保险精算试卷五
- 格式:doc
- 大小:201.50 KB
- 文档页数:4
选择题:在保险精算中,确定保费时需要考虑的主要因素不包括:A. 被保险人的年龄B. 被保险人的性别C. 被保险人的职业D. 被保险人的婚姻状况(正确答案)下列哪项不是精算师在保险公司中的主要职责?A. 产品设计与定价(正确答案)B. 市场营销策略制定C. 准备金评估D. 风险管理在进行寿险精算时,下列哪个公式用于计算纯保费?A. 纯保费= 保险金额× 发生率B. 纯保费= 保险金额/ 发生率C. 纯保费= 保险金额× (1 -发生率)D. 纯保费= 保险金额+ 发生率(正确答案)下列哪项不是影响保险公司偿付能力的主要因素?A. 资本金数额B. 准备金数额C. 保险业务规模D. 公司员工数量(正确答案)在进行非寿险精算时,下列哪个概念用于描述单位时间内发生赔案的频率?A. 赔案发生率(正确答案)B. 平均赔款额C. 纯保费D. 附加保费下列哪项不是精算师在进行财务分析时常用的工具?A. 财务报表B. 敏感性分析C. 场景分析D. 市场调研问卷(正确答案)在进行保险产品设计时,精算师需要考虑的法律法规不包括:A. 《保险法》B. 《公司法》C. 《税收法》D. 《消费者权益保护法》(正确答案)下列哪项不是精算师在风险管理中的主要任务?A. 识别风险B. 量化风险C. 控制风险D. 承担风险(正确答案)在进行保险产品定价时,下列哪个因素通常不会被考虑?A. 预期赔付成本B. 运营成本C. 预期利润D. 市场竞争对手的股价(正确答案)。
保险精算与风险评估考试试卷(答案见尾页)一、选择题1. 保险精算师的主要职责是什么?A. 设计保险产品B. 预测未来风险C. 管理保险公司的财务D. 提供客户咨询服务2. 保险精算师在评估风险时通常会使用哪种统计方法?A. 概率论B. 统计推断C. 决策树分析D. 贝叶斯分析3. 在保险合同中,保险费率的计算基于哪些因素?A. 保险标的的价值B. 受益人的年龄C. 概率模型D. 保险公司的经营情况4. 保险精算师在预测未来赔付时需要考虑哪些变量?A. 生存率B. 死亡率C. 财务比率D. 市场利率5. 什么是保险精算的不确定性原理?A. 无法预测的未来事件B. 无法量化的风险C. 无法精确计算的保险责任D. 无法控制的赔付波动6. 在构建寿险模型时,保险精算师需要考虑哪些关键假设?A. 死亡率B. 被保险人行为C. 退保率D. 利率变化7. 保险精算师在评估投资风险时,通常会使用哪两种方法?A. 概率模型B. 敏感性分析C. 蒙特卡洛模拟D. 回归分析8. 保险精算师在制定保险产品定价策略时,需要平衡哪些因素?A. 保费收入B. 保险责任C. 理赔成本D. 资本充足性9. 什么是保险精算中的再保险?A. 保险公司之间的风险转移B. 保险产品的销售策略C. 保险资金的运用D. 保险监管机构的监管措施10. 保险精算师在面对不确定性的情况下,如何做出合理的判断?A. 依赖经验数据和历史规律B. 进行彻底的风险评估C. 保持谨慎和保守的态度D. 寻求专业的指导意见11. 保险精算师在评估寿险风险时,通常会使用哪项统计量?A. 标准差B. 偏度C. 效用函数D. 贝塔系数12. 保险合同的犹豫期通常是多少天?A. 7天B. 10天C. 30天D. 60天13. 在保险定价中,预期损失率是指:A. 保险费用与保险金额的比率B. 保险公司的净利润占保险费用的比率C. 保险事故发生时,保险公司的赔付金额占保险金额的比率D. 保险费用与保险保额的比率14. 保险公司在销售保险产品时,通常会使用哪种定价策略?A. 成本加成定价B. 市场定价C. 需求导向定价D. 竞争导向定价15. 保险精算师在预测未来赔付时,会使用哪些模型?A. 概率模型B. 统计模型C. 情景分析D. 时间序列分析16. 在保险合同中,保险费是根据什么因素确定的?A. 被保险人的年龄B. 被保险人的健康状况C. 被保险人的职业D. 被保险人的居住地17. 保险精算师在评估投资风险时,通常会关注哪些指标?A. 资产负债率B. 利润率C. 信用评级D. 风险敏感性18. 保险公司在设计保险产品时,需要考虑到许多因素,其中最重要的是什么?A. 保险产品的价格B. 保险产品的覆盖范围C. 保险产品的条款复杂性D. 保险产品的销售渠道19. 保险精算师在分析保险公司的财务状况时,通常会关注以下几个财务比率?A. 资产负债率B. 利润率C. 资本充足率D. 流动性比率20. 保险公司在面临巨灾风险时,通常会采取哪种风险管理策略?A. 提高保险费率B. 增加保险责任C. 通过再保险分散风险D. 提高保险公司的资本金21. 保险精算师的主要职责是:A. 设计保险产品B. 评估个人信用风险C. 分析市场趋势D. 管理保险公司的财务风险22. 保险精算中的“精算师”一词源自于哪种动物?A. 蝴蝶B. 蜘蛛C. 鳄鱼D. 狐狸23. 在保险合同中,以下哪个因素通常不是影响保费的唯一因素?A. 被保险人的年龄B. 被保险人的健康状况C. 被保险人的职业D. 汽车的品牌和型号24. 保险公司在定价保险产品时,会考虑以下哪个因素?A. 死亡率B. 生存率C. 疾病发生率D. 所有选项都正确25. 保险精算师在评估投资风险时,会使用哪种统计方法?A. 概率论B. 回归分析C. 时间序列分析D. 经济计量学26. 在保险行业中,以下哪个术语指的是对未来损失的预测?A. 风险评估B. 损失分布C. 风险模型D. 风险分散27. 保险精算师在制定保险费率时,需要考虑以下哪个因素?A. 保险公司的盈利能力B. 被保险人的财务状况C. 宏观经济状况D. 所有选项都正确28. 保险精算师在评估新保险产品时,需要进行哪种类型的分析?A. 财务分析B. 市场分析C. 数学建模D. 统计分析29. 保险精算师在计算保险费时,需要使用以下哪种数学工具?A. 指数函数B. 对数函数C. 微积分D. 线性代数30. 保险精算师在比较不同保险产品时,主要关注以下哪个方面?A. 价格B. 保障范围C. 理论上可保性D. 所有选项都正确31. 保险精算师在评估保险风险时,主要关注哪些因素?A. 人口统计特征B. 地理因素C. 社会经济因素D. 技术进步32. 保险精算的基本原理是基于概率论和统计学,对未来可能发生的事件进行预测和量化。
习题第一章人寿保险一、n 年定期寿险【例4.1】设有100个40岁的人投保了1000元5年期定期寿险,死亡赔付在死亡年年末,利率为3%。
I 、如果各年预计死亡人数分别为1、2、3、4、5人,计算赔付支出; II 、根据93男女混合表,计算赔付支出。
解:I表4–1 死亡赔付现值计算表根据上表可知100张保单未来赔付支出现值为:48.13468)03.1503.1403.1303.1203.11(100054321=⨯+⨯+⨯+⨯+⨯⨯-----(元)则每张保单未来赔付的精算现值为134.68元,同时也是投保人应缴的趸缴纯保费。
解:II表4–2 死亡赔付现值计算表根据上表可知100张保单未来赔付支出现值为:86.9124)03.103.103.103.103.1(1000540|4440|3340|2240|11402=⨯+⨯+⨯+⨯+⨯⨯-----q q q q q (元)则每张保单未来赔付的精算现值为91.25元,同时也是投保人应缴的趸缴纯保费。
【例4.2】某人在40岁时投保了10000元3年期定期寿险,死亡赔付在死亡年年末,利率为5%。
根据93男女混合表计算:I 、单位趸缴纯保费;II 、单位赔付现值期望的方差;III 、(总)趸缴纯保费; 解:I 、单位趸缴纯保费为,)()(424023414024040|2340|1240240|11|3:40q p v q p v vq q v q v vq q v Ak k k ++=++=⨯=∑=+]05.1001993.0)001812.01()00165.01(05.1001812.0)00165.01(05.100165.0[32⨯-⨯-+⨯-+=00492793.0=(元)。
II 、单位赔付现值期望的方差为,00444265.0)()()()(21|3:4040|2640|1440221|3:40240|)1(221|3:401|3:402=-++=-⨯=-∑=+A q v q v q v A q v AAk k k III 、趸缴纯保费为,28.49100001|3:40=⨯A (元) 【例4.3】某人在50岁时投保了100000元30年期定期寿险,利率为8%。
保险精算考试试题保险精算考试试题保险精算是保险行业中非常重要的一个领域,它涉及到风险评估、保费定价、赔付准备金计算等方面。
保险精算师需要具备扎实的数学、统计和金融知识,能够运用这些知识来解决保险领域中的各种问题。
保险精算考试试题是评估考生对保险精算知识的掌握程度的一种方式。
下面我将以一些典型的保险精算考试试题为例,来介绍一下保险精算的相关知识。
第一题:某公司的汽车保险业务中,每辆车在一年内发生事故的概率为0.05,每辆车发生事故的损失服从均值为1000美元,标准差为500美元的正态分布。
求该公司每辆车的平均赔付金额。
解析:根据题目中给出的信息,每辆车发生事故的损失服从均值为1000美元,标准差为500美元的正态分布。
我们可以使用正态分布的性质来计算平均赔付金额。
根据正态分布的性质,平均赔付金额等于均值加上标准差乘以一个常数。
在这个例子中,均值为1000美元,标准差为500美元,常数为正态分布的一个参数。
根据正态分布的性质,常数为68%的概率对应的标准差的倍数。
因此,我们可以得到平均赔付金额为1000美元加上500美元乘以一个常数。
根据正态分布的性质,68%的概率对应的标准差的倍数为1,所以我们可以得到平均赔付金额为1000美元加上500美元乘以1,即1500美元。
第二题:某公司的寿险业务中,每个被保险人在一年内死亡的概率为0.01,每个被保险人死亡时的赔付金额为100000美元。
求该公司每个被保险人的平均赔付金额。
解析:根据题目中给出的信息,每个被保险人在一年内死亡的概率为0.01,每个被保险人死亡时的赔付金额为100000美元。
我们可以使用概率的性质来计算平均赔付金额。
平均赔付金额等于每个事件发生的概率乘以赔付金额。
在这个例子中,每个被保险人在一年内死亡的概率为0.01,每个被保险人死亡时的赔付金额为100000美元。
因此,我们可以得到平均赔付金额为0.01乘以100000美元,即1000美元。
1题1. 保险合同的基本原则不包括以下哪一项?A. 诚实信用原则B. 最大诚信原则C. 公平交易原则D. 风险共担原则2. 以下哪项不是保险精算师的主要职责?A. 风险评估B. 产品定价C. 投资管理D. 准备金计算3. 在保险合同中,“不可抗力”通常指的是什么?A. 自然灾害B. 政治事件C. 社会动乱D. 以上都是4. 保险公司的偿付能力主要通过什么来衡量?A. 资本充足率B. 资产负债率C. 净利润率D. 市场份额5. 以下哪项是寿险公司的主要产品?A. 健康保险B. 财产保险C. 责任保险D. 意外伤害保险6. 保险精算中,常用的风险模型不包括以下哪一项?A. 泊松分布B. 正态分布C. 指数分布D. 均匀分布7. 在保险理赔过程中,以下哪项是最关键的步骤?A. 报案B. 调查C. 定损D. 赔付8. 保险公司的再保险主要目的是什么?A. 分散风险B. 增加利润C. 扩大市场份额D. 提高客户满意度9. 以下哪项不是保险公司的主要收入来源?A. 保费收入B. 投资收益C. 政府补贴D. 手续费收入10. 在保险精算中,“准备金”主要用于什么?A. 支付未来的理赔B. 投资新项目C. 偿还债务D. 发放员工奖金11. 保险合同中的“除外责任”指的是什么?A. 保险公司不承担的责任B. 保险公司承担的全部责任C. 被保险人的义务D. 保险公司的权利12. 以下哪项是财产保险的主要特点?A. 长期性B. 短期性C. 固定性D. 变动性13. 在保险精算中,“死亡率表”主要用于什么?A. 计算保费B. 评估投资风险C. 预测市场趋势D. 管理人力资源14. 保险公司的“资本金”主要用于什么?A. 支付理赔B. 投资运营C. 偿还债务D. 发放股息15. 以下哪项是健康保险的主要保障内容?A. 医疗费用B. 财产损失C. 法律责任D. 意外伤害16. 在保险合同中,“保险金额”指的是什么?A. 保险公司承担的最高赔偿额B. 被保险人支付的保费C. 保险合同的总价值D. 保险公司的资产总额17. 以下哪项是保险公司的主要风险?A. 市场风险B. 信用风险C. 操作风险D. 以上都是18. 在保险精算中,“费率”主要用于什么?A. 计算保费B. 评估风险C. 管理资产D. 制定政策19. 保险合同中的“保险期限”指的是什么?A. 保险合同的有效期B. 保险公司的经营期限C. 被保险人的生命周期D. 保险产品的销售期限20. 以下哪项是责任保险的主要保障内容?A. 第三方损失B. 个人健康C. 财产损失D. 意外伤害21. 在保险精算中,“索赔率”主要用于什么?A. 计算保费B. 评估风险C. 管理资产D. 制定政策22. 保险合同中的“保险标的”指的是什么?A. 被保险的对象B. 保险公司的资产C. 保险合同的条款D. 保险市场的需求23. 以下哪项是意外伤害保险的主要保障内容?A. 医疗费用B. 财产损失C. 法律责任D. 意外伤害24. 在保险精算中,“生存率”主要用于什么?A. 计算保费B. 评估风险C. 管理资产D. 制定政策25. 保险合同中的“保险费”指的是什么?A. 被保险人支付的费用B. 保险公司的收入C. 保险合同的总价值D. 保险公司的资产总额26. 以下哪项是寿险公司的主要风险?A. 长寿风险B. 短期风险C. 市场风险D. 信用风险27. 在保险精算中,“赔付率”主要用于什么?A. 计算保费B. 评估风险C. 管理资产D. 制定政策28. 保险合同中的“保险责任”指的是什么?A. 保险公司承担的责任B. 被保险人的义务C. 保险公司的权利D. 保险合同的条款29. 以下哪项是财产保险的主要风险?A. 自然灾害B. 市场波动C. 信用风险D. 操作风险30. 在保险精算中,“风险溢价”主要用于什么?A. 计算保费B. 评估风险C. 管理资产D. 制定政策31. 保险合同中的“保险利益”指的是什么?A. 被保险人获得的利益B. 保险公司的收入C. 保险合同的总价值D. 保险公司的资产总额32. 以下哪项是健康保险的主要风险?A. 疾病风险B. 市场风险C. 信用风险D. 操作风险33. 在保险精算中,“风险分散”主要用于什么?A. 计算保费B. 评估风险C. 管理资产D. 制定政策34. 保险合同中的“保险事故”指的是什么?A. 发生的风险事件B. 保险公司的经营事件C. 被保险人的生活事件D. 保险市场的变化事件35. 以下哪项是责任保险的主要风险?A. 第三方损失B. 市场波动C. 信用风险D. 操作风险36. 在保险精算中,“风险评估”主要用于什么?A. 计算保费B. 评估风险C. 管理资产D. 制定政策37. 保险合同中的“保险条款”指的是什么?A. 保险合同的具体内容B. 保险公司的经营条款C. 被保险人的义务条款D. 保险市场的规则条款38. 以下哪项是意外伤害保险的主要风险?A. 意外事故B. 市场波动C. 信用风险D. 操作风险39. 在保险精算中,“风险管理”主要用于什么?A. 计算保费B. 评估风险C. 管理资产D. 制定政策40. 保险合同中的“保险代理人”指的是什么?A. 代表保险公司销售保险产品的人B. 代表被保险人购买保险产品的人C. 代表政府监管保险市场的人D. 代表投资者投资保险产品的人41. 以下哪项是寿险公司的主要产品?A. 定期寿险B. 财产保险C. 责任保险D. 意外伤害保险42. 在保险精算中,“风险模型”主要用于什么?A. 计算保费B. 评估风险C. 管理资产D. 制定政策43. 保险合同中的“保险经纪人”指的是什么?A. 代表保险公司销售保险产品的人B. 代表被保险人购买保险产品的人C. 代表政府监管保险市场的人D. 代表投资者投资保险产品的人44. 以下哪项是财产保险的主要产品?A. 家庭财产保险B. 寿险C. 健康保险D. 责任保险45. 在保险精算中,“风险控制”主要用于什么?A. 计算保费B. 评估风险C. 管理资产D. 制定政策46. 保险合同中的“保险市场”指的是什么?A. 保险产品的交易市场B. 保险公司的经营市场C. 被保险人的生活市场D. 保险监管的市场47. 以下哪项是健康保险的主要产品?A. 重大疾病保险B. 财产保险C. 责任保险D. 意外伤害保险48. 在保险精算中,“风险转移”主要用于什么?A. 计算保费B. 评估风险C. 管理资产D. 制定政策49. 保险合同中的“保险监管”指的是什么?A. 政府对保险市场的监管B. 保险公司对被保险人的监管C. 被保险人对保险公司的监管D. 保险市场对保险产品的监管50. 以下哪项是责任保险的主要产品?A. 职业责任保险B. 寿险C. 健康保险D. 财产保险51. 在保险精算中,“风险分析”主要用于什么?A. 计算保费B. 评估风险C. 管理资产D. 制定政策52. 保险合同中的“保险产品”指的是什么?A. 保险公司提供的保障服务B. 被保险人购买的服务C. 政府监管的服务D. 投资者投资的服务53. 以下哪项是意外伤害保险的主要产品?A. 个人意外伤害保险B. 寿险C. 健康保险D. 财产保险54. 在保险精算中,“风险预测”主要用于什么?A. 计算保费B. 评估风险C. 管理资产D. 制定政策55. 保险合同中的“保险需求”指的是什么?A. 被保险人对保险产品的需求B. 保险公司对市场的需求C. 政府对监管的需求D. 投资者对投资的需求56. 以下哪项是寿险公司的主要风险管理工具?A. 再保险B. 投资C. 市场营销D. 客户服务57. 在保险精算中,“风险调整”主要用于什么?A. 计算保费B. 评估风险C. 管理资产D. 制定政策58. 保险合同中的“保险政策”指的是什么?A. 保险公司制定的规则B. 被保险人遵守的规则C. 政府监管的规则D. 投资者投资的规则59. 以下哪项是财产保险的主要风险管理工具?A. 风险分散B. 投资C. 市场营销D. 客户服务60. 在保险精算中,“风险识别”主要用于什么?A. 计算保费B. 评估风险C. 管理资产D. 制定政策61. 保险合同中的“保险计划”指的是什么?A. 保险公司提供的具体保障方案B. 被保险人购买的具体保障方案C. 政府监管的具体保障方案D. 投资者投资的具体保障方案答案1. D2. C3. D4. A5. A6. D7. D8. A9. C10. A11. A12. B13. A14. B15. A16. A17. D18. A19. A20. A21. B22. A23. D24. A25. A26. A27. B28. A29. A30. A31. A32. A33. B34. A35. A36. B37. A38. A39. B40. A41. A42. B43. B44. A45. B46. A47. A48. B49. A50. A51. B52. A53. A54. B55. A56. A57. B58. A59. A60. B61. A。
保险精算试题与答案[注意:本文按照试题格式进行回答]试题一:保险精算的定义和作用是什么?保险精算是指运用数学、统计学和金融学等方法,对保险业务进行量化分析和评估的过程。
其作用主要体现在以下几个方面:1. 风险评估:通过对历史数据和概率模型的分析,保险精算师可以评估保险产品的风险水平,确定保费率和赔付准备金水平,为保险公司提供决策依据。
2. 产品开发与定价:保险精算师可以根据市场需求和风险情况,设计和开发新的保险产品,并确定合理的保费定价策略,以提高保险公司的竞争力和盈利能力。
3. 保险风险管理:保险精算师可以利用精算模型和方法,对保险风险进行全面的管理和控制,降低保险公司的不确定性和风险敞口。
4. 偿付能力评估:通过运用精算方法,保险精算师可以对保险公司的偿付能力进行评估和监测,保证公司能够按时履行合同中对被保险人的赔偿责任。
5. 盈余分配决策:精算师根据保险公司的盈利能力和风险状况,制定合理的盈余分配策略,确保公司的可持续经营和股东利益最大化。
试题二:简述保险精算的核心内容和方法保险精算的核心内容主要包括风险评估、损失模型、资本管理和盈余分配等方面。
1. 风险评估:通过风险测度和量化方法,评估保险产品的风险水平,并制定相应的风险管理策略,保证公司的偿付能力。
2. 损失模型:利用数理统计的方法,分析历史数据和风险模型,构建损失模型,预测未来潜在的赔偿风险,并根据模型结果进行资本分配和准备金计提。
3. 资本管理:通过资本分配和配置,保险精算师可以根据公司的风险状况和盈利能力,确定合理的资本水平和使用策略,提高公司的偿付能力和综合运营效益。
4. 盈余分配:保险精算师基于公司的盈利水平、资本状况和风险状况,制定合理的盈余分配政策,确保公司能够平衡盈利和风险、实现可持续发展。
保险精算的核心方法包括:1. 预测模型:利用历史数据和概率理论,建立预测模型,对未来保险损失进行预测和量化评估。
2. 风险度量方法:通过运用不同的风险测度方法,比如价值-at-Risk、条件VaR等,对保险风险进行度量和分析。
保险从业资格考试试题第五套试卷五套:1、按照保险利益原则,债务人对自己的信用具有保险利益。
债务人按照债权人的要求以自己信用为标的所投保的险种是(保证保险)。
2、诚实信用作为保险代理从业人员的职业道德原则应贯穿于(执业活动的各个方面和各个环节)。
3、产品责任保险的承保基础通常是(期内索赔式)。
4、某外贸公司专门从事大批量重复性初级产品的出口贸易,且贸易合同的信用期一般都在180天以内,该出口公司应投保的险种是(短期出口信用保险)。
5、被保险人从事剧烈体育活动,一般应经过特别约定才能承保,原因是(遭受意外伤害的概率太大)。
6、人身保险的保险标的有标准体和非标准体之分。
对于标准体,保险人承保时适用的保险费率是(标准保险费率)。
7、根据我国普通家庭财产保险的规定,房屋的室内装修属于(可保财产)。
8、在长期护理保险保单中,保险人可以在保单更新时提高保险费率,但提高保险费率的基本要求是(必须一视同仁地对待同样风险情况下的所有被保险人)。
9、在失能收入损失保险中,被保险人除了全残时获得保险金外,还可以通过交纳附加保费的方式获得其补充利益。
体现这些补充利益的特殊条款包括(未来增加保额给付条款)等。
10、某定期生存保险的被保险人在领取生存保险金时,保险人发现其投保年龄小于实际年龄,按照我国保险法的有关规定,保险人通常运用的正确处理方法是(减少保险金给付额)。
11、国家(政府)对特定对象通过法律或行政手段规定其必须投保的保险叫做(.强制保险)。
12、根据我国消费者权益保护法的规定,消费者有权根据商品的不同情况,要求经营者提供商品的价格、产地、生产者、用途、性能、规格、等级、主要成份、生产日期、有效期限、检验合格证明、使用方法说明书、售后服务等情况,这是对(消费者的知情权的解释)。
13、理论责任准备金的计算方法包括(过去法和未来法)。
14、王某以其妻李某为被保险人,向A寿险公司和B寿险公司分别投保定期寿险和终身寿险,保险金额分别为30万元和50万元。
盛年不重来,一日难再晨。
及时宜自勉,岁月不待人。
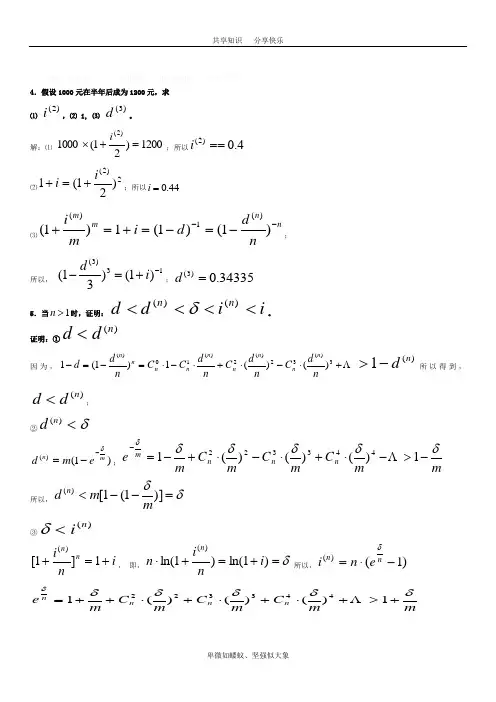
4.假设1000元在半年后成为1200元,求 ⑴)2(i ,⑵ i, ⑶ )3(d 。
解:⑴ 1200)21(1000)2(=+⨯i ;所以4.0)2(==i⑵2)2()21(1i i +=+;所以44.0=i ⑶n n m m nd d i m i ---=-=+=+)1()1(1)1()(1)(;所以, 13)3()1()31(-+=-i d ;34335.0)3(=d 5.当1>n时,证明:i idd n n <<<<)()(δ。
证明:①)(n d d <因为,Λ+⋅-⋅+⋅-⋅=-=-3)(32)(2)(10)()()(1)1(1nd C n d C n d C C n d d n n n n n n n n n )(1n d ->所以得到,)(n d d <;②δ<)(n d )1()(mn em dδ--=;mm C m C m C m ennnmδδδδδδ->-⋅+⋅-⋅+-=-1)()()(1443322Λ所以,δδ=--<)]1(1[)(mm dn③)(n i <δi ni nn +=+1]1[)(, 即,δ=+=+⋅)1ln()1ln()(i n i n n 所以,)1()(-⋅=n n e n i δmmC mC mC me n n n n δδδδδδ+>+⋅+⋅+⋅++=1)()()(1443322Λδδ=-+>]1)1[()(nn in④i i n <)(i ni nn +=+1]1[)(,)(2)(2)(10)(1)(1]1[n n n n n n n n i n i C n i C C n i +>+⋅+⋅+⋅=+Λ所以,iin <)(6.证明下列等式成立,并进行直观解释:⑴nmm n m a v a a +=+;解:iv a nm nm ++-=1,iv a m m-=1,iv v i v v a v nm m n mnm +-=-=1所以,n m nm m m n mma iv v v a v a ++=-+-=+1⑵n mmn m s v a a -=-;解:iv a nm nm ---=1,iv a m m-=1,iv v s v nm m n m--=-所以,n m nm m m n mma iv v v s v a --=-+-=-1⑶nmm n m a i s s )1(++=+;解:i i s m m1)1(-+=,ii i i i i s i m n m n m n m )1()1(1)1()1()1(+-+=-++=++所以,nm mn m m n mms ii i i a i s ++=+-++-+=++)1()1(1)1()1(⑷nmm n m a i s s )1(+-=-。
1. 在保险精算中,什么是“纯保费”?A. 仅包含风险保费的保费B. 包含所有费用的保费C. 仅包含管理费用的保费D. 仅包含投资回报的保费2. 风险评估的主要目的是什么?A. 确定保险产品的价格B. 评估公司的财务状况C. 预测未来的市场趋势D. 提高客户满意度3. 下列哪项是精算师在风险评估中常用的统计方法?A. 线性回归B. 逻辑回归C. 时间序列分析D. 以上都是4. 在保险精算中,“损失率”是指什么?A. 保险公司支付的赔款总额B. 保险公司收取的保费总额C. 赔款总额与保费总额的比率D. 保费总额与赔款总额的比率5. 下列哪项不是保险精算师的主要职责?A. 设计保险产品B. 管理公司财务C. 进行风险评估D. 计算保费6. 在风险评估中,“概率”是指什么?A. 事件发生的可能性B. 事件发生的时间C. 事件发生的结果D. 事件发生的成本7. 下列哪项是保险精算师在计算保费时考虑的因素?A. 被保险人的年龄B. 被保险人的性别C. 被保险人的健康状况D. 以上都是8. 在保险精算中,“再保险”是指什么?A. 保险公司之间的风险分担B. 保险公司与客户之间的风险分担C. 保险公司与政府之间的风险分担D. 保险公司与银行之间的风险分担9. 下列哪项是保险精算师在设计保险产品时考虑的因素?A. 市场需求B. 公司财务状况C. 法律法规D. 以上都是10. 在风险评估中,“风险池”是指什么?A. 一组相似的风险B. 一组不同的风险C. 一组高风险D. 一组低风险11. 下列哪项是保险精算师在计算保费时使用的数学模型?A. 泊松分布B. 正态分布C. 指数分布D. 以上都是12. 在保险精算中,“赔付率”是指什么?A. 保险公司支付的赔款总额B. 保险公司收取的保费总额C. 赔款总额与保费总额的比率D. 保费总额与赔款总额的比率13. 下列哪项是保险精算师在风险评估中使用的统计工具?A. ExcelB. SPSSC. RD. 以上都是14. 在保险精算中,“风险溢价”是指什么?A. 保险公司为承担风险而收取的额外费用B. 保险公司为投资回报而收取的额外费用C. 保险公司为管理费用而收取的额外费用D. 保险公司为市场营销而收取的额外费用15. 下列哪项是保险精算师在设计保险产品时考虑的因素?A. 竞争对手的产品B. 公司的市场份额C. 客户的需求D. 以上都是16. 在风险评估中,“风险矩阵”是指什么?A. 一种用于评估风险的工具B. 一种用于管理风险的工具C. 一种用于预测风险的工具D. 一种用于控制风险的工具17. 下列哪项是保险精算师在计算保费时考虑的因素?A. 被保险人的职业B. 被保险人的收入C. 被保险人的家庭状况D. 以上都是18. 在保险精算中,“风险分散”是指什么?A. 将风险分散到不同的保险产品中B. 将风险分散到不同的保险公司中C. 将风险分散到不同的客户中D. 以上都是19. 下列哪项是保险精算师在风险评估中使用的统计方法?A. 方差分析B. 协方差分析C. 回归分析D. 以上都是20. 在保险精算中,“风险暴露”是指什么?A. 保险公司面临的风险B. 客户面临的风险C. 市场面临的风险D. 以上都是21. 下列哪项是保险精算师在设计保险产品时考虑的因素?A. 法律法规的变化B. 市场的变化C. 技术的变化D. 以上都是22. 在风险评估中,“风险控制”是指什么?A. 通过各种手段减少风险B. 通过各种手段增加风险C. 通过各种手段转移风险D. 通过各种手段消除风险23. 下列哪项是保险精算师在计算保费时考虑的因素?A. 被保险人的教育水平B. 被保险人的居住地C. 被保险人的婚姻状况D. 以上都是24. 在保险精算中,“风险转移”是指什么?A. 将风险转移给其他保险公司B. 将风险转移给客户C. 将风险转移给政府D. 以上都是25. 下列哪项是保险精算师在风险评估中使用的统计工具?A. SASB. MATLABC. PythonD. 以上都是26. 在保险精算中,“风险管理”是指什么?A. 通过各种手段管理风险B. 通过各种手段增加风险C. 通过各种手段转移风险D. 通过各种手段消除风险27. 下列哪项是保险精算师在设计保险产品时考虑的因素?A. 公司的战略目标B. 公司的财务目标C. 公司的市场目标D. 以上都是28. 在风险评估中,“风险识别”是指什么?A. 识别可能的风险B. 识别已知的风险C. 识别潜在的风险D. 以上都是29. 下列哪项是保险精算师在计算保费时考虑的因素?A. 被保险人的驾驶记录B. 被保险人的信用记录C. 被保险人的健康记录D. 以上都是30. 在保险精算中,“风险评估模型”是指什么?A. 一种用于评估风险的数学模型B. 一种用于管理风险的数学模型C. 一种用于预测风险的数学模型D. 一种用于控制风险的数学模型31. 下列哪项是保险精算师在风险评估中使用的统计方法?A. 因子分析B. 聚类分析C. 判别分析D. 以上都是32. 在保险精算中,“风险度量”是指什么?A. 度量风险的大小B. 度量风险的时间C. 度量风险的结果D. 度量风险的成本33. 下列哪项是保险精算师在设计保险产品时考虑的因素?A. 公司的品牌形象B. 公司的客户服务C. 公司的市场定位D. 以上都是34. 在风险评估中,“风险缓解”是指什么?A. 通过各种手段减少风险B. 通过各种手段增加风险C. 通过各种手段转移风险D. 通过各种手段消除风险35. 下列哪项是保险精算师在计算保费时考虑的因素?A. 被保险人的旅行习惯B. 被保险人的消费习惯C. 被保险人的投资习惯D. 以上都是36. 在保险精算中,“风险分析”是指什么?A. 分析风险的原因B. 分析风险的影响C. 分析风险的后果D. 以上都是37. 下列哪项是保险精算师在风险评估中使用的统计工具?A. TableauB. Power BIC. QlikViewD. 以上都是38. 在保险精算中,“风险预测”是指什么?A. 预测风险的发生B. 预测风险的时间C. 预测风险的结果D. 预测风险的成本39. 下列哪项是保险精算师在设计保险产品时考虑的因素?A. 公司的技术实力B. 公司的研发能力C. 公司的创新能力D. 以上都是40. 在风险评估中,“风险监控”是指什么?A. 监控风险的发生B. 监控风险的时间C. 监控风险的结果D. 监控风险的成本41. 下列哪项是保险精算师在计算保费时考虑的因素?A. 被保险人的社交活动B. 被保险人的娱乐活动C. 被保险人的体育活动D. 以上都是42. 在保险精算中,“风险报告”是指什么?A. 报告风险的情况B. 报告风险的时间C. 报告风险的结果D. 报告风险的成本43. 下列哪项是保险精算师在风险评估中使用的统计方法?A. 主成分分析B. 结构方程模型C. 多维尺度分析D. 以上都是44. 在保险精算中,“风险沟通”是指什么?A. 沟通风险的情况B. 沟通风险的时间C. 沟通风险的结果D. 沟通风险的成本45. 下列哪项是保险精算师在设计保险产品时考虑的因素?A. 公司的社会责任B. 公司的企业文化C. 公司的员工福利D. 以上都是46. 在风险评估中,“风险应对”是指什么?A. 应对风险的发生B. 应对风险的时间C. 应对风险的结果D. 应对风险的成本47. 下列哪项是保险精算师在计算保费时考虑的因素?A. 被保险人的饮食习惯B. 被保险人的睡眠习惯C. 被保险人的工作习惯D. 以上都是48. 在保险精算中,“风险策略”是指什么?A. 制定风险管理策略B. 制定风险增加策略C. 制定风险转移策略D. 制定风险消除策略49. 下列哪项是保险精算师在风险评估中使用的统计工具?A. StataB. EViewsC. GAMSD. 以上都是50. 在保险精算中,“风险文化”是指什么?A. 公司的风险管理文化B. 公司的风险增加文化C. 公司的风险转移文化D. 公司的风险消除文化51. 下列哪项是保险精算师在设计保险产品时考虑的因素?A. 公司的市场策略B. 公司的竞争策略C. 公司的合作策略D. 以上都是52. 在风险评估中,“风险教育”是指什么?A. 教育员工如何管理风险B. 教育员工如何增加风险C. 教育员工如何转移风险D. 教育员工如何消除风险53. 下列哪项是保险精算师在计算保费时考虑的因素?A. 被保险人的学习习惯B. 被保险人的阅读习惯C. 被保险人的写作习惯D. 以上都是54. 在保险精算中,“风险意识”是指什么?A. 对风险的认知B. 对风险的时间认知C. 对风险的结果认知D. 对风险的成本认知55. 下列哪项是保险精算师在风险评估中使用的统计方法?A. 生存分析B. 事件史分析C. 纵向数据分析D. 以上都是56. 在保险精算中,“风险环境”是指什么?A. 影响风险的外部环境B. 影响风险的时间环境C. 影响风险的结果环境D. 影响风险的成本环境57. 下列哪项是保险精算师在设计保险产品时考虑的因素?A. 公司的技术支持B. 公司的服务支持C. 公司的市场支持D. 以上都是58. 在风险评估中,“风险反馈”是指什么?A. 反馈风险的情况B. 反馈风险的时间C. 反馈风险的结果D. 反馈风险的成本59. 下列哪项是保险精算师在计算保费时考虑的因素?A. 被保险人的社交网络B. 被保险人的娱乐网络C. 被保险人的体育网络D. 以上都是答案1. A2. A3. D4. C5. B6. A8. A9. D10. A11. D12. C13. D14. A15. D16. A17. D18. D19. D20. A21. D22. A23. D24. A25. D26. A27. D28. D29. D30. A31. D32. A33. D34. A35. D36. D37. D38. A39. D40. A41. D42. A43. D44. A45. D46. A47. D48. A49. D50. A51. D52. A53. D54. A55. D56. A58. A59. D。
准精算师数学考试真题1.考题:若一个保险公司预计某类风险的索赔频率为每年0.05次,平均索赔额为10,000元,求该风险的纯保费。
答案:纯保费=索赔频率×平均索赔额=0.05×10,000=500元。
2.考题:一个投资组合由两种资产组成,资产A的预期收益率为8%,资产B的预期收益率为12%。
如果投资组合中资产A的权重为60%,求投资组合的预期收益率。
答案:投资组合的预期收益率=0.6×8%+0.4×12%=9.6%。
(注意:这里假设资产B的权重为40%,因为权重总和为100%)3.考题:在寿险精算中,某年龄段的死亡率为0.002。
若该年龄段有10,000人,求预期死亡人数。
答案:预期死亡人数=人数×死亡率=10,000×0.002=20人。
4.考题:某投资产品的回报率为随机变量X,其服从正态分布N(10%,0.04%)。
求该投资产品回报率超过12%的概率。
(假设正态分布的标准差用σ表示,均值用μ表示)答案:P(X>12%)=1-P(X≤12%)=1-Φ((12%-μ)/σ)=1-Φ((12-10)/0.2)≈0.0228(使用标准正态分布表或软件计算)5.考题:在年金保险中,若每年末支付1,000元,年利率为5%,求10年期末的累积值。
答案:累积值=1,000×[(1+0.05)^10-1]/0.05=12,577.89元(使用复利公式计算)6.考题:某保险公司使用指数平滑法预测未来索赔额,平滑常数为0.7。
若上一期的预测值为100,000元,实际索赔额为120,000元,求本期的预测值。
答案:本期预测值=0.7×实际索赔额+0.3×上一期预测值=0.7×120,000+0.3×100,000=102,000元7.考题:在财产保险中,免赔额为1,000元,损失超过免赔额的部分保险公司赔偿80%。
保险精算学》综合测试题五参考答案一、选择题(每题2分,共20分)1.D ;2.A ;3.B ;4.C ;5.A ;6.C ;7.C ;8.A ;9.B ;10.D 。
二、判断题(每题1分,共15分)1.×;2. ×;3.√;4. √;5. √;6.√;7. ×;8. √;9.√;10. ×;11.√;12. ×;13. √;14.×;15. √。
三、简答题(每题8分,共24分)1.答:责任准备金有过去法和未来法两种计算方法,计算结果一致,都可以选取。
但在不同情形下,影响计算的繁简程度。
计算保险缴费期结束之后的责任准备金,宜用未来法,因为此时责任准备金就是未来保险金支付现值;而在无须提供保险金的期间内,计算准备金,宜用过去法,因为此时准备金就是过去已缴纯保费的精算终值。
2.答:鉴于保单第一年附加费用开支较大,续年附加费用开支较少,对于一个新开业不久或规模较小的公司,因其可运用盈余有限,试图以自己的盈余或资本来弥补附加费用缺口将面临一定的困难,因而在均衡保费条件下,调低初年纯保费,调高续年纯保费,从而为附加费用开支留下足够的空间。
同时,10多岁以后投保,自然保费才会随着年龄的增加而递增,这就为初年收支较少纯保费提供了可能性。
这种通过对均衡纯保费进行修正所提取的责任准备金,就是修正责任准备金或实际责任准备金。
3.答:由于人寿保险大多具有储蓄性,缴费若干年后,将会形成一定的责任准备金,责任准备金是保险人对被保险人的一种负债,因而在解约退保时,保险人需要将这部分“负债”退还给投保人,但不是全部责任准备金,而是其中的一部分。
之所以要作一些扣除,是因为:一是死亡逆选择增加(死亡保险情形下弱体者一般不会解约);二是影响资金运用,减少公司的投资收益;三是附加费用尚未摊销完毕;四是办理解约手续需要开支费用。
四、计算题(第1、2题各15分,第3题11分,共41分)1.解:所给保险年缴保险费为20:4020606020:40206020:4010100.14796899A M M D P a N N -+'=⋅=⋅=- 所以有 1020:4030:3020:4030:30100.1479689919.250532421.544567()V A P a ''=⋅- =10⨯0.439304856-⨯ = 万元2020:4040:2020:4040:20100.1479689914.546149813.610878()V A P a ''=⋅- =10⨯0.576325739-⨯ = 万元2.解:(1)缴清保险的保险金额为74.52086415893.0450|5:45|10:405=='=A V C b (元) (2)100088.2802887957.010001|5:45=⨯=A (元) 即现金价值450元,可以充以购买5年定期保险,然后其残余现金价值可购买以两全保险期满为限的5年纯生存保险,其保险金为:17.504835279364.088.2845010001|5:451|5:45|10:405=-=+'A A V C (元) 3.解:由责任准备金的年金现值表达式可得1025V =35251a a - ,1035V =45351a a- 上式可变形为 351025251a V a =- ,451035351a V a=- 因此2025V =45251a a - =354525351a a aa -⋅ =102510351(1)(1)V V ---=1-(1-0.1)(1-0.2)=0.28。
选择题:
在精算学中,用于评估未来现金流现值的方法是:
A. 历史成本法
B. 现值法(正确答案)
C. 市场比较法
D. 直线摊销法
下列哪项不是精算师在保险公司中的主要职责?
A. 产品定价
B. 风险管理
C. 市场营销策划(正确答案)
D. 准备金评估
在寿险精算中,计算纯保费时通常不考虑以下哪个因素?
A. 预定利率
B. 预定死亡率
C. 预定费用率
D. 预定投资回报率(正确答案)
关于精算控制循环,以下哪个步骤不是其核心环节?
A. 识别风险
B. 量化风险(正确答案)
C. 控制风险
D. 评估风险控制效果
在进行保险产品利润测试时,以下哪项不是必须考虑的因素?
A. 预期赔付率
B. 预期费用率
C. 预期投资收益率
D. 预期市场占有率(正确答案)
下列哪个公式不是用于计算寿险责任准备金的?
A. 未来法
B. 过去法
C. 现在法(正确答案)
D. 平衡法
在非寿险精算中,以下哪个概念用于描述在一定时期内,保险公司为履行未到期责任而提取的准备金?
A. 未决赔款准备金
B. 未到期责任准备金(正确答案)
C. 总准备金
D. 意外准备金
关于精算报告,以下哪个陈述是不正确的?
A. 精算报告应包含所有重要假设和参数
B. 精算报告应基于合理的预测和估计
C. 精算报告无需经过审核即可直接发布(正确答案)
D. 精算报告应清晰、准确地传达精算分析的结果
在进行保险产品定价时,以下哪项不是精算师需要考虑的成本因素?
A. 赔付成本
B. 获取成本
C. 运营成本
D. 广告成本(正确答案)。
寿险精算模拟试题及答案一、选择题1. 寿险精算中,以下哪项是评估保险合同财务影响的基本工具?A. 利率B. 死亡率C. 精算现值D. 保险金额2. 寿险合同的现金价值是指什么?A. 投保人所支付的保费总额B. 保险合同到期时投保人可得到的金额C. 保险合同在某一特定时间点的净值D. 保险公司为保险合同设立的准备金3. 在寿险精算中,以下哪项不是风险评估的基本要素?A. 风险识别B. 风险量化C. 风险规避D. 风险评估二、填空题4. 寿险精算中,_________是指在保险期间内,保险公司为履行保险责任而设立的基金。
5. 寿险精算中,_________是指根据保险合同的条款,计算出的保险金的预期支付额。
三、简答题6. 简述寿险精算中净保费和毛保费的区别。
四、计算题7. 假设某寿险公司销售了一份10年期的寿险合同,年保费为1000元,预定利率为5%,死亡率为0.5%,请计算该合同第一年的净保费。
五、论述题8. 论述寿险精算在保险产品定价中的作用及其重要性。
答案:一、选择题1. C2. C3. C二、填空题4. 准备金5. 预期保险金三、简答题6. 净保费是指在扣除保险公司运营成本和利润后,用于保险风险保障的保费部分。
毛保费则包括了净保费和保险公司的运营成本及利润。
四、计算题7. 净保费计算公式为:净保费 = 毛保费 / (1 + 预定利率) - 死亡率 * 保险金额 / (1 + 预定利率)。
根据题目数据,净保费 = 1000 / (1 + 0.05) - 0.005 * 1000 / (1 + 0.05) = 952.38元。
五、论述题8. 寿险精算在保险产品定价中的作用是确保保险产品的价格既能覆盖风险成本,又能为保险公司带来合理的利润。
精算师通过评估死亡率、利率、费用率等因素,计算出保险产品的净保费,从而确定毛保费。
这一过程对于保险公司的财务稳定和市场竞争力至关重要。
《非寿险精算》试题及答案(解答仅供参考)第一套一、名词解释1. 非寿险精算:非寿险精算是研究非寿险业务中风险评估、保费定价、准备金评估、损失分布分析等领域的数学和统计方法。
2. 损失概率:损失概率是指在一定时间内,某一特定风险事件发生的可能性。
3. 纯保费:纯保费是指保险公司为了覆盖预期的损失成本而收取的保费。
4. 保险准备金:保险准备金是保险公司为应对未来可能发生的索赔而储备的资金。
5. 责任年限法:责任年限法是一种计算未决赔款准备金的方法,基于假设所有未决赔款将在一定年限内结案。
二、填空题1. 非寿险精算的主要内容包括风险评估、______、准备金评估和损失分布分析。
答案:保费定价2. 在非寿险业务中,______是决定保费水平的重要因素。
答案:损失概率和损失程度3. 如果实际赔付金额超过已收取的保费和投资收益之和,就需要动用______来支付。
答案:保险准备金4. 在非寿险精算中,______是一种常用的损失分布模型。
答案:泊松分布或帕累托分布5. 在责任年限法中,如果假设所有未决赔款将在一年内结案,那么这就是______责任年限法。
答案:一年三、单项选择题1. 非寿险精算主要应用于哪种类型的保险业务?A. 寿险B. 健康险C. 财产险D. 意外险答案:C. 财产险2. 下列哪一项不属于非寿险精算的内容?A. 风险评估B. 保费定价C. 投资管理D. 准备金评估答案:C. 投资管理3. 在非寿险精算中,用来衡量风险大小的指标是?A. 损失概率B. 损失程度C. 风险暴露D. 风险溢价答案:A. 损失概率4. 下列哪种方法可以用来计算非寿险业务的未决赔款准备金?A. 综合比例法B. 平均估算法C. 责任年限法D. 追溯法答案:C. 责任年限法5. 在非寿险精算中,如果某风险事件的发生概率为0.1,且每次发生时的平均损失为1000元,则该风险的期望损失为?A. 10元B. 100元C. 1000元D. 10000元答案:B. 100元四、多项选择题1. 非寿险精算的主要内容包括:A. 风险评估B. 保费定价C. 准备金评估D. 损失分布分析E. 投资管理答案:ABCD2. 下列哪些因素会影响非寿险业务的保费定价?A. 损失概率B. 损失程度C. 营运费用D. 目标利润E. 法律法规答案:ABCD3. 下列哪些方法可以用来计算非寿险业务的未决赔款准备金?A. 综合比例法B. 平均估算法C. 责任年限法D. 追溯法E. 预测法答案:ABCD4. 在非寿险精算中,以下哪些是常用的损失分布模型?A. 正态分布B. 泊松分布C. 帕累托分布D. 对数正态分布E. 卡方分布答案:BC5. 下列关于非寿险精算的陈述中,哪些是正确的?A. 非寿险精算是研究非寿险业务中的风险评估和管理的学科。
《寿险精算》试题及答案(解答仅供参考)第一套一、名词解释1. 寿险精算:寿险精算是运用数学、统计学、经济学等理论和方法,对人寿保险业务中的风险进行量化分析和评估,以确定保险费率、准备金、利润分配等关键参数的学科。
2. 生命表:生命表是一种记录某一地区或群体在不同年龄阶段死亡率的统计表格,是寿险精算中计算保费和评估风险的重要工具。
3. 保险费率:保险费率是指保险公司为提供保险保障而向被保险人收取的费用比例,它是根据预期损失和运营成本等因素计算得出的。
4. 预定利率:预定利率是指保险公司为未来支付保险金而预先设定的利息率,它是计算保险产品现金价值和准备金的重要参数。
5. 保险准备金:保险准备金是指保险公司为了应对未来的保险责任和赔付风险,按照规定提取并储备的资金。
二、填空题1. 寿险精算的主要任务包括确定______、评估风险、管理资产和负债等。
答案:保险费率2. 在寿险精算中,______是预测未来死亡率的重要工具。
答案:生命表3. 保险产品的现金价值是根据______和已缴保费计算得出的。
答案:预定利率4. 保险公司提取的保险准备金主要包括未到期责任准备金和______。
答案:未决赔款准备金5. 在人寿保险中,______是一种可以在保险期间内改变保险金额和保险费的保险产品。
答案:可变寿险三、单项选择题1. 下列哪一项不属于寿险精算的主要任务?A. 确定保险费率B. 评估风险C. 管理资产和负债D. 制定营销策略答案:D. 制定营销策略2. 生命表中的死亡率通常表示为:A. 每千人的死亡人数B. 每百人的死亡人数C. 每年的死亡人数D. 每年的死亡概率答案:D. 每年的死亡概率3. 下列哪种保险产品的现金价值通常会随着投资收益的变化而变化?A. 定期寿险B. 终身寿险D. 年金保险答案:C. 变额寿险4. 在计算保险准备金时,未决赔款准备金通常是按照以下哪种方法提取的?A. 逐笔认定法B. 平均估算法C. 总和估算法D. 预期损失法答案:A. 逐笔认定法5. 下列哪种保险产品的保险金额和保险费可以在保险期间内进行调整?A. 定期寿险B. 终身寿险C. 变额寿险D. 全残保险答案:C. 变额寿险四、多项选择题1. 下列哪些因素会影响保险费率的确定?A. 预期损失B. 运营成本C. 投资收益D. 市场竞争答案:A、B、C、D2. 下列哪些保险产品具有现金价值?A. 定期寿险C. 变额寿险D. 年金保险答案:B、C、D3. 下列哪些因素可能影响生命表的编制?A. 地理位置B. 种族背景C. 性别D. 社会经济状况答案:A、B、C、D4. 下列哪些保险准备金属于长期准备金?A. 未到期责任准备金B. 未决赔款准备金C. 长期健康保险准备金D. 养老保险准备金答案:C、D5. 下列哪些保险产品具有投资功能?A. 定期寿险B. 终身寿险C. 变额寿险D. 年金保险答案:B、C、D五、判断题1. 寿险精算师只需要具备数学和统计学知识即可。
海南医学院试题(A )
(2009-2010 学年 第一学期 期末)
考试课程: 保险精算 考试年级:2006医保本
考试日期: 2009年11月24日 考试时间:120分钟
卷面总分:100分
一、选择题(每题2分,共20分)
————————————————————————————————— A1 型 题
每一道题有A,B,C,D 四个备选答案,在答题时只需从5个备选答案中 选择一个最合适的作为正确答案,并在答卷上将相应题号的相应字母 填写在括号内。
—————————————————————————————————
1、i
(4)
=8%,则年实际利率是(B )
A 、7.24%
B 、8.24%
C 、9.6%
D 、9.24%
2、已知在每一年龄年UDD 假设成立,表示式
()()x
x
I A I A A
-=( C)
A.
2
i δ
δ- B.
()
2
1i δ
+
C.
11d δ- D. 1i i δδ⎛⎫- ⎪⎝⎭
3、对于个体(x )的延期5年的期初生存年金,年金每年给付一次,每次1元,给定:
()50.01,0.04, 4.524x x t i a
μ=+=== , 年金给付总额为S 元(不计利息),则 P (51x
S a
>
)值为( B ) A. 0.82 B. 0.81 C. 0.80 D. 0.83
4.下列关系表述错误的是(D ) A 、 B 、
C 、
D 、
5.下列表述正确的一项是(A ) A 、 B 、 C 、
D 、
6.以下哪个是连续型终身寿险的方差表达式(A )
A 、2
2
2()()()x x x A A Var L a δ-=
B 、2
2
2
()()()
x x x A A Var L da -= C 、2
2
2()()()x x x A A Var L da -=
D 、2
2
2
()()()
x x x A A Var L a δ-= 7.当k h <时,下列哪项责任准备金公式表述正确(B )
m m n
m n
a a v a +=+⋅m
m n m n a a S v -=-(1)m
m n
m n
S S i S +=++⋅(1)m m n m n
S S i a
-=++x n x n m x n
m q p p +-|=x n x n m x n
m q q q +-|=x n x n m x n n
m q p q ++⋅|=x n m x n
x
n m x
l l q l +++-|=
A 、x x k
V A
+=
B 、:()()h x x k x k h x k h k V A A P A a ++-=-
C 、11::x n n k
x k V A -+= D 、11()::
m h k x n x k n k
V A +-=
8.以下哪项不属于盈余分配的主要途径(D ) A 、提留准备金 B 、股东收益 C 、保单红利 D 、营业保费
9、 设1
15456045:154515
0.0380.056,0.625,P P A ===:,P 则=( D ) A. 0.005 B. 0.006 C. 0.007 D. 0.008
10、(30)投保20年期生死两全保险,若30:20
0.08,0.01P d == ,利用1941年法则求得 230
0.01P =时的调整保费为( B )
A. 0.0620
B. 0.0626
C. 0.0638
D. 0.0715
二、判断对错题:(每题1分,共10分)
生存保险是只要被保险人生存或死亡都给付保险金。
(×) 2、利息恒定是单利计息的特征之一.。
(√ )
3、 (√)
4、某人去世后,保险公司将支付100000元的保险金,其三个收益人经协商,决定按永续年金方式领取该笔款项,收益人A 领取前8年的年金,收益人B 领取以后10年的年金,然后由收益人C 领取以后的所有年金,所有的年金领取都发生在年初,保险公司的预定利率为6.5%,则C 领取的保险金份额最多。
(×)
5、 表示x~x+n 岁的存活概率。
(√)
6、0
()()t t x t t T t x x t t x x t A E z z f t dt v p dt e p dt ω
ϖϖ
δμμ-++==
==⎰
⎰⎰(√)
7、对(x )的n 年延期m 年定期每年1单位元期初付生存年金,是从x+n+1 起到x+n+m 的生存年金。
其精算现值以
来表示(√) 8、保单费用与保险金额或保险费无关(√)
9、人均给付准备金正是每张有效保单需要积存的准备金数额。
(√)
10、保单组的资产不是保险公司的负债。
()
三、名词解释:(每题4分,共20分)
1、实际利率——
2、死力——
3、营业保费——
4.过去法——
5.资产份额——
四、填表:(共5分)
()t
a t e e e δδδ12=⋅⋅⋅n x p :n x m a |
六、证明:(共20分)
证明:
作业题(略)
七、简单计算:(每题6分,共24分)
1、某人到银行存入1000元,第一年末存折上余额为1050元,第二年余额为1100元,求:第
一、二年的实际利率和实际贴现率。
实际利率:i 1
=[A(1)-A(0)]/A(0)
=(1050-1000)/1000=5% i 2
=[A(2)-A(1)]/A(1)
=(1100-1050)/1050=4.762%
实际贴现率:
d 1
=[A(1)-A(0)]/A(1)
=(1050-1000)/1050=4.762%
d2=[A(2)-A(1)]/A(2)
=(1100-1050)/1100=4.545%
2、某年金第1年末给付200元,以后每隔1年增200元,利率10%,
求①收付10年的年金现值②第10年的年金终值③若为永续年金,求永续年金现值
()()11111112005807.18n
n n n n n
n n i n v i i nv a nv d i Ia i i i
Ia ⎛⎫- ⎪
+⎛⎫
⎝⎭- ⎪-+⎝⎭--+===⨯=
()1
(1)(1)1(1)1200()15062.33
n
n n n n n i n
i i n n S n d i i Is i i i i
Is ++-+-+---+==
==⨯=
()()22001120020010%10%Ia i d ∞
⎡⎤
⨯==⨯+⎢⎥⎢⎥⎣⎦
3、设20年限期缴费的30年两全保险,于25岁时签发,保险金额为1000元,试求其年缴纯保费.( M 25=15434.48, N 25=3742125,M 55=10611.9,D 55=37176.27,N 45=1003984)
15.23
(1)m n m n m
a i S a -+=+
4、假设保险金额为1000元,对30岁男性签发的保单,利用换算表,利率为0.025,试计算20年限期缴费65岁满期的两全保险第15个保单年度末的期末准备金(过去法)
(M30=150331.7, N30=13082514,M45=142228.4,D45=317126.2,N45=7170813,
N50=5668323,M65=114721.8,D65=170366.1)
491.01
八、复杂计算:(每题8分,共16分)
1、现年40岁的人购买了一份连续型递减的10年定期寿险保单.保单规定第一个保单年度内死亡,则立即给付10000元,第二个保单年度内死亡,则立即给付9900元,第三个保单年度内死亡,则给付9800元,依次递减,直至在第十个保单内死亡,则立即给付保险金9100元.设年利率6%,试在死亡均匀分布假设条件下,计算其趸缴纯保费(M40=13451.35,D40=93942.98,R41=365123.80 ,R51=239576.50).
2、30岁开始投生存年金,规定:若活到60岁,则给确定给付的10年年金,若60-69岁死亡,其指定者继续领取,若活到70岁,则从70岁起以生存为条件每年初给6000元,利率为0.06 ,求趸缴纯保费
(N70=109986.26,D60=26606.02,D30=170037.78)
10
6070
3060
3010
10
3060
1
(60006000)(60006000)
D N
v
E a a
D d D
-
+=⨯+⨯。