任意角三角函数练习题
- 格式:doc
- 大小:86.00 KB
- 文档页数:4
三角函数·任意角的三角函数作者:来源:《高中生学习·高三理综版》2013年第07期一、选择题(每小题4分,共40分,每小题只有一个选项符合题意)1. “[tanα=34]”是“[sinα=-35]”的()A. 充分不必要条件B. 必要不充分条件C. 充要条件D. 既不充分也不必要条件2. 已知[cos(π2+α)=35],且[α∈(π2,3π2)],则[tanα=]()A. [43]B. [34]C. [-34]D. [±34]3. 已知[tanθ=2],则[sin2θ+sinθcosθ-2cos2θ][=]()A. [-43]B. [54]C. [-34]D. [45]4. 已知[sin(π+θ)=45],则[θ]角的终边在()A. 第一、二象限B. 第二、三象限C. 第一、四象限D. 第三、四象限5. 已知[α∈(0,2π)],且[α]的终边上一点的坐标为[(sinπ6,cos5π6)],则[α]等于()A. [2π3]B. [5π3]C. [5π6]D. [7π6]6. 若[0A. [sinx3xπ]C. [sinx4x2π2]7. [sin256π+cos253π-tan(-254)π=]()A. 0B. 1C. 2D. -28. 若[α]是第四象限角,[tanα=-512],则[sinα=]()A. [15]B. [-15]C. [513]D. [-513]9. 已知sin[(76π+α)=13],则sin[(2α-76π)=]()A. [79]B. [-79]C. [19]D. [-19]10. 已知点[P(sinα-cosα,tanα)]在第一象限,则在[0,2π]内[α]的取值范围是()A. ([π4],[π2])B. (π,[54]π)C. ([3π4],[54]π)D. ([π4],[π2])[⋃](π,[54]π)二、填空题(每小题4分,共16分)11. 若角[β]的终边与[60°]角的终边相同,则在[[0°],[360°)]内,终边与角[β3]的终边相同的角为 .12. 若角[α]的终边落在直线[y=-x]上,则[sinα1-sin2α+1-cos2αcosα]的值等于 .13. 若[α]是第一象限角,则[sin2α],[cos2α],[sinα2],[cosα2],[tanα2]中一定为正值的有个.14. 若[α]是锐角,且[sin(α-π6)=13],则[cosα]的值是 .三、解答题(共4小题,44分)15. (10分)设[α]为第四象限角,其终边上的一个点是[P(x,-5)],且[cosα=24x],求[sinα]和[tanα].16. (10分)已知扇形[OAB]的圆心角[α]为[120°],半径长为6,求:(1)求[AB]的弧长;(2)求弓形[OAB]的面积.17. (12分)[A,B]是单位圆[O]上的动点,且[A,B]分别在第一、二象限. [C]是圆[O]与[x]轴正半轴的交点,[△AOB]为正三角形. 记[∠AOC=α].(1)若[A]点的坐标为([35],[45]). 求[sin2α+sin2αcos2α+cos2α]的值;(2)求[|BC|2]的取值范围.18. (12分)求值:(1)已知[sin(3π+θ)=14],求[cos(π+θ)cosθcos(π+θ)-1+][cos(θ-2π)cos(θ+2π)cos(π+θ)+cos(-θ)]的值;(2)已知[-π2。
任意角和弧度制、任意角的三角函数专题一、基础小题1.已知角α的终边与单位圆交于点⎝ ⎛⎭⎪⎫-45,35,则tan α=( )A .-43B .-45C .-35D .-342.sin2cos3tan4的值( )A .小于0B .大于0C .等于0D .不存在 3.已知扇形的半径为12 cm ,弧长为18 cm ,则扇形圆心角的弧度数是( )A .23B .32C .23πD .32π4.如图所示,在直角坐标系xOy 中,射线OP 交单位圆O 于点P ,若∠AOP =θ,则点P 的坐标是( )A .(cos θ,sin θ)B .(-cos θ,sin θ)C .(sin θ,cos θ)D .(-sin θ,cos θ) 5.已知α是第二象限角,P (x ,5)为其终边上一点,且cos α=24x ,则x =( ) A . 3 B .±3 C .-2 D .- 36.已知角α=2k π-π5(k ∈Z),若角θ与角α的终边相同,则y =sin θ|sin θ|+cos θ|cos θ|+tan θ|tan θ|的值为( )A .1B .-1C .3D .-3 7.已知扇形的面积为2,扇形圆心角的弧度数是4,则扇形的周长为( )A .2B .4C .6D .8 8.已知角α和角β的终边关于直线y =x 对称,且β=-π3,则sin α=( )A .-32 B .32 C .-12 D .129.给出下列命题:①第二象限角大于第一象限角;②三角形的内角是第一象限角或第二象限角;③不论是用角度制还是用弧度制度量一个角,它们与扇形的半径的大小无关;④若sin α=sin β,则α与β的终边相同; ⑤若cos θ<0,则θ是第二或第三象限的角. 其中正确命题的个数是( )A .1B .2C .3D .410.点P 从(1,0)出发,沿单位圆x 2+y 2=1逆时针方向运动π3弧长到达Q 点,则Q 的坐标为________.11.已知角α的终边上有一点的坐标为⎝ ⎛⎭⎪⎫12,-32,若α∈(-2π,2π),则所有的α组成的集合为________.12.已知角α的终边上的点P 和点A (a ,b )关于x 轴对称(a ≠b ),角β的终边上的点Q 与A 关于直线y =x 对称,则sin αcos β+tan αtan β+1cos α·sin β=________. 二、高考小题13.如图,圆O 的半径为1,A 是圆上的定点,P 是圆上的动点,角x 的始边为射线OA ,终边为射线OP ,过点P 作直线OA 的垂线,垂足为M ,将点M 到直线OP 的距离表示成x 的函数f (x ),则y =f (x )在[0,π]的图象大致为( )14.若tan α>0,则( )A .sin α>0B .cos α>0C .sin2α>0D .cos2α>0 15.设a =sin33°,b =cos55°,c =tan35°,则( )A .a >b >cB .b >c >aC .c >b >aD .c >a >b 16.设函数f (x )(x ∈R)满足f (x +π)=f (x )+sin x .当0≤x <π时,f (x )=0,则f ⎝ ⎛⎭⎪⎫23π6=( )A .12B .32C .0D .-12三、模拟小题17.集合⎩⎪⎨⎪⎧⎭⎪⎬⎪⎫α⎪⎪⎪ k π+π4≤α≤k π+π2,k ∈Z中的角所表示的范围(阴影部分)是( )18.已知角α的终边过点P (-8m ,-6sin30°),且cos α=-45,则m 的值为( )A .-12B .12C .-32D .3219.已知角α的终边经过点(3a -9,a +2),且cos α≤0,sin α>0,则实数a 的取值范围是( )A .(-2,3]B .(-2,3)C .[-2,3)D .[-2,3] 20.已知角x 的终边上一点的坐标为⎝ ⎛⎭⎪⎫sin 5π6,cos 5π6,则角x 的最小正值为( )A .5π6 B .5π3 C .11π6 D .2π321.已知A (x A ,y A )是单位圆上(圆心在坐标原点O )任意一点,且射线OA 绕O 点逆时针旋转30°到OB 交单位圆于B (x B ,y B ),则x A -y B 的最大值为( )A . 2B .32C .1D .1222.已知扇形的周长是4 cm ,则扇形面积最大时,扇形的圆心角的弧度数是( )A .2B .1C .12D .323.如图,设点A 是单位圆上的一定点,动点P 从A 出发在圆上按逆时针方向转一周,点P 所旋转过的弧AP ︵的长为l ,弦AP 的长为d ,则函数d =f (l )的图象大致为( )24.已知角θ的终边经过点P (-4cos α,3cos α),α∈⎝ ⎛⎭⎪⎫π,3π2,则sin θ+cos θ=________.模拟大题1.已知角α终边经过点P (x ,-2)(x ≠0),且cos α=36x .求sin α+1tan α的值.2.如图所示,动点P ,Q 从点A (4,0)出发沿圆周运动,点P 按逆时针方向每秒钟转π3弧度,点Q 按顺时针方向每秒钟转π6弧度,求点P ,点Q 第一次相遇时所用的时间、相遇点的坐标及P ,Q 点各自走过的弧长.3.设函数f (x )=-x 2+2x +a (0≤x ≤3)的最大值为m ,最小值为n ,其中a ≠0,a ∈R.(1)求m ,n 的值(用a 表示);(2)已知角β的顶点与平面直角坐标系xOy 中的原点O 重合,始边与x 轴的正半轴重合,终边经过点A (m -1,n +3),求sin ⎝ ⎛⎭⎪⎫β+π6的值.4.在平面直角坐标系xOy 中,角α的顶点是坐标原点,始边为x 轴的正半轴,终边与单位圆O 交于点A (x 1,y 1),α∈⎝ ⎛⎭⎪⎫π4,π2.将角α终边绕原点按逆时针方向旋转π4,交单位圆于点B (x 2,y 2).(1)若x 1=35,求x 2;(2)过A ,B 作x 轴的垂线,垂足分别为C ,D ,记△AOC 及△BOD 的面积分别为S 1,S 2,且S 1=43S 2,求tan α的值.任意角和弧度制、任意角的三角函数专题及答案一、基础小题1.已知角α的终边与单位圆交于点⎝ ⎛⎭⎪⎫-45,35,则tan α=( )A .-43B .-45C .-35D .-34答案 D解析 根据三角函数的定义,tan α=y x =35-45=-34,故选D. 2.sin2cos3tan4的值( )A .小于0B .大于0C .等于0D .不存在 答案 A解析 ∵sin2>0,cos3<0,tan4>0,∴sin2cos3tan4<0.3.已知扇形的半径为12 cm ,弧长为18 cm ,则扇形圆心角的弧度数是( )A .23B .32C .23πD .32π答案 B解析 由题意知l =|α|r ,∴|α|=l r =1812=32.4.如图所示,在直角坐标系xOy 中,射线OP 交单位圆O 于点P ,若∠AOP =θ,则点P 的坐标是()A .(cos θ,sin θ)B .(-cos θ,sin θ)C .(sin θ,cos θ)D .(-sin θ,cos θ) 答案 A解析 由三角函数的定义知,选A.5.已知α是第二象限角,P (x ,5)为其终边上一点,且cos α=24x ,则x =( ) A . 3 B .±3 C .-2 D .- 3答案 D解析 依题意得cos α=x x 2+5=24x <0,由此解得x =-3,故选D. 6.已知角α=2k π-π5(k ∈Z),若角θ与角α的终边相同,则y =sin θ|sin θ|+cos θ|cos θ|+tan θ|tan θ|的值为( )A .1B .-1C .3D .-3 答案 B解析 由α=2k π-π5(k ∈Z)及终边相同的概念知,角α的终边在第四象限,又角θ与角α的终边相同,所以角θ是第四象限角,所以sin θ<0,cos θ>0,tan θ<0,所以y =-1+1-1=-1.7.已知扇形的面积为2,扇形圆心角的弧度数是4,则扇形的周长为( )A .2B .4C .6D .8 答案 C解析 设扇形的半径为R ,则12R 2|α|=2,∴R 2=1,∴R =1,∴扇形的周长为2R +|α|·R =2+4=6,故选C.8.已知角α和角β的终边关于直线y =x 对称,且β=-π3,则sin α=( )A .-32 B .32 C .-12 D .12答案 D解析 因为角α和角β的终边关于直线y =x 对称,所以α+β=2k π+π2(k ∈Z),又β=-π3,所以α=2k π+5π6(k ∈Z),即得sin α=12.9.给出下列命题:①第二象限角大于第一象限角;②三角形的内角是第一象限角或第二象限角;③不论是用角度制还是用弧度制度量一个角,它们与扇形的半径的大小无关; ④若sin α=sin β,则α与β的终边相同; ⑤若cos θ<0,则θ是第二或第三象限的角. 其中正确命题的个数是( )A .1B .2C .3D .4 答案 A解析 由于第一象限角370°不小于第二象限角100°,故①错;当三角形的内角为90°时,其既不是第一象限角,也不是第二象限角,故②错;③正确;由于sin π6=sin 5π6,但π6与5π6的终边不相同,故④错;当cos θ=-1,θ=π时既不是第二象限角,又不是第三象限角,故⑤错.综上可知只有③正确.10.点P 从(1,0)出发,沿单位圆x 2+y 2=1逆时针方向运动π3弧长到达Q 点,则Q 的坐标为________.答案 ⎝ ⎛⎭⎪⎫12,32解析 根据题意得Q (cos π3,sin π3),即Q ⎝ ⎛⎭⎪⎫12,32.11.已知角α的终边上有一点的坐标为⎝ ⎛⎭⎪⎫12,-32,若α∈(-2π,2π),则所有的α组成的集合为________.答案 ⎩⎨⎧⎭⎬⎫-π3,5π3解析 因为角α的终边上有一点的坐标为⎝ ⎛⎭⎪⎫12,-32,所以角α为第四象限角,且tan α=-3,即α=-π3+2k π,k ∈Z ,因此落在(-2π,2π)内的角α的集合为⎩⎨⎧⎭⎬⎫-π3,5π3.12.已知角α的终边上的点P 和点A (a ,b )关于x 轴对称(a ≠b ),角β的终边上的点Q 与A 关于直线y =x 对称,则sin αcos β+tan αtan β+1cos α·sin β=________. 答案 0解析 由题意得P (a ,-b ),Q (b ,a ),∴tan α=-b a ,tan β=a b (a ,b ≠0),∴sin αcos β+tan αtan β+1cos α·sin β=-b a 2+b 2b a 2+b 2+-ba ab +1a a 2+b 2·a a 2+b 2=-1-b 2a 2+a 2+b2a 2=0.二、高考小题13.如图,圆O 的半径为1,A 是圆上的定点,P 是圆上的动点,角x 的始边为射线OA ,终边为射线OP ,过点P 作直线OA 的垂线,垂足为M ,将点M 到直线OP 的距离表示成x 的函数f (x ),则y =f (x )在[0,π]的图象大致为( )答案 C解析 由题意|OM |=|cos x |,f (x )=|OM ||sin x |=|sin x cos x |= 12|sin2x |,由此可知C 正确. 14.若tan α>0,则( )A .sin α>0B .cos α>0C .sin2α>0D .cos2α>0 答案 C解析 由tan α>0,可得α的终边在第一象限或第三象限,此时sin α与cos α同号, 故sin2α=2sin αcos α>0,故选C.15.设a =sin33°,b =cos55°,c =tan35°,则( )A .a >b >cB .b >c >aC .c >b >aD .c >a >b 答案 C解析 ∵a =sin33°,b =cos55°=sin35°,c =tan35°=sin35°cos35°,∴sin35°cos35°>sin35°>sin33°.∴c >b >a ,选C.16.设函数f (x )(x ∈R)满足f (x +π)=f (x )+sin x .当0≤x <π时,f (x )=0,则f ⎝ ⎛⎭⎪⎫23π6=( )A .12B .32C .0D .-12答案 A解析 由题意得f ⎝ ⎛⎭⎪⎫23π6=f ⎝ ⎛⎭⎪⎫17π6+sin 17π6=f ⎝ ⎛⎭⎪⎫11π6+sin 11π6+sin 17π6=f ⎝ ⎛⎭⎪⎫5π6+sin 5π6+sin11π6+sin 17π6=0+12-12+12=12.三、模拟小题17.集合⎩⎪⎨⎪⎧⎭⎪⎬⎪⎫α⎪⎪⎪ k π+π4≤α≤k π+π2,k ∈Z中的角所表示的范围(阴影部分)是( )答案 C解析 当k =2n 时,2n π+π4≤α≤2n π+π2,此时α的终边和π4≤α≤π2的终边一样.当k =2n +1时,2n π+π+π4≤α≤2n π+π+π2,此时α的终边和π+π4≤α≤π+π2的终边一样.18.已知角α的终边过点P (-8m ,-6sin30°),且cos α=-45,则m 的值为( )A .-12B .12C .-32D .32答案 B解析 r =64m 2+9,∴cos α=-8m 64m 2+9=-45,∴m >0,∴4m 264m 2+9=125,∴m =±12,∴m =12.19.已知角α的终边经过点(3a -9,a +2),且cos α≤0,sin α>0,则实数a 的取值范围是( )A .(-2,3]B .(-2,3)C .[-2,3)D .[-2,3] 答案 A解析 由cos α≤0,sin α>0可知,角α的终边落在第二象限内或y 轴的正半轴上,所以有⎩⎨⎧3a -9≤0,a +2>0,即-2<a ≤3. 20.已知角x 的终边上一点的坐标为⎝ ⎛⎭⎪⎫sin 5π6,cos 5π6,则角x 的最小正值为( )A .5π6 B .5π3 C .11π6 D .2π3答案 B解析 ∵sin 5π6=12,cos 5π6=-32,∴角x 的终边经过点⎝ ⎛⎭⎪⎫12,-32,tan x =-3,∴x =2k π+53π,k ∈Z ,∴角x 的最小正值为5π3.(也可用同角基本关系式tan x =sin xcos x得出.) 21.已知A (x A ,y A )是单位圆上(圆心在坐标原点O )任意一点,且射线OA 绕O 点逆时针旋转30°到OB 交单位圆于B (x B ,y B ),则x A -y B 的最大值为( )A . 2B .32C .1D .12答案 C解析 如图,由三角函数的定义,设x A =cos α,则y B =sin(α+30°),∴x A -y B =cos α-sin(α+30°)=12cos α-32sin α=cos(α+60°)≤1.22.已知扇形的周长是4 cm ,则扇形面积最大时,扇形的圆心角的弧度数是( )A .2B .1C .12 D .3答案 A解析 设此扇形的半径为r ,弧长为l ,则2r +l =4,面积S =12rl =12r (4-2r )=-r 2+2r =-(r -1)2+1,故当r =1时S 最大,这时l =4-2r =2.从而α=l r =21=2.23.如图,设点A 是单位圆上的一定点,动点P 从A 出发在圆上按逆时针方向转一周,点P 所旋转过的弧AP ︵的长为l ,弦AP 的长为d ,则函数d =f (l )的图象大致为( )答案 C解析 如图,取AP 的中点为D ,设∠DOA =θ,则d =2r sin θ=2sin θ,l =2θr =2θ, ∴d =2sin l2,故选C.24.已知角θ的终边经过点P (-4cos α,3cos α),α∈⎝ ⎛⎭⎪⎫π,3π2,则sin θ+cos θ=________.答案 15解析 因为π<α<3π2时,cos α<0,所以r =-5cos α,故sin θ=-35,cos θ=45,则sin θ+cos θ=15.模拟大题1.已知角α终边经过点P (x ,-2)(x ≠0),且cos α=36x .求sin α+1tan α的值. 解 ∵P (x ,-2)(x ≠0), ∴点P 到原点的距离r =x 2+2. 又cos α=36x ,∴cos α=x x 2+2=36x . ∵x ≠0,∴x =±10,∴r =2 3.当x =10时,P 点坐标为(10,-2),由三角函数的定义,有sin α=-66,1tan α=-5,∴sin α+1tan α=-66-5=-65+66; 当x =-10时,同样可求得sin α+1tan α=65-66.2.如图所示,动点P ,Q 从点A (4,0)出发沿圆周运动,点P 按逆时针方向每秒钟转π3弧度,点Q 按顺时针方向每秒钟转π6弧度,求点P ,点Q 第一次相遇时所用的时间、相遇点的坐标及P ,Q 点各自走过的弧长.解 设P ,Q 第一次相遇时所用的时间是t , 则t ·π3+t ·⎪⎪⎪⎪⎪⎪-π6=2π. 所以t =4(秒),即第一次相遇的时间为4秒.设第一次相遇点为C ,第一次相遇时P 点已运动到终边在π3·4=4π3的位置,则x C =-cos π3·4=-2,y C =-sin π3·4=-2 3.所以C 点的坐标为(-2,-23). P 点走过的弧长为43π·4=163π,Q 点走过的弧长为23π·4=83π.3.设函数f (x )=-x 2+2x +a (0≤x ≤3)的最大值为m ,最小值为n ,其中a ≠0,a ∈R.(1)求m ,n 的值(用a 表示);(2)已知角β的顶点与平面直角坐标系xOy 中的原点O 重合,始边与x 轴的正半轴重合,终边经过点A (m -1,n +3),求sin ⎝ ⎛⎭⎪⎫β+π6的值.解 (1)由题意可得f (x )=-(x -1)2+1+a ,而0≤x ≤3,所以m =f (1)=1+a ,n =f (3)=a -3.(2)由题意知,角β终边经过点A (a ,a ), 当a >0时,r =a 2+a 2=2a , 则sin β=a 2a =22,cos β=a 2a =22. 所以sin ⎝ ⎛⎭⎪⎫β+π6=sin β·cos π6+cos β·sin π6=2+64.当a <0时,r =a 2+a 2=-2a , 则sin β=a -2a=-22,cos β=a -2a=-22. 所以sin ⎝ ⎛⎭⎪⎫β+π6=sin β·cos π6+cos β·sin π6=-2+64.综上所述,sin ⎝ ⎛⎭⎪⎫β+π6=-2+64或2+64.4.在平面直角坐标系xOy 中,角α的顶点是坐标原点,始边为x 轴的正半轴,终边与单位圆O 交于点A (x 1,y 1),α∈⎝ ⎛⎭⎪⎫π4,π2.将角α终边绕原点按逆时针方向旋转π4,交单位圆于点B (x 2,y 2).(1)若x 1=35,求x 2;(2)过A ,B 作x 轴的垂线,垂足分别为C ,D ,记△AOC 及△BOD 的面积分别为S 1,S 2,且S 1=43S 2,求tan α的值.解 (1)因为x 1=35,y 1>0,所以y 1=1-x 21=45,所以sin α=45,cos α=35,所以x 2=cos ⎝ ⎛⎭⎪⎫α+π4=cos αcos π4-sin αsin π4=-210.(2)S 1=12sin αcos α=14sin2α.因为α∈⎝ ⎛⎭⎪⎫π4,π2,所以α+π4∈⎝ ⎛⎭⎪⎫π2,3π4,所以S 2=-12sin ⎝ ⎛⎭⎪⎫α+π4cos ⎝ ⎛⎭⎪⎫α+π4=-14sin ⎝ ⎛⎭⎪⎫2α+π2=-14cos2α.因为S 1=43S 2,所以sin2α=-43cos2α,即tan2α=-43,所以2tan α1-tan 2α=-43,解得tan α=2或tan α=-12.因为α∈⎝ ⎛⎭⎪⎫π4,π2,所以tan α=2.。
任意角的三角函数(一)三角函数的定义角α的终边上一点P (a ,b ),它与原点的距离r =22b a +>0,则(1)r b 叫做三角形的正弦,即sin α=r b; (2) r a 叫做三角形的余弦,即cos α=r a;(3) a b 叫做三角形的正切,即tan α=.ab1.已知角α的终边和单位圆的交点为P ,则P 的坐标为( )A .(sinα,cos α)B .(cosα,sin α)C .(sinα,tan α)D .(tanα,sin α) 2.已知角α的终边过点P,则sinα=______,cos α=_________,tanα=________3.角α的终边上有一点P (-3a ,4a ),a ∈R ,且a ≠0,则2sinα+cos α=____.4.点P是角α终边上的一点,且,则b 的值是________.5.已知角α的终边经过点P (x ,3-)(x >0).且cos α=2x,则tan α________. (二)三角函数值符号的判断.1.若45πα=,则点P (cosα,sin α)在( ) A .第一象限 B .第二象限 C .第三象限 D .第四象限2.已知0tan cos <⋅θθ,那么角θ是( )A .第一或第二象限B .第二或第三象限C .第三或第四象限D .第一或第四象限 3.函数xxx x x x y tan tan cos cos sin sin ++=的值域是 . 4.sin2·cos3·tan4的符号是( )A .小于0B .大于0C .等于0D .不确定(三)三角函数求值.(1)5cos1803sin902tan 06sin 270-+- ;(2)cos sin tan sin cos 364344ππππππ-+-+.(3)5sin902cos0cos180-++ .(4)213cos tan tan sin cos 24332ππππ-+-+π.同角三角函数基本关系式公式:1cos sin 22=+αα ; αααcos sin tan =1.若α是第四象限角,125tan -=α,则αsin 等于( ) A .51 B .51- C .135 D .135- 2.化简 160sin 12-的结果是 .3.下列三个式子:① 100cos 100sin 12=-;② ααπαsin )2tan(cos =+; ③αααααtan 2sin 1sin 1sin 1sin 1=+---+正确是有 个4.已知55sin =α,则=-αα44cos sin . 5.已知1312sin =α,且παπ-<<-23,则=αtan . 6.已知2cos sin =-αα,),0(πα∈,则=αtan .7.=---10sin 110sin 10cos 10sin 212.8.ααααsin 1cos cos 1cos 1-=+-成立的α的范围是 .9.已知53sin +-=m m θ,524cos +-=m m θ,其中πθπ<<2,则=θtan . 10.化简下列各式:(1)若α为第三象限角,化简αααα22cos 1sin 2sin 1cos -+-;(2)()ααααtan 1cos tan 11sin 22++⎪⎭⎫ ⎝⎛+11.已知]2,0[πθ∈,而θsin ,θcos 是方程012=++-k kx x 的两个实数根,求k 和θ的值.诱导公式口诀:奇变偶不变,符号看象限.将三角函数的角度全部化成απ+⋅2k 或是απ-⋅2k ,符号名该不该变就看k 是奇数还是偶数,是奇数就改变函数名,偶数就不变 1、sin1560°的值为( ) A 、21-B 、23-C 、21D 、232、若(),2,53cos παππα<≤=+则()πα2sin --的值是 ( ) A . 53 B . 53- C . 54 D . 54-3、sin34π·cos625π·tan45π的值是( )A .-43B .43C .-43D .43 4、)2cos()2sin(21++-ππ ( ) A .sin2-cos2B .cos2-sin2C .±(sin2-cos2)D .sin2+cos25、已知()21sin -=+πα,则()πα7cos 1+的值为 ( ) A .332 B . -2 C . 332- D . 332± 6、如果A 为锐角,21)sin(-=+A π,那么=-)cos(A π ( ) A 、21-B 、21C 、23-D 、23 7、若a =αtan ,则()()απαπ+--3cos 5sin = ____ ____.8、已知x x f 3cos )(cos =,则)30(sinf 的值为 。
§4.1 任意角、弧度制及任意角的三角函数一、选择题1.sin 2cos 3tan 4的值( ).A .小于0B .大于0C .等于0D .不存在 解析 ∵sin 2>0,cos 3<0,tan 4>0, ∴sin 2cos 3tan 4<0. 答案 A2.已知点P (sin 5π4,cos 3π4)落在角θ的终边上,且θ∈[0,2π),则θ是第________象限角.( )A .一B .二C .三D .四 解析:因P 点坐标为(-22,-22),∴P 在第三象限. 答案:C3.已知扇形的周长是6 cm ,面积是2 cm 2,则扇形的中心角的弧度数是( )A .1B .4C .1或4D .2或4解析 设此扇形的半径为r ,弧长是l ,则⎩⎨⎧2r +l =6,12rl =2,解得⎩⎨⎧r =1,l =4或⎩⎨⎧r =2,l =2.从而α=l r =41=4或α=l r =22=1.答案 C4.若cos α=-32,且角α的终边经过点(x,2),则P 点的横坐标x 是( ).A .2 3B .±2 3C .-2 2D .-2 3解析 由cos α=x x 2+4=-32,解得,x =-2 3.答案 D5.已知角θ的顶点与原点重合,始边与x 轴的正半轴重合,终边在直线2y x =上,则cos2θ=( )A.45-B.35-C.35D.45解析 设(,2)P a a 是角θ终边上任意一点,则由三角函数定义知:cos θ=,所以223cos 22cos 12(15θθ=-=⨯-=-,故选B. 答案 B6.已知角α的终边过点P (-8m ,-6sin 30°),且cos α=-45,则m 的值为( ).A .-12 B.12 C .-32 D.32解析 ∵r =64m 2+9,∴cos α=-8m 64m 2+9=-45,∴m >0,∴4m 264m 2+9=125,∴m =±12.∵m >0,∴m =12. 答案 B7.点P 从(1,0)出发,沿单位圆x 2+y 2=1逆时针方向运动2π3弧长到达Q 点,则Q 点的坐标为( ).A.⎝ ⎛⎭⎪⎫-12,32B.⎝ ⎛⎭⎪⎫-32,-12C.⎝ ⎛⎭⎪⎫-12,-32D.⎝ ⎛⎭⎪⎫-32,12解析 设α=∠POQ ,由三角函数定义可知,Q 点的坐标(x ,y )满足x =cos α, y =sin α,∴x =-12,y =32,∴Q 点的坐标为⎝ ⎛⎭⎪⎫-12,32.答案 A 二、填空题8.若β的终边所在直线经过点P ⎝ ⎛⎭⎪⎫cos 3π4,sin 3π4,则sin β=________, tan β=________.解析:因为β的终边所在直线经过点P ⎝ ⎛⎭⎪⎫cos 3π4,sin 3π4,所以β的终边所在直线为y =-x ,则β在第二或第四象限. 所以sin β=22或-22,tan β=-1. 答案:22或-22-1 9.已知点P (tan α,cos α)在第三象限,则角α的终边在第______象限. 解析 ∵点P (tan α,cos α)在第三象限,∴tan α<0,cos α<0. ∴角α在第二象限. 答案 二10.弧长为3π,圆心角为135的扇形的半径为 ,面积为 .解析 由扇形面积公式得:12lR =6π.答案 4;6π11.若三角形的两个内角α,β满足sin αcos β<0,则此三角形为________. 解析 ∵sin αcos β<0,且α,β是三角形的两个内角. ∴sin α>0,cos β<0,∴β为钝角.故三角形为钝角三角形. 答案 钝角三角形 12.函数y =sin x +12-cos x 的定义域是________. 解析由题意知⎩⎨⎧sin x ≥0,12-cos x ≥0,即⎩⎨⎧sin x ≥0,cos x ≤12.∴x 的取值范围为π3+2k π≤x ≤π+2k π,k ∈Z.答案 ⎣⎢⎡⎦⎥⎤π3+2k π,π+2k π(k ∈Z)三、解答题13. (1)确定tan -3cos8·tan5的符号;(2)已知α∈(0,π),且sin α+cos α=m (0<m <1),试判断式子sin α-cos α的符号.解析 (1)∵-3,5,8分别是第三、第四、第二象限角, ∴tan(-3)>0,tan5<0,cos8<0, ∴原式大于0.(2)若0<α<π2,则如图所示,在单位圆中,OM =cos α,MP =sin α,∴sin α+cos α=MP +OM >OP =1.若α=π2,则sin α+cos α=1.由已知0<m <1,故α∈⎝ ⎛⎭⎪⎫π2,π.于是有sin α-cos α>0.14.已知角θ的终边上有一点P (x ,-1)(x ≠0),且tan θ=-x ,求sin θ,cos θ.解析:∵θ的终边过点(x ,-1)(x ≠0),∴tan θ=-1x,又tan θ=-x ,∴x 2=1,∴x =±1. 当x =1时,sin θ=-22,cos θ=22; 当x =-1时,sin θ=-22,cos θ=-22. 15.如图所示,A ,B 是单位圆O 上的点,且B 在第二象限,C 是圆与x 轴正半轴的交点,A 点的坐标为⎝ ⎛⎭⎪⎫35,45,△AOB 为正三角形.(1)求sin ∠COA ; (2)求cos ∠COB .解析 (1)根据三角函数定义可知sin ∠COA =45.(2)∵△AOB 为正三角形,∴∠AOB =60°, 又sin ∠COA =45,cos ∠COA =35,∴cos ∠COB =cos(∠COA +60°) =cos ∠COA cos 60°-sin ∠COA sin 60° =35·12-45·32=3-4310. 16.角α终边上的点P 与A (a,2a )关于x 轴对称(a >0),角β终边上的点Q 与A 关于直线y =x 对称,求sin α·cos α+sin β·c os β+tan α·tan β的值.解析 由题意得,点P 的坐标为(a ,-2a ), 点Q 的坐标为(2a ,a ). 所以,sin α=-2aa 2+-2a2=-25, cos α=a a 2+-2a 2=15, tan α=-2aa=-2,sin β=a 2a 2+a 2=15,cos β=2a 2a2+a2=25, tan β=a 2a =12,故有sin α·cos α+sin β·cos β+tan α·tan β =-25×15+15×25+(-2)×12=-1.。
任意角的三角函数练习1.α 是第二象限角,其终边上一点为P (x ,5),且cos α =42x ,则sin α 的值为( ). A. 4 B . 46C. 42D.4-2.设α角属于第二象限,且2cos 2cos αα-=,则2α角属于( )A. 第一象限B. 第二象限C. 第三象限D. 第四象限3.在△ABC 中,若最大的一个角的正弦值是,则△ABC 是( )A 锐角三角形B 钝角三角形C 直角三角形D 等边三角形4. 角()02ααπ<<的正弦线与余弦线长度相等,且符号相异,则α的值为( ) A. 4π B. 34π C. 54π D. 3744ππ或5. 已知02απ<<,且1sin cos 22αα<>,根据三角函数线得α的取值范围是() A.,33ππ⎛⎫- ⎪⎝⎭ B. 0,3π⎛⎫ ⎪⎝⎭ C. 5,23ππ⎛⎫ ⎪⎝⎭ D. 50,,233πππ⎛⎫⎛⎫⋃ ⎪ ⎪⎝⎭⎝⎭6.若53,42ππθ⎛⎫∈ ⎪⎝⎭等于 ( )A. cos sin θθ-B. cos sin θθ+C. sin cos θθ-D. cos sin θθ--7.若1tan 3θ=,则2cos sin cos θθθ+的值是 ( )A. -65B. -45C. 45D. 658. 若角α的终边在直线y =-xcos α+= .9.sin1,sin1.2,sin1.5三者的大小关系是10.已知sin cos 2sin cos αααα+=-,则sin cos αα的值为11.化简求值|tan |tan cos |cos ||sin |sin θθθθθθ++.12.利用三角函数线,写出满足下列条件的角x 的集合:(1)、sin x ≥、1cos 2x ≤ (3)、11sin cos 22x x >->且13.已知1tan tan αα,是关于x 的方程2230x kx k -+-=的两个实根,且παπ273<<,求ααsin cos +的值.14.证明(1)1+2sin θcos θcos 2θ-sin 2θ =1+tan θ1-tan θ(2) tan 2θ-sin 2θ=tan 2θsin 2θ15.已知)1,2(,cos sin ≠≤=+m m m x x 且,求(1)x x 33cos sin +;(2)x x 44cos sin +的值.。
任意角的三角函数练习题一.选择题1.已知角α的终边过点P (-1,2),cos α的值为 ( )A .-55 B .- 5 C .552 D .252.α是第四象限角,则下列数值中一定是正值的是( )A .sin αB .cos αC .tan αD .cot α3.已知角α的终边过点P (4a ,-3a )(a <0),则2sin α+cos α的值是 ( )A .25B .-25C .0D .与a 的取值有关4.α是第二象限角,P (x , 5 ) 为其终边上一点,且cos α=42x ,则sin α的值为 ( )A .410 B .46 C .42D .-410 5.函数x x y cos sin -+=的定义域是 ( ) A .))12(,2(ππ+k k ,Z k ∈ B .])12(,22[πππ++k k ,Z k ∈C .])1(,2[πππ++k k , Z k ∈ D .[2k π,(2k+1)π],Z k ∈6.若θ是第三象限角,且02cos <θ,则2θ是 ()A .第一象限角B .第二象限角C .第三象限角D .第四象限角7.已知sin α=54,且α是第二象限角,那么tan α的值为 ( )A .34- B .43- C .43 D .34 8.已知点P (ααcos ,tan )在第三象限,则角α在 ( )A .第一象限B .第二象限C .第三象限D .第四象限 二.填空题1.已知sin αtan α≥0,则α的取值集合为 .2.角α的终边上有一点P (m ,5),且)0(,13cos ≠=m mα,则sin α+cos α=______.3.已知角θ的终边在直线y =33x 上,则sin θ= ;θtan = .4.设θ∈(0,2π),点P (sin θ,cos2θ)在第三象限,则角θ的范围是 . 三.解答题 1.求43π角的正弦.余弦和正切值.2.若角α的终边落在直线y x 815=上,求ααtan sec log 2-.3.(1)已知角α的终边经过点P(4,-3),求2sin α+cos α的值; (2)已知角α的终边经过点P(4a,-3a)(a ≠0),求2sin α+cos α的值;(3)已知角α终边上一点P 与x 轴的距离和与y 轴的距离之比为3∶4(且均不为零),求2sinα+cosα的值.参考答案一. 选择题ABAA BBAB 二.填空题 1.⎭⎬⎫⎩⎨⎧∈+<<+-Z k k k ,2222|ππαππα; 2.12=m 时,1317cos sin =+αα;12-=m 时,137cos sin -=+αα. 3.21sin ±=θ;33tan =θ. 4.4745πθπ<<.三.解答题1.2243sin=π;2243cos -=π;143tan -=π. 2.(1)取)15,8(1P ,则17=r ,2815817log tan sec log 22-=-=-αα; (2)取)15,8(2--P ,则17=r ,2815817log tan sec log 22=--=-αα. 3.(1)∵3,4-==y x ,∴5=r ,于是:5254532cos sin 2-=+-⋅=+αα.(2)∵a y a x 3,4-==,∴a r 5=,于是:当0>a 时,5254532cos sin 2-=+-⋅=+αα 当0<a 时,5254532cos sin 2=-+⋅=+αα (3)若角α终边过点()3,4P ,则254532cos sin 2=+⋅=+αα;若角α终边过点()3,4-P ,则5254532cos sin 2=-+⋅=+αα; 若角α终边过点()3,4--P ,则254532cos sin 2-=-+-⋅=+αα; 若角α终边过点()3,4-P ,则5254532cos sin 2-=+-⋅=+αα.。
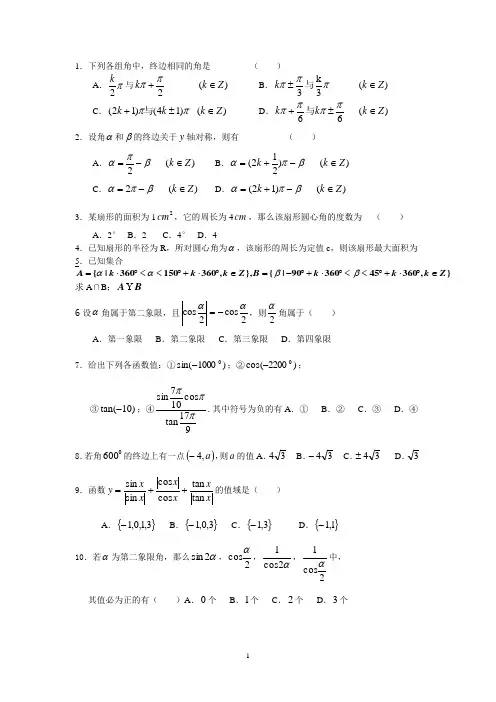
1.下列各组角中,终边相同的角是 ( )A .π2k与)(2Z k k ∈+ππ B .)(3k3Z k k ∈±πππ与C .ππ)14()12(±+k k 与 )(Z k ∈D .)(66Z k k k ∈±+ππππ与2.设角α和β的终边关于y 轴对称,则有( )A .)(2Z k ∈-=βπαB .)()212(Z k k ∈-+=βπαC .)(2Z k ∈-=βπαD .)()12(Z k k ∈-+=βπα3.某扇形的面积为12cm ,它的周长为4cm ,那么该扇形圆心角的度数为 ( )A .2°B .2C .4°D .44.已知扇形的半径为R ,所对圆心角为α,该扇形的周长为定值c ,则该扇形最大面积为 5.已知集合},3604536090|{},,360150360|{Z k k k B Z k k k A ∈︒⋅+︒<<︒⋅+︒-=∈︒⋅+︒<<︒⋅=ββαα求A ∩B ;B A Y6设α角属于第二象限,且2cos2cosαα-=,则2α角属于( ) A .第一象限 B .第二象限 C .第三象限 D .第四象限7.给出下列各函数值:①)1000sin(0-;②)2200cos(0-;③)10tan(-;④917tancos 107sinπππ.其中符号为负的有A .① B .② C .③ D .④ 8.若角0600的终边上有一点()a ,4-,则a 的值A .34 B .34- C .34± D .3 9.函数xxx x x x y tan tan cos cos sin sin ++=的值域是( ) A .{}3,1,0,1- B .{}3,0,1- C .{}3,1- D .{}1,1- 10.若α为第二象限角,那么α2sin ,2cosα,α2cos 1,2cos1α中,其值必为正的有( )A .0个 B .1个 C .2个 D .3个11.已知)1(,sin <=m m α,παπ<<2,那么=αtan ( ).A .21m m -B .21m m-- C .21mm-± D . m m 21-±12.若角α的终边落在直线0=+y x 上,则ααααcos cos 1sin 1sin 22-+-的值等于( ). A .2 B .2- C .2-或2 D .013.已知3tan =α,23παπ<<,那么ααsin cos -的值是( ). A .231+-B .231+-C .231-D .231+14 若54sin =α,且α是第二象限角,则αtan 的值为( ) 15化简4cos 4sin 21-的结果是( )A 、4cos 4sin +B 、4cos 4sin -C 、4sin 4cos -D 、4cos 4sin -- 16、在△ABC 中,若最大角的正弦值是22,则△ABC 必是( ) A 、等边三角形 B 、直角三角形 C 、钝角三角形 D 、锐角三角形 17、若θsin 、θcos 是关于x 的方程0242=++m mx x 的两个实根,则m 值为( )A 、⎪⎭⎫⎢⎣⎡-∈0,34mB 、51-=mC 、51±=mD 、51+=m 19、已知αsin 、αcos 是方程06242=++m x x 的两实根,求:(1) m 的值; (2)αα33cos sin +的值.20、若点P 在32π的终边上,且OP=2,则点P 的坐标( )A . )3,1(B .)1,3(-C .)3,1(--D .)3,1(-αααααααcos cos sin sin sin ,+-++-1111cos 19化简是第二象限角已知,21 ( )A .cos160︒B .cos160-︒C .cos160±︒D .cos160±︒ 22,计算,10cos270°+4sin0°+9tan0°+15cos360°=_____________23 定义在R 上的函数f (x )既是偶函数又是周期函数.若f (x )的最小正周期是π,且当x ∈[0,2π]时,f (x )=sin x ,求f (3π5)的值。
任意角的三角函数练习题一.选择题1.已知角α的终边过点P (-1,2),cos α的值为 ( ) A .-55 B .- 5 C .552 D .252.α是第四象限角,则下列数值中一定是正值的是 ( ) A .sin α B .cos α C .tan α D .cot α3.已知角α的终边过点P (4a ,-3a )(a <0),则2sin α+cos α的值是 ( ) A .25 B .-25 C .0 D .与a 的取值有关4.α是第二象限角,P (x , 5 ) 为其终边上一点,且cos α=42x ,则sin α的值为 ( ) A .410 B .46 C .42 D .-410 5.函数x x y cos sin -+=的定义域是()A .))12(,2(ππ+k k ,Z k ∈B .])12(,22[πππ++k k ,Z k ∈C .])1(,2[πππ++k k , Z k ∈D .[2k π,(2k+1)π],Z k ∈ 6.若θ是第三象限角,且02cos<θ,则2θ是()A .第一象限角B .第二象限角C .第三象限角D .第四象限角7.已知sin α=54,且α是第二象限角,那么tan α的值为 ()A .34- B .43- C .43D .34 8.已知点P (ααcos ,tan )在第三象限,则角α在()A .第一象限B .第二象限C .第三象限D .第四象限二.填空题1.已知sin αtan α≥0,则α的取值集合为 .2.角α的终边上有一点P (m ,5),且)0(,13cos ≠=m mα,则sin α+cos α=______. 3.已知角θ的终边在直线y =33x 上,则sin θ= ;θtan = . 4.设θ∈(0,2π),点P (sin θ,cos2θ)在第三象限,则角θ的范围是 .三.解答题1.求43π角的正弦.余弦和正切值.2.若角α的终边落在直线y x 815=上,求ααtan sec log 2-.3.(1)已知角α的终边经过点P(4,-3),求2sin α+cos α的值;(2)已知角α的终边经过点P(4a,-3a)(a ≠0),求2sin α+cos α的值;(3)已知角α终边上一点P 与x 轴的距离和与y 轴的距离之比为3∶4(且均不为零), 求2sin α+cos α的值.参考答案一. 选择题ABAA BBAB 二.填空题1.⎭⎬⎫⎩⎨⎧∈+<<+-Z k k k ,2222|ππαππα; 2.12=m 时,1317cos sin =+αα;12-=m 时,137cos sin -=+αα. 3.21sin ±=θ;33tan =θ.4.4745πθπ<<.三.解答题1.2243sin=π;2243cos -=π;143tan -=π. 2.(1)取)15,8(1P ,则17=r ,2815817log tan sec log 22-=-=-αα; (2)取)15,8(2--P ,则17=r ,2815817log tan sec log 22=--=-αα. 3.(1)∵3,4-==y x ,∴5=r ,于是:5254532cos sin 2-=+-⋅=+αα. (2)∵a y a x 3,4-==,∴a r 5=,于是:当0>a 时,5254532cos sin 2-=+-⋅=+αα 当0<a 时,5254532cos sin 2=-+⋅=+αα(3)若角α终边过点()3,4P ,则254532cos sin 2=+⋅=+αα; 若角α终边过点()3,4-P ,则5254532cos sin 2=-+⋅=+αα; 若角α终边过点()3,4--P ,则254532cos sin 2-=-+-⋅=+αα; 若角α终边过点()3,4-P ,则5254532cos sin 2-=+-⋅=+αα.。
《任意角》评测练习1下列命题:(1)始边和终边都相同的角一定相等 (2)始边相同而终边不同的角一定不相等(3)始边相同、终边相同且旋转方向也相同的两个角一定相等 (4)始边想通过、终边相同而旋转方向不相同的两个角一定不相等 其中正确的命题是 2、下列命题中,正确的是(1)第一象限的角都是锐角 (2)第二象限的角都是钝角 (3)小于90的角都是锐角 (4)锐角都是第一象限角3、在0到360范围内,找出与下列各角终边相同的角,并指出它们是第几象限角 (1)26-: (2)118524': (3)900: (4)83710'-:4、写出与下列各角终边相同的角的集合,并把集合中适合不等式360360α-≤<的元素表示出来。
(1)25- (2)83436'- (3)455 (4)05、(1)若角α的终边为第二象限的角平分线,则角α的集合是 ; (2)若角α的终边为第一、三象限的角平分线,则角α的集合是 。
6、设,αβ满足180180αβ-<<<,则αβ-的范围是:7、根据下列条件写出角α与角β之间的关系式: (1)两角,αβ的终边关于原点对称;(2)两角,αβ的终边关于x 轴对称;(3)两角,αβ的终边关于y 轴对称;(4)两角,αβ的终边关于直线y x =对称;8、自上午7点整到校至中午11点40分放学,时钟的时针和分针各转了多少度上午7点整和中午11点40分两针所成的最小正角各是多少度9、将下列落在图示部分的角(阴影部分)135 135第一章 三角函数 § 任意角和弧度制1. 任意角一、选择题1.与405°角终边相同的角是( )A .k ·360°-45°,k ∈ZB .k ·180°-45°,k ∈ZC .k ·360°+45°,k ∈ZD .k ·180°+45°,k ∈Z 2.若α=45°+k ·180° (k ∈Z ),则α的终边在( ) A .第一或第三象限 B .第二或第三象限 C .第二或第四象限 D .第三或第四象限3.设A ={θ|θ为锐角},B ={θ|θ为小于90°的角},C ={θ|θ为第一象限的角},D ={θ|θ为小于90°的正角},则下列等式中成立的是( ) A .A =B B .B =C C .A =CD .A =D4.若α是第四象限角,则180°-α是( ) A .第一象限角 B .第二象限角 C .第三象限角 D .第四象限角5.集合M =⎩⎨⎧⎭⎬⎫x |x =k ·180°2±45°,k ∈Z ,P =⎩⎨⎧⎭⎬⎫x |x =k ·180°4±90°,k ∈Z ,则M 、P 之间的关系为( ) A .M =P B .M PC .MPD .M ∩P =∅6.已知α为第三象限角,则α2所在的象限是( )A .第一或第二象限B .第二或第三象限C .第一或第三象限D .第二或第四象限二、填空题7.若角α与β的终边相同,则α-β的终边落在________. 8.经过10分钟,分针转了________度.9.如图所示,终边落在阴影部分(含边界)的角的集合是______________________________.10.若α=1 690°,角θ与α终边相同,且-360°<θ<360°,则θ=________.三、解答题11.在0°~360°范围内,找出与下列各角终边相同的角,并判定它们是第几象限角. (1)-150°;(2)650°;(3)-950°15′.12.如图所示,写出终边落在阴影部分的角的集合.能力提升13.如图所示,写出终边落在直线y=3x上的角的集合(用0°到360°间的角表示).14.设α是第二象限角,问α3是第几象限角第一章三角函数§任意角和弧度制1.任意角答案1.C 2..A 3.D 4.C 5.B6.D7.x轴的正半轴8.-609.{α|k·360°-45°≤α≤k·360°+120°,k∈Z}10.-110°或250°11.解(1)因为-150°=-360°+210°,所以在0°~360°范围内,与-150°角终边相同的角是210°角,它是第三象限角.(2)因为650°=360°+290°,所以在0°~360°范围内,与650°角终边相同的角是290°角,它是第四象限角.(3)因为-950°15′=-3×360°+129°45′,所以在0°~360°范围内,与-950°15′角终边相同的角是129°45′角,它是第二象限角.12.解设终边落在阴影部分的角为α,角α的集合由两部分组成.①{α|k·360°+30°≤α<k·360°+105°,k∈Z}.②{α|k·360°+210°≤α<k·360°+285°,k∈Z}.∴角α的集合应当是集合①与②的并集:{α|k·360°+30°≤α<k·360°+105°,k∈Z}∪{α|k·360°+210°≤α<k·360°+285°,k∈Z}={α|2k·180°+30°≤α<2k·180°+105°,k∈Z}∪{α|(2k+1)180°+30°≤α<(2k+1)180°+105°,k∈Z}={α|2k·180°+30°≤α<2k·180°+105°或(2k+1)·180°+30°≤α<(2k+1)180°+105°,k∈Z}={α|k·180°+30°≤α<k·180°+105°,k∈Z}.13.解终边落在y=3x (x≥0)上的角的集合是S1={α|α=60°+k·360°,k∈Z},终边落在y=3x (x≤0) 上的角的集合是S2={α|α=240°+k·360°,k∈Z},于是终边在y=3x上角的集合是S={α|α=60°+k·360°,k∈Z}∪{α|α=240°+k·360°,k∈Z}={α|α=60°+2k·180°,k∈Z}∪{α|α=60°+(2k+1)·180°,k∈Z}={α|α=60°+n·180°,n∈Z}.14.解当α为第二象限角时,90°+k·360°<α<180°+k·360°,k∈Z,∴30°+k 3·360°<α3<60°+k3·360°,k ∈Z .当k =3n 时,30°+n ·360°<α3<60°+n ·360°,此时α3为第一象限角;当k =3n +1时,150°+n ·360°<α3<180°+n ·360°,此时α3为第二象限角;当k =3n +2时,270°+n ·360°<α3<300°+n ·360°,此时α3为第四象限角.综上可知α3是第一、二、四象限角.任意角和弧度制练习题一选择题1、下列角中终边与330°相同的角是( )A .30°B .-30°C .630°D .-630°2、-1120°角所在象限是 ( ) A .第一象限 B .第二象限 C .第三象限 D .第四象限3、把-1485°转化为α+k ·360°(0°≤α<360°, k ∈Z )的形式是 ( ) A .45°-4×360°B .-45°-4×360°C .-45°-5×360°D .315°-5×360°4、终边在第二象限的角的集合可以表示为: ( )A .{α∣90°<α<180°}B .{α∣90°+k ·180°<α<180°+k ·180°,k ∈Z }C .{α∣-270°+k ·180°<α<-180°+k ·180°,k ∈Z }D .{α∣-270°+k ·360°<α<-180°+k ·360°,k ∈Z } 5、下列命题是真命题的是( )Α.三角形的内角必是一、二象限内的角 B .第一象限的角必是锐角 C .不相等的角终边一定不同{}Z k k ∈±⋅=,90360|αα={}Z k k ∈+⋅=,90180| αα6、已知A={第一象限角},B={锐角},C={小于90°的角},那么A 、B 、C 关系是( )A .B=A ∩CB .B ∪C=C C .A ⊂CD .A=B=C7.在“①160°②480°③-960°④-1600°”这四个角中,属于第二象限的角是( )A.①B.①②C.①②③D.①②③④8.若α是第一象限的角,则2α是( ) A.第一象限的角B.第一或第四象限的角C.第二或第三象限的角D.第二或第四象限的角9.下列结论中正确的是( )A.小于90°的角是锐角B.第二象限的角是钝角C.相等的角终边一定相同D.终边相同的角一定相等10角α的终边落在y=-x(x >0)上,则sin α的值等于( )22 B.22 C.±22D.±2111.集合A={α|α=k ·90°,k ∈N +}中各角的终边都在( )轴的正半轴上轴的正半轴上轴或y 轴上轴的正半轴或y 轴的正半轴上12.α是一个任意角,则α与-α的终边是( )A.关于坐标原点对称B.关于x 轴对称C.关于直线y=x 对称D.关于y 轴对称 13.集合X={x |x=(2n+1)·180°,n ∈Z},与集合Y={y |y=(4k ±1)·180°,k ∈Z}之间的关系是( C )C.X=Y≠Y14.设α、β满足-180°<α<β<180°,则α-β的范围是( )°<α-β<0° °<α-β<180° °<α-β<0°°<α-β<360°15.下列命题中的真命题是( )A .三角形的内角是第一象限角或第二象限角B .第一象限的角是锐角C .第二象限的角比第一象限的角大D .角α是第四象限角的充要条件是2k π-2π<α<2k π(k ∈Z )16.设k ∈Z ,下列终边相同的角是 ( )A .(2k +1)·180°与(4k ±1)·180°B .k ·90°与k ·180°+90°C .k ·180°+30°与k ·360°±30°D .k ·180°+60°与k ·60°17.已知弧度数为2的圆心角所对的弦长也是2,则这个圆心角所对的弧长是 ( )A .2B .1sin 2C .1sin 2D .2sin18.一钟表的分针长10 cm ,经过35分钟,分针的端点所转过的长为:( )A .70 cmB .670cm C .(3425-3π)cm D .3π35 cm 19.若90°<-α<180°,则180°-α与α的终边( )A .关于x 轴对称B .关于y 轴对称C .关于原点对称D .以上都不对20.设集合M ={α|α=5-2ππk ,k ∈Z },N ={α|-π<α<π},则M ∩N 等于 ( ) A .{-105ππ3,} B .{-510ππ4,7} C .{-5-105ππππ4,107,3,} D .{07,031-1ππ } 21.某扇形的面积为12cm ,它的周长为4cm ,那么该扇形圆心角的度数为 ( )A .2°B .2C .4°D .422.设集合M ={α|α=k π±6π,k ∈Z },N ={α|α=k π+(-1)k6π,k ∈Z }那么下列结论中正确的是( ) A .M =NB .M NC .N MD .M N 且N M二、填空题(每小题4分,共16分,请将答案填在横线上) 23.若角α是第三象限角,则2α角的终边在 2α角的终边在_____________ 24.与-1050°终边相同的最小正角是 . 25.已知α是第二象限角,且,4|2|≤+α则α的范围是 . 26.已知扇形的周长为20 cm ,当扇形的中心角为多大时,它有最大面积,最大面积是 27. 在半径为12 cm 的扇形中, 其弧长为5π cm, 中心角为θ. θ=__________ (用角度制表示).28. 已知一扇形在圆的半径为10cm ,扇形的周长是45cm ,那么这个扇形的圆心角为 弧度.任意角的三角函数一、选择题1.有下列命题:①终边相同的角的三角函数值相同; ②同名三角函数的值相同的角也相同;③终边不相同,它们的同名三角函数值一定不相同; ④不相等的角,同名三角函数值也不相同. 其中正确的个数是( )B.12.若角α、β的终边关于y 轴对称,则下列等式成立的是( )α=sin β α=cos βα=tan βα=cot β3.角α的终边上有一点P (a ,a ),a ∈R ,a ≠0,则sin α的值是( ) A.22 B.-22 C. 22或-224.若x x sin |sin |+|cos |cos x x +xx tan |tan |=-1,则角x 一定不是( )A.第四象限角B.第三象限角C.第二象限角D.第一象限角·cos3·tan4的值( ) A.小于0B.大于0C.等于0D.不存在6.若θ是第二象限角,则( )2θ>02θ<02θ>02θ<0 二、填空题7.若角α的终边经过P (-3,b ),且cos α=-53,则b =_________,sin α=_________. 8.在(0,2π)内满足x 2cos =-cos x 的x 的取值范围是_________. 9.已知角α的终边在直线y =-3x 上,则10sin α+3cos α=_________. 10.已知点P (tan α,cos α)在第三象限,则角α的终边在第_________象限.三、解答题11.已知角α的顶点在原点,始边为x 轴的非负半轴.若角α的终边过点P (-3,y ),且sin α=43y (y ≠0),判断角α所在的象限,并求cos α和tan α的值.1.下列说法正确的是 [ ]A .小于90°的角是锐角B .大于90°的角是钝角C .0°~90°间的角一定是锐角D .锐角一定是第一象限的角2.设A={钝角},B={小于180°的角},C={第二象限的角}, D={小于180°而大于90°的角},则 下列等式中成立的是 [ ]A .A=CB .A=BC .C=D D .A=DA .第一象限角B .第二象限角C .第一象限角或第三象限角D .第一象限角或第二象限角A .重合B .关于原点对称C .关于x 轴对称D .关于y 轴对称5.若α,β的终边互为反向延长线,则有 [ ]A .α=-βB .α=2k π+β(k ∈Z)C .α=π+βD .α=(2k+1)π+β(k ∈Z)6已知集合()()⎭⎬⎫⎩⎨⎧∈⋅-+=⋃⎭⎬⎫⎩⎨⎧∈⋅-+==⎭⎬⎫⎩⎨⎧∈±==Z k k a a Z k k a a B Z k k a a A k k ,31,31,,3ππππππ则A 、B 的关系A .A=B B B A ⊃C B A ⊂D .以上都不对7.在直角坐标系中,若角α与角β的终边关于y 轴对称,则α与β的关系一定是 [ ]A .α+β=πB .α+β=2k π(k ∈Z)C .α+β=n π(n ∈Z)D .α+β=(2k+1)π(k ∈Z)8.终边在第一、三象限角的平分线上的角可表示为 [ ]A .k ·180°+45°(k ∈Z)B .k ·180°±45°(k ∈Z)C .k ·360°+45°(k ∈Z)D .以上结论都不对9.一条弦的长等于半径,则这条弦所对的四周角的弧度为 [ ] A 1 B 2 C 6π或65π D 3π或35π 10.若1弧度的圆心角,所对的弦长等于2,这圆心角所对弧长 [ ] A 21sin B 6π C 1/21sin D 221sin答案:BDDDD BCDCA CBCAD ABDBCBC第二或第四象限;第一或第二象限或终边在y 轴的非负半轴。
任意角的三角函数练习题及参考答案一、选择题1.已知角α的终边过点P(-1,2),cosα的值为()。
A.-2555 B.-5 C.D.552答案:B.-52.α是第四象限角,则下列数值中一定是正值的是()。
A.sinα B.cosα C.tanα D.cotα答案:B.cosα3.已知角α的终边过点P(4a,-3a)(a<0),则2sinα+cosα的值是()。
A.22 B.- C.0 D.与a的取值有关答案:A.224.α是第二象限角,P(x,5)为其终边上一点,且cosα=x/2,则sinα的值为()。
A. B. C.D.-4444答案:D.-44445.函数y=sinx cosx的定义域是()。
A.(2k,(2k1)),k Z B.[2k2,(2k1)],k Z C.[k,(k1)],k Z D.[2kπ,(2k+1)π],k Z答案:B.[2k/2,(2k1)]6.若θ是第三象限角,且cosθ=1/2,则是()。
A.第一象限角 B.第二象限角 C.第三象限角 D.第四象限角答案:B.第二象限角7.已知sinα=3/4,且α是第二象限角,那么tanα的值为()。
A. B. C.334 D.344答案:A.8.已知点P(tanα,cosα)在第三象限,则角α在()。
A.第一象限 B.第二象限 C.第三象限 D.第四象限答案:D.第四象限二、填空题1.已知sinαtanα≥1/2,则α的取值集合为()。
答案:(2kπ+π/4,2kπ+3π/4),k∈Z2.角α的终边上有一点P(m,5),且cosα=m/13,则sinα+cosα=______。
答案:12/133.已知角θ的终边在直线y=3x上,则sinθ=______;tanθ=______。
答案:sinθ=3/√10,tanθ=3/√74.设θ∈(0,2π),点P(sinθ,cos2θ)在第三象限,则角θ的范围是()。
答案:(5π/6,2π)三、解答题1.求角的正弦、余弦和正切值。
随意角的三角函数一、选择题1.以下四个命题中,正确的选项是( )A.在定义域内,只有终边同样的角的三角函数值才相等B.{|= k +, k∈ Z }≠{|= - k +, k∈ Z }6 6C.若是第二象限的角,则 sin2 < 0 D .第四象限的角可表示为{| 2k +3<< 2k , k∈ Z }22.若角的终边过点 (- 3,- 2),则 ( )A . sin tan > 0B . cos tan > 0 C.sin cos > 0 D . sin cot > 0 3.角的终边上有一点P(a, a), a∈R ,且 a≠ 0,则 sin 的值是 ( )A .2 2 2D . 1 2B . - C.±2 224.α是第二象限角,其终边上一点P( x,5),且 cos α=4x,则 sin α的值为()10 6 2 10A.4 B.4 C.4 D.- 4 5. 使 lg ( cos θ·tan θ)存心义的角θ是()A.第一象限角B.第二象限角C .第一或第二象限角D.第一、二象限角或终边在y 轴上6. 设角α是第二象限角,且|cos 2 |=-cos 2 ,则角 2 是()A.第一象限角B.第二象限角C.第三象限角D.第四象限角7.已知会合E={θ|cos θ< sin θ,0≤θ≤2π},F={θ|tan θ< sin θ},那么 E∩F 是区间 ( )1 / 6二、填空题1.已知角的终边落在直线y= 3x 上,则 sin = ________.2.已知 P(- 3 ,y)为角的终边上一点,且sin =13,那么y的值等于________.133.已知锐角终边上一点P(1, 3 ),则的弧度数为________.4.( 1) sin 9tan7_________4 35.三、解答题1.已知角的终边过P(- 3 , 4),求的三角函数值2.已知角的终边经过点P(x,- 3 )(x>0).且cos=x,求sin、cos、tan的值.23.(1)已知角α 终边上一点P(3k,-4k)(k<0),求sinα,cosα,tanα的值;4.一个扇形的周长为 l ,求扇形的半径、圆心角各取何值时,此扇形的面积最大.9 . 化简或求值:三角函数的引诱公式一、选择题(本大题共12 个小题,每题 5 分,共 60 分 . 在每题给出的四个选择中,只 有一项为哪一项切合题目要求的 .) 1 、与- 463°终边同样的角可表示为( )A .k ·360°+ 436°( k ∈ Z )B .k ·360°+ 103°( k ∈ Z )C .k ·360°+ 257°( k ∈ Z )D .k ·360°- 257°( k ∈ Z ) 2、以下四个命题中可能建立的一个是( )A 、 sin1且 cos1 B 、 sin0且cos122C 、 tan1且 cos1 D 、 是第二象限时, tansiacos43、若 sin,且是第二象限角,则 tan 的值为()54 33 4C 、A 、B 、4D 、3434、若 sin cos2 ,则 tancot 等于( )A 、 1B 、 2C 、 -1D 、-21、 tan 300 sin 450 的值为( )A 、 13 B 、 13 C 、 1 3D 、1 35、若 A 、B 、 C 为△ ABC 的三个内角,则以下等式建立的是( )A 、 sin(BC ) sin AB 、 cos(BC ) cos AC 、 tan(B C ) tan AD 、 cot( BC ) cot A6、 12 sin( 2) cos(2) 等于()A . sin2- cos2B .cos2- sin2C . ±( sin2-cos2)D . sin2+cos27 、 sin α cos =α 1 , 且< α < , 则 cos α - sin α 的 值 为842( )3 3 3 3 A .B .C .D .22442 8、在△ ABC 中,若最大角的正弦值是2,则△ ABC 必是( )A 、等边三角形B 、直角三角形C 、钝角三角形D 、锐角三角形4 / 69、以下不等式中,不建立的是()A 、 sin 130 sin 140B 、 cos130 cos140C 、 tan130 tan140D 、cot 130 cot 14010、已知函数 f ( x)cos x,则以下等式建立的是()2A 、 f (2 x) f ( x)B 、C 、 f (x)f ( x)D 、 f ( 2 x) f ( x)f ( x)f ( x)11sin 、 cos 是对于 x 的方程 4x 22mx m 0的两个实根,则 m 值为( )、若A 、 m4,0B 、 m 15C 、 m 15D 、 m 15312、 已 知 f (x) a sin( x )b cos( x) 4 ( a, b, ,为非零实数),f (2011) 5则 f (2012) ( )A .1B . 3C . 5D .不可以确立二、填空题(本大题共4 个小题 ,每题5 分,共 20 分 .将答案填在题中横线上)13、化简 sin 2sin 2 sin 2 sin 2cos 2 cos 2 .14、若 sin3 cos0 ,则 cos2 sin 的值为.3sin2 cos15、 cos( 945 ).16、 tan 1tan 2 tan 3tan 89.三、解答题(本大题共6 道小题,共 70 分 .解答应写出文字说明 ,证明过程或演算步骤)17、求值 sin 2 120cos180 tan45 cos 2( 330 ) sin( 210 )sin 2 () cos( ).18、 化简:) cos 3 (tan(2 ) tan()19、已知sin( ) 1) cos 的值.,求 sin( 2) tan(220、已知sin 4和 tan 的值 .. 求cos51 sin 1 sin21、( 10 分)已知α是第三角限的角,化简sin 1 sin122、已知sin() 1,求证tan(2) tan0。
第四章 三角函数§4-1 任意角的三角函数一、选择题:1.使得函数lg(sin cos )y θθ=有意义的角在( )(A)第一,四象限 (B)第一,三象限 (C)第一、二象限 (D)第二、四象限 2.角α、β的终边关于У轴对称,(κ∈Ζ)。
则(A)α+β=2κπ (B)α-β=2κπ(C)α+β=2κπ-π (D)α-β=2κπ-π 3.设θ为第三象限的角,则必有( )(A)tan cot 22θθ(B)tan cot 22θθ (C)sin cos 22θθ(D)sin cos 22θθ4.若4sin cos 3θθ+=-,则θ只可能是( )(A)第一象限角 (B)第二象限角 (C )第三象限角 (D)第四象限角5.若tan sin 0θθ且0sin cos 1θθ+,则θ的终边在( )(A)第一象限 (B)第二象限 (C)第三象限 (D )第四象限 二、填空题:6.已知α是第二象限角且4sin 5α= 则2α是第▁▁▁▁象限角,2α是第▁▁▁象限角.7.已知锐角α终边上一点A 的坐标为(2sina3,-2cos3),则α角弧度数为▁▁▁▁。
8.设1sin ,(,)sin y x x k k Z xπ=+≠∈则Y 的取值范围是▁▁▁▁▁▁▁。
9.已知cosx-sinx<-1,则x 是第▁▁▁象限角。
三、解答题:10.已知角α的终边在直线y =上,求sin α及cot α的值。
11.已知Cos(α+β)+1=0, 求证:sin (2α+β)+sin β=0。
12.已知()()cos ,5n f n n N π+=∈,求ƒ(1)+ƒ(2)+ƒ(3)+……+ƒ(2000)的值. §4-2 同角三角函数的基本关系式及诱导公式一、选择题:1.()sin 2cos 22ππ⎛⎫--- ⎪⎝⎭化简结果是( )(A)0 (B )1- (C)2sin 2 ()2sin 2D -2.若1sin cos 5αα+=,且0απ,则tan α的值为( ) ()43A - ()34B - ()34C ()43D -或34-3. 已知1sin cos 8αα=,且42ππα,则cos sin αα-的值为( )(A ()34B ()C ()D ±4. 已知4sin 5α=,并且α是第一象限角,则tan α的值是( ) ()43A - ()34B - ()34C ()43D5.的结果是( )()0cos100A ()0cos80B ()0sin80C ()0cos10D6. 若cot ,(0)m m α=≠且cos α,则角α所在的象限是( )(A )一、二象限 (B )二、三象限 (C)一、三象限 (D )一、四象限 填空题:7.化简()()()21sin 2sin 2cos αππαα+-+--=▁▁▁▁▁▁。
1.2.1 任意角的三角函数A 级 基础巩固一、选择题1.若α是第二象限角,则点P (sin α,cos α)在( ) A .第一象限 B .第二象限 C .第三象限D .第四象限解析:因为α是第二象限角,所以cos α<0,sin α>0,所以点P 在第四象限. 答案:D2.已知α的终边经过点(-4,3),则cos α=( ) A.45B.35C .-35D .-45解析:r = (-4)2+32=5,由任意角的三角函数的定义可得cos α=-45.答案:D3.当α为第二象限角时,|sin α|sin α-cos α|cos α|的值是( )A .0B .1C .2D .-2解析:当α为第二象限角时,sin α>0,cos α<0. 所以|sin α|sin α-cos α|cos α|=sin αsin α+cos αcos α=2.答案:C4.若角α的终边过点P (2sin 30°,-2cos 30°),则sin α的值等于( ) A.12B .-12C .-32D .-33解析:因为2sin 30°=2×12=1,-2cos 30°=-2×32=-3,所以P (1,-3),所以点P 到原点的距离为12+(-3)2=2, 所以sin α=-32. 答案:C5.若点P (sin α,tan α)在第三象限,则角α是( ) A .第一象限角 B .第二象限角 C .第三象限角D .第四象限角解析:因为P (sin α,tan α)在第三象限,所以sin α<0,tan α<0,故α为第四象限角. 答案:D 二、填空题6.(2016·四川卷)sin 750°=________.解析:sin 750°=sin(30°+2×360°)=sin 30°=12.答案:127.已知角α的终边经过点(-3cos θ,4cos θ),其中θ∈⎝ ⎛⎭⎪⎫π2,π,则cos α=________.解析:因为θ∈⎝⎛⎭⎪⎫π2,π,所以cos θ<0,所以点(-3cos θ,4cos θ)到原点的距离r =5|cos θ|=-5cos θ. 所以cos α=-3cos θ-5cos θ=35.答案:358.已知θ∈⎝ ⎛⎭⎪⎫π3,π2,在单位圆中角θ的正弦线、余弦线、正切线分别是MP ,OM ,AT ,则它们从大到小的顺序为____________.解析:作图如下,因为θ∈⎝ ⎛⎭⎪⎫π3,π2,所以θ>π4,根据三角函数线的定义可知AT >MP >OM .答案:AT >MP >OM 三、解答题9.求下列各式的值:(1)sin(-1 320°)cos(1 110°)+cos(-1 020°)sin 750°; (2)cos ⎝ ⎛⎭⎪⎫-233π+tan 17π4.解:(1)原式=sin(-4×360°+120°)cos(3×360°+30°)+cos(-3×360°+60°)sin(2×360°+30°)=sin 120°cos 30°+cos 60°sin 30°=32×32+12×12=1.(2)原式=cos ⎣⎢⎡⎦⎥⎤π3+(-4)×2π+tan ⎝ ⎛⎭⎪⎫π4+2×2π=cos π3+tan π4=12+1=32. 10.设角x 的终边不在坐标轴上,求函数y =sin x |sin x |+cos x |cos x |+tan x|tan x |的值域.解:当x 为第一象限角时,sin x ,cos x ,tan x 均为正值,所以sin x |sin x |+cos x |cos x |+tan x|tan x |=3.当x 为第二象限角时,sin x 为正值,cos x ,tan x 为负值,所以sin x |sin x |+cos x|cos x |+tan x|tan x |=-1.当x 为第三象限角时,sin x ,cos x 为负值,tan x 为正值,所以sin x |sin x |+cos x|cos x |+tan x|tan x |=-1.当x 为第四象限角时,sin x ,tan x 为负值,cos x 为正值,所以sin x |sin x |+cos x|cos x |+tan x|tan x |=-1.综上,y 的值域为{-1,3}B 级 能力提升1.已知θ为锐角,则下列选项提供的各值中,可能为sin θ+cos θ的值的是( ) A.43B.35C.45D.12解析:由于θ为锐角,所以由三角函数及三角形中两边之和大于第三边可知,sin θ+cos θ>1,故选A.答案:A2.若角θ的终边经过点P (-3,m )(m ≠0),且sin θ=24m ,则cos θ的值为________. 解析:因为角θ的终边经过点P (-3,m )(m ≠0), 且sin θ=24m ,所以x =-3,y =m ,r =3+m 2, sin θ=m3+m2=24m ,所以1r =13+m2=24, 所以cos θ=-3r =-64.答案:-643.设a=sin 33°,b=cos 55°,c=tan 35°,试比较a,b,c三数的大小.解:因为a=sin33°,b=cos 55°,c=tan 35°,作出三角函数线(如图),结合图象可得c>b>a.。
第一章 三角函数1.2.1 任意角的三角函数一、选择题1.已知sin α+cos α=–15,α∈(0,π),则tan α的值为A .–43或–34B .–43C .–34D .34【答案】C【解析】∵sin α+cos α=–15,α∈(0,π),∴α为钝角,结合sin 2α+cos 2α=1,∴sin α=35,cos α=–45,则tan α=sin cos αα=–34,故选C . 2.若点5π5πsin cos 66⎛⎫ ⎪⎝⎭,在角α的终边上,则sin α的值为A .12-B .12C .3D 3 【答案】C【解析】因为点5π5πsin cos 66⎛⎫ ⎪⎝⎭,在角α的终边上,即点132⎛- ⎝⎭,在角α的终边上,则3sin α=,故选C .3.若角α的终边过点P (3,–4),则cos α等于A .35B .34-C .45-D .45【答案】A【解析】∵角α的终边过点P (3,–4),∴r =5,∴cos α=35,故选A .4.如果角θ的终边经过点(3,–4),那么sin θ的值是A .35B .35-C .45D .45-【答案】D【解析】∵角θ的终边经过点(3,–4),∴x =3,y =–4,r 22x y +,∴sin θ=y r=–45,故选D .5.若sinαtanα<0,且costanαα<0,则角α是A.第一象限B.第二象限C.第三象限D.第四象限【答案】C【解析】∵sinαtanα<0,可知α是第二或第三象限角,又costanαα<0,可知α是第三或第四象限角.∴角α是第三象限角.故选C.6.已知点P(x,3)是角θ终边上一点,且cosθ=–45,则x的值为A.5 B.–5 C.4 D.–4 【答案】D【解析】∵P(x,3)是角θ终边上一点,且cosθ=–45,∴cosθ=29x+=–45,∴x=–4.故选D.7.若点P(sinα,tanα)在第三象限,则角α是A.第一象限角B.第二象限角C.第三象限角D.第四象限角【答案】D【解析】∵点P(sinα,tanα)在第三象限,∴sinα<0,tanα<0.∴角α是第四象限角.故选D.8.如果角α的终边过点(2sin60°,–2cos60°),则sinα的值等于A.12B.–12C.–3D.–3【答案】B【解析】角α的终边过点(2sin60°,–2cos60°),即(31-,),由任意角的三角函数的定义可知:sinα=()()221 231=-+-.故选B.9.若角120°的终边上有一点(–4,a),则a的值是A.43B.43-C.43±D.310.已知4sin5α=,并且P(–1,m)是α终边上一点,那么tanα的值等于A .43-B .34-C .34D .43【答案】A 【解析】∵4sin5α=,并且P (–1,m )是α45=,∴m =43,那么tan α=1m-= –m =–43,故选A . 11.已知sin α<0,且tan α>0,则α的终边所在的象限是A .第一象限B .第二象限C .第三象限D .第四象限【答案】C【解析】∵sin α<0,∴α的终边在第三、第四象限或在y 轴负半轴上,∵tan α>0,∴α的终边在第一或第三象限,取交集可得,α的终边所在的象限是第三象限角.故选C . 12.若角α终边经过点P (sin2π2πcos 33,),则sin α=A .12BC .12-D . 【答案】C【解析】∵角α终边经过点P (sin 2π2πcos 33,),即点P ,–12),∴x ,y =–12,r =|OP |=1,则sin α=y r=y =–12,故选C .13.已知角α的终边过点12P ⎛ ⎝⎭,,则sin α=A .12B C D . 【答案】C【解析】由题意可得,x =12,y ,r =|OP |=1,∴sin α=y r,故选C .14.已知角α的终点经过点(–3,4),则–cos α=A .35B .–35C .45D .–45【答案】A【解析】∵角α的终点经过点(–3,4),∴x =–3,y =4,r =|OP |=5,则–cos α=–35x r =,故选A . 二、填空题15.若角α的终边与单位圆交于P (–35,45),则sin α=45;cos α=___________;tan α=___________.【答案】45;35-;43- 【解析】∵角α的终边与单位圆交于P (–35,45),|OP |=223455⎛⎫⎛⎫-+ ⎪ ⎪⎝⎭⎝⎭=1,∴由任意角的三角函数的定义可知:sin α=44515=,同理可得cos α=35-;tan α=445335=--;故答案为:45;35-;43-.16.已知23cos 4a x a-=-,x 是第二、三象限角,则a 的取值范围是__________.17.已知角α的终边经过点P (–2,4),则sin α–cos α的值等于__________.35【解析】∵角α的终边经过点P (–2,4),∴x =–2,y =4,r =|OP 5,∴sin α=25y r =,cos α=xr= 5,则sin α–cos α3535. 18.适合条件|sin α|=–sin α的角α是__________.【答案】[2k π–π,2k π],k ∈Z【解析】∵|sin α|=–sin α,∴–sin α≥0,∴sin α≤0,由正弦曲线可以得到α∈[2k π–π,2k π],k ∈Z ,故答案为:[2k π–π,2k π],k ∈Z .19.若角α的终边经过点(–1,–2),则tan α=___________.【答案】2【解析】∵角α的终边经过点(–1,–2),∴由三角函数定义得tan α=21--=2.故答案为:2. 20.已知角θ的终边经过点P (x ,2),且1cos 3θ=,则x =___________.2 【解析】∵角θ的终边经过点P (x ,2),且21cos 34x θ==+,解得x 22.21.若sinθ<0,cosθ>0,则θ在第___________象限.【答案】四【解析】由sinθ<0,可知θ为第三、第四象限角或终边在y轴负半轴上的角.由cosθ<0,可知θ为第一、第四象限角或终边在x轴正半轴上的角.取交集可得,θ在第四象限.故答案为:四.三、解答题22.已知点P(3m,–2m)(m<0)在角α的终边上,求sinα,cosα,tanα.【解析】因为点P(3m,–2m)(m<0)在角α的终边上,所以x=3m,y=–2m,r=–13m,sinα=21313yr==,cosα=31313xr=-=-,tanα=32yx=-.23.确定下列各式的符号:(1)sin 103°·cos 220°;(2)cos 6°·tan 6.24.已知角α的终边在直线y=2x上,分别求出sinα,cosα及tanα的值.【解析】当角α的终边在第一象限时,在角α的终边上任意取一点P(1,2),则x=1,y=2,r=|OP5,∴sinα=255yr==cosα=55xr=,tanα=yx=2;当角α的终边在第三象限时,在角α的终边上任意取一点P(–1,–2),则x=–1,y=–2,r=|OP|=5,∴sinα=yr=5=25,cosα=xr=5=5,tanα=yx=2.25.已知角α的终边上一点P (m )(m ≠0),且sin α=4,求cos α,tan α的值.【解析】设P (x ,y ).由题设知x=y=m ,所以r 2=|OP|2=(2+m 2(O 为原点),,所以sin α=mr =4,所以=,3+m 2=8,解得当r=,x=所以cos =,tan当m=r=,x=y=所以cos =,tan26.已知角α终边上一点P (m ,1),cos α=–13.(1)求实数m 的值; (2)求tan α的值.【解析】(1)角α终边上一点P (m ,1),∴x =m ,y =1,r =|OP∴cos α=–13,解得m =.(2)由(1)可知tan α=1m。
任意角的三角函数练习题及答案详解任意角的三角函数一、选择题1.以下四个命题中,正确的是()A.在定义域内,只有终边相同的角的三角函数值才相等B.{α|α=kπ,k∈Z}≠{β|β=-kπ,k∈Z}C.若α是第二象限的角,则sin2α<0D.第四象限的角可表示为{α|2kπ+π<α<2kπ,k∈Z}2.若角α的终边过点(-3,-2),则()A.sinαtanα>0B.cosαtanα>0C.sinαcosα>0D.sinαcotα>03.角α的终边上有一点P(a,a),a∈R,且a≠0,则sinα的值是()A.√2/2B.-√2/2C.±√2/2D.1/24.α是第二象限角,其终边上一点P(x,5),且cosα=4x,则sinα的值为()sinα=√(1-cos^2α)=√(1-(16x^2/25))=√((9-16x^2)/25)5.使XXX(cosθ·tanθ)有意义的角θ是()A.第一象限角B.第二象限角C.第一或第二象限角D.第一、二象限角或终边在y轴上6.设角α是第二象限角,且|cos2α|=-cos2α,则角2α是()cos2α<0,所以2α是第二或第三象限角,又|cos2α|=-cos2α,所以cos2α=0,即2α=π/2+kπ,k∈Z,所以2α是第二象限角。
7.点P是角α终边上的一点,且tanα=5/12,则b的值是()tanα=y/x=5/12,所以y=5x/12,又a^2+b^2=x^2+y^2,代入得a^2+b^2=x^2+(25/144)x^2,所以b=√(119/144)x。
8.在△ABC中,若最大的一个角的正弦值是1/2,则△ABC是()最大角的正弦值为1/2,所以最大角为π/6,所以△ABC 是等边三角形。
9.若α是第四象限角,则sin(α+π)是()sin(α+π)=sinαcosπ+cosαsinπ=-sinα10.已知sinα=4/5,且α为第二象限角,那么tanα的值等于()cosα=√(1-sin^2α)=3/5,所以tanα=sinα/cosα=4/3.二、填空题12.已知角α的终边落在直线y=3x上,则sinα=3/√10.因为直线y=3x的斜率为3,所以α的终边与x轴夹角为arctan3,所以sinα=sin(arctan3)=3/√10.13.已知P(-3,y)为角α的终边上一点,且sinα=13/√218,那么y的值等于-9/√218.因为sinα=y/√(x^2+y^2)=13/√218,且终边过点(-3,y),所以x=-3,代入得y=-9/√218.14.已知锐角α终边上一点P(1,3),则α的弧度数为arctan(3/1)。
任意角的三角函数练习题任意角的三角函数练习题三角函数是数学中的重要概念,它们在几何、物理和工程等领域中都有广泛的应用。
对于任意角的三角函数,我们需要熟练地掌握其定义、性质和计算方法。
本文将通过一些练习题来帮助读者巩固对任意角三角函数的理解和应用。
练习题一:求解三角函数值1. 求解sin(π/4)的值。
解析:根据三角函数的定义,sin(π/4)等于直角三角形中斜边与直角边的比值。
而在一个45度的直角三角形中,斜边与直角边的比值为√2/2。
因此,sin(π/4)的值为√2/2。
2. 求解cos(π/3)的值。
解析:根据三角函数的定义,cos(π/3)等于直角三角形中邻边与斜边的比值。
在一个60度的直角三角形中,邻边与斜边的比值为1/2。
因此,cos(π/3)的值为1/2。
3. 求解tan(π/6)的值。
解析:根据三角函数的定义,tan(π/6)等于直角三角形中对边与邻边的比值。
在一个30度的直角三角形中,对边与邻边的比值为1/√3。
因此,tan(π/6)的值为1/√3。
练习题二:求解三角函数的周期性1. 求解sin(π/6)的周期。
解析:根据三角函数的周期性,sin(x)的周期为2π。
因此,sin(π/6)的周期为2π。
2. 求解cos(π/4)的周期。
解析:根据三角函数的周期性,cos(x)的周期为2π。
因此,cos(π/4)的周期为2π。
3. 求解tan(π/3)的周期。
解析:根据三角函数的周期性,tan(x)的周期为π。
因此,tan(π/3)的周期为π。
练习题三:求解三角函数的正负性1. 求解sin(3π/4)的正负性。
解析:根据三角函数的定义,sin(x)在第二象限和第三象限为正值,而在其他象限为负值。
因此,sin(3π/4)为正值。
2. 求解cos(5π/6)的正负性。
解析:根据三角函数的定义,cos(x)在第四象限为正值,而在其他象限为负值。
因此,cos(5π/6)为负值。
3. 求解tan(7π/4)的正负性。
1-2-1任意角的三角函数
1.以下四个命题中,正确的是(
)
A .在定义域内,只有终边相同的角的三角函数值才相等
B .{|=k +6
π,k ∈Z }≠{|=-k +6
π,k ∈Z }
C .若是第二象限的角,则sin2<0
D .第四象限的角可表示为{|2k +2
3
<<2k ,k ∈Z }
2.若角的终边过点(-3,-2),则( )
A .sin tan >0
B .cos tan >0
C .sin
cos >0
D .sin
cot >0
3.角的终边上有一点P (a ,a ),a ∈R ,且a ≠0,则sin 的值是( ) A .
2
2
B .-
2
2 C .±
2
2 D .1
4.α是第二象限角,其终边上一点(),5P x ,且2
cos 4
x α=
,则sin α的值为( ) A .
B .
C .
D .-
5.使lg (cos θ·tan θ)有意义的角θ是( )
A .第一象限角
B .第二象限角
C .第一或第二象限角
D .第一、二象限角或终边在y 轴上
6.设角α是第二象限角,且cos
cos
2
2
α
α
=- ,则角2
α 是( )
A .第一象限角
B .第二象限角
C .第三象限角
D .第四象限角
7.若α是第四象限角,则
2
α
是( )
A.第二象限角
B.第三象限角
C.第一或第三象限角
D.第二或第四象限角
8.若α 为第二象限角,则下列各式恒小于0的是( )
A.sin cos αα+
B.tan sin αα+
C cos tan αα-
D sin tan αα-
9.已知角的终边落在直线y =3x 上,则sin =________.
10.已知P (-3,y )为角的终边上一点,且sin =
13
13,那么y 的值等于________.
11.已知锐角终边上一点P (1,3),则的弧度数为________.
49π3
7π
=_________ 13.333sin
,cos ,
888
πππ
的大小关系是________________________ 14..写出下列函数的定义域: (1)2cos 1y x =-
__________________ (2)()2lg 34sin y x =-
_____________________
1-2-2同角三角函数的基本关系
1.已知cos α=2
3
,则sin 2α等于( )
B .±59 D .±5
3
2.已知α是第四象限角,tan α=-5
12
,则sin α=( )
B .-1
5
D .-513
3.已知tan α>0,且sin α+cos α<0,则( )
A .cos α>0
B .cos α<0
C .cos α=0
D .cos α符号不确定
4.若非零实数m ,n 满足tan α-sin α=m ,tan α+sin α=n ,则cos α等于( )
5.化简(1sin α+1
tan α
)(1-cos α)的结果是( )
A .sin α
B .cos α
C .1+sin α
D .1+cos α
的值是( )
A .sin α+cos α
B .sin α-cos α
C .cos α-sin α
D .|sin α+
cos α|
7.如果tan θ=2,那么sin 2θ+cos 2θ
sin θcos θ
的值是( )
8.若sin θ+cos θsin θ-cos θ
=2,则sin θ·cos θ=( )
A .-310 C .±3
10
9.已知sin αcos α=18,且π4<α<π
2
,则cos α-sin α的值为( )
B .-3
2
D .-34
10.若cos α+2sin α=-5,则tan α=( )
B .2
C .-1
2
D .-2
11.已知α是第三象限角,sin α=-12
13,则cos α=________.
12.已知tan α=2,则sin 2α-sin αcos α=________. 13.已知sin θ-cos θ=1
2,则sin 3θ-cos 3θ=________.
14.已知tan α=cos α,那么sin α=________. 15.已知cos α=-35,且tan α>0,求tan αcos 3α
1-sin α
的值.
16.求证:sin α(1+tan α)+cos α(1+1tan α)=1sin α+1
cos α
.
17.已知-π2<x <π2,sin x +cos x =1
5,求tan x 的值.
18.已知2cos 2
α+3cos αsin α-3sin 2
α=1,求(1)tan α;(2)2sin α-3cos α
4sin α-9cos α
.。