2014-2015学年第一学期高一数学试卷(含答案)
- 格式:doc
- 大小:655.00 KB
- 文档页数:8
高一期末数学试题第I 卷 (选择题, 共60分)一、选择题(本大题共12小题,每小题5分,共60分,在每小题给出的四个选项中,只有一项是符合题目要求的.) 1.480sin 的值为( )A .21-B .23- C.21 D.23 2.若集合},2|{R x y y M x ∈==,}1|{-==x y x P ,则=P M ( )A.),1(+∞B.),1[+∞C.),0(+∞D.),0[+∞ 3.已知幂函数)(x f y =通过点)22,2(,则幂函数的解析式为( )A.212x y =B.21x y =C.23x y = D.2521x y =4.已知54sin =α,并且α是第二象限角,那么αtan 的值等于( ) A .34- B .43- C.43 D.345.已知点)3,1(A ,)1,4(-B ,则与向量同方向的单位向量为( )A.)54,53(- B.)53,54(- C.)54,53(- D.)53,54(-6.设αtan ,βtan 是方程0232=+-x x 的两根,则)tan(βα+的值为( ) A .3- B .1- C .1 D .37.已知锐角三角形ABC 中,4||=,1||=,ABC ∆的面积为3,则⋅的值为( )A.2B.2-C.4D.4-8.已知函数)cos()sin()(βπαπ+++=x b x a x f ,且3)4(=f ,则)2015(f 的值为( ) A .1- B .1 C .3 D .3-9.下列函数中,图象的一部分如图所示的是( )A.)6sin(π+=x y B.)62sin(π-=x y C.)34cos(π-=x y D.)62cos(π-=x y 10.在斜ABC ∆中,C B A cos cos 2sin ⋅-=,且21tan tan -=⋅C B ,则角A 的值为( )A .4π B.3π C .2π D.43π 11.已知)3(log )(221a ax x x f +-=在区间),2[+∞上是减函数,则实数a 的取值范围是( )A.]4,(-∞B.)4,(-∞C.]4,4(-D.]4,4[- 12.已知函数)6(sin 22cos 1)(2π--+=x x x f ,其中R x ∈,则下列结论中正确的是( )A.)(x f 是最小正周期为π的偶函数B.)(x f 的一条对称轴是3π=xC.)(x f 的最大值为2D.将函数x y 2sin 3=的图象左移6π个单位得到函数)(x f 的图象第Ⅱ卷 (非选择题, 共90分)二、填空题(本大题共4小题,每小题5分,共20分,将答案填在答题卡相应的位置上.) 13.已知向量,夹角为45,且1||=a ,10|2|=-,则=||________.14.已知函数⎪⎩⎪⎨⎧>-≤=)2000(100)2000(3cos 2)(x x x x x f π则=)]2014([f f ________.15.如图所示,3=, O 在线段CD 上,且O 不与端点C 、D 重合,若AC m AB m AO )1(-+=,则实数m 的取值范围为______.16.设)(x f 与)(x g 是定义在同一区间],[b a 上的两个函数,若函数)()(x g x f y -=在],[b a x ∈上有两个不同的零点,则称)(x f 和)(x g 在],[b a 上是“关联函数”,区间],[b a 称为“关联区间”.若43)(2+-=x x x f 与m x x g +=2)(在]3,0[上是“关联函数”,则m 的取值范围为________.三、解答题(本大题共6小题,共70分,解答应写出文字说明,证明过程或演算步骤.) 17.(本题满分10分)计算:10cos 310sin 1-18.(本题满分12分)已知)23sin(2)3sin(απαπ+=+,求下列各式的值:(1)ααααcos 2sin 5cos 4sin +-;(2)αα2sin sin 2+.19.(本题满分12分)已知4||=,8||=,与的夹角是120. (1)计算:①||+,②|24|-; (2)当k 为何值时,?)()2(b a k b a -⊥+20.(本题满分12分)若函数)43lg(2x x y +-=的定义域为M .当M x ∈时,求x x x f 432)(2⨯-=+的最值及相应的x 的值.21.(本题满分12分)已知定义在区间),0(+∞上的函数)(x f 满足)()()(2121x f x f x x f -=,且当1>x 时,0)(<x f .(1)求)1(f 的值; (2)判断)(x f 的单调性;(3)若1)3(-=f ,求)(x f 在]9,2[上的最小值.22.(本题满分12分)若0>a ,函数b a x x x a x f +++-=3)cos cos sin 3(2)(2,当]2,0[π∈x 时,1)(5≤≤-x f .(1)求常数a ,b 的值; (2)设)2()(π+=x f x g 且,求]1)(lg[-x g 的单调区间.高一期中数学试题一、选择题DBCAAA ADDACD三、填空题13.23 14.2 15.)0,31(- 16.]4,49[- 三、解答题17.(本题满分10分)计算: 418.(本题满分12分)解:由已知得sin α=2cos α. (1)原式=2cos α-4cos α5×2cos α+2cos α=-16.(2)原式=sin 2α+2sin αcos αsin 2α+cos 2α=sin 2α+sin 2αsin 2α+14sin 2α=85. 19.(本题满分12分)解:由已知得,a ·b =4×8×⎝ ⎛⎭⎪⎫-12=-16.(1)①∵|a +b |2=a 2+2a ·b +b 2=16+2×(-16)+64=48,∴|a +b |=4 3. ②∵|4a -2b |2=16a 2-16a ·b +4b 2=16×16-16×(-16)+4×64=768, ∴|4a -2b |=16 3. (2)∵(a +2b )⊥(k a -b ), ∴(a +2b )·(k a -b )=0, ∴k a 2+(2k -1)a ·b -2b 2=0,即16k -16(2k -1)-2×64=0.∴k =-7. 即k =-7时,a +2b 与k a -b 垂直.20.(本题满分12分)∵y=lg(3-4x+x 2),∴3-4x+x 2>0, 解得x <1或x >3, ∴M={x|x <1或x >3}, f(x)=2x+2-3×4x =4×2x -3×(2x )2. 令2x =t,∵x <1或x >3,∴t >8或0<t <2.设g(t)=4t-3t 2∴g(t)=4t-3t 2=-3(t-23)2+43(t >8或0<t <2). 由二次函数性质可知: 当0<t <2时,g(t)∈(-4,43], 当t >8时,g(t)∈(-∞,-160), ∴当2x =t=23,即x=log 223时,f(x)max =43.综上可知:当x=log 223时,f(x)取到最大值为43,无最小值.21.(本题满分12分)(1)令x 1=x 2>0,代入得f (1)=f (x 1)-f (x 1)=0,故f (1)=0.(2)任取x 1,x 2∈(0,+∞),且x 1>x 2, 则x 1x 2>1,由于当x >1时,f (x )<0, 所以f ⎝⎛⎭⎫x 1x 2<0,即f (x 1)-f (x 2)<0,因此f (x 1)<f (x 2),所以函数f (x )在区间(0,+∞)上是单调递减函数. (3)∵f (x )在(0,+∞)上是单调递减函数. ∴f (x )在[2,9]上的最小值为f (9). 由f ⎝⎛⎭⎫x 1x 2=f (x 1)-f (x 2)得,f ⎝⎛⎭⎫93=f (9)-f (3), 而f (3)=-1,∴f (9)=-2. ∴f (x )在[2,9]上的最小值为-2. 22.(本题满分12分)f (x )=-2a sin ⎝ ⎛⎭⎪⎫2x +π6+2a +b(1)∵x ∈⎣⎢⎡⎦⎥⎤0,π2,∴2x +π6∈⎣⎢⎡⎦⎥⎤π6,7π6.∴sin ⎝ ⎛⎭⎪⎫2x +π6∈⎣⎢⎡⎦⎥⎤-12,1,∴-2a sin ⎝ ⎛⎭⎪⎫2x +π6∈[-2a ,a ]. ∴f (x )∈[b,3a +b ], 又∵-5≤f (x )≤1,∴b =-5,3a +b =1,因此a =2,b =-5. (2)由(1)得,f (x )=-4sin ⎝ ⎛⎭⎪⎫2x +π6-1,g (x )=f ⎝ ⎛⎭⎪⎫x +π2=-4sin ⎝ ⎛⎭⎪⎫2x +7π6-1=4sin ⎝ ⎛⎭⎪⎫2x +π6-1,又由lg g (x )>0,得g (x )>1, ∴4sin ⎝ ⎛⎭⎪⎫2x +π6-1>1,∴sin ⎝ ⎛⎭⎪⎫2x +π6>12,∴2k π+π6<2x +π6<2k π+5π6,k ∈Z ,其中当2k π+π6<2x +π6≤2k π+π2,k ∈Z 时,g (x )单调递增,即k π<x ≤k π+π6,k ∈Z ,∴g (x )的单调增区间为⎝ ⎛⎦⎥⎤k π,k π+π6,k ∈Z . 又∵当2k π+π2<2x +π6<2k π+5π6, k ∈Z 时,g (x )单调递减, 即k π+π6<x <k π+π3,k ∈Z .∴g (x )的单调减区间为⎝ ⎛⎭⎪⎫k π+π6,k π+π3,k ∈Z .。
朔州市一中2014-2015学年第一学期期中考试高一数学试题 命题人:冯占胜(时间120分钟,满分150分)一、选择题:(本大题共12小题,每小题5分,共60分. 在每小题给出的四个选项中,只有一项是符合题目要求的)1.已知全集(}.7,5,3,1{},6,4,2{},7.6,5,4,3,2,1{ A B A U 则===B C U )等于( )A .{2,4,6}B .{1,3,5}C .{2,4,5}D .{2,5}2.设集合M={x|-2≤x ≤2},N={y|0≤y ≤2},给出下列四个图形,其中能表示以集合M 为定义域,N 为值域的函数关系的是( )3.下列各组函数是同一函数的是 ( )①()f x =()g x = ②()f x x =与()g x = ③0()f x x =与g (x )=1; ④2()21f x x x =--与2()21g t t t =--。
A 、①②B 、②③C 、③④D 、②④4.如果函数2()2(1)2f x x a x =+-+在区间(],4-∞上单调递减,那么实数a 的取值范围是( )A 、3a -≤B 、3a -≥C 、a ≤5D 、a ≥5 5.函数22log 2xy x-=+的图象( ) A .关于原点对称 B .关于直线y x =-对称 C .关于y 轴对称 D .关于直线y x =对称6.已知()f x =5(6)(4)(6)x x f x x -≥⎧⎨+<⎩,则(3)f 的值为 ( )A .2B .5C .4D .3 7.若0.52a =,πlog 3b =,2log 0.5c =,则( )A.a b c >>B.b a c >>C.c a b >>D.b c a >>8.函数()12x f x -=的图象是 ( )9.已知函数f (x)14x a -=+的图象恒过定点P ,则点P 的坐标是 ( ) A .( 1,5 ) B .( 1, 4) C .( 0,4) D .( 4,0)10.若定义运算b a ba b aa b <⎧⊕=⎨≥⎩,则函数()212log log f x x x =⊕的值域是( ) A .[)0,+∞ B . (]0,1 C . [)1,+∞ D . R 11.函数]1,0[在x a y =上的最大值与最小值的和为3,则=a ( )A .21B .2C .4D .4112. 下列函数中,在()0,2上为增函数的是( ) A 、12log (1)y x =+ B 、2log y =C 、21log y x = D 、2log (45)y x x =-+ 二、填空题(本大题4小题,每小题5分,共20分) 13.函数y = .14.已知幂函数)(x f y =的图象过点=)9(),2,2(f 则 .15.已知函数3,1,(),1,x x f x x x ⎧≤=⎨->⎩ 若()2f x =,则x = .16.数学老师给出一个函数()f x ,甲、乙、丙、丁四个同学各说出了这个函数的一条性质甲:在(,0]-∞上函数单调递减; 乙:在[0,)+∞上函数单调递增;丙:在定义域R 上函数的图象关于直线x =1对称; 丁:(0)f 不是函数的最小值.老师说:你们四个同学中恰好有三个人说的正确. 那么,你认为_________说的是错误的.三、解答题:(本大题共6小题,共70分,解答应写出必要文字说明,证明过程或演算步骤)17.(本题满分10分)设{}{}24,21,,5,1,9A a a B a a =--=--,已知{}9A B =,求a 的值。
林东一中2014—2015学年度第一学期期中考试高一数学试卷(B 卷)(满分150,时间120分钟)一、选择题(每题5分,共60分)1、{}0652=++x x x 等于 ( )A 、{2,3}B 、{(2,3)}C 、{-2,-3}D 、{(-2,-3)}2、已知集合M={0,1,2,3,4},N={1,3,5},P=M ⋂N ,则P 的子集共有 ( )A 、2个B 、4个C 、6个D 、8个 3、已知814=x ,那么x 等于 ( ) A 、3 B 、-3 C 、-3或3 D 、不存在 4、已知32)(+=x x f ,)()2(x f x g =+。
则)(x g 等于 ( ) A 、12+x B 、12-x C 、32-x D 、72+x5、函数22)(x x x f -=在区间(0,3)上的最大值、最小值分别为( ) A 、1,-3 B 、0,-3 C 、无最大值,-3 D 、1,无最小值6、方程0)lg(ln =x 的解为x 等于 ( ) A 、1 B 、e C 、10 D 、π7、函数)(x f 是定义域在R 上的奇函数。
若0≥x 时x x x f 2)(2+=,则)2(-f 等于 ( )A 、8B 、4C 、-8D 、0 8、函数)1lg(+=x y 的图像大致是 ( )9、函数1+=x a y (a>0且a ≠1)图像恒过定点 ( ) A 、(0,1) B 、(2,1) C 、(2,0) D 、(0,2)10、函数12)5()(---=m x m m x f 是幂函数,且当),0(+∞∈x 时)(x f 是增函数。
则实数m= ( ) A 、3或-2 B 、-2 C 、3 D 、-3或211、若5.148.09.0)21(,8,4-===c b a 。
则c b a ,,的大小是 ( )A 、a>b>cB 、a<b<cC 、a<c<bD 、b<c<a12、已知函数[][]{11211)(,,,,-∈-∉=x x x x f ,若()[]2=x f f 。
2014-2015学年度第一学期高一12月月考数学试卷2014-12-13一、填空题(本大题共14个小题,每小题5分,共70分)1.若角α与角β的终边关于y 轴对称,则α与β的关系是___________. 2.在函数y = 2sin(4x +32π)图象的对称中心中,离原点最近的点的坐标是___________. 3.已知函数y=cosx 与y=sin (2x+φ)(0≤φ<π),它们的图象有一个横坐标为的交点,则φ的值是________.4.函数=)(x f ⎩⎨⎧<+-≥0,1)3(0,x x a x a x 为R 上的单调增函数,则实数a 的取值范围为 ____.5.函数f (x )=236)21lg(cos x x -+-的定义域是________________________.6.将函数y =sin2x 的图象向左平移6π个单位, 再向上平移1个单位,所得图象的函数解析式是___________.7.已知函数f (x )=2sin(2x +α) (|α|≤2π) 的图象关于直线x =3π对称,则α= . 8.函数)23sin(xy -=π的单调递增区间是____________. 9.设f (x )是R 上的奇函数,当0≥x 时,f (x )=a x x+-22(a 为常数),则当0<x 时f (x )= _______.10.已知函数)tan(x y ω=在)2,2(ππ-内是减函数,则ω的取值范围是__________.11.设函数2)(-+=x e x f x ,3ln )(2-+=x x x g ,若实数b a ,满足0)(=a f ,0)(=b g 请将0,)(),(a g b f 按从小到大的顺序排列 (用“<”连接).12.函数11-=+x xy 与x y πsin 2=(42≤≤-x )的图象所有交点横坐标之和是 . 13.已知函数f(x)是定义在R 上的奇函数,且当x ≥0时,f(x)=2x ,若对任意的[]2,+∈t t x 不等式f(x+t)≥2f(x)恒成立,则实数t 的取值范围是 . 14.关于f (x )=4sin⎝⎛⎭⎫2x +π3(x ∈R ),有下列命题:(1)由f (x 1)=f (x 2)=0可得x 1-x 2是π的整数倍;(2)y =f (x )的表达式可改写成y =4cos ⎝⎛⎭⎫2x -π6; (3)y =f (x )图象关于⎝⎛⎭⎫-π6,0对称;(4)y =f (x )图象关于x =-π6对称.其中正确命题的序号为___________________.将填空题答案填在下列区域内:1.____________________ 2.______________________ 3._________________________ 4.____________________ 5.______________________ 6._________________________ 7.____________________ 8.______________________ 9._________________________ 10.___________________11._____________________12._________________________13.____________________ 14.______________________二、解答题(本大题共6个小题,共90分,解答应写出文字说明、证明过程或演算步骤)15.(本题14分)已知函数f (x )=a sin ⎝⎛⎭⎫2x +π3+1(a >0)的定义域为R ,若当-7π12≤x ≤-π12时,f (x )的最大值为2,(1)求a 的值;(2)用五点法作出函数在一个周期闭区间上的图象.(3)写出该函数的对称中心的坐标. 16.(本题15分)下图为函数)20,0,0()sin()(πϕωϕω<<>>++=A c x A x f 图像的一部分.(1)求函数f (x )的解析式,并写出f (x )的振幅、周期、初相; (2)求使得f (x )>25的x 的集合 ; (3)函数f (x )的图像可由函数y =sin x 的图像经过怎样的变换而得到?17.(本题14分)已知函数cos 2(0)6y a b x b π=-+>⎛⎫⎪⎝⎭的最大值为23,最小值为21-.(1)求b a ,的值;(2)求函数)3sin(4)(π--=bx a x g 的最小值并求出对应x 的集合.18.(本题15分)已知函数]2,0[],21,23[,1sin 2)(2παx αx x x f ∈-∈-+=. (1)当6πα=时,求f (x )的最大值和最小值,并求使函数取得最值的x 的值;(2) 求α的取值范围,使得f (x )在区间]21,23[-上是单调函数.19.(本题16分)设函数xxaka x f --=)((a >0且1≠a ,R k ∈),f (x )是定义域为R 的奇函数.(1)求k 的值,判断并证明当a >1时,函数f (x )在R 上的单调性;(2)已知f (1)=,函数g (x )=a 2x +a﹣2x﹣2f (x ),]1,1[-∈x ,求g (x )的值域;(3)已知a=3,若f (3x )≥λ•f (x )对于]2,1[∈x 时恒成立.请求出最大的整数λ.20(本题16分)函数f (x )=Asin(ωx +ϕ)(A >0,ω>0,|ϕ|<π2)的一段图象(如图所示)(1) 求其解析式.(2)令g (x )=1)(2)(2)(2-+-x f x f x f ,当]4,0[π∈x 时,求g (x )的最大值.高一数学12月月考答案1. )(2Z k k ∈+=+ππβα2. )0,12(π3.6π 4. (1,3)5. ]6,35()3,3()35,6[ππππ --- 6. 1)32sin(++=πx y7. 6π-8. ]4311,435[ππππk k ++,(Z k ∈) 9. 122+---x x10. )0,1[-11.g (a )<0<f (b ) 12. 413.),2[+∞ 14. (2)(3)15. 已知函数f (x )=a sin ⎝⎛⎭⎫2x +π3+1(a >0)的定义域为R ,若当-7π12≤x ≤-π12时,f (x )的最大值为2,(1)求a 的值;(2)用五点法作出函数在一个周期闭区间上的图象。
2014-2015学年上学期高一期中测试数学试题(含答案)第I 卷(选择题共60分)一、选择题(本大题共12小题,每小题5分,共60分,在每个小题给出的四个选项中,只有一项是符合要求的)1.下列函数中,既是偶函数又在+∞(0,)单调递增的函数是( ) A .3y x = B . 1y x =+ C .21y x =-+ D . 2x y -= 2.在同一坐标系中,表示函数log a y x =与y x a =+的图象正确的是( )A B C D 3.若1log 12a<,则a 的取值范围是( ) A .1(0,)(1,)2+∞ B .1(,1)2 C .(1,)+∞ D .1(,1)(1,)2+∞4.已知函数f (x )为定义在R 上的奇函数,当x ≥0时, ()22x f x x m =++ (m 为常数),则(1)f -的值为( )A .-3B .-1C .1D .3 5.设全集U =R ,{}|0P x f x x ==∈R (),,{}|0Q x g x x ==∈R (),,{}|0S x x x ϕ==∈R (),,则方程220f x x x ϕ=()+g ()()的解集为( )A . P Q SB .P QC .P Q S ()D . P Q S u (C )5.设9.0log 5.0=a ,9.0log 1.1=b ,9.01.1=c ,则c b a , ,的大小关系为( ) A .c b a << B .c a b << C .a c b << D .b c a << 6.设}3 2, ,21,31 ,1{-∈α,若函数αx y =是定义域为R 的奇函数,则α的值为( ) A .3 ,31 B .3 ,31 ,1- C .3 ,1- D .31 ,1-7.已知函数)(x f 是奇函数,当0>x 时,)1 ,0( )(≠>=a a a x f x ,且3)4(log 5.0-=f ,则a 的值为( )A .3B .3C .9D .23 8.已知函数⎪⎩⎪⎨⎧>-≤=-)1( )23(log )1( 2)(2x x x x f x ,若4)(=a f ,则实数=a ( )A .2-或6B .2-或310 C .2-或2 D .2或310 9.方程021231=⎪⎭⎫⎝⎛--x x 的解所在的区间为( ) A .) 1 ,0 ( B .) 2 ,1 ( C .) 3 ,2 ( D .) 4 ,3 (10.已知函数bx ax y +=2和xbay =|)| || ,0(b a ab ≠≠在同一直角坐标系中的图象不可能... 是( )11.已知函数)3(log 221a ax x y +-=在区间) ,2[∞+上是减函数,则a 的取值范围是( )A .)4 ,(-∞B .]4 ,4[-C .]4 ,4(-D .]4 ,(-∞12.若在直角坐标平面内B A ,两点满足条件:①点B A ,都在函数)(x f y =的图象上;②点B A ,关于原点对称,则称B A ,为函数)(x f y =的一个“黄金点对”.那么函数=)(x f ⎪⎩⎪⎨⎧>≤-+)0( 1)0( 222x x x x x 的“黄金点对”的个数是( ) A .0个 B .1个 C .2个 D .3个第Ⅱ卷(非选择题,共90分)二、填空题:本题共4小题,共20分.13.已知集合}06|{2=--=x x x M ,}01|{=+=ax x N ,且M N ⊆,则由a 的取值组成的集合是 .14.若x x f =)(log 5,则=-)9log 2(log 255f .15.已知定义在R 上的偶函数)(x f 满足0)1(=-f ,并且)(x f 在)0 ,(-∞上为增函数.若0)( <a f a ,则实数a 的取值范围是 .16.已知函数()x f 的定义域是}0|{≠∈=x R x D ,对任意D x x ∈21 ,都有:=⋅)(21x x f)()(21x f x f +,且当1>x 时,()0>x f .给出结论:①()x f 是偶函数;②()x f 在()∞+ ,0上是减函数.则正确结论的序号是 .三、解答题:本大题共6小题,共70分,解答应写出必要的文字说明、证明过程及演算步骤。
江西省赣州一中2014-2015学年高一上学期第一次月考数学试卷(解析版)一、选择题1.下列能构成集合的是( )A.中央电视台著名节目主持人B.我市跑得快的汽车C.赣州市所有的中学生D.赣州的高楼 【答案】C 【解析】试题分析:构成集合的元素必须是确定的,根据这一点可知:C 是正确的,而A 、B 、D 中所涉及到的对象都是模糊的、不确定的,故不能构成集合,故选择C. 考点:集合的性质.2.若{}|110C x N x =∈≤<,则( )A.5C ∉B.5C ⊆C.5C ⊂≠D.5C ∈【答案】D 【解析】试题分析:对于元素与集合的关系应从“属于”和“不属于”考虑,对于集合与集合的关系应从“包含”和“不包含”考虑,将集合C 用列举法表示{1,2,3,4,5,6,7,8,9}C =,则不难发现选择D 正确.考点:元素与集合的关系.3.函数{}()1,1,1,2f x x x =+∈-的值域是( )A. 0、2、3B. {|03}y y ≤≤C. }3,2,0{D. ]3,0[【答案】C 【解析】试题分析:函数的值域必须是所有函数值的全体,定义域和值域必须用集合或区间表示,计算(1)110,(1)112,(3)213f f f -=-+==+==+=,所以函数值分别为0,2,3,所以值域为{0,2,3},故选择C.考点:函数的值域.4.下列函数是幂函数的是( )A.22y x =B.3y x x =+C.3xy = D.12y x = 【答案】D 【解析】试题分析:形如y x α=的函数称为幂函数,据此只有12y x =才符合幂函数的定义,故选择D.考点:幂函数的概念.5.方程260x px -+=的解集为M ,方程260x x q +-=的解集为N ,且{2}M N =I ,那么p q +=( )A. 21B. 8C. 6D. 7【答案】A 【解析】试题分析:由{2}M N =I 可知,2是方程260x px -+=和方程260x x q +-=的唯一的公共解,所以4260p -+=且4120q +-=,解得5,16p q ==,此时{2,3}M =,{8,2}N =-,符合题意,所以21p q +=.考点:一元二次方程与集合的运算交集.6.设全集为R ,集合2{|90}A x x =-<,{|15}B x x =-<≤,则()R A C B I ( ) A.(3,0)- B.(3,1)-- C.(3,1]-- D.(3,3)- 【答案】C 【解析】试题分析:先化简集合2{|90}{|33}A x x x x =-<=-<<,{|1R C B x x =≤-或5}x >,因此(){|31}(3,1]R A C B x x =-<≤-=--I ,故选择C. 考点:集合的运算交集与补集及一元二次不等式.7.已知函数2(31)32f x x x +=++,则(4)f =( )A.30B.6C.210D.9 【答案】B 【解析】试题分析:令314x +=,则1x =,代入2(31)32f x x x +=++得2(4)13126f =+⨯+=,故选择B.考点:复合函数的求值.8.已知53()4f x ax bx cx =++-其中,a b 为常数,若(2)2f -=,则(2)f 的值等于( )A.2-B.4-C.6-D.10-【答案】D 【解析】试题分析:53(2)(2)(2)(2)42f a b c -=⋅-+⋅-+⋅--=,得532226a b c ++=-,所以53(2)22246410f a b c =⋅+⋅+⋅-=--=-,故选择D.考点:奇函数性质的应用.9.已知函数()y f x =是R 上的偶函数,且()f x 在),0[+∞上是减函数,若()(2)f a f ≥-, 则a 的取值范围是( )A.2-≤aB.2≥aC.2a ≤-或2a ≥D.22≤≤-a 【答案】D 【解析】试题分析:因为函数()y f x =是R 上的偶函数,且()f x 在),0[+∞上是减函数,所以()f x 在(,0]-∞上是增函数,函数的图象关于y 轴对称,由()(2)f a f ≥-,得|||2|a ≤-,解得22a -≤≤,故选择D.考点:: 偶函数性质的应用.10.设,A B 是两个集合,①A R =,{|0}B y y =>,:||f x y x →=;②{|0}A x x =>,{|}B y y R =∈,:f x y →= ③}21|{≤≤=x x A ,}41|{≤≤=y y B ,23:-=→x y x f . 则上述对应法则f 中,能构成A 到B 的映射的个数为( ) A.3 B.2 C.1 D.0 【答案】C 【解析】试题分析:①不是映射,因为当0x =时,应对应于0y =,但集合B 中没有0,所以构成不了映射;②也不是映射,因为对于任意一个0x >的取值,都有两个函数值与之对应,不满足映射定义中的唯一性,所以构成不了映射;③满足映射的定义,当[1,2]x ∈时,按照法则23:-=→x y x f ,在集合B 中有唯一的一个元素y 与之对应,故选择C. 考点:映射的概念.二、填空题11.幂函数()f x 的图象过点,则()f x 的解析式是___________________.【答案】()f x =【解析】试题分析:设幂函数为()f x x α=,将点代入得3α=,解得12α=,所以12()f x x =,即()f x =考点:幂函数的概念 12.若函数232++=x x y 的值域是___________________. 【答案】(,2)(2,)-∞+∞.【解析】试题分析:因为2312222x y x x +==-≠++,所以函数的值域为{|y y R ∈且2}y ≠或(,2)(2,)-∞+∞考点:分式函数的值域.13.函数2()42f x x a x =++在区间(,6)-∞上递减,则实数a 的取值范围是___________________. 【答案】3a ≤-. 【解析】试题分析:222()42(2)22f x x ax x a a =++=++-的减区间为(,2)a -∞-,增区间为(2,)a -+∞,现在()f x 在区间(,6)-∞上递减,所以26a -≥,即3a ≤-.考点:二次函数的单调性.14.已知函数22 (0)() (0)x x x f x ax bx x ⎧+≤⎪=⎨+>⎪⎩为奇函数,则a b +=___________________.【答案】0【解析】试题分析:当0x >时,有0x -<,则22()()()f x x x x x -=-+-=-,因为()f x 为奇函数,所以2()()f x f x x x =--=-+,即当0x >时,有2()f x x x =-+,依题意又有2()f x ax bx =+,所以1,1a b =-=,即有0a b +=.考点:分段函数的奇偶性.15.已知函数22 1 (0)() 3 (0)ax x x f x ax x ⎧++≤=⎨->⎩有3个零点,求实数a 的取值范围是________________. 【答案】01a <<. 【解析】试题分析:因为()f x 有3个零点,这就要求当0x >,有一个零点;当0x ≤时,有两个零点.当0x >时,必须有零点30x a=>,得0a >,当0x ≤时,方程2210ax x ++=要有两个相异负实根,所以121204402010a a x x a x x a ≠⎧⎪∆=->⎪⎪⎨+=-<⎪⎪=>⎪⎩,解得01a <<,综上01a <<.考点:分段函数的图像与x 轴交点的个数.三、解答题16.(本小题满分12分)设集合}023|{2=+-=x x x A ,}0)5()1(2|{22=-+++=a x a x x B .(1)若}2{=B A ,求实数a 的值; (2)若A B A = ,求实数a 的取值范围.【答案】(1)实数a 的值1-或3-;(2)实数a 的取值范围是(,3]-∞-. 【解析】试题分析:(1)因为}2{=B A ,所以2是它们的公共元素,即2是方程222(1)(5)0x a x a +++-=的根,代入解得a 的值,这里还需检验,这一点往往会被学生忽略,是易错点,原因是刚才的解题只用了2是它们的公共元素,没有用2是它们的唯一的公共元素;(2)首先要将集合的运算结果转化为集合之间的关系,即有由A B A = ,得B A ⊆,然后分情况讨论,同样这里也有易错的地方,即易忽略B =∅的情形.试题解析:(1)化简集合{1,2}A =,∵}2{=B A ,∴2B ∈,代入B 中方程,得2430a a ++=,所以1a =-或3a =-.当1a =-时,{2,2}B =-,满足条件;当3a =-时,{2}B =,也满足条件,综上得a的值为1-或3-.6分(2)∵A B A = ,∴B A ⊆,即集合B 为集合{1,2}A =的子集.①当224(1)4(5)8(3)0a a a ∆=+--=+<,即3a <-时,B =∅满足条件; ②当8(3)0a ∆=+=,即3a =-时,{2}B =,满足要求;③当8(3)0a ∆=+>,即3a >-时,{1,2}B A ==才能满足要求,因此1和2是方程222(1)(5)0x a x a +++-=的两个根,由根与系数的关系得122(1)a +=-+且2125a ⨯=-,此时a 无解.综上a的取值范围是3a ≤-.12分考点:一元二次方程及集合的子集与交、并集.17.(本小题满分12分)已知函数2()243f x x ax =-- (03)x ≤≤.(1)当1a =时,作出函数的图象并求函数的最值(2)求实数a 的取值范围,使()y f x =在区间[0,3]上是单调函数.【答案】(1)图象详见解析,min ()(1)5f x f ==-,max ()(3)3f x f ==;(2)(,0][3,)a ∈-∞+∞.【解析】 试题分析:(1)作一个具体的二次函数的图形一定要特出它的对称轴、顶点、以及与它与两坐标轴的交点,对照图象不难发现函数在区间[0,3]上的最值;(2)二次函数以对称轴为界,一边增,一边减,如果它在区间[0,3]上单调,则[0,3]一定是在对称轴的某一侧,据此可求得实数a 的取值范围.试题解析:(1)∵1a = ∴这个函数的图象是抛物线2243y x x =--介于03x ≤<之间的一段弧(如图)min ()(1)5f x f ==-,max ()(3)3f x f ==;6分(2)函数222()2432()23f x x ax x a a =--=---图象的对称轴为x a =,因为()y f x =在区间[0,3上是单调函数,则0a ≤或3a ≥,即(,0][3,a ∈-∞+∞.12分考点:二次函数的最值与单调性.18.(本小题满分12分)设集合}5312|{-≤≤+=a x a x A ,}223|{≤≤=x x B ,求能使()A AB ⊆成立的a 值的集合.【答案】{|9}a a ≤. 【解析】试题分析:首先将()A AB ⊆转化为A B ⊆,即集合A 是集合B 的子集,然后分情况讨论,不要忘记A =∅的情形. 试题解析:由()A AB ⊆,得A B ⊆,则(1)当A =∅时,满足B A ⊆,此时5312->+a a ,∴6<a 5分(2)当A ≠∅时,若B A ⊆,则21352133522a a a a +-⎧⎪+⎨⎪-⎩≤,≥,≤, 8分解得69a ≤≤11分综合(1)(2)使()A AB ⊆成立的a 值的集合为{|9}a a ≤ 12分考点:一次不等式及集合的子集与交集.19.(本小题满分12分)设22 (1)() (12)2 (2)x x f x x x x x +≤-⎧⎪=-<<⎨⎪≥⎩.(1)在下列直角坐标系中画出()f x 的图象;(2)若()3f t =,求t 的值;(3)用单调性定义证明在[2,)+∞时单调递增.【答案】(1)图象详见解析;(2)t =(3)证明详见解析.【解析】 试题分析:(1)作分段函数的图象,必须在同一坐标系中作出各段的图象,并注意分割点处的是否能衔接,若不能衔接,注意虚实;(2)若充分利用作好的图象,就能很快求出满足()3f t =的t 的值,可回避讨论;(3)必须从定义出发证明单调性,步骤是:取值、作差、判断符号、对照定义下结论. 试题解析:(1)如图:(2)由函数的图象可得()3f t =,即23t =,且12t -<< ∴t = 8分(3)设122x x ≤<,则121212()()222()f x f x x x x x -=-=-12x x < 120x x ∴-< 12()()f x f x ∴<,()f x 在[2,)+∞时单调递增12分考点:分函数的图像与求值及用函数的定义证明单调性. 20.(本小题满分13分) 已知函数2()21f x x ax a =-++-. (1)若2a =,求()f x 在区间[0,3]上的最小值; (2)若()f x 在区间[0,1]上有最大值3,求实数a 的值. 【答案】(1)min ()(0)1f x f ==-;(2)2a =-或3a =. 【解析】试题分析:(1)利用数形结合的思想作出()f x 在区间[0,3]上的简图,依据图象即可判断在何处取得最小值,最小值为多少;(2)这是定区间,动对称轴问题,需对它们的关系进行讨论,分对称轴在区间的左、中、右三种情形讨论,确定实数a 的值.试题解析:(1)若2a =,则22()41(2)3f x x x x =-+-=--+函数图像开口向下,对称轴为2x =所以函数()f x 在区间[0,2]上是递增的,在区间[2,3]上是递减的,有又(0)1f =-,(3)2f =min ()(0)1f x f ∴==-3分(2)对称轴为x a =当0a ≤时,函数在()f x 在区间[0,1]上是递减函数,则max ()(0)13f x f a ==-=,即2a =-; 6分当01a <<时,函数()f x 在区间[0,]a 上是递增函数,在区间[,1]a 上是递减函数,则2max ()()13f x f a a a ==-+=,解得21a =-或,不符合;9分当1a ≥时,函数()f x 在区间[0,1]上是递增函数,则max ()(1)1213f x f a a ==-++-=, 解得3a =;12分 综上所述,2a =-或3a =13分考点:含参数的二次函数给定区间求最值.21.(本小题满分14分)已知()()()f xy f x f y =+. (1)若,x y R ∈,求(1)f ,(1)f -的值; (2)若,x y R ∈,判断()y f x =的奇偶性;(3)若函数()f x 在其定义域(0,)+∞上是增函数,(2)1f =,()(2)3f x f x +-≤,求x 的取值范围.【答案】(1)(1)0f =,(1)0f -=;(2)函数()f x 为偶函数;(3){|24}x x <≤. 【解析】 试题分析:(1)对于抽象函数,可对其中的变量赋予特殊值或特殊关系,这里可都赋1和都赋1-;(2)可赋1y =-,即可得到偶函数;(3)解抽象不等式,一定要用好函数的单调性,但不能忽略函数的定义域,否则会犯错误.试题解析:(1)令1==y x ,则(1)(1)(1)f f f =+,所以(1)0f = 2分又令1-==y x ,则(1)(1)(1)f f f =-+-,所以(1)0f -= 3分 (2)令1-=y ,则()()(1)f x f x f -=+-,由(1)知(1)0f -=,所以()()f x f x -=,即函数()f x 为偶函数, 6分 (3)因为(4)(2)(2)112f f f =+=+= 7分 所以(8)(2)(4)123f f f =+=+= 8分因为()(2)3f x f x +-≤所以[(2)](8)f x x f -≤ 10分又因为()f x 在其定义域(0,)+∞上是增函数所以020(2)8x x x x >⎧⎪->⎨⎪-≤⎩,即0224x x x >⎧⎪>⎨⎪-≤≤⎩ 13分所以{|24}x x <≤,所以不等式的解集为{|24}x x <≤ 14分 考点:抽象函数的求值;判断抽象函数的奇偶性及解抽象函数不等式.。
某某省某某市新锐私立学校、水口中学2014-2015学年高一上学期第一次联考数学试卷一.选择题(每题5分,共50分,每题只有一个符合题意的选项)1.(5分)设全集U={1,2,3,4,5,6,7,8},集合S={1,3,5},T={3,6},则(C U S)∩(C U T)等于()A.∅B.{2,4,7,8} C.{1,3,5,6} D.{2,4,6,8}2.(5分)如果A={x|x>﹣1},那么()A.0⊆A B.{0}∈A C.∅∈A D.{0}⊆A3.(5分)已知,则f{f}的值为()A.0 B.2 C.4 D.84.(5分)已知f(x﹣1)=x2+4x﹣5,则f(x)的表达式是()A.f(x)=x2+6x B.f(x)=x2+8x+7 C.f(x)=x2+2x﹣3 D.f(x)=x2+6x﹣10 5.(5分)函数的定义域是()A.B.C.D.6.(5分)若函数y=x2+(2a﹣1)x+1在区间(﹣∞,2]上是减函数,则实数a的取值X围是()A.C.7.(5分)下列给出函数f(x)与g(x)的各组中,是同一个关于x的函数的是()A.f(x)=x﹣1,g(x)=B.f(x)=2x﹣1,g(x)=2x+1C.f(x)=x2,g(x)=D.f(x)=1,g(x)=x08.(5分)下列图象中表示函数图象的是()A.B.C.D.9.(5分)f(x)是定义在(0,+∞)上的增函数,则不等式f(x)>f的解集是()A.(0,+∞)B.(0,2)C.(2,+∞)D.(2,)10.(5分)已知f(x)=ax3+bx﹣4,若f(2)=6,则f(﹣2)=()A.﹣14 B.14 C.﹣6 D.10二.填空题(每题5分,共25分)11.(5分)若A={0,1,2,3},B={x|x=3a,a∈A}则A∩B=.12.(5分)函数y=x2﹣4x+6当x∈时,函数的值域为.13.(5分)已知集合M={(x,y)|x+y=2},N={(x,y)|x﹣y=4},则M∩N等于.14.(5分)已知函数f(x)满足2f(x)+3f(﹣x)=x2+x,则f(x)=.15.(5分)已知集合A={x|ax2+2x+1=0,x∈R}的子集只有两个,则a的值为.三、解答题:解答题应写出文字说明.证明过程或演算步骤.(合计80分)16.(10分)设A={x∈Z|﹣6≤x≤6},B={1,2,3},C={3,4,5,6},求:(1)A∩(B∩C);(2)A∩∁A(B∪C)17.(10分)设A={x|x2+ax+12=0},B={x|x2+3x+2b=0},A∩B={2}(1)求a,b的值及A,B;(2)设全集U=A∪B,求(C U A)∩(C U B).18.(10分)已知f(x)=9x﹣2×3x+4,x∈.(1)设t=3x,x∈,求t的最大值与最小值;(2)求f(x)的最大值与最小值.19.(10分)已知函数f(x)是定义在R上的奇函数,当x≥0,f(x)=x2﹣2x,(1)画出 f(x)图象;(2)求出f(x)的解析式.20.(11分)已知函数f(x)=,x∈,(1)用定义法证明函数f(x)的单调性;(2)求函数f(x)的最小值和最大值.21.(12分)某租赁公司拥有汽车100辆.当每辆车的月租金为3000元时,可全部租出.当每辆车的月租金每增加50元时,未租出的车将会增加一辆.租出的车每辆每月需要维护费150元,未租出的车每辆每月需要维护费50元.(Ⅰ)当每辆车的月租金定为3600元时,能租出多少辆车?(Ⅱ)当每辆车的月租金定为多少元时,租赁公司的月收益最大?最大月收益是多少?22.(12分)已知函数f(x)在定义域(0,+∞)上为增函数,且满足f(xy)=f(x)+f (y),f(3)=1(1)求f(9),f(27)的值;(2)若f(3)+f(a﹣8)<2,某某数a的取值X围.某某省某某市新锐私立学校、水口中学2014-2015学年高一上学期第一次联考数学试卷参考答案与试题解析一.选择题(每题5分,共50分,每题只有一个符合题意的选项)1.(5分)设全集U={1,2,3,4,5,6,7,8},集合S={1,3,5},T={3,6},则(C U S)∩(C U T)等于()A.∅B.{2,4,7,8} C.{1,3,5,6} D.{2,4,6,8}考点:交、并、补集的混合运算.专题:计算题.分析:由全集U,找出不属于集合S的元素,求出S的补集,找出不属于集合T的元素,求出T的补集,找出两补集的公共元素,即可确定出所求的集合.解答:解:∵全集U={1,2,3,4,5,6,7,8},集合S={1,3,5},T={3,6},∴C U S={2,4,6,7,8},C U T={1,2,4,5,7,8},则(C U S)∩(C U T)={2,4,7,8}.故选B点评:此题考查了交、并、补集的混合运算,其中补集即为全集中不属于集合的元素组成的集合,交集即为两集合的公共元素组成的集合,在求补集时注意全集的X围.2.(5分)如果A={x|x>﹣1},那么()A.0⊆A B.{0}∈A C.∅∈A D.{0}⊆A考点:集合的包含关系判断及应用.专题:探究型.分析:利用元素和集合A的关系,以及集合Φ,{0}中元素与集合A的元素关系进行判断.解答:解:A.0为元素,而A={x|x>﹣1},为集合,元素与集合应为属于关系,∴A错误.B.{0}为集合,集合和集合之间应是包含关系,∴B错误.C.∅为集合,集合和集合之间应是包含关系,∴C错误.D.{0}为集合,且0∈A,∴{0}⊆A成立.故选D.点评:本题考查了元素和集合以及集合与集合之间的关系.元素与集合之间应使用“∈,∉”,而集合和集合之间应使用包含号.3.(5分)已知,则f{f}的值为()A.0 B.2 C.4 D.8考点:函数的值.专题:计算题.分析:欲求f{f}的值应从里向外逐一运算,根据自变量的大小代入相应的解析式进行求解即可.解答:解:∵﹣2<0∴f(﹣2)=0∴f(f(﹣2))=f(0)∵0=0∴f(0)=2即f(f(﹣2))=f(0)=2∵2>0∴f(2)=22=4即f{f}=f(f(0))=f(2)=4故选C.点评:本题主要考查了分段函数求值,同时考查了分类讨论的数学思想和计算能力,属于基础题.4.(5分)已知f(x﹣1)=x2+4x﹣5,则f(x)的表达式是()A.f(x)=x2+6x B.f(x)=x2+8x+7 C.f(x)=x2+2x﹣3 D.f(x)=x2+6x﹣10考点:函数解析式的求解及常用方法.专题:换元法;函数的性质及应用.分析:【方法﹣】用换元法,设t=x﹣1,用t表示x,代入f(x﹣1)即得f(t)的表达式;【方法二】凑元法,把f(x﹣1)的表达式x2+4x﹣5凑成含(x﹣1)的形式即得f(x)的表达式;解答:解:【方法﹣】设t=x﹣1,则x=t+1,∵f(x﹣1)=x2+4x﹣5,∴f(t)=(t+1)2+4(t+1)﹣5=t2+6t,f(x)的表达式是f(x)=x2+6x;【方法二】∵f(x﹣1)=x2+4x﹣5=(x﹣1)2+6(x﹣1),∴f(x)=x2+6x;∴f(x)的表达式是f(x)=x2+6x;故选:A.点评:本题考查了函数解析式的常用求法的问题,是基础题.5.(5分)函数的定义域是()A.B.C.D.考点:函数的定义域及其求法.专题:计算题.分析:函数式由两部分构成,且每一部分都是分式,分母又含有根式,求解时既保证分式有意义,还要保证根式有意义.解答:解:要使原函数有意义,需解得,所以函数的定义域为.故选C.点评:本题考查了函数的定义域及其求法,解答的关键是保证构成函数式的每一部分都要有意义,属基础题.6.(5分)若函数y=x2+(2a﹣1)x+1在区间(﹣∞,2]上是减函数,则实数a的取值X围是()A.C.考点:函数单调性的性质.专题:计算题.分析:由已知中函数的解析式,结合二次函数的图象和性质,可以判断出函数y=x2+(2a ﹣1)x+1图象的形状,分析区间端点与函数图象对称轴的关键,即可得到答案.解答:解:∵函数y=x2+(2a﹣1)x+1的图象是方向朝上,以直线x=为对称轴的抛物线又∵函数在区间(﹣∞,2]上是减函数,故2≤解得a≤﹣故选B.点评:本题考查的知识点是函数单调性的性质,其中熟练掌握二次函数的图象和性质是解答本题的关键.7.(5分)下列给出函数f(x)与g(x)的各组中,是同一个关于x的函数的是()A.f(x)=x﹣1,g(x)=B.f(x)=2x﹣1,g(x)=2x+1C.f(x)=x2,g(x)=D.f(x)=1,g(x)=x0考点:判断两个函数是否为同一函数.专题:函数的性质及应用.分析:分别判断两个函数的定义域和对应法则是否完全相同即可.解答:解:A.函数g(x)的定义域为{x|x≠0},两个函数的定义域不相同,不是同一函数.B.函数f(x)和g(x)的定义域为R,两个函数的定义域相同,但对应法则不相同,不是同一函数.C.函数g(x)=x2,两个函数的定义域相同,对应法则相同,是同一函数.D.函数g(x)的定义域为{x|x≠0},两个函数的定义域不相同,不是同一函数.故选C.点评:本题主要考查判断两个函数是否为同一函数,判断的依据是判断两个函数的定义域和对应法则是否完全相同.8.(5分)下列图象中表示函数图象的是()A.B.C.D.考点:函数的图象;函数的概念及其构成要素.专题:作图题.分析:根据函数的定义,对任意的一个x都存在唯一的y与之对应可求解答:解:根据函数的定义,对任意的一个x都存在唯一的y与之对应而A、B、D都是一对多,只有C是多对一.故选C点评:本题主要考查了函数定义与函数对应的应用,要注意构成函数的要素之一:必须形成一一对应或多对一,但是不能多对一,属于基础试题9.(5分)f(x)是定义在(0,+∞)上的增函数,则不等式f(x)>f的解集是()A.(0,+∞)B.(0,2)C.(2,+∞)D.(2,)考点:函数单调性的性质.专题:常规题型.分析:把函数单调性的定义和定义域相结合即可.解答:解:由f(x)是定义在(0,+∞)上的增函数得,⇒2<x<,故选 D.点评:本题考查了函数的单调性的应用,是基础题,本题易错点是不考虑定义域.10.(5分)已知f(x)=ax3+bx﹣4,若f(2)=6,则f(﹣2)=()A.﹣14 B.14 C.﹣6 D.10考点:函数奇偶性的性质.分析:根据f(x)=ax3+bx﹣4,可得f(x)+f(﹣x)=﹣8,从而根据f(2)=6,可求f (﹣2)的值.解答:解:∵f(x)=ax3+bx﹣4∴f(x)+f(﹣x)=ax3+bx﹣4+a(﹣x)3+b×(﹣x)﹣4=﹣8∴f(x)+f(﹣x)=﹣8∵f(2)=6∴f(﹣2)=﹣14故选A.点评:本题以函数为载体,考查函数的奇偶性,解题的关键是判断f(x)+f(﹣x)=﹣8,以此题解题方法解答此类题,比构造一个奇函数简捷,此法可以推广.二.填空题(每题5分,共25分)11.(5分)若A={0,1,2,3},B={x|x=3a,a∈A}则A∩B={0,3}.考点:交集及其运算.专题:计算题.分析:将A中的元素代入x=3a中计算确定出B,求出两集合的交集即可.解答:解:∵A={0,1,2,3},B={x|x=3a,a∈A}={0,3,6,9},∴A∩B={0,3}.故答案为:{0,3}点评:此题考查了交集及其运算,熟练掌握交集的定义是解本题的关键.12.(5分)函数y=x2﹣4x+6当x∈时,函数的值域为.考点:函数的值域;二次函数的性质.专题:计算题.分析:先对二次函数进行配方找出对称轴,利用对称轴相对区间的位置求出最大值及最小值,得函数的值域.解答:解:∵y=x2﹣4x+6=(x﹣2)2+2,x∈∴当x=2时,y min=2;当x=4时,y max=6∴函数的值域为故答案为:点评:本题主要考查二次函数在闭区间上的最值,属于基本试题,关键是对二次函数配方后,确定二次函数的对称轴相对闭区间的位置,以确定取得最大值及最小值的点.13.(5分)已知集合M={(x,y)|x+y=2},N={(x,y)|x﹣y=4},则M∩N等于{(3,﹣1)}.考点:交集及其运算.分析:集合M,N实际上是两条直线,其交集即是两直线的交点.解答:解:联立两方程解得∴M∩N={(3,﹣1)}.故答案为{(3,﹣1)}.点评:本题主要考查了集合的交运算,注意把握好各集合中的元素.14.(5分)已知函数f(x)满足2f(x)+3f(﹣x)=x2+x,则f(x)=.考点:函数解析式的求解及常用方法.专题:计算题;方程思想.分析:由2f(x)+3f(﹣x)=x2+x,用﹣x代入可得2f(﹣x)+3f(x)=x2﹣x,由两式联立解方程组求解.解答:解:∵2f(x)+3f(﹣x)=x2+x,①∴2f(﹣x)+3f(x)=x2﹣x,②得:f(x)=故答案为点评:本题主要考查函数的解析式的解法,主要应用了方程思想求解.15.(5分)已知集合A={x|ax2+2x+1=0,x∈R}的子集只有两个,则a的值为0或1.考点:子集与真子集.专题:探究型.分析:根据集合A的子集只有两个,则说明集合A只有一个元素,进而通过讨论a的取值,求解即可.解答:解:∵集合A={x|ax2+2x+1=0,x∈R}的子集只有两个,∴集合A只有一个元素.若a=0,则方程ax2+2x+1=0,等价为2x+1=0,解得x=﹣,方程只有一解,满足条件.若a≠0,则方程ax2+2x+1=0,对应的判别式△=4﹣4a=0,解得a=1,此时满足条件.故答案为:0或1.点评:本题主要考查利用集合子集个数判断集合元素个数的应用,含有n个元素的集合,其子集个数为2n个,注意对a进行讨论,防止漏解.三、解答题:解答题应写出文字说明.证明过程或演算步骤.(合计80分)16.(10分)设A={x∈Z|﹣6≤x≤6},B={1,2,3},C={3,4,5,6},求:(1)A∩(B∩C);(2)A∩∁A(B∪C)考点:交、并、补集的混合运算.专题:集合.分析:(1)由B与C求出B与C的交集,找出A与B月C交集的交集即可;(2)根据全集A求出B与C并集的交集,再求出与A交集即可.解答:解:(1)∵A={x∈Z|﹣6≤x≤6}={﹣6,﹣5,﹣4,﹣3,﹣2,﹣1,0,1,2,3,4,5,6},B={1,2,3},C={3,4,5,6},∴B∩C={3},则A∩(B∩C)={3};(2)∵A={x∈Z|﹣6≤x≤6}={﹣6,﹣5,﹣4,﹣3,﹣2,﹣1,0,1,2,3,4,5,6},B={1,2,3},C={3,4,5,6},∴B∪C={1,2,3,4,5,6},∴∁A(B∪C)={﹣6,﹣5,﹣4,﹣3,﹣2,﹣1,0},则A∩∁A(B∪C)={﹣6,﹣5,﹣4,﹣3,﹣2,﹣1,0}.点评:此题考查了交、并、补集的混合运算,熟练掌握各自的定义是解本题的关键.17.(10分)设A={x|x2+ax+12=0},B={x|x2+3x+2b=0},A∩B={2}(1)求a,b的值及A,B;(2)设全集U=A∪B,求(C U A)∩(C U B).考点:集合关系中的参数取值问题.专题:计算题.分析:(1)由A∩B={2}可知3分别是方程x2+ax+12=0,x2+3x+2b=0的根,代入可求a,b 及集合A,B(2)由题意可得U=A∪B={﹣5,2,6},结合已知A,B可求解答:解:(1)∵A∩B={2}∴4+2a+12=0即a=﹣84+6+2b=0即b=﹣5 …(4分)∴A={x|x2﹣8x+12=0}={2,6},B={x|x2+3x﹣10=0}={2,﹣5} …(8分)(2)∵U=A∪B={﹣5,2,6}∴C u A={﹣5},C u B={6}∴C u A∪C u B={﹣5,6} …(12分)点评:本题主要考查了集合的交集的基本运算及并集的基本运算,属于基础试题18.(10分)已知f(x)=9x﹣2×3x+4,x∈.(1)设t=3x,x∈,求t的最大值与最小值;(2)求f(x)的最大值与最小值.考点:指数函数综合题.专题:计算题.分析:(1)设t=3x,由 x∈,且函数t=3x在上是增函数,故有≤t≤9,由此求得t 的最大值和最小值.(2)由f(x)=t2﹣2t+4=(t﹣1)2+3,可得此二次函数的对称轴为 t=1,且≤t≤9,由此求得f(x)的最大值与最小值.解答:解:(1)设t=3x,∵x∈,函数t=3x在上是增函数,故有≤t≤9,故t的最大值为9,t的最小值为.(2)由f(x)=9x﹣2×3x+4=t2﹣2t+4=(t﹣1)2+3,可得此二次函数的对称轴为 t=1,且≤t≤9,故当t=1时,函数f(x)有最小值为3,当t=9时,函数f(x)有最大值为 67.点评:本题主要考查指数函数的综合题,求二次函数在闭区间上的最值,属于中档题.19.(10分)已知函数f(x)是定义在R上的奇函数,当x≥0,f(x)=x2﹣2x,(1)画出 f(x)图象;(2)求出f(x)的解析式.考点:函数奇偶性的性质.专题:函数的性质及应用.分析:先求出奇函数的表达式,然后根据表达式作出函数的图象.解答:解:(1)先作出当x≥0,f(x)=x2﹣2x的图象,然后将图象关于原点对称,作出当x<0的图象.如图:(2)设x<0,则﹣x>0,代入f(x)=x2﹣2x得f(﹣x)=(﹣x)2﹣2(﹣x),因为函数f(x)是定义在R上的奇函数,所以f(﹣x)=﹣f(x),即f(x)=﹣x2﹣2x,所以函数的表达式为:点评:本题的考点是利用函数的奇偶性求函数的解析式.20.(11分)已知函数f(x)=,x∈,(1)用定义法证明函数f(x)的单调性;(2)求函数f(x)的最小值和最大值.考点:函数单调性的判断与证明.专题:计算题;证明题;函数的性质及应用.分析:(1)用定义法证明单调性一般可以分为五步,取值,作差,化简变形,判号,下结论.(2)利用函数的单调性求最值.解答:解(1)证明:任取3≤x1<x2≤5,则,f(x1)﹣f(x2)=﹣=,∵3≤x1<x2≤5,∴x1﹣x2<0,x1+1>0,x2+1>0,∴f(x1)﹣f(x2)<0,即f(x1)<f(x2),∴上是增函数,(2)∵上是增函数,∴当x=3时,f(x)有最小值,当x=5时,f(x)有最大值f(5)=.点评:本题考查了函数单调性的证明及函数单调性的应用,证明一般有两种方法,定义法,导数法,可应用于求最值.属于基础题.21.(12分)某租赁公司拥有汽车100辆.当每辆车的月租金为3000元时,可全部租出.当每辆车的月租金每增加50元时,未租出的车将会增加一辆.租出的车每辆每月需要维护费150元,未租出的车每辆每月需要维护费50元.(Ⅰ)当每辆车的月租金定为3600元时,能租出多少辆车?(Ⅱ)当每辆车的月租金定为多少元时,租赁公司的月收益最大?最大月收益是多少?考点:根据实际问题选择函数类型;函数的最值及其几何意义.专题:应用题;压轴题.分析:(Ⅰ)严格按照题中月租金的变化对能租出车辆数的影响列式解答即可;(Ⅱ)从月租金与月收益之间的关系列出目标函数,再利用二次函数求最值的知识,要注意函数定义域优先的原则.作为应用题要注意下好结论.解答:解:(Ⅰ)当每辆车的月租金定为3600元时,未租出的车辆数为,所以这时租出了88辆车.(Ⅱ)设每辆车的月租金定为x元,则租赁公司的月收益为,整理得.所以,当x=4050时,f(x)最大,最大值为f(4050)=307050,即当每辆车的月租金定为4050元时,租赁公司的月收益最大,最大月收益为307050元.点评:本题以实际背景为出发点,既考查了信息的直接应用,又考查了目标函数法求最值.特别是二次函数的知识得到了充分的考查.在应用问题解答中属于非常常规且非常有代表性的一类问题,非常值得研究.22.(12分)已知函数f(x)在定义域(0,+∞)上为增函数,且满足f(xy)=f(x)+f (y),f(3)=1(1)求f(9),f(27)的值;(2)若f(3)+f(a﹣8)<2,某某数a的取值X围.考点:函数单调性的性质;函数的值.专题:函数的性质及应用.分析:(1)由函数f(x)在定义域(0,+∞)上为增函数,且满足f(xy)=f(x)+f (y),f(3)=1,能求出f(9)和f(27).(2)由f(x)+f(x﹣8)<2,知f(x)+f(x﹣8)=f<f(9),再由函数f(x)在定义域(0,+∞)上为增函数,能求出原不等式的解集.解答:解:(1)由原题条件,可得到f(9)=f(3×3)=f(3)+f(3)=1+1=2,f(27)=f(3×9)=f(3)+f(9)=1+2=3;(2)f(3)+f(a﹣8)=f(3a﹣24),又f(9)=2∴f(3a﹣24)<f(9),函数在定义域上为增函数,即有3a﹣24<9,∴,解得a的取值X围为8<a<11.点评:本题考查抽象函数的函数值的求法,考查不等式的解法,解题时要认真审题,仔细解答,注意合理地进行等价转化.。
清远市2014-2015学年度第一学期期末教学质量检测高一数学试卷一、选择题(本大题共10小题,每小题5分,共50分.在每小题给出的四个选项中,只有一项是符合题目要求的.)1、已知集合{}1,2,3,4M =,{}2,2N =-,下列结论成立的是( )A .N ⊆MB .M N =MC .M N =ND .{}2M N =2、函数()()lg 1f x x =-的定义域是( )A .()2,+∞B .()1,+∞C .[)1,+∞D .[)2,+∞ 3、过点()1,2且斜率为3的直线方程为( )A .33y x =-B .32y x =-C .31y x =-D .1y x =-4、函数()1,31,3x x f x x x -<⎧=⎨+≥⎩,则()5f f =⎡⎤⎣⎦( ) A .7 B .6 C .3 D .4 5、下列函数中,既是奇函数又是增函数的为( ) A .1y x =+ B .2y x =- C .1y x=D .y x x = 6、沿一个正方体三个面的对角线截得的几何体如图所示,则该几何体的侧视图为( )A .B .C .D .7、以()1,1和()2,2-为一条直径的两个端点的圆的方程为( ) A .2230x y x y ++-= B .225302x y x y +-+-= C .2230x y x y +-+= D .225302x y x y +---=8、幂函数()f x x α=的图象经过点()2,4,则()9f =( )A .B .3C .9D .81 9、一几何体的三视图如图所示,则此几何体的体积是( ) A .16323π-B .32323π- C .3216π- D .3232π-10、设定义在()0,+∞上的函数()22,032,02x x f x x x x ≤⎧⎪=⎨-->⎪⎩,()()g x f x a =+,则当实数a 满足522a <<时,函数()y g x =的零点个数为( ) A .0 B . C .2 D .3 二、填空题(本大题共4小题,每小题5分,共20分.) 11、直线20x y -+=与圆224x y +=的位置关系是 .(填相交、相切或相离)12、比较大小:2log 7 30.5.(填>、<或=) 13、如图,正方体1111CD C D AB -A B 中,直线1AB 与1C B 所成角为 .14、已知偶函数()f x 在区间[)0,+∞单调递增,则满足不等式()1213f x f ⎛⎫-> ⎪⎝⎭的x的取值范围是 .三、解答题(本大题共6小题,共80分.解答应写出文字说明、证明过程或演算步骤.) 15、(本小题满分12分)已知全集U R =,集合{}35x x A =-≤≤,{}23x x m B =<-. ()1当5m =时,求A B ,()U A B ð;(8分) ()2当A ⊆B 时,求m 的取值范围.(4分)16、(本小题满分12分)求下列式子的值:()1223227201538-⎛⎫⎛⎫-- ⎪ ⎪⎝⎭⎝⎭ ;()23log lg 25lg 4++. 17、(本小题满分12分)如图,已知在直三棱柱111C C AB -A B 中(侧棱垂直于底面),C 3A =,5AB =,C 4B =,点D 是AB 的中点. ()1求证:1C C A ⊥B ; ()2求证:1C //A 平面1CD B .18、(本小题满分14分)已知函数()()()log 1log 1a a f x x x =+--(0a >且1a ≠).()1求()f x 的定义域;()2判断()f x 的奇偶性并予以证明.19、(本小题满分14分)在平面直角坐标系x y O 中,点()0,3A ,直线:l 24y x =-.设圆C 的半径为,圆心在上.()1若圆心也在直线5y x =-+上,求圆C 的方程;()2在()1的条件下,过点A 作圆C 的切线,求切线的方程;()3若圆C 上存在点M ,使MA =MO ,求圆心C 的横坐标a 的取值范围.20、(本小题满分14分)设函数()n n f x x bx c =++(n +∈N ,b ,R c ∈).()1设2n ≥,1b =,1c =-,证明:()n y f x =在区间1,12⎛⎫⎪⎝⎭内单调递增; ()2在()1的条件下,证明:()0n f x =在区间1,12⎛⎫⎪⎝⎭内存在唯一实根; ()3设2n =,若对任意1x ,[]21,1x ∈-,都有()()21224f x f x -≤,求b 的取值范围.清远市2014-2015学年度第一学期期末教学质量检测高一数学试卷参考答案一、选择题:本大题共10小题,每小题5分,共50分。
2014—2015学年度高一数学竞赛试题(含答案)2014-2015学年度高一数学竞赛试题一.选择题:本大题共5小题,每小题6分,共30分。
在每个小题给出的四个选项中,只有一个正确的答案。
1.已知集合$M=\{x|x+3<0\}$,$N=\{x|x\leq -3\}$,则集合$M\cap N$=()A。
$\{x|x0\}$ D。
$\{x|x\leq -3\}$2.已知$\alpha+\beta=\frac{\pi}{4}$,则$(1-\tan\alpha)(1-\tan\beta)$等于()A。
2 B。
$-\frac{2}{3}$ C。
1 D。
$-\frac{1}{3}$3.设奇函数$f(x)$在$(0,+\infty)$上为增函数,且$f(1)=0$,则不等式$f(x)-f(-x)<0$的解集为()A。
$(-\infty,-1)\cup (0,1)$ B。
$(-1,0)\cup (1,+\infty)$ C。
$(-\infty,-1)\cup (1,+\infty)$ D。
$(0,1)$4.函数$f(x)=\ln|x-1|-x+3$的零点个数为()A。
3 B。
2 C。
1 D。
05.已知函数$f(x)=\begin{cases}1/x。
& x\geq 4 \\ 2.&x<4\end{cases}$,则$f(\log_2 5)$=()A。
$-\frac{11}{23}$ B。
$\frac{1}{23}$ C。
$\frac{11}{23}$ D。
$\frac{19}{23}$二.填空题:本大题共5小题,每小题6分,共30分。
将正确的答案写在题中横线上。
6.已知$0\leq x\leq \frac{\pi}{2}$,则函数$f(x)=4\sqrt{2}\sin x\cos x+\cos^2 x$的值域是\line(5,0){80}。
7.已知:$a,b,c$都不等于0,且$\frac{1}{a}+\frac{1}{b}+\frac{1}{c}=\frac{1}{a+b+c}$,则$\max\{m,n\}=$\line(5,0){80},$\min\{m,n\}=$\line(5,0){80}。
2014-2015学年上学期高一期中测试数学试题(含答案) 第I 卷(选择题共60分)一、选择题(本大题共12小题,每小题5分,共60分,在每个小题给出的四个选项中,只有一项是符合要求的)1.下列函数中,既是偶函数又在+∞(0,)单调递增的函数是( )A .3y x =B . 1y x =+C .21y x =-+D . 2x y -=2.在同一坐标系中,表示函数log a y x =与y x a =+的图象正确的是( )A B C D3.若1log 12a<,则a 的取值范围是( ) A .1(0,)(1,)2+∞ B .1(,1)2 C .(1,)+∞ D .1(,1)(1,)2+∞4.已知函数f(x)为定义在R 上的奇函数,当x≥0时, ()22xf x x m =++ (m 为常数),则(1)f -的值为( )A .-3B .-1C .1D .35.设全集U =R ,{}|0P x f x x ==∈R (),,{}|0Q x g x x ==∈R (),,{}|0S x x x ϕ==∈R (),,则方程22f x x x ϕ=()+g ()()的解集为( )A . P Q SB .P QC .P Q S ()D . P Q S u (C )5.设9.0log 5.0=a ,9.0log 1.1=b ,9.01.1=c ,则c b a , ,的大小关系为( )A .c b a <<B .c a b <<C .a c b <<D .b c a <<6.设}3 2, ,21 ,31 ,1{-∈α,若函数αx y =是定义域为R 的奇函数,则α的值为( )A .3 ,31B .3 ,31 ,1- C .3 ,1- D .31,1- 7.已知函数)(x f 是奇函数,当0>x 时,)1 ,0( )(≠>=a a a x f x,且3)4(log 5.0-=f ,则a的值为( )A .3B .3C .9D .238.已知函数⎪⎩⎪⎨⎧>-≤=-)1( )23(log )1( 2)(2x x x x f x ,若4)(=a f ,则实数=a ( ) A .2-或6 B .2-或310 C .2-或2 D .2或3109.方程21231=⎪⎭⎫ ⎝⎛--x x 的解所在的区间为( )A .) 1 ,0 (B .) 2 ,1 (C .) 3 ,2 (D .) 4 ,3 (10.已知函数bx ax y +=2和xb a y =|)| || ,0(b a ab ≠≠在同一直角坐标系中的图象不可能 是( )11.已知函数)3(log 221a ax x y +-=在区间) ,2[∞+上是减函数,则a 的取值范围是( )A .)4 ,(-∞B .]4 ,4[-C .]4 ,4(-D .]4 ,(-∞12.若在直角坐标平面内B A ,两点满足条件:①点B A ,都在函数)(x f y =的图象上;②点B A ,关于原点对称,则称B A ,为函数)(x f y =的一个“黄金点对”.那么函数=)(x f ⎪⎩⎪⎨⎧>≤-+)0( 1)0( 222x x x x x 的“黄金点对”的个数是( )A .0个B .1个C .2个D .3个 第Ⅱ卷(非选择题,共90分)二、填空题:本题共4小题,共20分.13.已知集合}06|{2=--=x x x M ,}01|{=+=ax x N ,且M N ⊆,则由a 的取值组成的集合是 .14.若x x f =)(log 5,则=-)9log 2(log 255f .15.已知定义在R 上的偶函数)(x f 满足0)1(=-f ,并且)(x f 在)0 ,(-∞上为增函数.若0)( <a f a ,则实数a 的取值范围是 .16.已知函数()x f 的定义域是}0|{≠∈=x R x D ,对任意D x x ∈21 ,都有:=⋅)(21x x f)()(21x f x f +,且当1>x 时,()0>x f .给出结论:①()x f 是偶函数;②()x f 在()∞+ ,0上是减函数.则正确结论的序号是 .三、解答题:本大题共6小题,共70分,解答应写出必要的文字说明、证明过程及演算步骤。
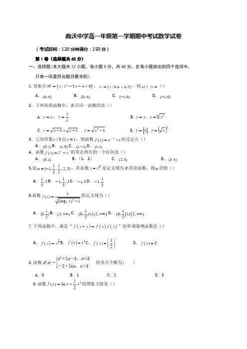
曲沃中学高一年级第一学期期中考试数学试卷(考试时间:120分钟满分:150分) 第Ⅰ卷(选择题共60分)一、选择题(本大题共12小题,每小题5分,共60分,在每小题给出的四个选项中, 只有一项是符合题目要求的). 1.设集合2{|340}M x x x =--<,{|05}Nx x =≤≤,则MN =()A .(0,4]B .[0,4)C .[1,0)-D .(1,0]- 2.下列各组函数中,表示同一函数的是()A.1=y ,xxy = B.x y =,33x y = C.11+⨯-=x x y ,12-=x y D.x y =,()2x y =3.已知常数0a >且1a ≠,则函数1()1x f x a -=-恒过定点() A .(0,1)B .(1,0)C .(1,1)-D .(1,1)4.函数()xf x x =-32的零点所在的一个区间是() A .(0,1) B .(1,2) C .(2,3) D .(3,4) 5.设}3 2, ,21,31 ,1{-∈α,若函数αx y =是定义域为R 的奇函数,则α的值()A .3 ,31B .3 ,31,1-C .3 ,1-D .31 ,1-6.函数()f x =A .1(0,)2B .(2,)+∞C .1(0,)(2,)2+∞D .1(0,][2,)2+∞7.下列函数中,满足“()()()f x y f x f y +=”的单调递增函数是()A .()12f x x =B .()3f x x =C .()12xf x ⎛⎫= ⎪⎝⎭D .()3xf x =8.函数f (x )=⎩⎪⎨⎪⎧x 2+2x -3,x ≤0-2+ln x ,x >0的零点个数为( )A .0B .1C .2D .3 9.函数221ln )(x x x f -=的图象大致是()10.已知132a -=,21211log ,log 33b c ==,则()A .a b c >>B .a c b >>C .c a b >>D .c b a >> 11.已知函数31()|log (1)|13xf x x ⎛⎫=--- ⎪⎝⎭有2个不同的零点1x ,2x ,则()A .121,x x ⋅<B .1212x x x x ⋅=+C .1212,x x x x ⋅>+D .1212,x x x x ⋅<+12.已知函数)3(log 221a ax x y +-=在区间) ,2[∞+上是减函数,则a 的取值范围是()A .)4 ,(-∞B .]4 ,4[-C .]4 ,4(-D .]4 ,(-∞第Ⅱ卷(非选择题共90分)二、填空题(本大题共4小题,每小题5分,共20分) 13. 函数()()212log 4f x x =-的单调递增区间是_________.14.已知偶函数()f x 在[)0,+∞单调递减,()20f =.若()10f x ->,则x 的取值范 围是_________ 15.函数)2(log log )(2x x x f ⋅=的最小值为_________.16.已知函数()x f 的定义域是}0|{≠∈=x R x D ,对任意D x x ∈21 ,都: =⋅)(21x x f )()(21x f x f +,且当1>x 时,()0>x f .给出结论:①()x f 是偶函数;②()x f 在()∞+ ,0上是减函数.则正确结论的序号是_________. 三、解答题(本大题共6小题,共70分,解答应写出文字说明、证明过程或演算步骤) 17.(本小题满分10分) 化简求值:(Ⅰ)0021)51(1212)4(2---+-+-;(Ⅱ)12111(lg 32log 166lg )lg 5525-+-18. (本小题满分10分) 已知函数()f x 在R 上为增函数,且过)1,3(--和)2,1(两点,集合{}|()1()2A x f x f x =<->或,关于的不等式21()2()2x a x a -->∈R 的解集为B ,求使A B B =的实数a 的取值范围.19. (本小题满分12分) (Ⅰ)设, , 求)3log 1(2+f 的值;(Ⅱ)已知]1)1()1ln[()(22+---=x m x m x g 的定义域为R ,求实数m 的取值范围.20. (本小题满分12分) 设函数()212x xaf x =+-(a 为实数). (Ⅰ)当a =0时,求方程1()2f x =的根; (Ⅱ)当1a =-时,若对于任意(1,4]t ∈,不等式22(2)(2)0f t t f t k --->恒成立,求k 的范围.⎪⎩⎪⎨⎧≥⎪⎭⎫ ⎝⎛<+=)4( 21 )4( )2()(x x x f x f x21. (本小题满分12分)定义在R上的单调函数f(x)满足f(3)=log23且对任意x,y∈R都有f(x+y)=f(x)+f(y).(Ⅰ)求证f(x)为奇函数;(Ⅱ)若f(k·3)+f(3-9-2)<0对任意x∈R恒成立,求实数k的取值范围.22. (本小题满分14分)定义在[-1,1]上的奇函数()f x ,当210,().41xxx f x-≤<=-+时(Ⅰ)求()f x在[-1,1]上解析式;(Ⅱ)判断()f x在(0,1)上的单调性,并给予证明;(Ⅲ)当(0,1]x∈时,关于x的方程220()xxf xλ-+=有解,试求实数的取值范围.18解:由{1()()2}A x f x f x =->>或得(3)()()(1)f f x f x f ->>或解得31x x <->或,于是(,3)(1,)A =-∞-+∞又22111()2()()2222x a x x a x x a x x a --+>⇔>⇔<+⇔<, 所以(,)B a =-∞因为,A B B B A =⊆所以,所以3a ≤-, 即a 的取值范围是(,3]-∞-.解(Ⅰ)2413181281212121)3log 3()3log 1(312log 32log 332log 322=⨯=⨯=⎪⎭⎫ ⎝⎛⨯⎪⎭⎫ ⎝⎛=⎪⎭⎫⎝⎛=+=++f f ; (Ⅱ)由题设得:01)1()1(22>+---x m x m(*)在R x ∈时恒成立,若1012±=⇒=-m m ,当1=m 时,(*)为:01>恒成立,当1-=m 时,(*)为:012>+-x 不恒成立,∴1=m ;若012≠-m ,则1 351 351 10)1(42)1( 0122>-<⇒⎪⎩⎪⎨⎧>-<>-<⇒⎪⎩⎪⎨⎧<---=∆>-m m m m m m m m m 或或或 综上,实数m 的取值范围是实数1 35≥-<m m 或. 20.(Ⅰ)当a =0时,()21x f x =-, 由题意得1212x-=, 所以1212x-=或1212x-=-,……………………2分 解得23log 2x =或1x =-.……………………4分 (Ⅱ)当1a =-时,1()212xxf x =--,该函数在R 上单调递增。
XXX2014-2015学年高一上学期期中考试数学试题 Word版含解析没有明显有问题的段落需要删除,只需修改格式错误和语言表达不清的地方。
XXX2014-2015学年第一学期期中考试高一数学试题第Ⅰ卷选择题(共30分)一、选择题(本题共10小题,每小题3分,共30分。
在每小题给出的四个选项中,只有一项符合题目要求。
)1、已知集合$S=\{x|x+1\geq2\}$,$T=\{-2,-1,0,1,2\}$,则$S\cap T=$()A。
$\{2\}$。
B。
$\{1,2\}$。
C。
$\{0,1,2\}$。
D。
$\{-1,0,1,2\}$解题思路】:题目给出了集合$S$和$T$,需要先求出它们的具体表达内容,再求它们的交集。
$S$是一次函数不等式的解,$S=\{x|x\geq1\}$;$S\cap T=\{1,2\}$,故选B。
2、用阴影部分表示集合$C\cup A\cup B$,正确的是()解题思路】:题目给出了四个图形,需要判断哪个图形表示$C\cup A\cup B$。
利用XXX求解,A中阴影部分表示$C\cup(A\cup B)$,B中阴影部分表示$(C\cup A)\cap B$,C中阴影部分表示$A\cap B$,D中阴影部分表示$C\cup A\cup B$,故选D。
3、函数$y=\log_{\frac{1}{2}}(x-1)$的定义域是()A。
$(1,+\infty)$。
B。
$[1,+\infty)$。
C。
$(0,+\infty)$。
D。
$[0,+\infty)$解题思路】:题目给出了函数$y=\log_{\frac{1}{2}}(x-1)$,需要求出它的定义域。
由$\log_{\frac{1}{2}}(x-1)>0$得$x-1>0$,即$x>1$,故选A。
4、下列函数中,在其定义域内既是奇函数又是减函数的是()A。
$y=-|x|$。
B。
$y=x$。
C。
$y=|x|$。
4. 下列给出函数()f x 与()g x 的各组中,是同一个关于x 的函数的是 ( )A .2()1,()1x f x x g x x=-=- B .()21,()21f x x g x x =-=+C.2(),()f x x g x ==D .0()1,()f x g x x ==5. 已知函数()533f x ax bx cx =-+-,()37f -=,则()3f 的值为 ( ) A. 13 B.13- C.7 D. 7-6. 若函数2(21)1=+-+y x a x 在区间(-∞,2]上是减函数,则实数a 的取值范围是( )A .[-23,+∞) B .(-∞,-23] C .[23,+∞) D .(-∞,23] 7. 在函数22, 1, 122, 2x x y x x x x +≤-⎧⎪=-<<⎨⎪≥⎩中,若()1f x =,则x 的值是 ( )A .1B .312或 C .1± D8.已知函数()=f x 的定义域是一切实数,则m 的取值范围是 ( )A.0<m ≤4B.0≤m ≤1C.m ≥4D.0≤m ≤49.函数y=xx ++-1912是( ) A .奇函数 B .偶函数 C .既是奇函数又是偶函数 D .非奇非偶数 10. 已知函数)(x f 是R 上的增函数,(0,2)-A ,(3,2)B 是其图象上的两点,那么2|)1(|<+x f 的解集是 ( )A .(1,4)B .(-1,2)C .),4[)1,(+∞-∞D .),2[)1,(+∞--∞ 二、填空题:本大题共5个小题,每小题5分,共25分.11.已知函数2,0()()(1)01,0,x x f x f a f x x >⎧=+=⎨+≤⎩,则实数a 的值等于 .12.函数f (x )在R 上为奇函数,且当x >0时,(1f x +,则x<0时的解析式为f (x )=________.13.已知函数(x)21f ax a =++,当[1,1]x ∈-时,(x)f 的函数值均为负值,则实数a 的取值范围是 .14.若集合{}{}2|60,|10M x x x N x ax =+-==-=,且N M ⊆,则实数a 的值为___ .15. 已知函数2()2f x x ax b =-+是定义在区间[2b,3b 1]--上的偶函数,求函数()f x 的值域为__________________ 三、解答题:16.(本小题满分12分)已知全集2{2,3,23}U a a =+-,若{,2}A b =,{5}C A U =,求实数a b 、的值.17.(本小题满分12分) 已知集合{}25A x x =-≤≤,{}121B x m x m =+≤≤-.(1)当3m =时,求集合A B I ,A B U ;(2)若B A ⊆,求实数m 的取值范围.18.(本小题满分12分)已知函数对一切都有.(1)求证:是奇函数; (2)若,用表示.19.已知奇函数222(0)()0(0)(0)x x x f x x x mx x ⎧-+>⎪==⎨⎪+<⎩(1)求实数m 的值,并在给出的直角坐标系中画出()y f x =的图象; (2)若函数f (x )在区间[-1,a -2]上单调递增,试确定a 的取值范围.20.(本小题满分12分)已知函数2()22f x x ax =++,[]5,5x ∈-(1) 当1a =-时,求函数()y f x =的值域; (2)求函数()y f x =的最小值。
石景山区2014—2015学年第一学期期末考试试卷高一数学1.2.B2==-D .3322555-==3( ))U B4.已知a 与b 均为单位向量,它们的夹角为60,那么||a b -等于( )A .1BCD .25. 若函数32()22f x x x x =+--的一个正数零点附近的函数值用二分法逐次计算, 参考数据如下表:那么方程32x x +-( )A .1.2B .1.3C .1.4D . 1.56.已知向量a ,b ,且2AB a b =+,56BC a b =-+,72CD a b =-,则一定共线的三点是 ( )新 课 标 第 一 网A .,,A C DB .,,A B CC .,,B C DD .,,A B D7. 设方程20ax bx c ++=的两根为12,x x ,且12x x <,0a <,那么20ax bx c ++>的解集是( ) A .1{|}x x x <B .2{|}x x x > D .12{|}x x x x x <>或8. ( )C .2sin cos y x x =D .|sin |y x =91个单位,所得图象的函数)C .sin(2)4y x π=+D .22sin y x =10.设函数a 在区间(1,)+∞上恒为正值,则实数a 的取值范围是( )A .(1,2]B .(1,2)C .(0,1)(1,2)⋃D . 5(1,)2二、填空题:本大题共4个小题,每小题3分,共12分.把答案填在题中横线上.11.若cos α=,且α的终边过点(,2)P x ,则x = . 12.sin α=3cos α,则tan α= .13. 若函数14. 三个变量123,,y y y 中,变量_______随x 呈对数函数型变化,变量_______随x 呈指数函数型变化,变量_______随x 呈幂函数变化.三、解答题:本大题共6个小题,共48分.应写出文字说明,证明过程或演算步骤. 15.(本题满分8分)已知集合{|37}A x x =≤≤,{|0}B x x a =<<. (Ⅰ)若5a =,求A B ⋃和A B ⋂; (Ⅱ)若A B φ⋂≠,求a 的取值范围.X k B 1 . c o m16.(本题满分9分)已知向量(4,2)=-a ,(,1)x =b . (I ) 若a ,b 共线,求x 的值; (II )若a ⊥b ,求x 的值;(III )当2x =时,求a 与b 的夹角θ的余弦值.17.(本题满分9分)已知02απ<<,4sin 5α=. (I )求cos α的值; (II )求tan()4πα+的值;(III )求sin()cos()tan()2cos()ππαααπα---+的值.18. (本题满分8分)函数()2sin(2)3f x x π=-的部分图象如右图所示.(I )写出()f x 的最小正周期及图中0x ,0y 的值; (II )求()f x 在区间[,]46ππ-上的最大值和最小值.yOx0x 0y19. (本题满分7分) (Ⅰ)证明:函数4()f x x x=+在(0,2]上是减函数;(Ⅱ)已知函数()af x x x=+有如下性质:如果常数0a >,那么该函数在上是减函数,在)+∞上是增函数.设常数(1,9)a ∈,求函数()af x x x=+在[1,3]x ∈上的最大值和最小值.20. (本题满分7分)对于函数12(),(),()f x f x h x ,如果存在实数,a b 使得12()()()h x a f x b f x =⋅+⋅,那么称()h x 为12(),()f x f x 的生成函数.(Ⅰ)下面给出两组函数,()h x 是否分别为12(),()f x f x第一组:12()sin ,()cos ,()sin(f x x f x x h x ===第二组:)(,1)(,)(2221=++=-=x h x x x f x x x f (Ⅱ)设 若不等式23()2()0h x h x t ++<在[2,4]x ∈上有解,求实数t 的取值范围.新- 课-标 -第-一 -网12212()log ,()log ,2,1f x x f x x a b ====石景山区2014—2015学年第一学期期末考试试卷高一数学参考答案15解:2{|10210}{|37}A x x x x x =-+≤=≤≤ …………2分 (Ⅰ)5a =,{|05}B x x ∴=<<{|07}A B x x ∴⋃=<≤, …………4分 {|35}A B x x ⋂=≤< …………5分(Ⅱ)若A B φ⋂≠,则3a > …………8分16.(本题满分9分)解:(I )a ,b 共线,412x ∴⨯=-,2x ∴=-; …………3分(II )a ⊥b ,420x ∴-=,12x ∴=; …………6分 (III )当2x =时,42216b ⋅=⨯-⨯=a ,||25,||5==a b ,3cos 5||||a b a b θ⋅∴==. …………9分17. (本题满分9分) 解:(I )02απ<<,4sin 5α=,3cos 5α∴=; …………2分 (II )4tan 3α=…………4分 tan()74πα+=- …………6分(III )sin()cos()tan()2cos()ππαααπα---+=sin cos cot cos αααα-=sin cot cos ααα-=-=…………9分18,02y =. …………4分 5[,0]6π-. )x 取得最大值0;)取得最大值2- …………8分19且12x x <,则210x x x ∆=->,2121212121121221212121214444()()()()()4()(4)4()()(1)y f x f x x x x x x x x x x x x x x x x x x x x x x x x ∆=-=+-+=-+---=-+=--=∆⋅1202x x <<≤,1204x x ∴<<,1240x x ∴-<,0y ∴∆<. 因此,函数4()f x x x =+在(0,2]是减函数. …………3分(Ⅱ)(1,9)a ∈,13∴< …………4分 所以,函数()a f x x x=+在x ∴当()f x有最小值5分 又(1)1,(3)33a f a f =+=+, 最大值进行如下分类讨论:(ⅰ)当(1)(3)f f ≥时,即39a ≤<时,当x 6分3x =时,函数()f x 有最大值33a +. ……7分20)3π,即1sin cos sin cos 22a xb x x x +=+, 取2()x 的生成函数. …………2分② 设222()(1)1a x x b x x x x -+++=-+,即22()()1a b x a b x b x x +--+=-+, 则111a b a b b +=⎧⎪-+=-⎨⎪=⎩,该方程组无解.所以()h x 不是12(),()f x f x 的生成函数. …4分(Ⅱ)122122()2()()2log log log h x f x f x x x x =+=+=若不等式23()2()0h x h x t ++<在[2,4]x ∈上有解, 23()2()0h x h x t ++<,即22223()2()3log 2log t h x h x x x <--=--设2log s x =,则[1,2]s ∈,22223log 2log 32y x x s s =--=--,max 5y =-,故,5t <-. ………7分【如有不同解法,请参考评分标准酌情给分】。
淮北一中2014-2015学年度第一学期高一第一次月考数学第I 卷 选择题一、选择题(共10小题,每小题5分,满分50分)1.已知全集{}1,2,3,4,5U =,集合{}1,3,4A =,集合{}2,4B =,则()U C A B =( )A. {}2,4,5B. {}1,3,4C. {}1,2,4D. {}2,3,4,5 2.设全集U 是实数集R ,{}2>=x x M ,{}0342>--=x x xN ,则图中阴影部分所表示的集合是 ( )A .{|21}x x -≤<B .{|22}x x -≤≤C .{|12}x x <≤D .{|2}x x <3.下列命题:①幂函数的图象都经过点(1,1)和点(0,0);②幂函数的图象不可能是一条直线;③n=0时,函数n y x =的图象是一条直线;④幂函数n y x =,当n >0时是增函数;⑤幂函数n y x =,当n <0时,在第一象限内函数值随x 值的增大而减小.⑥幂函数的图象不可能在第四象限;其中正确的是( )A. ③⑤⑥B. ⑤⑥C. ②③⑥D. ①②③④4.设函数()f x 是奇函数,在()0,+∞内是增函数,有()30f -=,则()0xf x <的解集是( ) A. {}303x x x -<<>或 B. {}33x x x <-<<或0 C. {}33x x x <->或 D. {}303x x x -<<<<或05.设()f x ,()g x 都是定义在R 上奇函数,且()()()352F x f x g x =++,若()55F =-,则()5F -等于( )A. 9B. 7C. 7-D. 3-6.已知(1)f x +=(21)f x -的定义域为( )A. 1,12⎛⎤ ⎥⎝⎦B. 13,22⎡⎫⎪⎢⎣⎭C. 31,2⎡⎫⎪⎢⎣⎭D. 13,22⎡⎤⎢⎥⎣⎦7.已知映射:f A B →,其中A B R ==,对应法则2:2f y x x =-+,对应实数k B ∈,在集合A 中不存在原像,则k 取值范围是( )A. (),1-∞B. (],1-∞C. [)1,+∞D. ()1,+∞第2题图8.已知函数()y f x =是定义在R 上的奇函数,当0x <时,()2f x x =+,那么不等式()210f x -<的解集是( )A. {502x x ⎫<<⎬⎭B. {3522x x x ⎫<-≤<⎬⎭或0C. {}302x x -<≤ D. {35022x x x ⎫-<<<<⎬⎭或0 9.已知函数()()()2211,02, 0b x b x f x x b x x -+->⎧⎪=⎨-+-≤⎪⎩是(),-∞+∞上的增函数,则实数b 的范围是( )A. []1,2B. 1,22⎛⎤ ⎥⎝⎦C. (]1,2D. ()1,210.已知()f x 是定义在R 上的偶函数,且当0x >时,()21x f x x -=+,若对任意实数1,22t ⎡⎤∈⎢⎥⎣⎦,都有()()10f t a f t +-->恒成立,则实数a 的取值范围是( ) A .()(),30,-∞-+∞ B .()1,0- C .()0,1 D .()(),12,-∞+∞第Ⅱ卷 非选择题二、填空题:本大题共5小题,每小题5分,共25分。
某某省某某市西湖高中2014-2015学年高一上学期11月月考数学试卷一、选择题:本大题共10小题,每小题3分,共30分.在每小题给出的四个选项中,只有一项是符合题目要求的.1.(3分)已知全集U={1,2,3,4},集合A={1,2},B={2,3},则∁U(A∪B)=()A.{1,3,4} B.{3,4} C.{3} D.{4}2.(3分)如图所示,集合M,P,S是全集V的三个子集,则图中阴影部分所表示的集合是()A.(M∩P)∩S B.(M∩P)∪S C.(M∩S)∩(∁V P)D.(M∩P)∪(∁V S)3.(3分)已知f(x)是定义在R上的偶函数,且在(﹣∞,0]上是增函数,设a=f(log47),b=f(log23),c=f(0.20.6),则a,b,c的大小关系是()A.c<b<a B.b<c<a C.b<a<c D.a<b<c4.(3分)函数的定义域为()A.{x|1≤x<3} B.{x|1<x<2}C.{x|1≤x<2或2<x<3} D.{x|1≤x<2}5.(3分)函数y=e﹣|x|(e是自然底数)的大致图象是()A.B.C.D.6.(3分)若函数是一个单调递增函数,则实数a 的取值X围()A.(1,2]∪C.(0,2]∪=的实数a的个数为()A.2 B.4 C.6 D.89.(3分)函数f(x)=x(|x|﹣1)在上的最小值为,最大值为2,则n﹣m的最大值为()A.B.C.D.210.(3分)设函数(a∈R).若方程f(f(x))=x有解,则a的取值X围为()A.B.C.D.(a<b)的实数对(a,b)有对.14.(4分)在同一坐标系中,y=2x与y=log2x的图象与一次函数y=﹣x+b的图象的两个交点的横坐标之和为6,则b=.15.(4分)已知函数f(x)满足f(1﹣x)=f(1+x),且f(x)在(x2﹣ax﹣1)≥0,则a=.三、解答题:本大题共4小题.共42分.解答应写出文字说明、证明过程或演算步骤. 18.(8分)设集合A={y|y=2x,1≤x≤2},B={x|0<lnx<1},C={x|t+1<x<2t,t∈R}.(1)求A∩B;(2)若A∩C=C,求t的取值X围.19.(10分)已知是奇函数.(1)求a的值;(2)判断并证明f(x)在(0,+∞)上的单调性;(3)若关于x的方程k•f(x)=2x在(0,1]上有解,求k的取值X围.20.(12分)已知函数f(x)=x2﹣ax+2a﹣1(a为实常数).(1)若a=0,求函数y=|f(x)|的单调递增区间;(2)设f(x)在区间的最小值为g(a),求g(a)的表达式;(3)设h(x)=,若函数h(x)在区间上是增函数,某某数a的取值X围.21.(12分)设f(x)是R上的奇函数,且当x>0时,f(x)=lg(x2﹣ax+10),a∈R.(1)若f(1)=lg5,求f(x)的解析式;(2)若a=0,不等式f(k•2x)+f(4x+k+1)>0恒成立,某某数k的取值X围;(3)若f(x)的值域为R,求a的取值X围.某某省某某市西湖高中2014-2015学年高一上学期11月月考数学试卷参考答案与试题解析一、选择题:本大题共10小题,每小题3分,共30分.在每小题给出的四个选项中,只有一项是符合题目要求的.1.(3分)已知全集U={1,2,3,4},集合A={1,2},B={2,3},则∁U(A∪B)=()A.{1,3,4} B.{3,4} C.{3} D.{4}考点:交、并、补集的混合运算.专题:计算题.分析:根据A与B求出两集合的并集,由全集U,找出不属于并集的元素,即可求出所求的集合.解答:解:∵A={1,2},B={2,3},∴A∪B={1,2,3},∵全集U={1,2,3,4},∴∁U(A∪B)={4}.故选D点评:此题考查了交、并、补集的混合运算,熟练掌握各自的定义是解本题的关键.2.(3分)如图所示,集合M,P,S是全集V的三个子集,则图中阴影部分所表示的集合是()A.(M∩P)∩S B.(M∩P)∪S C.(M∩S)∩(∁V P)D.(M∩P)∪(∁V S)考点:Venn图表达集合的关系及运算.专题:计算题.分析:分析阴影部分的元素的性质,根据交集,补集的定义求解.解答:解:由图中阴影部分的元素属于集合M,属于集合S,但不属于集合P,∴阴影部分所表示的集合(M∩S)∩(C U P),故选C.点评:本题考查了Venn图表示集合的关系,也可表示为M∩(C S P).3.(3分)已知f(x)是定义在R上的偶函数,且在(﹣∞,0]上是增函数,设a=f(log47),b=f(log23),c=f(0.20.6),则a,b,c的大小关系是()A.c<b<a B.b<c<a C.b<a<c D.a<b<c考点:奇偶性与单调性的综合;对数值大小的比较.专题:综合题;函数的性质及应用.分析:由f(x)是定义在R上的偶函数,且在(﹣∞,0]上是增函数,可得出自变量的绝对值越小,函数值越大,由此问题转化为比较自变量的大小,问题即可解决.解答:解:f(x)是定义在R上的偶函数,且在(﹣∞,0]上是增函数,要得函数在(0,+∞)上是减函数,图象越靠近y轴,图象越靠上,即自变量的绝对值越小,函数值越大,由于0<0.20.6<1<log47<log49=log23,可得b<a<c,故选C.点评:本题解答的关键是根据函数的性质得出自变量的绝对值越小,函数值越大这一特征,由此转化为比较自变量的大小,使得问题容易解决.这也是本题解答的亮点.4.(3分)函数的定义域为()A.{x|1≤x<3} B.{x|1<x<2}C.{x|1≤x<2或2<x<3} D.{x|1≤x<2}考点:对数函数的定义域;函数的定义域及其求法.专题:函数的性质及应用.分析:根据函数成立的条件,结合对数函数,根式函数和分式函数的性质,求函数的定义域即可.解答:解:要使函数有意义,则,即,∴解得1≤x<3且x≠2,即1≤x<2或2<x<3.∴函数的定义域为{x|1≤x<2或2<x<3}.故选:C.点评:本题主要考查函数定义域的求法,要求熟练常见函数成立的条件.5.(3分)函数y=e﹣|x|(e是自然底数)的大致图象是()A.B.C.D.考点:指数函数的图像与性质.专题:函数的性质及应用.分析:由于y=e﹣|x|=.利用指数函数的图象与性质即可得出.解答:解:∵y=e﹣|x|=.根据指数函数的图象与性质可知:应选C.故选C.点评:本题考查了指数函数的图象与性质、分类讨论,属于基础题.6.(3分)若函数是一个单调递增函数,则实数a的取值X围()A.(1,2]∪C.(0,2]∪∪∪,故选:C.点评:本题主要考查复合函数的单调性,二次函数的性质,体现了转化的数学思想,属于中档题.8.(3分)已知f(x)为偶函数,当x≥0时,f(x)=﹣(x﹣1)2+1,满足f=的实数a的个数为()A.2 B.4 C.6 D.8考点:函数奇偶性的性质.专题:计算题.分析:令f(a)=x,则f=转化为f(x)=.先解f(x)=在x≥0时的解,再利用偶函数的性质,求出f(x)=在x<0时的解,最后解方程f(a)=x即可.解答:解:令f(a)=x,则f=变形为f(x)=;当x≥0时,f(x)=﹣(x﹣1)2+1=,解得x1=1+,x2=1﹣;∵f(x)为偶函数,∴当x<0时,f(x)=的解为x3=﹣1﹣,x4=﹣1+;综上所述,f(a)=1+,1﹣,﹣1﹣,﹣1+;当a≥0时,f(a)=﹣(a﹣1)2+1=1+,方程无解;f(a)=﹣(a﹣1)2+1=1﹣,方程有2解;f(a)=﹣(a﹣1)2+1=﹣1﹣,方程有1解;f(a)=﹣(a﹣1)2+1=﹣1+,方程有1解;故当a≥0时,方程f(a)=x有4解,由偶函数的性质,易得当a<0时,方程f(a)=x也有4解,综上所述,满足f=的实数a的个数为8,故选D.点评:本题综合考查了函数的奇偶性和方程的解的个数问题,同时运用了函数与方程思想、转化思想和分类讨论等数学思想方法,对学生综合运用知识解决问题的能力要求较高,是2015届高考的热点问题.9.(3分)函数f(x)=x(|x|﹣1)在上的最小值为,最大值为2,则n﹣m的最大值为()A.B.C.D.2考点:函数的最值及其几何意义.专题:函数的性质及应用.分析:根据二次函数的图象和性质,求出最大值和最小值对应的x的取值,然后利用数形结合即可得到结论.解答:解:当x≥0时,f(x)=x(|x|﹣1)=x2﹣x=(x﹣)﹣,当x<0时,f(x)=x(|x|﹣1)=﹣x2﹣x=(x+)+,作出函数f(x)的图象如图:当x≥0时,由f(x)=x2﹣x=2,解得x=2.当x=时,f()=.当x<0时,由f(x)=)=﹣x2﹣x=.即4x2+4x﹣1=0,解得x==,∴此时x=,∵上的最小值为,最大值为2,∴n=2,,∴n﹣m的最大值为2﹣=,故选:B.点评:本题主要考查函数最值的应用,利用二次函数的图象和性质是解决本题的关键,利用数形结合是解决本题的基本数学思想.10.(3分)设函数(a∈R).若方程f(f(x))=x有解,则a的取值X围为()A.B.C.D.∴t=x,即f(x)=x,∴在x≥0时有解,即x﹣a=x2,∴a=﹣x2+x在x≥0时成立,设g(x)=,∵x≥0∴当x=时,g(x)取得最大值,∴g(x)≤,即a≤,故选:A.点评:本题主要考查方程有解的判断,利用换元法将方程进行转化,利用二次函数的图象和性质是解决本题的关键,综合性较强,难度较大.二、填空题:本大题共7小题,每小题4分共28分.11.(4分)已知集合A={x|1≤2x<16},B={x|0≤x<3,x∈N},则A∩B={0,1,2}.考点:交集及其运算.专题:计算题.分析:求出A中不等式的解集确定出A,列举出集合B,找出两集合的交集即可.解答:解:由A中的不等式变形得:20≤2x<24,即A={x|0≤x≤4},∵B={x|0≤x<3,x∈N}={0,1,2},∴A∩B={0,1,2}.故答案为:{0,1,2}点评:此题考查了交集及其运算,熟练掌握交集的定义是解本题的关键.12.(4分)计算,结果是.考点:有理数指数幂的化简求值.专题:计算题.分析:利用指数幂的运算法则和分母有理化即可得出.解答:解:原式=+1﹣5.5+==2.5+2﹣4.5+2=.故答案为:.点评:本题考查了指数幂的运算法则和有理化因式,属于基础题.13.(4分)使得函数f(x)=x2﹣x﹣(a≤x≤b)的值域为(a<b)的实数对(a,b)有2对.考点:函数的值域;函数的定义域及其求法.专题:计算题;函数的性质及应用.分析:令f(x)﹣x=x2﹣x﹣﹣x=0得方程,从而观察方程根的情况,再由对称轴可得实数对的个数.解答:解:令f(x)﹣x=x2﹣x﹣﹣x=0,即x2﹣9x﹣7=0,方程有两个不同的解,且在对称轴的两侧,又∵f(x)=x2﹣x﹣=(x﹣2)2﹣,﹣在方程x2﹣9x﹣7=0的两根之间,故有2对,故答案为:2.点评:本题考查了对新定义的应用,属于基础题.14.(4分)在同一坐标系中,y=2x与y=log2x的图象与一次函数y=﹣x+b的图象的两个交点的横坐标之和为6,则b=6.考点:反函数;指数函数与对数函数的关系.专题:计算题;函数的性质及应用.分析:通过两个函数是反函数,利用已知条件求出交点的坐标,然后求出b的值.解答:解:因为y=2x与y=log2x互为反函数,所以它们的图象关于y=x对称,又y=2x与y=log2x的图象与一次函数y=﹣x+b的图象的两个交点的横坐标之和为6,y=﹣x+b与y=x垂直,∴交点的坐标为(3,3),∴3=﹣3+b,解得b=6.故答案为:6.点评:本题考查指数函数与对数函数的图象的关系,反函数的应用,考查分析问题解决问题的能力.15.(4分)已知函数f(x)满足f(1﹣x)=f(1+x),且f(x)在是减函数,通过对m≥1与m≤1的讨论,利用函数单调性即可求得实数m的取值X围.解答:解:∵f(1﹣x)=f(1+x),∴函数y=f(x)的图象关于直线x=1对称,又f(x)在是减函数,∴f(1﹣m)<f(m)⇔f(1+m)<f(m),∵m≤1+m恒成立,∴当m≥1时,f(x)在是减函数,要使f(1﹣m)<f(m)成立,必须,解得m<.故答案为:(﹣∞,).点评:本题考查抽象函数及其应用,着重考查函数的对称性与单调性的综合应用.考查分类讨论思想与运算能力,属于中档题.16.(4分)已知函数,若|f(x)|≥ax恒成立,则a的取值X 围是.考点:函数恒成立问题.专题:计算题;函数的性质及应用.分析:分x>0,x≤0两种情况进行讨论,x>0时可知要使不等式恒成立,须有a≤0;x≤0时,再分x=0,x<0两种情况讨论,分离参数a后化为函数最值可求,注意最后对aX围取交集.解答:解:(1)当x>0时,ln(x+1)>0,要使|f(x)|=ln(x+1)≥ax恒成立,则此时a≤0.(2)当x≤0时,﹣x2+2x≤0,则|f(x)|=x2﹣x≥ax,若x=0,则左边=右边,a取任意实数;若x<0,|f(x)|=x2﹣x≥ax可化为a则有a≥x﹣1,此时须满足a≥﹣1.综上可得,a的取值为,故答案为:.点评:本题考查函数恒成立问题,考查转化思想、分类讨论思想,考查学生分析解决问题的能力,恒成立问题常常转化为函数最值解决.17.(4分)设a∈R,若x>0时均有(x2﹣ax﹣1)≥0,则a=.考点:利用导数求闭区间上函数的最值.专题:导数的概念及应用.分析:分类讨论,(1)a=1;(2)a≠1,在x>0的整个区间上,我们可以将其分成两个区间,在各自的区间内恒正或恒负,即可得到结论.解答:解:(1)a=1时,代入题中不等式明显不成立.(2)a≠1,构造函数y1=(a﹣1)x﹣1,y2=x 2﹣ax﹣1,它们都过定点P(0,﹣1).考查函数y1=(a﹣1)x﹣1:令y=0,得M(,0),∴a>1;考查函数y2=x2﹣ax﹣1,∵x>0时均有(x2﹣ax﹣1)≥0,∴y2=x2﹣ax﹣1过点M(,0),代入得:,解之得:a=,或a=0(舍去).故答案为:.点评:本题考查不等式恒成立问题,解题的关键是构造函数,利用函数的性质求解.三、解答题:本大题共4小题.共42分.解答应写出文字说明、证明过程或演算步骤. 18.(8分)设集合A={y|y=2x,1≤x≤2},B={x|0<lnx<1},C={x|t+1<x<2t,t∈R}.(1)求A∩B;(2)若A∩C=C,求t的取值X围.考点:集合的包含关系判断及应用;交集及其运算.专题:规律型.分析:(1)求出集合A,B,利用集合的基本运算求A∩B;(2)根据A∩C=C,转化为C⊆A,然后求t的取值X围.解答:解:(1)∵A={y|y=2x,1≤x≤2}={y|2≤y≤4},B={x|0<lnx<1}={x|1<x<e},∴A∩B={x|2≤x<e},(2)∵A∩C=C,∴C⊆A,若C是空集,则2t≤t+1,得到t≤1;若C非空,则,得1<t≤2;综上所述,t≤2.点评:本题主要考查集合的基本运算以及集合关系的应用,注意对集合C要注意讨论.19.(10分)已知是奇函数.(1)求a的值;(2)判断并证明f(x)在(0,+∞)上的单调性;(3)若关于x的方程k•f(x)=2x在(0,1]上有解,求k的取值X围.考点:奇偶性与单调性的综合;根的存在性及根的个数判断.专题:综合题;函数的性质及应用.分析:(1)由奇函数的定义可得f(x)=﹣f(﹣x),即f(x)+f(﹣x)=0,合理变形可求a;(2)设任意的0<x1<x2,通过作差可判断f(x1)与f(x2)的大小关系,根据单调性的定义可作出判断;(3)方程k•f(x)=2x可化为:2(2x)2﹣(k+2)•2x﹣k=0,令2x=t∈(1,2],则可分离出参数k,进而转化为函数的值域问题,借助“对勾”函数的单调性可求得函数值域;解答:解:(1)∵是奇函数,∴对定义域内的x,都有f(x)=﹣f(﹣x),即f(x)+f(﹣x)=0,则,∴a=2.(2)f(x)在(0,+∞)上的单调递减.对任意的0<x1<x2、,故f(x1)>f(x2),即f(x)在(0,+∞)上的单调递减;(3)方程k•f(x)=2x可化为:2(2x)2﹣(k+2)•2x﹣k=0,令2x=t∈(1,2],于是2t2﹣(k+2)t﹣k=0,则,又在(1,2]上单调递增,∴的值域为,故.点评:本题考查函数的奇偶性、单调性的综合应用、方程根的分布问题,考查转化思想、函数思想,考查学生解决问题的能力.20.(12分)已知函数f(x)=x2﹣ax+2a﹣1(a为实常数).(1)若a=0,求函数y=|f(x)|的单调递增区间;(2)设f(x)在区间的最小值为g(a),求g(a)的表达式;(3)设h(x)=,若函数h(x)在区间上是增函数,某某数a的取值X围.考点:二次函数的性质.专题:函数的性质及应用.分析:(1)当a=0时,f(x)=x2﹣1,结合函数y=|f(x)|的图象可得它的增区间.(2)函数f(x)=x2﹣ax+2a﹣1的对称轴为 x=,分当时、当时、和当时三种情况,分别求得g(a),综合可得结论.(3)根据,再分当2a﹣1≤0和当2a﹣1>0时两种情况,根据h(x)在区间上是增函数,分别求得a的X围,再取并集.解答:解:(1)当a=0时,f(x)=x2﹣1,则结合y=|f(x)|的图象可得,此函数在(﹣1,0),(1,+∞)上单调递增.(2)函数f(x)=x2﹣ax+2a﹣1的对称轴为 x=,当时,即a≤2,g(a)=f(1)=a;当时,即2<a<4,;当时,即a≥4,g(a)=f(2)=3;综上:g(a)=.(3)∵,当2a﹣1≤0,即,h(x)是单调递增的,符合题意.当2a﹣1>0,即时,h(x)在单调递减,在单调递增.令,求得.综上所述:a≤1.点评:本题主要考查二次函数的性质,求二次函数在闭区间上的最值,体现了分类讨论的数学思想,属于中档题.21.(12分)设f(x)是R上的奇函数,且当x>0时,f(x)=lg(x2﹣ax+10),a∈R.(1)若f(1)=lg5,求f(x)的解析式;(2)若a=0,不等式f(k•2x)+f(4x+k+1)>0恒成立,某某数k的取值X围;(3)若f(x)的值域为R,求a的取值X围.考点:对数函数图象与性质的综合应用.专题:函数的性质及应用.分析:(1)由f(1)=lg5,求得a=6.求得当x<0时f(x)的解析式,再由f(0)=0,可得f(x)在R上的解析式.(2)若a=0,则由f(x)为奇函数可得它在R上单调递增,不等式等价于k•2x+4x+k+1>0.令t=2x(t>0),可得t2+kt+k+1>0在(0,+∞)恒成立,分离参数k,利用基本不等式求得k 的X围.(3)首先需满足x2﹣ax+10>0在(0,+∞)上恒成立,于是根据求得a的X围.其次,需要x2﹣ax+10=0在(0,+∞)上有解,再根据,利用基本不等式求得a的X围.再把以上两个a的X围取交集,即得所求.解答:解:(1)∵f(1)=lg5,∴f(1)=lg(11﹣a)=lg5,所以a=6.此时,当x<0时,﹣x>0,f(x)=﹣f(﹣x)=﹣lg(x2+6x+10),又f(0)=0,故.(2)若a=0,则由f(x)为奇函数可得它在R上单调递增,故f(k•2x)+f(4x+k+1)>0,等价于k•2x+4x+k+1>0.令t=2x(t>0),于是,t2+kt+k+1>0在(0,+∞)恒成立,即因为的最大值为,所以.(3)要使f(x)有意义,首先需满足x2﹣ax+10>0在(0,+∞)上恒成立,即.再利用基本不等式求得 x+≥2,当且仅当x=时,取等号,∴.其次,要使f(x)的值域为R,需要x2﹣ax+10=1能取遍所有的正数,故x2﹣ax+10=1在(0,+∞)上有解,可是,当且仅当x=3时,等号成立.综上可得,.点评:本题主要考查对数函数的图象和性质综合应用,二次函数的性质,体现了转化的数学思想,属于中档题.。
2014—2015学年度第一学期高一年级期末调研测试数学参考答案与评分标准一、填空题:本大题共14小题,每小题5分,共计70分.不需写出解题过程,请把答案 直接填写在答题卡相应位置上......... 1.4; 2.22; 3.π; 4. (2,3]- ; 5.2; 6.(2,2); 7. 8; 8. 105-; 9.2; 10.1; 11.32; 12.-1; 13.32; 14.22,32⎡⎤⎢⎥⎣⎦. 二、解答题:本大题共6小题,15—17每题14分,18—20每题16分,共计90分. 请在答题卡指定区域内作答..........,解答时应写出文字说明、证明过程或演算步骤. 15.(1)由题意得[)1,A =+∞,[]1,2B =-………………………4分所以[]1,2AB = ………………………6分(2)因为[)1,A =+∞,[]1,2B =-,所以[)1,AB =-+∞, ………………………10分所以()(,1)U AB =-∞-ð. ………………………14分16.(1)因为(3,3)(33,1)---,a +b =a b =,所以2(23,2)a =,即(3,1),a =则22(3)12=+=a . ………………………2分 又因为2(43,4)-b =,所以(23,2)-b =,则22(23)24=-+=b . ………………………4分 所以33)121cos 242θ⨯+⨯===-⨯(-2a b a b . ……………6分 又因为[]0,θ∈π, 所以23θπ=. ……………7分 (2)因为(3,1),a =(23,2)-b =,所以3=(33,3)+(23,2)=(3,5)-a +b . ……………10分 因为(3)a +bc ,所以3350m -= , ……………13分所以335m =. ……………14分17.(1)因为22tan2tan 1tan 2ααα=-,1tan22α=,所以4tan 3α=,……………2分又sin tan cos ααα=,所以3cos sin 4αα=, ……………4分 由22sin cos 1αα+=,可得223sin (sin )14αα+=,即216sin 25α=,又02απ<<,所以4sin 5α=. ……………6分 (2)因为02απ<<,4sin 5α=,所以3cos 5α=, ……………8分又因为02αβπ<<<<π,所以0βα<-<π,因为2cos()10βα-=,所以72sin()10βα-=, ……………10分cos cos[()]cos()cos sin()sin ββααβααβαα=-+=---2372421051052=⨯-⨯=-, ……………13分 因为2βπ<<π,所以4β3π=. ……………14分 (其他解法参照给分)18.(1)作CE OB ⊥于E ,在Rt COE ∆中,因为AB =4,所以OC =2, cos 2cos OE OC θθ==,因为四边形ABCD 为等腰梯形,所以24cos CD OE θ==, ……………3分 作OF BC ⊥于F ,在Rt OBF ∆中,2BOF θ∠=,sin2sin22BF OB θθ==,所以4sin2BC θ=,则4sin2AD θ=, ……………6分所以4cos 8sin42L θθ=++,π(0,)2θ∈. ……………8分(若由勾股定理得出4cos 42(1cos )4L θθ=+-+不扣分) (2)由(1)知4cos 8sin42L θθ=++=28sin 8sin822θθ-++ ……………11分=218(sin)1022θ--+ ……………14分 (第18题图)θABC DE FO因为π(0,)2θ∈,所以当1sin 22θ=,即π3θ=时,L =10,所以,π3θ=时,L 取得最大值10. ……………16分19.(1)因为函数()lg10a xf x x-=+是定义域[9,9]-上的奇函数, 所以()()f x f x -=-,即lg lg 1010a x a xx x +-=--+, ……………2分可得1010a x x x a x ++=--,即222100a x x -=-,则2100a =,得10a =或10a =-当10a =-时,()lg(1)f x =-无意义,所以10a =. ……………4分 (注:若用(0)0f =解得10a =,未加以代入检验扣2分)(2)由(1)可知函数10()lg10xf x x-=+,该函数是定义域上的减函数,……5分 证明:设12,x x 为区间[9,9]-上的任意两个值,且12x x <,则210x x ->, ……………6分12122112121212101010010()()()lglg lg101010010()x x x x x x f x f x x x x x x x ---+--=-=++-+-………8分因为122112122110010()[10010()]20()0x x x x x x x x x x -+---+-=->所以1221121210010()10010()0x x x x x x x x -+->-+-> 因为12121210010()()()>0x x x x x x -+-=10+10- 所以1221121210010()10010()0x x x x x x x x -+->-+-> 则122112211212121210010()10010()1,lg 010010()10010()x x x x x x x x x x x x x x x x -+--+->>-+--+-所以12()()f x f x > 所以函数10()lg10xf x x-=+是定义域上的减函数; ………10分(3)1090lg 1,9,1011|()1|1090lg 1,91011xx x f x x x x -⎧+-⎪⎪++=⎨-⎪--<⎪+⎩≤≤≤要使()|()1|g x f x m =+-有两个零点,即关于x 的方程()1f x m += 有两个互异实根, ……………11分 当90911x -≤≤时, 10|()1|lg110x y f x x -=+=++在区间909,11⎡⎤-⎢⎥⎦⎣上单调减, 所以函数|()1|y f x =+的值域为]0,1lg19⎡+⎣, ……………13分 当90911x ≤≤时, 10|()1|lg110x y f x x -=+=--+在区间]90,911⎡⎢⎣上单调增, 所以函数|()1|y f x =+的值域为]0,lg191⎡-⎣, ……………15分 所以实数m 的取值范围为](0,lg191-. ……………16分20.(1)当1a =时,22()23(1)2,f x x x x =-+=-+所以函数的单调减区间为(,1)-∞ ,增区间为[1,)+∞. ……………2分 (2) 因为1,42x ⎡⎤∈⎢⎥⎣⎦, 所以[]2()log 1,2.g x x =∈-设(),t g x = 则[]1,2t ∈-. ……………3分3(())2a f g x +≥可化为23(1)32a t a t +-++≥. 令2()(1)3h t t a t =-++ ,其对称轴为12a t += . ……………4分①当112a +-≤,即3a -≤ 时,()h t 在[]1,2-上单调递增, 所以min ()(1)1135h t h a a =-=+++=+,由352a a ++≥得7a ≥- , 所以73a --≤≤; ……………6分②当1122a +-<<即33a -<<时, 函数()h t 在1(1,)2a +-上递减,在1(,2)2a +上递增, 所以222min11(1)(1)()()()332224a a a a h t h ++++==-+=-+.由2(1)3342a a ++-+≥,化简为245a a +-≤0 , 解得51a -≤≤,所以3<1a -≤. ……………8分 ③当12a +≥2即3a ≥时,函数()h t 在[]1,2-递减, 所以min ()(2)42(1)352h t h a a ==-++=- 由3522a a +-≥,得75a ≤,舍去.综上:[7,1]a ∈-. ……………10分(3)当1x >时,2ln(1)2ln(1)x x -=-,由题意(0,)x ∈+∞时,ln 1x x -≤,可得1x >时,2ln(1)24x x --≤, ……………11分22()(24)(1)324(3)7f x x x a x x x a x --=-++-+=-++,当9[2,]4a ∈-时,2(3)280a ∆=+-<恒成立,所以()(24)0f x x -->恒成立,即()24f x x >-恒成立,所以2()ln(1)f x x >-恒成立. ……………13分 当1x <时,2ln(1)2ln(1)x x -=-,由题意可得2ln(1)2x x --≤, ……………14分 2()(2)(1)3f x x x a x --=--+, 因为2(1)12a ∆=--,当9[2,]4a ∈-时,0∆<恒成立, 所以()(2)0f x x -->,即()2f x x >-恒成立,所以2()ln(1)f x x >-恒成立,综上,2()ln(1)f x x >-恒成立. ……………16分。
(第12题图) CB A DA' C'D' 2014-2015学年第一学期期末调研测试试卷高一数学 2015. 1注意事项:1.本试卷共160分,考试时间120分钟;2.答题前,务必将自己的姓名、学校、考试号写在答卷纸的密封线内。
一、填空题:本大题共14个小题,每小题5分,共计70分,请把答案直接填写在答题..纸.相应的...位置..上。
1.已知集合{}{}1,1,2,1,0,2A B =-=-,则A B I = ▲ . 2.角α的终边过点(−3,−4),则tan α= ▲ . 3.函数()log (1)1(01)a f x x a a =-+>≠且恒过定点 ▲ . 4.已知a =(cos40︒,sin40︒),b =(sin20︒,cos20︒),则a ·b = ▲ . 5.若tan 3α=,4tan 3β=,则tan()αβ-= ▲ .6.函数232y x x =-+的零点是 ▲ .7.将函数sin y x =的图象上所有点的横坐标缩小到原来的12(纵坐标不变),再将图象上所有点向右平移 个单位,所得函数图象所对应的解析式为y = ▲ . 8.若2cos 2π2sin()4αα=--,则sin 2α= ▲ .9.若函数()248f x x kx =--在[]5,8上是单调函数,则k 的取值范围是 ▲ .10.已知向量a =(6,-4),b =(0,2),OC uuu r =a +λb ,O 为坐标原点,若点C 在函数y =sin π12 x的图象上,实数λ的值是 ▲ .11.四边形ABCD 中,()1,1AB DC ==u u u r u u u r ,2BA BC BD BA BC BD +=uu r uu u r uu u r uu r uu u r uu u r ,则此四边形的面积等于 ▲ . 12.如图,矩形ABCD 中,AB =12,AD =5,将矩形ABCD 绕点B 按顺时针方向旋转45o 后得到矩形A'BC'D',则点D'到直线AB 的距 离是 ▲ .13.已知函数 (0),()(3)4 (0)xa x f x a x a x ⎧<=⎨-+⎩…是减函数,则a 的取值范围是 ▲ .14.设两个向量a 22(2,cos )λλα=+-和b (2sin )m m α=+,,其中m λα,,为实数.若a = 2b ,则mλ的取值范围是 ▲ . 3π二、解答题:本大题共6小题,计90 分。
解答应写出必要的文字说明,证明过程或演算步骤,请把答案写在答题纸的指定区域内。
15.(本题满分14分)已知a =(1,2),b =(-3,1), (Ⅰ) 求a -2b ;(Ⅱ) 设a ,b 的夹角为θ,求cos θ的值; (Ⅲ) 若向量a +k b 与a -k b 互相垂直,求k 的值.16.(本题满分14分)已知21cos ,cos(),510ααβ=-=且0,022ππαβ<<-<<,(Ⅰ) 求tan 2α的值; (Ⅱ) 求β的值.17.(本题满分15分)已知函数f (x )是实数集R 上的奇函数,当x >0时,f (x )=2log x +x -3. (Ⅰ) 求f (-1)的值; (Ⅱ) 求函数f (x )的表达式;(Ⅲ) 求证:方程f (x )=0在区间(0,+∞)上有唯一解.18.(本题满分15分)根据市场调查,某种新产品投放市场的30天内,每件销售价格P (元)与时间t (天 *N t ∈)的关系满足下图,日销量Q (件)与时间t (天)之间的关系是*40(N )Q t t =-+∈.(Ⅰ) 写出该产品每件销售价格P 与时间t 的函数关系式;(Ⅱ) 在这30天内,哪一天的日销售金额最大?(日销量金额=每件产品销售价格×日销量)19.(本小题满分16分)在平面直角坐标系中,O 为坐标原点,A 、B 、C 三点满足12+33OC OA OB =uuu r uu r uu u r.(Ⅰ) 求证:A 、B 、C 三点共线;(Ⅱ) 求ACCBuuu r uu r 的值;(Ⅲ) 已知A (1,cos x )、B (1+cos x ,cos x ),x ∈0,2π⎡⎤⎢⎥⎣⎦,f (x )= 2(2)3OA OC m AB ⋅-+uu r uuu r uu u r 的最小值为32-,求实数m 的值.20.(本小题满分16分)已知函数1()log 1amxf x x -=-(0,1)a a >≠是奇函数. (Ⅰ) 判断函数()f x 在(1,)+∞上的单调性,并给出证明;(Ⅱ) 当(,2)x n a ∈-时,函数()f x 的值域是(1,)+∞,求实数a 与n 的值;(Ⅲ) 令函数2()()8(1)5f x g x ax x a=-+--,a ≥8时,存在最大实数t ,使得(1,]x t ∈时,()55g x -剟 恒成立,请写出t 关于a 的表达式.2014-2015学年第一学期期末调研测试试卷高一数学参考答案2015. 1一、填空题:本大题共14个小题,每小题5分,共计70分1.{}1,2-;2.43;3.(2,1);4.32;5.13;6.1,2;7.2sin(2)3y x π=-;8.43-;9.40k …或64k …;10.52;11.2;12.1722;13.1(0,]4;14.[-12,2]. 二、解答题:本大题共6小题,计90 分。
15.解:(Ⅰ) a -2b =(1,2)-2(-3,1)=(1+6,2-2)=(7,0);……………..(4分)(Ⅱ)cos θ⋅=⋅a b a b ……………..(6分)221(3)211(3)21⨯-+⨯=+-+………..(8分)=102-;…………(10分) (Ⅲ)因为向量a +k b 与a -k b 互相垂直,所以(a +k b )•(a -k b )=0即2220k -=b a ……………..(12分)因为25=a ,210=b ,所以01052=-k 22±=⇒k ; ………(14分) 16.解:(Ⅰ)由2cos ,025παα=<<,得2221sin 1cos 155αα⎛⎫=-=-=⎪⎝⎭……………..(2分) ∴sin 151tan cos 225ααα==⨯=,……………..(3分) 则22122tan 42tan 21tan 3112ααα⨯===-⎛⎫- ⎪⎝⎭.……………..(6分) (Ⅱ)由0,022ππβα-<<<<,得0αβπ<-<,……………..(7分)又∵()1cos 10αβ-=,∴()()2213sin 1cos 11010αβαβ⎛⎫-=--=-= ⎪⎝⎭.…..(9分)由()βααβ=--得:()cos cos βααβ=--⎡⎤⎣⎦()()cos cos sin sin ααβααβ=-+-211322510510=⨯+⨯=,……………..(12分)∵02πβ-<<∴4πβ=-. ……………..(14分)17.解:(Ⅰ)函数f (x )是实数集R 上的奇函数.所以f (-1)=-f (1).因为当x >0时,f (x )=log 2x +x -3,所以f (1)=log 21+1-3=-2. 所以f (-1)=-f (1)=2.……………..(3分)(Ⅱ)当x =0时,f (0)=f (-0)=-f (0),解得f (0)=0;……………..(4分) 当x <0时,-x >0,所以f (-x )=log 2(-x )+(-x )-3=log 2(-x )-x -3. 所以-f (x )=log 2(-x )-x -3,从而f (x )=-log 2(-x )+x +3.……..(6分) 所以f (x )=()22log 3 , 0,0,0,log 3,0x x x x x x x -⎧-++<⎪=⎨⎪++>⎩……………..(8分)(Ⅲ)因为f (2)=log 22+2-3=0,所以方程f (x )=0在区间(0,+∞)上有解x =2.……………..(10分) 又方程f (x )=0可化为log 2x =3-x . 设函数g (x )=log 2x ,h (x )=3-x .由于g (x )在区间(0,+∞)上是单调增函数……………..(12分), h (x )在区间(0,+∞)上是单调减函数,……………..(13分) 所以,方程g (x )=h (x ) 在区间(0,+∞)上只有一个解.所以,方程f (x )=0在区间(0,+∞)上有唯一解. ……………..(15分) (指出解且直接指出f (x )单调性给满分)18.解:(Ⅰ)根据图象,每件销售价格P 与时间t 的函数关系为:30(020,)50(2030,)t t t P t t ⎧+<∈⎪=⎨<∈⎪⎩**N N ……. ……………..(4分) (Ⅱ)设日销售金额y (元),则**(30)(40)(020,)50(40)(2030,)t t t t y t t t ⎧+-+<∈⎪=⎨-+<∈⎪⎩N N …… ……………..(6分) 2**101200(020,)502000(2030,).t t t t t t t ⎧-++<∈⎪=⎨-+<∈⎪⎩N N …… ……………..(8分) 若*020,t t <∈N …时,,1225)5(12001022+--=++-=t t t y∴当t =5时,;1225max =y ……………..(11分)若20<t 30,t ∈*N 时,y =-50t +2000是减函数,……………..(13分)∴y <-50×20+2000=1000,因此,这种产品在第5天的日销售金额最大,最大日销售金额是1225元. ……………..(15分)19.解:(Ⅰ)由已知12+33OC OA OB =uuu r uu r uu u r ,即2+=3AC AC CA AB =uuu r uuu r uu r uu u r ,12+=++33AC AO OC AO OA OB =uuu r uuu r uuu r uuu r uu r uu u r22=+33AO OB uuu r uu u r 23AB =uu u r ∴AC uuu r ∥AB uu u r .又∵AC uuu r 、AB uu u r有公共点A ,∴A 、B 、C 三点共线. ………..(4分)(Ⅱ)∵22()33AC AB AC CB ==+uu u r uu u r uu u r uu r ,∴1233AC CB =uuur uu r ,2AC CB =uu u r uu r,∴2AC CB=uuu r uu r ……………..(8分)(Ⅲ)∵12+33OC OA OB =u u u r u u r u u u r ∴C(21cos ,cos 3x x +),AB uu u r =(cos x ,0),∴f (x ) =23OA OC m AB ⋅-+u u r u u u r u u u r (2) =2221cos cos cos 33x x m x++-+(2)∴f (x )=(cos x m )2+1 m 2. ……………..(11分)∵x ∈0,2π⎡⎤⎢⎥⎣⎦,∴cos x ∈[0,1]. ……………..(12分)当m <0时,当且仅当cos x =0时,f (x )取得最小值1与已知相矛盾; 当0 m 1时, 当且仅当cos x =m 时,f (x )取得最小值1-m 2,由1-m 2=32-得m =±102 (舍去);当m >1时,当且仅当cos x =1时,f (x )取得最小值2-2m ,由2-2m =32-得m =714>. 综上所述,m=74为所求. ……………16分 20.解:(Ⅰ)由已知条件得()()0f x f x -+=对定义域中的x 均成立.∴11log log 011aa mx mxx x +-+=---. 即11111mx mx x x +-⋅=---∴22211m x x -=-,,对定义域中的x 均成立, 即2210m x -=(),∴21m = 当1m =时,()f x 无意义,故舍去,当1m =-时()f x 奇函数,∴1m =-.……………..(3分)1()log 1ax f x x +=-, 设11221111x x t x x x +-+===+---, ∴当121x x >>时,211212122()2211(1)(1)x x t t x x x x --=-=---- ∴12t t <. 当1a >时,12log log a a t t <,即12()()f x f x <.∴当1a >时,()f x 在(1,)+∞上是减函数. ……………..(5分) 同理当01a <<时,()f x 在(1,)+∞上是增函数. ……………..(7分) (Ⅱ) 函数()f x 的定义域为(,1)(1,)-∞-⋃+∞, ∴①21n a <--…,∴01a <<. ∴()f x 在(,2)n a -为增函数,要使值域为(1,)+∞,则1log 1121an n a +⎧=⎪-⎨⎪-=-⎩(无解); ②12n a <-…, ∴3a >.∴()f x 在(,2)n a -为减函数,要使()f x 的值域为(1,)+∞, 则11log 13a n a a =⎧⎪-⎨=⎪-⎩, ∴23a =+,1n =. ……………..(12分)(Ⅲ)()()()22241681583()3f xg x ax x a ax x a x aa=-+--=-++=--++,则函数()y g x =的对称轴4x a=, 8a …∴410,2x a ⎛⎤=∈ ⎥⎝⎦. ∴函数()y g x =在(]1,x t ∈上单调减.则1x t <…,有()()(1)g t g x g <………………..(13分) ∵(1)=11g a -,又a ≥8,∴(1)g ≤3<5……………..(14分)∵t 是实数,使得1]x t ∈(,上()5g x 剟-5恒成立,∴()5g t -…, 即23at t +-+8-5…,∴280at t -8-…,280t t a a8--… 22168()t a a a -+4…,∴22168168t a a a a a-+-+4剟 22168168t a a a a a a -+++44剟,∴2168t a a a=++4=……………..(16分)。