各元素特征X射线谱线能量表
- 格式:doc
- 大小:125.00 KB
- 文档页数:3
x射线能谱中的元素映射
在X 射线能谱中,元素映射是一种用于分析样品中元素分布的技术。
它通过将X 射线能谱仪探测到的X 射线光子能量与已知元素的特征X 射线能量进行比对,确定样品中存在的元素,并将这些元素的分布在样品的图像上表示出来。
元素映射通常使用能量色散X 射线光谱仪(EDS)或波长色散X 射线光谱仪(WDS)来获取X 射线能谱数据。
在能谱仪中,X 射线光子与探测器相互作用,产生电子-空穴对,这些电子-空穴对的数量与X 射线光子的能量成正比。
通过对这些电子-空穴对进行计数,可以获得X 射线能谱。
能谱仪可以同时探测到来自样品中不同元素的X 射线光子,因此可以同时确定多个元素的存在。
通过将能谱仪与显微镜或扫描电子显微镜结合使用,可以在样品的表面或横截面上获取元素映射图像。
元素映射图像可以显示样品中不同元素的分布情况,帮助研究人员了解样品的结构、组成和性质。
它在材料科学、地质学、生物学、化学等领域有广泛的应用,例如分析材料的成分、检测污染物的分布、研究生物组织中的元素代谢等。
能量色散x射线光谱能量色散X射线光谱(EDX)是一种物理学技术,用来分析物体表面或里面结构的特征,它能精确地探测物质的显微结构、形态和组成,并可以估计有机物的纯度、含量和配比等。
EDX技术可以用于在压力、温度、湿度和环境污染的条件下的物质的分析,在活性物质的研究中成为重要的方法,也是现代材料分析中一种主流技术。
EDX物理学技术通过X射线波长的变化来分析物质的显微结构和表面形态,其基本原理是将X射线辐照到样品,并观察所产生的X射线能谱。
EDX技术可以检测出特征X射线,将其分解成不同元素,并对其分别进行分析。
EDX相比于其它X射线分析技术,分析速度更快,同时通过检测到的X射线能谱可以计算出材料中每种元素的质量比例,提供出高精确度的分析结果。
EDX技术可用于半导体制造工艺、焊接工艺、生物医学领域、薄膜研究等的分析,还可以用于对金属材料的组织和性能的研究,是材料学研究如硅钢、合金、复合材料等的有效分析工具。
例如,EDX技术可以用于研究表面涂层的位置、厚度和元素成分,以及硅钢和合金材料中的灰分含量,甚至还能发现微量元素的存在。
尽管EDX技术对材料分析非常精确,但它也存在一定的局限性,如谱线宽度较宽,分辨能力较低,分析范围有限等。
EDX分析的结果只能反映常温下的样品的特性,而不能反映高温时的特性,所以EDX分析的结果只能用于参考,而不能作为唯一的判断依据。
此外,EDX技术也依赖于较好的技术人员和硬件设备,要求使用者必须具备良好的化学知识和安全措施等技能,才能进行有效的EDX 技术研究和应用。
总之,EDX技术是一种重要的物理分析技术,它可以用于精确检测物质的表面结构、形态和组成,也可以估计有机物的纯度和含量,是很多领域的材料分析的首选手段,但也有一定的局限性,也需要良好的技术人员和硬件设备才能做出准确的结论。
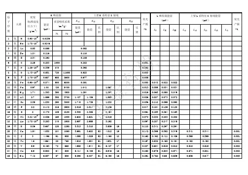
K α1 K α2 K β1 K β2 (keV )(keV )质量吸收系数(cm 2/g)子 序 数 元素(标准温度压力下)(g/cm 2) 能量(keV)μ1μ2 能量 (keV) 能量 比 例 能量 比 例 能量 比 例 荧光 产额 ωKL I L II L III L α1 L α2 L β1 L β2 L γ1 荧光 产额 ωK 1 氢 H 8.98×10-5 0.0136 2 氦 He 1.78×10-4 0.02463 锂 Li 0.53 0.055 0.0524 铍 Be 1.84 0.116 0.1105 硼 B 2.34 0.192 0.1856 碳 C 2.25 0.283 1000 0.282 0.0017 氮 N 1.25×10-3 0.339 840 0.392 0.0028 氧 O 1.43×10-3 0.531 720 11000 0.523 0.0039 氟 F 1.70×10-3 0.687 600 8600 0.677 0.00510 氖 Ne 0.90×10-3 0.874 500 6800 0.8510.008 0.048 0.022 0.022 11 钠 Na 0.97 1.08 420 5400 1.041 1.067 0.013 0.055 0.034 0.034 12 镁 Mg 1.74 1.303 350 4500 1.254 1.297 0.019 0.063 0.050 0.049 13 铝 Al 2.7 1.559 300 3700 1.487 1.486 1.553 0.026 0.087 0.073 0.072 14 硅 Si 2.35 1.838 250 3000 1.740 1.739 1.832 0.036 0.118 0.099 0.098 15 磷 P 2.2 2.142 215 2500 2.015 2.014 2.136 0.047 0.154 0.129 0.128 16 硫 S 2 2.470 185 2100 2.308 2.306 2.464 0.061 0.193 0.264 0.163 17 氯 Cl 3.21×10-3 2.826 160 1800 2.622 2.621 2.815 0.078 0.238 0.203 0.202 18 氩 Ar 1.78×10-3 3.203 140 1500 2.957 2.955 3.192 0.097 0.287 0.247 0.245 19 钾 K 0.86 3.607 120 1250 3.313 3.310 3.589 19 0.118 0.341 0.297 0.29420 钙 Ca 1.54 4.038 104 1050 3.691 3.688 52 4.012 19 0.142 0.399 0.352 0.349 0.341 0.344 0.001 21 钪 C 3 4.496 91 900 4.090 4.085 52 4.460 18 0.168 0.462 0.411 0.406 0.395 0.399 0.001 22 钛 Ti 4.5 4.964 80 760 4.510 4.504 51 4.931 17 0.197 0.530 0.460 0.454 0.452 0.458 0.001 23 钒 V 5.9 5.463 72 660 4.952 4.944 51 5.427 17 0.227 0.604 0.519 0.512 0.510 0.519 0.002 24 铬 Cr 6.9 5.988 64 580 5.414 5.405 51 5.946 16 0.258 0.679 0.583 0.574 0.571 0.581 0.002 25锰Mn 7.426.53757500 5.8985.887516.490160.291 0.7620.650.6390.6360.6470.003盖章有效K α1 K α2 K β1 K β2 (keV )(keV )质量吸收系数(cm 2/g)子 序 数 元素(标准温度压力下)(g/cm 2) 能量(keV)μ1μ2 能量 (keV) 能量 比 例 能量 比 例 能量 比 例 荧光 产额 ωKL IL II L III L α1 L α2 L β1 L β2 L γ1 荧光 产额 ωK 26 铁 Fe 7.9 7.111 51 450 6.403 6.390 50 7.057 16 0.324 0.849 0.721 0.708 0.704 0.717 0.003 27 钴 Co 8.9 7.709 45 390 6.930 6.915 50 7.649 16 0.358 0.929 0.749 0.779 0.775 0.790 0.004 28 镍 Ni 8.8 8.331 42 345 7.477 7.460 50 8.264 17 8.328 0.392 1.015 0.871 0.853 0.849 0.866 0.005 29 铜 Cu 8.9 8.980 37 310 8.047 8.027 50 8.904 17 8.976 0.425 1.100 0.953 0.933 0.928 0.948 0.006 30 锌 Zn 7.1 9.660 33.5 275 8.638 8.615 50 9.571 18 9.657 0.458 1.200 1.045 1.022 1.009 1.032 0.007 31 镓 Ga 5.9 10.368 30.5 245 9.251 9.234 50 10.263 19 10.365 0.4 0.489 1.30 1.134 1.117 1.096 1.122 0.009 32 锗 Ge 5.46 11.103 27.5 220 9.885 9.854 50 10.981 19 11.100 0.6 0.520 1.42 1.248 1.217 1.186 1.216 0.010 33 砷 As 5.7 11.863 25 200 10.543 10.507 50 11.725 20 11.861 0.9 0.549 1.529 1.359 1.323 1.282 1.317 0.012 34 硒 Se 4.5 12.652 23 180 11.221 11.181 50 12.495 20 12.651 1.3 0.577 1.652 1.473 1.434 1.379 1.419 0.014 35 溴 Br 3.1 13.475 21.4 162 11.923 11.877 50 13.290 21 13.465 1.7 0.604 1.794 1.599 1.552 1.480 1.526 0.016 36 氪 Kr 3.71×10-3 14.323 19.6 150 12.648 12.597 50 14.112 21 14.313 2.1 0.629 1.931 1.727 1.675 1.587 1.638 0.019 37 铷 Rb 1.5 15.201 18.2 134 13.394 13.335 50 14.960 22 15.184 2.4 0.653 2.067 1.866 1.806 1.694 1.692 1.752 0.021 38 锶 Sr 2.55 16.106 16.9 121 14.164 14.097 50 15.834 22 16.083 2.8 0.675 2.221 2.008 1.941 1.806 1.805 1.872 0.024 39 钇 Y 4.5 17.037 15.5 111 14.957 14.882 50 16.736 22 17.011 3.1 0.695 2.369 2.154 2.079 1.922 1.92 1.996 0.027 40 锆 Zr 6.54 17.998 14.4 102 15.774 15.690 50 17.666 23 17.969 3.4 0.715 2.547 2.305 2.22 2.042 2.04 2.124 2.219 2.302 0.031 41 铌 Nb 8.57 18.987 13.4 94 16.614 16.520 50 18.621 23 18.951 3.7 0.732 2.706 2.467 2.374 2.166 2.163 2.257 2.367 2.462 0.035 42 钼 Mo 10.2 20.002 12.5 86 17.478 17.373 50 19.607 24 19.964 4 0.749 2.884 2.627 2.523 2.293 2.29 2.395 2.518 2.623 0.039 43 锝 Tc 11.2 21.054 11.7 79 18.410 18.328 50 20.585 24 21.012 4.2 0.765 3.054 2.795 2.677 2.424 2.42 2.528 2.674 2.792 0.043 44 钌 Ru 12.1 22.118 11.0 73 19.278 19.149 50 21.655 24 22.072 4.4 0.779 3.236 2.966 2.837 2.558 2.554 2.683 2.836 2.964 0.047 45 铑 Rh 12.4 23.224 10.2 67 20.214 20.072 50 22.721 25 23.169 4.6 0.792 3.419 3.145 3.002 2.696 2.692 2.834 3.001 3.114 0.052 46 钯 Pd 12.2 24.347 9.8 62 21.175 21.018 50 23.816 25 24.297 4.8 0.805 3.617 3.329 3.172 2.838 2.833 2.990 3.172 3.328 0.058 47 银 Ag 10.5 25.517 9.2 58 22.162 21.988 51 24.942 25 25.454 5 0.816 3.810 3.528 3.352 2.984 2.978 3.151 3.384 3.519 0.063 48 镉 Cd 8.6 26.712 8.6 53 23.172 22.982 51 26.093 26 26.641 5 0.827 4.019 3.727 3.538 3.133 3.127 3.316 3.528 3.716 0.069 49 铟 In 7.3 27.928 8.2 49 24.207 24.000 51 27.274 26 27.859 5 0.836 4.237 3.939 3.729 3.287 3.279 3.487 3.713 3.920 0.075 50锡Sn 7.329.1907.746 25.27025.0425128.4832629.10650.845 4.4644.1573.9283.4443.4353.6623.9044.1310.081盖章有效K α1 K α2 K β1 K β2 (keV )(keV )质量吸收系数(cm 2/g)子 序 数 元素(标准温度压力下)(g/cm 2) 能量(keV)μ1μ2 能量 (keV) 能量 比 例 能量 比 例 能量 比 例 荧光 产额 ωKL IL II L III L α1 L α2 L β1 L β2 L γ1 荧光 产额 ωK 51 锑 Sb 6.7 30.486 7.2 43 26.357 26.109 51 29.723 27 30.387 5 0.854 4.697 4.381 4.123 3.605 3.595 3.843 4.100 4.347 0.088 52 碲 Te 6.0 31.809 6.8 39.5 27.471 27.200 51 30.993 27 31.698 6 0.862 4.938 4.613 4.341 3.769 3.758 4.029 4.301 4.570 0.095 53 碘 I 4.9 33.164 6.5 37.0 28.610 28.315 51 32.292 27 33.016 6 0.869 5.190 4.856 4.559 3.937 3.926 4.220 4.507 4.800 0.102 54 氙 Xe 5.85×10-3 34.519 6.2 34.5 29.802 29.485 52 33.644 28 34.446 6 0.876 5.452 5.104 4.782 4.111 4.098 4.422 4.720 5.036 0.110 55 铯 Cs 1.87 35.959 5.8 32.0 30.970 30.623 52 34.984 28 35.819 6 0.882 5.720 5.358 5.011 4.286 4.272 4.620 4.936 5.280 0.118 56 钡 Ba 3.5 37.410 5.5 30.0 32.191 31.815 52 36.376 28 37.255 6 0.888 5.995 5.623 5.247 4.467 4.451 4.828 5.156 5.531 0.126 57 镧 La 6.1 38.931 5.2 28.5 33.440 33.033 52 37.799 28 38.728 6 0.893 6.283 5.894 5.489 4.651 4.635 5.043 5.384 5.789 0.135 58 铈 Ce 6.8 40.449 5.0 26.5 34.717 34.276 52 39.255 29 40.231 6 0.898 6.561 6.165 5.729 4.840 4.823 5.262 5.613 6.052 0.143 59 镨 Pr 6.8 41.998 4.75 25.0 36.023 35.548 52 40.746 29 41.772 6 0.902 6.846 6.443 5.968 5.034 5.014 5.489 5.850 6.322 0.152 60 铷 Nd 6.9 43.571 4.5 23.5 37.359 36.845 52 42.269 30 43.298 6 0.907 7.144 6.727 6.215 5.230 5.208 5.722 6.090 6.602 0.161 61 钷 Pm 6.78 45.207 4.35 22.5 38.649 38.160 52 43.945 30 44.955 6 0.911 7.448 7.018 6.466 5.431 5.408 5.965 6.336 6.891 0.171 62 钐 Sm 7.5 46.846 4.15 21.0 40.124 39.523 53 45.400 30 46.553 7 0.915 7.754 7.281 6.721 5.636 5.609 6.206 6.587 7.180 0.180 63 铕 Eu 5.26 48.515 4.0 19.5 41.529 40.877 53 47.027 30 48.241 7 0.918 8.069 7.624 6.983 5.846 5.816 6.456 6.842 7.478 0.190 64 钆 Gd 7.95 50.229 3.8 18.5 42.983 42.280 53 48.718 30 49.961 7 0.921 8.393 7.940 7.252 6.059 6.027 6.714 7.102 7.788 0.200 65 铽 Tb 8.27 51.998 3.7 17.5 44.470 43.737 53 50.391 31 51.737 7 0.924 8.724 8.258 7.519 6.275 6.241 6.979 7.368 8.104 0.210 66 镝 Dy 8.54 53.789 3.55 16.5 45.985 45.193 53 52.178 31 53.491 7 0.927 9.083 8.261 7.850 6.495 6.457 7.249 7.638 8.418 0.220 67 钬 Ho 8.8 55.615 3.4 15.7 47.528 46.686 53 53.934 31 55.292 7 0.930 9.411 8.920 8.074 6.27 6.680 7.528 7.912 8.748 0.231 68 铒 Er 9.05 57.483 3.25 14.8 49.099 48.205 53 55.690 32 57.088 7 0.932 9.776 9.263 8.364 6.948 6.904 7.810 8.188 9.089 0.240 69 铥 Tm 9.33 59.335 3.15 14.0 50.730 49.762 54 57.576 32 58.969 7 0.934 10.14 9.628 8.652 7.181 7.135 8.103 8.472 9.424 0.251 70 镱 Yb 6.98 61.303 3.0 13.3 52.360 51.326 54 59.352 32 60.959 7 0.937 10.49 9.977 8.943 7.414 7.367 8.401 8.758 9.779 0.262 71 镥 Lu 9.84 63.304 2.9 12.7 54.063 52.959 54 61.282 32 62.946 8 0.939 10.87 10.35 9.241 7.654 7.604 8.708 9.048 10.142 0.272 72 铪 Hf 13.3 65.313 2.85 12.1 55.757 54.576 54 63.209 33 64.936 8 0.941 11.26 10.73 9.556 7.898 7.843 9.021 9.346 10.514 0.283 73 钽 Ta 16.6 67.400 2.75 11.8 57.524 56.270 54 65.210 33 66.999 8 0.942 11.68 11.13 9.876 8.145 8.087 9.341 9.649 10.892 0.293 74 钨 W 19.3 69.503 2.7 11.3 59.310 57.973 54 67.233 33 69.090 8 0.944 12.09 11.54 10.2 8.396 8.333 9.6709095911.2830.304 75铼Re 2171.6622.610.5 61.13159.7075469.2983471.22080.945 12.5211.9610.538.6518.58410.008 10.273 11.6840.314盖章有效K α1 K α2 K β1 K β2 (keV )(keV )质量吸收系数(cm 2/g)子 序 数 元素(标准温度压力下)(g/cm 2) 能量(keV)μ1μ2 能量 (keV) 能量 比 例 能量 比 例 能量 比 例 荧光 产额 ωKL IL II L III L α1 L α2 L β1 L β2 L γ1荧光 产额 ωK 76 锇 Os 22.5 73.860 2.5 10.2 62.991 61.477 54 71.404 34 73.393 9 0.947 12.97 12.38 10.87 8.910 8.840 10.354 10.596 12.094 0.325 77 铱 Ir 22.4 76.097 2.4 9.7 64.886 63.278 55 73.549 34 75.605 9 0.948 13.41 12.82 11.21 9.173 9.098 10.706 10.918 12.509 0.335 78 铂 Pt 21.4 78.379 2.35 9.3 66.820 65.111 55 75.236 34 77.866 9 0.949 13.87 13.27 11.56 9.441 9.360 11.069 11.249 12.939 0.345 79 金 Au 19.3 80.713 2.3 8.8 68.794 66.980 55 77.968 35 80.165 9 0.951 14.35 13.73 11.92 9.711 9.625 11.439 11.582 13.379 0.356 80 汞 Hg 13.6 83.106 2.2 8.4 70.821 68.894 55 80.258 35 82.526 10 0.952 14.84 14.21 12.29 9.9879.89611.823 11.923 13.8280.366 81 铊 Tl 11.9 85.517 2.15 8.0 72.860 70.820 55 82.558 35 84.904 10 0.953 15.35 14.7 12.66 10.266 10.170 12.210 12.268 14.288 0.376 82 铅 Pb 11.3 88.001 2.1 7.7 74.957 72.794 55 84.922 35 87.343 10 0.954 15.87 15.21 13.04 10.549 10.448 12.611 12.620 14.762 0.386 83 铋 Bi 9.8 90.521 2.04 7.3 77.097 74.805 55 87.335 36 89.833 10 0.954 16.39 15.72 13.42 10.836 10.729 13.021 12.977 15.244 0.396 84 Po 93.112 2.0 7.0 79.296 76.868 56 89.809 36 92.386 11 0.955 16.94 16.24 13.82 11.128 11.014 13.441 13.338 15.740 0.405 85 砹 At 95.740 1.93 6.6 81.525 78.956 56 92.319 36 94.976 11 0.956 17.49 16.78 14.22 11.424 11.304 13.873 13.705 16.248 0.415 86 氡 Rn 9.73×10-398.418 1.9 6.3 83.800 81.080 56 94.877 37 97.61611 0.957 18.06 17.39 14.62 11.724 11.597 14.316 14.077 16.768 0.425 87 钫 Fr 101.147 1.83 6.0 86.119 83.243 56 97.483 37 100.305 12 0.957 18.64 17.9 15.03 12.029 11.894 14.770 14.459 17.301 0.434 88 镭 Ra 103.927 1.76 5.75 88.485 85.446 56 100.14 37 103.048 12 0.958 19.23 18.48 15.44 12.338 12.194 15.233 14.839 17.845 0.443 89 锕 Ac 106.759 1.72 5.5 90.894 87.681 56 102.85 37 105.838 13 0.958 19.84 19.08 15.87 12.650 12.499 15.712 15.227 18.405 0.452 90 钍 Th 109.630 1.67 5.2 93.334 89.942 56 105.59 38 108.671 13 0.959 20.46 19.69 16.3 12.966 12.808 16.200 15.620 18.977 0.461 91 镤 Pa 11.5 112.581 1.64 4.95 95.851 92.271 56 108.41 38 111.575 13 0.959 21.1 20.31 16.63 13.291 13.120 16.700 16.022 19.559 0.469 92 铀 U 115.591 1.62 4.7 98.42894.648 56 111.29 38 114.549 14 0.960 21.75 30.94 17.16 13.613 13.438 17.218 16.425 20.163 0.478 93 镎 Np 19.0 118.619 1.57 4.55 101.005 97.023 57 114.18 39 117.533 14 0.960 22.42 21.6 17.61 13.945 13.758 17.740 16.837 20.774 0.486 94 钚Pu 19.7 121.720 1.53 4.35 103.65399.45757 117.15 39 120.592 15 0.960 23.1 22.26 18.07 14.279 14.082 18.278 17.254 21.401 0.494 95 镅 Am 124.876 1.50 4.15 106.351 101.932 57 120.16 39 123.706 15 0.960 23.79 22.94 18.53 14.618 14.411 18.829 17.677 22.042 0.502 96 锔 Cm 128.088 1.47 4.0 109.098 104.448 57 123.24 39 126.875 15 0.961 24.5 23.64 18.99 14.961 14.473 19.393 18.106 22.699 0.510 97 锫 Bk 131.357 111.896 107.023 57 126.36 40 130.101 16 0.961 25.23 24.35 19.46 15.309 15.079 19.971 18.540 23.370 0.517 98 锎 Cf 134.683 114.745 109.603 57 129.54 40 133.383 16 0.961 25.97 25.08 19.94 15.661 15.420 20.562 18.980 24.056 0.524 99 锿Es 138.067 117.646 112.244 57 132.78 40 136.724 17 0.961 26.73 25.82 20.42 16.018 15.764 21.166 19.426 24.758 0.531 100 镄 Fm141.510120.598 114.92658136.0840140.122170.961 27.526.5820.9116.379 16.113 21.785 19.879 25.4750.538盖章有效。
植物样品中砷、镉、铬、铜、镍、铅、锌的测定 能量色散X射线荧光光谱法警示——使用本文件的人员应有正规实验室工作的实践经验。
本文件并未指出所有可能的安全问题。
使用者有责任采取适当的安全和健康措施,并保证符合国家有关法规规定的条件。
1范围本文件规定了植物样品中砷、镉、铬、铜、镍、铅、锌的能量色散X射线荧光光谱测定方法。
本文件适用于植物样品中砷、镉、铬、铜、镍、铅、锌的测定。
本方法检出限、定量限及线性范围见附录A。
2规范性引用文件下列文件中的内容通过文中的规范性引用而构成本文件必不可少的条款。
其中,注日期的引用文件,仅该日期对应的版本适用于本文件;不注日期的引用文件,其最新版本(包括所有的修改单)适用于本文件。
GB 5009.3 食品安全国家标准 食品中水分的测定NY/T 398 农、畜、水产品污染监测技术规范3术语和定义下列术语和定义适用于本文件。
3.1基本参数法fundamental parameter method用基本参数库数学模型对原级入射X射线光谱分布、X射线与物质相互作用(包括质量吸收系数、荧光产额、谱线分数、吸收突变比、散射等)、仪器光路因子等进行理论计算,得到计算谱,用迭代算法将计算谱与探测器采集迭代至所要求的精度,得到试样中元素含量的理论计算方法。
3.2全谱图拟合full spectrum fitting利用数学模型逐点比较各谱线强度的计算值和实测值,用最小二乘法计算调整量,使计算强度与实测强度符合的过程。
4原理X射线管产生的初级X射线照射样品后,样品中元素被激发产生特征X射线荧光,直接进入检测器,检测器将未色散的X射线荧光按光子能量分离X射线光谱线,不同元素具有若干特征X射线,用全谱图拟合或特定峰面积积分的方式获取待测元素的特征X射线荧光强度,荧光强度经校正后与元素含量成正比。
5干扰和消除5.1基体干扰存在基体干扰时,采用基本参数法对X射线荧光的基体效应、谱线分数进行理论计算,将计算谱与探测器实测谱迭代拟合,减小基体效应影响。
特征x射线和特征x射线谱
特征X射线是指当金属或其他物质被高能电子或其他高能射线
激发时,所释放出的能量在某些特定的频率上产生的电磁辐射。
这些辐射的频率是由物质的原子结构决定的,因此它们可以用来确定物质的化学成分和晶体结构。
这种技术被广泛应用于材料科学、生命科学、地质学和其他领域。
特征X射线谱是特征X射线的能量分布图,它通常由一系列锐利的峰形组成,每个峰对应一个特定的X射线频率。
这些峰的位置和强度可以用来确定原子的种类和数量。
例如,在材料科学中,特征X射线谱可以用来确定材料中的元素含量和化学组成,以及晶体结构和晶格畸变的信息。
在生命科学中,它可以用来分析蛋白质、DNA和其他生物分子的结构和组成。
在地质学中,它可以用来分析岩石和矿物的成分和结构。
总之,特征X射线和特征X射线谱是一种非常有用的科学技术,它们在许多领域都有广泛的应用,为科学家们提供了从微观到宏观的分析手段。
- 1 -。
元素特征X射线能量表供X射线荧光分析用的各元素的特征X射线能量表能被测量的K、L线能量 keV 原子序号符号元素Kα Kβ Lα Lβ Lγ Ll 12 Mg 镁 1.25 1.30 13 Al 铝 1.49 1.55 14 Si 硅 1.74 1.838 15 P 磷 2.022.14 16 S 硫 2.31 2.468 17 Cl 氯 2.62 2.82 18 Ar 氩 2.963.19 19 K 钾3.31 3.59 20 Ca 钙 3.694.01 21 Se 钪 4.09 4.46 22 Ti 钛 4.51 4.93 23 V 钒 4.955.43 24 Cr 铬 5.41 5.95 25 Mn 锰 5.8956.49 26 Fe 铁 6.407.06 27 Co 钴 6.925 7.65 28 Ni 镍 7.478.265 29 Cu 铜 8.04 8.907 30 Zn 锌8.63 9.572 31 Ga 镓 9.24 10.263 32 Ge 锗 9.876 10.984 33 As 砷 10.532 11.729 34 Se 硒 11.21 12.501 1.38 1.42 35 Br 溴 11.91 13.296 1.48 1.53 36 Kr 氪 12.63 14.12 1.59 1.64 37 Rb 铷 13.375 14.971 1.69 1.75 38 Sr 锶14.142 15.849 1.81 1.87 39 Y 钇 14.933 16.754 1.92 2.00 40 Zr 锆 15.746 17.687 2.04 2.124 2.30 1.792 41 Nb 铌 16.6584 18.647 2.17 2.257 2.461.902 42 Mo 钼 17.443 19.6332.29 2.395 2.62 2.015 43 Tc 锝 18.32720.647 2.42 2.538 2.79 2.122 44 Ru 钌 19.235 21.687 2.56 2.683 2.962.252 45 Rh 铑 20.167 22.759 2.70 2.8343.14 2.376 46 Pd 钯 21.12323.859 2.84 2.99 3.33 2.503 47 Ag 银 22.10 24.987 2.98 3.151 3.52 2.633 48 Cd 镉 23.109 26.143 3.13 3.316 3.72 2.767 49 Tn 铟 24.139 27.382 3.29 3.487 3.92 2.904 50 Sn 锡 25.193 28.601 3.44 3.662 4.13 3.04451 Sb 锑 26.274 29.851 3.605 3.843 4.35 3.188 52 Te 蹄 27.38 31.128 3.77 4.029 4.57 3.335 53 I 碘 28.512 32.437 3.94 4.22 4.80 3.484 54 Xe 氙 29.669 33.777 4.11 4.422 5.04 3.636 55 Cs 铯 30.854 35.149 4.286 4.62 5.28 3.794 56 Ba 钡 32.065 36.553 4.47 4.828 5.53 3.953 57 La 镧 33.3037.986 4.65 5.043 5.79 4.124 58 Ce 铈 34.569 39.453 4.84 5.262 6.054.287 59 Pr 镤 35.864 40.953 5.034 5.4896.32 4.452 60 Nd 钕 37.18542.484 5.23 5.722 6.60 4.632 61 Pm 钜 38.535 44.049 5.431 5.956 6.894.816 62 Sm 钐 39.914 45.649 5.6366.2067.18 4.994 63 Eu 铕 41.32347.283 5.846 6.456 7.48 5.176 64 Gd 钆 42.761 48.949 6.059 6.714 7.79 5.361 65 Tb 铽 6.275 6.979 8.10 5.546 66 Dy 镝 6.495 7.249 8.42 5.742 67 Ho 钬 6.72 7.528 8.75 5.942 68 Er 铒 6.948 7.81 9.09 6.152 69 Tm 铥 7.18 8.103 9.42 6.341 70 Yb 镱 7.41 8.401 9.78 6.544 71 Lu 镏 7.65 8.708 10.1 6.752 72 Hf 铪 7.898 9.021 10.5 6.958 73 Ta 钽 8.145 9.341 10.9 7.172 74 W 钨 8.396 9.67 11.3 7.386 75 Re 铼 8.651 10.008 11.7 7.602 76 Os 锇8.91 10.354 12.1 7.821 77 Ir 铱 9.17 10.706 12.5 8.040 78 Pt 铂 9.441 11.069 12.9 8.267 79 Au 金 9.711 11.439 13.4 8.493 80 Hg 汞 9.987 11.823 13.8 8.720 81 Tl 铊 10.266 12.21 14.3 8.952 82 Pb 铅 10.549 12.61 14.8 9.183 83 Bi 铋 10.84 13.021 15.2 9.419 84 Po 钋 11.13 13.441 15.7 9.662 85 At 砹 11.42 13.87 16.2 86 Rn 氡 11.72 14.316 16.8 87 Fr 钫 12.0314.77 17.3 88 Ra 镭 12.34 15.233 17.8 10.620 89 Ac 锕 12.65 15.712 18.4 90 Th 钍 12.97 16.20 19.0 11.117 91 Pa 镤 13.29 16.70 19.6 11.364 92 U 铀 13.61 17.218 20.2 11.616。
能量色散x射线光谱能量色散X射线光谱是物理学家们通过研究X射线的能量分布来了解放射源的一种技术,和可见光频谱相比,X射线光谱具有更高的灵敏度和更好的探测能力,它能够检测出X射线源辐射所蕴含的丰富信息,可以帮助我们更好地理解宇宙中的现象。
X射线被定义为具有能量大于一定阈值的电磁波,通常为高能量X射线,一般可以由质子发射或受到原子核辐射或有机质放射而产生。
X射线通常按照其能量范围划分为低能X射线,中能X射线和高能X射线。
X射线能量的大小决定了其传播的距离,能量越高,传播距离越远,因此X射线探测器能够探测到来自更远处的X射线源,从而提供带有更多信息的谱线图。
能量色散X射线光谱是将X射线源的谱线图中的点连接起来形成的图形。
研究者通过分析X射线谱线的强度、形状和位置,可以得出X射线源的性质和组成等信息,帮助我们更加深入地理解X射线源的特征,进而更好地利用X射线的优势。
能量色散X射线光谱的研究可以追溯到上个世纪,它的研究具有重要的意义,可以帮助我们了解早期宇宙背景辐射和恒星际介质中的元素组成,也可以帮助我们研究天体复杂结构的形成和演化。
例如,通过观察X射线恒星的能量色散光谱,可以揭示这些恒星的物理机制,如恒星际介质的温度和密度、磁场强度和旋转速率,还可以用来检测恒星周围电子气体的动力学情况,为我们更好地理解恒星演化奠定基础。
除此之外,近几年来,随着X射线探测技术的发展,能量色散X 射线光谱技术也发展得非常迅速,可以使我们更加精确地研究X射线源,可以帮助我们更好地了解宇宙中的现象,为宇宙探索奠定坚实的基础。
综上所述,能量色散X射线光谱是研究X射线能量分布的一种重要技术,它能够检测出X射线源辐射所蕴含的丰富信息,可以帮助我们更好地理解宇宙中的现象,是物理学家们的重要研究课题。
随着技术的发展,能量色散X射线光谱技术将为宇宙探索带来突破性进展,为我们更好地理解宇宙提供重要依据。