保险精算期末试题
- 格式:pdf
- 大小:1.32 MB
- 文档页数:8
保险精算考试试题保险精算考试试题保险精算是保险行业中非常重要的一个领域,它涉及到风险评估、保费定价、赔付准备金计算等方面。
保险精算师需要具备扎实的数学、统计和金融知识,能够运用这些知识来解决保险领域中的各种问题。
保险精算考试试题是评估考生对保险精算知识的掌握程度的一种方式。
下面我将以一些典型的保险精算考试试题为例,来介绍一下保险精算的相关知识。
第一题:某公司的汽车保险业务中,每辆车在一年内发生事故的概率为0.05,每辆车发生事故的损失服从均值为1000美元,标准差为500美元的正态分布。
求该公司每辆车的平均赔付金额。
解析:根据题目中给出的信息,每辆车发生事故的损失服从均值为1000美元,标准差为500美元的正态分布。
我们可以使用正态分布的性质来计算平均赔付金额。
根据正态分布的性质,平均赔付金额等于均值加上标准差乘以一个常数。
在这个例子中,均值为1000美元,标准差为500美元,常数为正态分布的一个参数。
根据正态分布的性质,常数为68%的概率对应的标准差的倍数。
因此,我们可以得到平均赔付金额为1000美元加上500美元乘以一个常数。
根据正态分布的性质,68%的概率对应的标准差的倍数为1,所以我们可以得到平均赔付金额为1000美元加上500美元乘以1,即1500美元。
第二题:某公司的寿险业务中,每个被保险人在一年内死亡的概率为0.01,每个被保险人死亡时的赔付金额为100000美元。
求该公司每个被保险人的平均赔付金额。
解析:根据题目中给出的信息,每个被保险人在一年内死亡的概率为0.01,每个被保险人死亡时的赔付金额为100000美元。
我们可以使用概率的性质来计算平均赔付金额。
平均赔付金额等于每个事件发生的概率乘以赔付金额。
在这个例子中,每个被保险人在一年内死亡的概率为0.01,每个被保险人死亡时的赔付金额为100000美元。
因此,我们可以得到平均赔付金额为0.01乘以100000美元,即1000美元。
寿险精算一、填空题1、生命表依据编制对象的不同,可以分为:________和________。
2、根据保险标的的属性不同,保险可分为:________和______________。
3、寿险精算中的基本参数主要有:_________、_______________、_______________。
4、生命表的创始人是___________。
5、生命表方法的实质是_________________________________________________。
6、投保保额为1单位元数的终身寿险,按年度实质贴现率v 复利计息,赔付现值变量为:_____________________。
7、n 年定期两全险是___________和_____________的组合。
8、终身寿险死亡即刻赔付趸缴净保费公式为______________________________。
9、已知05.0,5a ,8a 2===δx x ,则=)(a |T a r V __________.10、1—_______|:n x ad =二、选择题1、世界上第一张简略生命表是( )A.1662年约翰•格兰编制的生命表 B .1693年埃德蒙•哈雷编制的生命表;C .詹姆斯•道森编制的生命表D .1724年亚伯拉罕•棣模佛编制的生命表2、保险精算遵循的最重要原则是( )A .补偿性原则B .资产负债匹配原则C .收支平衡原则D .均衡保费原则3、某10年期确定年金,每4月末给付800元,月利率为2%,则该年金的现值为( )。
4、 已知死力µ=0.045,利息力δ=0.055,则每年支付金额1,连续支付的终身生存年金的精算现值为( )。
A .9; B.10; C.11; D.12。
5、下列错误的公式是 ()A.()()x s x s ,x =μB.()()dtP d t x t T =f C.()()()x s t x s x s q x +-=t D.()x s x =p 0 6、设某地新生婴儿未来寿命随机变量X在区间[0,100]上服从均匀分布,x ∈(0,100) 则( )A.s(x)=x/100B.s(x)=1/100C.s(x)=1-x/100D.s(x)=100x7、8、9、下列不是有关分数年龄的假设常用的插值方法的是()A.线性插值B.调和插值C.几何插值D.牛顿插值10.下列关系不正确的是()A.x t x t x p l l •=+B.x x x q l d •=C.x x x L d m =D.tx x x l l p +=t 三、简答题1.你认为保险精算对保险经营有何重要意义?2.生存年金的定义及分类。
寿险精算一、填空题1、生命表依据编制对象的不同,可以分为:________和________。
2、根据保险标的的属性不同,保险可分为:________和______________。
3、寿险精算中的基本参数主要有:_________、_______________、_______________。
4、生命表的创始人是___________。
5、生命表方法的实质是_________________________________________________。
6、投保保额为1单位元数的终身寿险,按年度实质贴现率v 复利计息,赔付现值变量为:_____________________。
7、n 年定期两全险是___________和_____________的组合。
8、终身寿险死亡即刻赔付趸缴净保费公式为______________________________。
9、已知05.0,5a ,8a 2===δx x ,则=)(a |T a r V __________.10、1—_______|:n x ad =二、选择题1、世界上第一张简略生命表是( )A.1662年约翰•格兰编制的生命表 B .1693年埃德蒙•哈雷编制的生命表; C .詹姆斯•道森编制的生命表 D .1724年亚伯拉罕•棣模佛编制的生命表2、保险精算遵循的最重要原则是()A .补偿性原则B .资产负债匹配原则C .收支平衡原则D .均衡保费原则3、某10年期确定年金,每4月末给付800元,月利率为2%,则该年金的现值为( )。
4、 已知死力µ=0.045,利息力δ=0.055,则每年支付金额1,连续支付的终身生存年金的精算现值为( )。
A .9; B.10; C.11; D.12。
5、下列错误的公式是 ()A.()()x s x s ,x =μB.()()dtP d t x t T =f C.()()()x s t x s x s q x +-=t D.()x s x =p 0 6、设某地新生婴儿未来寿命随机变量X在区间[0,100]上服从均匀分布,x ∈(0,100) 则( )A.s(x)=x/100B.s(x)=1/100C.s(x)=1-x/100D.s(x)=100x7、8、9、下列不是有关分数年龄的假设常用的插值方法的是()A.线性插值B.调和插值C.几何插值D.牛顿插值10.下列关系不正确的是()A.x t x t x p l l ∙=+B.x x x q l d ∙=C.x x x L d m =D.tx x x l l p +=t 三、简答题1.你认为保险精算对保险经营有何重要意义?2.生存年金的定义及分类。
第五章【例5.1】某人在40岁时投保了3年期10000元定期寿险,保险金在死亡年年末赔付。
以中国人寿保险业经验生命表(1990-1993)(男女混合)和利率5%,计算趸缴净保费。
解:趸缴净保费为:10000140:3A =10000(v ×40q +2v ×40p ×41q +3v ×402p ×42q )=3(10.001650)(10.001812)0.0019931.05-⨯-⨯=49.28(元)【例5.2】张某在50岁时投保了一份保额 100000元的30年定期寿险。
假设x l =1000(1-x 105 ),预定利率为0.08,求该保单的趸缴净保费。
解:该生命表的最大年龄是105岁,所以t 的取值范围是0到55,所求的赔付现值是:29(1)150:3050500100000100000 1.08t tt tp qA -++==⨯⨯∑其中5050505555t tt l p+-==505055(54)115555ttt t t tqp++---=-==--故,该保单的趸缴净保费是: 29(1)150:30055110000010000055551.08t t t tA -+=-=⨯⨯-∑ =20468.70(元)【例5.3】假设例5.2中张某50随时购买的是保额为100000元的终身寿险。
已知1000(1)105x xl =-,预定利率为0.08,求该保单的趸缴净保费。
解: 55(1)5050150100000100000 1.08t t tp qA -++==⨯⨯∑=5611000001155 1.081 1.081()1.08-⨯⨯- =22421.91(元)【例5.4】某人在40岁时买了保险额为20000元的终身寿险,假设他的生存函数可以表示为()1105xs x =-,死亡赔付在死亡年年末,i=10%,求这一保单的精算现值。
《保险精算原理与实务》期末练兵综合测试题一、名词解释1、精算科学2、累积函数3、单利4、复利5、生命表6、多减因表7、定期寿险8、两全保险9、终身寿险10、寿险精算现值11、寿险现值的递推公式12、生存年金13、纯生存保险14、连续生存年金15、保险费16、净保费17、责任准备金18、联合生存状态19、最后生存状态20、条件联合状态21、风险单位22、索赔频率23、索赔强度24、纯保费25、单项分析法26、边际总和法27、经验费率28、最优奖惩系统29、非寿险准备金30、未到期责任准备金31、未决赔款准备金32、链梯法33、案均赔款法34、准备金进展法35、B-F 法36、再保险二、计算题1、某投资者将1000元钱存入银行,第一年末他的存款余额为1100元,第二年他的存款余额为1200元。
计算两年的实际利率分别为多少?2、某人在银行的存款为5000元,设年利率为10%。
求:(1)在单利条件下,5年后的累积额(2)在复利条件下,5年后的累积额。
3、已知本金A(0)=1000元,若按a(t)=3t2+1累积,求:(1)10年的累积额(2)20年的累积额(3)第10年获得的利息及利率(4)第20年获得的利息及利率4、已知:年名义利率为10%,本金为1。
求:(1)一年支付2次的实际利率;(2)一年支付4次的实际利率。
5、张某在2003年8月1日贷款1000元,如果利息力为14%,在复利下,计算:(1)贷款额在2008年8月1日的价值;(2)年利率i260(2)60岁的人在61---63岁之间死亡的概率7、已知l x=1000*(1-x/100),计算20p30和20︱5q258、设一个35岁的人投保5年期的两全保险,保险金额为10000元,保险金在死亡的保单年度末给付。
按中国人寿保险业经验生命表(1990-1993)(男女混合),年利率为6%,计算其趸缴净保费。
9、某人在40岁时投保了3年期10000元定期寿险,保险金在死亡年年末赔付。
第一章:利息的基本概念练 习 题1.已知()2a t at b =+,如果在0时投资100元,能在时刻5积累到180元,试确定在时刻5投资300元,在时刻8的积累值。
(0)1(5)25 1.80.8,125300*100(5)300180300*100300*100(8)(64)508180180a b a a b a b a a a b ===+=⇒===⇒=+= 2.(1)假设A(t)=100+10t, 试确定135,,i i i 。
135(1)(0)(3)(2)(5)(4)0.1,0.0833,0.0714(0)(2)(4)A A A A A A i i i A A A ---======(2)假设()()100 1.1nA n =⨯,试确定 135,,i i i 。
135(1)(0)(3)(2)(5)(4)0.1,0.1,0.1(0)(2)(4)A A A A A A i i i A A A ---======3.已知投资500元,3年后得到120元的利息,试分别确定以相同的单利利率、复利利率投资800元在5年后的积累值。
11132153500(3)500(13)6200.08800(5)800(15)1120500(3)500(1)6200.0743363800(5)800(1)1144.97a i i a i a i i a i =+=⇒=∴=+==+=⇒=∴=+=4.已知某笔投资在3年后的积累值为1000元,第1年的利率为 110%i =,第2年的利率为28%i =,第3年的利率为 36%i =,求该笔投资的原始金额。
123(3)1000(0)(1)(1)(1)(0)794.1A A i i i A ==+++⇒=5.确定10000元在第3年年末的积累值:(1)名义利率为每季度计息一次的年名义利率6%。
(2)名义贴现率为每4年计息一次的年名义贴现率6%。
(4)12341()410000(3)10000(1)11956.18410000(3)10000111750.0814i a i a =+=⎛⎫ ⎪=+= ⎪ ⎪⎝⎭6.设m >1,按从大到小的次序排列()()m m d di i δ<<<<。
《寿险精算》试题及答案(解答仅供参考)第一套一、名词解释1. 寿险精算:寿险精算是运用数学、统计学、经济学等理论和方法,对人寿保险业务中的风险进行量化分析和评估,以确定保险费率、准备金、利润分配等关键参数的学科。
2. 生命表:生命表是一种记录某一地区或群体在不同年龄阶段死亡率的统计表格,是寿险精算中计算保费和评估风险的重要工具。
3. 保险费率:保险费率是指保险公司为提供保险保障而向被保险人收取的费用比例,它是根据预期损失和运营成本等因素计算得出的。
4. 预定利率:预定利率是指保险公司为未来支付保险金而预先设定的利息率,它是计算保险产品现金价值和准备金的重要参数。
5. 保险准备金:保险准备金是指保险公司为了应对未来的保险责任和赔付风险,按照规定提取并储备的资金。
二、填空题1. 寿险精算的主要任务包括确定______、评估风险、管理资产和负债等。
答案:保险费率2. 在寿险精算中,______是预测未来死亡率的重要工具。
答案:生命表3. 保险产品的现金价值是根据______和已缴保费计算得出的。
答案:预定利率4. 保险公司提取的保险准备金主要包括未到期责任准备金和______。
答案:未决赔款准备金5. 在人寿保险中,______是一种可以在保险期间内改变保险金额和保险费的保险产品。
答案:可变寿险三、单项选择题1. 下列哪一项不属于寿险精算的主要任务?A. 确定保险费率B. 评估风险C. 管理资产和负债D. 制定营销策略答案:D. 制定营销策略2. 生命表中的死亡率通常表示为:A. 每千人的死亡人数B. 每百人的死亡人数C. 每年的死亡人数D. 每年的死亡概率答案:D. 每年的死亡概率3. 下列哪种保险产品的现金价值通常会随着投资收益的变化而变化?A. 定期寿险B. 终身寿险D. 年金保险答案:C. 变额寿险4. 在计算保险准备金时,未决赔款准备金通常是按照以下哪种方法提取的?A. 逐笔认定法B. 平均估算法C. 总和估算法D. 预期损失法答案:A. 逐笔认定法5. 下列哪种保险产品的保险金额和保险费可以在保险期间内进行调整?A. 定期寿险B. 终身寿险C. 变额寿险D. 全残保险答案:C. 变额寿险四、多项选择题1. 下列哪些因素会影响保险费率的确定?A. 预期损失B. 运营成本C. 投资收益D. 市场竞争答案:A、B、C、D2. 下列哪些保险产品具有现金价值?A. 定期寿险C. 变额寿险D. 年金保险答案:B、C、D3. 下列哪些因素可能影响生命表的编制?A. 地理位置B. 种族背景C. 性别D. 社会经济状况答案:A、B、C、D4. 下列哪些保险准备金属于长期准备金?A. 未到期责任准备金B. 未决赔款准备金C. 长期健康保险准备金D. 养老保险准备金答案:C、D5. 下列哪些保险产品具有投资功能?A. 定期寿险B. 终身寿险C. 变额寿险D. 年金保险答案:B、C、D五、判断题1. 寿险精算师只需要具备数学和统计学知识即可。
保险精算期末复习试题本页仅作为文档封面,使用时可以删除This document is for reference only-rar21year.March1 假设某人群的生存函数为()1,0100100x S x x =-≤≤ 求:一个刚出生的婴儿活不到50岁的概率;一个刚出生的婴儿寿命超过80岁的概率;一个刚出生的婴儿会在60~70岁之间死亡的概率;一个活到30岁的人活不到60岁的概率。
2已知给出生存函数()20S x =,0100x ≤≤,计算(75),(75)F f ,()75μ 3、已知 10000(1)100x x l =- 计算下面各值:(1)30203030303010,,,d p q q(2)20岁的人在50~55岁死亡的概率。
(3)该人群平均寿命(假定极限年龄为100)。
4、设()1 , 01001000.1x S x x i =-≤≤= 求:第一问:130:101 (2)()t A Var z () 第二问:30:101 (2)()t A Var z ()5、设(x)投保终身寿险,保险金额为1元,保险金在死亡即刻赔付,签单时,(x)的剩余寿命的密度函数为1 , 060(t)600 , T t f ⎧<≤⎪=⎨⎪⎩其它计算0.90.91(2)()(3)Pr()0.9.xt A Var z z ξξ≤=()的6、假设(x )投保延期10年的终身寿险,保额1元。
保险金在死亡即刻赔付。
已知0.040.06(),0x S x e x δ-==≥, 求:10t (1) (2)Var(z )x A,7、90岁的人生存情况如下表。
求1、死亡年末给付1000元的趸缴浄保费8、现年30岁的人购买了一份递减的5年定期寿险保单。
保险金于死亡年末给付,第一个保单年度内死亡,则给付5万元;第二个保单年度内死亡,则给付4万元——;第5个保单年度内死亡,则给付1万元,设年利率为6%,用中国人寿保险业经验生命表非养老金业务男表计算其趸缴纯保费。
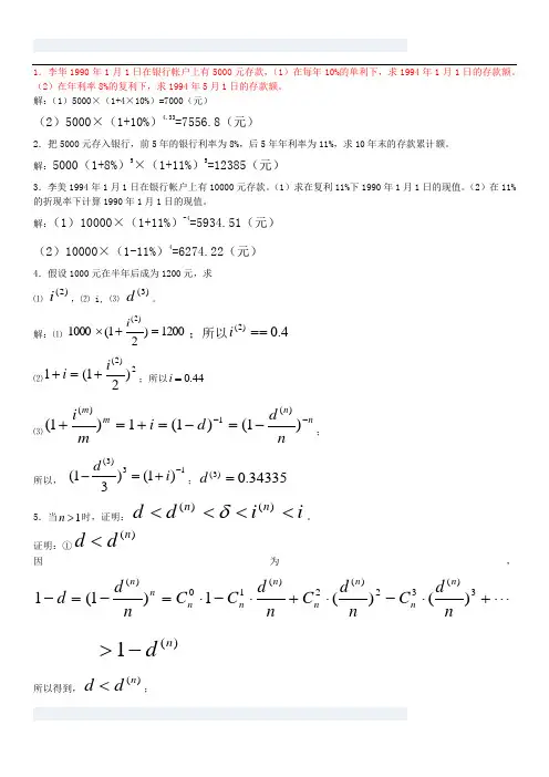
1.李华1990年1月1日在银行帐户上有5000元存款,(1)在每年10%的单利下,求1994年1月1日的存款额。
(2)在年利率8%的复利下,求1994年5月1日的存款额。
解:(1)5000×(1+4×10%)=7000(元)(2)5000×(1+10%)4.33=7556.8(元)2.把5000元存入银行,前5年的银行利率为8%,后5年年利率为11%,求10年末的存款累计额。
解:5000(1+8%)5×(1+11%)5=12385(元)3.李美1994年1月1日在银行帐户上有10000元存款。
(1)求在复利11%下1990年1月1日的现值。
(2)在11%的折现率下计算1990年1月1日的现值。
解:(1)10000×(1+11%)-4=5934.51(元)(2)10000×(1-11%)4=6274.22(元)4.假设1000元在半年后成为1200元,求⑴ )2(i ,⑵ i, ⑶ )3(d 。
解:⑴ 1200)21(1000)2(=+⨯i ;所以4.0)2(==i ⑵2)2()21(1i i +=+;所以44.0=i ⑶n n m m nd d i m i ---=-=+=+)1()1(1)1()(1)(;所以, 13)3()1()31(-+=-i d ;34335.0)3(=d5.当1>n 时,证明:i idd n n <<<<)()(δ。
证明:①)(n d d <因为,+⋅-⋅+⋅-⋅=-=-3)(32)(2)(10)()()(1)1(1nd C n d C n d C C n d d n n n n n n n n n)(1n d->所以得到,)(n d d <;②δ<)(n d)1()(mn em d δ--=;mm C m C m C m ennnmδδδδδδ->-⋅+⋅-⋅+-=-1)()()(1443322所以,δδ=--<)]1(1[)(mm dn③)(n i <δi n i n n +=+1]1[)(, 即,δ=+=+⋅)1ln()1ln()(i ni n n所以,)1()(-⋅=n n e n i δm m C m C m C m e nnnnδδδδδδ+>+⋅+⋅+⋅++=1)()()(1443322δδ=-+>]1)1[()(nn in④i in <)(i ni nn +=+1]1[)(,)(2)(2)(10)(1)(1]1[n n n n n n n n i n i C n i C C n i +>+⋅+⋅+⋅=+所以,i in <)(6.证明下列等式成立,并进行直观解释:⑴nmm n m a v a a +=+;解:iv a nm nm ++-=1,i v a m m-=1,iv v i v v a v nm m n m nm +-=-=1所以,n m nm m m nmm a ivv v a v a ++=-+-=+1⑵nmm n m s v a a -=-;解:iva nm nm ---=1,iv a mm-=1,iv v s v n m m n m--=-所以,nm nm mmn mma ivv v s v a --=-+-=-1⑶nmm n m a i s s )1(++=+;解:i i smm1)1(-+=,ii i i i i s i m n m n mnm )1()1(1)1()1()1(+-+=-++=++所以,n m mn m m n mms ii i i a i s ++=+-++-+=++)1()1(1)1()1(⑷nmm n m a i s s )1(+-=-。
1.确定10000元在第3年年末的积累值:(1)名义利率为每季度计息一次的年名义利率6%。
(2)名义贴现率为每4年计息一次的年名义贴现率6%。
2.已知第1年的实际利率为10%,第2年的实际贴现率为8%,第3年的每季度计息的年名义利率为6%,第4年的每半年计息的年名义贴现率为5%,求一常数实际利率,使它等价于这4年的投资利率。
3.基金A 以每月计息一次的年名义利率12%积累,基金B 以利息强度6t t δ=积累,在时刻t (t=0),两笔基金存入的款项相同,试确定两基金金额相等的下一时刻。
4. 基金X 中的投资以利息强度0.010.1t t δ=+(0≤t ≤20), 基金Y 中的投资以年实际利率i 积累;现分别投资1元,则基金X 和基金Y 在第20年年末的积累值相等,求第3年年末基金Y 的积累值。
5.某银行推出2年期存单,年利率为9%,存款者若提前支取则面临两种可供选择的惩罚方式:变为活期存款,年利率为7%;损失3个月的利息。
某存款人拥有这种存单但要在第18个月末时支取,试问该人该选择哪种惩罚方式?第二章:年金练习题1.证明()n m m n v v i a a -=-。
√2.某人购买一处住宅,价值16万元,首期付款额为A ,余下的部分自下月起每月月初付1000元,共付10年。
年计息12次的年名义利率为8.7% 。
计算购房首期付款额A 。
√3. 已知7 5.153a = , 117.036a =, 189.180a =, 计算 i 。
√4.某人从50岁时起,每年年初在银行存入5000元,共存10年,自60岁起,每年年初从银行提出一笔款作为生活费用,拟提取10年。
年利率为10%,计算其每年生活费用。
√5.年金A 的给付情况是:1~10年,每年年末给付1000元;11~20年,每年年末给付2000元;21~30年,每年年末给付1000元。
年金B 在1~10年,每年给付额为K 元;11~20年给付额为0;21~30年,每年年末给付K 元,若A 与B 的现值相等,已知1012v =,计算K 。
精算模型期末试题及答案一、单选题1. 在精算模型中,风险管理的核心是:A. 保险公司的利润最大化B. 保险公司的偿付能力保持稳定C. 保险公司的市场份额提高D. 保险公司的资产负债表达到平衡答案:B. 保险公司的偿付能力保持稳定2. 下列哪项是精算模型中的风险类型:A. 技术风险B. 战略风险C. 信用风险D. 所有选项答案:D. 所有选项3. 承保准备金的计算方法主要有以下几种:A. 静态法和动态法B. 单纯保守法和单纯激进法C. 固定百分点法和利率曲线法D. 所有选项答案:D. 所有选项二、填空题1. 在精算模型中,经济风险可以通过________方法进行测量。
答案:风险价值2. 风险控制的核心是_____________。
答案:风险管理3. 在风险投资决策中,收益与风险之间存在_________关系。
答案:正相关三、简答题1. 简述保险公司经营风险管理的重要性及方法。
答案:保险公司经营风险管理的重要性在于确保保险公司的偿付能力和稳定性。
方法包括但不限于:建立合理的资本管理制度、制定适当的投资策略、合理估计和控制保险责任准备金、建立完善的内部控制系统、及时响应市场变化等。
2. 请解释什么是风险价值(Value at Risk,VaR)。
答案:风险价值是一种用来衡量金融机构面临的风险的指标。
它代表了在一定的置信水平下,资产价值可能发生的最大损失。
VaR可通过统计方法计算,从而帮助机构进行风险管理和金融决策。
四、综合题某保险公司在进行新产品定价时,需要考虑产品的风险,并进行资本管理,以保证公司的偿付能力。
请根据以下信息完成下列任务。
1. 假设该新产品的预期未来现金流入为100,000元,预期未来现金流出为80,000元。
计算该产品的净现值。
答案:100,000 - 80,000 = 20,000元2. 根据风险管理的原则,该保险公司希望在90%的置信水平下,最大的损失不超过3%。
请计算风险价值(VaR)。
山财保险精算期末考试卷子1. 某人A在2019年9月1日时加入山财保险公司,到2020年8月31日为止共有一年的保险历史记录。
请根据给定的信息,计算A在山财保险公司的保险历史累计天数。
答案:365天2. 在2021年的精算期末考试中,某人B的得分为85分,而得分最高的同学得分为92分。
请计算某人B在该次考试中的排名。
答案:第二名3. 设立一个简单的年金方案,每年投入5000元,年利率为5%,投资期限为10年。
请计算10年后该年金方案的总价值。
答案:64403.38元4. 如果某人C购买了一份人寿保险,每月需要缴纳100元,保险期限为20年,受益人为其子女。
在该人寿保险的第5年,某人C因意外离世。
请问其子女可以获得多少保险金?答案:每月缴纳100元,20年后可以获得15万元的保险金5. 在某次意外事故中,某人D因车祸导致重伤,需要进行长期治疗。
该人D购买了山财保险公司的医疗保险。
请问在发生事故后,山财保险公司是否会承担该人D的治疗费用?答案:是,山财保险公司将承担该人D的医疗费用6. 某人E在山财保险公司购买了一份房屋保险,保险金额为50万元,保险期限为10年。
若在第8年发生火灾,导致房屋全损,山财保险公司将会承担多少赔偿金额?答案:50万元7. 在某次精算期末考试中,山财保险公司的员工平均得分为75分。
员工A得分为85分,员工B得分为60分。
请问员工A和员工B的得分相比于公司平均得分而言是高还是低?答案:员工A的得分高于平均分,员工B的得分低于平均分8. 某人F购买了山财保险公司的车辆保险,保费为每年1000元。
若在第3年车辆被盗,山财保险公司将会进行全额赔偿。
请问该人F在第3年索赔后,是否需要再次支付保费?答案:是,该人F需要在第4年再次支付保费9. 在山财保险公司的精算期末考试中,共有100名考生参加。
其中60名考生的得分高于70分。
请问通过考试的考生比例是多少?答案:60%10. 如果某人G购买了山财保险公司提供的养老金计划,每月缴纳500元,计划领取期为20年。
一、填空题1生命表依据编制对象的不同,可以分为: _____________ 和 2、根据保险标的的属性不同,保险可分为: ___________ 和 3、寿险精算中的基本参数主要有: ___________ 4、 生命表的创始人是 ___________ 。
5、 生命表方法的实质是 _____________________________________________________ 。
6、 投保保额为1单位元数的终身寿险,按年度实质贴现率v 复利计息,赔付现值变量为:7、 n 年定期两全险是 _____________ 和 _____________ 的组合。
8、 终身寿险死亡即刻赔付趸缴净保费公式为 ____________________________________ 9、 已知 a x =8,2a x =5,、. =0.05,则 Var(O ri )= __________ .二、选择题1、世界上第一张简略生命表是( A.1662年约翰?格兰编制的生命表 C.詹姆斯?道森编制的生命表 保险精算遵循的最重要原则是( 补偿性原则 B •资产负债匹配原则 收支平衡原则 D •均衡保费原则 某10年期确定年金,每4月末给付800元,月利率为2%则该年金的现值为()5、 下列错误的公式是 ()s(x)s(x)_Sx+t)A.x二石B. fT (t 片讐)C.心一 D. °p x"x)6、 设某地新生婴儿未来寿命随机变量X 在区间[0,100 ]上服从均匀分布,(0,100) 则 () A.s(x)=x/100 B.s(x)=1/100 C.s(x)=1-x/100 D.s(x)=100x 79、 下列不是有关分数年龄的假设常用的插值方法的是() A.线性插值B.调和插值C.几何插值D.牛顿插值 10. 下列关系不正确的是()d xmx =—d^ _ lx * qx C. L xD. tp二、简答题1. 你认为保险精算对保险经营有何重要意义?2. 生存年金的定义及分类寿险精算10、 1 —二 da x n|) B. 1693年埃德蒙?哈雷编制的生命表; D. 1724年亚伯拉罕?棣模佛编制的生命表 2、 A. C.A.昌00细: 已知死力 ) 9; 4、( A.B X00呦:G 800^: IX 客00勺匚幻1切幻1卩=0.045,利息力S =0.055,则每年支付金额1,连续支付的终身生存年金的精算现值为 B.10 ; C.11 ; D.12。
海南医学院试题(A )(2009-2010 学年 第一学期 期末)考试课程: 保险精算 考试年级:2006医保本考试日期: 2009年11月24日 考试时间:120分钟卷面总分:100分一、选择题(每题2分,共20分)————————————————————————————————— A1 型 题每一道题有A,B,C,D 四个备选答案,在答题时只需从5个备选答案中 选择一个最合适的作为正确答案,并在答卷上将相应题号的相应字母 填写在括号内。
—————————————————————————————————1、甲向银行借款1万元,每年计息两次的名义利率为6%,甲第2年末还款4000元,则此次还款后所余本金部分为( A )元。
A.7 225B.7 213C.7 136D.6 987 2、某人到银行存入1000元,第一年年末的存款余额为1020元,第2年年末的存款余额为1050元,问第2年的实际利率分别是多少?(B ) A 、1.51% B 、2.941% C 、3.621% D 、4.001%3、延期5年连续变化的年金共付款6年,在时刻t 时的年付款率为()21t +,t 时刻的利息强度为1/(1+t),该年金的现值为( B )A.52B.54C.56D.584、在x 岁投保的一年期两全保险,在个体(x )死亡的保单年度末给付b 元,生存保险金为e 元。
保险人给付额现值记为Z, 则Var(Z)=(B )A. ()22x x p q v b e +B. ()22x x p q v b e - C. ()222x x p q v b e- D. ()222xx v b qe p +5.下列关系正确的是(D ) A 、 B 、C 、D 、6.下列关系错误的是(D ) A 、B 、C 、D 、7.新契约费不包括(D )A 、销售费用,包括代理人佣金及宣传广告费B 、风险分类,包括体检费用C 、准备新保单及记录D 、保费收取及会计 8.计算已缴清保费后某个时刻的给付准备金时,用(A )更方便A. 将来法B. 过去法C. 平均法、D. 保费和损失结合法9.保险费应当根据(A )等事项采用换算表方法进行计算A. 预定利息率、预定死亡率、预定附加费率B. 预定利息率、预定死亡率、C. 预定死亡率、预定附加费率D. 预定利息率、预定附加费率10.(30)投保20年期生死两全保险,若30:200.08,0.01P d == ,利用1941年法则求得 2300.01P =时的调整保费为( B )A. 0.0620B. 0.0626C. 0.0638D. 0.0715()n n n a n Ia d ν-= ||()nnn a n Ia iν-= ||()nn s n Is i -= ||()n n s n Is i -= ||1n x n x p q +=x nn xxl p l +=121n x x x x x n p p p p p +++-=⋅⋅⋅⋅⋅x n x n x n n q p q ++⋅|=二、判断对错题:(每题1分,共10分)1、 人身意外伤害保险属于人寿保险(×)2、 单利计息特征之一是实际利率递减。
海南医学院试题(A)(2009-2010 学年第一学期期末)考试课程:保险精算考试年级:2006医保本考试日期: 2009年11月24日考试时间:120分钟卷面总分:100分A. 7.19B. 4.04C. 3.31D.5.212.关于单利与复利的比较,下列说法错误的是(D)A.单个度量期(t=1):1+it=(1+i)t,结果相同B.较长时期(t>1):(1+i)t>1+it ,复利产生更大积累值C.较短时期(t<1):(1+i)t<1+it ,单利产生更大积累值D.单利同样长时间积累值增长的相对比率保持为常数。
而复利同样长时间积累值增长的绝对金额为常数。
3. 某人寿保险的死亡给付受益人为三个子女,给付形式为永续年金,前两个孩子第1到n年每年末平分所领取的年金,n年后所有的年金只支付给第三个孩子,若三个孩子所领取的年金现值相等,那么13n⎛⎫⎪⎝⎭)A、新契约费,维持费,营业费用,理赔费用B、投资费用,维持费,营业费用,理赔费用C、投资费用,新契约费,维持费,营业费用D、新契约费,维持费,投资费用,理赔费用8.下列哪项不是计算保单红利的方法(B)A、经验调整法B 、保费和损失结合法C 、三元素法D 、经验保费法9. 表示的是(A ) A 、死亡年年末赔付寿险精算现值两全保险 B 、死亡年年末赔付寿险精算现值定期保险 C 、死亡年年末赔付寿险精算现值延期保险 D 、死亡年年末赔付生存保险10.下列哪项不属于非年金保险(A ) A 、定期保险 B 、定期死亡保险(×)8、寿险费率一般是指每万元保额的保费(×) 9、UDD 假设下死亡即刻赔付净趸缴纯保费是死亡年末赔付净趸缴纯保费的 倍。
(√)三、名词解释:(每题4分,共20分)1、贴现率——单位货币在单位时间内的贴现额,单位时间以年度衡量时,成为实际贴现率。
2、年金——在一定时期内,按一定时间间隔所产生的现金流3、生命表——反映在封闭人口的条件下,一批人从出生后陆续死亡的全部过程的一种统计表。