工程光学习题
- 格式:doc
- 大小:320.00 KB
- 文档页数:7
⼯程光学题库(标记版本)⼀、填空题1、光的折射定律数学表达式为__f a λ'__________________ ,反射定律可看作是折射定律在__________时的⼀种特殊情况。
2、当保持⼊射光线的⽅向不变,⽽使平⾯镜转15°⾓,则反射光线将转动⾓。
3、光线通过平⾏平板折射后出射光线⽅向___ ___,但会产⽣轴向位移量,当平⾯板厚度为d ,折射率为n ,则在近轴⼊射时,侧移量为_____________ 。
4、两列波相⼲的条件 ____ ___________ ,_____________ _ , _______ __________ 。
5、单个折射球⾯横向放⼤率β= ,当-1<β<0时,成像性质为。
6、1/4波⽚的附加相位差为_________________,线偏振光通过1/4波⽚后,出射光将变为___________________ 。
7、光轴是晶体中存在的特殊⽅向,当光在晶体中沿此⽅向传播时不产⽣________________。
n e8、在光的衍射装置中,⼀般有光源、衍射屏、观察屏,则衍射按照它们距离不同可分为两类,⼀类为________ ,另⼀类为___________ 。
9、假设光波的偏振度为p ,则p=0时表⽰____ ____ ,p=1时表⽰_____ _____ ,010、在迈克尔逊⼲涉仪中,⽤单⾊光源直接照明,若反射镜M 1,M 2严格垂直,则可观察到若M 1与M 2’间的厚度每减少_______的距离,在条纹中⼼就⼀个条纹。
11、光波的振动⽅向与传播⽅向互相____ __,所以光波是___ ____。
12、在单缝衍射中,设缝宽为a ,光源波长为λ,透镜焦距为f ′,则其衍射暗条纹间距e 暗=____ ___ ,条纹间距同时可称为。
13、光线通过双平⾯镜后,其⼊射光线与出射光线的夹⾓为50°,则双平⾯镜的夹⾓为_______ 。
工程光学习题答案第一章习题及答案1、已知真空中的光速c=3*108m/s,求光在水(n=1.333)、冕牌玻璃(n=1.51)、火石玻璃(n=1.65)、加拿大树胶(n=1.526)、金刚石(n=2.417)等介质中的光速。
解:则当光在水中, n=1.333 时,v=2.25*108m/s,当光在冕牌玻璃中,n=1.51 时,v=1.99*108m/s,当光在火石玻璃中,n=1.65 时,v=1.82*108m/s,当光在加拿大树胶中,n=1.526 时,v=1.97*108m/s,当光在金刚石中,n=2.417 时,v=1.24*108m/s。
2、一物体经针孔相机在屏上成一60mm 大小的像,若将屏拉远50mm,则像的大小变为70mm,求屏到针孔的初始距离。
解:在同种均匀介质空间中光线直线传播,如果选定经过节点的光线则方向不变,令屏到针孔的初始距离为x,则可以根据三角形相似得出:所以x=300mm 即屏到针孔的初始距离为300mm。
3、一厚度为200mm 的平行平板玻璃(设n=1.5),下面放一直径为1mm 的金属片。
若在玻璃板上盖一圆形纸片,要求在玻璃板上方任何方向上都看不到该金属片,问纸片最小直径应为多少?解:令纸片最小半径为x,则根据全反射原理,光束由玻璃射向空气中时满足入射角度大于或等于全反射临界角时均会发生全反射,而这里正是由于这个原因导致在玻璃板上方看不到金属片。
而全反射临界角求取方法为:(1)其中n2=1, n1=1.5,同时根据几何关系,利用平板厚度和纸片以及金属片的半径得到全反射临界角的计算方法为:(2)联立(1)式和(2)式可以求出纸片最小直径x=179.385mm,所以纸片最小直径为358.77mm。
4、光纤芯的折射率为n1、包层的折射率为n2,光纤所在介质的折射率为n0,求光纤的数值孔径(即n0sinI1,其中I1 为光在光纤内能以全反射方式传播时在入射端面的最大入射角)。
第一章习题1、已知真空中的光速c=3 m/s,求光在水(n=1.333)、冕牌玻璃(n=1.51)、火石玻璃(n=1.65)、加拿大树胶(n=1.526)、金刚石(n=2.417)等介质中的光速。
解:则当光在水中,n=1.333时,v=2.25 m/s,当光在冕牌玻璃中,n=1.51时,v=1.99 m/s,当光在火石玻璃中,n=1.65时,v=1.82 m/s,当光在加拿大树胶中,n=1.526时,v=1.97 m/s,当光在金刚石中,n=2.417时,v=1.24 m/s。
2、一物体经针孔相机在屏上成一60mm大小的像,若将屏拉远50mm,则像的大小变为70mm,求屏到针孔的初始距离。
解:在同种均匀介质空间中光线直线传播,如果选定经过节点的光线则方向不变,令屏到针孔的初始距离为x,则可以根据三角形相似得出:所以x=300mm即屏到针孔的初始距离为300mm。
3、一厚度为200mm的平行平板玻璃(设n=1.5),下面放一直径为1mm的金属片。
若在玻璃板上盖一圆形纸片,要求在玻璃板上方任何方向上都看不到该金属片,问纸片最小直径应为多少?解:令纸片最小半径为x,则根据全反射原理,光束由玻璃射向空气中时满足入射角度大于或等于全反射临界角时均会发生全反射,而这里正是由于这个原因导致在玻璃板上方看不到金属片。
而全反射临界角求取方法为:(1)其中n2=1, n1=1.5,同时根据几何关系,利用平板厚度和纸片以及金属片的半径得到全反射临界角的计算方法为:(2)联立(1)式和(2)式可以求出纸片最小直径x=179.385mm,所以纸片最小直径为358.77mm。
4、光纤芯的折射率为n1、包层的折射率为n2,光纤所在介质的折射率为n0,求光纤的数值孔径(即n0sinI1,其中I1为光在光纤内能以全反射方式传播时在入射端面的最大入射角)。
解:位于光纤入射端面,满足由空气入射到光纤芯中,应用折射定律则有:n0sinI1=n2sinI2 (1)而当光束由光纤芯入射到包层的时候满足全反射,使得光束可以在光纤内传播,则有:(2)由(1)式和(2)式联立得到n0 sinI1 .5、一束平行细光束入射到一半径r=30mm、折射率n=1.5的玻璃球上,求其会聚点的位置。
第一章习题1、已知真空中的光速c=3 m/s,求光在水(n=1.333)、冕牌玻璃(n=1.51)、火石玻璃(n=1.65)、加拿大树胶(n=1.526)、金刚石(n=2.417)等介质中的光速。
解:则当光在水中,n=1.333时,v=2.25 m/s,当光在冕牌玻璃中,n=1.51时,v=1.99 m/s,当光在火石玻璃中,n=1.65时,v=1.82 m/s,当光在加拿大树胶中,n=1.526时,v=1.97 m/s,当光在金刚石中,n=2.417时,v=1.24 m/s。
2、一物体经针孔相机在屏上成一60mm大小的像,若将屏拉远50mm,则像的大小变为70mm,求屏到针孔的初始距离。
解:在同种均匀介质空间中光线直线传播,如果选定经过节点的光线则方向不变,令屏到针孔的初始距离为x,则可以根据三角形相似得出:所以x=300mm即屏到针孔的初始距离为300mm。
3、一厚度为200mm的平行平板玻璃(设n=1.5),下面放一直径为1mm的金属片。
若在玻璃板上盖一圆形纸片,要求在玻璃板上方任何方向上都看不到该金属片,问纸片最小直径应为多少?解:令纸片最小半径为x,则根据全反射原理,光束由玻璃射向空气中时满足入射角度大于或等于全反射临界角时均会发生全反射,而这里正是由于这个原因导致在玻璃板上方看不到金属片。
而全反射临界角求取方法为:(1)其中n2=1, n1=1.5,同时根据几何关系,利用平板厚度和纸片以及金属片的半径得到全反射临界角的计算方法为:(2)联立(1)式和(2)式可以求出纸片最小直径x=179.385mm,所以纸片最小直径为358.77mm。
4、光纤芯的折射率为n1、包层的折射率为n2,光纤所在介质的折射率为n0,求光纤的数值孔径(即n0sinI1,其中I1为光在光纤内能以全反射方式传播时在入射端面的最大入射角)。
解:位于光纤入射端面,满足由空气入射到光纤芯中,应用折射定律则有:n0sinI1=n2sinI2 (1)而当光束由光纤芯入射到包层的时候满足全反射,使得光束可以在光纤内传播,则有:(2)由(1)式和(2)式联立得到n0 sinI1 .5、一束平行细光束入射到一半径r=30mm、折射率n=1.5的玻璃球上,求其会聚点的位置。
物理学:工程光学试题(题库版)1、单选原子发射光谱定性工作中,对粉末样品经常采用()作为支持电极。
A、石墨电极B、铜电极C、锌电极D、银电极正确答案:A2、名词解释光程正确答案:光经过的实际路径长度与所在介质(江南博哥)折射率的乘积3、问答题什么叫“畸变”?它与什么因素有关?正确答案:轴外点的宽光束和细光束都有像差存在,即使只有主光线通过光学系统,由于球差影响,它不能和第二近轴光一致,主光线和高斯像面焦点的高度不等于理想像高,其差别就是系统的畸变。
4、名词解释电光效应正确答案:在电场作用下,可以使某些各向同性的透明介质变为各向异性,从而使光产生双折射,这种现象称为电光效应。
5、名词解释弧矢平面正确答案:包含主光线,且与子午平面正交的平面。
6、填空题我们通常把分界面两边折射率高的介质称为光密介质,折射率低的介质称为()。
正确答案:光疏介质7、单选采用调制的空心阴极灯主要是为了()。
A.延长灯寿命B.克服火焰中的干扰谱线C.防止光源谱线变宽D.扣除背景吸收正确答案:B8、问答题正弦光栅在自身所在平面内分别平移和转动时,对夫琅禾费衍射场的衍射斑有什么影响。
正确答案:正弦光栅在自身所在平面内移动时衍射斑光强分布不变,相位分布发生变化。
在自身平面内转动时,衍射光强和相位分布都发生变化。
9、名词解释物方远心光路正确答案:光学系统的物方光线平行于光轴,主光线的汇聚中心位于物方无限远处.10、填空题发光点发出的光波向四周传播时,某一时刻其振动位相相同的点所构成的等相位面称为波阵面,简称()正确答案:波面11、填空题棱镜摄谱仪的结构主要由(),(),(),()四部分(系统)组成。
正确答案:照明系统;准光系统;色散系统;投影系统12、名词解释物方空间正确答案:所有实物点和虚物点的集合构成的空间。
13、填空题交流电弧的激发能力强,分析的重现性好,适用于(),不足的是蒸发能力也稍弱,灵敏度稍低。
正确答案:定量分析14、问答题什么是景深,照相物镜的景深与什么有关?正确答案:能在像面上获得清晰像的物空间的深度是系统的景深。
工程光学练习答案(带样题)期末,东北石油大学审查了09级工程光学的测量和控制材料。
第一章练习1,假设真空中的光速为3米/秒,则计算水中(n=1.333)、皇冠玻璃(n=1.51)、燧石玻璃(n=1.65)、加拿大树胶(n=1.526)、钻石(n=2.417)和其他介质中的光速。
解决方案:当灯在水中时,n=1.333,v=2.25m米/秒,当灯在皇冠玻璃中时,n=1.51,v=1.99m米/秒,当灯在燧石玻璃中时,n=1.65,v=1.82m米/秒,当灯在加拿大树胶中时,n=1.526,v=1.97m米/秒,当灯在钻石中时,n=2.417,v=1.24米/秒。
2.一个物体穿过针孔照相机,在屏幕上形成一个60毫米大小的图像。
如果屏幕被拉开50毫米,图像的尺寸变成70毫米,计算出从屏幕到针孔的初始距离。
解决方案:在同一个均匀的介质空间中,光直线传播。
如果选择通过节点的光,方向不会改变,从屏幕到针孔的初始距离为x,则可以根据三角形的相似性得到:因此,x=300mm毫米意味着从屏幕到针孔的初始距离是300毫米。
3、一块厚度为200毫米的平行平板玻璃(n=1.5),下面放一块直径为1毫米的金属板。
如果玻璃板上覆盖有圆形纸片,则要求玻璃板上方的任何方向都不能看到纸片。
这张纸的最小直径是多少?解决方案:如果纸片的最小半径是x,那么根据全反射原理,当光束从玻璃发射到空气中的入射角大于或等于全反射临界角时,就会发生全反射,正是由于这个原因,在玻璃板上方看不到金属片。
全反射的临界角由下式确定:(1)其中N2=1,n1=1.5,根据几何关系,利用平板的厚度和纸张与金属片的半径计算全反射临界角的方法如下:(2)纸张的最小直径x=179.385mm毫米可以通过组合等式(1)和(2)来获得,因此纸张的最小直径为358.77毫米4.光纤芯的折射率是n1.包层的折射率为n2,光纤所在介质的折射率为n0。
计算光纤的数值孔径(即n0sinI1,其中I1是光在光纤中以全反射模式传播时,光在入射端面的最大入射角)。
工程光学综合练习题工程光学是光学学科的一个重要分支,它关注于利用光学原理和技术来解决实际工程问题。
本篇文章将为您提供一套综合性的工程光学练习题,在完成每道题目后,您可以在下方找到相应的详细解答。
请准备好您的思维和计算能力,并让我们一起开始吧!练习题一:透镜的成像一个物体位于离一透镜的左侧10 cm处,虚物距为15 cm。
透镜的焦距为20 cm。
请计算:1. 物体的实际高度;2. 物体到透镜的像距和像的放大倍数;3. 像的性质(实像还是虚像)。
练习题二:光的折射一束光从空气(n=1)垂直入射到玻璃(n=1.5)中。
根据折射定律,请回答以下问题:1. 入射角和折射角的关系;2. 光的速度在空气和玻璃中的比值;3. 光的频率在空气和玻璃中是否改变。
练习题三:干涉现象两束相干光垂直入射到一个薄膜上,反射光和透射光的路径差为λ/4。
请回答以下问题:1. 反射光和透射光的相位差;2. 当反射光和透射光合成时,是否会发生干涉现象;3. 干涉程度与路径差的关系。
练习题四:光的偏振一束偏振光以45°的角度入射到一块偏振片上,通过该偏振片后,请回答以下问题:1. 出射光的偏振状态;2. 若将这束出射光再次入射到另一块偏振片上,且两片偏振片光轴垂直,求通过第二块偏振片的光的强度比原来的光强。
练习题五:光的衍射一束单色光通过一个狭缝后,发生衍射现象。
请回答以下问题:1. 产生衍射现象的必要条件;2. 当狭缝越窄时,衍射条纹的宽度是增大还是减小;3. 如何利用衍射现象来测量小孔的直径。
练习题六:激光技术激光在现代工程中有着广泛的应用。
请简要回答以下问题:1. 什么是激光,它与常规光有何不同之处;2. 列举至少三个激光应用的领域,并简述其原理;3. 激光在通信中的作用和优势是什么。
解答如下:练习题一:1. 物体的实际高度为10 cm。
2. 物体到透镜的像距为40 cm,像的放大倍数为1。
3. 像为实像。
练习题二:1. 入射角和折射角的关系由折射定律给出:n1sinθ1 = n2sinθ2,其中θ1为入射角,θ2为折射角,n1和n2分别为两种介质的折射率。
一.问答题:(共12分,每题3分)1.摄影物镜的三个重要参数是什么?它们分别决定系统的什么性质?2.为了保证测量精度,测量仪器一般采用什么光路?为什么?3.显微物镜、望远物镜、照相物镜各应校正什么像差?为什么?4.评价像质的方法主要有哪几种?各有什么优缺点?二.图解法求像或判断成像方向:(共18分,每题3分)1.求像A'B'2.求像A'B'3.求物AB经理想光学系统后所成的像,并注明系统像方的基点位置和焦距4.判断光学系统的成像方向5.求入瞳及对无穷远成像时50%渐晕的视场6.判断棱镜的成像方向三.填空:(共10分,每题2分)1.照明系统与成像系统之间的衔接关系为:①________________________________________________②________________________________________________2.转像系统分____________________和___________________两大类,其作用是:_________________________________________3.一学生带500度近视镜,则该近视镜的焦距为_________________,该学生裸眼所能看清的最远距离为_________________。
4.光通过光学系统时能量的损失主要有:________________________, ________________________和_______________________。
5.激光束聚焦要求用焦距较________的透镜,准直要用焦距较________的透镜。
四.计算题:(共60分)1.一透镜焦距mm f 30'=,如在其前边放置一个的开普勒望远镜,求组合后系统的像方基点位置和焦距,并画出光路图。
(10分)2.已知mm r 201=,mm r 202-=的双凸透镜,置于空气中。
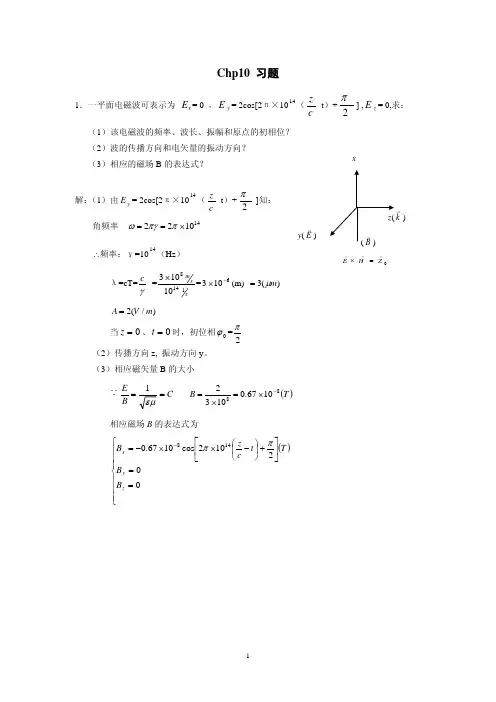
第一章 几何光学基本定律1. 已知真空中的光速c =3810⨯m/s ,求光在水(n=1.333)、冕牌玻璃(n=1.51)、火石玻璃(n=1.65)、加拿大树胶(n=1.526)、金刚石(n=2.417)等介质中的光速。
解:则当光在水中,n=1.333时,v=2.25 m/s, 当光在冕牌玻璃中,n=1.51时,v=1.99 m/s, 当光在火石玻璃中,n =1.65时,v=1.82 m/s , 当光在加拿大树胶中,n=1.526时,v=1.97 m/s ,当光在金刚石中,n=2.417时,v=1.24 m/s 。
2. 一物体经针孔相机在 屏上成一60mm 大小的像,若将屏拉远50mm ,则像的大小变为70mm,求屏到针孔的初始距离。
解:在同种均匀介质空间中光线直线传播,如果选定经过节点的光线则方向不变,令屏到针孔的初始距离为x ,则可以根据三角形相似得出:,所以x=300mm即屏到针孔的初始距离为300mm 。
3. 一厚度为200mm 的平行平板玻璃(设n =1.5),下面放一直径为1mm 的金属片。
若在玻璃板上盖一圆形的纸片,要求在玻璃板上方任何方向上都看不到该金属片,问纸片的最小直径应为多少?2211sin sin I n I n =66666.01sin 22==n I745356.066666.01cos 22=-=I88.178745356.066666.0*200*2002===tgI xmm x L 77.35812=+=4.光纤芯的折射率为1n ,包层的折射率为2n ,光纤所在介质的折射率为0n ,求光纤的数值孔径(即10sin I n ,其中1I 为光在光纤内能以全反射方式传播时在入射端面的最大入射角)。
解:位于光纤入射端面,满足由空气入射到光纤芯中,应用折射定律则有: n 0sinI 1=n 2sinI 2 (1)而当光束由光纤芯入射到包层的时候满足全反射,使得光束可以在光纤内传播,则有:(2)由(1)式和(2)式联立得到n 0 .5. 一束平行细光束入射到一半径r=30mm 、折射率n=1.5的玻璃球上,求其会聚点的位置。
工程光学试题一.判断(20分,每题2分)1.在介质中,光沿直线传播。
(x)2.同种光在不同介质中传播速度不同,频率不同。
(x)3.全反射发生的条件是光线从光疏介质射向光密介质。
(x)4.孔径角以光线起算转向光轴,顺时针旋转角度为正,逆时针旋转角度为负。
(x)5.在共轴球面光学系统中,横向放大率 =3,表明该物所成的像为正立像且物像虚实相反。
(v )6.垂直于光轴的物平面,其共轭像平面也必然垂直于光轴。
(v)7.在眼睛的光学成像系统中,明视距离就是近点距离。
( x )8.物方焦点和像方焦点,物方主店和像方主点是两队共轭点。
(x)9.对近视眼,显微镜所成的像应位于近视眼的远点上,应将目镜向前调。
(v)10.望远镜能使入射的平行光束仍保持平行地射出光学系统。
(v)二.填空(20分,每空1分)1.一条入射线经转θ角的平面镜反射,其反射光线转过 2θ角,2夹角为α的平面镜,光线从射入到射出总共反射了n次,则其出射线与入射线夹角为 2nα。
2、用垂轴放大率判断物、像正倒关系方法:当β>0时正像,β<0时倒像。
3.光楔的顶角为α,则其最小偏向角为(n-1)α。
4.反射棱镜的作用转折光轴、转像、分像(分光、分色)、合像。
5.正常眼的远点距为无穷远,近点距为眼前 100 mm,视度调节范围为 10 屈光度,明视距离为250 mm。
6.设计一个τ=5x的放大镜,其焦距f’= 50 mm。
7.已知某望远镜物镜焦距f1’=250mm,f2’=25mm,则该望远镜焦距f’= ∞,光学筒长L= 275 mm,放大倍数τ= -10 ,此望远镜为开普勒(开普勒/伽利略)望远镜。
8.某人眼睛在放松状态下只能将位于眼睛前方0.5m处的物体成像在视网膜上,则此人眼睛的度数为—200 度,应该戴一副焦距f’=—500 mm的眼镜。
三.作图(20分,每题5分)1.完成光路图,标出A的像A’,保留作图痕迹。
(1)答案:(2)用图解法求组合光组的基点(基面)的位置。
一、填空题1.用于制作光学零件的透射材料分为 、 、 。
2.一学生带500度近视眼镜,则该近视镜的焦距为 ,该学生裸眼所能看清的最远距离为 。
3.唯一能成完善像的最简单的光学元件是 。
4.一个右手坐标系的虚物,经一个屋脊棱镜的屋脊反射后,成 坐标系的 像。
5.光波的相干条件为 、 、 。
6.光的干涉现象是光的 的重要特征。
实验证明了光可以发生干涉。
7.影响干涉条纹可见度的主要因素是两相干光束的 、 、 。
8.摄影物镜的三个重要参数分别为 、 、 。
9.摄影物镜的类型主要分为普通摄影物镜、 、 、 和变焦距物镜等。
10.显微镜的照明方法有 、 、 、 。
11.摄影系统由 和 组成。
12.波的叠加原理可以表述为:几个波在相遇点产生的合振动是各个波单独在该点产生振动的 。
波的叠加原理表面了光波传播的 。
13.几何光学的四个基本定律分别为 、 、 、 。
14.反射棱镜的种类繁多,形状各异,大体上可分为 、 、 、 。
15.视场光阑经其前面的光学系统所成的像称为 ,视场光阑经其后面的光学系统所成的像称为 。
16.在理想光学系统中,除了垂轴放大率外,还有 和 两种放大率。
17.产生干涉的光波称为 ,其相应的光源称为 。
18.等厚干涉型的干涉系统称为斐索干涉仪,按测量对象分为 、 。
19.时间相干性好的同义语有 、 、 。
20.孔径光阑经其前面的光学系统所成的像称为 ,孔径光阑经其后面的光学系统所成的像称为 。
二、作图题1.求AB 的像B A ''。
图中C 为球面反射镜的曲率中心。
2.求AB 的像B A ''。
图中C 为球面反射镜的曲率中心。
3.求物AB经理想光学系统所成的像,并注明系统像方的基点位置和焦距。
5.求像方主平面和像方焦点。
1.简述几何光学的四个基本定律的含义。
答:(1)光的直线传播定律,几何光学认为,在各向同性的均匀介质中,光是沿着直线方向传播的。
工程光学复习题及答案一、单项选择题1. 光学中,光的波动性可以通过以下哪个实验来验证?A. 双缝干涉实验B. 单缝衍射实验C. 迈克尔逊干涉仪实验D. 光的偏振实验答案:A2. 以下哪种光学元件可以实现光的会聚?A. 凸透镜B. 凹透镜C. 平面镜D. 棱镜答案:A3. 光的折射定律是由哪位科学家提出的?A. 牛顿B. 惠更斯C. 斯涅尔D. 爱因斯坦答案:C二、填空题4. 光在真空中的传播速度是_________m/s。
答案:3×10^85. 光的波长、频率和速度之间的关系可以用公式_________来表示。
答案:v=λf6. 光的偏振现象表明光是一种_________。
答案:横波三、简答题7. 简述光的干涉现象及其产生条件。
答案:光的干涉现象是指两束或多束相干光波在空间相遇时,由于光波的相位差引起的光强分布出现明暗相间的条纹。
产生干涉的条件是:两束光必须是相干光,即它们的频率相同,相位差恒定或满足一定的关系。
8. 什么是光的衍射现象?并举例说明。
答案:光的衍射现象是指光波在遇到障碍物或通过狭缝时,光波的传播方向发生改变,形成明暗相间的衍射图样。
例如,当光通过单缝时,会在缝后形成衍射条纹,这种现象称为单缝衍射。
四、计算题9. 已知一束光的波长为500nm,求其在真空中的频率。
答案:根据公式v=λf,光在真空中的速度v=3×10^8 m/s,波长λ=500×10^-9 m,代入公式可得频率f=v/λ=(3×10^8)/(500×10^-9) Hz=6×10^14 Hz。
10. 一束光从空气斜射入水中,入射角为30°,求折射角。
答案:根据斯涅尔定律n1sinθ1=n2sinθ2,其中n1为空气的折射率,n2为水的折射率,θ1为入射角,θ2为折射角。
空气的折射率n1≈1,水的折射率n2≈1.33,代入公式可得sinθ2=n1sinθ1/n2=1×sin30°/1.33≈0.433,因此θ2≈26.3°。
工程光学考试题及答案高中一、选择题1. 光学成像的基本条件是什么?A. 物体必须在焦点以内B. 物体必须在焦点以外C. 物体必须在焦点上D. 物体必须在焦距以内答案:B2. 凸透镜成像的规律是什么?A. 物远像近像变小B. 物近像远像变大C. 物远像远像变大D. 物近像近像变小答案:B3. 以下哪种情况不属于光的折射现象?A. 光从空气进入水中B. 光从水中进入空气中C. 光从玻璃进入空气中D. 光从空气直接传播答案:D4. 光的三原色是什么?A. 红、绿、蓝B. 红、黄、蓝C. 红、橙、绿D. 蓝、绿、紫答案:A5. 以下哪种光学仪器是利用光的反射原理制成的?A. 望远镜B. 放大镜C. 显微镜D. 潜望镜答案:D二、填空题6. 凸透镜的焦距越短,其成像能力越________。
答案:强7. 当物体位于凸透镜的焦点上时,成像情况是________。
答案:不成像8. 光的折射定律中,入射角和折射角的关系是________。
答案:入射角越大,折射角越大9. 光的干涉现象是指两个或两个以上的________相互叠加的现象。
答案:光波10. 光的衍射现象是指光绕过障碍物继续传播的现象,这种现象说明了光具有________。
答案:波动性三、简答题11. 请简述光的干涉条件。
答案:光的干涉条件包括:光波的频率相同、光波的相位差恒定、光波的振动方向相同。
12. 什么是全反射现象?请简述其产生条件。
答案:全反射现象是指当光从光密介质射向光疏介质,且入射角大于临界角时,光将完全反射回光密介质中。
产生全反射的条件包括:光从光密介质进入光疏介质,入射角大于临界角。
四、计算题13. 已知凸透镜的焦距为10cm,物体距离透镜15cm,求像的性质和位置。
答案:根据凸透镜成像公式1/f = 1/u + 1/v,其中f为焦距,u为物距,v为像距。
代入数据得1/10 = 1/15 + 1/v,解得v = 30cm。
由于物距大于焦距,像距大于物距,所以成像为倒立、放大的实像。
工程光学实验习题光学实验习题1.如会聚透镜的焦距大于光具座的长度,试设计一个实验,在光具座上能测定它的焦距。
2.点光源 P 经会聚透镜 L 1 成实像于 P' 点(图 1-8 ),在会聚透镜 L1 与 P' 之间共轴放置一发散透镜 L2 ;垂直于光轴放一平面反射镜M ,移动发散透镜至一合适位置,使 P 通过整个系统后形成的像仍重合在 P 处。
如何利用此现象测出发散透镜焦距?3.为什么说当准直管绕轴转过 180 时,十字线物像不重合是由于十字线中心偏离光轴的缘故?试说明之。
4.准直管测焦距的方法有哪些优点?还存在哪些系统误差?5. 1 、第一主面靠近第一个透镜,第二主面靠近第二个透镜,在什么条件下才是对的?(光具组由二薄凸透镜组成)。
6.由一凸透镜和一凹透镜组成的光具组,如何测量其基点?(距离 d 可自己设定)。
7.设计一种不测最小偏向角而能测棱镜玻璃折射率的方案(使用分光计去测)。
8.怎样应用掠入射法测定玻璃棱镜的折射率?简要说明实验方法,并推导出折射率的计算公式。
9.用阿贝折射计测量固体折射率时,为什么要滴入高折射率的接触液?为什么它对测量结果没有影响?试论证之。
10.显微镜与望远镜有哪些相同之处与不同之处?11.显微镜测量微小长度时,用测微目镜测定石英标准尺 m 个分格的数值为△ X ,为什么它和石英标准尺相应分格的实际值△ X 之比不等于物镜的放大率?12.评价天文望远镜时,一般不讲它是多少倍的,而是说物镜口径多大,你能说明为什么吗? 13.推导式( 6-1 )( P90 )14.为何摄谱仪的底板面必须与照相系统的光轴倾斜,才能使所有谱线同时清晰? 15.怎样测定摄谱仪的线色散? 16.怎样拍摄叶绿素的吸收光谱?17.讨论单色仪的人射缝和出射缝的宽度对出射光单色性的影响,并证明出射光谱宽度其中 a 、 a' 分别为入射缝和出射缝的宽度,为棱镜的线色散。
18.如发现单色仪定标曲线上相对于已知波长曲线平移△ L 后继续使用,为什么?的鼓轮刻度 L 偏离了△ L ,能否将原定标19.证明瓦兹斯散色散装置 (P107 图 7-5) 的光束恒偏向的特性,即20.如何测定单色仪的线色散21.双棱镜和光源之间为什么要放一狭缝?为什么缝要很窄才可以得到清晰的干涉条纹?22.试证明公式23.如果被测透镜是平凹透镜,能否应用本实验方法测定其凹面的曲率半径?试说明理由并推导相应的计算公式。
2.12 有一薄透镜组,由焦距为-300mm 的负透镜和焦距为200mm 的正透镜组成,两透镜相距100mm ,置于空气中,求该透镜组的组合焦距和组合基点位置。
解:121212300200300200f f f f f mm d f f ''''-⨯'=-=-=-=∆'-+ 焦点和主点位置:1(1)400F dl f mm f ''=-=',2(1)150F d l f mm f =+=-100H F l l f mm '''=-=,150H F l l f mm =-=2.17 若有一透镜位于空气中,r 1= 100mm ,d= 8mm ,n = 1.5,若有一物体的物距l =-200mm ,经该透镜成像后的像距l ′= 50mm ,求第二面的曲率半径r 2。
若物高y = 20mm ,求像高。
解:由成像公式111l l f -='',可得 40f mm '= 又()()1221(1)1nr r f n n r r n d '=--+-⎡⎤⎣⎦,故可得 225r mm =-由于 l y l yβ''==,所以5y mm '=-3.2一眼睛,其远点距r = 2m ,近点距p =-2m 。
问: (1)该眼镜有何缺陷?(2)该眼睛的调节范围为多大? (3)矫正眼镜的焦距为多大?(4)配戴该眼镜后,远点距和近点距分别为多大?解:(1)远点r = 2m ,只有入射会聚光束,且光束的会聚点距离眼睛后2m 才能在视网膜上形成一个清晰的像点,故此眼睛为远视眼 (2)调节范围:111A R P D r p=-=-= (3)对远视眼应校正其近点,正常人眼明视距离L 0=—25cm ,远视眼近点为l p 。
戴上眼镜后,将其近点移至L 0处:111p n L l f -='',012111n L L f f -=+''' 所带眼镜屈光度为:02111p P l L f ==-',故20.29f m '= (4)p = —0.25m ,111A D r p==- ,故r = 4.67m4一束右旋圆偏振光(迎着光的传播方向看)从玻璃表面垂直反射出来,若迎着反射光的方向观察,是什么光?解:选取直角坐标系如图(a )所示,玻璃面为xOy 面,右旋圆偏振光沿z 方向入射,在xOy 面上入射光电场矢量的分量为:)cos(t A E ix ω=)2cos(πω+=t A E iy所观察到的入射光电场矢量的端点轨迹如图(b )所示。
根据菲涅耳公式,玻璃面上的反射光相对于入射面而言有一π相位突变,因此反射光的电场矢量的分量为:)cos()cos(t A t A E rx ωωπ-=+=)2cos()2cos(πωππω+-=++=t t A E ry其旋向仍然是由y 轴旋向x 轴,所以迎着反射光的传播方向观察时,是左旋圆偏振光。
4.7一束振动方位角为45°的线偏振光入射到两种介质的界面上,第一介质和第二介质的折射率分别为n 1=1和n 2=1.5。
当入射角为50°时,试求反射光的振动方位角。
解:︒=501θ,由折射定律:51.0sin sin 212==n θθ ∴︒=7.301θ ∴335.07.80sin 3.19sin )sin()sin(2121-=︒︒-=+--=θθθθs r057.07.80tan 3.19tan )tan()tan(2121=︒︒=+-=θθθθp r∴877.545tan 057.0335.0tan tan -=︒-==i p s r r r αα ∴反射光的振动方位角为:︒-=34.80r α射入反射xyOzxyO4.12一束自然光以70°角入射到空气-玻璃(n =1.5)分界面上,求其反射率和反射光的偏振度。
解:由题意有︒=701θ, 根据折射定律:6265.0sin sin 212==n θθ ∴︒=8.381θ∴55.08.108sin 2.31sin )sin()sin(2121-=︒︒-=+--=θθθθs r3025.02==s s r R21.08.108tan 2.31tan )tan()tan(2121-=︒︒=+-=θθθθp r0441.02==p p r R∴反射率为:17.0)(2122=+=p s n r r R 反射光的偏振度为:%6.740441.03025.00441.03025.0=+-=+-=sp s p r R R R R P5.2在杨氏实验中,两小孔距离为1 mm ,观察屏离小孔的距离为100 cm ,当用一折射率为1.58的透明薄片贴住其中一小孔时,发现屏上的条纹系移动了1.5 cm ,试决定该薄片的厚度。
解:如图,设P 0点是S 1S 2连线的垂直平分线与屏的交点,则当小孔未贴上薄片时,由两小孔S 1和S 2到屏上P 0点的光程差为0。
当贴上薄片时,零程差点由P 0移到与之相距1.5 cm 的P 点,P 点光程差的变化量为:1510.015mm 1000yd D ⨯∆=== 而P 点光程差的变化等于S 1到P 的光程的增加:(1)0.015n h ∆=-= ∴薄片厚度为:20.0152.5910mm 1.581h -==⨯-5.11假设照射迈克尔逊干涉仪的光源发出两种波长的单色光(设21λλ>)。
因此当平面镜M 1移动时,条纹将周期性的消失和再现。
设h ∆表示条纹相继两次消失M 1移动的距离,21λλλ-=∆,试证明:λλλ∆=∆221h 证明:当两波长形成的亮条纹重合时,条纹亮度最好,而当1λ的暗条纹与2λ的暗条纹重合时,条纹消失,则当条纹消失时光程差满足:1122112()()22h m m δλλ∆=+=+=+ 式中δ表示光束在半反射面上反射时的附加光程差,未镀膜时为2λ 则由上式得:212112222h h h m m δδδλλλλλ+++-=-=∆当h 增加h ∆时,条纹再次消失,这时干涉级之差增加1,即:21122()1h h m m δλλλ+∆+-+=∆两式相减,得:λλλ∆=∆221h5.14 1F -P 干涉仪常用来测量波长相差较小的两条谱线的波长差。
设干涉仪两板的间距为0.5mm ,它产生的1λ谱线的干涉环系中第二环和第五环的半径分别为3mm 和5mm ,2λ谱线的干涉环系中第二环和第五环的半径分别为3.2mm 和5.1mm ,两谱线的平均波长为550nm ,试决定两谱线的波长差。
解:设对1λ谱线的干涉环系中心的干涉级数为0m ,则有:102λδm h =+ (1) 其中δ表示光束在板面金属膜上反射时的附加光程差:1λπφδ=,φ为在金属膜上反射的相变。
若0m 非整数,则写为:010ε+=m m1m 表示靠中心第一个亮环的干涉级数,由中心向外,第N 个亮环的干涉级数为)]1([1--N m ,而它的角半径由下式求出: λδθ)]1([cos 21--=+N m h N与(1)式相减,得:11)1()cos 1(2λεθ-+=-N h N ∵N θ一般很小,故有:2cos 12NN θθ=-∴)1(112-+=N hN ελθ∴第五环和第二环的半径平方之比为:11112225141215εεεε++=-+-+=r r ∴786.03553442222222525221=--⨯=--=r r r r ε 同理,2λ谱线干涉环系中心的干涉级数的小数部分:948.0)2.3()1.5()1.5()2.3(442222222525222=--⨯=--=r r r r ε 由(1)式,221211211222)(2)2()2()()(λλλλλλπφλπφλεε∆=-=+-+=+-+h h h hm m ∴nm h 2329122109.4)786.0948.0(105.02)10550()(2---⨯=-⨯⨯⨯⨯=-=∆εελλ6.3波长为500nm 的平行光垂直照射在宽度为0.025mm 的单缝上,以焦距为50cm 的会聚透镜将衍射光聚焦于焦面上观察,求(1)衍射图样中央亮条纹的半宽度; (2)第二暗纹到中央亮纹的距离; 解:(1)中央亮纹的半角宽度为:02.0025.01050060=⨯==-a λθrad ∴中央亮纹的半宽度为:102.0500=⨯==θf e cm(2)第二暗纹的位置对应于2απ=±,即:sin 22kaθπ=± ∴62250010arcsin arcsin arcsin 0.040.040.025a λθ-±±⨯⨯===±≈±rad ∴第一亮纹到中央亮纹的距离为: 500.0411q f e θ=-=⨯-=cm6.10钠黄光垂直照射一光栅,它的第一级光谱恰好分辨开钠双线(5891=λnm ,6.5892=λnm ),并测得589nm的第一级光谱线所对应的衍射角为2°,第四级缺级,试求光栅的总缝数,光栅常数和缝宽。
解:光栅的分辨本领为:mN A =∆=λλ其中3.58926.589589=+=λnm∴光栅的总缝数为:982)5896.589(13.589=-⨯=∆=λλm N第一级光谱满足:λθ=sin d∴光栅常数为:017.02sin 103.589sin 6=︒⨯==-θλd mm ∵第四级缺级 ∴缝宽为:00425.04==da mm6用波长为624nm 的单色光照射一光栅,已知该光栅的缝宽012.0=a mm ,不透明部分宽度029.0=b mm ,缝数N =1000条,试求:(1)中央极大值两侧的衍射极小值间,将出现多少个干涉主极大;(2)谱线的半角宽度。
解:(1)中央峰两侧的衍射极小值满足:λθ±=sin a∴中央峰内的衍射角满足aλθ±≤sin干涉主极大满足:λθm d =sin =m 0,±1,±2 …… ∴在中央峰内的干涉主极大满足: λλadm ≤∵42.3012.0041.0≡=a d ∴m 的取值可为0,±1,±2,±3∴出现的干涉极小值个数为7个 (2)谱线的角宽度为:561052.1)029.0012.0(10001062422--⨯=+⨯⨯⨯==∆Nd λθrad7.7当通过一检偏器观察一束椭圆偏振光时,强度随着检偏器的旋转而改变,当在强度为极小时,在检偏器前插入一块1/4波片,转动1/4波片使它的快轴平行于检偏器的透光轴,再把检偏器沿顺时针方向转动25°就完全消光,问该椭圆偏振光是左旋还是右旋,椭圆长短轴之比是多少?解:椭圆偏振光可以看作是一个光矢量沿长轴方向的线偏振光和一个位相相差π/2的光矢量沿短轴方向的线偏振光的合成。