及各部分功能用途:1)八位LED数码管,显示相关时间及数据。
2)五位按键,分别是:设置、右移、+1、-1、复位。
3)两路输出指示灯,分别显示输出状态;GPS指示灯,常亮为无GPS信息,闪烁为收到GPS信息。
4)输出接线盒,打开下部接线盒盖板,即可看到六位的接线排。
分别为:电源输入、一路输出、二路输出。
2、加电查看:1)打开接线盒接入220V交流电源,注意不可带电接线,输出线可暂时不接。
接好GPS天线,天线务必放在接收比较好的位置,如户外,窗口。
2)接通供电电源,该设备即进入工作状态,八位数码管显示“BJ-JUNDA”,3秒后显示:星期、时、分、秒。
Seestar S50使用说明书目录前言 (2)温馨提示 (3)包装清单 (4)一、产品介绍 (5)二、性能参数 (6)三、使用方法 (8)3.1本体结构名称及功能 (8)3.2安装设备和Seestar App (10)3.3连接Seestar设备 (11)3.4Seestar App介绍 (14)3.5安装和拆卸 (21)3.6观星和观景 (22)3.7关机并收纳 (23)四、观测/拍摄技巧 (24)五、结构尺寸 (24)六、免责声明 (25)七、售后 (26)八、质保 (27)前言感谢您购买智能天文望远镜Seestar S50。
历经5年研发,整合前沿智能化技术及人性化设计,Seestar面向全球天文爱好者推出:集大众化、轻量化、智能化于一体的智能天文望远镜Seestar S50。
Seestar是ZWO旗下智能天文设备品牌,Seestar S50智能天文望远镜是一种一体式集成化智能天文摄影解决方案,将经纬仪、望远镜、相机、主控、图像后期处理等集成于一体,机身仅2.5kg,使用手机APP就能浏览望远镜镜头中的画面,并提供目标的介绍,方便用户快速地开展天文观测和天文科普的活动。
本说明书的编写目的是以文字说明和图例的方式为用户介绍智能天文望远镜的使用方法,提醒可能存在的不当操作或危险情况。
请确保在使用智能天文望远镜前,仔细阅读本说明书,并严格按照说明书的指示谨慎操作。
任何因不当操作而引起的设备损坏以及人身伤害均由使用者本人承担。
本说明书能够指导用户安全高效地使用本设备,在使用设备前,请确保仔细阅读以下温馨提示,并在实际使用过程中严格遵守本说明书的指导。
本说明书的内容可能会有更改。
有关如何使用本产品的最新说明,请参阅https:///提供的在线手册。
1、在未配备专门的太阳滤镜情况下,请勿直接观测太阳,会导致产品不可逆转的损坏。
2、未成年人需在成人监护下使用本产品。
3、请使用正规制造商制造的充电器给产品充电,Seestar不对因电源充电器造成的损坏负责(充电器规格:支持USB BC1.2。
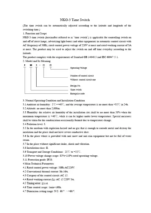
NKG-3 Time Switch(The time switch can be automatically adjusted according to the latitude and longitude of the switching time.)1. Function and ScopeNKG-3 time switch (hereinafter referred to as ‘time switch ’) is applicable for controlling switch-on and off of street lamps, advertising light boxes and other equipments in automatic control circuit with AC frequency of 50Hz, rated control power voltage of 220V at most and rated working current of 3A at most. The product may be used to adjust the switch-on and off time everyday according to the latitude.The product complies with the requirements of Standard GB 14048.5 and IEC 60947-5-1.2. Model and Its Meaning3. Normal Operating Condition and Installation Condition3.1 Ambient air humidity: -5℃~+40℃, and the average temperature is no more than +35℃ in 24h.3.2 Altitude: no more than 2,000m.3.3 Humidity: the relative air humidity of the installation site shall be no more than 50% when the maximum temperature is +40℃, while it can be higher under lower temperature. Special measures shall be taken for the condensation occasionally formed due to temperature change.3.4 Pollution level: 3.3.5 In the medium with explosion hazard and no gas that is enough to corrode metal and destroy the insulation and the place shall not have severe conductive dust.3.6 In the place where is provided with anti-snow and anti-rain equipment but not be full of water steam.3.7 In the place without significant shake, shock and vibration.3.8 Installation class: II.3.9 Transport and Storage Conditions: -25℃ to +55℃.3.10 Power voltage change scope: 85%~110% rated operating voltage.3.11 Protection grade: IP20.4 Main Technical Parameters4.1 Rated control power voltage: 50Hz AC220V .4.2 Conventional thermal current: Ith 16A.4.3 Category of the control circuit: AC-15.4.4 Rated working current (I e ): AC-15 220V 3A.4.5 Timing error: ≤1s/d.4.6 Time control scope: 1min~168h.4.7 Dimension setting range: N/S -60 ° ~+60 °.Operating V oltageNumber of control circuitWithout: control circuit oneDesign No.Time switchEnterprise code4.8 Mechanical life: ≥30,000 times.4.9 Electric endurance: ≥10,000 times.4.10 Installation method: Device installed, guide tracked.4.11 Anti-interference tolerance sees Table 1.5 Outlines, Installation Dimension and Wiring Method5.1 Outside dimension and installation dimension see Figure 1.a) NKG-3 outside dimension b) NKG-3 installation dimensionFigure 1 outside dimensions and installation dimensions of NKG-35.2 Wiring method5.2.1 Direct control methodPower of the controlled appliance is supplied in single-phase, of which the working current is no more than the rated value of this switch. Direct control method may be adopted, wiring method see Figure 2; for light load with great starting current impact, please adopt AC contactor expansion control method.5.2.2 Single-phase expansion methodThe controlled appliance is power supplied in single-phase, of which the working current exceeds the rated value of this switch. Please adopt AC contactor expansion control method, see Figure 3.5.2.3 Three-phase operating methodPower of the controlled appliance is supplied in three-phase, so external AC contactor is required hereof.a) The coil voltage of the controlled contactor is AC 220C 50Hz, so its wiring method seesFigure 4;b) The coil voltage of the controlled contactor is AC 380V 50Hz, so its wiring method seesFigure 5Figure 2 Direct single-phase controlled wiring diagram Figure 3 Single-phase expansion controlled wiring diagramFigure 4 Three-phase controlled wiring diagram (220V for contactor coil) Figure 5 T hree-phase controlled wiring diagram (3800V for contactor coil)6 Setting and UseThis product panel is set with five buttons, namely ‘MD (mode)’, ‘R (recall)’, ‘(left)’, ‘(-)’and ‘(+)’, so it can adjust date (d), latitude (), hour (h) and minute (min) correspondingly, and it can also set second (sec) in clock status.6.1 Setting process for timing switch parameters (see Figure 6).6.2 Setting processes are as follows:6.2.1 Firstly power-on or press button ‘MD’ + ‘R’ to enter latitude setting interface6.2.1.1 Current latitude and date adjustment6.2.1.2 Press ‘’, ‘’and ‘’to adjust latitude, for example, local latitude 30°N shall be adjusted to ‘N: 30’; while local latitude 15°S shall be adjusted to ‘S: 15’ see Figure7.6.2.1.3 Press ‘MD’ to enter current date adjust status, press ‘’ to select the adjusted position, press ‘’and ‘’to plus and minus, adjust the display date of the product to current date, such as current March 15 shall be set to ‘03: 15d’, see Figure 8. After setting, press ‘MD’ to exit.Figure 86.2.2 Current time adjustment6.2.2.1 Press button ‘MD’ for 3s to cancel the keyboard lockout, so that ‘LOCK’ may disappear, the current ‘min’ position flashes, you can press ‘’ to select the adjusted position and press ‘’and ‘’ to plus and minus minute or hour, so as to adjust the device time to the current time, see Figure 9Figure 96.2.3 Timing parameters (switch-on/off time) setting6.2.3.1 After finish operation in 6.2.2, press ‘MD’ to set the timing parameters, and the corresponding position flashes, see Figure 10.Figure 106.2.3.2 ‘1 ON ’ (first switch-on) time setting: press ‘’, ‘’ and ‘’ respectively to set 1 ON time, the latitude marks the latitude adjustment function; after setting hour, press ‘’to enter latitude mark setting model, by then, screen does not flash, and press ‘’ and ‘’ to switch on/off the latitude adjustment function; after finishing this, press ‘MD’ to enter ‘1 OFF’ (first switch-off) time setting, see Figure 11.Figure 116.2.3.3 ‘1 OFF’ (first switch-off) time setting: set 1OFF time according to steps specified in 6.2.3.26.2.3.4 Continue to press ‘MD’, for redundant time period, please press ‘R’to remove the time of other groups, so that the liquid-crystal display will show ‘’, see Figure 12, and then, press ‘R’ to recall.Figure 126.2.4 After setting, please press ‘MD’for 3s, enter operation state, the time switch locks automatically, ‘LOCK’ shows, and see Figure 13.6.3 After locking the switch, press ‘MD’ and ‘’ at the same time to switch manual/automatic status.Continuously press the combination, the screen will show ‘OFF’, ‘AUTO OFF’, ‘ON’and ‘ON AUTO’ successively, see Figure 14. When the circuit shall be on and off temporarily in the process of operation, the combination buttons can be used to adjust the switch to ON and OFF; if the time switch shall work automatically according to the set time, the combination button shall be used to adjust the switch to ‘ON AUTO’ or ‘AUTO OFF’, then the time switch may work as set time, so as to achieve automatic control, see Figure 14.Figure 14 Manual/automatic time switch setting process7 Notes7.1 please push the blue limiting piece in the bottom of product before use.7.2 The switch into the line can only be connected to AC220V power supply; do not access the other power.7.3 Long time press the ‘+’,’–‘key can be quickly set.7.4 If could not achieve automatic control function, please check whether an ‘AUTO’show in the lower right corner of the screen.7.5 The internal battery only provides the LCD screen display and setting, such as A1, A2 terminal auxiliary power missed. It is unable to drive the relay output.7.6 If there is abnormal situation in the product, Short 3, 4 terminal to reset. After reset procedures, please reset the time and latitude again.7.7 This product has the latitude and longitude of simulation function, If the latitude function of some group of setting time is open, then the set time may be automatically adjusted by changing the current latitude and date. So please check the set time again after changing the latitude and date.7.8 When the product life ended, to protect our environment, please do recycle work for those components which can be used again, and make sure those waste and useless parts are properly and safely disposed of.。
RK316C 经纬时间控制器使用说明书一、安装、接线1、室内或箱体内安装,应避免雨淋和太阳直射;2、固定仪器后,按接线图所示,牢固接上工作电源(~220V )及控制线的输入、输出端,输入端应外接6A 保险丝;3、通电。
二、使用操作仪器安装好后,通电,仪器显示“广州市明锐电气技术有限公司”字样,约2秒钟后自动显示当前时间。
1:2009年1月16日11时30分38秒可以根据实际情况对此进行调整。
如需要调整当前时间,轻按一下“功能”键,使时“11”出现闪烁状态,再按〈+1〉键或〈-1〉键,就可以对时“11”进行“+1”或“-1”的调整。
调整好时,再按一下光标,就可对分“30”进行调整。
同样的方法可依次对年、月、日进行调整。
注意:需修改哪个数字就必须用光标选中该数字使其出现待修改的闪烁状态。
2、纬度的设定例:表示北纬23度23”,再按〈+1〉键或〈-1〉键就可将纬度进行“+1”或“-1”的调整。
注意:纬度与用户所在地最近的整度数即可,经度为当前时间,无需另外设定3、第1路开、关灯基准时间的设定例:表示第一路的开灯基准时间为18:00 今日即2009年1月16日的开灯时间为18:04如现在要将今日的开灯时间推迟10分钟,即为“18:14”开灯,只要将开灯的基准时间推迟10分钟,将“1路开—18:00”改为“1路开—18:10”即可。
方法是先按〈光标〉键,将光标键移到分“00”处,待“00”出现闪烁时,再按〈+1〉键,将“18:00”改为“18:10”。
这时,仪器显示的开灯时间会自动从“18:04”变为“18:14”。
再按〈功能〉键,仪器进入第1路关灯起点时间的设定。
例:表示第一路关灯基准时间为07:00 今日即2009年1月16日的关灯时间为06:28如要修改方法同上。
4、按〈功能〉键,仪器进入第2路、第3路开、关灯的起点时间的设定,方法同第1路一样。
注意:用户只需调校好时钟的当前时间、日期、纬度及当日的开关灯时间,仪器就会将其它364天的开关灯时间自动修正过来。
CT-GPS2003S网络型全球卫星同步时钟使用说明书成都可为科技发展有限公司公司简介成都可为科技发展有限公司成立于2000年7月,位于成都高新区软件孵化园,是专业从事中国北斗卫星定位系统(BD)、美国全球定位系统(GPS)、原子钟等相关时间产品的研究、设计、开发、生产和销售的国家级高新技术企业。
在“天宫一号”、“神舟八号”和“神舟九号”的发射中提供了完整的时间保障,为我国的航天事业做出了应有的贡献。
公司建立起了一支具有深厚技术功底和创新能力的优秀技术研发团队,设有产品研发中心和软件事业部,公司在成都双流蛟龙工业港有独立的生产厂区,生产及配套设施完整,建有组装、配线生产线;综合测试台;由铯原子频标和铷原子频标组共同组成的专用时间基准钟房;EMC 实验室;测试室;老化室等先进完善的产品研发、生产、试验环境。
公司自主研发了拥有完全知识产权的以下产品:CT-WTFS9000 整体时间频率同步系统、CT-TOMS3600 时间在线监测系统、CT-TSS3000 时间同步系统、CT-TSS2000 系列时间同步系统、CT-TCS100 时间精度测试仪、CT-GPS25 系列/CT-GPS301 系列/CT-GPS2002 系列/CT-GPS2003 系列/CT-CBD001 系列同步时钟等时间类产品。
这些时间产品具有精度和可靠性高,输出格式灵活多样,抗干扰能力强,使用方便,不受地域条件的限制等特点,已广泛应用于各种需要高精度授时的军事装备、工业自动化装置和自动化系统。
截止2012年年底,我公司总计有近两万台/套时间同步系统、时间精度测试装置和同步时钟等各种时间产品在电力系统投入运行,如乌兰750kV 变电站、宁夏贺兰山750kV 变电站、平凉750kV变电站、乾县750kV变电站、宝鸡500kV换流站、四川遂宁500kV 变电站、湖北军山500kV变电站、江西梦山500kV变电站、重庆张家坝500kV变电站等。
路灯经纬度时间控器使用说明书路灯经纬度时间控器使用说明书一、产品简介路灯经纬度时间控器是一种智能化的路灯控制设备,采用GPS定位技术和智能控制算法,可以根据太阳升降时间自动调节路灯亮度,实现节能减排的目的。
本产品适用于城市道路、广场、公园等公共场所的路灯控制。
二、产品特点1. 采用GPS定位技术,精准掌握太阳升降时间;2. 智能控制算法,根据太阳升降时间自动调节亮度;3. 支持手动调节亮度和开关;4. 易于安装和维护。
三、产品参数1. 工作电压:AC220V;2. 控制方式:GPS定位+时间控制;3. 控制精度:±5分钟;4. 控制范围:经度0-360°,纬度0-90°;5. 工作温度:-40℃~70℃。
四、安装说明1. 安装前请确认供电电压是否符合要求;2. 安装时应选择离路灯近且易于接线的位置,并注意避免遮挡天线;3. 接线时应按照电路图正确接线,确保接地可靠;4. 安装完成后应进行测试,确认控制器与路灯正常连接。
五、使用说明1. 开机前请确认控制器已经正确接通电源;2. 控制器将会自动搜索GPS信号,并显示当前经纬度和时间;3. 手动调节亮度时,按下“+”或“-”键即可增加或减少亮度;4. 手动开关路灯时,按下“ON/OFF”键即可实现开关。
六、注意事项1. 请勿将控制器暴露在阳光直射下或雨水浸泡中;2. 请勿在强磁场环境中使用本产品;3. 请勿私自拆卸或改装本产品;4. 如有故障,请及时联系售后服务人员处理。
七、维护保养1. 每年至少进行一次清洁和检查,确保控制器和天线无损伤;2. 如出现故障,请及时联系售后服务人员处理。
八、常见问题解答1. 控制器无法搜索到GPS信号怎么办?答:请确认控制器是否安装正确,并尝试更换位置重新搜索。
2. 路灯亮度不够怎么办?答:请尝试手动调节亮度,如果仍然无法满足要求,请联系售后服务人员处理。
3. 控制器出现异常现象怎么办?答:请立即停止使用,并联系售后服务人员处理。
三鼎电子经纬仪说明书前言尊敬的用户:欢迎你购买和使用北京三鼎光电仪器有限公司的产品,向你对本公司产品的信任表示衷心的感谢~本公司自成立以来,一直把振兴测绘民族工业为己任,把生产具有国际先进水平的测绘仪器系列产品作为自身的奋斗目标。
本公司生产的测绘仪器外形美观,性能可靠,功能齐备。
使用仪器前请您提前仔细阅读本操作手册。
本公司生产的系列测绘仪器由科立达测绘仪器有限公司总代理销售。
您在使用仪器过程中如发现的问题或提出建议,请就近向销售网点反映,我们将竭诚为您服务并表示衷心感谢。
(为保持仪器的良好工作状态,建议您每年在销售网点进行一次专业的仪器保养。
)北京三鼎光电仪器有限公司二零零七年三月厂家保留对技术及产品规格进行修改的权利而不事先通知。
?I?目录(特点 ..................................................................... ........................................................................ .............. 1 12(预备事项 ..................................................................... ........................................................................ (1)2.1.预防事项 ..................................................................... .. (1)2.2.部件名称 ..................................................................... .. (2)2.3.仪器开箱和存放 ..................................................................... .. (2)2.4.电池的装卸、信息和充电 ..................................................................... . (3)2.5.仪器与机座的装卸 ..................................................................... .................................................... 4 3(键盘功能与信息显示 ..................................................................... . (5)3.1.键盘符号与功能 ..................................................................... .. (5)3.2.操作面板与操作键 ..................................................................... .................................................... 5 4(初始设置 ..................................................................... ........................................................................ (6)4.1.设置项目 ..................................................................... .. (7)4.2.设置方法 ..................................................................... .. (7)5(测量准备 ..................................................................... ........................................................................ (9)5.1.仪器的安置、对中和整平 ..................................................................... . (9)5.2.望远镜目镜调整和目标照准 ..................................................................... . (10)5.3.打开或关闭电源 ..................................................................... (10)5.4.指示竖盘指标归零(垂直置零) .................................................................... ....................... 11 6(基本测量 ..................................................................... ........................................................................ . (11)6.1.盘左/盘右观测 ..................................................................... .. (11)”(置零) .................................................................... ........................................... 12 6.2.水平角置“06.3.水平角与竖直角测量 ..................................................................... . (12)6.4.水平角锁定与解除(锁定) .................................................................... .. (12)6.5.水平角象限鸣响设置 ..................................................................... . (13)6.6.竖直角的零方向设置 ..................................................................... . (13)6.7.天顶距与垂直角的测量 ..................................................................... (13)6.8.斜率百分比 ..................................................................... .. (14)6.9.重复角度测量 ..................................................................... . (14)6.10.角度输出功能 ..................................................................... .. (15)6.11.角度存储功能 ..................................................................... .. (15)6.12.望远镜测距丝测距 ..................................................................... ................................................ 16 7(内存功能 ..................................................................... ........................................................................ . (16)7.1.查看仪器电子序列号 ..................................................................... . (16)7.2.查看内存角度数据 ..................................................................... .. (16)7.3.清除内存角度数据 ..................................................................... .. (17)7.4.向串口发送内存数据 ..................................................................... .............................................. 17 8(电子手薄连接 ..................................................................... .. (17)9(检验与校正 ..................................................................... ........................................................................189.1.长水准器 ..................................................................... (18)9.2.圆水准器 ..................................................................... (18)9.3.望远镜分划板倾斜 ..................................................................... .. (18)9.4.视准轴与横轴的垂直度(2C) ................................................................... .. (19)?II?9.5.竖盘指标零点自动补偿 ..................................................................... (19)9.6.竖盘指标差(i角)和竖盘指标零点设置 ..................................................................... .. (19)9.7.光学对中器 ..................................................................... .. (20)9.8.其他调整 ..................................................................... (21)10(技术指标 ............................................................................................................................................. .. 2211(错误代码信息表 ..................................................................... .. (24)12(附件...................................................................... ........................................................................ (25)?III?1(特点北京三鼎光电仪器有限公司生产的DT系列电子经纬仪,结构合理、美观大方、功能齐全、性能可靠、操作简单、易学易用,很容易实现仪器的所有功能,而且还具备如下特点:可与电子记录手簿联接可与科立达测绘仪器有限公司生产的电子记录手簿联机,完成野外数据的自动采集。
智能经纬时控开关(时控器)介绍1.1时控器特点●集传统时间控制、天文时钟、光控、星期节假日控制模式为一体,是同行中功能最齐全的领先产品。
●中文LCD显示屏,显示直观明了,按键板操作方便。
●显示每天的天亮、天黑时间,每天按季节变化自动改变,保证开关动作最合理时刻。
●2路、25A继电器独立定时控制输出。
●支持手动控制,方便用户检修路灯及提前开关灯需要。
●型号功能区别:XW202:经纬控制XW302:经纬控制+光控+RS485通讯接口)1.2技术指标产品型号:XW202 和XW302供电电源:AC 85V~265V 50Hz电源消耗:< 2W接点输出:2路25A继电器输出安装方式:导轨安装外形尺寸:88(长)×70(宽)×65(高)注:单位mm新威XW系列时控开关的八大优点、四大保证优点一:具有经纬度自适应时间自动调节功能。
本开关可以随不同地理位置(经纬度)、不同季节(日期)和不同的日照时间自动、合理地调整开、关时间。
优点二:在经纬度自适应时间自动调节功能下,可以节省人力、物力。
因为本开关是根据所在地区的经纬度,通过微电脑计算日照差数值,自动控制开关的开启和关闭时间,所以用户不再需要隔几天就去调整开、关的时间,从而可以省去很大的人力。
同时又因为用电器用电的时间缩短从而节省15%以上的电能。
优点三:继电器输出最大达32A,负载能力最大达8000W。
优点四:具有时间自动纠正功能及万年历功能。
内置微电脑时间纠正功能,保证每天时间误差小于1秒。
万年历功能下,确保闰年自动调整。
优点五:采用进口超级电容和防火外壳。
采用进口超级电容,不存在要更换电池的可能,杜绝电池漏液现象;断电也继续走时,保证时间控制的精准,而且寿命长达十年以上。
采用绝对防火材料作为外壳材料,防止意外发生。
优点六:长时间断电数据保护。
内置微电脑断电数据保护,在机体没有受到严重损坏情况下是不会掉失原有资料。
优点七:强大的抗干扰能力。
温州长鸿电器有限公司NKG-3时控开关使用说明书1 用途及适用范围NKG-3时控开关(以下简称时控开关),主要用于交流50Hz,额定控制电源电压至220V 及以下和直流电源24V及以下的电路中作为时间控制元件,按预定的程序接通或断开电路之用,例如:作为路灯、广告灯箱等设备的定时接通和断开控制之用。
本产品可根据纬度自动调整每天的开关时间。
产品符合GB 14048.5、IEC 60947-5-1标准的要求。
2 主要技术参数2.1 额定控制电源电压:50/60Hz AC220V/AC110V/DC24V。
2.2 额定绝缘电压:AC220V。
2.3 约定发热电流:16A。
2.4 控制电路使用类别:交流AC-15.2.5 额定工作电流(Ie):AC-15.220V 3A。
2.6 计时误差:≤1秒/天。
2.7 纬度设置范围:N/S -62°~+62°。
2.8 工作温度范围:-10°~+40°。
2.9 电寿命:≥1万次。
2.10 安装方式:装置式、导轨式。
3 外形及安装尺寸和接线方式3.1 外形尺寸及安装尺寸:见图1。
a) NKG-3 外形尺寸b) NKG-3 安装尺寸图1 NKG-3外形尺寸及安装尺寸3.2 接线方式3.2.1 直接控制方式被控制的电器是单相供电,工作电流不超过本开关的额定值,可采用直接控制方式,接线方式如图2所示;对于电流较大的负载,请采用交流接触器扩容控制方式。
3.2.2 单相扩容方式被控制的电器是单相供电,工作电流超过本开关的额定值,请采用交流接触器扩容控制方式,如图3所示。
3.2.3 三相工作方式被控制的电器三相供电,需要外接交流接触器,控制接触器的线圈电压AC220V 50Hz,接线方式如图4所示;控制接触器的线圈电压AC380V 50Hz,接线方式如图5所示。
图2 单相直接控制接线图图3 单相扩容控制接线图(接触器线圈220V)图4 三相控制接线图(接触器线圈220V)图5 三相控制接线图(接触器线圈380V)4 设置与使用本产品的面板设有“MD(模式)”、“R(取消/恢复)”、“(移位)”、“(-)”、“(+)”五个按键,可相应调节日期(d)、纬度(“”)、小时(h)、分钟(min),在时钟状态下还可以设定秒(sec)。
HB40GI-52W 八路路灯纬度时间控制器使用说明一、用 途 与 性 能适于路灯、广告灯、航标灯、夜景灯、公路照明灯、庭院灯等按日出日落规律自动开关。
◆ 进口低压/低功耗高性能单片机设计,可靠性高。
◆ 需输入纬度和某天开关灯时间即按日出日落规律自动计算出每天的开关灯时间。
◆ 也可设为固定时间关灯。
◆ EEPROM 保存所有设置信息,掉电100年不丢失。
◆ 适应中国境内纬度20-55度地区. ◆ 电池供电流:<=1.2mA(3.6V 可充电池)。
◆ 3.6V 可充备用电池设计,自动浮充.掉电时间及程序不乱。
◆ LED 显示操作状态,直观简便。
◆ 具有八路独立的控制输出。
◆ 控制功率:每路1000W(大于1000W 时需配接交流接触器)。
二、安 装 试 验 ● 安装说明注:不正确的安装有可能导致控制器被烧毁。
请认真分析并弄懂外线安装图。
● 外线试验注:为防止接线错误烧毁控制器,在外部电器安装完毕后,一定要进行如下试验: 将图中电器输出插头上的两园孔用一根导线连通(注意安全),正常时电器应开。
如电器不开或线路冒烟表明接线不正确。
● 切记:必须待外线试验正常后才可接至控制器上。
三、线 路 安 装控制功率大于1000W 的电器时,必须外接交流接触器扩容。
四、编程方法01.切换:◇按功能键可在运行.对钟、月日、纬度、开时、关时、六种状态间切换。
◇注:运行态状态灯均不亮,对钟状态数字闪动,其他态对应状态灯亮。
02.对钟:◇切换至对钟态(时间闪动),按+/-对准时分。
◇按住转显键显示分个位和秒,再按+可使秒复位至00以同步秒(按-为秒暂停).◇注:按+/-键调时间时,每按一下+1/-1,按住不放转为连续快调。
03.月日:◇切换至月日状态(月日灯亮),按-/+键对准月日(按一下-1/+1,按住不放转为连续快调)。
04.纬度:◇切换至纬度态(纬度灯亮),按+键改变右边的数字输入当地的纬度。
05.选路:◇切换至纬度态(纬度灯亮),按-键改变左边的数字选择待设置的路。