分析化学习题答案(人卫版)
- 格式:doc
- 大小:4.52 MB
- 文档页数:118
第一章误差与数据处理1-1 下列说法中,哪些是正确的?(1)做平行测定的目的是减小系统误差对测定结果的影响。
(2)随机误差影响精密度,对准确度无影响。
(3)测定结果精密度高,准确度不一定高。
(4)只要多做几次平行测定,就可避免随机误差对测定结果的影响。
1-2 下列情况,将造成哪类误差?如何改进?(1)天平两臂不等长(2)测定天然水硬度时,所用蒸馏水中含Ca2+。
1-3填空(1)若只作两次平行测定,则精密度应用表示。
(2)对照试验的目的是,空白试验的目的是。
(3)F检验的目的是。
(4)为检验测定结果与标准值间是否存在显著性差异,应用检验。
(5)对一样品做六次平行测定,已知d1~d5分别为0、+0.0003、-0.0002、-0.0001、+0.0002,则d6为。
1-4用氧化还原滴定法测定纯品FeSO4·7H2O中铁的质量分数,4次平行测定结果分别为20.10%,20.03%,20.04%,20.05%。
计算测定结果的平均值、绝对误差、相对误差、平均偏差、相对平均偏差、标准偏差及变异系数。
1-5有一铜矿样品,w(Cu) 经过两次平行测定,分别为24.87%和24.93%,而实际w(Cu)为25.05%,计算分析结果的相对误差和相对相差。
1-6某试样5次测定结果为:12.42%,12.34%,12.38%,12.33%,12.47%。
用Q值检验法和4d检验法分别判断数据12.47%是否应舍弃?(P = 0.95)1-7某分析人员测定试样中Cl的质量分数,结果如下:21.64%,21.62%,21.66%,21.58%。
已知标准值为21.42%,问置信度为0.95时,分析结果中是否存在系统误差?1-8 在不同温度下测定某试样的结果如下:10℃::96.5%,95.8%,97.1%,96.0%37℃:94.2%,93.0%,95.0%,93.0%,94.5%试比较两组数据是否有显著性差异?(P = 0.95)温度对测定是否有影响?1-9某试样中待测组分的质量分数经4次测定,结果为30.49%,30.52%,30.60%,30.12%。
第二章 误差和分析数据处理 1.标定浓度约为0.1mol·L -1的NaOH ,欲消耗NaOH 溶液20mL 左右,应称取基准物质H 2C 2O 4·2H 2O 多少克?其称量的相对误差能否达到0.1%?若不能,可用什么方法予以改善?解:根据方程2NaOH+H 2C 2O 4·H 2O==Na 2C 2O 4+3H 2O 可知, 需称取H 2C 2O 4·H 2O 的质量m 1为:则称量的相对误差大于0.1% ,不能用H 2C 2O 4·H 2O 标定0.1mol·L -1的NaOH ,可以选用相对分子质量大的基准物进行标定。
若改用KHC 8H 4O 4为基准物,则有: KHC 8H 4O 4+ NaOH== KNaC 8H 4O 4+H 2O ,需称取KHC 8H 4O 4的质量为m 2 ,则 m 2=0.1×0.020×204.22=0.41g由此可见,选用相对分子质量大的邻苯二甲酸氢钾标定NaOH ,由于其称样量较大,称量的相对误差较小(<0.1%),故测定的准确度较高。
2.用基准K 2Cr 2O 7对Na 2S 2O 3溶液浓度进行标定,平行测定六次,测得其浓度为0.1033、0.1060、0.1035、0.1031、0.1022和0.1037 mol/L ,问上述六次测定值中,0.1060是否应舍弃?它们的平均值、标准偏差、置信度为95%和99%时的置信限及置信区间各为多少?解:(1)(2)(3)查G 临界值表,当n =6和置信度为95%时,G 6,0.05=1.89,即G ﹤G 6,0.05,故0.1060不应舍弃。
(4)求平均值的置信限及置信区间。
根据题意,此题应求双侧置信区间,即查t 检验临界值表中双侧检验的α对应的t 值: ①P =0.95:α=1-P =0.05;f =6-1=5;t 0.05,5=2.571,则置信度为95%时的置信限为±0.0014, 置信区间为0.1036±0.0014。
分析化学习题册答案第一章 绪论一、填空题1. 分析方法 分析原理2. 定量分析 定性分析 结构分析3. 化学分析 仪器分析二、简答题答 试样的采集和制备-试样分解-干扰组分的分离-分析测定-结果的计算和评价。
第二章误差与数据处理一、填空题1、系统,偶然2、系统,偶然,真实值,平均值3、0.002,0.0035,1.7%4、精密度,标准5、空白,对照,增加平行测定的次数量6、±0.02 ,±0.0002,20,0.27、5,28、准确,不确定9、3 10、28.70 11、系统,系统,偶然二、选择题1、A2、D3、B4、B5、D6、D7、B8、A9、B 10、C 11、C 三、简答题1.解:(1)产生系统误差。
通常应该烘干至恒重,于干燥器中冷却至室温后,置于称量瓶中,采用差减法称量。
(2)使测量结果产生系统误差。
一般可通过空白试验来消除由此引起的系统误差。
(3)产生偶然误差。
原因是滴定管读数的最后一位是估计值,是不确定的数字。
(4)产生系统误差。
应该使用基准物质重新标定NaOH 标准溶液的浓度。
(5)滴定终点颜色把握不准,深浅不一致,由此带来的误差正负不定,属于偶然误差。
2.称取0.1000g 的试样时,称量的相对误差为0.1%;称取1.000试样时的相对误差为0.01%。
因为分析天平的绝对误差为±0.1mg ,所以称量的绝对误差一样大,称量的准确度好象一致,但二者的相对误差不一样大,称量1.000g 试样的相对误差明显小于称量0.1000 g 试样的相对误差。
因此,用相对误差表示准确度比绝对误差更为确切。
3.甲的报告是合理的,因为取样质量只有两位有效数字,限制了分析结果的准确度,使分析结果最多也只能保留两位有效数字。
四、计算题1.解:应先计算出纯(NH 4)2SO 4试剂中氮的理论含量,再与测定结果进行比较。
ω(B)(理论值)=%100132.13214.01100%)SO)((NH(N)2424⨯⨯=⨯M M =21.21%绝对误差为:21.14%-21.21%=-0.07% 相对误差为:%.%..0301002121070-=⨯-2.解:计算过程(略),结果如下:第一组:1d = 0.24% S 1 = 0.28% RSD 1= 0.74% 第二组:2d =0.24% S 2 = 0.33% RSD 2= 0.87%第二组数据中的最大值为38.3,最小值为37.3;第一组的最大值为38.4,最小值为37.6。
第四章(相平衡)习题解答1.指出平衡体系的组分数、自由度(1)NH4Cl(s)部分解离为NH3(g)、HCl(g)K=S–R–R’=3–1–1 = 1f = K–φ +2 = 1–2 + 2 = 1(2)上述体系加少量NH3(g)K=S–R–R’=3–1–0 = 2f = K–φ +2 = 2–2 + 2 = 2(3)NH4HS(s)与任意量NH3(g)、H2S(g)平衡K=S–R–R’=3–1–0 = 2f = K–φ +2 = 2–2 + 2 = 2(4)C(s)、CO(g)、CO2(g)、O2(g)在100︒C平衡独立化学反应数为2: C(s)+O2(g)→CO2(g)2CO(g)+O2(g)→2CO2(g)K=S–R–R’=4–2–0 = 2f = K–φ +2 = 2–2 + 1 = 12. 本体系K=3,当f=0时,φ最大,即f=K-φmax+2=5-φmax=0,(1) 指定T,减少一个变量,f=(5-φmax)-1=0 φmax=4如冰,水和苯含苯甲酸的一对共轭溶液,气相(2) 指定T和水在苯甲酸中的浓度,减少二个变量,f=(5-φmax)-2=0 φmax=3如水和苯含苯甲酸的一对共轭溶液,气相(3) 指定T,p和水在苯甲酸中的浓度,减少三个变量,f=(5-φmax)-3=0 φmax=2如水和苯含苯甲酸的一对共轭溶液4.两相平衡线三相点AB:s正交↔g E:s正交↔ s斜方↔lBC:s斜方↔g B:s正交↔ s斜方↔gCD:l↔g C:s斜方↔l ↔gEB:s正交↔ s斜方G:s正交↔l ↔g(亚稳态)EC:s斜方↔lEC:s正交↔lX→Y变化:正交硫→转晶→斜方硫→熔化→5. 按Trouton 规则,11-v m ol K J 88TH -⋅⋅=∆∆H V =88⨯(273.2+61.5)=29454 J ⋅mol -1⎪⎪⎭⎫⎝⎛-∆-=12v 12T 1T 1R H p p ln ⎪⎭⎫ ⎝⎛+-+-=5.612.2731402.2731R 29454325.101p ln 2 p 2=48.99 kPa 6. ⎪⎪⎭⎫⎝⎛-∆-=12v 12T 1T 1RH p p ln ⎪⎪⎭⎫⎝⎛--=2.3731T 1R 40670325.10199.151ln2 T 2=385.1K=111.9︒C7. ⎪⎪⎭⎫ ⎝⎛-∆-=12v 12T 1T 1RH p p ln⎪⎭⎫⎝⎛+-+∆-=2.27323012.273901R H 3.101267.0ln v∆H V = 64454 J ⋅mol –1⎪⎪⎭⎫ ⎝⎛+--=2.2732301T 1R 644543.10133.1ln2 T 2=392.7K = 119.5︒C8.229.37T13115p ln +-=∆H 升华=-13115R=109044 J ⋅mol -1液←→气平衡,lnp ~1/T 的回归方程为90.26T8521p ln +-=∆H 汽化=-8521R=70848 J ⋅mol -1∆H 熔化=∆H 升华-∆H 汽化=38196 J ⋅mol -1(2) 三相点p ,T 是气液平衡线和气固平衡线的交点,联立两回归方程,解得 T=444.8 K=171.6 ︒C p=2298 Pa(3) T=500K 代入气液平衡回归方程,得沸点压力 p=19083 Pa9. 由0︒C 和10︒C 的蒸汽压求水的汽化热: ⎪⎪⎭⎫⎝⎛-∆-=12v 12T 1T 1R H p p ln⎪⎭⎫ ⎝⎛-∆-=27312831R H 6106.0228.1lnv ∆H v =44880 J ⋅mol -1求出升华热:∆H 升华= ∆H 熔化+∆H 汽化=333.5⨯18+44880=50883 J ⋅mol -1由0︒C 数据求出口处(-25︒C )的蒸气压:⎪⎪⎭⎫⎝⎛-∆-=1212T 1T 1R H p p ln升华 ⎪⎭⎫⎝⎛--=27312481R 508836106.0p ln2 p 2=0.637 kPa计算20︒C 时的蒸汽压(用10︒C 数据,也可用0︒C 数据):⎪⎪⎭⎫⎝⎛-∆-=12v 12T 1T 1RH p p ln⎪⎭⎫⎝⎛--=28312931R 44880228.1p ln2 p 2=2.31 kPa%==饱和蒸汽压实际蒸汽压相对湿度=72.231.20637.010. 1.54p 65.0p x p y *AA *A A ==总 p*A =37.45 kPap 总= p*A x A + p*B x B = 37.45⨯0.65 + p*B ⨯0.35 = 54.1p*B = 85.02 kPa11.2665.078/7092/3092/30M /70M /30M /30x ===苯甲苯甲苯甲苯++甲苯甲苯甲苯x p p ==4.89⨯0.2665=1.303 kPa苯苯苯x p p ==15.76⨯(1-0.2665)=11.56 kPap 总= p 甲苯+p 苯=12.86 kPa12.(1) 作相图(2) 物系组成为x=0.6,由相图,114︒C 时,气相x g =0.92,液相x l =0.53杠杆规则:22.06.092.053.06.0n n lg =--=(3) x=0.6时,沸点为110︒C ,提高到114︒C ,馏出物(气相)组成为0.92 (4) 完全蒸馏(精馏),馏出物为100%的HNO 3,残留液为0.38的恒沸物。
第二章 误差和分析数据处理1、 指出下列各种误差是系统误差还是偶然误差?如果是系统误差,请区别方法误差、仪器和试剂误差或操作误差,并给出它们的减免方法。
答:①砝码受腐蚀:系统误差(仪器误差);更换砝码。
②天平的两臂不等长:系统误差(仪器误差);校正仪器。
③容量瓶与移液管未经校准: 系统误差(仪器误差);校正仪器。
④在重量分析中,试样的非被测组分被共沉淀: 系统误差(方法误差);修正方法,严格沉淀条件。
⑤试剂含被测组分:系统误差(试剂误差);做空白实验。
⑥试样在称量过程中吸潮:系统误差;严格按操作规程操作;控制环境湿度。
⑦化学计量点不在指示剂的变色范围内: 系统误差(方法误差);另选指示剂。
⑧读取滴定管读数时,最后一位数字估计不准: 偶然误差;严格按操作规程操作,增加测定次数。
⑨在分光光度法测定中,波长指示器所示波长与实际波长不符: 系统误差(仪器误差);校正仪器。
⑩在HPLC 测定中,待测组分峰与相邻杂质峰部分重叠 系统误差(方法误差);改进分析方法11、两人测定同一标准试样,各得一组数据的偏差如下:① 求两组数据的平均偏差和标准偏差;② 为什么两组数据计算出的平均偏差相等,而标准偏差不等; ③ 哪组数据的精密度高? 解:①nd d d d d 321n++++=0.241=d 0.242=d12i -∑=n d s 0.281=s 0.312=s ②标准偏差能突出大偏差。
③第一组数据精密度高。
13、测定碳的相对原子质量所得数据:12.0080、12.0095、12.0099、12.0101、12.0102、12.0106、12.0111、12.0113、12.0118及12.0120。
求算:①平均值;②标准偏差;③平均值的标准偏差;④平均值在99%置信水平的置信限。
解:①12.0104i=∑=nx x ②0.00121)(2i =--∑=n x x s③0.00038==ns s④0.00120.000383.25 25.3t 92-2 0.01±=⨯±==±±==时,,查表置信限=f nstns tx u15、解:(本题不作要求),存在显著性差异。
精品文档.
第三章、滴定分析法概论.
第五章、配位滴定法.
精品文档第六章、氧化复原滴定法.
精品文档.
精品文档
第七章、沉淀滴定法和重量分析法.
精品文档
第八章、电位法和永停滴定法.
精品文档.
精品文档第九章、光谱分析法概论.
精品文档
第十章、紫外—可见分光光度计.
精品文档
第十一章、荧光分析法.
精品文档第十三章、原子分光光度法.
精品文档.
精品文档第二章.
精品文档第三章.
精品文档第五章第六章.
第十一章.
精品文档第十二章第十三章.
人卫版解析总结方案化学练习题
精品文档
.。
第十一章紫外-可见分光光度法思考题和习题1.名词解释:吸光度、透光率、吸光系数(摩尔吸光系数、百分吸光系数)、发色团、助色团、红移、蓝移。
2.什么叫选择吸收?它与物质的分子结构有什么关系?物质对不同波长的光吸收程度不同,往往对某一波长(或波段)的光表现出强烈的吸收。
这时称该物质对此波长(或波段)的光有选择性的吸收。
由于各种物质分子结构不同,从而对不同能量的光子有选择性吸收,吸收光子后产生的吸收光谱不同,利用物质的光谱可作为物质分析的依据。
3.电子跃迁有哪几种类型?跃迁所需的能量大小顺序如何?具有什么样结构的化合物产生紫外吸收光谱?紫外吸收光谱有何特征?电子跃迁类型有以下几种类型:σ→σ*跃迁,跃迁所需能量最大;n →σ*跃迁,跃迁所需能量较大,π→π*跃迁,跃迁所需能量较小;n→ π*跃迁,所需能量最低。
而电荷转移跃迁吸收峰可延伸至可见光区内,配位场跃迁的吸收峰也多在可见光区内。
分子结构中能产生电子能级跃迁的化合物可以产生紫外吸收光谱。
紫外吸收光谱又称紫外吸收曲线,是以波长或波数为横坐标,以吸光度为纵坐标所描绘的图线。
在吸收光谱上,一般都有一些特征值,如最大吸收波长(吸收峰),最小吸收波长(吸收谷)、肩峰、末端吸收等。
4.Lambert-Beer定律的物理意义是什么?为什么说Beer定律只适用于单色光?浓度C与吸光度A线性关系发生偏离的主要因素有哪些?朗伯-比耳定律的物理意义:当一束平行单色光垂直通过某溶液时,溶液的吸光度A与吸光物质的浓度c及液层厚度l成正比。
Beer定律的一个重要前提是单色光。
也就是说物质对单色光吸收强弱与吸收光物质的浓度和厚度有一定的关系。
非单色光其吸收强弱与物质的浓度关系不确定,不能提供准确的定性定量信息。
浓度C与吸光度A线性关系发生偏离的主要因素(1)定律本身的局限性:定律适用于浓度小于0.01 mol/L的稀溶液,减免:将测定液稀释至小于0.01 mol/L测定(2)化学因素:溶液中发生电离、酸碱反应、配位及缔合反应而改变吸光物质的浓度等导致偏离Beer定律。
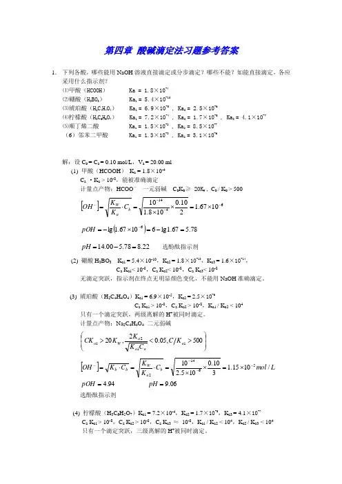
第四章 酸碱滴定法习题参考答案1. 下列各酸,哪些能用NaOH 溶液直接滴定或分步滴定?哪些不能?如能直接滴定,各应采用什么指示剂? ⑴甲酸(HCOOH ) Ka = 1.8×10-4⑵硼酸(H 3BO 3) Ka 1 = 5.4×10-10⑶琥珀酸(H 2C 4H 4O 4) Ka 1 = 6.9×10-5, Ka 2 = 2.5×10-6⑷柠檬酸(H 3C 6H 5O 7) Ka 1 = 7.2×10-4 , Ka 2 = 1.7×10-5 , Ka 3 = 4.1×10-7⑸顺丁烯二酸 Ka 1 = 1.5×10-2 , Ka 2 = 8.5×10-7 (6)邻苯二甲酸 Ka 1 = 1.3×10-3, Ka 2 = 3.1×10-6解:设C b = C a = 0.10 mol/L ,V a = 20.00 ml (1) 甲酸(HCOOH ) K a = 1.8×10-4 C a ·K a > 10-8,能被准确滴定计量点产物:HCOO —一元弱碱 C b K b ≥ 20K W , C b / K b > 500 []64141067.1210.0108.110----⨯=⨯⨯=⋅=b aW C K K OH()78.567.1lg 61067.1lg 6=-=⨯-=-pOH 22.878.500.14=-=pH 选酚酞指示剂(2) 硼酸H 3BO 3 K a1 = 5.4×10-10,K a2 = 1.8×10-13,K a3 = 1.6×10-14,C a K a1< 10-8,C a K a2< 10-8,C a K a3< 10-8无滴定突跃,指示剂在终点无明显颜色变化,不能用NaOH 准确滴定。
第二章 误差和分析数据处理1、 指出下列各种误差是系统误差还是偶然误差?如果是系统误差,请区别方法误差、仪器和试剂误差或操作误差,并给出它们的减免方法。
答:①砝码受腐蚀:系统误差(仪器误差);更换砝码。
②天平的两臂不等长:系统误差(仪器误差);校正仪器。
③容量瓶与移液管未经校准: 系统误差(仪器误差);校正仪器。
④在重量分析中,试样的非被测组分被共沉淀: 系统误差(方法误差);修正方法,严格沉淀条件。
⑤试剂含被测组分:系统误差(试剂误差);做空白实验。
⑥试样在称量过程中吸潮:系统误差;严格按操作规程操作;控制环境湿度。
⑦化学计量点不在指示剂的变色范围内: 系统误差(方法误差);另选指示剂。
⑧读取滴定管读数时,最后一位数字估计不准: 偶然误差;严格按操作规程操作,增加测定次数。
⑨在分光光度法测定中,波长指示器所示波长与实际波长不符: 系统误差(仪器误差);校正仪器。
⑩在HPLC 测定中,待测组分峰与相邻杂质峰部分重叠 系统误差(方法误差);改进分析方法11、两人测定同一标准试样,各得一组数据的偏差如下:① 求两组数据的平均偏差和标准偏差;② 为什么两组数据计算出的平均偏差相等,而标准偏差不等; ③ 哪组数据的精密度高? 解:①nd d d d d 321n++++=0.241=d 0.242=d12i -∑=n d s 0.281=s 0.312=s ②标准偏差能突出大偏差。
③第一组数据精密度高。
13、测定碳的相对原子质量所得数据:12.0080、12.0095、12.0099、12.0101、12.0102、12.0106、12.0111、12.0113、12.0118及12.0120。
求算:①平均值;②标准偏差;③平均值的标准偏差;④平均值在99%置信水平的置信限。
解:①12.0104i=∑=nx x ②0.00121)(2i =--∑=n x x s③0.00038==ns s④0.00120.000383.25 25.3t 92-2 0.01±=⨯±==±±==时,,查表置信限=f nstns tx u15、解:(本题不作要求),存在显著性差异。
第二章 误差和分析数据处理1、 指出下列各种误差是系统误差还是偶然误差?如果是系统误差,请区别方法误差、仪器和试剂误差或操作误差,并给出它们的减免方法。
答:①砝码受腐蚀:系统误差(仪器误差);更换砝码。
②天平的两臂不等长:系统误差(仪器误差);校正仪器。
③容量瓶与移液管未经校准: 系统误差(仪器误差);校正仪器。
④在重量分析中,试样的非被测组分被共沉淀: 系统误差(方法误差);修正方法,严格沉淀条件。
⑤试剂含被测组分:系统误差(试剂误差);做空白实验。
⑥试样在称量过程中吸潮:系统误差;严格按操作规程操作;控制环境湿度。
⑦化学计量点不在指示剂的变色范围内: 系统误差(方法误差);另选指示剂。
⑧读取滴定管读数时,最后一位数字估计不准: 偶然误差;严格按操作规程操作,增加测定次数。
⑨在分光光度法测定中,波长指示器所示波长与实际波长不符: 系统误差(仪器误差);校正仪器。
⑩在HPLC 测定中,待测组分峰与相邻杂质峰部分重叠 系统误差(方法误差);改进分析方法11、两人测定同一标准试样,各得一组数据的偏差如下:① 求两组数据的平均偏差和标准偏差;② 为什么两组数据计算出的平均偏差相等,而标准偏差不等; ③ 哪组数据的精密度高? 解:①nd d d d d 321n++++=0.241=d 0.242=d12i -∑=n d s 0.281=s 0.312=s ②标准偏差能突出大偏差。
③第一组数据精密度高。
13、测定碳的相对原子质量所得数据:12.0080、12.0095、12.0099、12.0101、12.0102、12.0106、12.0111、12.0113、12.0118及12.0120。
求算:①平均值;②标准偏差;③平均值的标准偏差;④平均值在99%置信水平的置信限。
解:①12.0104i=∑=nx x ②0.00121)(2i =--∑=n x x s③0.00038==ns s④0.00120.000383.25 25.3t 92-2 0.01±=⨯±==±±==时,,查表置信限=f nstns tx u15、解:(本题不作要求),存在显著性差异。
得查表8,05.08,05.021R 2121 306.2 22824649.346460008.04602.04620.00008.00008.0%08.0 4602.0%02.46 4620.0%20.46t t t f t S S S S S x x >=-=-+==+⨯-===========16、在用氯丁二烯氯化生产二氯丁二烯时,产品中总有少量的三氯丁二烯杂质存在。
分析表明,杂质的平均含量为1.60%。
改变反应条件进行试生产,取样测定,共取6次,测定杂质含量分别为:1.46%、1.62%、1.37%、1.71%、1.52%及1.40%。
问改变反应条件后,产品中杂质百分含量与改变前相比,有明显差别吗?(α=0.05时) 解:%.n S S .S x x 05306/%13.0/%130 1.51%=====1.7%053.0%60.1%51.1=-=-=xS x t μ计查表2-2,t 5,0.05=2.571,t 计算 < t 临界值 。
所以,改变反应条件后,杂志含量与改变前无明显差别。
17.解:HPLC 数据 :97.2%,98.1%,99.9%,99.3%,97.2%,98.1%(6次)%1.1 %3.98==S x ,化学法数据:97.8%,97.7%,98.1%,96.7%97.3%(5次)%54.0 %6.97==S x ,①用F 检验两种方法结果的精密度是否存在显著差别没有显著性差别说明两种方法的精密度时,、,查表计 26.64542,15.4%54.0%1.14,4,05.02122F F F f f F <===-== 用t 检验平均值是否有显著性差别)262.2(29.15656%895.0%6.97%3.98%895.0256%54.0)15(%1.1)16(2)1()1(9,05.02221222211R 2121R21t t n n S n S n S n n n n S x x t <=+⨯-==-+-+-=-+-+-=+⨯-=说明两种方法的平均值没有显著差别。
②在该项分析中,HPLC 法可以代替化学法。
18、解:①%35.0%1001021.0000354.0%100000354.0)mol/L (1021.051018.01020.01021.01027.01019.0L 0.1027mol/ 89.1605.06-2695.10.0003541021.01027.0S 000354.0)mol/L (1021.051018.01020.01021.01027.01019.0=⨯=⨯===++++=∴<===-=-===++++=xS RSD S x G G G x x G S x ②这个数据应保留次,,测定,查表临界值计算临界值可疑α19、解:92.074.2656.0032.474.2032.4%9959.074.2656.0571.274.2571.2%955,01.05,05.0±=⨯±===±=⨯±===±=u t P u t P nStx u 时,时, 第三章 滴定分析法概论7、解:不可直接配制标准溶液的物质:NaOH ,化学性质不稳定 HCl ,不是固体,难得到纯净物 H 2SO 4,不是固体 KMnO 4,难制得纯度高的纯净物 Na 2S 2O 3,难制得纯净物,化学性质不稳定9、(1)读数偏大,结果(HCl)浓度偏低 (2)0.1248 > 0.1238,结果偏高(3)HCl 浓度比真实浓度低,需要消耗更多的HCl ,结果偏低(4)相同质量的碳酸氢钠比碳酸钠消耗的盐酸少,导致消耗盐酸体积减小,盐酸浓度测定值偏高10、写出下列各体系的质子条件式。
解:(1)NH 4H 2PO 4:[H +]+[H 3PO 4]=[OH -]+[HPO 42-]+2[PO 43-] (2)H 2SO 4(C 1)+HCOOH(C 2):[H +]=[OH -]+[HSO 4-]+2[SO 42-]+[HCOO -] (3)NaOH(C 1)+NH 3(C 2):[H +]+C 1+[NH 4+]=[OH -] (4)HAc(C 1)+NaAc(C 2):[H +]=[OH -]+[Ac -]-C 2 (5)HCN(C 1)+NaOH(C 2):[H +]+C 2=[OH -]+[CN -]11、写出①H 3AsO 4②MgBr 2水溶液的电荷平衡式。
解:① [OH -]+[H 2AsO 4-]+2[HAsO 42-]=[H +]② 2[Mg 2+]=[OH -]+[Br -]12、写出c mol/L Zn 2[Fe(CN)6]水溶液的质量平衡式。
解:c Zn 2+=2c Zn 2[Fe(CN)6]=2c[Fe(CN)64-]+[Fe(CN)53-]+[Fe(CN)42-]+[Fe(CN)3-]+[Fe(CN)2]+[Fe(CN)+]+[Fe 2+]=c 6[Fe(CN)64-]+5[Fe(CN)53-]+4[Fe(CN)42-]+3[Fe(CN)3-]+2[Fe(CN)2]+[Fe(CN)+]+ [CN -]+[HCN]=6c15、欲使滴定时消耗0.1mol/LHCl 溶液20~25mL ,问应取基准试剂Na 2CO 3多少克?此时称量误差能否小于0.1%?解:Na 2CO 3+2HCl==2NaCl+H 2CO 32)(3232CO Na HCl CO Na M cV m ⋅=V =20mL 时:0.11g 21060.1010203CO Na 32=⨯⨯⨯=-mV =25mL 时:0.13g 21060.1010253CO Na 32=⨯⨯⨯=-m差减称量法两次称量,误差为±0.2mg 。
∴称量误差不能小于0.1%。
16、已知1mL 某HCl 标准溶液中含氯化氢0.004374g/mL ,试计算:①该HCl 溶液对NaOH 的滴定度②该HCl 溶液对CaO 的滴定度。
解:HCl+NaOH==NaCl+H 2O2HCl+CaO==CaCl 2+H 2OmL 0.004793g/0.00437436.540HCl/NaOH=⨯=T mL 0.003355g/0.004374236.556HCl/CaO=⨯⨯=T17、解: CaCO 3 ~ 2HCl%2.98%1002500.010454.209.100%100)mmol (454.2)00.131225.0252600.0(21213s HCl =⨯⨯⨯=⨯⨯==⨯-⨯==-m n M w n n 碳酸钙碳酸钙碳酸钙碳酸钙18、二元弱酸H 2A ,已知pH=1.92时,δH2A =δHA-;pH=6.22时,δHA-=δA2-。
计算:①H 2A 的p K a1和p K a2②HA -溶液的pH 。
解:①p K a1=1.92,p K a2=6.22② 4.07)p (p 21pH a2a1=+=K K第四章 酸碱滴定法1、下列各酸,哪些能用NaOH 溶液直接滴定或分步滴定?哪些不能?如能直接滴定,各应采用什么指示剂?(1) 甲酸(HCOOH) K a =1.8×10-4答:cK a >10-8,可以直接滴定。
可以采用酚酞指示剂 (2) 硼酸(H 3BO 3) K a1=5.4×10-10答:cK a1<10-8,不可以直接滴定。
(3) 琥珀酸(H2C4H4O4) K a1=6.9×10-5,K a2=2.5×10-6答:cK a1>10-8,cK a2>10-8,但K a1/K a2<105。
不能分步滴定,但可以直接一次性滴定。
(4) 柠檬酸(H3C6H5O7) K a1=7.2×10-4,K a2=1.7×10-5,K a3=4.1×10-7答:cK a1>10-8,cK a2>10-8,cK a3≈10-8但K a1/K a2<105,K a2/K a3<105。
不能分步滴定,但可以直接一次性滴定。
(5) 顺丁烯二酸K a1=1.5×10-2,K a2=8.5×10-7答:cK a1>10-8,cK a2≈10-8,且K a1/K a2>104。
可以分步滴定。
*若要求误差<0.3%,则不能准确分步滴定(6) 邻苯二甲酸K a1=1.3×10-3,K a2=3.1×10-6答:CK a1>10-8,CK a2>10-8,但K a1/K a2<104。