液压伺服 大作业
- 格式:doc
- 大小:540.00 KB
- 文档页数:16
液压伺服系统工作原理1.1 液压伺服系统工作原理液压伺服系统以其响应速度快、负载刚度大、控制功率大等独特的优点在工业控制中得到了广泛的应用。
电液伺服系统通过使用电液伺服阀,将小功率的电信号转换为大功率的液压动力,从而实现了一些重型机械设备的伺服控制。
液压伺服系统是使系统的输出量,如位移、速度或力等,能自动地、快速而准确地跟随输入量的变化而变化,与此同时,输出功率被大幅度地放大。
液压伺服系统的工作原理可由图1来说明。
图1所示为一个对管道流量进行连续控制的电液伺服系统。
在大口径流体管道1中,阀板2的转角θ变化会产生节流作用而起到调节流量qT的作用。
阀板转动由液压缸带动齿轮、齿条来实现。
这个系统的输入量是电位器5的给定值x i。
对应给定值x i,有一定的电压输给放大器7,放大器将电压信号转换为电流信号加到伺服阀的电磁线圈上,使阀芯相应地产生一定的开口量x v。
阀开口x v使液压油进入液压缸上腔,推动液压缸向下移动。
液压缸下腔的油液则经伺服阀流回油箱。
液压缸的向下移动,使齿轮、齿条带动阀板产生偏转。
同时,液压缸活塞杆也带动电位器6的触点下移x p。
当x p所对应的电压与x i所对应的电压相等时,两电压之差为零。
这时,放大器的输出电流亦为零,伺服阀关闭,液压缸带动的阀板停在相应的qT位置。
图1 管道流量(或静压力)的电液伺服系统1—流体管道;2—阀板;3—齿轮、齿条;4—液压缸;5—给定电位器;6—流量传感电位器;7—放大器;8—电液伺服阀在控制系统中,将被控制对象的输出信号回输到系统的输入端,并与给定值进行比较而形成偏差信号以产生对被控对象的控制作用,这种控制形式称之为反馈控制。
反馈信号与给定信号符号相反,即总是形成差值,这种反馈称之为负反馈。
用负反馈产生的偏差信号进行调节,是反馈控制的基本特征。
而对图1所示的实例中,电位器6就是反馈装置,偏差信号就是给定信号电压与反馈信号电压在放大器输入端产生的△u。
数控机床伺服液压站安全操作及保养规程一、引言数控机床伺服液压站是一种重要的设备,用于提供液压能源和精确控制液压系统的运行。
为了保证操作人员的安全和设备的正常运行,制定本安全操作及保养规程,明确数控机床伺服液压站的操作要求和保养措施。
二、安全操作规程2.1 操作前的准备在操作数控机床伺服液压站之前,操作人员需要进行以下准备工作:•穿戴劳动保护用品,包括安全帽、防护眼镜、耳塞等。
•确保机床伺服液压站的电源已经关闭,并断开电源插头。
•检查液压系统的油液是否充足,并按照规定添加或更换液压油。
•检查液压站的管路连接是否牢固,防止漏油或漏水现象。
•清理工作区域的杂物和易燃物,确保操作环境的整洁和安全。
2.2 操作步骤操作数控机床伺服液压站需要按照以下步骤进行:1.打开电源开关,确保液压站的电源供应正常。
2.按照数控机床的操作要求,启动数控机床。
3.操作人员在启动数控机床之后,需要按照液压站的控制面板上的指示进行相应操作,包括启动、停止、调节液压系统的参数等。
4.在操作过程中,注意观察液压站的压力表和温度表,确保液压系统的工作状态正常。
5.操作结束后,先关闭数控机床,再关闭液压站的电源开关,断开电源插头。
2.3 安全事项在操作数控机床伺服液压站的过程中,操作人员需要注意以下安全事项:•禁止将手指或其他物体靠近液压系统的运动部件,以免发生意外伤害。
•在操作液压系统的控制面板时,要轻按按钮,避免过度用力或猛力按动。
•当液压系统出现异常声响或其他异常情况时,应立即停止操作,并向维修人员报告。
•禁止在操作过程中随意更换液压油,应按照规定的维护周期进行定期更换。
•注意观察液压系统的油液温度,当温度过高时,应及时采取措施进行冷却。
三、保养规程3.1 定期检查定期检查是保养数控机床伺服液压站的重要环节,需要按照以下步骤进行:1.检查液压站的密封件和管路连接是否正常,如有松动或漏油现象应及时处理。
2.检查液压站的油液过滤器和油液冷却器,如有损坏或堵塞应及时更换或清洗。
液压伺服体系工作道理1.1 液压伺服体系工作道理液压伺服体系以其响应速度快.负载刚度大.控制功率大等奇特的长处在工业控制中得到了广泛的应用.电液伺服体系经由过程应用电液伺服阀,将小功率的电旌旗灯号转换为大功率的液压动力,从而实现了一些重型机械装备的伺服控制.液压伺服体系是使体系的输出量,如位移.速度或力等,能主动地.快速而精确地追随输入量的变更而变更,与此同时,输出功率被大幅度地放大.液压伺服体系的工作道理可由图1来解释.图1所示为一个对管道流量进行中断控制的电液伺服体系.在大口径流体管道1中,阀板2的转角θ变更会产生撙节感化而起到调撙节量qT的感化.阀板迁移转变由液压缸带动齿轮.齿条来实现.这个体系的输入量是电位器5的给定值x i.对应给定值x i,有必定的电压输给放大器7,放大器将电压旌旗灯号转换为电流旌旗灯号加到伺服阀的电磁线圈上,使阀芯响应地产生必定的启齿量x v.阀启齿x v使液压油进入液压缸上腔,推进液压缸向下移动.液压缸下腔的油液则经伺服阀流回油箱.液压缸的向下移动,使齿轮.齿条带动阀板产生偏转.同时,液压缸活塞杆也带动电位器6的触点下移x p.当x p所对应的电压与x i所对应的电压相等时,两电压之差为零.这时,放大器的输出电流亦为零,伺服阀封闭,液压缸带动的阀板停在响应的qT地位.图1 管道流量(或静压力)的电液伺服体系1—流体管道;2—阀板;3—齿轮.齿条;4—液压缸;5—给定电位器;6—流量传感电位器;7—放大器;8—电液伺服阀在控制体系中,将被控制对象的输出旌旗灯号回输到体系的输入端,并与给定值进行比较而形成误差旌旗灯号以产生对被控对象的控制造用,这种控制情势称之为反馈控制.反馈旌旗灯号与给定旌旗灯号符号相反,即老是形成差值,这种反馈称之为负反馈.用负反馈产生的误差旌旗灯号进行调节,是反馈控制的根本特点.而对图1所示的实例中,电位器6就是反馈装配,误差旌旗灯号就是给定旌旗灯号电压与反馈旌旗灯号电压在放大器输入端产生的△u.图2 给出对应图1实例的方框图.控制体系经常应用方框图暗示体系各元件之间的接洽.上图方框顶用文字暗示了各元件,后面将介绍方框图采取数学公式的表达情势.图2 伺服体系实例的方框图液压伺服体系的构成液压伺服体系的构成由上面举例可见,液压伺服体系是由以下一些根本元件构成;输入元件——将给定值加于体系的输入端的元件.该元件可所以机械的.电气的.液压的或者是其它的组合情势.反馈测量元件——测量体系的输出量并转换成反馈旌旗灯号的元件.各类类形的传感器经常应用作反馈测量元件.比较元件——将输入旌旗灯号与反馈旌旗灯号比拟较,得出误差旌旗灯号的元件.放大.能量转换元件——将误差旌旗灯号放大,并将各类情势的旌旗灯号转换成大功率的液压能量的元件.电气伺服放大器.电液伺服阀均属于此类元件;履行元件——将产生调节动作的液压能量加于控制对象上的元件,如液压缸或液压马达.控制对象——各类临盆装备,如机械工作台.刀架等.液压伺服数学模子2.1 数学模子为了对伺服体系进行定量研讨,应找出体系中各变量(物理量)之间的关系.不单要搞清晰其静态关系,还要知道其动态特点,即各物理量随时光而变更的进程.描写这些变量之间关系的数学表达式称之为数学模子.2.1.1 微分方程伺服体系的动态行动可用各变量及其各阶导数所构成的微分方程来描写.当微分方程各阶导数为零时,则变成暗示各变量间静态关系的代数方程.有了体系活动的微分方程就可知道体系各变量的静态和动态行动.该微分方程就是体系的数学模子.2.1.2 拉氏变换与传递函数拉氏变换全称为拉普拉斯变换.它是将时光域的原函数f(t)变换成复变量s域的象函数F(s),将时光域的微分方程变换成s域的代数方程.再经由过程代数运算求出变量为s的代数方程解.最后经由过程拉氏反变换得到变量为t的原函数的解.数学大将时域原函数f(t)的拉氏变换界说为如下积分:而拉氏逆变换则记为现实应用中其实不须要对原函数一一作积分运算,与查对数表类似,查拉氏变换表(表1)即可求得.拉氏变换在解微分方程进程中有如下几共性质或定理:(1)线性性质设则有式中 B——随意率性常数.(2)迭加道理这一性质极为重要,它使我们可以不作拉氏逆变换就能预感体系的稳态行动.(6)初值定理微分方程表征了体系的动态特点,它在经由拉氏变换后生成了代数方程,仍然表征了体系的动态特点.假如所有肇端前提为零,设体系(或元件)输出y(t)的拉氏变换为Y(s)和输入x(t)的拉氏变换为X(s),则经由代数运算得(1)G(s)为一个以s为变量的函数,我们称这个函数为体系(或元件)的传递函数.故体系(或元件)的动态特点也可用其传递函数来暗示.传递函数是经典控制理论中一个重要的概念.用常系数线性微分方程暗示的体系(或元件),在初始前提为零的前提下,经拉氏变换后,微分方程中n阶的导数项响应地变换为s n项,而系数不变.即拉氏变换后所得代数方程为一系数与原微分方程雷同,以s n代替n阶导数的多项式,移项后就是其传递函数.故一个体系(或元件)的传递函数极易求得.表1 拉氏变换表(部分)原函数ƒ(t)拉氏变换函数F(s)原函数图形(t≥0)1 单位脉冲函数δ(t)= 1单位阶跃函数=1(t>0) 2=0(t≤0)3 t4 t n56 (1-)7 sinωt8 cosωt9 sin(ωt+θ)10 cos(ωt+θ)11 cosbt12131415 sinhωt16 coshωt例如图3所示为一个质量-弹性-油阻尼体系,该体系的力均衡微分方程为(2)式中 M——质量;x——质量的位移;B C——阻尼系数;k——弹簧刚度.图3 质量-弹性-油阻尼体系经拉氏变换得(3)写成传递函数为(4)方框图及其等效变换图4 所示是一种文字情势的方框图,它暗示体系构造中各元件的功用及它们之间的互相贯穿连接和旌旗灯号传递线路.这种方框图又称作构造方框图.另一种方框图即“函数方块图”,就是将元件或环节的传递函数写在响应的方框中,用箭头线将这些方框衔接起来,如图4所示.指向方框图的箭头暗示对其输入旌旗灯号;从方框图出来的箭头暗示输出.图中圆圈暗示比较点,亦称加减点,它对二个以上旌旗灯号根据其正.负进行代数运算.同一旌旗灯号线上的各引出旌旗灯号,数值与性质完整雷同.方框图输出旌旗灯号的因次,等于输入旌旗灯号的因次与方程中传递函数因次的乘积.图4 体系方框图1—输入旌旗灯号;2—比较点;3—引出旌旗灯号;4—输出旌旗灯号方框图等效变换.简化轨则见表2.表2 方块图变换轨则序号原方块图等效方块图1234567891011121314电液伺服阀电液伺服阀电液伺服阀既是电液转换元件,又是功率放大元件,它可以或许把渺小的电气旌旗灯号转换成大功率的液压能(流量和压力)输出.它的机能的好坏对体系的影响很大.是以,它是电液控制体系的焦点和症结.为了可以或许精确设计和应用电液控制体系,必须控制不合类型和机能的电液伺服阀.伺服阀输入旌旗灯号是由电气元件来完成的.电气元件在传输.运算和参量的转换等方面既快速又轻便,并且可以把各类物理量转换成为电量.所以在主动控制体系中广泛应用电气装配作为电旌旗灯号的比较.放大.反馈检测等元件;而液压元件具有体积小,构造紧凑.功率放大倍率高,线性度好,逝世区小,敏锐度高,动态机能好,响应速度快等长处,可作为电液转换功率放大的元件.是以,在一控制体系中常以电气为“神经”,以机械为“骨架”,以液压控制为“肌肉”最大限度地施展机电.液的长处.因为电液伺服阀的种类许多,但各类伺服阀的工作道理又基底细似,其剖析研讨的办法也大体雷同,故今以经常应用的力反馈两级电液伺服阀和地位反馈的双级滑阀式伺服阀为重点,评论辩论它的根本方程.传递函数.方块图及其特点剖析.其它伺服阀只介绍其工作道理,同时也介绍伺服阀的机能参数及其测试办法电液伺服阀的构成电液伺服阀在电液控制体系中的地位如图27所示.电液伺服阀包含电力转换器.力位移转换器.前置级放大器和功率放大器等四部分.3.1.1 电力转换器包含力矩马达(迁移转变)或力马达(直线活动),可把电气旌旗灯号转换为力旌旗灯号.3.1.2 力位移转换器包含钮簧.弹簧管或弹簧,可把力旌旗灯号变成位移旌旗灯号而输出.3.1.3 前置级放大器包含滑阀放大器.喷嘴挡板放大器.射流管放大器.3.1.4 功率放大器——滑阀放大器由功率放大器输出的液体流量则具有必定的压力,驱动履行元件进行工作.图27 电液控制体系方块图电液伺服阀的分类电液伺服阀的分类电液伺服阀的种类许多,根据它的构造和机能可作如下分类:1)按液压放大级数,可分为单级伺服阀.两级伺服阀和三级伺服阀,个中两级伺服阀应用较广.2)按液压前置级的构造情势,可分为单喷嘴挡板式.双喷嘴挡板式.滑阀式.射流管式和偏转板射流式.3)按反馈情势可分为地位反馈.流量反馈和压力反馈.4)按电-机械转换装配可分为动铁式和动圈式.5)按输出量情势可分为流量伺服阀和压力控制伺服阀.6)按输入旌旗灯号情势可分为中断控制式和脉宽调制式.伺服阀的工作道理伺服阀的工作道理下面介绍两种重要的伺服阀工作道理.力反馈式电液伺服阀的构造和道理如图28所示,无旌旗灯号电流输入时,衔铁和挡板处于中央地位.这时喷嘴4二腔的压力p a=p b,滑阀7二端压力相等,滑阀处于零位.输入电流后,电磁力矩使衔铁2连同挡板偏转θ角.设θ为顺时针偏转,则因为挡板的偏移使p a>p b,滑阀向右移动.滑阀的移动,经由过程反馈弹簧片又带动挡板和衔铁反偏向扭转(逆时针),二喷嘴压力差又减小.在衔铁的原始均衡地位(无旌旗灯号时的地位)邻近,力矩马达的电磁力矩.滑阀二端压差经由过程弹簧片感化于衔铁的力矩以及喷嘴压力感化于挡板的力矩三者取得均衡,衔铁就不再活动.同时感化于滑阀上的油压力与反馈弹簧变形力互相均衡,滑阀在分开零位一段距离的地位上定位.这种依附力矩均衡来决议滑阀地位的方法称为力反馈式.假如疏忽喷嘴感化于挡板上的力,则马达电磁力矩与滑阀二端不服衡压力所产生的力矩均衡,弹簧片也只是受到电磁力矩的感化.是以其变形,也就是滑阀分开零位的距离和电磁力矩成正比.同时因为力矩马达的电磁力矩和输入电流成正比,所以滑阀的位移与输入的电流成正比,也就是经由过程滑阀的流量与输入电流成正比,并且电流的极性决议液流的偏向,如许便知足了对电液伺服阀的功效请求.图28 力反馈式伺服阀的工作道理1—永远磁铁;2—衔铁;3—扭轴;4—喷嘴;5—弹簧片;6—过滤器;7—滑阀;8—线圈;9—轭铁因为采取了力反馈,力矩马达根本上在零位邻近工作,只请求其输出电磁力矩与输入电流成正比(不象地位反馈中请求力矩马达衔铁位移和输入电流成正比),是以线性度易于达到.别的滑阀的位移量在电磁力矩必定的情形下,决议于反馈弹簧的刚度,滑阀位移量便于调节,这给设计带来了便利.采取了衔铁式力矩马达和喷嘴挡板使伺服阀构造极为紧凑,并且动特点好.但这种伺服阀工艺请求高,造价高,对于油的过滤精度的请求也较高.所以这种伺服阀实用于请求构造紧凑,动特点好的场合.力反馈式电液伺服阀的方框图如图29.图29 力反馈式伺服阀方框图3.3.2 地位反馈式伺服阀图30为二级滑阀式地位反馈伺服阀构造.该类型电液伺服阀由电磁部分,控制滑阀和主滑阀构成.电磁部分是一只力马达,道理如前所述.动圈靠弹簧定位.前置放大器采取滑阀式(一级滑阀).如图所示,在均衡地位(零位)时,压力油从P腔进入,分别经由过程P腔槽,阀套窗口,固定撙节孔3.5到达上.下控制窗口,然后再经由过程主阀(二级阀芯)的回油口回油箱.输入正向旌旗灯号电流时,动圈向下移动,一级阀芯随之下移.这时,上控制窗口的过流面积减小,下控制窗口的过流面积增大.所以上控制腔压力升高而下控制腔的压力下降,使感化在主阀芯(二级阀芯)两头的液压力掉去均衡.主阀芯在这一液压力感化下向下移动.主阀芯下移,使上控制窗口的过流面积逐渐增大,下控制窗口的过流面积逐渐缩小.当主阀芯移动到上.下控制窗口过流面积从新相等的地位时,感化于主阀芯两头的液压力从新均衡.主阀芯就逗留在新的均衡地位上,形成必定的启齿.这时,压力油由P腔经由过程主阀芯的工作边到A腔而供应负载.回油则经由过程B腔,主阀芯的工作边到T腔回油箱.输入旌旗灯号电流反向时,阀的动作进程与此相反.油流反向为P→B,A→T.上述工作进程中,动圈的位移量,一级阀芯(先导阀芯)的位移量与主阀芯的位移量均相等.因动圈的位移量与输入旌旗灯号电流成正比,所以输出的流量和输入旌旗灯号电流成正比.图30 地位反馈伺服阀构造1—阀体;2—阀套;3—固定撙节口;4—二级阀芯;5—固定撙节口;6—一级阀芯;7—线圈;8—下弹簧;9—上弹簧;10—磁钢二级滑阀型地位反馈式伺服阀的方框图如图31所示.该型电液伺服阀具有构造简略,工作靠得住,轻易保护,可在现场进行调剂,对油液干净度请求不太高.图31 地位反馈式电液伺服阀方框图电液伺服阀的根本特点空载时输出流量和输入旌旗灯号电流之间的关系,经常应用空载流量特点曲线来暗示(图32).由这一曲线可得到该阀的额定值.线性度.滞环.流量增益等特点.额定电流I R——在这一电流规模内,阀的输出流量与输入旌旗灯号电流成正比.额定空载流量——在额定压力与额定电流下阀的空载流量.线性度——q-I曲线直线性的器量.图32 空载流量特点曲线I R——额定电流;q0——最大空载流量;tanθ——流量增益滞环——重要用来标明旌旗灯号电流转变偏向时,由摩擦力.磁滞等原因使I-q曲线不重合的程度.常以曲线上同一流量下电流最大差值△I max与阀的额定电流I R之比来暗示.流量增益——q L与I之比值,即q-I曲线的平均斜率.3.4.2 压力增益特点在必定供油压力下,在输入电流I和负载压力p L=p1-p2曲线上,比值△p L/△I称为压力增益.当负载流量保持为零时,在零位(中央均衡地位)邻近的压力增益称为零位压力增益.零位压力增益与主滑阀的启齿情势有关,以零启齿情势最高.进步供油压力p s也可进步零位压力增益.但这一特点重要与阀的制造质量有关.进步零位压力增益,对于减小不敏锐区.进步精度有感化,但对稳固性起相反的感化.图33是零启齿伺服阀的零位压力增益特点曲线.图33 零位压力增益特点曲线3.4.3 负载压力.流量特点这一特点往往是选用伺服阀的重要根据.图34即为负载压力-流量特点曲线.3.4.4 对数频率特点它暗示电液伺服阀的动态特点.幅频曲线中一3dB时频率为该阀的频宽.其值越大则该阀的工作频率规模越大.对数频率特点也是剖析伺服体系动特点以及设计.分解电液伺服体系的根据.图35即为阀的对数频率特点曲线.3.4.5 零飘与零偏伺服阀因为供油压力的变更和工作油温度的变更而引起的零位(Q L=p L=0的几何地位)变更称为零飘.零飘一般用使其恢复位所需加的电流值与额定电流值之比来权衡.这一比值越小越好.别的,因为制造.调剂.装配的不同,控制线圈中不加电流时,滑阀不必定位于中位.有时必须加必定的电流才干使其恢复中位(零位).这一现象称为零偏.零偏以使阀恢复零位所需加之电流值与额定电流值之比来权衡.图34 负载压力-流量特点曲线图35 对数频率特点曲线3.4.6 不敏锐度因为不敏锐区的消失,伺服阀只有在输入旌旗灯号电流达必定值时才会转变状况.使伺服阀产生状况变更的最小电流与额定电流之比称为不敏锐度.其值愈小愈好.液压伺服体系设计液压伺服体系设计在液压伺服体系中采取液压伺服阀作为输入旌旗灯号的转换与放大元件.液压伺服体系能以小功率的电旌旗灯号输入,控制大功率的液压能(流量与压力)输出,并能获得很高的控制精度和很快的响应速度.地位控制.速度控制.力控制三类液压伺服系同一般的设计步调如下:1)明白设计请求:充分懂得设计义务提出的工艺.构造实时体系各项机能的请求,并应具体剖析负载前提.2)拟定控制计划,画出体系道理图.3)静态盘算:肯定动力元件参数,选择反馈元件及其它电气元件.4)动态盘算:肯定体系的传递函数,绘制开环波德图,剖析稳固性,盘算动态机能指标.5)校核精度和机能指标,选择校订方法和设计校订元件.6)选择液压能源及响应的从属元件.7)完成履行元件及液压能源施工设计.本章的内容主如果按照上述设计步调,进一步解释液压伺服体系的设计原则和介绍具体设计盘算办法.因为地位控制体系是最根本和应用最广的体系,所以介绍将以阀控液压缸地位体系为主.4.1 周全懂得设计请求4.1.1 周全懂得被控对象液压伺服控制体系是被控对象—主机的一个构成部分,它必须知足主机在工艺上和构造上对其提出的请求.例如轧钢机液压压下地位控制体系,除了应可以或许推却最大轧制负载,知足轧钢机轧辊辊缝调节最大行程,调节速度和控制精度等请求外,履行机构—压下液压缸在外形尺寸上还受轧钢机牌楼窗口尺寸的束缚,构造上还必须包管知足改换轧辊便利等请求.要设计一个好的控制体系,必须充分看重这些问题的解决.所以设计师应周全懂得被控对象的工况,并分解应用电气.机械.液压.工艺等方面的理论常识,使设计的控制体系知足被控对象的各项请求.4.1.2 明角设计体系的机能请求1)被控对象的物理量:地位.速度或是力.2)静态极限:最大行程.最大速度.最大力或力矩.最大功率.3)请求的控制精度:由给定旌旗灯号.负载力.干扰旌旗灯号.伺服阀及电控体系零飘.非线性环节(如摩擦力.逝世区等)以及传感器引起的体系误差,定位精度,分辩率以及许可的飘移量等.4)动态特点:相对稳固性可用相位裕量和增益裕量.谐振峰值和超调量等来划定,响应的快速性可用载止频率或阶跃响应的上升时光和调剂时光来划定;5)工作情形:主机的工作温度.工作介质的冷却.振动与冲击.电气的噪声干扰以及响应的耐高温.防水防腐化.防振等请求;6)特别请求;装备重量.安然呵护.工作的靠得住性以及其它工艺请求.4.1.3 负载特点剖析精确肯定体系的外负载是设计控制体系的一个根本问题.它直接影响体系的构成和动力元件参数的选择,所以剖析负载特点应尽量反应客不雅现实.液压伺服体系的负载类型有惯性负载.弹性负载.粘性负载.各类摩擦负载(如静摩擦.动摩擦等)以及重力和其它不随时光.地位等参数变更的恒值负载等.4.2 拟定控制计划.绘制体系道理图在周全懂得设计请求之后,可根据不合的控制对象,按表6所列的根本类型选定控制计划并拟定控制体系的方块图.如对直线地位控制系同一般采取阀控液压缸的计划,方块图如图36所示.图36 阀控液压缸地位控制体系方块图表6 液压伺服体系控制方法的根本类型伺服体系控制旌旗灯号控制参数活动类型元件构成机液电液气液电气液模仿量数字量位移量地位.速度.加快度.力.力矩.压力直线活动摆动活动扭转活动1.阀控制:阀-液压缸,阀-液压马达2.容积控制:变量泵-液压缸;变量泵-液压马达;阀-液压缸-变量泵-液压马达3.其它:步近式力矩马达4.3 动力元件参数选择动力元件是伺服体系的症结元件.它的一个重要感化是在全部工作轮回中使负载按请求的速度活动.其次,它的重要机能参数能知足全部体系所请求的动态特点.此外,动力元件参数的选择还必须斟酌与负载参数的最佳匹配,以包管体系的功耗最小,效力高.动力元件的重要参数包含体系的供油压力.液压缸的有用面积(或液压马达排量).伺服阀的流量.当选定液压马达作履行元件时,还应包含齿轮的传动比.4.3.1 供油压力的选择选用较高的供油压力,在雷同输出功率前提下,可减小履行元件——液压缸的活塞面积(或液压马达的排量),因而泵和动力元件尺寸小重量轻,装备构造紧凑,同时油腔的容积减小,容积弹性模数增大,有利于进步体系的响应速度.但是随供油压力增长,因为受材料强度的限制,液压元件的尺寸和重量也有增长的趋向,元件的加工精度也请求进步,体系的造价也随之进步.同时,高压时,泄露大,发烧高,体系功率损掉增长,噪声加大,元件寿命下降,保护也较艰苦.所以前提许可时,平日照样选用较低的供油压力.经常应用的供油压力等级为7MPa到28MPa,可根据体系的要乞降构造限制前提选择恰当的供油压力.4.3.2 伺服阀流量与履行元件尺寸的肯定如上所述,动力元件参数选择除应知足拖动负载和体系机能两方面的请求外,还应斟酌与负载的最佳匹配.下面侧重介绍与负载最佳匹配问题.(1)动力元件的输出特点将伺服阀的流量——压力曲线经坐标变换绘于υ-F L平面上,所得的抛物线即为动力元件稳态时的输出特点,见图37.图37 参数变更对动力机构输出特点的影响a)供油压力变更;b)伺服阀容量变更;c)液压缸面积变更。
液压伺服工作原理液压伺服工作原理是液压系统中一种高效、精确、可靠的动力装置,广泛应用于机床、轮船、飞机等自动控制系统中。
本文深入分析液压伺服工作原理的基本构成、工作流程以及系统特点,旨在帮助读者更深入、全面地理解和掌握液压伺服工作原理。
一、液压伺服工作原理的基本构成液压伺服工作原理是以液压油作为工作介质的一种传动装置,液压伺服系统主要由液压泵、油箱、液压阀、液压缸(马达)等组成。
其中,液压泵的作用是将从油箱中吸入的液体压缩为高压油利用阀门控制器控制油液进入液压缸或马达,从而推动或旋转所需控制的执行机构。
除此之外,液压系统还包括调压阀、缓冲器、减压阀、压力表等辅助装置。
其中,调压阀的作用是保持液压系统的稳定性;缓冲器的作用是起到减震减压的效果;减压阀的作用是在系统中压力过高时进行降压处理;压力表的作用是记录系统中的压力信息以便对系统进行监测和控制。
二、液压伺服工作原理的工作流程液压伺服工作原理的工作流程主要可以分为四个步骤:液压泵工作、液压阀控制、液压缸(马达)工作和返回油流。
首先,当液压泵启动时,泵的转子开始旋转,通过连杆带动活塞运动,从油箱中吸入液体,将其压缩为高压油并将其送入液压系统中。
其次,液压阀控制油液的流动方向和流量,通过液压阀门的开启和关闭实现对液压缸或马达的控制。
当液压阀门打开时,系统中的高压油液便通过液压缸或马达推动或旋转所需控制的执行机构。
第三,液压缸或马达接受到控制信号后开始工作,同时液压缸或马达内的活塞或转子受到液压油液的作用力,从而完成所需动作。
例如,液压缸可以通过内部活塞的推动实现机械臂的伸缩、升降等操作。
最后,当执行机构完成动作后,系统中产生了一部分的回油流。
利用系统中的返回油路将回油流输送回到油箱中,同时利用油箱中的滤芯或过滤器将返回油液中的杂质进行过滤,以保证液压系统的正常运行。
三、液压伺服工作原理的系统特点液压伺服工作原理具有以下几个系统特点:1.高效性:液压伺服系统具有响应迅速、动作平稳、输出力矩大等特点。
哈尔滨工业大学液压传动大作业设计说明书设计题目压力机液压系统设计机电工程学院 1308XXX 班设计者 XXX201X 年XX 月 XX 日流体控制及自动化系哈尔滨工业大学液压传动大作业任务书学生姓名 XXXX 班号 1308XXX 学号 11308XXXXX设计题目压力机液压系统1. 液压系统用途(包括工作环境和工作条件)及主要参数:单缸压力机液压系统,工作循环:低压下行→高压下行→保压→低压回程→上限停止。
自动化程度为半自动,液压缸垂直安装。
最大压制力:380×104N;最大回程力:76×104N;低压下行速度:40mm/s;高压下行速度:3mm/s;低压回程速度:40mm/s;工作行程:600mm。
2. 执行元件类型:液压缸3. 液压系统名称:压力机液压系统。
设计内容1. 拟订液压系统原理图;2. 选择系统所选用的液压元件及辅件;3. 设计液压缸;4. 验算液压系统性能;5. 编写上述1、2、3和4的计算说明书。
指导教师签字教研室主任签字年月日签发一、工况分析1.主液压缸(1)负载压制力:压制时工作负载可区分为两个阶段。
第一阶段负载力缓慢地线性增加,达到最大压制力的10%左右,其上升规律也近似于线性,其行程为90 mm(压制总行程为110 mm)第二阶段负载力迅速线性增加到最大压制力3.8×106 N,其行程为20 mm。
回程力(压头离开工件时的力):一般冲压液压机的压制力与回程力之比为5~10,本压力机取为5,故回程力为F h = 7.6×105 N。
因移动件质量未知,参考其他液压机取移动件(包括活塞、活动横梁及上模)质量=3000 kg。
(2)行程及速度快速空程下行:行程S l = 490 mm,速度v1=40 mm/s;工作下压:行程S2 = 110 mm,速度v2=3 mm/s。
快速回程:行程S3 = 600 mm,速度v3=40 mm/s。
star液压伺服工作原理
液压伺服系统是一种利用液体传动能量以实现精密控制和定位的系统。
液压伺服系统的工作原理基本上是通过将压力油传递到伺服缸中,利用液压驱动力来实现工作部件的运动控制。
下面是液压伺服系统的工作原理:
1. 液压伺服系统的主要组成部分包括液压泵、液压缸、控制阀和传感器。
液压泵通过将液体(通常是液压油)吸入并压力传送到系统中的液压缸。
控制阀用于控制液压泵的流量,从而控制液压缸的运动。
传感器用于监测工作部件的位置和速度,并将这些信息反馈给控制系统。
2. 当液压泵启动时,液压油被抽入液压缸中。
液压泵通过压力传递介质(通常是液压油)在液压缸的两个活塞间形成压力差,从而产生驱动力。
这种驱动力将活塞推动,并最终实现工作部件的位移。
3. 通过控制阀来调节液压泵的流量,液压伺服系统可以实现对工作部件的精密控制。
当需要改变工作部件的运动速度或位置时,控制系统将调整控制阀的开启程度,改变液压泵的流量。
这样,液压缸将受到不同的驱动力,导致工作部件运动的变化。
4. 传感器在液压伺服系统中起到重要的作用。
它们监测工作部件的位置和速度,并将这些信息反馈给控制系统。
控制系统将根据传感器的反馈信息对控制阀进行调整,以实现对工作部件位置和速度的准确控制。
在整个运行过程中,液压伺服系统通过控制阀和传感器的相互作用,不断调整液压泵的流量和工作部件的运动,以实现精确的位置和速度控制。
这种工作原理使液压伺服系统成为许多领域中广泛应用的控制技术。
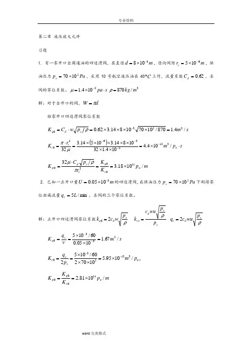
第二章 液压放大元件 习题1. 有一零开口全周通油的四边滑阀,其直径m d 3108-⨯=,径向间隙m r c 6105-⨯=,供油压力Pa p s 51070⨯=,采用10号航空液压油在40C ︒工作,流量系数62.0=d C ,求阀的零位系数。
s pa ⋅⨯=-2104.1μ3/870m kg =ρ解:对于全开口的阀,d W π=由零开口四边滑阀零位系数s m p w C K s d q /4.1870/107010814.362.02530=⨯⨯⨯⨯=⋅=-ρ()s p m r K a c c ⋅⨯=⨯⨯⨯⨯⨯⨯⨯=⋅=----/104.4104.13210814.310514.33231223620μπ m p K K r p C K a c q c s dp /1018.332110020⨯==⋅=πρμ2. 已知一正开口量m U 31005.0-⨯=的四边滑阀,在供油压力Pa p s 51070⨯=下测得零位泄漏流量min /5L q c =,求阀的三个零位系数。
解:正开口四边滑阀零位系数ρsd q p wc k 20= ssd co p p wuc k ρ=ρsd c p wuc q 2=s m q K cq /67.11005.060/1052330=⨯⨯==--ν s a s c c p m p q K ⋅--⨯=⨯⨯⨯==/1095.51070260/1052312530 m p K K K a c q p /1081.211000⨯==3. 一零开口全周通油的四边滑阀,其直径m d 3108-⨯=,供油压力Pa p s 510210⨯=,最大开口量m x m 30105.0-⨯=,求最大空载稳态液动力。
解:全开口的阀d W π= 最大空载液动力:4.113105.010********.343.043.035300=⨯⨯⨯⨯⨯⨯⨯=⋅⋅=--⋅m s s x p W F4. 有一阀控系统,阀为零开口四边滑阀,供油压力Pa p s 510210⨯=,系统稳定性要求阀的流量增益s m K q /072.220=,试设计计算滑阀的直径d 的最大开口量m x 0。
液压伺服系统工作原理液压伺服系统是一种将液压动力与伺服控制技术结合的控制系统。
它利用液压的优势来实现高速、高精度的运动控制。
液压伺服系统主要由液压源、执行元件、控制元件和传感器组成,通过控制元件对液压信号进行调节,驱动执行元件实现系统的动作。
液压伺服系统的工作原理基于液压传动的基本原理——泵的机械能转化为液压能的过程。
液压伺服系统通过泵将液体压力能转化为动能,然后通过执行元件将液压能转化为机械能,从而实现工作目标。
液压伺服系统使用液体作为工作介质,通过控制元件对液压信号进行调节,控制执行元件的动作。
在液压伺服系统中,常用的液体是油。
油的粘度和压力是影响液压系统工作效果的重要因素。
粘度越大,液压系统的动能传递效率越高。
而压力的大小则取决于工作要求,压力过大或过小都会影响系统的工作效果。
液压伺服系统中的泵是其核心部件,它负责将机械能转化为液压能。
在液压伺服系统中,常用的泵有齿轮泵、液压柱塞泵和叶片泵等。
泵通过提供压力将液体推送到执行元件中,从而实现系统的工作。
执行元件是液压伺服系统的执行部件,它将液压能转化为机械能,实现系统的运动。
常见的执行元件有液压缸和液压马达。
液压缸通过液体的力学效应来实现工作,而液压马达则通过液体的动力效应来实现工作。
执行元件的选择取决于具体的工作要求和系统性能。
控制元件是液压伺服系统中起控制作用的部件,它根据输入信号来控制和调节液压信号的大小和方向,从而实现对执行元件的控制。
常见的控制元件有阀门和流量分配器。
阀门负责控制和调节液体的流量和压力,而流量分配器则负责实现对液体流向的控制。
传感器是液压伺服系统中起反馈作用的部件,它通过感知系统的工作状态来提供反馈信号,从而实现对系统的控制。
常见的传感器有位置传感器和压力传感器。
位置传感器用于测量执行元件的位置,而压力传感器则用于测量液压系统的压力。
综上所述,液压伺服系统是一种将液压动力与伺服控制技术结合的控制系统。
它通过泵将机械能转化为液压能,然后通过控制元件对液压信号进行调节,驱动执行元件实现系统的动作。
伺服液压系统安全操作及保养规程前言液压系统是工业生产过程中常用的一种动力传递形式。
在液压系统中,伺服液压系统是一种特殊的液压系统。
伺服液压系统具有精确、高速度、高精度、高可靠性等特点,在机械加工、机器人等领域得到广泛应用。
然而,伺服液压系统在操作和维护方面也存在一些风险和注意事项,必须进行科学的操作和保养,以确保其安全性和稳定性。
操作规程1. 操作前准备在操作伺服液压系统之前,首先需要进行以下准备工作:1.1. 安全检查对液压系统的工作环境进行安全检查,排除一切危险因素,确保操作环境安全。
1.2. 液压油检查检查伺服液压系统的液压油,确保液压油符合操作要求,液位正确,液压系统中无杂质。
如发现液压油污染或变质,请更换新的液压油。
1.3. 液压系统检查检查伺服液压系统的各个部件,确保其完好无损,紧固件无松动,密封良好。
2. 操作过程2.1. 开始操作前在操作伺服液压系统之前,先启动液压泵,将压力建立到操作所需范围内,在系统无负载的情况下进行调试。
2.2. 操作中在操作过程中,需要注意以下事项:•操作者必须熟悉伺服液压系统的工作原理和特点。
•操作者必须保证操作环境安全,防止人员误入作业区。
•操作者必须保持专注,不能分心或心急。
•在液压系统加压前,必须确保系统密封良好。
•在液压系统加压时,必须缓慢提高压力,以防爆管或发生其他危险情况。
•在调整阀门时,必须按照正确的顺序和方法进行,以防止阀门错误操作导致系统出现问题。
•在伺服液压系统中使用液压油时,必须按照操作手册或厂家的要求使用。
2.3. 操作后在操作伺服液压系统之后,需要做以下工作:•关闭液压泵及其电源,如果伺服液压系统不需要长期运行,请将系统内的液压油排空。
•清洁液压系统及其周围环境,如发现系统有异常现象,请及时与专业技术人员联系解决。
保养规程1. 维护前准备在对伺服液压系统进行维护之前,需要进行以下准备工作:1.1. 确定维护计划确定伺服液压系统的维护计划,包括维护项目、维护频率、维护人员等。
伺服液压缸工作原理嘿,咱今儿来聊聊伺服液压缸这玩意儿的工作原理哈!你说这伺服液压缸啊,就好比是一个大力士,不过呢,它可不是那种光有蛮力的家伙,人家可是有脑子的大力士呢!伺服液压缸是咋工作的呢?其实啊,就跟咱人跑步差不多。
它得先有个目标,也就是我们给它设定的任务。
然后呢,就开始发力啦!它里面的油液就像是大力士身体里的能量,通过各种管道啊、阀门啊这些通道,源源不断地输送力量。
你想想看,这油液在里面跑来跑去的,一会儿这边多一点,一会儿那边少一点,这不就推动着液压缸的活塞动起来了嘛!就好像咱跑步的时候,腿一迈一迈的,带着咱往前跑。
这活塞呢,就是那个带着机器往前走的“腿”。
而且啊,这伺服液压缸还特别聪明呢!它能根据实际情况随时调整自己的力量和速度。
比如说吧,要是遇到点小阻碍,它就加把劲,使点更大的力气冲过去。
要是一切都很顺利,它就稳稳地保持着速度,不紧不慢地干活。
你说这像不像咱人啊,遇到困难了就咬咬牙,加把劲克服,顺风顺水的时候就享受一下,保持好状态。
这伺服液压缸可真是个机灵鬼!它在很多地方都大显身手呢!像那些大型的机械设备,没有它可不行。
它就像是一个默默无闻的英雄,在背后默默地付出,让一切都能顺利运转。
咱再打个比方,这伺服液压缸就像是一个优秀的舞者。
它的动作要精准、有力,还要和音乐完美配合。
油液就是那跳动的音符,而液压缸就是那个随着音符翩翩起舞的舞者。
只有它们配合得好,才能跳出一场精彩的舞蹈,才能让机器高效地工作呀!你说这伺服液压缸神奇不神奇?它虽然看起来就是个铁疙瘩,但里面蕴含的奥秘可多了去了。
咱可别小瞧了它,没有它,好多大工程都没法完成呢!所以啊,咱得好好了解了解这个厉害的家伙,知道它是怎么工作的,这样以后遇到和它相关的问题,咱也能心里有底,知道该怎么解决啦!这伺服液压缸,真的是工业领域里的一个宝贝啊,咱可得好好珍惜它、利用好它!原创不易,请尊重原创,谢谢!。
液压伺服压力机安全操作及保养规程液压伺服压力机是一种高精度、高效率的机械设备,应用于金属加工、压制、模锻、冷镦等行业。
但液压伺服压力机属于高危机械,如使用不当,可能引发意外事故,所以本文将介绍液压伺服压力机的安全操作规程和保养维护规程,以保障生产中的生命财产安全。
安全操作规程1. 前期准备1.1 检查压力机的各个部位是否有漏油现象,如有漏油要及时处理。
1.2 检查液压油的油位是否在规定范围内,如低于规定值,应加注液压油。
1.3 检查电气线路和开关按钮等是否正常,如有异常应及时找修理人员进行处理。
1.4 预先对准备加工的工件进行检测,如有异样应及时处理,以免影响加工效果和使用寿命。
2. 电气部分操作2.1 操作时应按照电气元件的线路图进行操作。
2.2 压力机的电气线路应进行定期检查,如有异常情况应及时进行处理。
2.3 不得随意对电气元件进行更换或调整,如确实需要更换或调整,应经过指定人员的批准。
2.4 操作者应定期进行漏电检查,以确保设备的安全运行。
3. 液压部分操作3.1 在操作前应检查压力机的液压系统是否正常,如异常应及时处理。
3.2 液压管路和接头的密封要保持良好,如有泄漏应及时更换或修理。
3.3 操作时应先打开液压油泵,等压力上升到规定值后再进行加工。
3.4 在操作过程中应及时观察液压油表的压力值是否正常,如异常应及时停机,排查故障。
4. 机械部分操作4.1 在操作前应进行检查机械部分是否正常,如异常应及时处理。
4.2 加工工件时要保证工件材料、加工方式、刀具规格等与机床操作说明书的规定匹配。
4.3 机床操作时要遵守安全操作规程,不能从事违反操作规程的操作行为。
4.4 对于机伺服压力机的操作,要注意切勿超负荷操作或按顺序让各部件满负荷工作。
5. 其他注意事项5.1 在加工过程中应保持清洁卫生,机房内不得堆放杂物,以确保工作环境整洁。
5.2 加工过程中不得随意用手触碰液压系统的活塞、管路和接头等部位。
说明
1、作考查课时,大家所做大作业是本门课程成绩评定的依据,将来是要存档、检查的,需认真完成。
一经发现有相互抄袭现象,取消大作业成绩!
2、所提交大作业要有封面,其上标注有:课程名称、第几次大作业、专业班级、姓名、学号等;
3、对问题的求解方法、过程要求有详细步骤。
必要时可绘图、列表进行分析求解说明。
(可广泛查阅图书资料解答,有问题也可答疑)
(提交的作业不含该页)
一、说明结构刚度对机液伺服系统动态特性、稳定性等的影响,并说明提高系统综合谐振频率有哪些方法?说明反馈连结点对系统稳定性的影响,反馈刚度、反馈机构中的间隙对系统稳定性的影响?
二、下图所示的机液位置伺服系统,供油压力6210s p Pa =⨯,滑阀面积梯度2210W m -=⨯,液压缸面积32210p A m -=⨯,液压固有频率320/h rad s ω=,阻尼比0.2h ξ=。
求增益裕量为6dB 时反馈杠杆比12/f K l l =为多少?计算时,取30.62,870/d C kg m ρ== 。
三、描述滑阀位置反馈的力反馈两级伺服阀的工作过程,绘出原理框图说明其反馈原理。
四、描述滑阀位置反馈的弹簧对中两级伺服阀的工作过程,绘出原理框图说明其反馈原理。
五、分别描述滑阀位置反馈的直接位置反馈两级伺服阀和机械反馈两级伺服阀的工作原理,并比较二者的区别。
硕士学位课程考试试卷考试科目:电液伺服控制考生姓名:刘双龙考生学号:20140713189学院:机械工程学院专业:机械工程考生成绩:任课老师(签名)考试日期:2014年1月20日午时至时考试主题:电液伺服(比例)系统考试题目:1、为什么把液压控制阀称为液压放大元件?2、什么叫阀的工作点?零位工作点的条件是什么?3、电液伺服阀由哪几部分组成?各部分的作用是什么?4、什么是液压固有频率?在阀控缸系统中液压固有频率与活塞位置有关吗?为什么?5、为什么电液伺服系统一般都要加校正装置?6、结合自己研究领域,写一篇液压伺服系统建模、分析的论文,字数不少于2000字。
注:要求独立完成,不允许抄袭。
交作业时间:最迟2015年第一个学期的第一周交到7教136,交纸质档。
三自由度平台液压伺服系统建模摘要:我的专业是机械工程,主要方向是机械设计,所以本文选择了与我专业方向有关的一个机构进行建模。
本文开始对机构进行了说明(采用已有的机构,并非自己设计),然后对其进行运动学分析,从而的到上平台和下平台的速度及加速度,和雅可比矩阵及液压缸速度。
然后对驱动机构进行电液伺服系统建模。
其中一:自由度运动平台系统简介本文所研究的三自由度运动平台类似与六自由度平台是由一个上平台(动平台)、地基(下平台)、三个支杆、三个线性作动器以及若干关节连接而成的。
上平台装有负载,完成既定的位置、速度、加速度运动要求,进而实现刑于道路状况的复现。
其结构示意图如图1.1所示。
图 1三自由度运动平台的结构图该平台的结构如下:上平台与地面之间以三个支杆(strut)来约束并起支撑作用,并以三个液压缸作为驱动部件进行驱动。
每个液压缸两端为关节轴承,中间为一个移动副和一个转动副连接;每根支杆两端也是采用关节轴承分别与地面和上平台相连中间一个转动副。
通过计算可知每个支杆所在的支路都具有5个自由度,每个支路对上平台提供一个约束;每个液压作动器所在的支路都具有6个自由度,对于上平台没有约束。
通过每个分支对上平台的约束很容易计算得出其自由度为3。
因此,通过三套液压作动器的驱动,上平台能够实现对于给定运动的跟踪复现。
简单直观的对运动进行分析可得到:由于三根支杆的限制作用,上平台平动受到限制:而转动自由度相对更为自由,运动范围更大。
当两竖直作动器差动动作、水平作动器不动作时,实现横滚运动;两竖直作动器同步动作,水平作动器不动作时,实现俯仰动作;两竖直作动器不动作、水平作动器动作时,实现偏航;三套作动器任意动作实现任意摆动。
由此,可以实现对于道路状况的模拟。
二:三自由度运动平台运动学分析1):坐标系的建立选择适当的坐标系是我们建立平台数学模型的第一步。
为清楚的描述运动平台在空间上的运动,需建立两个坐标系,体坐标系{M}和惯性坐标系{G),如图2-1所示。
我们选定一个固连于地球的惯性坐标系(静坐标系){G},一个固连于上平台,相对于惯性系随着上平台位置、姿态的变化而变化的动坐标系(体坐标系){M}。
中位时,两个坐标系原点重合,坐标轴方向相平行,都位于上平台综合质心处。
坐标及杆件布置如图2.1所示图2 坐标位置示意图2):姿态角的定义在推导运动学方程之前,先定义一下出现在旋转矩阵之中的用来描述平台姿态的参数。
刚体姿态是刚体坐标系与惯性参考坐标系间相关姿态的描述,目前描述两坐标系间姿态关系的方法有欧拉角法、方向余弦矩阵法,四元素法。
我们这里描述上平台位姿也选用欧拉角。
所谓欧拉角就是把分别绕X、Y、z旋转q1、q2、q3,三个角度称为欧拉角。
具体将就是先绕着工转动q1,然后绕着新生成的Y(Y‘)轴转动q2,再绕着新生成的z轴(z‘)转动q3。
这三个角就是用来描述上平台姿态的欧拉角。
3):坐标变换矩阵空间中任意两个坐标系之间都可以通过平移和旋转两种变换,使两个坐标系重合在一起。
在数学上,可以通过一个旋转变换矩阵和一个平移向量来实现上面的变换。
通过建立上面的体坐标系、静坐标系以及欧拉角,我们可以推导出由体坐 标系变换到静坐标系的旋转变换矩阵月的表达式,如下23121231312323131231312321212cq cq cq sq sq sq cq sq sq cq sq cq R cq sq cq cq sq sq sq sq cq cq sq sq sq sq cq cq cq -++⎡⎤⎢⎥=+-+⎢⎥⎢⎥-⎣⎦(2-1)其中,sql=sin(q1),cql=cos(q1),其它依此类推。
平移向量为: []456Tc q q q =通过上面的定义,任意在体坐标系中的一个方向向量mn 可以通过上面的旋转矩阵R 和平移向量c 转换到静坐标系中的方向向量gn ,关系如下g m n Rn c =+(2-2) 4)平台运动学位姿反解三自由度运动平台运动学位姿反解就是在给定上平台姿态的条件下,求得各个作动器的伸长量的过程。
从整个三自由度运动平台系统控制上来讲,其运动学位姿反解处在给定姿态信号和各个作动器驱动信号之间的转换环节。
所以,在实际系统的实时控制中,反解环节的精度、实时性将直接影响系统的控制效果。
上面已经建立了坐标系,以及描述方向的参数欧拉角。
至此,上平台相对于静坐标系的位置和姿态可以用一组广义的位置参数来描述。
对本课题的三自由度运动平台来说,由上面分析知运动平台只有三个自由度,上平台六个位姿参数只有三个是独立的。
所以对于上平台的位姿只需要指定三个广义的位姿就可以描述,我们选定上平台的姿态[]123Tq q q β= 作为描述上平台位姿的广义位姿矢量,位置参数[]456Tc q q q =以由上面选定的三个姿态参数束表示。
对于我们的平台来说,各个作动器与上平台铰接点相对于体坐标系的坐标可以表示为[]123Ti i i i a a a a = ,与下平台连接的下铰点相对于静坐标系的坐标为:[]123Ti i i i b b b a =,(1,2,...,6i = )应用上面的式(2)将其转化到静坐标系中i i g Ra c =+(2-3)式中i g为上铰点相对于静坐标系的坐标,[]123Ti i i i g g g g =具体对于每一个液压作动器(支杆)而言,其方向向量可以表示为i i i l Ra c b =+-,(1,2,...,6i =) (2-4)则每个作动器(拉杆)的长度可以表示为2Ti i i l l l =∙ (2-5) 对于上面的杆长公式(4)当i 取4、5、6可以列写出三个支杆的长度方程,由于三个支杆的长度是固定不变的,可以列写出关于[]456Tc q q q = 的一个非线性方程组322145644413222456555132234566661()()0()()0()()0j j j j j j j j j f q q q g b l f q q q g b l f q q q g b l ===⎧=--=⎪⎪⎪⎪=--=⎨⎪⎪=--=⎪⎪⎩∑∑∑ (2-6)11k k k c c J f -+=- (2-7) 式中1k c + 、k c———分别为第k 和k+1次迭代后的结果; k f———第k 次迭代的初值,由式子(7)给出;J ———迭代的雅克比矩阵,由式子(8)给出; []145624563456()()()Tk k k k k k k k k k f f q q q f q q q f q q q = (2-8)1114562212444333444f f f q q q f f f J q q q f f f q q q ⎡⎤∂∂∂⎢⎥∂∂∂⎢⎥⎢⎥∂∂∂=⎢⎥∂∂∂⎢⎥⎢⎥∂∂∂⎢⎥∂∂∂⎣⎦(2-9) 利用式(9)求得方程组(6)的雅克比矩阵为4,5,62()TJ G B ⎡⎤=-⎣⎦ (2-10)式中 G ——上铰点在静坐标系坐标矩阵,123456G g g g g g g ⎡⎤=⎣⎦;B ——下铰点在静坐标系坐标矩矩,123456B b b b b b b ⎡⎤=⎣⎦ ; (G —B)4,5,6——作动器(支杆)方向矢量G —B 的后三列当选则合适的初值0c和事先给定的任意小的数ε,进行k 次迭代后使得 1K K C C +-<ε 时,则完成求解过程此时的K c就是我们所求的解。
5)平台机构速度和加速度分析 (1)、上平台的速度、加速度由角速度台成定理可得体坐标系{M}中的平台角速度m ω 为123***n n mq x q y q z ∙∙∙ω=++11cos()sin()n y y q z q =-(2-11) 212sin()cos()n z x q z q =--22121sin()cos()sin()cos()cos()x q y q q z q q =-++由式(11)可得欧拉角[]123Tq q q q =与mω 之间的关系为12121212131000m qp sq q cq cq sq q r sq cq cq q ∙∙∙⎡⎤⎢⎥-⎡⎤⎡⎤⎢⎥⎢⎥⎢⎥ω==⎢⎥⎢⎥⎢⎥⎢⎥⎢⎥⎢⎥-⎣⎦⎣⎦⎢⎥⎣⎦(2-12) 令 21211211000sq E cq cq sq sq cq cq -⎡⎤⎢⎥=⎢⎥⎢⎥-⎣⎦则式(12)写为*m E ω=β(2-13)通过对上面式子的微分可以得到体坐标系下平台的角加速度为m E E ω=β+β(2-14)其中,2212121121121211210000cq q E sq q sq sq q cq cq q cq q sq sq q cq cq q ⎡⎤-⎢⎥⎢⎥=--+⎢⎥⎢⎥--+⎢⎥⎣⎦进而得到平台相对于惯性坐标系的转动伯速度为*mR ω=ω (2-15)平台的角加速度为*mR ω=ω (2-16)(2)、液压缸速度及雅克比矩阵对上面式子(5)对时问进行微分,并经过相应的矩阵向量运算得到各个作动器和支杆的伸缩速度表达式为T Ti a i ni ai il v d l l v dt l *===* (2-17)式中ai v——第i 根作动器(支杆)上平台铰接点速度;Tni l ——第i 根作动器(支卡)的单位办向矢量,/ni i i l l l =上式表明,液压缸(支杆)的速度等于其与动平台铰接点速度矢量沿作动器(支杆)方向的投影。
根据空间向量运算得到ai i v c Ra =+ω*(2-18)式中ω——上平台在固定坐标系下的角速度,由式(13)、(15)确定综合式(17)得到()T Ti ni ni i l l c l Ra =+ω* (2-19) 将上式的方程写为矩阵形式得到(R )T m Tn n l L c A L =+*⋅ω (2-20)式中l——作动器(支杆)伸长速度构成的向量,123456[]T l l l l l l l =(2-21)n L ——作动器(支杆)的单位方向矢量矩阵,123456[]Tn n n n n n n L l l l l l l = (2-22)上面矩阵方程(20)的后三行即为三根枝杆的速度方程·又知,三根支杆的长度是固定不变的即4,5,60l ⋅=,则我们分别取出上面矩阵方程的后三行,满足(23)式中 4,5,6l ⋅——支杆长度组成的向量,4,5,6456;l l l l ⋅⋅⋅⋅⎡⎤=⎢⎥⎣⎦4,5,6()T n L ——作动器(支杆)方向单位向量矩阵的后三行; 4,5,6(R )m T n A L ⋅ ———矩阵(R )m T n A L ⋅的后三行 若方阵4,5,6()T n L 可逆,则可以得到4,5,64,5,6[()](R )T T m Tn n c c L A L J ⋅β=-⋅⋅⋅ω=⋅ω (2-24)定义c J β 3×3阶方阵为由上平台的转动角速度ω到平动速度c ⋅ 的雅克比矩阵。