复合函数零点问题专题训练
- 格式:pdf
- 大小:545.04 KB
- 文档页数:5
高考数学经典常考题型第12专题复合函数零点问题第12专题训练:复合函数零点问题一、基础知识:1、复合函数定义:设 $y=f(t),t=g(x)$,且函数 $g(x)$ 的值域为 $f(t)$ 的定义域的子集,那么 $y$ 通过 $t$ 的联系而得到自变量 $x$ 的函数,称 $y$ 是 $x$ 的复合函数,记为$y=f(g(x))$。
2、复合函数函数值计算的步骤:求 $y=g(f(x))$ 函数值遵循“由内到外”的顺序,一层层求出函数值。
例如:已知$f(x)=2x,g(x)=x^2-x$,计算 $g(f(2))$。
解:$f(2)=2\times 2=4$,$\therefore g(f(2))=g(4)=12$3、已知函数值求自变量的步骤:若已知函数值求 $x$ 的解,则遵循“由外到内”的顺序,一层层拆解直到求出 $x$ 的值。
例如:已知 $f(x)=2x,g(x)=x^2-2x$,若 $g(f(x))=0$,求 $x$。
解:令 $t=f(x)$,则 $g(t)=0$,$\therefore t=0$ 或 $t=2$。
当 $t=0$ 时,$f(x)=0$,XXX;当 $t=2$ 时,$f(x)=2$,$\therefore x=1$。
综上所述,$x=1$。
由上例可得,要想求出 $g(f(x))=0$ 的根,则需要先将$f(x)$ 视为整体,先求出 $f(x)$ 的值,再求对应 $x$ 的解。
这种思路也用来解决复合函数零点问题。
先回顾零点的定义:4、函数的零点:设 $f(x)$ 的定义域为 $D$,若存在 $x\in D$,使得 $f(x)=0$,则称 $x$ 是 $f(x)$ 的一个零点。
5、复合函数零点问题的特点:考虑关于 $x$ 的方程$g(f(x))=0$ 的根的个数,在解此类问题时,要分为两层来分析。
第一层是解关于 $f(x)$ 的方程,观察有几个 $f(x)$ 的值使得等式成立;第二层是结合着第一层 $f(x)$ 的值求出每一个$f(x)$ 被几个 $x$ 对应,将 $x$ 的个数汇总后即为$g(f(x))=0$ 的根的个数。
1复合函数的零点问题1、直线1y =与曲线2y x x a =-+有4个交点,则a 的取值范围是2、已知函数)(x f 在定义域),0(+∞上是单调函数,若对任意),0(+∞∈x ,都有2]1)([=-xx f f ,则)51(f 的值是 .3、已知函数12)(22+-++=m m mx x x f ,若方程0))((=x f f 无实根,则m 的取值范围为 . 4、已知函数)(R x x x x f ∈=3-)(3.设c x f f x h -=))(()(,其中∈c [-2,2],求函数)(x h y =零点个数.5、已知函数(0)()lg()(0)x e x f x x x ⎧≥=⎨-<⎩,则实数2t ≤-是关于x 的方程2()()0f x f x t ++=.有三个不同实数根的 条件。
6、设定义域为R 的函数1251,0()44,0x x f x x x x -⎧-≥⎪=⎨++<⎪⎩,若关 于x 的方程22()(21)()0f x m f x m -++=有5个不同的实数解,则m =__________ 7、设定义域为R 的函数2lg (>0)()-2(0)x x f x x x x ⎧=⎨-≤⎩ 则关于x 的函数 1)(3-)(2y 2+=x f x f 的零点的个数为______________.8、已知函数()⎩⎨⎧>≤+=0,log 0,12x x x x x f ,则函数()()1-=x f f y 的零点个数为_________.9、已知函数31+,>0()3,0x x f x xx x ⎧⎪=⎨⎪+≤⎩, 则函数)2(-)2()(F 2>+=a a x x f x 的零点个数可能为_________. 10、已知函数),0()0,()(+∞-∞ 是定义在x f 上的偶函数,当0>x 时,1)(4)(2),2(21,20,12)(|1|-=⎪⎩⎪⎨⎧>-≤<-=-x f x g x x f x x f x 则函数的零点个数为11、函数0.5(x)2log 1xf x =-的零点个数为( )12、函数(x)2ln f x =的图像与函数2(x)x 45g x =-+的图像的交点个数为( )213、已知函数32, 2(x)(x 1),x 2x f x ⎧≥⎪=⎨⎪-<⎩,若关于x 的方程(x)f k =有两个不同的实根,则实数k 的取值范围是14、已知函数12,0(x)21,x 0x e x f x x -⎧>⎪=⎨--+≤⎪⎩,若关于x 的方程2(x)3(x)0(a R)f f a -+=∈有8个不等的实数根,则a 的取值范围是( )A. 1(0,)4 B. 1(,3)3 C. (1,2) D. 9(2,)415、(2014江苏)已知(x)f 是定义在R 上且周期为3的函数,当[)0,3x ∈时,21(x)x 22f x =-+.若函数(x)a y f =-在区间[]3,4-上有10个零点(互不相同),则实数a 的取值范围是 16、已知函数3221(x 0)(x)x 31,(x),4x 68(x 0)x f x g xx ⎧+>⎪=-+=⎨⎪---≤⎩则方程[]g (x)0(a R )f a +-=∈的解的个数不可能为( )17、已知函数12,0(x)21,x 0x e x f x x -⎧>⎪=⎨--+≤⎪⎩,若关于x 的方程2(x)3(x)0(a R)f f a -+=∈有8个不等的实数根,则a 的取值范围是( )B. 1(0,)4 B. 1(,3)3 C. (1,2) D. 9(2,)418、关于x 的方程222x 1)x 10k ---+=(,给出下列4个命题: ①存在实数k,使得方程恰有2个不同的实根; ②存在实数k,使得方程恰有4个不同的实根; ③存在实数k,使得方程恰有5个不同的实根; ④存在实数k,使得方程恰有8个不同的实根。
复合函数零点类型一:直接作图1、直线1y =与曲线2y x x a =-+有4个交点,则a 的取值范围是2、已知(x)f 是定义在R 上且周期为3的函数,当[)0,3x ∈时,21(x)x 22f x =-+.若函数(x)a y f =-在区间[]3,4-上有10个零点(互不相同),则实数a 的取值范围是3、已知函数),0()0,()(+∞-∞ 是定义在x f 上的偶函数,当0>x 时,1)(4)(2),2(21,20,12)(|1|-=⎪⎩⎪⎨⎧>-≤<-=-x f x g x x f x x f x 则函数的零点个数为类型二:与二次函数结合1、设定义域为R 的函数2lg (>0)()-2(0)x x f x x x x ⎧=⎨-≤⎩ 则关于x 的函数 1)(3-)(2y 2+=x f x f 的零点的个数为______________.2、已知函数,若关于 的方程 有 个不同的实数解,则实数 的取值范围是______.3、设定义域为R 的函数1251,0()44,0x x f x x x x -⎧-≥⎪=⎨++<⎪⎩,若关 于x 的方程22()(21)()0f x m f x m -++=有5个不同的实数解,则m =__________4、已知函数12,0(x)21,x 0x e x f x x -⎧>⎪=⎨--+≤⎪⎩,若关于x 的方程2(x)3(x)0(a R)f f a -+=∈有8个不等的实数根,则a 的取值范围是( )A. 1(0,)4 B. 1(,3)3 C. (1,2) D. 9(2,)45.函数()y f x =是定义域为R 的偶函数,当0x ≥时,21,(02)16()1(),(2)2x x x f x x ⎧≤≤⎪⎪=⎨⎪>⎪⎩,若关于x 的方程[]2()()0f x af x b ++=,,a b R ∈,有且仅有6个不同实数根,则实数a 的取值范围是________.6.已知函数22()||1()x x f x x e m x e m R =++∈有四个零点,则m 的取值范围为________.7、设定义域为R 的函数lg 1,1(x)0, x 1x x f ⎧-≠⎪=⎨=⎪⎩,则关于x 的方程[]2(x)(x)0f bf c ++=有7个不同实数解的充要条件是( ).b 0 A <且c>0 .b 0 B >且c<0 .b 0 C <且c=0 .b 0 D ≥且c=0 8、已知函数(0)()lg()(0)x e x f x x x ⎧≥=⎨-<⎩,则实数2t ≤-是关于x 的方程2()()0f x f x t ++=.有三个不同实数根的 条件。
一、函数概念1. 设f(x) = x^2 + 1,g(x) = 2x 3,求f(g(x))。
2. 若f(x) = 3x + 4,g(x) = x^2 5,求f(g(2))。
3. 设h(x) = x 2,f(x) = h(x) + 1,求f(h(3))。
4. 若g(x) = 2x 1,f(x) = g(x^2),求f(1)。
5. 设f(x) = 5x 2,g(x) = f(x^2),求g(4)。
二、复合函数的求值6. 若f(x) = x^3,g(x) = f(x + 1),求g(2)。
7. 设h(x) = 4x^2 1,f(x) = h(x 1),求f(3)。
8. 若g(x) = 2x + 5,f(x) = g(x^2),求f(1)。
9. 设h(x) = x^2 + 3x + 2,f(x) = h(x + 1),求f(2)。
10. 若g(x) = 3x 2,f(x) = g(x^3),求f(2)。
三、复合函数的求导11. 设f(x) = x^2 + 1,g(x) = 2x 3,求(f ∘ g)'(x)。
12. 若f(x) = 3x + 4,g(x) = x^2 5,求(g ∘ f)'(2)。
13. 设h(x) = x 2,f(x) = h(x) + 1,求(f ∘ h)'(3)。
14. 若g(x) = 2x 1,f(x) = g(x^2),求(f ∘ g)'(1)。
15. 设h(x) = x^2 + 3x + 2,f(x) = h(x + 1),求(f ∘h)'(x)。
四、复合函数的极值16. 设f(x) = x^3 3x^2 + 4x 1,求f(g(x))的极值点。
17. 若f(x) = 2x^2 4x + 3,g(x) = x 1,求f(g(x))的极值。
18. 设h(x) = x^2 + 2x + 1,f(x) = h(x 1),求f(h(x))的极值点。
数学上册综合算式专项练习题求复合函数的零点复合函数的零点是指,对于给定的复合函数,在定义域内存在使得函数取零值的数值。
本文将通过综合算式专项练习题,探讨如何求解复合函数的零点。
在解决复合函数的零点问题之前,我们需要了解复合函数的基本概念。
复合函数是指由两个或多个函数构成的新函数,其中一个函数的输出值是另一个函数的输入值。
表示为:f(g(x)),先进行g(x)的运算,再将结果作为f(x)的输入。
为了求解复合函数的零点,我们可以采用以下步骤:步骤一:给定复合函数表达式。
例如,我们考虑一个复合函数表达式:f(g(x)) = x^2 + 2x,其中g(x) = 2x + 1。
步骤二:找到复合函数的定义域。
在这个例子中,我们需要确定x的取值范围,使得g(x)的结果在f(x)的定义域内。
步骤三:将g(x)代入f(x)的表达式中,得到复合函数的具体形式。
根据我们的例子,复合函数的表达式为:f(x) = (2x + 1)^2 + 2(2x + 1)。
步骤四:将复合函数化简为一般形式,即将其展开并进行合并运算。
根据我们的例子,将f(x) = (2x + 1)^2 + 2(2x + 1)展开并合并运算后,得到f(x) = 4x^2 + 8x + 4。
步骤五:找到复合函数的零点。
复合函数的零点即为满足f(x) = 0的x的取值。
对于我们的例子,我们需要求解4x^2 + 8x + 4 = 0的解。
步骤六:使用合适的方法求解二次方程。
对于本例,我们可以使用因式分解、配方法或求根公式等方法来解决4x^2 + 8x + 4 = 0。
以求解零点为例,我们可以使用求根公式,根据一元二次方程的求根公式:x = (-b ± √(b^2 - 4ac)) / (2a),其中a、b、c分别为二次项、一次项和常数项的系数。
对于4x^2 + 8x + 4 = 0,我们有a = 4,b = 8,c = 4。
代入求根公式,我们可以得到两个解:x = (-8 ± √(8^2 - 4*4*4)) / (2*4)。
复合函数方程与函数零点经典好题一、典例讲解典例1.设函数(0)()ln (0)x e x f x x x ⎧≤=⎨>⎩则函数(]1[)y f f x =-的零点个数为( )个. A .0B .1C .2D .4解:设(),t f x =原式等价于()()1,f t t f x ==分别画出函数(),t f x =和t=1的图像:得到()1,f t =的两个零点为t=0,和t=e, 即()0f x =或()f x e =,解得1e x x e ==或 故有两个根.故答案为:C.小结: ★这个题目考查了复合函数方程的根的问题,这类题目一般是设出内外层,先得到外层的零点,再找到对应的内层的零点个数。
★本题考查分段函数的运用,考查函数方程的转化化归思想,考查数形结合思想方法。
典例2.已知函数()f x 和()g x 的图像如图所示,若关于x 的方程(())1f g x =和(())0g f x =的实数根的个数分别为m 和n ,则m n +=( )A .15B .13C .12D .10解:根据函数的图像,由()()1f g x =,得()1g x =-或()1g x =.当()1g x =-时,由()g x 的图像可知x 有三个解,即()()1f g x =有三个根.当()1g x =时,由()g x 的图像可知x 有三个解,即()()1f g x =有三个根.故()()1f g x =有336+=个根,即6m =.由()()0g f x =,结合()g x 图像可知,()g x 有三个零点()()1230,1,0,0,1x x x =∈-∈.当()10f x x ==时,由()f x 图像知此时有3个零点;当()()21,0f x x =∈-时,由()f x 图知此时有2个零点;当()()30,1f x x =∈时,由()f x 的图像知此时有4个零点.故()()0g f x =有3249++=个根.故6915m n +=+=,所以本题选A.二、闯关题 ●选择题1.已知函数()32e ,0461,0x x f x x x x ⎧<=⎨-+≥⎩,其中e 为自然对数的底数,则函数 ()()()2310g x f x f x ⎡⎤=-⎣⎦3+的零点个数为( )A .4B .5C .6D .32.已知定义在R 上的奇函数f (x ),当x >0时,则关于x 的方程的实数根个数为( )A .6B .7C .8D .93.已知函数11ln ,01()1,12x x x f x x -+<≤⎧⎪=⎨>⎪⎩,若方程2()(1)()0f x a f x a -++=恰有三个不同的实数根,则实数a 的取值范围为( ) A .)0,(-∞B .(0,)+∞C .(1,)+∞D .(0,1)4.已知函数,则下列关于函数的零点个数的判断正确的是( ) A .当时,有4个零点;当时,有1个零点B .当时,有3个零点;当时,有2个零点C .无论a 为何值,均有2个零点D .无论a 为何值,均有4个零点5.已知函数,若方程恰有5个不同的根,则的取值范围是( ) A .B .C .D . 6.定义域为的函数,若关于的方程,恰有5个不同的实数解,则等于( )A .B .C .D .●填空题7.已知21,0()ln ,0x x f x x x +≤⎧=⎨>⎩,则方程[]()3f f x =的根的个数是_________. 8.已知函数22,0()log (),0x x f x x x ⎧≥=⎨-<⎩若关于x 的方程2()2()0f x f x m ++=有三个不同的实根,则m 的取值范围为__________.9.设定义域为R 的函数()151,0244,0x x f x x x x --≥⎧⎪=++<⎨⎪⎩若关于x 的方程()()()22210f x m f x m -++=有7个不同的实数根,则实数m =______.10.已知函数,,若方程有四个不同的实数解,则实数m 的取值范围是______.●解答题11.已知函数2log 21xf x ax x R =++∈()(),. (1)若f x ()是偶函数,求实数a 的值;(2)当0a >时,判断f x ()的单调性,不需要证明;(3)当0a >时,关于x 的方程411211[]xf f x a x og -+--=()()()在区间[12],上恰有两个不同的实数解,求实数a 的取值范围.复合函数方程与函数零点经典好题参考答案1.A 【详解】当x ≥0时,f (x )=4x 3﹣6x 2+1的导数为f ′(x )=12x 2﹣12x , 当0<x <1时,f (x )递减,x >1时,f (x )递增,可得f (x )在x =1处取得最小值,也为最小值﹣1,且f (0)=1, 作出函数f (x )的图象,g (x )=()()23103f x f x ⎡⎤-+⎣⎦,可令g (x )=0,t =f (x ), 可得3t 2﹣10t +3=0,解得t=3或13, 当t 13=,即f (x )13=,g (x )有三个零点; 当t =3,可得f (x )=3有一个实根, 综上g (x )共有四个零点;故选:A . 2.B 解:设,则关于x 的方程,等价,解得或,当时,,此时不满足方程.若,则,即, 若,则,即,作出当时,的图象如图:当时,对应3个交点.∵函数是奇函数, ∴当时,由,可得当时,,此时函数图象对应4个交点,综上共有7个交点,即方程有7个根.故选:B .小结:本题主要考查函数方程根的个数的判断,利用换元法,利用数形结合是解决本题的关键,综合性较强,难度较大.3.D 解:2()(1)()0f x a f x a -++=可变形为[()][()1]0f x a f x --=, 即()a x f =或()1=x f ,由题可知函数()f x 的定义域为(0,)+∞,当(]0,1x ∈时, 函数()f x 单调递增;当()1,x ∈+∞时,函数()f x 单调递减, 画出函数()f x 的大致图象,如图所示,当且仅当1x =时,()1=x f ,因为方程2()(1)()0f x a f x a -++=恰有三个不同的实数根, 所以()a x f =恰有两个不同的实数根,即(),y f x y a ==的图象有两个交点,由图可知10<<a 时,(),y f x y a ==的图象有两个交点, 所以实数a 的取值范围为(0,1),故选D .小结:本题主要考查分段函数的解析式、方程的根与函数图象交点的关系,考查了数形结合思想的应用,属于难题. 函数零点的几种等价形式:函数()()y f x g x =-的零点⇔函数()()y f x g x =-在x 轴的交点⇔方程()()0f x g x -=的根⇔函数()y f x =与()y g x =的交点.4.A 解:分四种情况讨论. (1)时,,∴,此时的零点为 (2)时,,∴,则a >0时,有一个零点,时,没有零点, (3)若,时,,则a >0时,有一个零点,时,没有零点, (4)若,时,,则时,有一个零点,时,没有零点, 综上可知,当时,有4个零点;当时,有1个零点故选:A .小结:本题目考查了函数的零点个数,运用了分类讨论的方法;属于中档题. 求函数零点的方法: 1.解方程f(x)=0的根;2.利用函数零点存在性定理和函数的单调性;3.利用数形结合,找图像的交点个数. 5.B 解:当时,,,当时,,函数单调递减; 当时,,函数单调递增,。
一道与三角函数有关的复合函数的零点个数问题湖北天门 薛德斌 2022年2月函数()cos 2sin f x x m x =+在区间(0,)k π()k N *∈上恰有n 个零点. (1)若9k =,讨论m ,n 的取值; (2)若101n =,讨论m ,k 的取值; (3)若301n =,讨论m ,k 的取值; (4)若2021n =,讨论m ,k 的取值; (5)若2023n =,讨论m ,k 的取值.【要点】换元+变量分离+数形结合+分类讨论+三角函数的值域和周期 【答案】(1)18m n >⎧⎨=⎩或113m n =⎧⎨=⎩或1118m n -<<⎧⎨=⎩或114m n =-⎧⎨=⎩或110m n <-⎧⎨=⎩.(2)1m =-,67k =. (3)1m =,201k =.(4)1m =-,1347k =. (5)1m =,1349k =.22(0,1])及2当1m >时,关于的t 方程有一个解1(,0)2t ∈-;当1m =时,方程有两个解112t =-,21t =; 当11m -<<时,方程有两个解1(1,)2t ∈--,1(,1)2t ∈;当1m =-时,方程有两个解11t =-,212t =;当1m <-时,方程有一个解1(0,)2t ∈.(1)当1m >时,关于的t 方程有一个解1(,0)2t ∈-,248n =⨯=;当1m =时,方程有两个解112t =-,21t =,34113n =⨯+=;当11m -<<时,方程有两个解1(1,)2t ∈--,1(,1)2t ∈,44218n =⨯+=;当1m =-时,方程有两个解11t =-,212t = 34214n =⨯+=,;当1m <-时,方程有一个解1(0,)2t ∈,24210n =⨯+=.【注:一般地,对于任意k N *∈,当1m ≠±时,n 为偶数.】(2)101是奇数,且101≡2(mod3),∴1m =-,101221673k -=⨯+=. 【注:一般地,若n 是奇数,且n ≡2(mod3),则1m =-,2212133n n k --=⨯+=.】 (3)301是奇数,且101≡1(mod3),∴1m =,3011212013k -=⨯+=.【注:一般地,若n 是奇数,且n ≡1(mod3),则1m =,1212133n n k -+=⨯+=.】 (4)1m =-,1347k =. (5)1m =,1349k =.。
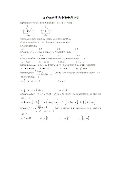
复合函数零点问题专题训练1.定义域和值域均为[-a,a] (常数a>0)的函数y=f(x)和y=g(x)的图像如图所示,给出下列四个命题中:(1) 方程f[g(x)]=0有且仅有三个解; (2) 方程g[f(x)]=0有且仅有三个解;(3) 方程f[f(x)]=0有且仅有九个解; (4)方程g[g(x)]=0有且仅有一个解。
那么,其中正确命题的个数是 ( )A . 1 B. 2 C. 3 D. 4(第1解:选B. (1)方程f[g (x )]=0有且仅有三个解;g (x )有三个不同值,由于y=g (x )是减函数,所以有三个解,正确;(2)方程g[f (x )]=0有且仅有三个解;从图中可知,f (x )∈(0,a )可能有1,2,3个解,不正确;(3)方程f[f (x )]=0有且仅有九个解;类似(2)不正确;(4)方程g[g (x )]=0有且仅有一个解.结合图象,y=g (x )是减函数,故正确.2. 已知函数1)(+=x xe x f ,若函数2)()(2++=x bf x f y 恰有四个不同的零点,则实数b 的取值范围是 ( )A.)22,(--∞B. )2,3(--C. )3,(--∞D.(]22,3-- 解:用求导方法得,f(x)在x =-1取得最大值1,在x=0取得最小值0,故0<a<1时,f(x)=a有3个解,a>1时,f(x)=a,有1个解,2)()(2++=x bf x f y 恰有四个不同的零点,则2t +bt+2=0有两个不等根,1个在(0,1)内,另1个根大于1,令g(t)= 2t +bt+2,于是得,⊿>0且g (0)>0且g(1)<0,解得b <-3,故选C .思考:已知函数1)(+=x xe x f ,若函数2)()(2++=x bf x f y 恰有6个不同的零点,则实数b 的取值范围是 ( )3. (2013四川,理10)设函数f (x )a ∈R ,e 为自然对数的底数),若曲线 y =sin x 上存在点(x 0,y 0)使得f (f (y 0))=y 0,则a 的取值范围是( ).A .[1,e]B .[e -1-1,1]C .[1,e +1]D .[e -1-1,e +1]解析:由题意可得,y 0=sin x 0∈[-1,1],而由f (x )可知y 0∈[0,1], a f(x)a a g(x)aa当a =0时,f (x )∴y 0∈[0,1]时,f (y 0)∈[1.∴f (f (y 0))1.∴不存在y 0∈[0,1]使f (f (y 0))=y 0成立,故B ,D 错;当a =e +1时,f (x )y 0∈[0,1]时,只有y 0=1时f (x )才有意义, 而f (1)=0,∴f (f (1))=f (0),显然无意义,故C 错.故选A . 4. 已知函数13)(23+-=x x x f ,⎪⎩⎪⎨⎧≤--->+=0,860,41)(2x x x x x x x g , 则方程[])0(0)(>=-a a x f g 的解的个数不可能是( )A .3个 B.4个 C.5个 D.6个答案 选A5. 设2,1,1(),()x x x x f x g x ≥<⎧⎪=⎨⎪⎩是二次函数,若f (g(x))的值域是[0,+∞), 则g(x)的值域是( )A(-∞, -1]∪[1, +∞) B(-∞, -1]∪[0, +∞)C[0, +∞) D[1, +∞)【解析】 选C .令f (g(x))=f(t),t=g(x),当t ∈(-∞, -1] ∪[0, +∞)或t ∈(-∞, -1] ∪[0,1)或t ∈[0, +∞)时,f(t) 的值域是[0,+∞),而 t=g(x) 是二次函数,故选C .6.某同学在研究函数()f x 的性质时,受到两点间距离公式的启发,将)(x f 变形为2222)10()3()10()0()(++-+-+-=x x x f ,则)(x f 表示||||PB PA +(如图),下列关于函数)(x f 的描述: ①)(x f 的图象是中心对称图形;②)(x f 的图象是轴对称图形;③函数)(x f的值域为)+∞;④方程[()]1f f x =.则描述正确的是A. ①②B. ②③C. ③④D. ①④【解析】 选B. f(x)=f(3-x) ,对称轴x=32,)(x f min=|AB |由[()]1f f x =得f(x)=0或f(x)=3Ï)+∞7.已知函数1)(-=x x f ,关于x 的方程0)()(2=+-k x f x f ,给出下列四个命题:① 存在实数k ,使得方程恰有2个不同的实根;② 存在实数k ,使得方程恰有3个不同的实根;③ 存在实数k ,使得方程恰有5个不同的实根;④ 存在实数k ,使得方程恰有8个不同的实根.其中真命题的序号为______ ______尝试题1:已知函数y=f (x )和y=g (x )在[﹣2,2]上的图象如图所示:给出下列四个命题:①方程f[g (x )]=0有且仅有6个根; ②方程g[f (x )]=0有且仅有3个根; ③方程f[f (x )]=0有且仅有7个根; ④方程g[g (x )]=0有且仅有4个根. 其中正确命题的序号为 .解:①设t=g(x),则由f[g(x)]=0,即f(t)=0,则t1=0或﹣2<t2<﹣1或1<t3<2,当t1=0时,t=g(x)有2个不同值,当﹣2<t2<﹣1时,t=g(x)有2个不同值,当1<t3<2,时,t=g(x)有2个不同值,∴方程f[g(x)]=0有且仅有6个根,故①正确.②设t=f(x),若g[f(x)]=0,即g(t)=0,则﹣2<t1<﹣1或0<t2<1,当﹣2<t1<﹣1时,t=f(x)有1个不同值,当0<t2<1时,t=f(x)有3个不同值,∴方程g[f(x)]=0有且仅有4个根,故②错误.③设t=f(x),若f[f(x)]=0,即f(t)=0,则t1=0或﹣2<t2<﹣1或1<t3<2,当t1=0时,t=f(x)有3个不同值,当﹣2<t2<﹣1时,t=f(x)有1个不同值,当1<t3<2,时,t=f(x)有1个不同值,∴方程f[f(x)]=0有且仅有5个根,故③错误.④设t=g(x),若g[g(x)]=0,即g(t)=0,则﹣2<t1<﹣1或0<t2<1,当﹣2<t1<﹣1时,t=g(x)有2个不同值,当0<t2<1时,t=g(x)有2个不同值,∴方程g[g(x)]=0有且仅有4个根,故④正确.故正确的是①④.尝试题2:定义域为R的函数f(x)=,若关于x的函数h(x)=f2(x)+af(x)+有5个不同的零点x1,x2,x3,x4,x5,则22222B.20解:作函数f(x)=的图象如下,则由函数h(x)=f2(x)+af(x)+有5个不同的零点知,1+a+=0,解得,a=﹣,则解f2(x)﹣f(x)+=0得,f(x)=1或f(x)=;故若f(x)=1,则x=2或x=3或x=1;若f(x)=,则x=0或x=4;故x12+x22+x32+x42+x52=1+4+9+16=30,故选:C.尝试题3:(2013安徽,理10)若函数f(x)=x3+ax2+bx+c有极值点x1,x2,且f(x1)=x1,则关于x的方程3(f(x))2+2af(x)+b=0的不同实根个数是().A.3 B.4 C.5 D.6解析:由f′(x)=3x2+2ax+b=0得,x=x1或x=x2,即3(f(x))2+2af(x)+b=0的根为f(x)=x1或f(x)=x2的解.如图所示,x 1<x 2 x 2<x 1由图象可知f (x )=x 1有2个解,f (x )=x 2有1个解,因此3(f (x ))2+2af (x )+b =0的不同实根个数为3. 答案:A。
复合函数零点问题例1:设定义域为R 的函数()1,111,1x x f x x ⎧≠⎪-=⎨⎪=⎩,若关于x 的方程()()20f x bf x c ++=由3个不同的解123,,x x x ,则222123x x x ++=______ 思路:先作出()f x 的图像如图:观察可发现对于任意的0y ,满足()0y f x =的x 的个数分别为2个(000,1y y >≠)和3个(01y =),已知有3个解,从而可得()1f x =必为()()20f x bf x c ++=的根,而另一根为1或者是负数。
所以()1i f x =,可解得:1230,1,2x x x ===,所以2221235x x x ++=答案:5例2:关于x 的方程()22213120x x ---+=的不相同实根的个数是( )A. 3B. 4C. 5D. 8思路:可将21x -视为一个整体,即()21t x x =-,则方程变为2320t t -+=可解得:1t =或2t =,则只需作出()21t x x =-的图像,然后统计与1t =与2t =的交点总数即可,共有5个 答案:C 例3:已知函数11()||||f x x x x x=+--,关于x 的方程2()()0f x a f x b ++=(,a b R ∈)恰有6个不同实数解,则a 的取值范围是 . 思路:所解方程2()()0f x a f x b ++=可视为()()20f x a f x b ++=,故考虑作出()f x 的图像:()2,12,012,102,1x x x x f x x x x x⎧>⎪⎪<≤⎪=⎨--≤<⎪⎪-<-⎪⎩, 则()f x 的图像如图,由图像可知,若有6个不同实数解,则必有()()122,02f x f x =<<,所以()()()122,4a f x f x -=+∈,解得42a -<<-答案:42a -<<-例4:已知定义在R 上的奇函数,当0x >时,()()121,0212,22x x f x f x x -⎧-<≤⎪=⎨->⎪⎩,则关于x 的方程()()2610f x f x --=⎡⎤⎣⎦的实数根个数为( )A. 6B. 7C. 8D. 9 思路:已知方程()()2610f x f x --=⎡⎤⎣⎦可解,得()()1211,23f x f x ==-,只需统计11,23y y ==-与()y f x =的交点个数即可。
第22题 复合函数的零点问题I .题源探究·黄金母题【例1】设函数错误!未找到引用源。
(a 为常数且()0,1a ∈). 若0x 是()()ff x x -的零点但不是()f x x -的零点,则称0x 为()f x 的二阶周期点,求函数()f x 的二阶周期点.【答案】函数()f x 有且仅有两个二阶周期点,121a x a a =-++,2211x a a =-++.【解析】2222221,0,1(),,(1)(())1(),1,(1)1(1),1 1.(1)x x a a a x a x a a a f f x x a a x a a a x a a x a a ⎧≤≤⎪⎪⎪-<≤⎪-⎪=⎨⎪-<<-+-⎪⎪⎪--+≤≤-⎪⎩当20x a ≤≤时,由21x x a =解得0x =,由于()00f =,故0x =不是()f x 的二阶周期点; 当2a x a <≤时,由1()(1)a x x a a -=-解得21ax a a =-++2(,),a a ∈因222211()1111a a a f a a a a a a a a a =⋅=≠-++-++-++-++,故21ax a a =-++是()f x 的二阶周期点; 当21a x a a <<-+时,由21()(1)x a x a -=-解得12x a=-2(,1)a a a ∈-+,因111112122f a a a a⎛⎫⎛⎫=⋅-= ⎪ ⎪----⎝⎭⎝⎭故12x a =-不是精彩解读【试题来源】2013年高考江西卷改编. 【母题评析】本题以新定义的形式考查复合函数、分段函数的零点,难度较大.新定义(信息题)是近几年来高考的一个热点. 【思路方法】理解定义,写出复合函数的解析式,再利用函数与方程思想、分类分类讨论思想、数形结合思想解题.()f x 的二阶周期点;当211a a x -+≤≤时,1(1)(1)x x a a -=-解得211x a a =-++ 2(1,1)a a ∈-+,因22221111()(1)11111a f a a a a a a a a a =∙-=≠-++--++-++-++, 故211x a a =-++是()f x 的二阶周期点.综上:函数()f x 有且仅有两个二阶周期点,121a x a a =-++,2211x a a =-++. II .考场精彩·真题回放【例2】【2017年高考江苏卷】设()f x 是定义在R 且周期为1的函数,在区间[0,1)上,2,,(),,x x D f x x x D ⎧∈⎪=⎨∉⎪⎩ 其中集合1,*n D x x n n -⎧⎫==∈⎨⎬⎩⎭N ,则方程()lg 0f x x -=的解的个数是 ▲ .【答案】8【解析】由于()[0,1)f x ∈ ,则需考虑110x ≤< 的情况 在此范围内,x Q ∈且x ∈Z 时,设*,,,2qx p q p p=∈≥N ,且,p q 互质 若lg x Q ∈ ,则由lg (0,1)x ∈ ,可设*lg ,,,2nx m n m m=∈≥N ,且,m n 互质 因此10n mq p=,则10()nm q p = ,此时左边为整数,右边非整数,矛盾,因此lg x Q ∉因此lg x 不可能与每个周期内x D ∈对应的部分相等,只需【命题意图】本题主要考查复合函数的零点.本题能较好的考查学生的运算能力、动手作图能力以及观察能力等.【考试方向】这类试题在考查题型上,通常基本以选择题或填空题的形式出现,综合性强,难度大.【难点中心】解答此类问题,关键在于“抽茧剥丝”,把复合函数问题转化为单函数问题,准确作出函数图象,利用图象解决问题.考虑lg x 与每个周期x D ∉的部分的交点,画出函数图象,图中交点除()1,0外其它交点横坐标均为无理数,属于每个周期x D ∉的部分,且1x =处()11lg 1ln10ln10x x '==<,则在1x =附近仅有一个交点,一次方程解的个数为8.【例3】【2015年高考天津】已知函数()()22,2,2,2,x x f x x x ⎧-≤⎪=⎨->⎪⎩ 函数()()2g x b f x =-- ,其中b R ∈,若函数()()y f x g x =- 恰有4个零点,则b 的取值范围是 ( ) A .7,4⎛⎫+∞⎪⎝⎭ B .7,4⎛⎫-∞ ⎪⎝⎭ C .70,4⎛⎫ ⎪⎝⎭ D .7,24⎛⎫ ⎪⎝⎭【答案】D . 【解析】由()()22,2,2,2,x x f x x x -≤⎧⎪=⎨->⎪⎩得222,0(2),0x x f x x x --≥⎧⎪-=⎨<⎪⎩, 222,0()(2)42,0222(2),2x x x y f x f x x x x x x x ⎧-+<⎪∴=+-=---≤≤⎨⎪--+->⎩,即222,0()(2)2,0258,2x x x y f x f x x x x x ⎧-+<⎪=+-=≤≤⎨⎪-+>⎩()()()(2)y f x g x f x f x b=-=+--,所以()()y f x g x =-恰有4个零点等价于方程()(2)0f x f x b +--=有4个不同的解,即函数y b =与函数()(2)y f x f x =+-的图象的4个公共点,由图象可知724b <<. 864224681510551015III .理论基础·解题原理1.复合函数定义:设()y f t =,()t g x=,且函数()g x 的值域为()f t 定义域的子集,那么y 通过t 的联系而得到自变量x 的函数,称y 是x 的复合函数,记为()y f g x =⎡⎤⎣⎦.2.复合函数函数值计算的步骤:求()y g f x =⎡⎤⎣⎦函数值遵循“由内到外”的顺序,一层层求出函数值.例如:已知()()22,x f x g x x x ==-,计算()2g f ⎡⎤⎣⎦.3.已知函数值求自变量的步骤:若已知函数值求x 的解,则遵循“由外到内”的顺序,一层层拆解直到求出x 的值.例如:已知()2x f x =,()22g x x x =-,若()0g f x =⎡⎤⎣⎦,求x .【解析】令()t f x =,则()2020g t t t =⇒-=,解得0,2t t ==,当()0020xt f x =⇒=⇒=,则x ∈∅;当()2222x t f x =⇒=⇒=,则1x =.综上所述:1x =.由上例可得,要想求出()0g f x =⎡⎤⎣⎦的根,则需要先将()f x 视为整体,先求出()f x 的值,再求对应x 的解,这种思路也用来解决复合函数零点问题,先回顾零点的定义.4.函数的零点:设()f x 的定义域为D ,若存在0x D ∈,使得()00f x =,则称0x x =为()f x 的一个零点.5.复合函数零点问题的特点:考虑关于x 的方程()0g f x =⎡⎤⎣⎦根的个数,在解此类问题时,要分为两层来分析,第一层是解关于()f x 的方程,观察有几个()f x 的值使得等式成立;第二层是结合着第一层()f x 的值求出每一个()f x 被几个x 对应,将x 的个数汇总后即为()0g f x =⎡⎤⎣⎦的根的个数.IV .题型攻略·深度挖掘 【考试方向】这类试题在考查题型上,通常基本以选择题或填空题的形式出现,一般综合性强,难度大. 【技能方法】求解复合函数()y g f x =⎡⎤⎣⎦零点问题的技巧:(1)此类问题与函数图象结合较为紧密,在处理问题的开始要作出()(),f x g x 的图像(2)若已知零点个数求参数的范围,则先估计关于()f x 的方程()0g f x =⎡⎤⎣⎦中()f x 解的个数,再根据个数与()f x 的图像特点,分配每个函数值()i f x 被几个x 所对应,从而确定()i f x 的取值范围,进而决定参数的范围. 【易错指导】1.函数零点—忽视单调性的存在.例如:若函数f(x)在区间[-2,2]上的图象是连续不断的曲线,且f(x)在(-2,2)内有一个零点,则f(-2)·f (2)的值 ( ) A .大于0 B .小于0 C .等于0 D .不能确定解答:若函数f(x)在(-2,2)内有一个零点,该零点可分两种情况:(1)该零点是变号零点,则f(-2)·f (2)<0;(2)该零点是非变号零点,则f(-2)·f(2)>0,因此选D .易错警示: 警示1:错误认为该零点是变号零点;警示2:不知道非变号零点这种情况.方法剖析:方程的根或函数零点的存在性问题,可以根据区间端点处的函数值的正负来确定,但要确定零点的个数还需进一步研究函数在区间上的单调性,在给定的区间上,如果函数是单调的,它至多有一个零点,如果不是单调的,可继续细分出小的单调区间,再结合这些小的区间的端点处函数值的正负,作出正确判断.本题的解答错误在于没有正确理解函数零点的含义及存在性,事实上,当f(x)在(-2,2)内有一个零点时,f(-2)·f(2)的符号不能确定.2.要注意对于在区间[a ,b]上的连续函数f(x),若x 0是f(x)的零点,却不一定有f(a)·f(b)<0,即f(a)·f(b)<0仅是f(x)在[a ,b]上存在零点的充分条件,而不是必要条件. 注意以下几点:①满足零点存在性定理的条件的零点可能不唯一; ②不满足零点存在性定理条件时,也可能有零点.③由函数)(x f y =在闭区间[],a b 上有零点不一定能推出)(a f ·)(b f 0<,如图所示.所以)(a f ·)(b f 0<是)(x f y =在闭区间[],a b 上有零点的充分不必要条件.注意:①如果函数在区间[],a b 上的图象是连续不断的曲线,并且函数在区间[],a b 上是一个单()f x ()f x调函数,那么当)(a f ·)(b f 0<时,函数在区间),(b a 内有唯一的零点,即存在唯一的(,)c a b ∈,使0)(=c f .②如果函数在区间[],a b 上的图象是连续不断的曲线,并且有)(a f ·)(b f 0>,那么,函数在区间),(b a 内不一定没有零点.③如果函数在区间[],a b 上的图象是连续不断的曲线,那么当函数在区间),(b a 内有零点时不一定有)(a f ·)(b f 0<,也可能有)(a f ·)(b f 0>. V .举一反三·触类旁通【例1】【2018四川绵阳一诊】函数满足,且当时,.若函数的图象与函数(,且)的图象有且仅有4个交点,则的取值集合为( ) A .B .C .D .【答案】C【例2】【2018南宁高三毕业班摸底联考】设函数是定义在上的偶函数,且,当时,,若在区间内关于的方程(且)有且只有4个不同的根,则实数的取值范围是( ) A .B .C .D .【答案】D()f x ()f x ()f x ()f x ()f x【点睛】对于求不同类的两个函数构成的方程,我们常把方程变形为f(x)=g(x),然后根据y=f(x)与y=g(x)的两个图像交点个数来判断原方程根的个数.如本题把方程变形为,再画出两个函数的图像,根据两个图像有4个交点,求出参数a 的范围.【例3】【2018河南天一大联考】已知函数若关于的方程有3个实数根,则实数的取值范围是( ) A .B .C .D .【答案】D【解析】作图如下:因此要使方程有3个,实数的取值范围是,选D .【名师点睛】对于方程解的个数(或函数零点个数)问题,可利用函数的值域或最值,结合函数的单调性、草图确定其中参数范围.从图象的最高点、最低点,分析函数的最值、极值;从图象的对称性,分析函数的奇偶性;从图象的走向趋势,分析函数的单调性、周期性等.【例4】【2018广西桂林柳州高三综合模拟】已知函数()3log ,03{4,3x x f x x x <≤=->,若函数()()2h x f x m x =-+有三个不同的零点,则实数m 的取值范围是( )A .1,12⎛⎫⎪⎝⎭B .()1,1,2⎛⎫-∞⋃+∞ ⎪⎝⎭C .[)1,1,2⎛⎫-∞⋃+∞ ⎪⎝⎭D .1,12⎛⎤⎥⎝⎦【答案】AA (0,﹣2),B (3,1),C (4, 0),则g (x )的图象介于直线AB 和AC 之间,介于k AB <m <k AC ,可得12<m <1.故答案为:(12,1). 点睛:函数h (x )=f (x )﹣mx+2有三个不同的零点,即为f (x )﹣mx +2=0有三个不同的实根,可令y=f (x ),y =g (x )=mx ﹣2,分别画出y=f (x )和y=g (x )的图象,通过图象观察,结合斜率公式,即可得到m 的范围.【例5】【2018广东珠海一中等六校第一次联考】已知函数()()222,12{log 1,1x x f x x x +≤=->,则函数()()()322F x f f x f x =--的零点个数是( ) A .4 B .5 C .6 D .7 【答案】A【解析】解:令t=f (x ),F (x )=0,则f (t )﹣2t ﹣32=0,分别作出y=f(x)和直线y=2x+32,由图象可得有两个交点,横坐标设为t1,t2,则t1=0,1<t2<2,即有f(x)=0有一根;1<f(x)<2时,t2=f(x)有3个不等实根,综上可得F(x)=0的实根个数为4,即函数F(x)=f[f(x)]﹣2f(x)﹣32的零点个数是4.【名师点睛】本题关键是找出内外层函数的对应关系,找准一个t对应几个x.【例6】【2018安徽阜阳临泉一中上学期二模】已知,若关于的方程恰好有个不相等的实数根,则实数的取值范围是______________.【答案】令,则当时,方程有一解;当时,方程有两解;时,方程有三解∵关于的方程,恰好有4个不相等实数根∴关于的方程在和上各有一解∴,解得,故答案为【名师点睛】已知函数有零点求参数取值范围常用的方法和思路:①直接法:直接根据题设条件构建关于参数的不等式,再通过解不等式确定参数的范围;②分离参数法:先将参数分离,转化成求函数值域问题加以解决;③数形结合法:先对解析式变形,在同一平面直角坐标系中画出函数的图象,然后数形结合求解.【例7】【2018湖南株洲醴陵第二中学、醴陵第四中学高三上学期两校期中联考】已知函数()2log ,02{ 2,22x x f x x x x<<=+≥,若0<a <b <c ,满足f (a )=f (b )=f (c ),则()abf c 的范围为__.【答案】(1,2)0a b c <<<,满足()()()f a f b f c ==,22log log a b ∴-=,即1ab =,()21122c f c c c+==+,()112f c ∴<<,故()()112ab f c f c <=<,故答案为()12,. 【名师点睛】画出函数()f x 的图象,由图象可知有相等时的取值范围,这里2log x 由的图象和计算得1ab =,可以当作结论,这样三个未知数就只剩下c ,由反比例即可求出结果.【例8】【2018江西宜春丰城九中、高安二中、宜春一中、万载中学、樟树中学、宜丰中学六校联考】已知函数()ln 1||f x x =-, ()f x m -的四个零点1x , 2x , 3x , 4x ,且12341111k x x x x =+++,则()kf k e -的值是__________. 【答案】2e -【例9】【2018山西山大附中等晋豫名校第四次调研】已知函数()()21,0{11,0x x f x f x x -≤=-+>,把方程()0f x x -=的根按从小到大顺序排成一个数列,则该数列的前n 项和n S =__________.【答案】()12n n -【解析】当01x <≤时,有110x -<-≤,有()()1112x f x f x -=-+= , 当12x <≤时,有011x <-≤ ,有()()21121x f x f x -=-+=+ 当23x <≤时,有112x <-≤ ,有()()31122x f x f x -=-+=+ 当34x <≤时,有213x <-≤ ,有()()31123x f x f x -=-+=+依次类推,当()1n x n n N <≤+∈时,则()()1112x n f x f x n --=-+=+ ,所以()()12x n g x f x x n x --=-=+- ,故21n a n +=+ ,所以通项公式1n a n =-, ()12n n n S -=.【点睛】本题考查对分段函数的处理方法,分段函数要分段处理,根据分段函数的解析式找出各段函数的零点,从而得出各个零点与项数的关系,写出数列的通项公式,根据数列是特殊的等差数列,利用等差数列求和公式,求出数列的前n 项的和.【例10】【2018江苏南通如皋第一次联考】已知函数()211{52128lnx x xf x m x mx x +>=-++≤,,,,若()()g x f x m =-有三个零点,则实数m 的取值范围是________.【答案】714⎛⎤ ⎥⎝⎦,【例11】【2018齐鲁名校教科研协作体山东、湖北部分重点中学第一次调研】已知定义在R 上的函数()()2,0{1,0x x x f x ln x x +≤=+>,若函数()()()1g x f x a x =-+恰有2个零点,则实数a 的取值范围是_________.【答案】()1,1,1e ⎛⎫-∞-⋃ ⎪⎝⎭.【解析】数形结合,由直线()1y a x =+与曲线()y f x =的位置关系可得当()1,1,1a e ⎛⎫∈-∞-⋃ ⎪⎝⎭时有两个交点,即函数()y g x =恰有两个零点.【名师点睛】涉及函数的零点问题、方程解的个数问题、函数图像交点个数问题,一般先通过导数研究函数的单调性、最大值、最小值、变化趋势等,再借助函数的大致图象判断零点、方程根、交点的情况,归根到底还是研究函数的性质,如单调性、极值,然后通过数形结合的思想找到解题的思路.【例12】【2018江苏淮安盱眙中学第一次学情调研】已知函数()22f x x m =+的图象与函数()ln g x x =的图象有四个交点,则实数m 的取值范围为________. 【答案】1,ln22⎛⎫-∞-- ⎪⎝⎭【方法点睛】本题主要考查函数图象的交点、函数的零点、方程的根,属于难题.函数图象的交点、函数的零点、方程的根往往是“知一求二”,解答时要先判断哪个好求解就转化为哪个,判断函数()y f x =零点个数的常用方法:(1) 直接法: 令()0,f x =则方程实根的个数就是函数零点的个;(2) 零点存在性定理法:判断函数在区间[],a b 上是连续不断的曲线,且()()0,f a f b <再结合函数的图象与性质(如单调性、奇偶性、周期性、对称性) 可确定函数的零点个数;(3) 数形结合法:转化为两个函数的图象的交点个数问题,画出两个函数的图象,其交点的个数就是函数零点的个数,在一个区间上单调的函数在该区间内至多只有一个零点,在确定函数零点的唯一性时往往要利用函数的单调性,确定函数零点所在区间主要利用函数零点存在定理,有时可结合函数的图象辅助解题. 【跟踪练习】1.【2018辽宁庄河高中、沈阳二十中高三上学期第一次联考】函数()()()820{ 1022sin x x f x f x x π-≤=⎛⎫-> ⎪⎝⎭,则函数()()4log h x f x x =-的零点个数为( ) A .2个 B .3个 C .4个 D .5个 【答案】D()118sin24sin22222f x f x x x ππ⎡⎤⎛⎫⎛⎫=-=⨯--= ⎪ ⎪⎢⎥⎝⎭⎝⎭⎣⎦;当2x ππ<≤时, 022x ππ<-≤,据此可得:()114sin22sin22222f x f x x x ππ⎛⎫⎛⎫=-=⨯-=- ⎪ ⎪⎝⎭⎝⎭;当32x ππ<≤时, 22x πππ<-≤,据此可得: ()112sin2sin22222f x f x x x ππ⎡⎤⎛⎫⎛⎫=-=⨯--= ⎪ ⎪⎢⎥⎝⎭⎝⎭⎣⎦;当54x π=时, 55sin 2144f ππ⎛⎫⎛⎫=⨯= ⎪ ⎪⎝⎭⎝⎭, 而445log log 414π<=, 则函数4log y x =与函数()f x 在区间3,2ππ⎛⎫⎪⎝⎭上有2个交点, 很明显,当32x π>时,函数图象没有交点,绘制函数图象如图所示,观察可得: 函数()()4h x f x log x =-的零点个数为5个.【名师点睛】函数零点的求解与判断方法:(1)直接求零点:令f (x )=0,如果能求出解,则有几个解就有几个零点.(2)零点存在性定理:利用定理不仅要函数在区间[a ,b ]上是连续不断的曲线,且f (a )·f (b )<0,还必须结合函数的图象与性质(如单调性、奇偶性)才能确定函数有多少个零点.(3)利用图象交点的个数:将函数变形为两个函数的差,画两个函数的图象,看其交点的横坐标有几个不同的值,就有几个不同的零点.2.【2018江西上饶高三下学期一模】已知()f x 是定义域为()0,+∞的单调函数,若对任意的()0,x ∈+∞,都有()13log 4f f x x ⎡⎤+=⎢⎥⎣⎦,且方程()323694f x x x x a -=-+-+在区间(]0,3上有两解,则实数a 的取值范围是( )A .05a <≤B .5a <C .05a <<D .5a ≥ 【答案】A即有3213log 694x x x x a =-+-+在区间(]0,3上有两解,由()32694g x x x x a =-+-+,可得()23129g x x x =-+',当13x <<时, ()0g x '<, ()g x 递减;当01x <<时, ()0g x '>, ()g x递增. ()g x 在1x =处取得最大值a , ()04g a =-, ()34g a =-,分别作出13log y x =,和32694y x x x =-+-的图象,可得两图象只有一个交点()1,0,将32694y x x x =-+-的图象向上平移,至经过点()3,1,有两个交点,由()31g =,即41a -=,解得5a =,当05a <≤时,两图象有两个交点,即方程两解.故选A .3.【201甘肃兰州西北师范大学附属中学一调】若函数()3,0{ ,0xx e x f x e x x+≤=>,则方程()()330f f x e -=的根的个数为( ) A .1 B .2 C .3 D .4 【答案】C【解析】程()()33e f f x =的根的个数为3,故选C .【方法点睛】本题主要考查分段函数的解析式及图象、函数与方程思想、数形结合思想的应用,属于难题.数形结合是根据数量与图形之间的对应关系,通过数与形的相互转化来解决数学问题的一种重要思想方法,是中学数学四种重要的数学思想之一,尤其在解决选择题、填空题是发挥着奇特功效,大大提高了解题能力与速度.运用这种方法的关键是正确作出函数图象以及熟练掌握函数图象的几种变换.充分利用数形结合的思想方法能够使问题化难为简,并迎刃而解.4.【2018安徽滁州高三9月联合质量检测】已知()()11,011{ ,10x f x f x x x +<<-=-<≤,若方程()()200f x a x a a -+=≠有唯一解,则实数a 的取值范围是__________.【答案】1,3⎡⎫+∞⎪⎢⎣⎭由图可知: 13a ≤. 【名师点睛】根据函数零点求参数取值,也是高考经常涉及的重点问题,(1)利用零点存在的判定定理构建不等式求解;(2)分离参数后转化为函数的值域(最值)问题求解,如果涉及由几个零点时,还需考虑函数的图象与参数的交点个数;(3)转化为两熟悉的函数图象的上、下关系问题,从而构建不等式求解.5.【2018山西45校高三第一次联考】已知(),01,{ 11,1.x e x f x e x e x<≤=+-<≤若方程()f x kx e =+有且仅有3个实数解,则实数k 的取值范围是__________. 【答案】211,4e e -⎛⎤-⎥⎝⎦之间时, y kx e =+图象与()y f x =的图象有三个交点,设()00,B x y .由2111'e x x ⎛⎫+-=-⎪⎝⎭,可得切线AB: ()02001110y e x x x ⎛⎫-+-=--⎪⎝⎭,解得02x =,故14AB k =-,又2111ACe ee e k e e+---==,所以当方程()f x kx e =+在(]0,e 上有三个实数解,实数k 的取值范围为211,4e e -⎛⎤-⎥⎝⎦. 【名师点睛】根据函数零点求参数取值,也是高考经常涉及的重点问题, (1)利用零点存在的判定定理构建不等式求解;(2)分离参数后转化为函数的值域(最值)问题求解,如果涉及由几个零点时,还需考虑函数的图象与参数的交点个数;(3)转化为两熟悉的函数图象的上、下关系问题,从而构建不等式求解.6.【2018齐鲁名校教科研协作体山东、湖北部分重点中学第一次调研】已知()2,0{2,0lnx x f x x x x ->=+≤,若()=f x a 有4个根1234,,,x x x x ,则1234x x x x +++的取值范围是________________.【答案】10,2e e ⎛⎫+- ⎪⎝⎭【解析】因为1234342x x x x x x +++=-++,所以,故答案为10,2e e ⎛⎫+- ⎪⎝⎭. 7.【2018河郑州一中模拟】已知函数()222,0{2,0x x x f x x x x -+≥=-<,若关于x 的不等式()()220fx a f xb ⎡⎤+-<⎣⎦恰有1个整数解,则实数a 的取值范围是__________.【答案】38a <≤【解析】画出()f x 的图象如图所示当()0f x =时,得x 0=或x 2=此时()()220f x af x b ⎡⎤+-<⎣⎦化为, 20b -< 若b 0≠,则此时有两解x 0=或x 2=,违背题意, 故b 0=此时()()a 0f x f x ⎡⎤+<⎣⎦若a 0>,则关于的不等式()a 0f x -<<恰有一个整数解. 结合图象可知()()33{48a f a f -<=--≥=-,可得3a 8<≤若a 0<,则关于的不等式()0a f x <<-恰有一个整数解. 结合图象可知()()11{13a f a f ->=-≤-=,可得3a 1-≤<-综上, 3a 13a 8-≤<-<≤或.8.【2018江苏南京高三数学上学期期初学情调研】已知函数()22,0{,313,0x x f x x x ≤=--+>若存在唯一的整数x ,使得()0f x a x->成立,则实数a 的取值范围为______.【答案】[0,2]∪[3,8]满足()00f x a x ->-符合题意,当8a >时,至少存在两点()()()()1,1,2,2f f ----满足()00f x a x ->-不合题意,故答案为[][]0,23,8⋃【名师点睛】对于方程解的个数(或函数零点个数)问题,可利用函数的值域或最值,结合函数的单调性、草图确定其中参数范围.从图象的最高点、最低点,分析函数的最值、极值;从图象的对称性,分析函数的奇偶性;从图象的走向趋势,分析函数的单调性、周期性等 9.【2018浙江温州一模】已知函数有六个不同零点,且所有零点之和为3,则的取值范围为__________. 【答案】单调递增,且取值范围是,当时,函数的导函数,考虑到是上的单调递增函数,且,于是在上有唯一零点,记为,进而函数在上单调递减,在上单调递增,在处取得极小值,如图:接下来问题的关键是判断与的大小关系,注意到,,函数,在上与直线有个公共点,的取值范围是,故答案为.10.【2018湖南永州高三上学期一模】定义函数()()(),{,f x x a h x g x x a≤=>,()f x x =, ()224g x x x =--,若存在实数b 使得方程()0h x b -=无实数根,则实数a 的取值范围是__________. 【答案】()(),54,-∞-⋃+∞【解析】11.【2018河北石家庄二中八月高三模拟】已知()22,{ 2,x x af x x x a -≥=+<,若函数()1lng x f x a x ⎛⎫=+- ⎪⎝⎭有零点,则实数a 的取值范围是__________. 【答案】[][)1,23,-⋃+∞ 【解析】设()1h ln x x x =+,则()21h?x x x-=,所以()h x 在()0,1上单调递减,在()1∞+,上单调递增,所以()()h h 11x ≥=且x ∞→+, ()h x ∞→+,故问题转化为方程()f x a =在)[1 ∞+,上有解,(1)若a 1≤,则)x [1 ∞∈+,时, ()()2211a 12f x x =-≥--≤≤,所以;若a 1>,则)x [1 a ∈,时, ()2f x x =+,此时322x a ≤+<+.由a 1>及32a a ≤<+可得a 3≥;当)x [ a ∞∈+,时,()2222f x x a =-≥-,由a 1>及2a 2a ≥-可得1a 2<≤,综上可得: 1a 2-≤≤或a 3≥ 故答案为: [][)1,23,-⋃+∞【名师点睛】已知函数有零点求参数取值范围常用的方法和思路(1)直接法:直接根据题设条件构建关于参数的不等式,再通过解不等式确定参数范围;(2)分离参数法:先将参数分离,转化成求函数值域问题加以解决;(3)数形结合法:先对解析式变形,在同一平面直角坐标系中,画出函数的图象,然后数形结合求解. 12.【2018广东茂名高三五大联盟学校9月份联考】若函数至少有3个零点,则实数的取值范围是__________. 【答案】【解析】【名师点睛】本题的求解过程体现了数形结合的数学思想的巧妙运用,求解时先在同一平面直角坐标系中画出两个函数的图像,进而借助图像的直观建立不等式,进而通过解不等式求出参数的取值范围.13.【2018山东齐河晏婴学校一模】已知()1x f x e =-,又()()()()2g x f x tf x t R =-∈,若满足()1g x =-的x 有三个,则t 的取值范围是__________.【答案】()2,+∞【解析】由题意作函数()1xf x e =-的图象:【名师点睛】本题考查方程根的个数问题的转化,一元二次方程根的分布问题,以及换元法的应用,考查数形结合思想,转化思想;由题意作函数()1xf x e =-的图象,令()m f x =,由图求出m 的范围,代入方程()1g x =-化简,由条件和图象判断出方程的根的范围,由一元二次方程根的分布问题列出不等式,求出t 的取值范围.14.【2018浙江名校协作体上学期考试】已知函数()()22,0{ ,14,0x x f x xln x x +>=-+≤则关于x 的方程()246f x x -=的不同实根的个数为________.【答案】4个【解析】函数 ()f x 图像如图所示, ()22424t x x x =-=-- ,由图15.【2018河南郑州一中模拟】已知函数()f x 满足()()22f x f x +-=,当(]0,1x ∈时, ()2f x x = ,当(]1,0x ∈-时,()()221f x fx +=+,若定义在()1,3-上的函数()()()1g x f x t x =-+有三个不同的零点,则实数t 的取值范围是__________. 【答案】()0,627-【解析】当(]1,0011x x ∈-⇒<+≤时,则()11f x x +=+,故()221f x x =-+;当(]1,2021x x ∈⇒≤-<时,则()()222f x x -=-,故()()222f x x =--;当()2,3120x x ∈⇒-<-<时,则()()()()2222224213f x f x f x f x⎡⎤⎢⎥=--=--=-⎢⎥-+-⎣⎦,又因为()2,3031x x ∈⇒<-<,所以()33fx x -=-,则()224433f x x x =-=+--.所以()222+1{ 2(243xx x f x x -=-+-,(](](](),1,0,0,1,1,2,2,3x x x x ∈-∈∈∈,画出函【名师点睛】解答本题的关键是充分运用题设条件先将函数()y f x =在区间()1,3-上的解析表达式求出来,再画出其图像数形结合,从而将问题转化为方程()()()2212242=0t x x x t x t +=--⇒+-++有唯一解,可求得627t =-,通过数形结合,求得当0627t <<-时,函数()y f x =在区间()1,3-上的图像与直线()1y t x =+的图像有且只有三个不同的交点,即定义在()1,3-上的函数()()()1g x f x t x =-+有三个不同的零点. 16.【2018江苏南京师范大学附属中学模拟】函数()()()({ 4x x x t f x xx t ≤=>其中0t >,若函数()()1g x f f x ⎡⎤=-⎣⎦有6个不同的零点,则实数t 的取值范围是__________.【答案】()3,4【解析】314{ 34127t t t<⇒<<>时,两直线1,1y t y =+=与函数()y f x =共有六个不同交点,应填答案()3,4. 【名师点睛】解答本题的关键关节有两个:其一是将函数的零点问题进行等价转化;其二是要巧妙运用数形结合思想建立不等式组.求解时还要综合运用导数知识确定函数的极值点和极值.灵活运用所学知识和重要是数学思想进行分析问题和解决问题是本题一大特征,体现了数学思想在解决数学问题中四两拨千斤的功能.。
复合函数方程有解或根的个数问题类型一、(())=k f g x 或(())=k g f x方法:设()=t g x ,则()=k g t ,由()=k g t 求出t 的值或范围,然后结合图象由=y t 和y ()=g x 的交点个数即可。
例1(2019甘肃二诊文12)函数y =f (x )的图象关于直线x =2对称,如图所示,则方程(f(x ))2﹣5f (x )+6=0的所有根之和为( )A .8B .6C .4D .2例2.已知函数)(x f ,x ∈[﹣2,2]的图象如图,y =g (x )的图象如图,若函数y =f (g (x ))与y =g (f (x ))的零点个数分别为m ,n ,则m +n 的值是( )A .5B .6C .9D .12例3.已知函数()2,04sin ,0π⎧≤=⎨<≤⎩x x f x x x ,则集合{|(())0}==M x f f x 中元素的个数是( ) A .2 B .3 C .4 D .5例4.(2009•福建)函数2()(0)f x ax bx c a =++≠的图象关于直线2b x a=-对称.据此可推测,对任意的非零实数a ,b ,c ,m ,n ,p ,关于x 的方程2[()]()0m f x nf x p ++=的解集都不可能是( )A .{1,2}B .{1,4}C .{1,2,3,4}D .{1,4,16,64}例5.已知函数()243f x x x =-+,若方程()()20f x bf x c ++=⎡⎤⎣⎦恰有七个不相同的实根,则实数b 的取值范围是( )A .()2,0-B .()2,1--C .()0,1D .()0,2巩固练习:1.(1)已知函数()24=-f x x x ,若方程()()2-32=0+⎡⎤⎣⎦f x f x 的实根个数,(2)已知函数()24=-f x x x ,若方程()()22-32=0+⎡⎤⎣⎦f x af x a 的实根个数, 2.已知函数()y f x =和()y g x =在[]2,2-的图像如下,给出下列四个命题:(1)方程()0f g x =⎡⎤⎣⎦有且只有6个根 (2)方程()0g f x =⎡⎤⎣⎦有且只有3个根(3)方程()0f f x =⎡⎤⎣⎦有且只有5个根(4)方程()0g g x =⎡⎤⎣⎦有且只有4个根 则正确命题的个数是( )A .1B .2C .3D .43.设集合A=[0,1),B=[1,2],已知函数⎩⎨⎧∈-∈+=B x x A x x x f ,241)(,,若A x ∈0且A x f f ∈))((0,则0x 的取值范围是( )A. ]2141,(B.]121,(C. )2141,( D .),(1214.(2019•西湖区校级模拟)函数||()(0,1)x b f x a a a -=>≠的图象关于直线x b =对称,据此可推测,对于任意的非零实数a ,b ,m ,n ,p ,关于x 的方程2[()]()0m f x nf x p ++=的解集不可能是( )A .{1,2}B .{1,4}C .{1,2,3,4}D .{1,4,16,64}5.(2015•南充模拟)已知函数1||,0()0,0x x f x x x ⎧+≠⎪=⎨⎪=⎩,则关于x 的方程2()()0f x bf x c ++=有5个不同实数解的充要条件是( )A .2b <-且0c >B .2b >-且0c <C .2b <-且0c =D .2b -且0c =6.(2005•上海)设定义域为R 的函数||1||,1()0,1lg x x f x x -≠⎧=⎨=⎩,则关于x 的方程2()()0f x bf x c ++=有7个不同的实数解得充要条件是( )A .0b <且0c >B .0b >且0c <C .0b <且0c =D .0b 且0c =7.(2018•长安区二模)已知函数11,1|1|()3,1x x f x x ⎧+≠⎪-=⎨⎪=⎩关于x 的方程2()()0f x bf x c ++=有3个不同的实数解1x ,2x ,3x ,则123(())f f x x x ++的值为( )A .12B .32C .2D .38.(2015秋•上海校级月考)设定义域为R 的函数1(1)|1|()1(1)x x f x x ⎧≠⎪-=⎨⎪=⎩,若关于x 的方程2()()0f x bf x c ++=有5个不同的实数解,则b c +值为( )A .0B .1C .1-D .不能确定9.(2014•泉州模拟)设定义在R 上的函数1,3|3|()1,3x x f x x ⎧≠⎪-=⎨⎪=⎩,若关于x 的方程2()()0f x af x b ++=有5个不同实数解,则实数a 的取值范围是( )A .(0,1)B .(,1)-∞-C .(1,)+∞D .(-∞,2)(2--⋃,1)-10.(2011•柳州一模)设函数22,0()21,0x x f x x x x ⎧=⎨-+>⎩若关于x 的方程2()()f x af x =恰有三个不同的实数解,则实数a 的取值范围为( )A .(,0)-∞B .(0,1)C .[0,1]D .(1,)+∞11.(2018秋•青羊区校级期中)设函数22,0()log ,0x x f x x x ⎧⎪=⎨>⎪⎩若关于x 的方程2(())([()]1)0f x a f x --=恰有四个不同的实数解,则实数a 的取值范围为( )A .(0,1)B .(-∞,0)(1⋃,)+∞C .(-∞,0](1,)+∞D .(-∞,1)(1--⋃,0](1,)+∞12.(2013秋•青羊区校级期中)已知函数1,0(),0x x f x lnx x +⎧=⎨>⎩,则函数[()1]y f f x =+的零点个数( ) A .2 B .3 C .4 D .513.(2012•荆州模拟)已知()f x 为偶函数,当0x 时,2()(1)1f x x =--+,满足[f f (a )1]2=的实数a 的个数为( )A .2B .4C .6D .814.(2019•陕西二模)已知函数2,0()(1),0x e x f x x x ⎧=⎨->⎩,又函数2()()()1()g x f x tf x t R =++∈有4个不同的零点,则实数t 的取值范围是( )A .(,2)-∞-B .(2,)+∞C .(2,2)-D .(2,4)15.(2019•长沙一模)已知()|1|1x f x e =-+,若函数2()[()](2)()2g x f x a f x a =+--有三个零点,则实数a 的取值范围是( )A .(2,1)--B .(1,0)-C .(0,1)D .(1,2)16.(2016•绍兴二模)已知函数21,0()21,0x x f x x x x +⎧=⎨-+>⎩,若关于x 的方程2()()0f x af x -=恰有5个不同的实数解,则a 的取值范围是 .17.(2011•鼓楼区校级模拟)设定义在R 上的函数1,1|1|()1, 1.x x f x x ⎧≠⎪-=⎨⎪=⎩若关于x 的方程2()()0f x bf x c ++=有3个不同的实数解1x ,2x ,3x ,则123x x x ++= .18.(2011•重庆模拟)已知函数()||3f x x =-,关于x 的方程2()4|()|0f x f x k -+=恰有8个不同的实根,则实数k 的取值范围是 .19.(2015•上海二模)设定义域为R 的函数,若关于x 的函数2||,0()2,0lgx x f x x x x >⎧=⎨--⎩,若关于x 的函数22()2()1y f x bf x =++有8个不同的零点,则实数b 的取值范围是 .。
第12炼 复合函数零点问题一、基础知识:1、复合函数定义:设()y f t =,()t g x =,且函数()g x 的值域为()f t 定义域的子集,那么y 通过t 的联系而得到自变量x 的函数,称y 是x 的复合函数,记为()y f g x =⎡⎤⎣⎦2、复合函数函数值计算的步骤:求()y g f x =⎡⎤⎣⎦函数值遵循“由内到外”的顺序,一层层求出函数值。
例如:已知()()22,x f x g x x x ==-,计算()2g f ⎡⎤⎣⎦ 解:()2224f == ()()2412g f g ∴==⎡⎤⎣⎦3、已知函数值求自变量的步骤:若已知函数值求x 的解,则遵循“由外到内”的顺序,一层层拆解直到求出x 的值。
例如:已知()2xf x =,()22g x x x =-,若()0g f x =⎡⎤⎣⎦,求x解:令()t f x =,则()2020g t t t =⇒-=解得0,2t t ==当()0020xt f x =⇒=⇒=,则x ∈∅当()2222xt f x =⇒=⇒=,则1x =综上所述:1x =由上例可得,要想求出()0g f x =⎡⎤⎣⎦的根,则需要先将()f x 视为整体,先求出()f x 的值,再求对应x 的解,这种思路也用来解决复合函数零点问题,先回顾零点的定义: 4、函数的零点:设()f x 的定义域为D ,若存在0x D ∈,使得()00f x =,则称0x x =为()f x 的一个零点5、复合函数零点问题的特点:考虑关于x 的方程()0g f x =⎡⎤⎣⎦根的个数,在解此类问题时,要分为两层来分析,第一层是解关于()f x 的方程,观察有几个()f x 的值使得等式成立;第二层是结合着第一层()f x 的值求出每一个()f x 被几个x 对应,将x 的个数汇总后即为()0g f x =⎡⎤⎣⎦的根的个数6、求解复合函数()y g f x =⎡⎤⎣⎦零点问题的技巧:(1)此类问题与函数图象结合较为紧密,在处理问题的开始要作出()(),f x g x 的图像 (2)若已知零点个数求参数的范围,则先估计关于()f x 的方程()0g f x =⎡⎤⎣⎦中()f x 解的个数,再根据个数与()f x 的图像特点,分配每个函数值()i f x 被几个x 所对应,从而确定()i f x 的取值范围,进而决定参数的范围 复合函数: 二、典型例题例1:设定义域为R 的函数()1,111,1x x f x x ⎧≠⎪-=⎨⎪=⎩,若关于x 的方程()()20f x bf x c ++=由3个不同的解123,,x x x ,则222123x x x ++=______ 思路:先作出()f x 的图像如图:观察可发现对于任意的0y ,满足()0y f x =的x 的个数分别为2个(000,1y y >≠)和3个(01y =),已知有3个解,从而可得()1f x =必为()()20f x bf x c ++=的根,而另一根为1或者是负数。
专题七 复合函数的零点问题一、确定复合函数零点的个数或方程解的个数 【例题选讲】A .3B .7C .10 D.14(2)关于x 的方程(x 2-1)2-3|x 2-1|+ ) A .3 B .4 D .8答案 C 解析 可将|x 2-1|t 2-3t +2=0可解得,t =1或t =2,则只需作出t (x )=|x 2-1|5个.(3)已知f (x )=⎩⎪⎨⎪⎧|lg x |,x >0,2|x |,x ≤0,则函数y =2[f (x )]2-3f (x )+1的零点个数是________.答案 5 解析 由2[f (x )]2-3f (x )+1=0得f (x )=12或f (x )=1,作出函数y =f (x )的图象.由图象知y =12与y =f (x )的图象有2个交点,y =1与y =f (x )的图象有3个交点.因此函数y =2[f (x )]2-3f (x )+1的零点有5个.(4)已知定义在R 上的奇函数,当x >0时,f (x )=⎩⎪⎨⎪⎧2|x -1|-1,0<x ≤2,12f (x -2),x >2,则关于x 的方程6f 2(x )-f (x )-1=0的实数根个数为( )A .6B .7C .8D .9答案 B 解析 已知方程6f 2(x )-f (x )-1=0可解,得f 1(x )=12,f 2(x )=-13,只需统计y =12,y =-13与y =f (x )的交点个数即可.由奇函数可先做出x >0的图像,x >2时,f (x )=12f (x -2),则x ∈(2,4]的图像只需将x ∈(0,2]的图像纵坐标缩为一半即可.正半轴图像完成后可再利用奇函数的性质作出负半轴图像.通过数形结合可得共有7个交点.(5)若函数f (x )=x 3+ax 2+bx +c 有极值点x 1,x 2,且f (x 1)=x 1,则关于的方程3f 2(x )+2af (x )+b =0的不同实根的个数是( )A .3B .4C .5D .6答案 A 解析 f ′(x )=3x 2+2ax +b 由极值点可得,x 1,x 2为3x 2+2ax +b =0①的两根,观察到方程①与3f 2(x )+2af (x )+b =0结构完全相同,所以可得3f 2(x )+2af (x )+b =0的两根为f 1(x )=x 1,f 2(x )=x 2,其中f 1(x )=x 1,若x 1<x 2,可判断出x 1是极大值点,x 2是极小值点.且f 2(x )=x 2> x 1=f 1(x ),所以y =f 1(x )与f (x )有两个交点,而f 2(x )与f (x )有一个交点,共计3个;若x 1>x 2,可判断出x 1是极小值点,x 2是极大值点.且f 2(x )=x 2<x 1=f 1(x ),所以y =f 1(x )与f (x )有两个交点,而f 2(x )与f (x )有一个交点,共计3个.综上所述,共有3个交点.[题后悟通] 确定复合函数零点的个数或方程解的个数问题:关于复合函数y =f (g (x ))的零点的个数或方程解的个数问题,先换元解套,令t =g (x ),则y =f (t ),再作出y =f (t )与t =g (x )的图像.由y =f (t )的图象观察有几个t 的值满足条件,结合t 的值观察t =g (x )的图象,求出每一个t 被几个x 对应,将x 的个数汇总后即为y =f (g (x ))的根的个数,即“从外到内”.此法称为双图象法(换元法+数形结合).图1图2【对点训练】1.已知函数y =f (x )和y =g (x )在[-2,2]的图像如下,给出下列四个命题: (1)方程f [g (x )]=0有且只有6个根;(2)方程g [f (x )]=0有且只有3个根; (3)方程f [f (x )]=0有且只有5个根;(4)方程g [g (x )]=0有且只有4个根.则正确命题的个数是( )A .1B .2C .3D .41.答案 C 解析 每个方程都可通过图像先拆掉第一层,找到内层函数能取得的值,从而统计出x 的总 数.(1)中可得g 1(x )∈(-2,-1),g 2(x )=0,g 3(x )∈(1,2),进而g 1(x )有2个对应的x ,g 2(x )有2个,g 3(x )有2个,总计6个,(1)正确;(2)中可得f 1(x )∈(-2,-1),f 2(x )∈(0,1),进而f 1(x )有1个对应的x ,f 2(x )有3个,总计4个,(2)错误;(3)中可得f 1(x )∈(-2,-1),f 2(x )=0,f 3(x )∈(1,2),进而f 1(x )有1个对应的x ,f 2(x )有3个,f 3(x )有1个,总计5个,(3)正确;(4)中可得g 1(x )∈(-2,-1),g 2(x )∈(0,1),进而g 1(x )有2个对应的x ,g 2(x )有2个,共计4个,(4)正确.则综上所述,正确的命题共有3个.2.已知f (x )=3 0|lg()| 0x x x x ⎧≥⎨-<⎩则函数y =2f 2(x )-3f (x )的零点个数为________.2.答案 5 解析 令y =2f 2(x )-3f (x )=0,则f (x )=0或f (x )=32.函数f (x )=3 0|lg()| 0x x x x ⎧≥⎨-<⎩的图象如图所示:由图可得,f (x )=0有2个根,f (x )=32有3个根,故函数y =2f 2(x )-3f (x )的零点个数为5.3.设定义域为R 的函数f (x )=⎩⎪⎨⎪⎧1|x -1|,x ≠1,1,x =1,若关于x 的方程f 2(x )+bf (x )+c =0有3个不同的解x 1,x 2,x 3,则x 12+x 22+x 32=________.3.答案 5 解析 先作出f (x )的图像如图,观察可发现对于任意的t ,满足t =f (x )的x 的个数分别为2个 (t >0,t ≠1)和3个(t =1),已知有3个解,从而可得f (x )=1必为f 2(x )+bf (x )+c =0的根,而另一根为1或者是负数.所以f (x i )=1,可解得,x 1=0,x 2=1,x 3=2.所以x 12+x 22+x 32=5.4.已知函数f (x )=⎩⎪⎨⎪⎧x +1,x ≤0,log 2x ,x >0,则函数y =f (f (x ))+1的零点个数是( )A .4B .3C .2D .14.答案 A 解析 由f (f (x ))+1=0,得f (f (x ))=-1,由f (-2)=f ⎝⎛⎭⎫12=-1,得f (x )=-2或f (x )=12.若f (x ) =-2,则x =-3或x =14;若f (x )=12,则x =-12或x =2.综上可得函数y =f (f (x ))+1的零点个数是4.故选A .5.已知函数f (x )=⎩⎪⎨⎪⎧ax +1,x ≤0,log 2x ,x >0,,则下列关于函数y =f (f (x ))+1的零点个数判断正确的是( )A .当a >0时,有4个零点;当a <0时,有1个零点B .当a >0时,有3个零点;当a <0时,有2个零点C .无论a 为何值,均有2个零点D .无论a 为何值,均有4个零点5.答案 A 解析 所求函数的零点,即方程f (f (x ))=-1的解的个数,令t =f (x ),先作出y =f (t )的图像, 直线y =ax +1为过定点(0,1)的一条直线,但需要对a 的符号进行分类讨论.当a >0时,如图1所示,先拆外层可得t 1=-2a <0,t 2=12,如图2所示,而t 1有两个对应的x ,t 2也有两个对应的x ,共计4个;当a <0时,如图3所示,先拆外层可得t =12,如图4所示,t =12只有一个满足的x ,所以共1个零点.结合选项,可判断出A 正确.图1(a >0)图2(a >0)t6.已知[x ]表示不超过x 的最大整数,当x ∈R 时,称y =[x ]为取整函数,例如[1.6]=1,[-3.3]=-4,若f (x )=[x ],g (x )的图象关于y 轴对称,且当x ≤0时,g (x )=-x 2-2x ,则方程f (f (x ))=g (x )解的个数为( ) A .1 B .2 C .3 D .46.答案 D 解析 根据已知条件可知,当x >0时,-x <0,又函数g (x )的图象关于y 轴对称,故g (x )为 偶函数,所以g (x )=g (-x )=-(-x +1)2+1=-(x -1)2+1.由f (x )=[x ],得f (f (x ))=[x ].在同一平面直角坐标系中画出y =f (f (x ))与y =g (x )的图象如图所示,由图象知,两个图象有4个交点,交点的纵坐标分别为1,0,-3,-4,当x ≥0时,方程f (f (x ))=g (x )的解是0和1;当x <0时,g (x )=-(x +1)2+1=-3得x =-3,由g (x )=-(x +1)2+1=-4得x =-1-5.综上,f (f (x ))=g (x )的解的个数为4.7.若函数f (x )=x 3+ax 2+bx +c 有极值点x 1,x 2,且f (x 1)=x 1,则关于x 的方程3f 2(x )+2af (x )+b =0的不 同实根的个数是( )A .3B .4C .5D .67.答案 A 解析 f ′(x )=3x 2+2ax +b ,由极值点定义可得,x 1,x 2为3x 2+2ax +b =0 ①的两根,观察 到方程①与3f 2(x )+2af (x )+b =0结构完全相同,可得3f 2(x )+2af (x )+b =0的两根为f 1(x )=x 1,f 2(x )=x 2,其中f (x 1)=x 1.若x 1<x 2,可判断出x 1是极大值点,x 2是极小值点,且f 2(x )=x 2>x 1=f (x 1),所以y =f 1(x )的图象与y =f (x )的图象有两个交点,而y =f 2(x )的图象与y =f (x )的图象有一个交点,共计3个交点(如图(1)所示);若x 1>x 2,可判断出x 1是极小值点,x 2是极大值点,且f 2(x )=x 2<x 1=f (x 1),所以y =f 1(x )的图象与y =f (x )的图象有两个交点,而y =f 2(x )的图象与y =f (x )的图象有一个交点,共计3个交点(如图(2)所示).综上所述,共有3个交点.故选A .二、已知函数零点的个数,求参数的取值范围 【例题选讲】图3(a <0)图4(a <0)t[例2](1)已知函数f (x )=x 3-3x 2+1,g (x )=⎩⎪⎨⎪⎧(x -12)2+1,x >0,-(x +3)2+1,x ≤0,,则方程g [f (x )]-a =0(a 为正实数)的实数根最多有______个.答案 6 解析 先通过分析t =f (x ),y =g (t )的性质以便于作图,f ′(x )=3x 2-6x =3x (x -2),从而f (x )在(-∞,0),(2,+∞)单增,在(0,2)单减,且f (0)=1,f (2)=-3,y =g (t )为分段函数,作出每段图像即可,如图所示,若要实数根最多,则要优先选取t =f (x )能对应x 较多的情况,由t =f (x )图像可得,当t ∈(-3,1)时,每个t 可对应3个x .只需判断g (t )=a 中,t 能在(-3,1)取得的值的个数即可,观察y =g (t )图像可得,当a ∈(1,54)时,可以有2个t ∈(-3,1),从而能够找到6个根,即最多的根的个数.(2)已知函数f (x )=|x 2-4x +3|,若方程[f (x )]2+bf (x )+c =0恰有七个不相同的实根,则实数b 的取值范围是( )A .(-2,0)B .(-2,-1)C .(0,1)D .(0,2)答案 B 解析 考虑通过图像变换作出t =f (x )的图像(如图),因为[f (x )]2+bf (x )+c =0最多只能解出2个f (x ),若要出七个根,则t 1=1,t 2∈(0,1),所以-b =t 1+t 2∈(1,2),解得b ∈(-2,-1).(3)已知函数f (x )=⎩⎪⎨⎪⎧|lg (-x )|,x <0,x 3-6x +4,x ≥0,若关于x 的函数y =f 2(x )-bf (x )+1有8个不同的零点,则实数b 的取值范围为( )A .(2,8)B .[2,174)C .(2,174] D .(2,8]分析 本题应先求方程t 2-bt +1=0的根,设为t 1,t 2,再根据t 1=f (x ),t 2=f (x )的解的个数确定函数y =f 2(x )-bf (x )+1的零点个数.已知函数y =f 2(x )-bf (x )+1有8个不同的零点,先确定两个实数t 的范围,再转化为一元二次方程t 2-bt +1=0根的分布问题来解决.答案 C 解析 因为函数f (x )=⎩⎪⎨⎪⎧|lg (-x )|,x <0,x 3-6x +4=(x -2)(x 2+2x -2),x ≥0,作出f (x )的简图,如图所示.由图象可得,f (x )在(0,4]上任意取一个值,都有四个不同的x 值与之对应.再结合题中函数y =f 2(x )-bf (x )+1有8个不同的零点,可得关于t 的方程t 2-bt +1=0有两个不同的实数根t 1,t 2,且0<t 1≤4,0<t 2≤4,所以⎩⎪⎨⎪⎧Δ=b 2-4>0,0<b 2<4,0-b ×0+1>0,42-4b +1≥0,解得2<b ≤174.归纳总结 本题结合图象可知,一元二次方程t 2-bt +1=0的两个根0<t 1≤4,0<t 2≤4,结合二次函数图象的特点可知,对称轴0<b2<4,且Δ>0,另外t =0时的函数值为正,t =4时的函数值非负.当涉及二次方程根的分布问题时,一般结合图象从判别式、对称轴位置以及特殊点函数值的符号来讨论.(4)已知函数f (x )=⎩⎪⎨⎪⎧a ·2x,x ≤0,log 12x ,x >0.若关于x 的方程f (f (x ))=0有且仅有一个实数解,则实数a 的取值范围是________.答案 (-∞,0)∪(0,1) 解析 若a =0,当x ≤0时,f (x )=0,故f (f (x ))=f (0)=0有无数解,不符合题意,故a ≠0.显然当x ≤0时,a ·2x ≠0,故f (x )=0的根为1,从而f (f (x ))=0有唯一根,即为f (x )=1有唯一根,而x >0时,f (x )=1有唯一根12,故a ·2x =1在(-∞,0]上无根.当a ·2x =1在(-∞,0]上有根时,可得a =12x ≥1,故由a ·2x =1在(-∞,0]上无根可知a <0或0<a <1. (5)已知函数f (x )=-x 2-2x ,g (x )=⎩⎪⎨⎪⎧x +14x ,x >0,x +1,x ≤0.若方程g (f (x ))-a =0有4个不同的实数根,则实数a 的取值范围是________.答案 ⎣⎡⎭⎫1,54 解析 令f (x )=t ,则原方程化为g (t )=a ,易知方程f (x )=t 在(-∞,1)上有2个不同的解,则原方程有4个解等价于函数y =g (t )(t <1)与y =a 的图象有2个不同的交点,作出函数y =g (t )(t <1)的图象如图,由图象可知,当1≤a <54时,函数y =g (t )(t <1)与y =a 有2个不同的交点,即所求a 的取值范围是⎣⎡⎭⎫1,54.(6)已知函数f (x )=|x |e x ,若关于x 的方程f 2(x )-mf (x )+m -1=0恰有4个不相等的实数根,则实数m 的取值范围是( )A .(1e ,2)∪(2,e)B .(1e ,1)C .(1,1+1e )D .(1e,e)答案 C 解析 f (x )=⎩⎨⎧xe x,x ≥0,-xe x,x <0,分析t =f (x )的图像以便于作图,x ≥0时,f ′(x )=(1-x )e -x ,从而f (x )在(0,1)单调递增,在(1,+∞)单调递减,f (1)=1e ,且当x →+∞,y →0,所以x 正半轴为水平渐近线;当x <0时,f ′(x )=(x -1)e -x ,所以f (x )在(-∞,0)单调递减.由此作图,从图像可得,若恰有4个不等实根,则关于f (x )的方程f 2(x )-mf (x )+m -1=0中,t 1∈(0,1e ),t 2∈(1e ,+∞),从而将问题转化为根分布问题,则t 2-mt +m -1=0的两根t 1∈(0,1e ),t 2∈(1e,+∞),设g (t )=t 2-mt +m -1,则有⎩⎪⎨⎪⎧g (0)> 0,g (1e )<0,所以⎩⎪⎨⎪⎧m -1> 0,1e 2-m e +m -1<0,,解得m ∈(1,1+1e).本题是作图与根分布综合的题目,其中作图是通过分析函数的单调性和关键点来进行作图,在作图的过程中还要注意渐近线的细节,从而保证图像的准确。
复合函数零点问题专题训练
1.定义域和值域均为[-a,a](常数a>0)的函数y=f(x)和y=g(x)的图像如图所示,给出下列四个命题中:
(1)方程f[g(x)]=0有且仅有三个解;(2)方程g[f(x)]=0有且仅有三个解;(3)方程f[f(x)]=0有且仅有九个解;(4)方程g[g(x)]=0有且仅有一个解。
那么,其中正确命题的个数是
()
A .1
B.2
C.3
D.4(第1
题图)
解:选B.(1)方程f[g (x )]=0有且仅有三个解;g (x )有三个不同值,由于y=g (x )是减函数,所以有三个解,正确;
(2)方程g[f (x )]=0有且仅有三个解;从图中可知,f (x )∈(0,a )可能有1,2,3个解,不正确;
(3)方程f[f (x )]=0有且仅有九个解;类似(2)不正确;
(4)方程g[g (x )]=0有且仅有一个解.结合图象,y=g (x )是减函数,故正确.2.已知函数1)(+=x xe x f ,
若函数2)()(2
++=x bf x f y 恰有四个不同的零点,则实数b 的取值范围是
(
)
A.)
22,(--∞ B.)
2,3(-- C.)
3,(--∞ D.(]
2
2,3--解:用求导方法得,f(x)在x =-1取得最大值1,在x=0取得最小值0,故0<a<1时,f(x)=a 有3个解,a>1时,f(x)=a,有1个解,2)()(2
++=x bf x f y 恰有四个不同的零点,则
2
t
+bt+2=0有两个不等根,1个在(0,1)内,另1个根大于1,令g(t)=
2
t
+bt+2,于是得,
⊿>0且g (0)>0且g(1)<0,解得b <-3,故选C .思考:已知函数1
)(+=x xe x f ,若函数2)()(2
++=x bf x f y 恰有6个不同的零点,则
实数b 的取值范围是
(
)
3.(2013四川,理10)设函数f (x (a ∈R ,e 为自然对数的底数),若曲线
a
a
x
y
f(x)O
a
a a
a
x
y g(x)
O a a
y =sin x 上存在点(x 0,y 0)使得f (f (y 0))=y 0,则a 的取值范围是().
A.[1,e]B.[e-1-1,1]C.[1,e+1]D.[e-1-1,e+1]解析:由题意可得,y 0=sin x 0∈[-1,1],
而由f (x
可知y 0∈[0,1],当a =0时,f (x
为增函数,∴y 0∈[0,1]时,f (y 0
∴f (f (y 0
∴不存在y 0∈[0,1]使f (f (y 0))=y 0成立,故B,D 错;
当a =e+1时,f (x
y 0∈[0,1]时,只有y 0=1时f (x )才有意义,而f (1)=0,
∴f (f (1))=f (0),显然无意义,故C 错.故选A.
4.已知函数13)(23
+-=x x x f ,⎪⎩⎪⎨⎧
≤--->+=0
,860,41)(2
x x x x x
x x g ,则方程[]
)0(0)(>=-a a x f g 的解的个数不可能是()A.3个
B.4个
C.5个
D.6个
答案选A
5.设
2,1
,1(),()x x x x f x g x ≥<⎧⎪
=⎨⎪⎩
是二次函数,若f (g(x))的值域是[0,+∞),则g(x)的值域是(
)
A(-∞,-1]∪[1,+∞)B(-∞,-1]∪[0,+∞)C[0,+∞)D[1,+∞)
【解析】
选C .令f (g(x))=f(t),t=g(x),当t ∈(-∞,-1]∪[0,+∞)
或t ∈(-∞,-1]∪[0,1)或t ∈[0,+∞)时,f(t)的值域是[0,+∞),而t=g(x)是二次函数,故选C .
6.
某同学在研究函数()f x =的性质时,受到两点间距离公式的启
发,将)(x f 变形为2222)10()3()10()0()(++-+-+-=
x x x f ,则)(x f 表示
||||PB PA +(如图),下列关于函数)(x f 的描述:
①)(x f 的图象是中心对称图形;②)(x f 的图象是轴对称图形;
③函数)(x f 的值域为)+∞;
④方程[()]1f f x =.则描述正确的是
A.
①② B.②③C.③④
D.
①④
【解析】
选B.f(x)=f(3-x),对称轴x=32
,)(x f min=|AB |=,由[()]110
f f x =+
得f(x)=0或f(x)=3Ï)
+∞7.已知函数1)(-=x x f ,关于x 的方程0)()(2=+-k x f x f ,给出下列四个命题:
①存在实数k ,使得方程恰有2个不同的实根;②存在实数k ,使得方程恰有3个不同的实根;③存在实数k ,使得方程恰有5个不同的实根;④存在实数k ,使得方程恰有8个不同的实根.其中真命题的序号为____________
尝试题1:已知函数y=f(x)和y=g(x)在[﹣2,2]上的图象如图所示:给出下列四个命题:
①方程f[g(x)]=0有且仅有6个根;②方程g[f(x)]=0有且仅有3个根;
③方程f[f(x)]=0有且仅有7个根;④方程g[g(x)]=0有且仅有4个根.
其中正确命题的序号为.
解:①设t=g(x),则由f[g(x)]=0,即f(t)=0,则t1=0或﹣2<t2<﹣1或1<t3<2,当t1=0时,t=g(x)有2个不同值,
当﹣2<t2<﹣1时,t=g(x)有2个不同值,
当1<t3<2,时,t=g(x)有2个不同值,∴方程f[g(x)]=0有且仅有6个根,
故①正确.
②设t=f(x),若g[f(x)]=0,即g(t)=0,
则﹣2<t1<﹣1或0<t2<1,
当﹣2<t1<﹣1时,t=f(x)有1个不同值,
当0<t2<1时,t=f(x)有3个不同值,
∴方程g[f(x)]=0有且仅有4个根,故②错误.
③设t=f(x),若f[f(x)]=0,即f(t)=0,
则t1=0或﹣2<t2<﹣1或1<t3<2,
当t1=0时,t=f(x)有3个不同值,
当﹣2<t2<﹣1时,t=f(x)有1个不同值,
当1<t3<2,时,t=f(x)有1个不同值,∴方程f[f(x)]=0有且仅有5个根,故③错误.④设t=g(x),若g[g(x)]=0,即g(t)=0,
则﹣2<t1<﹣1或0<t2<1,
当﹣2<t1<﹣1时,t=g(x)有2个不同值,
当0<t2<1时,t=g(x)有2个不同值,∴方程g[g(x)]=0有且仅有4个根,故④正确.故正确的是①④.
尝试题2:定义域为R的函数f(x)=,
若关于x的函数h(x)=f2(x)+af(x)+有5个不同的零点x1,x2,x3,x4,x5,则
x12+x22+x32+x42+x52等于()
A.15B.20C.30D.35
解:作函数f(x)=的图象如下,。