大学物理习题及解答(电磁感应)
- 格式:doc
- 大小:148.50 KB
- 文档页数:3
第11章电磁感应期末试题及参考答案一、填空题1、在竖直放置的一根无限长载流直导线右侧有一与其共面的任意形状的平面线圈。
直导线中的电流由下向上,当线圈平行于导线向右运动时,线圈中的感应电动势方向为___________(填顺时针或逆时针),其大小 (填>0,<0或=0 (设顺时针方向的感应电动势为正)2、如图所示,在一长直导线L 中通有电流I ,ABCD 为一矩形线圈,它与L 皆在纸面内,且AB 边与L 平行,矩形线圈绕AD 边旋转,当BC 边已离开纸面正向里运动时,线圈中感应动势的方向为___________。
(填顺时针或逆时针)3、金属杆AB 以匀速v 平行于长直载流导线运动, 导线与AB 共面且相互垂直,如图所示。
已知导线载有电流I ,则此金属杆中的电动势为 电势较高端为____。
4、金属圆板在均匀磁场中以角速度ω 绕中心轴旋转 均匀磁场的方向平行于转轴,如图所示,则盘中心的电势 (填最高或最低)5、一导线被弯成如图所示形状,bcde 为一不封口的正方形,边长为l ,ab 为l 的一半。
若此导线放在匀强磁场B 中,B 的方向垂直图面向内。
导线以角速度ω在图面内绕a 点匀速转动,则此导线中的电势为 ;最高的点是__________。
6、如图所示,在与纸面相平行的平面内有一载有向上方向电流的无限长直导线和一接有电压表的矩形线框。
当线框中有逆时针方向的感应电流时,直导线中的电流变化为________。
(填写“逐渐增大”或“逐渐减小”或“不变”)IVO O ′ B BAC 7、圆铜盘水平放置在均匀磁场中,B 的方向垂直盘面向上。
当磁场随时间均匀增加时,从下往上看感应电动势的方向为_______(填顺或逆时针)二、单选题1、如图所示,导体棒AB 在均匀磁场B 中 绕通过C 点的垂直于棒长且沿磁场方向的轴OO ' 转动(角速度ω与B 同方向),BC 的长度为棒长的1/3,则( ) (A) A 点比B 点电势高 (B) A 点与B 点电势相等(C) A 点比B 点电势低 (D) 有稳恒电流从A 点流向B 点2、圆铜盘水平放置在均匀磁场中,B的方向垂直盘面向上。
第七章 静电场和恒定磁场的性质(三)磁感应强度序号 学号 姓名 专业、班级一 选择题[ D ]1.一磁场的磁感应强度为k j i B c b a ++=(T ),则通过一半径为R ,开口向z 正方向的半球壳表面的磁通量的大小是: (A) Wb 2a R π (B) Wb 2b R π (C) Wb 2c R π(D) Wb 2abc R π[ B ]2. 若要使半径为4×103-m 的裸铜线表面的磁感应强度为7.0×105- T ,则铜线中需要通过的电流为(μ0=4π×107-T ·m ·A1-)(A) 0.14A (B) 1.4A(C) 14A (D) 28A[ B ]3. 一载有电流I 的细导线分别均匀密绕在半径为R 和r 的长直圆筒上形成两个螺线管(R=2r),两螺线管单位长度上的匝数相等,两螺线管中的磁感应强度大小R B 和r B 应满足: (A) R B =2r B (B) R B =rB(C) 2R B =r B(D) R B R=4r B[ C ]4.下列哪一幅曲线能确切描述载流圆线圈在其轴线上任意点所产生的B 随x 的变化关系? (x 坐标轴垂直于圆线圈平面,原点在圆线圈中心O )[ D ]5.载流的圆形线圈(半径1a )与正方形线圈(边长2a )通有相同电流I ,若两个线圈的中心O 1,O 2处的磁感应强度大小相同,则半径1a 与边长2a 之比21:a a 为: (A) 1:1 (B) 1:2π (C) 4:2π (D)8:2π[ B ]6.有一无限长通有电流的偏平铜片,宽度为a ,厚度不计,电流I 在铜片上均匀分布,在铜片外与铜片共面,离铜片右边缘b 处的P 点(如图)的磁感应强度B的大小为:(A))(20b a I+πμ (B) bb a a I +ln 20πμ(C) bb a b I +ln 20πμ(D))21(20b a I+πμ二 填空题1.一无限长载流直导线,通有电流I ,弯成如图形状,设各线段皆在纸面内,则P 点磁感应强度 B 的大小为aIπμ830。
大学物理第11章电磁感应期末试题及参考答案第11章电磁感应期末试题及参考答案一、填空题1、在竖直放置的一根无限长载流直导线右侧有一与其共面的任意形状的平面线圈。
直导线中的电流由下向上,当线圈平行于导线向右运动时,线圈中的感应电动势方向为___________(填顺时针或逆时针),其大小 (填>0,<0或=0 (设顺时针方向的感应电动势为正)2、如图所示,在一长直导线L 中通有电流I ,ABCD 为一矩形线圈,它与L 皆在纸面内,且AB 边与L 平行,矩形线圈绕AD 边旋转,当BC 边已离开纸面正向里运动时,线圈中感应动势的方向为___________。
(填顺时针或逆时针)3、金属杆AB 以匀速v 平行于长直载流导线运动,导线与AB 共面且相互垂直,如图所示。
已知导线载有电流I ,则此金属杆中的电动势为电势较高端为____。
4、金属圆板在均匀磁场中以角速度ω 绕中心轴旋转均匀磁场的方向平行于转轴,如图所示,则盘中心的电势(填最高或最低)5、一导线被弯成如图所示形状,bcde 为一不封口的正方形,边长为l ,ab 为l 的一半。
若此导线放在匀强磁场B 中,B 的方向垂直图面向内。
导线以角速度ω在图面内绕a 点匀速转动,则此导线中的电势为;最高的点是__________。
6、如图所示,在与纸面相平行的平面内有一载有向上方向电流的无限长直导线和一接有电压表的矩形线框。
当线框中有逆时针方向的感应电流时,直导线中的电流变化为________。
(填写“逐渐增大”或“逐渐减小”或“不变”)IVO O ′ B BAC 7、圆铜盘水平放置在均匀磁场中,B 的方向垂直盘面向上。
当磁场随时间均匀增加时,从下往上看感应电动势的方向为_______(填顺或逆时针)二、单选题1、如图所示,导体棒AB 在均匀磁场B 中绕通过C 点的垂直于棒长且沿磁场方向的轴OO ' 转动(角速度ω与B 同方向),BC 的长度为棒长的1/3,则() (A) A 点比B 点电势高 (B) A 点与B 点电势相等(C) A 点比B 点电势低 (D) 有稳恒电流从A 点流向B 点2、圆铜盘水平放置在均匀磁场中,B的方向垂直盘面向上。
第9章 电稳感应和电磁场 习题及答案1. 通过某回路的磁场与线圈平面垂直指向纸面内,磁通量按以下关系变化:23(65)10t t Wb -Φ=++⨯。
求2t s =时,回路中感应电动势的大小和方向。
解:310)62(-⨯+-=Φ-=t dtd ε当s t 2=时,V 01.0-=ε由楞次定律知,感应电动势方向为逆时针方向2. 长度为l 的金属杆ab 以速率υ在导电轨道abcd 上平行移动。
已知导轨处于均匀磁场B中,B 的方向与回路的法线成60°角,如图所示,B 的大小为B =kt (k 为正常数)。
设0=t 时杆位于cd 处,求:任一时刻t 导线回路中感应电动势的大小和方向。
解:任意时刻通过通过回路面积的磁通量为202160cos t kl t Bl S d B m υυ==⋅=Φ导线回路中感应电动势为 t kl tmυε-=Φ-=d d 方向沿abcda 方向。
3. 如图所示,一边长为a ,总电阻为R 的正方形导体框固定于一空间非均匀磁场中,磁场方向垂直于纸面向外,其大小沿x 方向变化,且)1(x k B +=,0>k 。
求: (1)穿过正方形线框的磁通量;(2)当k 随时间t 按t k t k 0)(=(0k 为正值常量)变化时,线框中感生电流的大小和方向。
解:(1)通过正方形线框的磁通量为⎰⎰=⋅=Φa S Badx S d B 0 ⎰+=a dx x ak 0)1()211(2a k a +=(2)当t k k 0=时,通过正方形线框的磁通量为)211(02a t k a +=Φ 正方形线框中感应电动势的大小为dt d Φ=ε)211(02a k a += 正方形线框线框中电流大小为)211(02a R k a R I +==ε,方向:顺时针方向4.如图所示,一矩形线圈与载有电流t I I ωcos 0=长直导线共面。
设线圈的长为b ,宽为a ;0=t 时,线圈的AD 边与长直导线重合;线圈以匀速度υ垂直离开导线。
《大学物理》电磁感应练习题及答案一、简答题1、简述电磁感应定律答:当穿过闭合回路所围面积的磁通量发生变化时,不论这种变化是什么原因引起的,回路中都会建立起感应电动势,且此感应电动势等于磁通量对时间变化率的负值,即dtd i φε-=。
2、简述动生电动势和感生电动势答:由于回路所围面积的变化或面积取向变化而引起的感应电动势称为动生电动势。
由于磁感强度变化而引起的感应电动势称为感生电动势。
3、简述自感和互感答:某回路的自感在数值上等于回路中的电流为一个单位时,穿过此回路所围成面积的磁通量,即LI LI =Φ=Φ。
两个线圈的互感M M 值在数值上等于其中一个线圈中的电流为一单位时,穿过另一个线圈所围成面积的磁通量,即212121MI MI ==φφ或。
4、简述位移电流与传导电流有什么异同答:共同点:都能产生磁场。
不同点:位移电流是变化电场产生的(不表示有电荷定向运动,只表示电场变化),不产生焦耳热;传导电流是电荷的宏观定向运动产生的,产生焦耳热。
5 简述感应电场与静电场的区别?答:感生电场和静电场的区别6、写出麦克斯韦电磁场方程的积分形式。
答:⎰⎰==⋅s v q dv ds D ρ dS tB l E s L ⋅∂∂-=⋅⎰⎰d 0d =⋅⎰S S B dS t D j l H s l ⋅⎪⎭⎫ ⎝⎛∂∂+=⋅⎰⎰d 7、简述产生动生电动势物理本质答:在磁场中导体作切割磁力线运动时,其自由电子受洛仑滋力的作用,从而在导体两端产生电势差8、 简述磁能密度, 并写出其表达式答:单位体积中的磁场能量,221H μ。
9、 简述何谓楞次定律答:闭合的导线回路中所出现的感应电流,总是使它自己所激发的磁场反抗任何引发电磁感应的原因(反抗相对运动、磁场变化或线圈变形等).这个规律就叫做楞次定律。
10、全电流安培环路定理答:磁场强度沿任意闭合回路的积分等于穿过闭合回路围成的曲面的全电流 s d t D j l d H s e •⎪⎪⎭⎫ ⎝⎛∂∂+=•⎰⎰二、选择题1、有一圆形线圈在均匀磁场中做下列几种运动,那种情况在线圈中会产生感应电流( D )A 、线圈平面法线沿磁场方向平移B 、线圈平面法线沿垂直于磁场方向平移C 、线圈以自身的直径为轴转动,轴与磁场方向平行D 、线圈以自身的直径为轴转动,轴与磁场方向垂直2、有两个线圈,线圈1对线圈2的互感系数为21M ,而线圈2对线圈1的互感系数为12M .若它们分别流过1i 和2i 的变化电流且dt di dt di 21<,并设由2i 变化在线圈1中产生的互感电动势为12ε,由1i 变化在线圈1中产生的互感电动势为21ε,下述论断正确的是( D )A 、 12212112,εε==M MB 、 12212112,εε≠≠M MC 、 12212112,εε>=M MD 、 12212112,εε<=M M3、对于位移电流,下列四种说法中哪一种说法是正确的 ( A )A 、位移电流的实质是变化的电场B 、位移电流和传导电流一样是定向运动的电荷C 、位移电流服从传导电流遵循的所有规律D 、位移电流的磁效应不服从安培环路定理4、下列概念正确的是 ( B )。
大学物理6丫头5《大学物理AI 》作业 No.11 电磁感应班级 ________________ 学号 ______________ 姓名 ____________ 成绩 ___________一、选择题:(注意:题目中可能有一个或几个正确答案) 1.一块铜板放在磁感应强度正在增大的磁场中时,铜板中出现涡流(感应电流),则涡流将: (A)加速铜板中磁场的增加 (B)减缓铜板中磁场的增加(C)对磁场不起作用 (D)使铜板中磁场反向[ B ] 解:根据愣次定律,感应电流的磁场总是力图阻碍原磁场的变化。
故选B2.一无限长直导体薄板宽度为l ,板面与Z 轴垂直,板的长度方向沿Y 轴,板的两侧与一个伏特计相接,如图。
整个系统放在磁感应强度为B的均匀磁场中,B的方向沿Z 轴正方向,如果伏特计与导体平板均以速度v向Y 轴正方向移动,则伏特计指示的电压值为(A) 0 (B)vBl 21(C) vBl (D) vBl 2[ A ]解:在伏特计与导体平板运动过程中,dc ab εε=,整个回路0=∑ε,0=i ,所以伏特计指示0=V 。
故选A3.两根无限长平行直导线载有大小相等方向相反的电流I ,I 以tId d 的变化率增长,一矩形线圈位于导线平面内(如图),则: (A)线圈中无感应电流。
(B)线圈中感应电流为顺时针方向。
(C)线圈中感应电流为逆时针方向。
(D)线圈中感应电流方向不确定。
[ B ]解:0d d >t I ,在回路产生的垂直于纸面向外的磁场⊗增强,根据愣次定律,回路中产生的电流为顺时针,用以反抗原来磁通量的变化。
故选B4.在一通有电流I 的无限长直导线所在平面内,有一半经为r ,电阻为R 的导线环,环中心距直导线为a ,如图所示,且r a >>。
当aIroabcVdYBZlI直导线的电流被切断后,沿着导线环流过的电量约为:(A))11(220ra a R Ir +-πμ(B)a ra R Ir +ln20πμ (C)aRIr 220μ (D)rRIa 220μ[ C ]解:直导线切断电流的过程中,在导线环中有感应电动势大小:td d Φ=ε 感应电流为:tR Ri d d 1Φ==ε则沿导线环流过的电量为 ∆Φ=⋅Φ==⎰⎰Rt t R t i q 1d d d 1daRIr R r a I R S B 212120200μππμ=⋅⋅=⋅∆≈故选C5.如图所示,直角三角形金属框架abc 放在均匀磁场中,磁场B平行于ab 边,bc 的边长为l 。
四. 知识要点:第一单元电磁感应现象楞次定律(一)电磁感应现象1. 产生感应电流的条件:穿过闭合电路的磁通量发生变化.2. 磁通量的计算(1)公式Φ=BS此式的适用条件是:①匀强磁场;②磁感线与平面垂直。
(2)如果磁感线与平面不垂直,上式中的S为平面在垂直于磁感线方向上的投影面积.即其中θ为磁场与面积之间的夹角,我们称之为“有效面积”或“正对面积”。
(3)磁通量的方向性:磁通量正向穿过某平面和反向穿过该平面时,磁通量的正负关系不同。
求合磁通时应注意相反方向抵消以后所剩余的磁通量。
(4)磁通量的变化:可能是B发生变化而引起,也可能是S发生变化而引起,还有可能是B和S同时发生变化而引起的,在确定磁通量的变化时应注意。
3. 感应电动势的产生条件:无论电路是否闭合,只要穿过电路的磁通量发生变化,这部分电路就会产生感应电动势。
这部分电路或导体相当于电源。
(二)感应电流的方向1. 右手定则当闭合电路的部分导体切割磁感线时,产生的感应电流的方向可以用右手定则来进行判断。
右手定则:伸开右手,使大拇指跟其余四指垂直,并且都跟手掌在一个平面内,让磁感线垂直穿入手心,大拇指指向导体运动方向,那么伸直四指指向即为感应电流的方向。
说明:伸直四指指向还有另外的一些说法:①感应电动势的方向;②导体的高电势处。
2. 楞次定律(1)内容感应电流具有这样的方向:就是感应电流的磁场总是阻碍引起感应电流的磁通量的变化。
注意:①“阻碍”不是“相反”,原磁通量增大时,感应电流的磁场与原磁通量相反,“反抗”其增加;原磁通量减小时,感应电流的磁场与原磁通量相同,“补偿”其减小,即“增反减同”。
②“阻碍”也不是阻止,电路中的磁通量还是变化的,阻碍只是延缓其变化。
③楞次定律的实质是“能量转化和守恒”,感应电流的磁场阻碍过程,使机械能减少,转化为电能。
(2)应用楞次定律判断感应电流的步骤:①确定原磁场的方向。
②明确回路中磁通量变化情况。
③应用楞次定律的“增反减同”,确定感应电流磁场的方向。
第九章 电磁感应 电磁场理论练 习 一一.选择题1. 在一线圈回路中,规定满足如图1所示的旋转方向时,电动势 ,磁通量为正值。
若磁铁沿箭头方向进入线圈,则有( B ) (A) d /dt 0, 0 ; (B) d /dt 0, 0 ; (C) d /dt 0,0 ; (D) d /dt 0,0。
2. 一磁铁朝线圈运动,如图2所示,则线圈内的感应电流的方向(以螺线管内流向为准)以及电表两端电势U A 和U B 的高低为( C )(A) I 由A 到B ,U A U B ; (B) I 由B 到A ,U A U B ; (C) I 由B 到A ,U A U B ; (D) I 由A 到B ,U A U B 。
3. 一长直螺线管,单位长度匝数为n ,电流为I ,其中部放一面积为A ,总匝数为N ,电阻为R 的测量线圈,如图3所示,开始时螺线管与测量线圈的轴线平行,若将测量线圈翻转180°,则通过测量线圈某导线截面上的电量q 为( A ) (A) 2nINA /R ; (B)nINA /R ; (C)NIA /R ; (D)nIA /R 。
4. 尺寸相同的铁环和铜环所包围的面积中,磁通量的变化率相同,则环中( A ) (A )感应电动势相同,感应电流不同; (B )感应电动势不同,感应电流相同; (C )感应电动势相同,感应电流相同; (D )感应电动势不同,感应电流不同。
S N v图1· ·GA B NS 图2IIA图3二.填空题1.真空中一长度为0l 的长直密绕螺线管,单位长度的匝数为n ,半径为R ,其自感系数L可表示为0220l R n L πμ=。
2. 如图4所示,一光滑的金属导轨置于均匀磁场B v中,导线ab 长为l ,可在导轨上平行移动,速度为v ,则回路中的感应电动势ε=θsin Blv ,a 、b 两点的电势a U < b U (填<、=、>),回路中的电流I=R Blv /sin θ,电阻R 上消耗的功率P=R Blv /)sin (2θ。
《大学物理》电磁感应练习题及答案解析一、选择题1. 圆铜盘水平放置在均匀磁场中,B 的方向垂直盘面向上,当铜盘绕通过中心垂直于盘面的轴沿图示方向转动时.( D )(A) 铜盘上有感应电流产生,沿着铜盘转动的相反方向流动。
(B) 铜盘上有感应电流产生,沿着铜盘转动的方向流动。
(C) 铜盘上没有感应电流产生,铜盘中心处电势最高。
(D) 铜盘上没有感应电流产生,铜盘边缘处电势最高。
2.在尺寸相同的铁环和铜环所包围的面积中穿过相同变化率的磁通量,则两环中( C )A.感应电动势相同,感应电流相同;B.感应电动势不同,感应电流不同;C.感应电动势相同,感应电流不同;D.感应电动势不同,感应电流相同。
3.两根无限长的平行直导线有相等的电流但电流的流向相反如右图,而电流的变化率均大于零,有一矩形线圈与两导线共面,则( B )A.线圈中无感应电流;B.线圈中感应电流为逆时针方向;C.线圈中感应电流为顺时针方向;D.线圈中感应电流不确定。
4.如图所示,在长直载流导线下方有导体细棒,棒与直导线垂直且共面。
(a)、(b)、(c)处有三个光滑细金属框。
今使以速度向右滑动。
设(a)、(b)、(c)、(d)四种情况下在细棒中的感应电动势分别为ℇa、ℇb、ℇc、ℇd,则( C )A.ℇa =ℇb =ℇc <ℇd B.ℇa =ℇb =ℇc >ℇdC.ℇa =ℇb =ℇc =ℇd D.ℇa >ℇb <ℇc <ℇd5.一矩形线圈,它的一半置于稳定均匀磁 场中,另一半位于磁场外,如右图所示, 磁感应强度B的方向与纸面垂直向里。
欲使线圈中感应电流为顺时针方向则(A ) A .线圈应沿x 轴正向平动; B .线圈应沿y 轴正向平动;C .线圈应沿x 轴负向平动D .线圈应沿y 轴负向平动6.在圆柱形空间内有一磁感强度为B 的均匀磁场,如图所示,B 的大小以速率dtdB变化,在磁场中有A 、B 两点,其间可以放置一直导线和一弯曲的导线,则有下列哪种情[ D ] (A) 电动势只在直导线中产生(B) 电动势只在弯曲的导线产生 (C) 电动势在直导线和弯曲的导线中都产生, 且两者大小相等(D)直导线中的电动势小于弯曲导线中的电动势 知识点:电动势 类型:A7、关于感生电场和静电场下列哪一种说法正确.( B )(A) 感生电场是由变化电场产生的.(B) 感生电场是由变化磁场产生的,它是非保守场. (C) 感生电场是由静电场产生的(D) 感生电场是由静电场和变化磁场共同产生的1D 2C 3B 4C 5A6D7B二、填空题1.如图所示,AB 、CD 、为两均匀金属棒,长均为0.2m ,放在磁感应强度 B=2T 的均匀磁场中,磁场的方向垂直于屏面向里,AB 和CD 可以在导轨上自由滑动,当 CD 和AB 在导轨上分别以s m v /41=、s m v /22=速率向右作匀速运动时,在CD 尚未追上AB 的时间段内ABDCA 闭合回路上动生电动势的大小______________ 方向 _____________________.1电动势的大小 0.8V 方向 顺时针方向2.一匝数的线圈,通过每匝线圈的磁通量,则任意时刻线圈感应电动势的大小 ______________ . 感应电动势的大小 t ππ10cos 1057⨯ 3.感生电场产生的原因_ 变化的磁场产生感生电场4.动生电动势的产生的原因是:___电荷在磁场中运动受到洛伦兹力___ 5 。
大学物理练习题十一一、选择题1. 如图,导体棒AB 在均匀磁场B 中绕过C 点的垂直于棒长且沿磁场方向的轴OO ’转动(角速度ωϖ与B ϖ同方向),BC 的长度为棒长的31。
则 [ A ](A )A 点比B 点电势高. (B )A 点与B 点电势相等.(C )A 点比B 点电势低. (D )有稳恒电流从A 点流向B 点.解: 从上往下看,AC 、CB 段导体在磁场中旋转切割磁力线,由B v q ϖϖ⨯=ε知外端电势高。
由221λB ωε=及BC AC λλ>知BC AC ε>ε,即B A U U >2. 有两个线圈,线圈1对线圈2的互感系数为M 21,而线圈2对线圈1的互感系数为M 12。
若它们分别流过i 1和i 2的变化电流且dtdi dt di 21>,并设由i 2变化在线圈1中产生的互感电动势为12ε,由i 1变化在线圈2中产生的互感电动势为21ε,判断下述哪个论断正确?[ C ](A) 2112M M =,1221εε=。
(B) 2112M M ≠,1221εε≠。
(C) 2112M M =,1221εε>。
(D) 2112M M =,1221εε<。
解:由dt di M 21212-=ε,dtdi M 12121-=ε,2112M M =, 有 dt di dt di //211221=εε,当dt di dt di 21>时必有1221εε> 注:这里ε指大小(绝对值)。
*3. 已知圆环式螺线管的自感系数为L 。
若将该螺线管锯成两个半环式的螺线管,则两个半环螺线管的自感系数 [ D ](A) 都等于21L 。
(B) 有一个大于21L ,另一个小于21L 。
(C) 都大于21L 。
(D) 都小于21L 。
解: 将圆环看作是两个半环串联,M L L L 221++=, 显然L L L 2121<=4. 真空中一根无限长直细导线上通有电流强度为I 的电流,则距导线垂直距离为a 的空间某点处的磁能密度为: [ B ] (A) 200221⎪⎭⎫ ⎝⎛a I πμμ (B) 200221⎪⎭⎫ ⎝⎛a I πμμ (C) 20221⎪⎪⎭⎫ ⎝⎛I a μπ (D) 200221⎪⎭⎫ ⎝⎛a I μμ 解: a I B πμ20=代入022μB w m =5. 两个线圈P 和Q 并联地接到一电动势恒定的电源上。
第八章 电磁感应习题8-1 一半径r =10cm 的圆形回路放在B =0.8T 的均匀磁场中,回路平面与B 垂直,当回路半径以恒定速率d =80d r t cm/s 收缩时,求回路中感应电动势的大小。
解:2πr B BS m ==Φ,40.0d d π2)π(d d d d 2====tr r B r B t t m Φε(V ) 8-2 如图所示,载有电流I 的长直导线附近,放一导体半圆环MeN 与长直导线共面,且端点MN 的连线与长直导线垂直。
半圆环的半径为b ,环心O 与导线相距a 。
设半圆环以速度v 平行导线平移,求半圆环内感应电动势的大小和方向及MN 两端的电压U MN 。
解:用直导线连接MN 构成闭合导体回路,则在闭合回路沿v 方向运动时,磁通量的变化d 0m Φ=,得0MeNM ε=即MeN MN εε=下面求εMN ,在导线MN 上距电流l 处取线元d l ,方向由M 到N ,则线元d l 处磁感应强度为02I B lμπ=,方向垂直画面向下。
00d d ()d ln 22d L a b MN i L d a b I I l a b B l l a bμμεεππ++-+==⨯⋅=-=--⎰⎰⎰v v v 方向由N 到M 0ln 2MeN MN I a b a bμεεπ+==--v 方向由N 经e 到M M 点电势高于N 点电势,即0ln 2MN I a b U a bμπ+=-v 8-3 如图所示,有两根相距为d 的无限长平行直导线,它们通以大小相等流向相反的电流,且电流均以tI d d 的变化率增长。
若有一边长为d 的正方形线圈与两导线处于同一平面内,距右侧导线d 。
求线圈中的感应电动势。
解:选取线圈逆时针方向为绕行正方向(1)面元所在处磁感应强度为0001122()2I I I B x x d x x d μμμπππ⎛⎫=-=- ⎪++⎝⎭通过线圈的磁通量200114d ln 223d m d Id Id x x x d μμΦππ⎛⎫=-= ⎪+⎝⎭⎰ (2)0d 4d ln d 23d m d I t tΦμεπ=-=- 顺时针方向 8-4 如图所示,长直导线通以电流I =5 A ,在其右方放一长方形线圈,两者共面,线圈长b =0.06 m ,宽a =0.04 m ,线圈以速度v =0.03 m/s 垂直于直线平移远离。
第八章 电磁感应一 选择题1、 (130101104)一圆形线圈的一半放在分布于方形区域内的匀强磁场B中,另一半位于磁场之外,如图13-2所示。
欲使圆线圈中产生逆时针方向的感应电流,应使[ ](A )线圈向右平移 (B )线圈向上平移 (C )线圈向左平移 (D )磁场强度减弱2、(130201202) 如图所示,直角三角形金属框架abc 放在均匀磁场中,磁场B平行于ab 边,bc 的长度为l .当金属框架绕ab 边以匀角速度ω转动时,abc回路中的感应电动势ε和a 、c 两点间的电势差U a – U c 为 (A)ε=0,U a – U c =221l B ω.(B) ε=0,U a – U c =221l B ω-.(C) ε=2l B ω,U a – U c =221l B ω.(D) ε=2l B ω,U a – U c =221l B ω-. [ ]3、(130201204)如图13-4所示,在圆柱形空间内有一磁感应强度为B的均匀磁场,其变化率为dt dB 。
若在图中a 、b 两点间放置一直导线ab 和弯曲导线ab ,下列说法中正确的是[ ] (A )电动势只在ab 中产生 (B )电动势只在ab 中产生(C )ab 和ab 中都产生电动势,且大小相等(D )ab 中的电动势小于ab 中的电动势.4、(130201205)均匀磁场被局限在圆柱形空间内,且随时间变化。
图13-22所示为圆柱形截面,M 、N 分别为圆柱形空间内、外两点,M E 、N E 分别表示这两点的有旋电场强度大小,则 [ ](A )0=M E , 0=N E (B )0=M E ,0≠N E (C )0≠M E ,0≠N E (D ) 0≠M E ,0=N E5、 (130301203)已知圆环式螺线管的自感系数为L ,若将该螺线管锯成两个半环式的螺线管,则两个半环螺线管的自感系数[ ](A )都等于2/L (B )一个大于2/L ,另一个小于2/L (C )都大于2/L (D )都小于2/LB⨯⨯⨯⨯⨯⨯⨯⨯⨯图13-2⨯⨯⨯Bb ⨯⨯⨯⨯a 图13-4 N⨯⨯B⨯⨯M 图13-22Ba bclω6、 (130401101)用线圈的自感系数L 来表示载流线圈磁场能量的公式221LI W m =(A) 只适用于无限长密绕螺线管. (B) 只适用于单匝圆线圈. (C) 只适用于一个匝数很多,且密绕的螺绕环.(D) 适用于自感系数L一定的任意线圈. [ ]7、(130401102)真空中一根无限长直导线上通有电流强度为I 的电流,则距导线垂直距离为a 的空间某点处的磁能密度为[ ] (A )200)2(21a I πμμ (B )200)2(21a I πμμ (C )20)2(21a I πμ (D )200)2(21aI μμ 8、(130401201) 有两个长直密绕螺线管,长度及线圈匝数均相同,半径分别为r 1和r 2.管内充满均匀介质,其磁导率分别为μ1和μ2.设r 1∶r 2=1∶2,μ1∶μ2=2∶1,当将两只螺线管串联在电路中通电稳定后,其自感系数之比L 1∶L 2与磁能之比W m 1∶W m 2分别为: (A) L 1∶L 2=1∶1,W m 1∶W m 2 =1∶1. (B) L 1∶L 2=1∶2,W m 1∶W m 2 =1∶1. (C) L 1∶L 2=1∶2,W m 1∶W m 2 =1∶2.(D) L 1∶L 2=2∶1,W m 1∶W m 2 =2∶1. [ ] 9、(130401301)两根无限长的平行导线,其间距离为d ,与电源组成回路如图13-21所示,已知导线上的电流为I ,两根导线横截面半径均为0r ,设用L 表示两导线回路单位长度的自感系数,则沿导线单位长度的空间总磁能0W 为[ ](A )221LI (B )rdr r d I r I LI ππμπμ2])(22[2120002+-+⎰∞(C )∞ (D )rdI LI ln 22102πμ+10、(130501101)对位移电流,有下述四种说法,请指出哪一种说法正确.(A) 位移电流是指变化电场. (B) 位移电流是由线性变化磁场产生的. (C) 位移电流的热效应服从焦耳─楞次定律.(D) 位移电流的磁效应不服从安培环路定理. [ ]11、 如图,平板电容器(忽略边缘效应)充电时,沿环路L 1的磁场强度H 的环流与沿环路L 2的磁场强度H的环流两者,必有:(A) >'⎰⋅1d L l H ⎰⋅'2d L l H . (B) ='⎰⋅1d L l H ⎰⋅'2d L l H.(C) <'⎰⋅1d L l H⎰⋅'2d L l H. (D)0d 1='⎰⋅L l H. [ ]二 填空题1、如图所示,在一长直导线L 中通有电流I ,ABCD 为一矩形线圈,它与L 皆在纸面内,且AB 边与L 平行. (1) 矩形线圈在纸面内向右移动时,线圈中感应电动势方 向为________________________________.2r d图13-21I LADC BHL 1L 2(2) 矩形线圈绕AD 边旋转,当BC 边已离开纸面正向外运 动时,线圈中感应动势的方向为_________________________.2、(130102201)半径为r 的小绝缘圆环,置于半径为R 的大导线圆环中心,二者在同一平面内,且r <<R .在大导线环中通有正弦电流(取逆时针方向为正)I =I 0sin ωt ,其中ω、I 0为常数,t 为时间,则任一时刻小线环中感应电动势(取逆时针方向为正)为_________________________________.3、(130202201)长为l 的金属直导线在垂直于均匀磁场的平面内以角速度ω转动.如果转轴在导线上的位置是在____________,整个导线上的电动势为最大,其值为____________;如果转轴位置是在____________,整个导线上的电动势为最小,其值为____________.4、(130202203)如图13-23所示,半径为R 的圆弧abc 在磁感应强度为B的均匀磁场中沿x轴向右移动,已知︒=∠=∠150cox aox ,若移动速度为v,则在圆弧abc 中的感应电动势为 。
第11章 电磁感应11.1 基本要求 1理解电动势的概念。
2掌握法拉第电磁感应定律和楞次定律,能熟练地应用它们来计算感应电动势的大小,判别感应电动势的方向。
3理解动生电动势的概念及规律,会计算一些简单问题中的动生电动势。
4理解感生电场、感生电动势的概念及规律,会计算一些简单问题中的感生电动势。
5理解自感现象和自感系数的定义及物理意义,会计算简单回路中的自感系数。
6理解互感现象和互感系数的定义及物理意义,能计算简单导体回路间的互感系数。
7理解磁能(磁场能量)和磁能密度的概念,能计算一些简单情况下的磁场能量。
8了解位移电流的概念以及麦克斯韦方程组(积分形式)的物理意义。
11.2 基本概念1电动势ε:把单位正电荷从负极通过电源内部移到正极时,非静电力所作的功,即Wqε=2动生电动势:仅由导体或导体回路在磁场中的运动而产生的感应电动势。
3感生电场k E :变化的磁场在其周围所激发的电场。
与静电场不同,感生电场的电 场线是闭合的,所以感生电场也称有旋电场。
4感生电动势:仅由磁场变化而产生的感应电动势。
5自感:有使回路保持原有电流不变的性质,是回路本身的“电磁惯性”的量度。
自感系数L ://m L I N I =ψ=Φ6自感电动势L ε:当通过回路的电流发生变化时,在自身回路中所产生的感应电动势。
7互感系数M :211212M I I ψψ== 8互感电动势12ε:当线圈2的电流2I 发生变化时,在线圈1中所产生的感应电动势。
9磁场能量m W :贮存在磁场中的能量。
自感贮存磁能:212m W LI =磁能密度m w :单位体积中贮存的磁场能量22111222m B w μH HB μ===10位移电流:D d d I dt Φ=s d t∂=∂⎰DS ,位移电流并不表示有真实的电荷在空 间移动。
但是,位移电流的量纲和在激发磁场方面的作用与传导电流是一致的。
11位移电流密度:d t∂=∂D j 11.3 基本规律1电磁感应的基本定律:描述电磁感应现象的基本规律有两条。
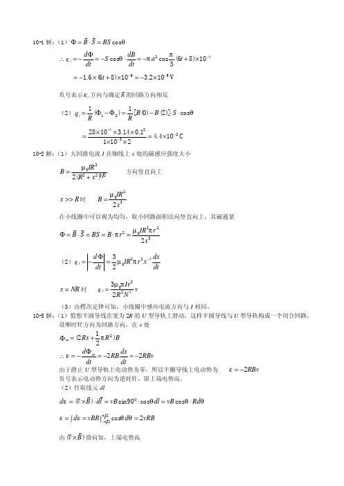
法拉第电磁感应定律10-1如图10-1所示,一半径a=0.10m,电阻7?=1.OX1O 3Q 的圆形导体回路置于均匀磁场中,磁场方向与回路面积的法向之间的夹角为TT /3,若磁场变化的规律为3(f ) = (3" +8/ + 5)X 10-4T求:(1) f=2s 时回路的感应电动势和感应电流;(2)最初2s 内通过回路截面的电量。
解:(1) <t>^B S^BScosO图 10-1a —3 ? x 10 -5t = 2s, & =—3.2x107, I =_=------ =—2x10—2 AR -负号表示与方向与确定五的回路方向相反(2) / = ;(0 -Q )=;留(0)-8(2)]• S• cos 。
= 28x1" 1*0.1 - =4.4xl0-2 CR R 1x10 x210-2如图10-2所示,两个具有相同轴线的导线回路,其平面相互平行。
大回路中有电流/,小的回路在大 dx的回路上面距离X 处,X»R,即/在小线圈所围面积上产生的磁场可视为是均匀的。
若—=v 等速 dt 率变化,(1)试确定穿过小回路的磁通量e 和X 之间的关系;(2)当x=NR (N 为一正数),求小回 路内的感应电动势大小;(3)若v>0,确定小回路中感应电流方向。
解:(1)大回路电流/在轴线上x 处的磁感应强度大小B = cl" 2、3 2 '方向竖直向上。
2(舟+》2产x»R 时,® = B ・S = BS = B •兀尸=“祁:"2疽 2x3(2)=1. ju JR-TIP 2x 4 — , x = NR 时, dt 2dt (3)由楞次定律可知,小线圈中感应电流方向与/相同。
动生电动势10-3 一半径为R 的半圆形导线置于磁感应强度为W 的均匀磁场中,该导线以 速度v沿水平方向向右平动,如图10-3所不,分别采用(1)法拉第电磁 感应定律和(2)动生电动势公式求半圆导线中的电动势大小,哪一端电 势高?解:(1)假想半圆导线在宽为2R 的U 型导轨上滑动,设顺时针方向为回路方向,在x 处O…, = (2Rx+-兀R2 )B , s = 一^^ = -2RB — = -2RBv2 dt dt由于静止U 型导轨上电动势为零,所以半圈导线上电动势为 8 = -2RBv 负号表示电动势方向为逆时针,即上端电势高。
《电磁感应》练习题高二级_______班姓名______________ _______________号1.B 2. A 3. A4.B 5. BCD6.CD7. D8. C一.选择题1.下面说法正确的是()A.自感电动势总是阻碍电路中原来电流增加B.自感电动势总是阻碍电路中原来电流变化. C.电路中的电流越大,自感电动势越大D.电路中的电流变化量越大,自感电动势越大2. 如图所示,一个矩形线圈与通有相同大小电流的平行直导线在同一平面,而且处在两导线的中央,则( A )A.两电流方向相同时,穿过线圈的磁通量为零B.两电流方向相反时,穿过线圈的磁通量为零C.两电流同向和反向时,穿过线圈的磁通量大小相等D.因两电流产生的磁场不均匀,因此不能判断穿过线圈的磁通量是否为零3. 一矩形线圈在匀强磁场中向右做加速运动如图所示, 设磁场足够大, 下面说法正确的是( A )A. 线圈中无感应电流, 有感应电动势B .线圈中有感应电流, 也有感应电动势C. 线圈中无感应电流, 无感应电动势D. 无法判断4.如图所示,AB为固定的通电直导线,闭合导线框P与AB在同一平面内。
当P远离AB做匀速运动时,它受到AB的作用力为( B )A.零B.引力,且逐步变小C.引力,且大小不变D.斥力,且逐步变小5. 长0.1m的直导线在B=1T的匀强磁场中,以10m/s的速度运动,导线中产生的感应电动势:( )A.一定是1V B.可能是0.5V C.可能为零D.最大值为1V6.如图所示,在一根软铁棒上绕有一个线圈,a、b是线圈的两端,a、b分别与平行导轨M、N相连,有匀强磁场与导轨面垂直,一根导体棒横放在两导轨上,要使a点的电势均比b点的电势高,则导体棒在两根平行的导轨上应该(BCD )A.向左加速滑动B.向左减速滑动C.向右加速滑动D.向右减速滑动7.关于感应电动势,下列说法正确的是()A.穿过闭合电路的磁感强度越大,感应电动势就越大B.穿过闭合电路的磁通量越大,感应电动势就越大C.穿过闭合电路的磁通量的变化量越大,其感应电动势就越大D.穿过闭合电路的磁通量变化的越快,其感应电动势就越大4题5题8.恒定的匀强磁场中有一圆形的闭合导体线圈,线圈平面垂直于磁场方向,要使线圈中能产生感应电流,线圈在磁场中应做 ( ) A .线圈沿自身所在的平面做匀速运动 B .线圈沿自身所在的平面做匀加速运动 C .线圈绕任意一条直径转动 D .线圈沿磁场方向平动9.将一磁铁缓慢或迅速地插到闭和线圈中的同一位置,两次发生变化的物理量不同的是( )A 、磁通量的变化量B 、磁通量的变化率C 、感应电流的电流强度D 、消耗的机械功率10.如图所示,一长直导线在纸面内,导线一侧有一矩形线圈,且线圈一边M 与通电导线平行,要使线圈中产生感应电流,下列方法可行的是( ) A 、保持M 边与导线平行线圈向左移动 B 、保持M 边与导线平行线圈向右移动C 、线圈不动,导线中电流减弱D 、线圈不动,导线中电流增强E 、线圈绕M 边转动 F11. 如图所示,将一线圈放在一匀强磁场中,线圈平面平行于磁感线,则线圈中有感应电流产生的是( )A 、当线圈做平行于磁感线的运动B 、当线圈做垂直于磁感线的平行运动C 、当线圈绕M 边转动D 、当线圈绕N 边转动12.如图所示,虚线所围的区域内有一匀强磁场,闭和线圈从静止开始运动,此时如果使磁场对线圈下边的磁场力方向向下,那么线圈应( ) A 、向右平动 B 、向左平动 C 、以M 边为轴转动D 、以上都不对13.竖直放置的金属框架处于水平的匀强磁场中,如图所示,一长直金属棒AB 可沿框自由运动,当AB 由静止开始下滑一段时间后合上S ,则AB 将做( )A 、 匀速运动B 、加速运动C 、减速运动D 、无法判定14.如图所示,边长为h 的矩形线框从初始位置由静止开始下落,进入一水平的匀强磁场,且磁场方向与线框平面垂直。
1.一铁心上绕有线圈100匝,已知铁心中磁通量与时间的关系为t sin .Φπ51008-⨯=,求在s .t 21001-⨯=时,线圈中的感应电动势。
2.如图所示,用一根硬导线弯成半径为r 的一个半圆。
使
这根半圆形导线在磁感强度为 B 的匀强磁场中以频率f 旋转,
整个电路的电阻为R ,求感应电流的表达式和最大值。
解:由于磁场是均匀的,故任意时刻穿过回路的磁通量为
θcos )(0BS Φt Φ+=
其中Φ0等于常量,S 为半圆面积,
ft t πϕωϕθ200+=+= )2cos(21)(020ϕππ++=ft B r Φt Φ
根据法拉第电磁感应定律,有)2sin(d d 022ϕππε+=-
=ft fB r t Φ
因此回路中的感应电流为 )2sin()(022ϕππε+==ft R fB
r R t I
则感应电流的最大值为
R fB
r I 22m π= 3.如图所示,金属杆 AB 以匀速v = 2.0 m .s -1平行于一长
直导线移动,此导线通有电流 I = 40 A 。
问:此杆中的感应电
动势为多大?杆的哪一端电势较高?
解1:杆中的感应电动势为 V 1084.311ln 2d 2d )(501
.11.00AB AB -⨯-=-=-=⋅⨯=⎰⎰πμπμεIv x v x I l B v 式中负号表示电动势方向由B 指向A ,故点A 电势较高。
解2:对于 右图,设杆AB 在一个静止的U 形导轨上运动,
并设顺时针方向为回路ABCD 的正向,根据分析,在距直导线
x 处,取宽为d x 、长为y 的面元d s ,则穿过面元的磁通量为
x y x I Φd 2d d 0πμ=⋅=S B
穿过回路的磁通量为
11ln 2d 2d 01.11.00πμπμIy x y x I ΦΦS -===⎰⎰
回路的电动势为
V 1084.311ln 2d d 11ln 2d d 500-⨯-=-=-==πμπμεIv t y I t Φ
由于静止的U 形导轨上电动势为零,所以 V 1084.35AB -⨯-==εε
式中负号说明回路电动势方向为逆时针,对AB 导体来说电动势方向应由B 指向A ,故点A 电势较高。
g h f e 4.如图所示,在“无限长”直载流导线的近旁,放置一个矩形导体线框,该线框在垂直于导线方向上以匀速率v 向右移动,求在图示位置处,线框中感应电动势的大小和方向。
解1:根据分析,线框中的电动势为
)(2d )
(2d 2d )(d )(121001000gh
ef hg
ef 2
2l d d l Ivl l l d Iv l d Iv l l +=+-=⋅⨯-⋅⨯=-=⎰⎰⎰⎰πμπμπμεεεl B v l B v 由hg ef εε>可知,线框中的电动势方向为efgh 。
解2:设顺时针方向为线框回路的正向。
根据分析,在任意位置
处,穿过线框的磁通量为
ξξπμξπμ120020ln 2d )(21l Il x x Il Φl +=+=⎰ 相应电动势为 )(2d d )(1210l l Ivl t Φ+=-=ξπξμξε 令d =ξ,得线框在图示位置处的电动势为
)(21210l d d l Ivl +=
πμε
由0>ε可知,线框中电动势方向为顺时针方向。
5. 圆柱形空间存在着轴向均匀变化磁场,0d d >t B ,
在与轴垂直的平面内有一长为a 的金属棒距轴为h ,如图
(a )所示求该棒的感应电动势。
解:方法Ⅰ 补偿法
在图(b )上,将棒端与轴心相连,金属棒构成封闭三角形,选顺时针方向为绕行正方向,穿过该三角形面积的磁通量ahB BS Φ2
1==
t B ah t Φd d 21d d -=-=∆E
因半径上感生电场与半径垂直,感应电动势为零,故三角形闭合回路感应电动势即是金属棒感应电动势。
负号表示沿逆时针方向。
方法Ⅱ 感生电场分布法
在图(c )上,自圆心作棒的垂线与棒交点为坐标原点O ,沿棒向右为x 轴正方向,位于x x x d +→线元的感生电场大小dt dB r
E k 21= ,方向与该点径矢垂直,它在x 方向投影h dt dB r h dt dB cos E E k kx 2121===α 而
x E d k AC ⋅=⎰c A E t B ha x E x x d d 21d 2 kx 1==⎰ 沿x 轴正方向。