专升本试题及解答(四川理工2017)
- 格式:doc
- 大小:360.00 KB
- 文档页数:6
全国专升本英语真题2017年及答案解析(1/5)Part I PhoneticsDirections:In each of the following groups of words, there are four underlined letters or letter mbinations marked [A]、[B]、[C] and [D]. Compare the underlined parts and identify the one that is different from the others in pronunciation. Mark your answer by blackening the corresponding letter on Answer Sheet.第1题A.penaltyB.momentC.quarrelD.absent下一题(2/5)Part I PhoneticsDirections:In each of the following groups of words, there are four underlined letters or letter mbinations marked [A]、[B]、[C] and [D]. Compare the underlined parts and identify the one that is different from the others in pronunciation. Mark your answer by blackening the corresponding letter on Answer Sheet.第2题A.sympathyB.materialC.courageD.analysis上一题下一题(3/5)Part I PhoneticsDirections:In each of the following groups of words, there are four underlined letters or letter mbinations marked [A]、[B]、[C] and [D]. Compare the underlined parts and identify the one that is different from the others in pronunciation. Mark your answer by blackening the corresponding letter on Answer Sheet.第3题A.starvationB.suggestionC.satisfactionD.situation上一题下一题(4/5)Part I PhoneticsDirections:In each of the following groups of words, there are four underlined letters or letter mbinations marked [A]、[B]、[C] and [D]. Compare the underlined parts and identify the one that is different from the others in pronunciation. Mark your answer by blackening the corresponding letter on Answer Sheet.第4题A.donkeyB.turkeyC.moneyD.obey上一题下一题(5/5)Part I PhoneticsDirections:In each of the following groups of words, there are four underlined letters or letter mbinations marked [A]、[B]、[C] and [D]. Compare the underlined parts and identify the one that is different from the others in pronunciation. Mark your answer by blackening the corresponding letter on Answer Sheet.第5题A.reviseB.consistC.advertiseD.visit上一题下一题(1/15)Part II Vocabulary and StructureDirections:There are 15 incomplete sentences in this section. For each sentence there are four choices marked [A]、[B]、[C] and [D]. Choose one answer that best completes the sentence and blacken the corresponding letter on Answer Sheet.第6题Jonathan and Joe left the house to go for ______ after supper.A.walkB.the walkC.walksD.a walk上一题下一题(2/15)Part II Vocabulary and StructureDirections:There are 15 incomplete sentences in this section. For each sentence there are four choices marked [A]、[B]、[C] and [D]. Choose one answer that best completes the sentence and blacken the corresponding letter on Answer Sheet.第7题He pointed at the new car and asked,"______ is it? Have you ever seen it before?"A.WhyB.WhereC.WhoD.Whose上一题下一题(3/15)Part II Vocabulary and StructureDirections:There are 15 incomplete sentences in this section. For each sentence there are four choices marked [A]、[B]、[C] and [D]. Choose one answer that best completes the sentence and blacken the corresponding letter on Answer Sheet.第8题My father asked ______ to help with his work.A.I and TomB.Tom and meC.me and TomD.Tom and I上一题下一题(4/15)Part II Vocabulary and StructureDirections:There are 15 incomplete sentences in this section. For each sentence there are four choices marked [A]、[B]、[C] and [D]. Choose one answer that best completes the sentence and blacken the corresponding letter on Answer Sheet.第9题Nowadays little knowledge ______ to be a dangerous thing.A.seemB.seemedC.does seemD.do seem上一题下一题(5/15)Part II Vocabulary and StructureDirections:There are 15 incomplete sentences in this section. For each sentence there are four choices marked [A]、[B]、[C] and [D]. Choose one answer that best completes the sentence and blacken the corresponding letter on Answer Sheet.第10题If their marketing team succeeds, they ______ their profits by 20 percent.A.will increaseB.would be increasingC.will have increasedD.would have been increasing上一题下一题(6/15)Part II Vocabulary and StructureDirections:There are 15 incomplete sentences in this section. For each sentence there are four choices marked [A]、[B]、[C] and [D]. Choose one answer that best completes the sentence and blacken the corresponding letter on Answer Sheet.第11题You'd better take these documents with you ______ you need them for the meeting.A.unlessB.in caseC.untilD.so that上一题下一题(7/15)Part II Vocabulary and StructureDirections:There are 15 incomplete sentences in this section. For each sentence there are four choices marked [A]、[B]、[C] and [D]. Choose one answer that best completes the sentence and blacken the corresponding letter on Answer Sheet.第12题I haven't been to a pop festival before and Mike hasn't ______.A.tooB.as wellC.neitherD.either上一题下一题(8/15)Part II Vocabulary and StructureDirections:There are 15 incomplete sentences in this section. For each sentence there are four choices marked [A]、[B]、[C] and [D]. Choose one answer that best completes the sentence and blacken the corresponding letter on Answer Sheet.第13题______ is known to the world, Mark Twain was a great American writer.A.AsB.OnceC.ThatD.It上一题下一题(9/15)Part II Vocabulary and StructureDirections:There are 15 incomplete sentences in this section. For each sentence there are four choices marked [A]、[B]、[C] and [D]. Choose one answer that best completes the sentence and blacken the corresponding letter on Answer Sheet.第14题John complained to the bookseller that there were several pages ______ in the dictionary.ckingB.losingC.missingD.dropping上一题下一题(10/15)Part II Vocabulary and StructureDirections:There are 15 incomplete sentences in this section. For each sentence there are four choices marked [A]、[B]、[C] and [D]. Choose one answer that best completes the sentence and blacken the corresponding letter on Answer Sheet.第15题Not until the game had begun ______ at the sports ground.A.should he have arrivedB.would he have arrivedC.did he arriveD.had he arrived上一题下一题(11/15)Part II Vocabulary and StructureDirections:There are 15 incomplete sentences in this section. For each sentence there are four choices marked [A]、[B]、[C] and [D]. Choose one answer that best completes the sentence and blacken the corresponding letter on Answer Sheet.第16题Moviegoers know that many special effects are created by computers. ______ they often don't know is that these scenes still require a lot of work.A.ThatB.WhomC.WhatD.How上一题下一题(12/15)Part II Vocabulary and StructureDirections:There are 15 incomplete sentences in this section. For each sentence there are four choices marked [A]、[B]、[C] and [D]. Choose one answer that best completes the sentence and blacken the corresponding letter on Answer Sheet.第17题The president is to give a formal ______ at the opening ceremony.A.speechB.debateC.discussionD.argument上一题下一题(13/15)Part II Vocabulary and StructureDirections:There are 15 incomplete sentences in this section. For each sentence there are four choices marked [A]、[B]、[C] and [D]. Choose one answer that best completes the sentence and blacken the corresponding letter on Answer Sheet.第18题When I am confronted with such questions, my mind goes ______, and I can hardly remember my own date of birth.A.faintB.blankC.darkD.blind上一题下一题(14/15)Part II Vocabulary and StructureDirections:There are 15 incomplete sentences in this section. For each sentence there are four choices marked [A]、[B]、[C] and [D]. Choose one answer that best completes the sentence and blacken the corresponding letter on Answer Sheet.第19题If they are willing to lend us the money we need, all our problems will be ______.A.solvedB.causedC.coveredD.met上一题下一题(15/15)Part II Vocabulary and StructureDirections:There are 15 incomplete sentences in this section. For each sentence there are four choices marked [A]、[B]、[C] and [D]. Choose one answer that best completes the sentence and blacken the corresponding letter on Answer Sheet.第20题This article ______ more attention to the problem of cultural conflicts.A.cares forB.allows forC.applies forD.calls for上一题下一题(21~35/共15题)Part IV ClozeDirections:For each blank in the following passage, there are four choices marked [A]、[B]、[C] and [D]. Choose the one that is most suitable and mark your answer by blackening the corresponding letter on Answer SheetWhat enables some people to get big creative breakthroughs while others only get small and non-creative breakdowns, blaming themselves and society? Are some people "gifted"? Are there other factors 1 work—factors that we have more control over than we think?While nobody can deny the 2 that some people seem to be blessed with particular creativity, research shows that anyone can 3 their chances of coming up with new and original ideas 4 they would only engage themselves more in the process of 5 . It's the old Thomas Edison thing about "discovery 6 99 percent perspiration (汗水) and 1 percent inspiration." 7 , the studies prove this: great creative breakthroughs usually happen only 8 intense periods of struggle. It is sustained effort towards a specific goal 9 eventually prepares for great creative insights.This kind of sustained effort does not always 10 immediate results, a fact that not only separates the innovators (革新者) from non-innovators, but 11 leads some people to conclude that it is just not 12 for them. "Maybe I should have gone to medical school like my mother wanted," they wonder when the breakthrough is 13 to be found. Alas, one forgets during their inevitable encounters 14 self-doubt, that the big surprise is never15 . Indeed, it can happen at any time and place. 第21题A.toB.inC.atD.by第22题A.issueB.problemC.reasonD.fact第23题A.missB.reduceC.increaseD.lose第24题A.becauseB.ifC.whileD.whether第25题A.creationB.practiceC.productionD.achievement第26题A.beingB.beC.wasD.were第27题A.Sooner or laterB.Some day or otherC.Every now and thenD.Time and again第28题A.beyondB.afterC.aboveD.through第29题A.thatB.whoC.whatD.as第30题A.createB.produceC.inspireD.encourage第31题A.tooB.onceC.againD.also第32题A.goodB.difficultC.possibleD.stupid第33题A.anywhereB.everywhereC.somewhereD.nowhere第34题A.againstB.acrossC.withD.into第35题A.far awayed upC.cleared offD.near by上一题下一题(36~39/共20题)Part ⅢReading ComprehensionDirections:There are some reading passages in this part. Each passage is followed by some questions. For each question there are four suggested answers marked [A]、[B]、[C] and [D]. Choose one best answer and blacken the corresponding letter on Answer Sheet.Debate is a valuable way to practise communicating. It can also bring long-lasting rewards, especially for people working with Western businesses. The main activity of debate is presenting one's opinion and supporting it with evidence, such as statistics or facts. It is a way of persuasive communication.Charles Lebeau helped create the "Discover Debate" method. He says debate is important to understanding how people communicate in Western business. Successful debaters learn how togive their opinion, reasons and support. "What we are trying to do is to develop a kind of thinking or approach to discussion and how to interact (交流) with someone else's opinion, rather than brush their opinion aside."Debate skills are also important in selling a product, he says. In that situation, the judges are the customers. "So on Monday, for example, one company may come in and present their case to the customer and they'll make as strong a case as they can. On Tuesday, the next day, another company will come in and present their case to the customer. Usually the party that can present the strongest case wins."Debate also strengthens critical thinking. In other words, it helps students learn to ask questions and try to understand someone's reasons and evidence.Mr. Lebeau points out that successful debaters learn to listen carefully to what other people are saying. Then, they look for the weak points in someone else's opinion or argument. He says debate teaches a systematic way of questioning.Successful debaters also learn to think from someone else's point of view. Mr. Lebeau says debate can help broaden the mind. "There's an expression in English: don't criticize another person before you have walked in their shoes. I think the wonderful thing about debate is, it puts us in another person's shoes."第36题According to Paragraph 1, what is the purpose of debate?A.To bring long-lasting material rewards.B.To present evidence such as statistics and facts.C.To respond to questions in a systematic way.D.To persuade people to accept your opinions.第37题Why is debate important?A.It helps people understand others better.B.It allows people to present their opinions.C.It develops one's thinking and communicative competence.D.It gives one the opportunity to brush others' opinion aside.第38题What does the underlined word "case" in Paragraph 3 refer to?A.Container.B.Evidence.C.Problem.D.Product.第39题What can debaters benefit from "walking in another person's shoes"?A.Becoming more broad-minded.B.Developing critical thinking.C.Finding others' weak points.D.Trying out others' methods.上一题下一题(40~43/共20题)Part ⅢReading ComprehensionDirections:There are some reading passages in this part. Each passage is followed by some questions. For each question there are four suggested answers marked [A]、[B]、[C] and [D]. Choose one best answer and blacken the corresponding letter on Answer Sheet.We all love a hero, and rescue dogs are some of the biggest heroes of all. You will often find them going above and beyond duty to save someone, risking—and at times losing—their lives in the process.Rescue dogs are generally found in the Sporting and Hunting Groups, or from the traditional Herding Group. These types include the Bloodhound, Labrador Retriever, Newfoundland, German Shepherd, Golden Retriever, and Belgian Malinois—all of which are chosen for search-and-rescue duty because of their amazing physical strength, loyalty, and their tendency for mental stability.These types also have a keen sense of hearing and smell—to better locate lost individuals—and are often able to access hard-to-reach areas. As highly trained animals, they serve in many different fields, including specialist Search, snow slide rescue, dead body location, and tracking.To overcome obstacles and succeed when performing the demanding duties of a search-and-rescue worker, a dog must display certain qualities. In addition to intelligence and strength, the dog must be swift, confident, easily trainable, adaptable, and have a high level of stamina (耐力) and endurance. A strong sense of group cooperation and an ability to engage in friendly play during "down" time is also required of search-and-rescue dogs.A rescue dog goes through many, many hours of intensive training to be fit for duty. Training is not for the faint-hearted. Certification training can take from two to three years, working three to four hours a day, three to six days a week, often in group, team-oriented sessions.Each search-and-rescue field requires different types of training. Rescue training, for instance, includes "air scenting"—where dogs are trained to smell the air for the victim's scent (气味) and then follow the scent to the person. This ability is crucial to finding victims trapped under collapsed buildings and snow slide.第40题Rescue dogs are chosen probably because ______.A.they are loyalB.they are braveC.they have amazing appearancesD.they have good eyesight第41题What does "faint-hearted" in Paragraph 5 mean?A.Courageous.B.Cowardly.C.Energetic.D.Slow.第42题Which ability is most important for dogs to rescue people trapped in snow?A.Sharp hearing.B.Swift movement.C.Extraordinary smelling.D.A strong memory.What is the passage mainly about?A.Selection process of rescue dogs.B.Qualities and training of rescue dogs.C.Risks rescue dogs are faced with.D.Types of tasks rescue dogs can perform.上一题下一题(44~47/共20题)Part ⅢReading ComprehensionDirections:There are some reading passages in this part. Each passage is followed by some questions. For each question there are four suggested answers marked [A]、[B]、[C] and [D]. Choose one best answer and blacken the corresponding letter on Answer Sheet.Eating an apple a day doesn't keep the doctor away, but it does reduce the amount of trips you make to the drug store per year. That's according to a new study that investigates whether there's any truth in the old saying.A team of researchers led by Dr Matthew Davis, of the University of Michigan School of Nursing, asked 8,399 participants to answer survey questions about diet and health. A total of 753 were apple eaters, consuming at least 149g of raw apple per day. The remaining 7,646 were classed as non-apple eaters. When both groups answered questions on trips to the doctor and trips to the drug store per year, the apple eaters were found to be 27% less likely to visit the druggist for drugs.Trips to the doctor were not significantly affected by apple consumption, though. "Evidence does not support that an apple a day keeps the doctor away. However, the small number of US adults who eat an apple a day does appear to use fewer prescription medications," the study concludes.Apple eaters were also found to be less likely to smoke and be more likely to have a higher educational attainment than non-apple eaters. While apples do not compete with oranges, they do contain some immune (免疫的) system-increasing vitamin C, which may be why apple-eaters visit the druggist less. With over 8mg of vitamin C per medium-sized fruit, an apple can provide roughly 14% your daily recommended intake.Previous studies have also linked apple consumption to a lower risk of Type 2 diabetes (二型糖尿病), improved lung function and a lower risk of colon (结肠) cancer.第44题How many non-apple eaters answered survey questions in the research?A.149.B.7,646.C.753.D.8,399.第45题What is the conclusion of the study?A.Apple consumption has greatly reduced US adults' trips to the doctor.B.An apple a day does keep the doctor away.C.Apples are far more nutritious than oranges.D.A small number of US adult apple eaters tend to take less medicine.What can we learn from the passage?A.Apples are better than oranges.B.Apples do have some vitamin C to increase the immune system.C.Apples can help cure certain diseases.D.Apples can provide people with sufficient daily intake of energy.第47题What can be described as the writing style of this passage?A.Objective.B.Creative.C.Subjective.D.Persuasive.上一题下一题(48~51/共20题)Part ⅢReading ComprehensionDirections:There are some reading passages in this part. Each passage is followed by some questions. For each question there are four suggested answers marked [A]、[B]、[C] and [D]. Choose one best answer and blacken the corresponding letter on Answer Sheet.Sometimes I scratch my head when I read about the government's efforts to improve schools: new standards and tests to be applied, strict teacher evaluations, and threats of school closures and job losses. They frighten the school employees, not to mention the students. Instead of making people unable to solve problems or try new ideas—which is what fear does to us—research on school reform strongly suggests that policy-makers should encourage school leaders to take a more humane approach. In their study on the reform efforts of twelve Chicago public schools, Bryk and Schneider found that enabling positive social relationships between the adults was the key to successful school improvement and that trust was at the heart of those relationships.Trust in schools comes down to one thing: psychological safety or safety to speak one's mind, to discuss with openness and honesty what is and isn't working, to make collective decisions.Yet this kind of safety doesn't come easily to schools. According to Bryk and Schneider, the adults in school rely on each other to do their jobs correctly and with integrity (正直). The challenge is that our expectations are very diverse based on our unique backgrounds.At one school where I taught, each teacher had different expectations about how much extra effort teachers should put into their work—a big difference between the teachers who left after the last bell and those who worked into the evening. And when expectations are unconscious or unspoken, it becomes impossible for others to live up to them.We also make assumptions about the intentions behind a person's behavior. As we all know, assumptions are often wrong. For example, parents and teachers may think the principal made a particular decision based on his career advancement rather than what's best for the students. If we don't feel psychologically safe to question our assumptions and expectations, trust flies out the window and our relationships suffer.第48题According to Paragraph 1, why does the author scratch his head?A.Because he doesn't know what to do once schools are closed.B.Because he is not sure about the practicability of those new tests.C.Because he is concerned that many teachers will lose their jobs.D.Because he is not in favor of the government's reform efforts.第49题According to Bryk and Schneider, what was most important for successful school improvement?A.New standards and tests in schools.B.Positive social relationships.C.Strict teacher and student evaluations.D.Assistance of the government.第50题What is meant by trust in school?A.Freedom to express one's views.B.Extra effort teachers put into their work.C.Independence of the teachers in schools.D.Unconscious and unspoken expectations.第51题What does the author say about the assumptions made about the intentions behind a person's behavior?A.They should be trusted.B.They are often bold.C.They are often incorrect.D.They should be encouraged.上一题下一题(52~55/共20题)Part ⅢReading ComprehensionDirections:There are some reading passages in this part. Each passage is followed by some questions. For each question there are four suggested answers marked [A]、[B]、[C] and [D]. Choose one best answer and blacken the corresponding letter on Answer Sheet.An interesting project called Blue Zones is recording the lifestyle secrets of the communities with the highest concentrations of centenarians in the world.The people in the five regions in Europe, Latin America, Asia and the US that live to be 100 have a lot going for them. Genes probably play a small role, but these folks also have strong social ties, tightly-knit families and lots of opportunities to exercise.As we were examining the dietary secrets of the Blue Zones, as described in author Dan Buettner's latest book, The Blue Zones Solution, we were struck by how essential tea drinking is in these regions. In fact, Buettner's Blue Zones Beverage Rule—a kind of guideline summarized from his 15 or so years of studying these places—is: "Drink coffee for breakfast, tea in the afternoon, wine at 5 p.m."Science has plenty to say about the healthful virtues of green tea. Researchers are most enthusiastic about the components in green tea, as well as foods like cocoa. Why might they help so many Okinawans in Japan break 100? Some components in green tea can lower the risk of stroke, heart disease and several cancers. One review study also found that drinking green tea can slightly improve metabolism (新陈代谢).If you find yourself on the island of Ikaria, the Greek Blue Zone in the middle of the Aegean,you won't be offered any tea made with tea leaves. Instead, Ikarians typically make their daily cup of tea with just one fresh herb that they have picked themselves that day—either rosemary, wild sage, oregano, marjoram, mint or dandelion, all plants that may have anti-inflammatory (消炎的) properties, which may help lower blood pressure. This could explain Ikaria's very low dementia (痴呆) rate, since high blood pressure is a risk factor for the disease.第52题What does the underlined word "centenarians" in Paragraph 1 refer to?A.People who have secret lifestyles.B.People who enjoy physical exercise.C.People who are one hundred years old or older.D.People who carry, the gene for being slim.第53题According to Paragraph 3, what is the recommended time for tea drinking?A.In the morning.B.Any time of a day.C.In the early evening.D.In the afternoon.第54题What may the tea Ikarians drink daily help?A.To improve metabolism.B.To lower blood pressure.C.To lower life stress.D.To improve social relationships.第55题What might be the best title of the passage?A.Tea-Drinking TipsB.Lifestyle Secrets of IkariansC.Tea-Drinking Ceremony in OkinawaD.Blue Zones Solutions上一题下一题(56~60/共5题)Part ⅤDaily ConversationDirections: Pick out the appropriate expressions from the eight Choices below and complete the following dialogues by blackening the corresponding letter on the Answer Sheet.A.Can I speak to Mr. Johnson, pleaseB.I'll tell him you've calledC.I'll give him the messageD.What can I do for youE.Can you tell him that we can meet tomorrow afternoon in my officeF.Can I take a messageG.Can you ask him to call me back as soon as possibleH.That's rightWoman: Hello, Mr. Johnson's office.Man: Good morning. 1 ?Woman: Sorry, he's in a meeting at the moment. 2 ?Man: Yes. This is Steve Lee from Brightlight Systems. 3 ?Woman: Tomorrow afternoon in your office.Man: 4 .Woman: Okay. 5 .Man: Thank you.第56题第57题第58题第59题第60题上一题下一题(1/1)Part VI WritingDirections: For this part, you are supposed to write a short composition in 100-120 words according to the following topic. Remember to write it clearly.第61题你(Li Yuan)组织同学进行了一次烧烤野餐(barbecue)。
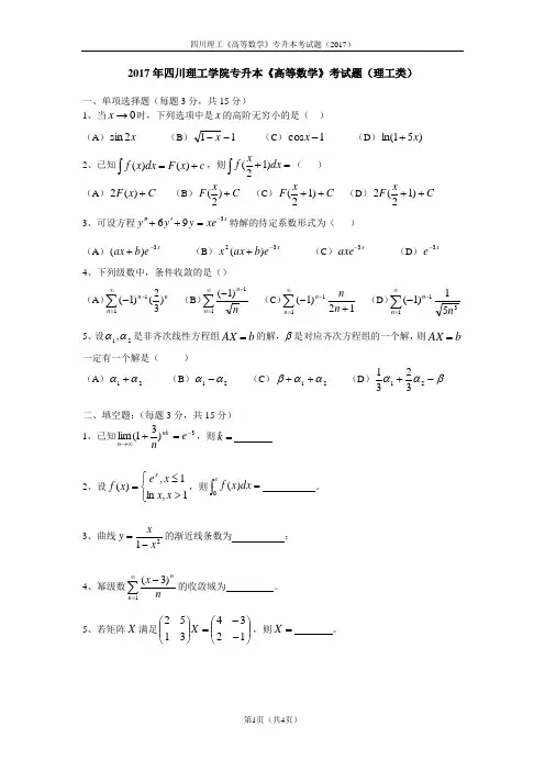
2017年四川理工学院专升本《高等数学》考试题(理工类)一、单项选择题(每题3分,共15分)1、当0→x 时,下列选项中是x 的高阶无穷小的是( )(A )x 2sin (B )11--x (C )1cos -x (D ))51ln(x +2、已知c x F dx x f +=⎰)()(,则=+⎰dx x f )12(( ) (A )C x F +)(2 (B )C x F +)2( (C )C x F ++)12( (D )C x F ++)12(2 3、可设方程x xey y y 396-=+'+''特解的待定系数形式为( ) (A )x e b ax 3)(-+ (B )x e b ax x 32)(-+ (C )x axe 3- (D )x e 3-4、下列级数中,条件收敛的是()(A )n n n )32()1(11∑∞=-- (B )∑∞=--11)1(n n n (C )12)1(11+-∑∞=-n n n n (D )31151)1(nn n ∑∞=-- 5、设21,αα是非齐次线性方程组b AX =的解,β是对应齐次方程组的一个解,则b AX =一定有一个解是( )(A )21αα+ (B )21αα- (C )21ααβ++ (D )βαα-+213231二、填空题:(每题3分,共15分)1、已知3)31(lim -∞→=+e nnk n ,则=k2、设⎩⎨⎧>≤=1,ln 1,)(x x x e x f x ,则=⎰e dx x f 0)( 。
3、曲线21x x y -=的渐近线条数为 ; 4、幂级数∑∞=-1)3(n nn x 的收敛域为 。
5、若矩阵X 满足⎪⎪⎭⎫ ⎝⎛--=⎪⎪⎭⎫ ⎝⎛12343152X ,则=X 。
三、求解下列各题(每小题6分,共60分)1、确定b a ,的值,使函数⎩⎨⎧≤+>=0,)sin(0,)(x b ax x e x f x 在0=x 处可导。
四川专升本pdf试题及答案一、选择题(共10题,每题2分,共20分)1. 下列哪项不是四川专升本考试的科目?A. 语文B. 数学C. 英语D. 物理答案:D2. 四川专升本考试的报名通常在每年的什么时候进行?A. 1月B. 4月C. 7月D. 10月答案:B3. 四川专升本考试的总分是多少分?A. 300分B. 400分C. 500分D. 600分答案:C4. 四川专升本考试的合格分数线通常是多少?A. 100分B. 200分C. 300分D. 400分答案:C5. 四川专升本考试的报名费用是多少?A. 100元B. 200元C. 300元D. 400元答案:B6. 四川专升本考试的考试时间通常为每年的几月?A. 1月B. 4月C. 7月D. 10月答案:B7. 四川专升本考试的考试形式是什么?A. 笔试B. 口试C. 笔试和口试D. 机考答案:A8. 四川专升本考试的考试地点通常在哪里?A. 考生所在学校B. 指定的考试中心C. 考生所在城市的任何地点D. 考生所在省份的任何地点答案:B9. 四川专升本考试的考试科目有哪些?A. 语文、数学、英语B. 语文、数学、物理C. 语文、英语、物理D. 数学、英语、物理答案:A10. 四川专升本考试的考试时长是多少?A. 2小时B. 3小时C. 4小时D. 5小时答案:B二、填空题(共5题,每题2分,共10分)1. 四川专升本考试的报名时间通常在每年的________月。
答案:42. 四川专升本考试的合格分数线通常为总分的________%。
答案:603. 四川专升本考试的考试地点一般设在________。
答案:指定的考试中心4. 四川专升本考试的考试科目包括语文、数学和________。
答案:英语5. 四川专升本考试的考试时长为________小时。
答案:3三、简答题(共2题,每题5分,共10分)1. 简述四川专升本考试的重要性。
答案:四川专升本考试对于专科生来说,是提升学历、拓宽就业渠道的重要途径。
2017专升本试题及答案一、选择题(每题2分,共20分)1. 根据题目要求,以下哪项不是计算机病毒的特征?A. 可自我复制B. 可自我隐藏C. 可自我修复D. 可自我传播答案:C2. 在经济学中,以下哪个概念是指商品或服务的总供给量?A. 需求B. 供给C. 价格D. 价值答案:B3. 英语中,"The sun rises in the east and sets in the west" 这句话的正确翻译是:A. 太阳从西边升起,从东边落下。
B. 太阳从东边升起,从西边落下。
C. 太阳从北边升起,从南边落下。
D. 太阳从南边升起,从北边落下。
答案:B4. 在数学中,以下哪个公式表示勾股定理?A. \( a^2 + b^2 = c^2 \)B. \( a^2 - b^2 = c^2 \)C. \( a^2 * b^2 = c^2 \)D. \( a^2 / b^2 = c^2 \)答案:A5. 根据历史记载,以下哪个事件标志着中国封建社会的开始?A. 秦始皇统一六国B. 汉武帝开辟丝绸之路C. 周武王建立周朝D. 唐太宗开创贞观之治答案:C6. 在化学中,以下哪个元素的原子序数是1?A. 氢(H)B. 氦(He)C. 锂(Li)D. 铍(Be)答案:A7. 以下哪个选项是描述生物多样性的?A. 生态系统B. 物种多样性C. 遗传多样性D. 所有选项答案:D8. 在文学中,以下哪个作品是由鲁迅创作的?A. 《红楼梦》B. 《西游记》C. 《呐喊》D. 《水浒传》答案:C9. 在物理学中,以下哪个单位是用来测量力的?A. 牛顿(N)B. 焦耳(J)C. 瓦特(W)D. 安培(A)答案:A10. 以下哪个选项是描述计算机操作系统的?A. 硬件B. 软件C. 外设D. 网络答案:B二、填空题(每空1分,共10分)1. 计算机的CPU主要由________和________两部分组成。
四川省专升本(高等数学)历年真题试卷汇编1(题后含答案及解析) 题型有:1. 选择题 2. 填空题 4. 解答题 5. 综合题 6. 证明题选择题在每小题给出的四个选项中,只有一项是符合要求的。
1.当x→0时,a=是无穷小量,则( )A.a是比2x高阶的无穷小量B.a是比2x低阶的无穷小量C.a与2x是同阶的无穷小量,但不是等价无穷小量D.a与2x是等价无穷小量正确答案:C解析:故选C.2.= ( )A.eB.e-1C.一e-1D.一e正确答案:B解析:由于故选B.3.设y=lnx,则y″= ( )A.B.C.D.解析:y=lnx,故选C.4.设a<x<b,f′(x)<0,f″(x)<0,则在区间(a,b)内曲线弧y=f(x)的图形( )A.沿x轴正向下降且向上凹B.沿x轴正向下降且向下凹C.沿x轴正向上升且向上凹D.沿x轴正向上升且向下凹正确答案:B解析:当a<x<b时,f′(x)<0,因此曲线弧y=f(x)在(a,b)内下降.由于在(a,b)内f″(x)<0,因此曲线弧y=f(x)在(a,b)内下凹.故选B.5.球心在(-1,2,-2)且与xOy平面相切的球面方程是( )A.(x+1)2+(y-2)2+(z+2)2=4B.(x+1)2+(y-2)2+(z+2)2=2C.x2+y2+z2=4D.x2+y2+z2=2正确答案:A解析:已知球心为(一1,2,一2),则代入球面标准方程为(x+1)2+(y-2)2+(z+2)2=r2.又与xOy平面相切,则r=2.故选A.6.dx= ( )A.一2B.一1C.0D.1正确答案:C解析:因为被积函数是奇函数,所以在对称区间内dx=0.7.已知向量a=i+j+k,则垂直于a且垂直于y轴的向量是( )A.i—j+kB.i—j一kC.i+kD.i—k解析:根据题意知a=(1,1,1),设所求向量为(x,y,z),则故所求向量为i一k.8.下列级数中,条件收敛的级数是( )A.B.C.D.正确答案:C解析:对于A中所给级数≠0,因此发散,应排除A;对于B中所给级数,可知,因此发散,应排除B;对于D中所给级数考虑为p=2的P级数,可知其为收敛级数,从而知为绝对收敛,应排除D;对于C中所给级数的P级数,可知其发散.但是,注意到.由莱布尼茨判别法可知收敛,从而知其为条件收敛.故选C.9.微分方程y″+y=0的通解为( )A.C1cosx+C2sinxB.(C1+C2x)exC.(C1+C2x)e-xD.C1e-x+C2ex正确答案:A解析:由题意得微分方程的特征方程为r2+1—0,故r=±i为共轭复根,于是通解为y=C1cosx+C2sinx.10.设A是n阶矩阵,下列命题中错误的是( )A.AAT=ATAB.A*A=AA*C.(A2)n=(An)2D.(E+A)(E-A)=(E-A)(E+A)正确答案:A解析:因为A是n阶矩阵,所以AAT=故AAT不一定等于ATA,故选项A错误.填空题11.设二元函数z=ln(x+y2),则=___________.正确答案:dx解析:由于函数z=ln(x+y2)的定义域为x+y2>0.在z的定义域内为连续函数,因此dz存在,且又由于故12.=___________.正确答案:+C解析:13.过点(1,一1,0)与直线垂直的平面方程为___________.正确答案:x-2y+3z一3=0(或(x一1)一2(y+1)+3z=0)解析:∵直线垂直于平面π,∴π的法向量即为直线的方向向量,即n=s=(1,一2,3),且点(1,一1,0)在平面π上,∴(x-1)-2(y+1)+3z=0.14.=___________.正确答案:解析:令=u,则x=u2,dx=udu,当x=-1时,u=3,当x=1时,u=1,则原式=15.设A=,矩阵X满足方程AX+E=A2+X,则X=___________.正确答案:解析:由AX+E=A2+X(A—E)X=A2一E。
2012年河南省普通高等学校选拔优秀专科毕业生进入本科阶段学习考试高等数学注意事项:答题前,考生务必将自己的姓名、考场号、座位号、考生号填写在答题卡上. 本试卷的试题答案必须答在答题卡上,答在试卷上无效. 一、选择题 (每小题2 分,共60 分)在每小题的四个备选答案中选出一个正确答案, 用铅笔把答题卡上对应题目的答案标号涂黑.如需改动,用橡皮擦干净后,再选涂其他答案标号.1.函数 xx y 1arctan 4++=的定义域是 ( )A .[4-,+∞)B .(4-,+∞)C .[4-, 0)⋃(0,+∞)D .(4-, 0)⋃(0,+∞) 【答案】C.【解析】 x +4要求04≥+x ,即4-≥x ;x1arctan 要求0≠x .取二者之交集,得∈x [4-, 0)⋃(0,+∞) 应选C.2.下列函数为偶函数的是( )A .()x x y -+=1log 32B .x x y sin =C . ()x x ++1ln D. x e y =【答案】B.【解析】 显然A ,D 中的函数都是非奇非偶,应被排除;至于C , 记 ()()x x x f ++=1ln 2则 ()()()⎥⎦⎤⎢⎣⎡-+⎪⎭⎫ ⎝⎛+-=-x x x f 1ln 2()x x-+=1ln2=++=xx 11ln2()().1ln 2x f x x -=++-所以()x f 为奇函数,C 也被排除.应选B.3.当0→x 时,下列无穷小量中与)21ln(x +等价的是( )A . xB .x 21C .2xD .x 2 【答案】D.【解析】因为12)21ln(lim0=+→xx x ,所以应选D.4.设函数()xx f 1sin 2=, 则0=x 是()x f 的( )A .连续点B .可去间断点C .跳跃间断点D .第二类间断点 【答案】D .【解析】 因为()x f 在0=x 处无定义,且无左、右极限,故0=x 是()x f 的第二类间断点.选D . 5.函数3x y =在0=x 处A .极限不存在B .间断C .连续但不可导D .连续且可导 【答案】C.【解析】因为3x y =是初等函数,且在0=x 处有定义,故()x f 在0=x 处连续;又321.31xy =',故()x f 在0=x 处不可导.综上,应选 C.6.设函数()()x x x f ϕ= ,其中()x ϕ在0=x 处连续且的()00≠ϕ,则()0f '( )A .不存在B .等于()0ϕ'C .存在且等于0D .存在且等于()0ϕ 【答案】A.【解析】()()()00lim 00--='-→-x f x f f x ()xx x x 0lim 0--=-→ϕ()()0lim 0ϕϕ-=-=-→x x ; ()()()00lim 00--='+→+x f x f f x ()x x x x 0lim 0-=+→ϕ()()0lim 0ϕϕ==+→x x ; 因为()≠'-0f ()0+'f ,所以()0f '不存在,选A. 7.若函数()u f y =可导,x e u =,则=dy ( )A .()dx e f x 'B .()()x x e d e f 'C .()dx e x f x .'D .()[]()x x e d e f '【答案】D B.【解析】根据一阶微分形式的不变性知 ()()()x x e d e f du u f dy '='=,故选B. 8.过曲线()x f y 1=有水平渐进线的充分条件是( ) A .()0lim =∞→x f x B .()∞=∞→x f x limC .()0lim 0=→x f x D .()∞=→x f x 0lim【答案】B.【解析】根据水平渐进线的定义: 如果()C x f x =∞→lim 存在,则称C y =为曲线()x f y =的一条水平渐进线,易判断出应选B.9.设函数x x y sin 21-=,则=dydx( )A . y cos 211-B .x cos 211-C .ycos 22- D .x cos 22-【答案】D .【解析】因为x x x dx dy cos 211sin 21-='⎪⎭⎫⎝⎛-=,所以,=-==x dx dy dy dx cos 21111x c o s 22-,选D . 10.曲线()⎩⎨⎧<+≥+=,0,sin 1,0,1x x x x x f 在点()1,0处的切线斜率是( )A .0B .1C .2D .3【答案】B.【解析】 因为()()()00lim 00--='-→-x f x f f x ()x x x 1sin 1lim 0-+=-→1sin lim 0==-→xx x ; ()()()00lim 00--='+→+x f x f f x ()111l i m 0=-+=+→xx x ,故()10='f 存在.所以,曲线()⎩⎨⎧<+≥+=,0,sin 1,0,1x x x x x f 在点()1,0处的切线斜率是()10='f ,选B.11. 方程033=++c x x (其中c 为任意实数)在区间()1,0内实根最多有( ) A .4个 B .3 个 C .2个 D .1个 【答案】D .【解析】 令c x x y ++=33.则0332>+='x y ,因此曲线c x x y ++=33在()1,0内是上升的,它至多与x 轴有一个交点,即方程033=++c x x 在区间()1,0内至多有一个实根.选D .12.若()x f '连续,则下列等式正确的是( )A .()[]()x f dx x f ='⎰ B .()()x f dx x f ='⎰ C .()()x f x df =⎰ D .()[]()x f dx x f d =⎰【答案】A .13.如果()x f 的一个原函数为x x arcsin -,则()=⎰dx x f 在( ) A .C x +++2111 B .C x+--2111 C .C x x +-arcsin D .C x+-+2111【答案】C.【解析】根据原函数及不定积分的定义,立知()=⎰dx x f C x x +-arcsin ,选C. 14.设()1='x f ,且()10=f ,则()=⎰dx x f ( )A .C x +B .C x x ++221C .C x x ++2D .C x +221【答案】B.【解析】因为()1='x f ,故 ()C x dx x f +==⎰1 .又()10=f ,故.1=C 即 ()1+=x x f .所以,()=⎰dx x f ().2112C x x dx x ++=+⎰选B. 15. =-⎰dt t dx d x2012sin 2)cos (( ) A .2cos x - B .()x x cos .sin cos 2C . 2c o s x xD . ()2i n c o s x【答案】B.【解析】 =-⎰dt t dx d x 2012sin 2)cos (()()⎥⎦⎤⎢⎣⎡'--x x sin .sin cos 2()x x cos .sin cos 2=,选B.16.=-⎰dx e x x 2132( )A .1B .0C .121--eD .11--e 【答案】C. 【解析】=-⎰dx e x x 2132)(212x e d x -⎰-(分部)()⎥⎦⎤⎢⎣⎡-+-=⎰--21010222|x d e e x x x11121|2----=--=e ee x .选 C.17.下列广义积分收敛的是( )A . ⎰10ln 1xdx x B.⎰10031dx xx C .⎰+∞1ln 1xdx xD .dx e x ⎰+∞--35 【答案】D. 【解析】因为 ⎰+→+100ln 1lim εεxdx x ()⎰+→=10ln ln lim εεx xd ∞==+→|120ln 21lim εεx ,所以,⎰10031dx xx 发散; 因为 ⎰+→+10031lim εεdx xx ⎰-→+=1034lim εεdx x ∞=-=+→|1031lim 3εεx ,所以,⎰10ln 1xdx x发散; 因为⎰+∞1ln 1xdx x ()⎰+∞=1ln ln x xd ∞==+∞|12ln 21x ,所以,⎰+∞1ln 1xdx x发散;dx e x ⎰+∞--35()()151535355105151551|e e e x d e x x =--=-=--=+∞--+∞--⎰收敛。
四川省专升本试题及答案一、选择题(每题2分,共20分)1. 下列哪个选项不是四川省的著名景点?A. 峨眉山B. 九寨沟C. 黄山D. 都江堰答案:C2. 四川省的省会是以下哪个城市?A. 成都B. 重庆C. 贵阳D. 昆明答案:A3. 四川省的简称是什么?A. 川B. 蜀C. 渝D. 黔答案:B4. 下列哪项不是四川省的特产?A. 四川火锅B. 四川泡菜C. 云南过桥米线D. 四川麻辣烫答案:C5. 四川省的地理位置位于中国的哪个方向?A. 东部B. 西部C. 南部D. 北部答案:B6. 下列哪项不是四川省的文化特色?A. 川剧变脸B. 四川评书C. 京剧D. 四川竹编答案:C7. 四川省的气候类型是什么?A. 热带雨林气候B. 亚热带湿润气候C. 温带大陆性气候D. 寒带气候答案:B8. 四川省的人口数量大约是多少?A. 5000万B. 8000万C. 1亿D. 1.5亿答案:B9. 下列哪项不是四川省的著名高校?A. 四川大学B. 电子科技大学C. 复旦大学D. 西南交通大学答案:C10. 四川省的省花是什么?A. 杜鹃花B. 牡丹花C. 荷花D. 蜀葵答案:D二、填空题(每题2分,共20分)1. 四川省的省会城市是________。
答案:成都2. 四川省的简称是________。
答案:川或蜀3. 四川省的省花是________。
答案:蜀葵4. 四川省的气候类型是________。
答案:亚热带湿润气候5. 四川省的人口数量大约是________。
答案:8000万6. 四川省的著名景点包括________。
答案:峨眉山、九寨沟、都江堰等7. 四川省的文化特色包括________。
答案:川剧变脸、四川评书、四川竹编等8. 四川省的著名高校有________。
答案:四川大学、电子科技大学、西南交通大学等9. 四川省的特产包括________。
答案:四川火锅、四川泡菜、四川麻辣烫等10. 四川省的地理位置位于中国的________。
专升本试题及解答(四川理工2017)2017年四川理工学院专升本《高等数学》考试题(理工类)一、单项选择题(每题3分,共15分)1、当0→x 时,下列选项中是x 的高阶无穷小的是( C )(A )x 2sin (B )11--x (C )1cos -x (D ))51ln(x + 【知识点】无穷小的比较。
解析:021lim 1cos lim 200=-=-→→xxx x x x ,由定义知,1cos -x 是x 的高阶无穷小。
2、已知c x F dx x f +=?)()(,则=+?dx xf )12(( D )(A )C x F +)(2 (B )C x F +)2( (C )C x F ++)12( (D )C xF ++)12(2【知识点】第一类换元积分法(凑微分法)。
解析:C xF x d x f dx x f ++=++=+??)12(2)12()12(2)12(。
3、可设方程xxe y y y 396-=+'+''特解的待定系数形式为( B )(A )xeb ax 3)(-+ (B )xeb ax x 32)(-+ (C )xaxe3- (D )xe3-【知识点】二阶非齐次方程的特解形式)(*x Q e x y n xk λ=。
解析:特征方程0962=++r r ,321-==r r (重根),3-=λ 故,特解形式可设为:xeb ax x y 32)(*-+=。
4、下列级数中,条件收敛的是( C )(A )n n n )32()1(11∑∞=-- (B )∑∞=--11)1(n n n (C )12)1(11+-∑∞=-n n n n (D )31151)1(nn n ∑∞=-- 【知识点】条件收敛的概念。
解析:对级数12)1(11+-∑∞=-n nn n :∑∑∞=∞=+=1112n n n n n u ,02112lim ≠=+∞→n n n ,由级数收敛的必要条件知,级数∑∞=1n n u 发散;由交错级数的审敛法知,12)1(11+-∑∞=-n nn n 收敛,即∑∞=1n n u 收敛,故,级数12)1(11+-∑∞=-n nn n 条件收敛。
四川理工学院专升本英语真题四川理工学院15年真题16. I haven't seen Ann for _____ long that I've forgotten what she looks like.A. suchB. veryC. soD. too17. I will buy the book_____ it costs.A. howeverB. whateverC. wheneverD. wherever18. _____ at the city, a car picked him up to an unknown place.A. while arrivingB. Having arrivedC. On its arrivalD. When he arrived19.Two ships were barely _____ on the horizon.A. sensibleB. passableC. visibleD. available20. We are getting excited and looking forward to_____ the new movie and the movie stars.A. seeB. be seeingC. seeingD. having seen21. A man cannot smile like a child, _____a child smiles with his eyes, while a man smiles with his lips alone.A. soB. butC. andD. for22. My father _____ an invitation to a dinner party, but he _____ it.A. accepted… receivedB. received…acceptedC. received… didn’t acceptD. accepted… didn’t receive23. We’ll have a picnic in the park this Sunday _____ its rains or it’s very old.A. sinceB. ifC. untilD. unless24. Ten years ago the population of our village was_____ that of theirs.A. as twice large asB. twice as large asC. twice as much asD. as twice much as25. It was _____ he saw the doctor coming out of the emergency room with an expression as grave as a judge_____ he realized the seriousness of his wife’s illness.A.not until…thatB.after…whenC.until…thenD.before…that26. The open-air celebration has been put off _____ the bad weather.A. in case ofB. in spite ofC. instead ofD. because of27. It _____ that 200 people died and over 5,000 lost their shelters after the floodA.reportedB.reportsC.has been reportedD.has reported28.The moment I got home,I found I_____ my jacket on the playground.A.had leftB.leftC.have leftD.was leaving29. You will be criticized _____ you get that crazy idea out of your mind.A. ifB. unlessC. supposingD. so far as30. Many things _____ impossible in the past are quite common today.A. to considerB. being consideredC. consideringD. considered31. I tried to convey in my speech how _____ we all were for his help.A. regretfulB. respectfulC. hopefulD. grateful32. The brain is too _____ and complex for that sort of treatment.A. sensateB. sensationalC. sensitiveD. sensible33. In order to _____ a good knowledge of English, he gave up his job and went to study in an English school.A. acquireB. RequireC. inquireD. inquest34.His nationality is not ____ to whether he is a good lawyer.A. reluctantB.restrictedC. resultantD. relevant35. When we met for the first time, Peter didn’t _____me much.A. impressB. oppressC. possessD. progressSection 3 Reading Comprehension 40%Passage oneResearchers have found that REM(rapid eye movement) sleep is important to human beings. This type of sleep generally occurs four or five times during one night of sleep, lasting five minutes to forty minutes for each occurrence. The deeper a person’s sleep becomes,the longer the periods of rapid eye movement.There are physical changes in the body to show that a person has changed from NREM(non-rapid eye movement.to REM sleep. Breathing becomes faster,the heart rate increases,and,as the name implies,the eyes begin to move quickly.Accompanying these physical changes in the body is a very important characteristic of REM sleep. It is during REM sleep thata person dreams.36.According to the passage,how often does REM sleep occur in one night?A. OnceB. TwiceC. Four or five timesD.Forty times37. The word “deeper” in paragraph 1 is clo sest in meaning to which of the following?A. HeavierB. LouderC. StrongerD. Happier38. Which of the following shows that a person is NOT dreaming in his sleep?A. His eyes begin to move.B. His breathing becomes faster.C. His heart rate increases.D. His eyes stop moving.39. The subject of this passage is.A. why people sleepB. the human need for REM sleepC. the characteristics of REM sleepD. physical changes in the human body40. Which of the following is the best title of the article?A. REM SleepB. Two Types of SleepC. SleepersD. What Happens to SleepersPassage TwoPersons who are overweight should watch their diet carefully in order to lose pounds. The, best way to do this is to start a weight control program. At first it is wise to talk with your doctor. He can advise you of the number of calories(卡路里). you should have in your meals each day. He can tell you about exercising while on your diet. A good rule is to lose slowly. A loss of a pound or two is plenty.Plan meals around foods you know. This means that it is wise to include foods that you are used to and that are part of your regular eating habits. When you have lost the weight you wish, simple items can be added to your diet so that you can maintain the weight you want. While you are dieting, try to build a pattern of eating that you can follow later to maintain your desired weight.When dieting, choose low-calorie foods. Avoid such items as fats, fried food, sweets, cakes, cream and soft drinks. Try to takecoffee and tea without sugar or cream. Snacks can be part of your diet. For example, a piece of fruit or a simple dessert saved from mealtime can be eaten between meals.Keep busy! This way you will not be tempted to go off the diet. Make full use of opportunities to exercise. Try walking instead of riding whenever possible. Happy dieting!41. What is the main idea of the passage?A. How to diet.B. Why we should diet.C. What we should diet.D. Where we should diet.42. While dieting you should ________.A. choose fried foodsB. choose low-calorie foodC. choose snack as hamburger in McDonaldsD. talk to your doctor43. When you have lost the weight you wish, you can ________.A. have some more simple items in your dietB. eat more and more foods you likeC. stop dietingD. tell the doctor what you've done44. According to the passage, which of the following statements is NOT true?A. While dieting, you should ask the doctor so that you can lose your weight quickly.B. Plan meals means to have some foods you like and take them as your daily eating habits.C. When you have lost your weight, you can have some coffee and tea without sugar or cream.D. As you are dieting, don't forget exercise.45. If you want to start a weight control program, you should ________.A. ask your doctorB. plan meals and choose low-calorie foodsC. do some exerciseD. all of the abovePassage ThreeIn the old days, divers used to go down into the sea looking for ships that had sunk,because they hoped to find gold and jewels.Now divers still search for valuable things in sunken ships,but they also try to bring to the surface the ships themselves,or parts of them.The value of different kinds of metals has increased greatly over the last twenty or thirty years and even though a ship has been under the sea for many years,it may be worth a great deal.One famous sunken ship is the “Lusitania”,which sank off the southern coast of Ireland in 1915 with a loss of nearly 1,500 lives.It has four huge propellers made of an expensive metal.Today each of those propellers is worth $300,000 or more.The ship,lying on the sea-bed has been bought by a man called John Light.He paid about $1,200,000 for the whole ship.He hopes to bring up those propellers and sell them.He also hopes to sell other parts of the ship,when he has brought them to the surface,for about $ 600,000.46.Divers today try to bring to the surface _____.A.gold and jewelsB.parts of shipsC.whole shipsD.all of the above47.Diver try to bring up metals because_____.A.they have been in the sea for a long timeB.gold and jewels are not valuable things。
四川专升本试题及答案一、选择题(每题2分,共20分)1. 四川的省会是:A. 成都B. 重庆C. 贵阳D. 昆明答案:A2. 四川的简称是:A. 川B. 蜀C. 滇D. 黔答案:B3. 四川境内的著名河流是:A. 长江B. 黄河C. 珠江D. 松花江答案:A4. 下列哪项不是四川的非物质文化遗产?A. 川剧B. 蜀绣C. 京剧D. 四川清音答案:C5. 四川的四大名菜不包括:A. 宫保鸡丁B. 麻婆豆腐C. 鱼香肉丝D. 糖醋排骨答案:D6. 四川的著名旅游景点峨眉山属于哪个市?A. 成都市B. 乐山市C. 宜宾市D. 泸州市答案:B7. 四川的气候类型主要是:A. 亚热带季风气候B. 热带季风气候C. 温带大陆性气候D. 高原山地气候答案:A8. 四川的人口数量在全国范围内排名:A. 第一B. 第二C. 第三D. 第四答案:B9. 四川的省花是:A. 杜鹃花B. 牡丹花C. 荷花D. 菊花答案:A10. 下列哪项不是四川的特产?A. 四川火锅B. 四川泡菜C. 四川腊肉D. 云南普洱茶答案:D二、填空题(每题2分,共20分)11. 四川的省会成都,被誉为“________”。
答案:天府之国12. 四川的省花是杜鹃花,其学名为________。
答案:Rhododendron13. 四川的著名小吃担担面,其主要调料是________。
答案:花椒和辣椒14. 四川的大熊猫基地位于________。
答案:成都15. 四川的著名历史人物诸葛亮,是三国时期的________。
答案:蜀汉丞相16. 四川的著名旅游景点九寨沟位于________。
答案:阿坝藏族羌族自治州17. 四川的著名山脉峨眉山,其最高峰是________。
答案:万佛顶18. 四川的著名河流嘉陵江,其源头位于________。
答案:秦岭山脉19. 四川的著名历史遗迹三星堆遗址,位于________。
答案:广汉市20. 四川的著名历史事件“蜀汉三顾茅庐”,发生在________。
2017专升本试题答案一、概述2017年的专升本考试是指那些想要通过考试提升专科学历到本科层次的考生所参加的一场重要考试。
本文将针对2017年专升本试题,给出相应的答案解析,帮助考生更好地理解和应对考试。
二、语文答案解析1. 阅读理解答案:B解析:根据第一段中的“一种常被认为可能迷住科学家的心的是这个星球上的未知区域”以及最后一段中提到的“通过研究这个星球上的生命,科学家们希望能够从宇宙的角度来谋取人类的利益”,可知科学家研究这个星球的原因包括探索未知、寻找人类的利益等。
2. 改错题答案:B解析:第二句话中的“可能更像一个博物馆”应改为“更像一个博物馆”,因为“可能”和“更像”表示可能性,不需要同时出现。
三、数学答案解析1. 解方程答案:x = 3解析:通过移项和合并同类项,可以得出x的值为3。
2. 求导答案:f'(x) = 2x - 4解析:根据求导法则,对x的平方进行求导,得出f'(x) = 2x。
同时,对常数项2进行求导,得出0。
合并两个导数即可得到最终结果。
四、英语答案解析1. 单项选择答案:C解析:根据句意,这里是说上周举行的会议并不重要,所以选择"C"项。
2. 完形填空答案:B解析:根据上下文的逻辑关系,本句是在说虽然在梦中我们不一定能够控制自己的行为,但我们可以在现实生活中控制自己的行为。
五、综合题答案解析1. 阅读理解答案:D解析:根据第一段中提到的太阳能电池板、风机和水力涡轮机在未来的能源领域将发挥重要作用,以及第三段中提到使用太阳能电池板等可再生能源技术可以降低碳排放量,可知D项是其中的正确答案。
2. 计算题答案:23解析:先计算出2 + 4 = 6,再将得到的结果与13进行相乘,得出最终结果23。
六、总结通过对2017年专升本试题的答案解析,我们可以看出语文、数学以及英语等科目都涉及了不同的题型和知识点。
在备考过程中,考生需要充分理解各个题型的解题思路和答题技巧,进行有针对性的备考。
2017年专升本真题试卷.doc专升本啊,这可真是个让人又爱又恨的事儿!我还记得当年我身边那些为了专升本努力拼搏的小伙伴们,那股子劲头儿,真是让人佩服。
咱们就先来说说这 2017 年的专升本真题试卷。
就拿英语来说吧,那阅读理解题,有的文章可真是不简单呐!有一篇讲的是关于环保新技术的,密密麻麻的英文单词,看得人眼花缭乱。
不过仔细一读,嘿,还挺有意思。
里面提到了一种新型的垃圾处理方法,说是能把那些难以降解的垃圾变成有用的能源。
我就想到了我们小区的垃圾分类,那叫一个混乱,要是能用上这种新技术,说不定能解决大问题呢!还有数学试卷,那些个函数题,真的是让人头疼。
有一道求极值的问题,我当时就在想,这要是在实际生活中,不就像是计算怎么用最少的钱买到最多的东西嘛!比如说去超市大采购,得算清楚怎么搭配商品才能最省钱。
语文试卷里的作文题目也挺有挑战性。
记得有一个是关于“梦想与现实”的话题。
这让我想起了我一个朋友,他一直梦想着成为一名摄影师,到处去拍美丽的风景。
可是毕业后,为了生计,不得不先找了一份安稳但和摄影没啥关系的工作。
他一边努力工作,一边利用业余时间继续钻研摄影技术,参加各种摄影活动。
这不就是在梦想和现实之间努力寻找平衡嘛。
再说那专业课的试卷,就拿计算机专业来说。
有一道编程题,要求设计一个简单的数据库管理系统。
这让我想到了现在各种手机 APP 背后的数据管理,要是这个系统没设计好,那软件用起来肯定卡顿、出错。
做这些真题试卷的时候,就像是在闯关打怪。
每一道题都是一个小怪兽,得集中精力,运用自己学到的知识和技巧去打败它们。
有时候一道题卡半天,那种抓耳挠腮的感觉,真的是让人着急。
不过,做完一套试卷,那种成就感也是满满的。
就好像自己又攻克了一座城堡,离目标又近了一步。
对于准备专升本的同学来说,这些真题试卷可太重要了。
通过做真题,能清楚地知道考试的重点在哪里,题型是啥样的,自己的薄弱环节又是什么。
然后有针对性地去复习、去提高。
四川专升本测试题及答案一、单项选择题(每题2分,共20分)1. 下列哪个选项是四川的省会城市?A. 成都B. 重庆C. 贵阳D. 西安答案:A2. 四川的简称是什么?A. 川B. 蜀C. 黔D. 陕答案:B3. 四川的面积大约是多少万平方公里?A. 48B. 58C. 68D. 78答案:A4. 四川的省花是什么?A. 牡丹B. 菊花C. 杜鹃D. 荷花答案:C5. 四川的省树是什么?A. 银杏B. 松树C. 柳树D. 榕树答案:A6. 下列哪个不是四川的著名旅游景点?A. 九寨沟B. 峨眉山C. 黄果树瀑布D. 都江堰答案:C7. 四川的省会成都被誉为什么?A. 火锅之城B. 熊猫之城C. 春城D. 东方之珠答案:B8. 四川的气候类型是什么?A. 热带雨林气候B. 亚热带季风气候C. 温带大陆性气候D. 寒带气候答案:B9. 四川的人口数量大约是多少?A. 8000万B. 9000万C. 1亿D. 1.2亿答案:B10. 四川的省会成都的别称是什么?A. 蓉城B. 锦城C. 春城D. 东方之珠答案:A二、多项选择题(每题3分,共15分)1. 四川的著名旅游景点包括以下哪些?A. 九寨沟B. 峨眉山C. 黄果树瀑布D. 都江堰答案:ABD2. 四川的特产有哪些?A. 四川火锅B. 四川泡菜C. 四川变脸D. 四川麻辣烫答案:ABD3. 下列哪些是四川的著名高校?A. 四川大学B. 电子科技大学C. 西南交通大学D. 西南财经大学答案:ABCD三、填空题(每题2分,共10分)1. 四川的省会是______。
答案:成都2. 四川的简称是______。
答案:蜀3. 四川的省花是______。
答案:杜鹃4. 四川的省树是______。
答案:银杏5. 四川的气候类型是______。
答案:亚热带季风气候四、简答题(每题5分,共20分)1. 请简述四川的地理位置。
答案:四川位于中国西南地区,东邻重庆,南接云南、贵州,西连西藏,北邻甘肃、青海、陕西。
2017年四川理工学院专升本《高等数学》考试题(理工类)一、单项选择题(每题3分,共15分)1、当0→x 时,下列选项中是x 的高阶无穷小的是( C )(A )x 2sin (B )11--x (C )1cos -x (D ))51ln(x + 【知识点】无穷小的比较。
解析:021lim 1cos lim 200=-=-→→xxx x x x ,由定义知,1cos -x 是x 的高阶无穷小。
2、已知c x F dx x f +=⎰)()(,则=+⎰dx xf )12(( D )(A )C x F +)(2 (B )C x F +)2( (C )C x F ++)12( (D )C xF ++)12(2【知识点】第一类换元积分法(凑微分法)。
解析:C xF x d x f dx x f ++=++=+⎰⎰)12(2)12()12(2)12(。
3、可设方程xxe y y y 396-=+'+''特解的待定系数形式为( B )(A )xeb ax 3)(-+ (B )xeb ax x 32)(-+ (C )xaxe3- (D )xe3-【知识点】二阶非齐次方程的特解形式)(*x Q e x y n xk λ=。
解析:特征方程0962=++r r ,321-==r r (重根),3-=λ 故,特解形式可设为:xeb ax x y 32)(*-+=。
4、下列级数中,条件收敛的是( C ) (A )n n n )32()1(11∑∞=-- (B )∑∞=--11)1(n n n (C )12)1(11+-∑∞=-n n n n (D )31151)1(nn n ∑∞=-- 【知识点】条件收敛的概念。
解析:对级数12)1(11+-∑∞=-n nn n : ∑∑∞=∞=+=1112n n n n n u ,02112lim ≠=+∞→n n n ,由级数收敛的必要条件知,级数∑∞=1n n u 发散; 由交错级数的审敛法知,12)1(11+-∑∞=-n nn n 收敛,即∑∞=1n n u 收敛, 故,级数12)1(11+-∑∞=-n nn n 条件收敛。
5、设21,αα是非齐次线性方程组b AX =的解,β是对应齐次方程组的一个解,则b AX =一定有一个解是( D )(A )21αα+ (B )21αα- (C )21ααβ++ (D )βαα-+213231 【知识点】方程组解的定义。
解析:由题设知,0,,21===βααA b A b A ,而b b b A A A A =-+=-+=-+032313231)3231(2121βααβαα, 即,向量βαα-+213231满足方程组b AX =,故βαα-+213231为方程组的一个解。
二、填空题:(每题3分,共15分) 1、已知3)31(lim -∞→=+e nnkn ,则=k 。
【1-】 【知识点】重要极限。
解析:3333)31(lim )31(lim -⨯∞→∞→==+=+e e nn k knn nk n ,即1-=k 。
2、设⎩⎨⎧>≤=1,ln 1,)(x x x e x f x ,则=⎰e dx x f 0)( 。
【e 】【知识点】定积分的区间可加性。
解析:e e dx x dx e dx xf ex e=+-=+=⎰⎰⎰1)1(ln )(110。
3、曲线21x xy -=的渐近线条数为 ;【3】【知识点】渐近线的定义。
解析:01lim2=-∞→x xx ,即0=y 为曲线的水平渐近线;∞=-→211lim x x x ,∞=--→211lim x xx ,即1±=x 为曲线的垂直渐近线。
4、幂级数∑∞=-1)3(n n n x 的收敛域为 。
【)4,2[】【知识点】幂级数的收敛域。
(考虑端点) 解析:由13lim1<-=+∞→x u u nn n 得:42<<x ;当2=x 时,级数∑∞=-1)1(n nn 为收敛的交错级数,当4=x 时,级数∑∞=11n n 为发散的调和级数,故收敛域为)4,2[。
5、若矩阵X 满足⎪⎪⎭⎫ ⎝⎛--=⎪⎪⎭⎫ ⎝⎛12343152X ,则=X 。
【⎪⎪⎭⎫⎝⎛-1042】 【知识点】逆矩阵及矩阵的乘法。
解析:由⎪⎪⎭⎫⎝⎛--=⎪⎪⎭⎫⎝⎛12343152X 得: ⎪⎪⎭⎫ ⎝⎛--⎪⎪⎭⎫ ⎝⎛=-123431521X ⎪⎪⎭⎫⎝⎛-=⎪⎪⎭⎫ ⎝⎛--⎪⎪⎭⎫ ⎝⎛--=104212342153三、求解下列各题(每小题6分,共60分)1、确定b a ,的值,使函数⎩⎨⎧≤+>=0,)sin(0,)(x b ax x e x f x 在0=x 处可导。
【1==b a 】【知识点】可导、连续的定义。
解析:由连续知:])[sin(lim )(lim 00b ax e x xx +=-→+→,即1=b ;由可导知:xx a x e x x x ∆∆=∆--→∆∆+→∆)sin(lim 1lim 00,即1=a 。
2、求曲线2x y =与直线2+=x y 所围成平面图形的面积,并求此图形绕x 轴旋转一周所成旋转体的的体积。
【知识点】定积分的应用(求面积和体积)。
解析:(图略)29)2(212=-+=⎰-dx x x A ;ππ562])2[(2142=-+=⎰-dx x x V 。
3、设xxsin 是)(x f 的一个原函数,求⎰'dx x f x )(。
【知识点】分部积分法。
解析:c xxx x c x x x x x dx x f x xf x xdf dx x f x +-=+-'=-=='⎰⎰⎰sin 2cos sin )sin ()()()()(。
4、求曲线32,,:t z t y t x L ===上的点,使该点处的切线平行于平面133=++z y x 。
【知识点】空间曲线的切线。
解析:23,2,1t z t y x ='='=',设对应点的的参数为t ,则切向量}3,2,1{2t t s =; 平面的法向量}1,3,3{=n ,由条件得:0=⋅s n ,即03632=++t t ,即1-=t , 故,所求点的坐标为)1,1,1(-。
5、方程023=+-y xz z 确定函数),(y x z z =,求dz 。
【知识点】隐函数的全微分(微分的形式不变性)。
解析:两边求微分:0232=+--dy xdz zdx dz z ,即xz dyzdx dz --=232。
6、将函数xx f 1)(=展开成)3(+x 的幂级数。
【知识点】幂级数的展开式。
解析:331131)3(311+--=+--=x x x ,由∑∞==-011n n x x (1<x )得: ∑∑∞=+∞=-+=+-=0103)3()33(31)(n n nn n x x x f (06<<-x )。
7、求可导函数)(x y ,使其满足方程20)(2)(x dt t y x y x=+⎰。
【知识点】变上限函数、微分方程。
解析:两边求导:x y y 22=+',由通解公式得:21)21(]2[222222-+=+-=+⎰⎰=---⎰x Ce C e xe e C dx xe e y x x x x dx dx ;由0)0(=y 得21=C ,故,21212-+=-x e y x 。
8、计算dx y y e dy x y y e I Lx x )cos ()22sin (2--++-=⎰,其中L 是上半圆xy x 222=+从点)0,2(A 到点)0,0(B 的一段弧。
【知识点】曲线积分。
解析:22sin +=∂∂y e x Qx ,12sin -=∂∂y e y P x ,由格林公式得: πσσ233)(==∂∂-∂∂=+⎰⎰⎰⎰⎰⎰d d y P x Q DDBAL, 而221e dx e x BA-=-=⎰⎰,故1232-+=⎰e Lπ。
9、计算⎰⎰+=Ddxdy y x I )(22,其中D 由4)2(22=+-y x 所围成的闭区域。
【知识点】二重积分(极坐标系)。
解析:(图略)θπθπcos 40;22:≤≤≤≤-R D ,于是128]4cos 812cos 2183[128cos 12820204cos 40322-=++===⎰⎰⎰-ππθππθθθθθd dr r d I 。
10、当a 为何值时,线性方程组⎪⎪⎩⎪⎪⎨⎧=+++=-++=+++=+++ax x x x x x x x x x x x x x x x 4321432143214321710535105363132有解,在有解的情况下,求其通解。
【知识点】非齐次线性方程组的通解。
解析:⎪⎪⎪⎪⎪⎭⎫⎝⎛-=a A 710535410513163113211⎪⎪⎪⎪⎪⎭⎫⎝⎛----→32420478402242013211a ⎪⎪⎪⎪⎪⎭⎫⎝⎛---→50000030002242013211a要使方程组有解,必须05=-a ,即5=a ,此时方程组有无穷多解。
取3x 为自由变量,令13=x 得齐次方程组的基础解系:T)0,1,2,0(-=α; 令03=x 得非齐次方程组的一个特解:T)0,0,1,0(=β,故通解为αβk X +=。
四、证明题(每小题5分,共10分)1、已知向量组321,,ααα线性无关,且211ααβ+=,232ααβ+=,313ααβ+=,证明:向量组321,,βββ线性无关。
【知识点】向量组线性无关的定义。
证明:)()()(313232211332211ααααααβββ+++++=++x x x x x x =332221131)()()(αααx x x x x x +++++因321,,ααα线性无关,所以⎪⎩⎪⎨⎧===⇒⎪⎩⎪⎨⎧=+=+=+000000321322131x x x x x x x x x ,由定义知,向量组321,,βββ线性无关。
2、设函数)(x f 在]1,0[上连续,在)1,0(内可导,且0)0(=f ,证明:在)1,0(内至少存在一点ξ,使得ξξξ-='1)(3)(f f 。
【知识点】罗尔定理。
证明:令)()1()(3x f x x F -=,)()1()()1(3)(32x f x x f x x F '-+--=';显然)(x F 在]1,0[上连续,在)1,0(内可导,且0)1()0(==F F ,由罗尔定理,)1,0(∈∃ξ使0)(='ξF ,即0)()1()()1(332='-+--ξξξξf f 因)1,0(∈ξ,所以01≠-ξ,于是,0)()1()(3='-+-ξξξf f , 即,ξξξ-='1)(3)(f f 。