高中数学 任意角的三角函数练习题及答案详解
- 格式:doc
- 大小:46.44 KB
- 文档页数:2
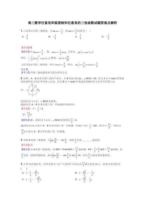
高三数学任意角和弧度制和任意角的三角函数试题答案及解析1.已知角为第二象限角,且,则的值为()A.B.C.D.【答案】B【解析】由,得:又因为:所以,解得:又因为角为第二象限角,所以,所以,故选B.【考点】同角三角函数基本关系及诱导公式.2.如图,A,B是单位圆上的两个质点,点B坐标为(1,0),∠BOA=60°.质点A以1 rad/s的角速度按逆时针方向在单位圆上运动,质点B以1 rad/s的角速度按顺时针方向在单位圆上运动.(1)求经过1 s 后,∠BOA的弧度;(2)求质点A,B在单位圆上第一次相遇所用的时间.【答案】(1)+2.(2)s【解析】解:(1)经过1 s 后,∠BOA的弧度为+2.(2)设经过t s 后质点A,B在单位圆上第一次相遇,则t(1+1)+=2π,所以t=,即经过s 后质点A,B在单位圆上第一次相遇.3.设角α是第三象限角,且=-sin,则角是第________象限角.【答案】四【解析】由α是第三象限角,知2kπ+π<α<2kπ+ (k∈Z),kπ+<<kπ+ (k∈Z),知是第二或第四象限角,再由=-sin知sin<0,所以只能是第四象限角.4.点P从(1,0)出发,沿单位圆x2+y2=1逆时针方向运动弧长到达Q点,则Q点的坐标为()A.(-,)B.(-,-)C.(-,-)D.(-,)【解析】设α=∠POQ,由三角函数定义可知,Q点的坐标(x,y)满足x=cosα,y=sinα,∴x=-,y=,∴Q点的坐标为(-,).5.已知角α终边经过点P(x,-)(x≠0),且cosα=x,求sinα、tanα的值.【答案】sinα=-,tanα=【解析】解:∵P(x,-)(x≠0),∴P到原点的距离r=.又cosα=x,∴cosα==x,∵x≠0,∴x=±,∴r=2.当x=时,P点坐标为(,-),由三角函数定义,有sinα=-,tanα=-.当x=-时,P点坐标为(-,-),∴sinα=-,tanα=.6. [2014·潍坊质检]已知角α的终边经过点P(m,-3),且cosα=-,则m等于()A.-B.C.-4D.4【答案】C【解析】cosα==- (m<0),解之得m=-4,选C项.7.角终边上有一点,则下列各点中在角的终边上的点是()A.B.C.D.【答案】B【解析】因为角终边上有一点,所以因此即角的终边上的点在第三象限,所以选C.【考点】三角函数定义8.把表示成θ+2kπ(k∈Z)的形式,使|θ|最小的θ值是()A.B.C.D.【解析】∵∴与是终边相同的角,且此时=是最小的,选A.9.若角α,β满足-<α<β<π,则α-β的取值范围是()A.(-,)B.(-,0)C.(0,)D.(-,0)【答案】B【解析】由-<α<β<π知,-<α<π,-<β<π,且α<β,所以-π<-β<,所以-<α-β<且α-β<0,所以-<α-β<0.10.计算2sin(-600°)+tan(-855°)的值为()A.B.1C.2D.0【答案】C【解析】∵sin(-600°)=-sin600°=-sin(360°+240°)=-sin240°=-sin(180°+60°)=sin60°=,同理tan(-855°)=-tan(2×360°+135°)=-tan135°=-tan(180°-45°)=tan45°=1,∴原式=2×+×1=2.11.已知角α的终边上一点的坐标为(sin,cos),则角α的最小正值为()A.B.C.D.【答案】C【解析】∵sin>0,cos>0,∴角α的终边在第一象限,∴tanα====,∴角α的最小正值为.12.若角θ的终边在射线y=-2x(x<0)上,则cosθ=.【答案】-【解析】由已知得角的终边落在第二象限,故可设角终边上一点P(-1,2),则r2=(-1)2+22=5,∴r=,此时cosθ==-.13.已知点P落在角θ的终边上,且θ∈[0,2π],则θ的值为________.【答案】【解析】由题意可知,点P在第四象限,且点P落在角θ的终边上,所以tan θ=-1,故θ=.14.已知则= .【答案】【解析】.【考点】三角函数求值.15.已知角x的终边上一点坐标为,则角x的最小正值为( ) A.B.C.D.【答案】C【解析】因为角终边上一点的坐标为,在第四象限,所以角是第四象限角,又,所以角的最小正值为.【考点】特殊角的三角函数值16.( )A.B.C.D.【答案】A【解析】.【考点】特殊角的三角函数值17.角的终边经过点,则的可能取值为( )A.B.C.D.【答案】D【解析】.【考点】1.任意角的三角函数;2.同角三角函数的基本关系18.已知弧度数为2的圆心角所对的弦长也是2,则这个圆心角所对的弧长是()A.2B.C.D.【答案】B【解析】已知弧度数为2的圆心角所对的弦长也是2,所以,即,所以.【考点】弧度制.19.求值:________.【答案】【解析】.【考点】三角函数的计算及诱导公式.20.如图,在平面直角坐标系中,以x轴为始边作两个锐角、,它们的终边分别与单位圆交于A、B两点.已知点A的横坐标为;B点的纵坐标为.则 .【答案】【解析】单位圆的半径是1,根据勾股定理以及点A的横坐标为,B点的纵坐标为,可知点A的纵坐标为,点B的横坐标为,所以,,,,因为,是锐角,所以,所以.【考点】1.任意角的三角函数;2.三角函数的和角公式21.已知弧度数为2的圆心角所对的弦长也是2,则这个圆心角所对的弧长是()A.2B.C.D.【答案】C【解析】.故选C.【考点】扇形弧长公式.22.在平面直角坐标系xOy中,若角α的始边与x轴的正半轴重合,终边在射线y=-x(x>0)上,则sin5α=.【答案】【解析】根据题意,由于平面直角坐标系xOy中,若角α的始边与x轴的正半轴重合,终边在射线y=-x(x>0)上,则可知,那么可知sin5α=sin,故答案为【考点】三角函数定义点评:解决的关键是利用三角函数的定义来求解三角函数值,属于基础题。
高三数学任意角和弧度制和任意角的三角函数试题答案及解析1.已知角的终边经过点(-4,3),则cos=( )A.B.C.-D.-【答案】D【解析】由题意可知x=-4,y=3,r=5,所以.故选D.【考点】三角函数的概念.2.设α是第二象限角,P(x,4)为其终边上的一点,且cosα=x,则tanα=() A.B.C.-D.-【答案】D【解析】∵α是第二象限角,∴cosα=x<0,即x<0.又cosα=x=,解得x=-3,∴tanα==-.3.给出下列命题:①第二象限角大于第一象限角;②三角形的内角是第一象限角或第二象限角;③不论用角度制还是用弧度制度量一个角,它们与扇形所对半径的大小无关;④若sinα=sinβ,则α与β的终边相同;⑤若cosθ<0,则θ是第二或第三象限的角.其中正确命题的个数是()A.1B.2C.3D.4【答案】A【解析】由于第一象限角370°不小于第二象限角100°,故①错;当三角形的内角为90°时,其既不是第一象限角,也不是第二象限角,故②错;③正确;由于sin=sin,但与的终边不相同,故④错;当θ=π,cosθ=-1<0时既不是第二象限角,又不是第三象限角,故⑤错.综上可知只有③正确.4.把表示成θ+2kπ(k∈Z)的形式,使|θ|最小的θ值是()A.B.C.D.【答案】A【解析】∵∴与是终边相同的角,且此时=是最小的,选A.5.α是第二象限角,P(x,)为其终边上一点,且cosα=x,求sinα的值.【答案】【解析】∵OP=,∴cosα==x.又α是第二象限角,∴x<0,得x=-,∴sinα==.6.已知扇形的周长为8cm,则该扇形面积的最大值为________cm2.【答案】4【解析】设扇形半径为rcm,弧长为lcm,则2r+l=8,S=rl=r×(8-2r)=-r2+4r=-(r-2)2+4,所以S=4(cm2)max7.若角α,β满足-<α<β<π,则α-β的取值范围是()A.(-,)B.(-,0)C.(0,)D.(-,0)【答案】B【解析】由-<α<β<π知,-<α<π,-<β<π,且α<β,所以-π<-β<,所以-<α-β<且α-β<0,所以-<α-β<0.8.计算2sin(-600°)+tan(-855°)的值为()A.B.1C.2D.0【答案】C【解析】∵sin(-600°)=-sin600°=-sin(360°+240°)=-sin240°=-sin(180°+60°)=sin60°=,同理tan(-855°)=-tan(2×360°+135°)=-tan135°=-tan(180°-45°)=tan45°=1,∴原式=2×+×1=2.9.已知(1)求的值;(2)若是第三象限的角,化简三角式,并求值.【答案】(1);(2).【解析】(1)利用商数关系及题设变形整理即得的值;(2)注意既是一个无理式,又是一个分式,那么化简时既要考虑通分,又要考虑化为有理式.考虑通分,显然将两个式子的分母的积作为公分母,这样一来,被开方式又是完全平方式,即可以开方去掉根号,从将该三角式化简.试题解析:(1)∵∴ 2分解之得 4分(2)∵是第三象限的角∴= 6分=== 10分由第(1)问可知:原式== 12分【考点】三角函数同角关系式.10.已知角x的终边上一点坐标为,则角x的最小正值为( )A.B.C.D.【答案】C【解析】因为角终边上一点的坐标为,在第四象限,所以角是第四象限角,又,所以角的最小正值为.【考点】特殊角的三角函数值11.已知弧度数为2的圆心角所对的弦长也是2,则这个圆心角所对的弧长是()A.2B.C.D.【答案】B【解析】已知弧度数为2的圆心角所对的弦长也是2,所以,即,所以.【考点】弧度制.12.已知角的终边经过点,且,则的值为()A.B.C.D.【答案】A【解析】,故点的坐标为,所以,所以,解得,故选A.【考点】三角函数的定义13.运用物理中矢量运算及向量坐标表示与运算,我们知道:两点等分单位圆时,有相应正确关系为,三等分单位圆时,有相应正确关系为,由此推出:四等分单位圆时的相应正确关系为 .【答案】【解析】用两点等分单位圆时,关系为,两个角的正弦值之和为0,且第一个角为,第二个角与第一个角的差为:,用三点等分单位圆时,关系为,此时三个角的正弦值之和为0,且第一个角为,第二个角与第一个角的差与第三个角与第二个角的差相等,均为有,依此类推,可得当四点等分单位圆时,为四个角正弦值之和为0,且第一个角为,第二个角为,第三个角,第四个角为,即其关系为.【考点】三角函数的定义与三角恒等式.14.已知扇形的周长是8cm,圆心角为2 rad,则扇形的弧长为 cm.【答案】4【解析】设扇形的弧长,半径,圆心角分别为,则,又由即,得.【考点】扇形的弧长公式.15.已知为钝角,且,则与角终边相同的角的集合为.【答案】【解析】由为钝角,且,得,所以与角终边相同的角的集合为,当然也可写成,但注意制度要统一,不要丢掉.【考点】特殊角的三角函数、终边相同角的集合.16.(1)设扇形的周长是定值为,中心角.求证:当时该扇形面积最大;(2)设.求证:.【答案】(1)详见解析;(2)详见解析.【解析】(1)由扇形周长为定值可得半径与弧长关系(定值),而扇形面积,一般地求二元函数最值可消元化为一元函数(见下面详解),也可考虑利用基本不等式,求出最值,并判断等号成立条件,从而得解;(2)这是一个双变元(和)的函数求最值问题,由于这两个变元没有制约关系,所以可先将其中一个看成主元,另一个看成参数求出最值(含有另一变元),再求解这一变元下的最值,用配方法或二次函数图象法. 试题解析:(1)证明:设弧长为,半径为,则, 2分所以,当时, 5分此时,而所以当时该扇形面积最大 7分(2)证明:9分∵,∴, 11分∴当时, 14分又,所以,当时取等号,即. 16分法二:9分∵,, 11分∴当时,, 14分又∵,∴当时取等号即. 16分【考点】扇形的周长和面积、三角函数、二次函数.17.已知角的终边与单位圆交于,则()A.B.C.D.【答案】A【解析】因为,角的终边与单位圆交于,所以,,=,故选.【考点】三角函数的定义,三角函数诱导公式、倍角公式.18.已知角的顶点在坐标原点,始边与轴的正半轴重合,,角的终边与单位圆交点的横坐标是,角的终边与单位圆交点的纵坐标是,则的值为()A.B.C.D.【答案】C【解析】由题意可知,,因为所以,,所以.【考点】三角函数的定义,和差角公式.19.若角与角终边相同,则在内终边与角终边相同的角是 .【答案】【解析】因为角与角终边相同,所以=2kπ+,z,=,令k=0,1,2,3分别得到,即为所求。
§4.1 任意角、弧度制及任意角的三角函数一、选择题1.sin 2cos 3tan 4的值( ).A .小于0B .大于0C .等于0D .不存在 解析 ∵sin 2>0,cos 3<0,tan 4>0, ∴sin 2cos 3tan 4<0. 答案 A2.已知点P (sin 5π4,cos 3π4)落在角θ的终边上,且θ∈[0,2π),则θ是第________象限角.( )A .一B .二C .三D .四 解析:因P 点坐标为(-22,-22),∴P 在第三象限. 答案:C3.已知扇形的周长是6 cm ,面积是2 cm 2,则扇形的中心角的弧度数是( )A .1B .4C .1或4D .2或4解析 设此扇形的半径为r ,弧长是l ,则⎩⎨⎧2r +l =6,12rl =2,解得⎩⎨⎧r =1,l =4或⎩⎨⎧r =2,l =2.从而α=l r =41=4或α=l r =22=1.答案 C4.若cos α=-32,且角α的终边经过点(x,2),则P 点的横坐标x 是( ).A .2 3B .±2 3C .-2 2D .-2 3解析 由cos α=x x 2+4=-32,解得,x =-2 3.答案 D5.已知角θ的顶点与原点重合,始边与x 轴的正半轴重合,终边在直线2y x =上,则cos2θ=( )A.45-B.35-C.35D.45解析 设(,2)P a a 是角θ终边上任意一点,则由三角函数定义知:cos θ=,所以223cos 22cos 12(15θθ=-=⨯-=-,故选B. 答案 B6.已知角α的终边过点P (-8m ,-6sin 30°),且cos α=-45,则m 的值为( ).A .-12 B.12 C .-32 D.32解析 ∵r =64m 2+9,∴cos α=-8m 64m 2+9=-45,∴m >0,∴4m 264m 2+9=125,∴m =±12.∵m >0,∴m =12. 答案 B7.点P 从(1,0)出发,沿单位圆x 2+y 2=1逆时针方向运动2π3弧长到达Q 点,则Q 点的坐标为( ).A.⎝ ⎛⎭⎪⎫-12,32B.⎝ ⎛⎭⎪⎫-32,-12C.⎝ ⎛⎭⎪⎫-12,-32D.⎝ ⎛⎭⎪⎫-32,12解析 设α=∠POQ ,由三角函数定义可知,Q 点的坐标(x ,y )满足x =cos α, y =sin α,∴x =-12,y =32,∴Q 点的坐标为⎝ ⎛⎭⎪⎫-12,32.答案 A 二、填空题8.若β的终边所在直线经过点P ⎝ ⎛⎭⎪⎫cos 3π4,sin 3π4,则sin β=________, tan β=________.解析:因为β的终边所在直线经过点P ⎝ ⎛⎭⎪⎫cos 3π4,sin 3π4,所以β的终边所在直线为y =-x ,则β在第二或第四象限. 所以sin β=22或-22,tan β=-1. 答案:22或-22-1 9.已知点P (tan α,cos α)在第三象限,则角α的终边在第______象限. 解析 ∵点P (tan α,cos α)在第三象限,∴tan α<0,cos α<0. ∴角α在第二象限. 答案 二10.弧长为3π,圆心角为135的扇形的半径为 ,面积为 .解析 由扇形面积公式得:12lR =6π.答案 4;6π11.若三角形的两个内角α,β满足sin αcos β<0,则此三角形为________. 解析 ∵sin αcos β<0,且α,β是三角形的两个内角. ∴sin α>0,cos β<0,∴β为钝角.故三角形为钝角三角形. 答案 钝角三角形 12.函数y =sin x +12-cos x 的定义域是________. 解析由题意知⎩⎨⎧sin x ≥0,12-cos x ≥0,即⎩⎨⎧sin x ≥0,cos x ≤12.∴x 的取值范围为π3+2k π≤x ≤π+2k π,k ∈Z.答案 ⎣⎢⎡⎦⎥⎤π3+2k π,π+2k π(k ∈Z)三、解答题13. (1)确定tan -3cos8·tan5的符号;(2)已知α∈(0,π),且sin α+cos α=m (0<m <1),试判断式子sin α-cos α的符号.解析 (1)∵-3,5,8分别是第三、第四、第二象限角, ∴tan(-3)>0,tan5<0,cos8<0, ∴原式大于0.(2)若0<α<π2,则如图所示,在单位圆中,OM =cos α,MP =sin α,∴sin α+cos α=MP +OM >OP =1.若α=π2,则sin α+cos α=1.由已知0<m <1,故α∈⎝ ⎛⎭⎪⎫π2,π.于是有sin α-cos α>0.14.已知角θ的终边上有一点P (x ,-1)(x ≠0),且tan θ=-x ,求sin θ,cos θ.解析:∵θ的终边过点(x ,-1)(x ≠0),∴tan θ=-1x,又tan θ=-x ,∴x 2=1,∴x =±1. 当x =1时,sin θ=-22,cos θ=22; 当x =-1时,sin θ=-22,cos θ=-22. 15.如图所示,A ,B 是单位圆O 上的点,且B 在第二象限,C 是圆与x 轴正半轴的交点,A 点的坐标为⎝ ⎛⎭⎪⎫35,45,△AOB 为正三角形.(1)求sin ∠COA ; (2)求cos ∠COB .解析 (1)根据三角函数定义可知sin ∠COA =45.(2)∵△AOB 为正三角形,∴∠AOB =60°, 又sin ∠COA =45,cos ∠COA =35,∴cos ∠COB =cos(∠COA +60°) =cos ∠COA cos 60°-sin ∠COA sin 60° =35·12-45·32=3-4310. 16.角α终边上的点P 与A (a,2a )关于x 轴对称(a >0),角β终边上的点Q 与A 关于直线y =x 对称,求sin α·cos α+sin β·c os β+tan α·tan β的值.解析 由题意得,点P 的坐标为(a ,-2a ), 点Q 的坐标为(2a ,a ). 所以,sin α=-2aa 2+-2a2=-25, cos α=a a 2+-2a 2=15, tan α=-2aa=-2,sin β=a 2a 2+a 2=15,cos β=2a 2a2+a2=25, tan β=a 2a =12,故有sin α·cos α+sin β·cos β+tan α·tan β =-25×15+15×25+(-2)×12=-1.。
专题5.1 任意角和弧度制及任意角的三角函数1.(2021·宁夏高三三模(文))已知角α终边经过点()1,2,P-则cosα=()A.12B.12-C D.【答案】D【解析】直接利用三角函数的定义即可.【详解】由三角函数定义,cos5α==-.故选:D.2.(2021·中牟县教育体育局教学研究室高一期中)已知角α的终边经过点()3,1P-,则cosα=()A B.C.D【答案】C【解析】由三角函数的定义即可求得cosα的值.【详解】角α的终边经过点(3,1)P-,cosα∴==故选:C.3.(2020·全国高一课时练习)若α=-2,则α的终边在()A.第一象限B.第二象限C.第三象限D.第四象限【答案】C【解析】练基础根据角的弧度制与角度制之间的转化关系可得选项.【详解】因为1 rad≈57.30°,所以-2 rad≈-114.60°,故α的终边在第三象限.故选:C.4.(2021·江苏高一期中)下列命题:①钝角是第二象限的角;②小于90︒的角是锐角;③第一象限的角一定不是负角;④第二象限的角一定大于第一象限的角;⑤手表时针走过2小时,时针转过的角度为60︒;⑥若5α=,则α是第四象限角.其中正确的题的个数是()A.1个B.2个C.3个D.4个【答案】B【解析】结合象限角和任意角的概念逐个判断即可.【详解】对于①:钝角是大于90小于180的角,显然钝角是第二象限角. 故①正确;对于②:锐角是大于0小于90的角,小于90的角也可能是负角. 故②错误;对于③:359-显然是第一象限角. 故③错误;对于④:135是第二象限角,361是第一象限角,但是135361<. 故④错误;对于⑤:时针转过的角是负角. 故⑤错误;对于⑥:因为157.3rad≈,所以5557.3=286.5rad≈⨯,是第四象限角. 故⑥正确.综上,①⑥正确.故选:B.5.(2021·辽宁高三其他模拟)装饰公司制作一种扇形板状装饰品,其圆心角为23π,并在扇形弧上正面等距安装7个发彩光的小灯泡且在背面用导线将小灯泡串连(弧的两端各一个灯泡,导线接头忽略不计),已知扇形的半径为30厘米,则连接导线大致需要的长度约为()A.55厘米B.63厘米C.69厘米D.76厘米【答案】B【解析】由于实际问题中扇形弧长较小,可将导线的长视为扇形弧长,利用弧长公式计算即可.【详解】因为在弧长比较短的情况下分成6等份,每部分的弦长和弧长相差很小, 所以可以用弧长近似代替弦长, 所以导线的长度为23020633ππ⨯=≈(厘米). 故选:B6.(2021·上海格致中学高三三模)半径为2,中心角为3π的扇形的面积等于( ) A .43π B .πC .23π D .3π 【答案】C 【解析】根据扇形的面积公式即可求解. 【详解】解:因为扇形的半径2r ,中心角3πα=,所以扇形的面积2211222233S r ππα==⨯⨯=, 故选:C.7.(2021·辽宁高三其他模拟)“数摺聚清风,一捻生秋意”是宋朝朱翌描写折扇的诗句,折扇出人怀袖,扇面书画,扇骨雕琢,是文人雅士的宠物,所以又有“怀袖雅物”的别号.如图是折扇的示意图,其中OA =20cm ,∠AOB =120°,M 为OA 的中点,则扇面(图中扇环)部分的面积是( )A .50πcm 2B .100πcm 2C .150πcm 2D .200πcm 2【答案】B 【解析】根据扇形面积公式计算可得; 【详解】解:扇环的面积为22211332400100222883r S r r παααπ⎛⎫=-==⨯⨯= ⎪⎝⎭.故选:B8.(2021·重庆八中高三其他模拟)如图所示,扇环ABCD 的两条弧长分别是4和10,两条直边AD 与BC 的长都是3,则此扇环的面积为( )A .84B .63C .42D .21【答案】D 【解析】设扇环的圆心角为α,小圆弧的半径为r ,依题意可得4αr =且()310αr +=,解得α、r ,进而可得结果. 【详解】设扇环的圆心角为α,小圆弧的半径为r ,由题可得4αr =且()310αr +=,解得2α=,2r ,从而扇环面积()221252212S =⨯⨯-=. 故选:D .9.(2021·浙江高二期末)已知角α的终边过点(1,)P y ,若sin 3α=,则y =___________.【答案】【解析】利用三角函数的定义可求y . 【详解】由三角函数的定义可得sin α==y =故答案为:10.(2021·山东日照市·高三月考)已知函数()3sin,06log ,0xx f x x x π⎧≤⎪=⎨⎪>⎩,则13f f ⎛⎫⎛⎫= ⎪ ⎪⎝⎭⎝⎭______. 【答案】12- 【解析】利用分段函数直接进行求值即可. 【详解】∵函数()3,06log ,0xsinx f x x x π⎧≤⎪=⎨⎪>⎩, ∴311log 133f ⎛⎫=- ⎪⎝⎭=, ∴611(1)sin 32f f f π⎛⎫⎛⎫⎛⎫=-=-=- ⎪ ⎪ ⎪⎝⎭⎝⎭⎝⎭ 故答案为:12-.1.(2021·河南洛阳市·高一期中(文))点P 为圆221x y +=与x 轴正半轴的交点,将点P 沿圆周逆时针旋转至点P ',当转过的弧长为2π3时,点P '的坐标为( )A .1,2⎛ ⎝⎭B .12⎛- ⎝⎭C .21⎛⎫⎪ ⎪⎝⎭D .122⎛⎫- ⎪ ⎪⎝⎭【答案】B 【解析】先求出旋转角,就可以计算点的坐标了. 【详解】设旋转角为θ,则22123θπππ⨯⨯=,得23πθ=,从而可得1(,22P '-. 故选:B.2.(2021·上海高二课时练习)若A 是三角形的最小内角,则A 的取值范围是( )练提升A .0,2π⎛⎫⎪⎝⎭B .0,3π⎛⎫ ⎪⎝⎭C .,32ππ⎛⎫ ⎪⎝⎭D .0,3π⎛⎤ ⎥⎝⎦【答案】D 【解析】由给定条件结合三角形三内角和定理即可作答. 【详解】设B ,C 是三角形的另外两个内角,则必有,A B A C ≤≤,又A B C π++=, 则3A A A A A B C π=++≤++=,即3A π≤,当且仅当3C B A π===,即A 是正三角形内角时取“=”,又0A >,于是有03A π<≤,所以A 的取值范围是(0,]3π.故选:D3.(2021·北京清华附中高三其他模拟)已知,R αβ∈.则“,k k Z αβπ=+∈”是“sin 2sin 2αβ=”的( ) A .充分而不必要条件 B .必要而不充分条件 C .充分必要条件 D .既不充分也不必要条件【答案】A 【解析】求解出sin 2sin 2αβ=成立的充要条件,再与,k k Z αβπ=+∈分析比对即可得解. 【详解】,R αβ∈,sin 2sin 2sin[()()]sin[()()]αβαβαβαβαβ=⇔++-=+--⇔2cos()sin()0αβαβ+-=,则sin()0αβ-=或cos()0αβ+=,由sin()0αβ-=得,k k k Z αβπαβπ-=⇔=+∈, 由cos()0αβ+=得,22k k k Z ππαβπαβπ+=+⇔=-+∈,显然s ,in 2sin 2k k Z απαββ=+∈=⇒,sin 2s ,in 2k k Z αβαβπ=+=∈,所以“,k k Z αβπ=+∈”是“sin 2sin 2αβ=”的充分不必要条件. 故选:A4.(2021·安徽池州市·池州一中高三其他模拟(理))已知一个半径为3的扇形的圆心角为()02θθπ<<,面积为98π,若()tan 3θϕ+=,则tan ϕ=( ) A .12-B .34C .12D .43【答案】C 【解析】由扇形的面积公式得4πθ=,进而根据正切的和角公式解方程得1tan 2ϕ=. 【详解】解:由扇形的面积公式212S r θ=得9928πθ=,解得4πθ=, 所以()tan tan 1tan tan 31tan tan 1tan θϕϕθϕθϕϕ+++===--,解得1tan 2ϕ=故选:C5.(2021·新蔡县第一高级中学高一月考)一个圆心角为60的扇形,它的弧长是4π,则扇形的内切圆(与扇形的弧和半径的相切)的半径等于( ) A .2 B .4 C .2π D .4π【答案】B 【解析】设扇形内切圆的半径为x ,扇形所在圆的半径为r ,求得3r x =,结合弧长公式,列出方程,即可求解. 【详解】如图所示,设扇形内切圆的半径为x ,扇形所在圆的半径为r , 过点O 作OD CD ⊥, 在直角CDO 中,可得2sin 30ODCO x ==,所以扇形的半径为23r x x x =+=, 又由扇形的弧长公式,可得343x ππ⨯=,解得4x =,即扇形的内切圆的半径等于4. 故选:B.6.(2021·安徽合肥市·合肥一中高三其他模拟(文))已知顶点在原点的锐角α,始边在x 轴的非负半轴,始终绕原点逆时针转过3π后交单位圆于1(,)3P y -,则sin α的值为( )A .6B C .16D .16【答案】B 【解析】根据任意角的三角函数的定义求出1cos()33πα+=-,然后凑角结合两角差的正弦公式求出sin α. 【详解】由题意得1cos()33πα+=-(α为锐角) ∵α为锐角,∴5336πππα,∴sin()03πα+>sin()sin sin ()3333πππααα⎡⎤⇒+=⇒=+-⎢⎥⎣⎦1132326⎛⎫=⨯--⨯=⎪⎝⎭ 故选:B7.(2020·安徽高三其他模拟(文))已知角α的顶点与原点O 重合,始边与x 轴的非负半轴重合,它的终边经过点A (1,-3),则tan()4πα+=( )A .12B .12-C .1D .-1【解析】根据终边上的点求出tan 3α=-,再结合正切和公式求解即可. 【详解】由题知tan 3α=-,则tan tan3114tan()41321tan tan 4παπαπα+-++===-+-. 故选:B8.(2021·合肥一六八中学高三其他模拟(理))已知顶点在原点,始边在x 轴非负半轴的锐角α绕原点逆时针转π3后,终边交单位圆于P x ⎛ ⎝⎭,则sin α的值为( ) ABCD. 【答案】C 【解析】设锐角α绕原点逆时针转π3后得角β,由2113x +=,则x =,分x 的值结合三角函数的定义,求解即可,根据条件进行取舍. 【详解】设锐角α绕原点逆时针转π3后得角β,则3πβα=+,由α为锐角, 根据题意角β终边交单位圆于,3P x ⎛ ⎝⎭,则2113x +=,则3x =±若3x =,则sin ,cos 33ββ==所以sin sin sin cos cos sin 03336πππαβββ⎛⎫=-=-=< ⎪⎝⎭,与α为锐角不符合.若x =,则sin ββ==所以sin sin sin cos cos sin 0333πππαβββ⎛⎫=-=-=> ⎪⎝⎭,满足条件.9.(2021·安徽宣城市·高三二模(文))刘徽是中国魏晋时期杰出的数学家,他提出“割圆求周”方法:当n 很大时,用圆内接正n 边形的周长近似等于圆周长,并计算出精确度很高的圆周率 3.1416π≈.在《九章算术注》中总结出“割之弥细,所失弥少,割之又割,以至于不可割,则与圆周合体而无所失矣”的极限思想.运用此思想,当π取3.1416时,可得sin 2︒的近似值为( )A .0.00873B .0.01745C .0.02618D .0.03491【答案】D 【解析】由圆的垂径定理,求得2sin 2AB =︒,根据扇形对应的弦长之和近似于单位圆的周长,列出方程,即可求解. 【详解】将一个单位圆分成90个扇形,则每个扇形的圆心角度数均为4︒由圆的垂径定理,可得每个圆心角所对的弦长221sin 22sin 2AB AC ==⨯⨯︒=︒, 因为这90个扇形对应的弦长之和近似于单位圆的周长, 所以9021sin 2180sin 22π⨯⨯⨯︒=︒≈, 所以22 3.1416sin 20.03491180180π⨯︒≈=≈. 故选:D .10.(2021·江苏南通市·高三其他模拟)某设计师为天文馆设计科普宣传图片,其中有一款设计图如图所示.QRT 是一个以点O 为圆心、QT 长为直径的半圆,QT =.QST 的圆心为P ,2dm PQ PT ==.QRT与QST 所围的灰色区域QRTSQ 即为某天所见的月亮形状,则该月亮形状的面积为___________2dm .6π 【解析】连接PO ,可得PO QT ⊥,求出23QPT π∠=,利用割补法即可求出月牙的面积. 【详解】解:连接PO ,可得PO QT ⊥,因为sin 2QO QPO PQ ∠==, 所以3QPO π∠=,23QPT π∠=,所以月牙的面积为2221121(21)dm 22326S πππ=⨯⨯-⨯⨯-⨯=.6π.1.(全国高考真题)已知角α的终边经过点(−4,3),则cosα=( )A .45B .35C .−35D .−45 练真题【答案】D【解析】由题意可知x=-4,y=3,r=5,所以cosα=x r =−45.故选D. 2.(2020·全国高考真题(理))若α为第四象限角,则( )A .cos2α>0B .cos2α<0C .sin2α>0D .sin2α<0 【答案】D【解析】方法一:由α为第四象限角,可得3222,2k k k Z ππαππ+<<+∈, 所以34244,k k k Z ππαππ+<<+∈此时2α的终边落在第三、四象限及y 轴的非正半轴上,所以sin 20α<故选:D. 方法二:当6πα=-时,cos 2cos 03πα⎛⎫=-> ⎪⎝⎭,选项B 错误; 当3πα=-时,2cos 2cos 03πα⎛⎫=-< ⎪⎝⎭,选项A 错误; 由α在第四象限可得:sin 0,cos 0αα<>,则sin 22sin cos 0ααα=<,选项C 错误,选项D 正确; 故选:D.3.(2015·上海高考真题(文))已知点的坐标为,将绕坐标原点逆时针旋转至,则点的纵坐标为( ). A . B . C . D .【答案】D【解析】由题意,设OA 与x 轴所成的角为,显然,,故,故纵坐标为4.(2018·全国高考真题(文))已知角α的顶点为坐标原点,始边与x 轴的非负半轴重合,终边上有两点A(1 , a),B(2 , b),且cos2α=23,则|a −b |= A .15 B .√55 C .2√55D .1 【答案】B【解析】由O,A,B 三点共线,从而得到b =2a ,因为cos2α=2cos 2α−1=2⋅(√a 2+1)2−1=23, 解得a 2=15,即|a |=√55, 所以|a −b |=|a −2a |=√55,故选B.5.(2017·北京高考真题(理))在平面直角坐标系xOy 中,角α与角β均以Ox 为始边,它们的终边关于y 轴对称.若1sin 3α=,则()cos αβ-=___________. 【答案】79- 【解析】因为α和β关于y 轴对称,所以2,k k Z αβππ+=+∈,那么1sin sin 3βα==,cos cos 3αβ=-=(或cos cos 3βα=-=), 所以()2227cos cos cos sin sin cos sin 2sin 19αβαβαβααα-=+=-+=-=-. 6.(2021·北京高考真题)若点(cos ,sin )P θθ与点(cos(),sin())66Q ππθθ++关于y 轴对称,写出一个符合题意的θ=___. 【答案】512π(满足5,12k k Z πθπ=+∈即可) 【解析】根据,P Q 在单位圆上,可得,6πθθ+关于y 轴对称,得出2,6k k Z πθθππ++=+∈求解. 【详解】(cos ,sin )P θθ与cos ,sin66Q ππθθ⎛⎫⎛⎫⎛⎫++ ⎪ ⎪ ⎪⎝⎭⎝⎭⎝⎭关于y 轴对称, 即,6πθθ+关于y 轴对称,2,6k k Z πθθππ++=+∈, 则5,12k k Z πθπ=+∈, 当0k =时,可取θ的一个值为512π. 故答案为:512π(满足5,12k k Z πθπ=+∈即可).。
任意角的三角函数练习题一.选择题1.已知角α的终边过点P (-1,2),cos α的值为 ( )A .-55 B .- 5 C .552 D .252.α是第四象限角,则下列数值中一定是正值的是( )A .sin αB .cos αC .tan αD .cot α3.已知角α的终边过点P (4a ,-3a )(a <0),则2sin α+cos α的值是 ( )A .25B .-25C .0D .与a 的取值有关4.α是第二象限角,P (x , 5 ) 为其终边上一点,且cos α=42x ,则sin α的值为 ( )A .410 B .46 C .42D .-410 5.函数x x y cos sin -+=的定义域是 ( ) A .))12(,2(ππ+k k ,Z k ∈ B .])12(,22[πππ++k k ,Z k ∈C .])1(,2[πππ++k k , Z k ∈ D .[2k π,(2k+1)π],Z k ∈6.若θ是第三象限角,且02cos <θ,则2θ是 ()A .第一象限角B .第二象限角C .第三象限角D .第四象限角7.已知sin α=54,且α是第二象限角,那么tan α的值为 ( )A .34- B .43- C .43 D .34 8.已知点P (ααcos ,tan )在第三象限,则角α在 ( )A .第一象限B .第二象限C .第三象限D .第四象限 二.填空题1.已知sin αtan α≥0,则α的取值集合为 .2.角α的终边上有一点P (m ,5),且)0(,13cos ≠=m mα,则sin α+cos α=______.3.已知角θ的终边在直线y =33x 上,则sin θ= ;θtan = .4.设θ∈(0,2π),点P (sin θ,cos2θ)在第三象限,则角θ的范围是 . 三.解答题 1.求43π角的正弦.余弦和正切值.2.若角α的终边落在直线y x 815=上,求ααtan sec log 2-.3.(1)已知角α的终边经过点P(4,-3),求2sin α+cos α的值; (2)已知角α的终边经过点P(4a,-3a)(a ≠0),求2sin α+cos α的值;(3)已知角α终边上一点P 与x 轴的距离和与y 轴的距离之比为3∶4(且均不为零),求2sinα+cosα的值.参考答案一. 选择题ABAA BBAB 二.填空题 1.⎭⎬⎫⎩⎨⎧∈+<<+-Z k k k ,2222|ππαππα; 2.12=m 时,1317cos sin =+αα;12-=m 时,137cos sin -=+αα. 3.21sin ±=θ;33tan =θ. 4.4745πθπ<<.三.解答题1.2243sin=π;2243cos -=π;143tan -=π. 2.(1)取)15,8(1P ,则17=r ,2815817log tan sec log 22-=-=-αα; (2)取)15,8(2--P ,则17=r ,2815817log tan sec log 22=--=-αα. 3.(1)∵3,4-==y x ,∴5=r ,于是:5254532cos sin 2-=+-⋅=+αα.(2)∵a y a x 3,4-==,∴a r 5=,于是:当0>a 时,5254532cos sin 2-=+-⋅=+αα 当0<a 时,5254532cos sin 2=-+⋅=+αα (3)若角α终边过点()3,4P ,则254532cos sin 2=+⋅=+αα;若角α终边过点()3,4-P ,则5254532cos sin 2=-+⋅=+αα; 若角α终边过点()3,4--P ,则254532cos sin 2-=-+-⋅=+αα; 若角α终边过点()3,4-P ,则5254532cos sin 2-=+-⋅=+αα.。
任意角的三角函数练习题一.选择题1.已知角α的终边过点P (-1,2),cos α的值为 ( ) A .-55 B .- 5 C .552 D .252.α是第四象限角,则下列数值中一定是正值的是 ( ) A .sin α B .cos α C .tan α D .cot α3.已知角α的终边过点P (4a ,-3a )(a <0),则2sin α+cos α的值是 ( ) A .25 B .-25 C .0 D .与a 的取值有关4.α是第二象限角,P (x , 5 ) 为其终边上一点,且cos α=42x ,则sin α的值为 ( ) A .410 B .46 C .42 D .-410 5.函数x x y cos sin -+=的定义域是()A .))12(,2(ππ+k k ,Z k ∈B .])12(,22[πππ++k k ,Z k ∈C .])1(,2[πππ++k k , Z k ∈D .[2k π,(2k+1)π],Z k ∈ 6.若θ是第三象限角,且02cos<θ,则2θ是()A .第一象限角B .第二象限角C .第三象限角D .第四象限角7.已知sin α=54,且α是第二象限角,那么tan α的值为 ()A .34- B .43- C .43D .34 8.已知点P (ααcos ,tan )在第三象限,则角α在()A .第一象限B .第二象限C .第三象限D .第四象限二.填空题1.已知sin αtan α≥0,则α的取值集合为 .2.角α的终边上有一点P (m ,5),且)0(,13cos ≠=m mα,则sin α+cos α=______. 3.已知角θ的终边在直线y =33x 上,则sin θ= ;θtan = . 4.设θ∈(0,2π),点P (sin θ,cos2θ)在第三象限,则角θ的范围是 .三.解答题1.求43π角的正弦.余弦和正切值.2.若角α的终边落在直线y x 815=上,求ααtan sec log 2-.3.(1)已知角α的终边经过点P(4,-3),求2sin α+cos α的值;(2)已知角α的终边经过点P(4a,-3a)(a ≠0),求2sin α+cos α的值;(3)已知角α终边上一点P 与x 轴的距离和与y 轴的距离之比为3∶4(且均不为零), 求2sin α+cos α的值.参考答案一. 选择题ABAA BBAB 二.填空题1.⎭⎬⎫⎩⎨⎧∈+<<+-Z k k k ,2222|ππαππα; 2.12=m 时,1317cos sin =+αα;12-=m 时,137cos sin -=+αα. 3.21sin ±=θ;33tan =θ.4.4745πθπ<<.三.解答题1.2243sin=π;2243cos -=π;143tan -=π. 2.(1)取)15,8(1P ,则17=r ,2815817log tan sec log 22-=-=-αα; (2)取)15,8(2--P ,则17=r ,2815817log tan sec log 22=--=-αα. 3.(1)∵3,4-==y x ,∴5=r ,于是:5254532cos sin 2-=+-⋅=+αα. (2)∵a y a x 3,4-==,∴a r 5=,于是:当0>a 时,5254532cos sin 2-=+-⋅=+αα 当0<a 时,5254532cos sin 2=-+⋅=+αα(3)若角α终边过点()3,4P ,则254532cos sin 2=+⋅=+αα; 若角α终边过点()3,4-P ,则5254532cos sin 2=-+⋅=+αα; 若角α终边过点()3,4--P ,则254532cos sin 2-=-+-⋅=+αα; 若角α终边过点()3,4-P ,则5254532cos sin 2-=+-⋅=+αα.。
高三数学任意角和弧度制和任意角的三角函数试题答案及解析1.已知角为第二象限角,且,则的值为()A.B.C.D.【答案】B【解析】由,得:又因为:所以,解得:又因为角为第二象限角,所以,所以,故选B.【考点】同角三角函数基本关系及诱导公式.2.设α是第二象限角,P(x,4)为其终边上的一点,且cosα=x,则tanα=() A.B.C.-D.-【答案】D【解析】∵α是第二象限角,∴cosα=x<0,即x<0.又cosα=x=,解得x=-3,∴tanα==-.3.已知点P(sinα-cosα,tanα)在第一象限,则在[0,2π]内α的取值范围是()A.(,)B.(π,)C.(,)D.(,)∪(π,)【答案】D【解析】由已知得,解得α∈(,)∪(π,).4.已知角α终边上一点P(-,y),且sinα=y,求cosα和tanα的值.【答案】cosα=-1,tanα=0.【解析】r2=x2+y2=y2+3,由sinα===y,∴y=±或y=0.当y=即α是第二象限角时,cosα==-,tanα=-;当y=-即α是第三象限角时,cosα==-,tanα=;当y=0时,P(-,0),cosα=-1,tanα=0.5.设集合M=,N={α|-π<α<π},则M∩N=________.【答案】【解析】由-π<<π,得-<k<.∵k∈Z,∴k=-1,0,1,2,故M∩N=6.一段圆弧的长度等于其圆内接正三角形的边长,则其圆心角的弧度数为()A.B.C.D.【答案】C【解析】由题意可知,圆内接正三角形边长a与圆的半径之间关系为a=r,∴α===.7. tan(-1 410°)的值为()A.B.-C.D.-【答案】A【解析】tan(-1 410°)=tan(-4×360°+30°)=tan 30°=8.《九章算术》是我国古代数学成就的杰出代表.其中《方田》章给出计算弧田面积所用的经验公式为:弧田面积=(弦´矢+矢2).弧田(如图),由圆弧和其所对弦所围成,公式中“弦”指圆弧所对弦长,“矢”等于半径长与圆心到弦的距离之差.按照上述经验公式计算所得弧田面积与其实际面积之间存在误差.现有圆心角为,弦长等于9米的弧田.(1)计算弧田的实际面积;(2)按照《九章算术》中弧田面积的经验公式计算所得结果与(1)中计算的弧田实际面积相差多少平方米?(结果保留两位小数)【答案】(1) ();(2)少.【解析】(1)本题比较简单,就是利用扇形面积公式来计算弧田面积,弧田面积等于扇形面积对应三角形面积.(2)由弧田面积的经验计算公式计算面积与实际面积相减即得.试题解析:(1) 扇形半径, 2分扇形面积等于 5分弧田面积=(m2) 7分(2)圆心到弦的距离等于,所以矢长为.按照上述弧田面积经验公式计算得(弦´矢+矢2)=. 10分平方米 12分按照弧田面积经验公式计算结果比实际少1.52平米.【考点】(1)扇形面积公式;(2)弧田面积的经验计算公式.9.在平面直角坐标系中,若角的顶点在坐标原点,始边在轴的非负半轴上,终边经过点(其中)则的值为( )A.B.C.D.【答案】D【解析】,根据任意角的三角函数的定义得,,所以.【考点】任意角三角函数的定义.10.( )A.B.C.D.【答案】A【解析】.【考点】特殊角的三角函数值11.在平面直角坐标系中,已知角的顶点在坐标原点,始边在轴的非负半轴上,终边经过点,则 .【答案】【解析】由任意角的三角函数的定义得:.【考点】任意角的三角函数的定义.12.已知,则满足的角所在的象限为.【答案】二或四【解析】根据指数函数的单调性和,得,即和异号,所以角是第二象限或第四象限的角.【考点】指数函数的单调性、各象限三角函数的符号.13.已知为钝角,且,则与角终边相同的角的集合为.【答案】【解析】由为钝角,且,得,所以与角终边相同的角的集合为,当然也可写成,但注意制度要统一,不要丢掉.【考点】特殊角的三角函数、终边相同角的集合.14.已知,则满足的角所在的象限为.【答案】二或四【解析】根据指数函数的单调性和,得,即和异号,所以角是第二象限或第四象限的角.【考点】指数函数的单调性、各象限三角函数的符号.15.如图所示,在平面直角坐标系xOy中,角α的终边与单位圆交于点A,点A的纵坐标为,则cosα=.【答案】.【解析】由题意及图所示,易知A点的横坐标为,所以.【考点】三角函数的定义.16.已知函数的定义域为[a,b],值域为[-2,1],则的值不可能是()A.B.C.D.【答案】C【解析】因的值域[-2,1]含最小值不含最大值,根据图象可知定义域小于一个周期,故选D.【考点】三角函数的定义域和值域.17.若角的终边上有一点P(a,-2),则实数a的值为()A.B.C.D.【答案】D【解析】因为,所以.【考点】三角函数的定义.18.若,则角是()A.第一或第二象限角B.第二或第三象限角C.第三或第四象限角D.第二或第四象限角【答案】D【解析】因为,则角是第二或第四象限角,选D19.点位于直角坐标面的A.第一象限B.第二象限C.第三象限D.第四象限【答案】D【解析】因为,位于直角坐标面的第四象限,选D20.已知圆与轴的正半轴相交于点,两点在圆上,在第一象限,在第二象限,的横坐标分别为,则=( )A.B.C.D.【答案】B【解析】设与轴正半轴的夹角分别为则,21.已知动点在圆x2+y2=1上绕坐标原点沿逆时针方向匀速旋转,12秒旋转一周,已知时间t=0时,点A(,则0≤t≤12时,动点A的横坐标x关于t(单位:秒)的函数单调递减区间是()A.[0, 4]B.[4,10]C.[10,12]D.[0,4]和[10,12]【答案】D【解析】解:设动点A与x轴正方向夹角为α,则t=0时α=π/ 3 ,每秒钟旋转π /6 ,在t∈[0,1]上α∈[π/ 3 ,π/ 2 ],在[7,12]上α∈[3π/ 2 ,7π /3 ],动点A的纵坐标y关于t都是单调递增的.故选D.22.曲线与坐标轴所围的面积是【答案】3【解析】据余弦函数的图象,23.已知,且在第二象限,那么在 ( )A.第一象限B.第二象限C.第三象限D.第四象限【答案】C【解析】解:∵sinθ="3" /4 ,且θ在第二象限,∴cosθ=-/4,所以sin2θ=2sinθcosθ=-3/16Cos2θ=1-2sin2θ=-1/8故2θ在第三象限。
高三数学三角函数试题答案及解析1.设角的终边在第一象限,函数的定义域为,且,当时,有,则使等式成立的的集合为.【答案】【解析】令得:,令得:,由得:,又角的终边在第一象限,所以因而的集合为.【考点】抽象函数赋值法2. sin7°cos37°﹣sin83°cos53°的值为()A.﹣B.C.D.﹣【答案】A【解析】sin7°cos37°﹣sin83°cos53°=cos83°cos37°﹣sin83°sin37°=cos(83°+37°)=cos120°=﹣,故选A.3.若点在函数的图象上,则的值为 .【答案】.【解析】由题意知,解得,所以.【考点】1.幂函数;2.三角函数求值4.已知函数则=【答案】【解析】因为函数由需要求的x都是整数,所以当x为奇数时的解析式为,当x为偶数时的解析式为.所以.所以.【考点】1.分段函数的性质.2.归纳推理的思想.3.三角函数的运算.4.等差数列的求和公式.5.已知向量,设函数.(1)求函数在上的单调递增区间;(2)在中,,,分别是角,,的对边,为锐角,若,,的面积为,求边的长.【答案】(1)函数在上的单调递增区间为,;(2)边的长为.【解析】(1)根据平面向量的数量积,应用和差倍半的三角函数公式,将化简为.通过研究的单调减区间得到函数在上的单调递增区间为,.(2)根据两角和的正弦公式,求得,利用三角形的面积,解得,结合,由余弦定理得从而得解.试题解析:(1)由题意得3分令,解得:,,,或所以函数在上的单调递增区间为, 6分(2)由得:化简得:又因为,解得: 9分由题意知:,解得,又,所以故所求边的长为. 12分【考点】平面向量的数量积,和差倍半的三角函数,三角函数的图像和性质,正弦定理、余弦定理的应用.6.函数的最小正周期为,若其图象向右平移个单位后关于y轴对称,则()A.B.C.D.【答案】B【解析】由题意可知:,得,函数关于对称,所以,,又因为,解得,故选B.【考点】的图像和性质7.已知函数的最小正周期为,将的图像向左平移个单位长度,所得图像关于轴对称,则的一个值是()A.B.C.D.【答案】D【解析】函数的最小正周期为,所以从而.将各选项代入验证可知选【考点】1、三角函数的周期;2、函数图象的变换8.若函数的一个对称中心是,则的最小值为()A.B.C.D.【答案】B【解析】由于正切函数的对称中心坐标为,且函数的一个对称中心是,所以,因此有,因为,所以当时,取最小值,故选B.【考点】三角函数的对称性9.在中,(1)求角B的大小;(2)求的取值范围.【答案】(1) ;(2) .【解析】(1)由正弦定理实现边角互化,再利用两角和与差的正余弦公式化简为,再求角的值;(2)二倍角公式降幂扩角,两角差余弦公式展开,同时注意隐含条件,即可化为一角一函数,再结合求其值域.求解时一定借助函数图象找其最低点与最高点的纵坐标.试题解析:(1)由已知得:,即∴∴ 5分(2)由(1)得:,故+又∴所以的取值范围是. 12分【考点】1.正余弦定理;2.三角函数值域;3.二倍角公式与两角和与差的正余弦公式.10.已知函数,(1)求的值;(2)若,且,求.【答案】(1);(2).【解析】(1)直接将代入计算即可;(2)用二倍角的正弦、余弦公式化简,再将正弦、余弦合为同一个的三角函数;根据已知条件,求出的值.试题解析:(1)(2)因为,且,所以,所以【考点】1、三角恒等变换;2、三角函数的基本运算.11.函数,,在上的部分图象如图所示,则的值为.【答案】【解析】根据题意,由于函数,,在上的部分图象可知周期为12,由此可知,A=5,将(5,0)代入可知,5sin(+)=0,可知=,故可知==,故答案为【考点】三角函数的解析式点评:主要是考查了三角函数的解析式的求解和运用,属于基础题。
高一数学任意角和弧度制和任意角的三角函数试题答案及解析1.如果角的终边经过点,则()A.B.C.D.【答案】A【解析】直接利用三角函数的定义,求出.因为角θ的终边经过点,由三角函数的定义可知,,故选A.【考点】任意角的三角函数的定义.2.已知扇形半径为8, 弧长为12, 则中心角为弧度, 扇形面积是【答案】.【解析】圆心角;由扇形的面积公式得.【考点】扇形的面积公式及圆心角的计算.3.若点P位于第三象限,则角是第象限的角.【答案】二【解析】点P位于第三象限,则即,所以角是第二象限的角,答案为二.【考点】三角函数的符号4.半径为,中心角为所对的弧长是().A.B.C.D.【答案】D.【解析】弧长cm,故选D.【考点】弧长公式:(其中的单位是弧度).5.已知cosθ•tanθ<0,那么角θ是().A.第一或第二象限角B.第二或第三象限角C.第三或第四象限角D.第一或第四象限角【答案】B【解析】,,是第二象限角或第三象限角.【考点】象限角的符号.6.已知,则的集合为()A.B.C.D.【答案】D【解析】由知,在第一或第三象限,因为,所以.【考点】简单三角方程7.与角-终边相同的角是()A.B.C.D.【答案】C【解析】与−终边相同的角为2kπ−,k∈z,当 k=-1时,此角等于,故选:C.【考点】终边相同的角的定义和表示方法.8.如图,长为4米的直竹竿AB两端分别在水平地面和墙上(地面与墙面垂直),T为AB中点,,当竹竿滑动到A1B1位置时,,竹竿在滑动时中点T也沿着某种轨迹运动到T1点,则T运动的路程是_________米.【答案】.【解析】如图可知,点运动的轨迹为一段圆弧,由题意已知:,,∴,∴点运动的路程为.【考点】弧度制有关公式的运用.9.已知角的终边上有一点(1,2),则的值为( ).A.B.C.D.–2【答案】A【解析】角的终边过,,.【考点】任意角三角函数的定义.10.若角的终边上有一点,则的值是()A.B.C.D.【答案】B.【解析】先利用诱导公式化简,根据三角函数的定义知,即,故选B.【考点】运用诱导公式化简求值;任意角的三角函数的定义.11. 60°=_________.(化成弧度)【答案】【解析】根据,可得.【考点】角度与弧度的互化.12.与终边相同的最小正角是.【答案】【解析】因为与终边相同的角是所以当时,与终边相同的最小正角是【考点】与终边相同的角13.比较的大小 .【答案】【解析】,在上为增函数,可知,,可得.【考点】正弦函数的性质,特殊角的三角函数.14.已知扇形的周长为30,当它的半径R和圆心角各取何值时,扇形的面积S最大?并求出扇形面积的最大值.【答案】当扇形半径为,圆心角为2时,扇形有最大面积.【解析】根据条件扇形的周长为30可以得到l+2R=30,从而扇形的面积S=lR=(30-2R)R=,即把S表示为R的二次函数,根据二次函数求最值的方法,可以进一步变形为S=-(R-)2+,从而得到当扇形半径为,圆心角为2时,扇形有最大面积.∵扇形的周长为30,∴l+2R=30,l=30-2R,∴S=lR=(30-2R)R==-(R-)2+.....5分∴当R=时,扇形有最大面积,此时l=30-2R=15,==2........8分答:当扇形半径为,圆心角为2时,扇形有最大面积.....10分.【考点】1、弧度制下扇形相关公式;2、二次函数求最值.15.若点P(Cos,Sin)在直线y=-2x上,则=( )A.B.C.D.【答案】B【解析】因为点在直线上,所以,则.【考点】任意角的三角函数的定义;同角三角函数间的基本关系.16.已知是第一象限的角,那么是()A.第一象限角B.第二象限角C.第一或第二象限角D.第一或第三象限角【答案】D【解析】∵α的取值范围(k∈Z)∴的取值范围是(k∈Z),分类讨论①当k="2n+1" (其中n∈Z)时的取值范围是即属于第三象限角.②当k=2n(其中n∈Z)时的取值范围是即属于第一象限角.故答案为:D.【考点】象限角、轴线角.17.设,,,则( )A.B.C.D.【答案】D【解析】因为,所以<;因为,所以>,<,,所以b<a<c.故答案为:D.【考点】三角函数值.18.扇形的半径是,圆心角是60°,则该扇形的面积为 .【答案】π【解析】扇形的面积公式为.【考点】扇形的弧度制面积公式.19.的值()A.小于B.大于C.等于D.不存在【答案】A【解析】因为,所以,从而,选A.【考点】任意角的三角函数.20.计算:= ;【答案】1【解析】原式=【考点】三角函数值的计算21.已知扇形的圆心角为2rad,扇形的周长为8cm,则扇形的面积为___________cm2。
高中数学三角函数公式练习(答案)1.sin(29π/6)的值为()A。
-1133B。
-C。
D。
2222答案】C解析】考点:任意角的三角函数2.已知sin(α-π/4)=7/√5301,cos2α=71/2525,sinα=5/13,求cosα的值。
A。
-/6662B。
-1025/4433C。
-727/5555D。
5555/2553答案】D解析】考点:两角和与差的三角函数,二倍角公式3.cos690°的值为()A。
-1133B。
C。
-2222D。
-答案】C解析】考点:三角函数的诱导公式4.tan(π/3)的值为()A。
-33B。
C。
3D。
-333答案】C解析】考点:三角函数的求值,诱导公式5.若-π<β<α<π,且cos(β+π/4)=5/√5301,则cos(α+β)的值为()A。
-B。
-3399C。
D。
-答案】C解析】考点:诱导公式,三角函数的化简求值。
6.若角 $\alpha$ 的终边在第二象限且经过点 $P(-1,3)$,则$\sin\alpha$ 等于 $\dfrac{3}{2}$。
7.$\sin7^\circ\cos37^\circ-\sin83^\circ\cos53^\circ$ 的值为$-\dfrac{1}{3}$。
8.已知 $\cos(-x)=\dfrac{\sqrt{3}}{2}$,那么 $\sin2x=-\dfrac{1}{2}$。
9.已知 $\sin\dfrac{5\pi}{2}+\alpha=\dfrac{1}{23}$,则$\cos2\alpha=-\dfrac{5}{9}$。
10.已知 $\sin(\dfrac{\pi}{2}+a)=\dfrac{1}{27}$,则$\cos2a=-\dfrac{1}{9}$。
11.已知点 $P(\tan\alpha,\cos\alpha)$ 在第三象限,则角$\alpha$ 在第二象限。
12.已知 $\alpha$ 是第四象限角,$\tan\alpha=-\dfrac{5}{22}$,则 $\sin\alpha=-\dfrac{12}{13}$。
高一数学任意角和弧度制和任意角的三角函数试题答案及解析1.半径为1m的圆中,60°的圆心角所对的弧的长度为()m.A.B.C.60D.1【答案】B【解析】因为60°=又根据弧长计算公式L=故选B.【考点】扇形的弧长计算公式.2.下列各式中,值为的是A.B.C.D.【答案】D【解析】;;;.【考点】二倍角的正弦、余弦、正切公式.3. cos540°= ().A.0B.1C.-1D.1/2【答案】C【解析】.【考点】诱导公式.4.下列不等式中,正确的是A.B.C.D.【答案】B【解析】函数在区间为单调递增函数,在区间为单调递增函数,由,由,故A,C错误;在区间为单调递增函数,,由,即,故B 正确;,所以有,故D错误,综上,选B.【考点】(1)三角函数诱导公式的应用;(2)三角函数单调性应用.5.已知点P()在第三象限,则角在A.第一象限B.第二象限C.第三象限D.第四象限【答案】D【解析】由题知,∴角在第四象限,故选D.由点P在第三象限知且,由知角在第二象限或第四象限,由知角在第三象限或第四象限,故角在第四象限.【考点】三角函数在各象限的符号6.已知角的终边上有一点(1,2),则的值为( ).A.B.C.D.–2【答案】A【解析】角的终边过,,.【考点】任意角三角函数的定义.7.已知,则的值是()A.B.C.D.【答案】C.【解析】由三角函数的定义及特殊角的三角函数值易知,.【考点】任意角的三角函数的定义.8.已知sinα=,且α为第二象限角,那么tanα的值等于()A.B.C.D.【答案】【解析】根据,是第二象限角,可知,利用可知,则.【考点】余弦正负的判断; ;.9.与13030终边相同的角是()A.B.C.D.【答案】C【解析】终边与1303°相同的角是k•360°+1303°,k∈Z∴k=-4时,k•360°+1303°=-137°.故选C.【考点】终边相同的角.10.已知P(-8,6)是角终边上一点,则的值等于( )A.B.C.D.【答案】D【解析】P(-8,6)是角终边上一点,所以,;则=【考点】三角函数的定义.11.与终边相同的最小正角是.【答案】【解析】因为与终边相同的角是所以当时,与终边相同的最小正角是【考点】与终边相同的角12.已知的值()A.不大于B.大于C.不小于D.小于【答案】D【解析】∵,∴,又∵,∴,∴.【考点】三角函数值的符号判断13.在平面直角坐标系中,已知角的终边经过点,且,则()A.1B.C.1或D.1或3【答案】A【解析】,,解得或,因为,则,即。
任意角的三角函数练习题及参考答案一、选择题1.已知角α的终边过点P(-1,2),cosα的值为()。
A.-2555 B.-5 C.D.552答案:B.-52.α是第四象限角,则下列数值中一定是正值的是()。
A.sinα B.cosα C.tanα D.cotα答案:B.cosα3.已知角α的终边过点P(4a,-3a)(a<0),则2sinα+cosα的值是()。
A.22 B.- C.0 D.与a的取值有关答案:A.224.α是第二象限角,P(x,5)为其终边上一点,且cosα=x/2,则sinα的值为()。
A. B. C.D.-4444答案:D.-44445.函数y=sinx cosx的定义域是()。
A.(2k,(2k1)),k Z B.[2k2,(2k1)],k Z C.[k,(k1)],k Z D.[2kπ,(2k+1)π],k Z答案:B.[2k/2,(2k1)]6.若θ是第三象限角,且cosθ=1/2,则是()。
A.第一象限角 B.第二象限角 C.第三象限角 D.第四象限角答案:B.第二象限角7.已知sinα=3/4,且α是第二象限角,那么tanα的值为()。
A. B. C.334 D.344答案:A.8.已知点P(tanα,cosα)在第三象限,则角α在()。
A.第一象限 B.第二象限 C.第三象限 D.第四象限答案:D.第四象限二、填空题1.已知sinαtanα≥1/2,则α的取值集合为()。
答案:(2kπ+π/4,2kπ+3π/4),k∈Z2.角α的终边上有一点P(m,5),且cosα=m/13,则sinα+cosα=______。
答案:12/133.已知角θ的终边在直线y=3x上,则sinθ=______;tanθ=______。
答案:sinθ=3/√10,tanθ=3/√74.设θ∈(0,2π),点P(sinθ,cos2θ)在第三象限,则角θ的范围是()。
答案:(5π/6,2π)三、解答题1.求角的正弦、余弦和正切值。
第1节 任意角和弧度制及任意角的三角函数知识梳理1.角的概念的推广(1)定义:角可以看成一条射线绕着它的端点旋转所形成的图形. (2)分类⎩⎨⎧按旋转方向不同分为正角、负角、零角W.按终边位置不同分为象限角和轴线角.(3)终边相同的角:所有与角α终边相同的角,连同角α在内,可构成一个集合S ={β|β=α+k ·360°,k ∈Z }. 2.弧度制的定义和公式(1)定义:长度等于半径长的圆弧所对的圆心角叫做1弧度的角,记作1 rad. (2)公式3.任意角的三角函数 (1)定义(2)定义的推广设P(x,y)是角α终边上异于原点的任一点,它到原点的距离为r(r>0),那么sin α=yr;cos α=xr,tan α=yx(x≠0).1.三角函数值在各象限的符号规律:一全正,二正弦,三正切,四余弦.2.角度制与弧度制可利用180°=π rad进行互化,在同一个式子中,采用的度量制必须一致,不可混用.3.象限角4.轴线角诊断自测1.判断下列结论正误(在括号内打“√”或“×”)(1)小于90°的角是锐角.()(2)锐角是第一象限角,第一象限角也都是锐角.()(3)角α的三角函数值与其终边上点P 的位置无关.( ) (4)若α为第一象限角,则sin α+cos α>1.( ) 答案 (1)× (2)× (3)√ (4)√ 解析 (1)锐角的取值范围是⎝ ⎛⎭⎪⎫0,π2.(2)第一象限角不一定是锐角.2.已知角θ的终边过点P (-12,m ),cos θ=-1213,则m 的值为( ) A.-5 B.5C.±5D.±8答案 C解析 由三角函数的定义可知cos θ=-12(-12)2+m2=-1213,解得m =±5. 3.在-720°~0°范围内,所有与角α=45°终边相同的角β构成的集合为________. 答案 {-675°,-315°}解析 所有与角α终边相同的角可表示为:β=45°+k ×360°(k ∈Z ),则令-720°≤45°+k ×360°<0°(k ∈Z ),得-765°≤k ×360°<-45°(k ∈Z ). 解得k =-2或k =-1,∴β=-675°或β=-315°.4.(2020·全国Ⅱ卷)若α为第四象限角,则( ) A.cos 2α>0 B.cos 2α<0 C.sin 2α>0D.sin 2α<0答案 D解析 ∵α是第四象限角,∴sin α<0,cos α>0,∴sin 2α=2sin αcos α<0,故选D. 5.(多选题)(2021·武汉调研)下列说法正确的是( ) A.时钟经过两个小时,时针转过的角度是60° B.钝角大于锐角C.三角形的内角必是第一或第二象限角D.若α是第二象限角,则α2是第一或第三象限角 答案 BD解析 对于A ,时钟经过两个小时,时针转过的角是-60°,故错误; 对于B ,钝角一定大于锐角,显然正确;对于C ,若三角形的内角为90°,则是终边在y 轴正半轴上的角,故错误; 对于D ,∵角α的终边在第二象限, ∴2k π+π2<α<2k π+π,k ∈Z , ∴k π+π4<α2<k π+π2,k ∈Z .当k =2n ,n ∈Z 时,2n π+π4<α2<2n π+π2,n ∈Z ,得α2是第一象限角;当k =2n +1,n ∈Z 时,(2n +1)π+π4<α2<(2n +1)π+π2,n ∈Z ,得α2是第三象限角,故正确.6.(2021·菏泽质检)密位广泛用于航海和军事,我国采取的“密位制”是6 000密位制,即将一个圆周分成6 000等份,每一等份是一个密位,那么60密位等于________rad. 答案 π50解析 ∵周角为2π rad , ∴1密位=2π6 000=π3 000(rad), ∴60密位=π3 000·60=π50(rad).考点一 角的概念及其表示1.下列与角9π4的终边相同的角的表达式中正确的是( )A.2k π+45°(k ∈Z )B.k ·360°+9π4(k ∈Z ) C.k ·360°-315°(k ∈Z )D.k π+5π4(k ∈Z )答案 C解析 与9π4的终边相同的角可以写成2k π+9π4(k ∈Z ),但是角度制与弧度制不能混用,排除A 、B ,易知D 错误,C 正确.2.(多选题)(2021·海南调研)已知α为第三象限角,则α2的终边所在的象限可能是( ) A.第一象限 B.第二象限 C.第三象限D.第四象限答案 BD解析 ∵α为第三象限角, ∴π+2k π<α<3π2+2k π,k ∈Z , ∴π2+k π<α2<3π4+k π,k ∈Z ,当k =2m ,m ∈Z 时,π2+2m π<α2<3π4+2m π,m ∈Z ,此时α2在第二象限, 当k =2m +1,m ∈Z 时,3π2+2m π<α2<7π4+2m π,m ∈Z , 此时α2在第四象限.综上,α2的终边在第二或第四象限.3.终边在直线y =3x 上,且在[-2π,2π)内的角α的集合为________________. 答案⎩⎨⎧⎭⎬⎫-5π3,-2π3,π3,4π3解析 终边在直线y =3x 上的角α的集合为⎩⎨⎧⎭⎬⎫α|α=π3+k π,又由α∈[-2π,2π),即-2π≤π3+k π<2π,k ∈Z , 解得k =-2,-1,0,1,故满足条件的角α构成的集合为⎩⎨⎧⎭⎬⎫-5π3,-2π3,π3,4π3.感悟升华 1.确定nα,αn (n ∈N *)的终边位置的方法先用终边相同角的形式表示出角α的范围,再写出nα或αn 的范围,然后根据n 的可能取值讨论确定nα或αn 的终边所在位置(也可采用等分象限角的方法). 2.利用终边相同的角的集合求适合某些条件的角:先写出与这个角的终边相同的所有角的集合,然后通过对集合中的参数k 赋值来求得所需的角. 考点二 弧度制及其应用【例1】已知一扇形的圆心角为α,半径为R ,弧长为l ,若α=π3,R =10 cm ,求:(1)扇形的面积;(2)扇形的弧长及该弧所在弓形的面积. 解 (1)由已知得α=π3,R =10, ∴S 扇形=12α·R 2=12·π3·102=50π3(cm 2). (2)l =α·R =π3·10=10π3(cm),S 弓形=S 扇形-S 三角形=12·l ·R -12·R 2·sin π3 =12×10π3·10-12×102×32=50π-7533(cm 2).感悟升华 应用弧度制解决问题时应注意:(1)利用扇形的弧长和面积公式解题时,要注意角的单位必须是弧度.(2)求扇形面积最大值的问题时,常转化为二次函数的最值问题.(3)在解决弧长问题和扇形面积问题时,要合理地利用圆心角所在的三角形. 【训练1】 (1)(多选题)(2020·青岛质检)已知扇形的周长是6,面积是2,下列选项可能正确的有( ) A.圆的半径为2 B.圆的半径为1 C.圆心角的弧度数是1 D.圆心角的弧度数是2(2)已知扇形的周长为8 cm ,则该扇形面积的最大值为________cm 2. 答案 (1)ABC (2)4解析 (1)设扇形半径为r ,圆心角弧度数为α,则由题意得⎩⎨⎧2r +αr =6,12αr 2=2,解得⎩⎪⎨⎪⎧r =1,α=4或⎩⎪⎨⎪⎧r =2,α=1,可得圆心角的弧度数是4或1. (2)设扇形半径为r cm ,弧长为l cm , 则2r +l =8,S =12rl =12r ×(8-2r ) =-r 2+4r =-(r -2)2+4, 所以S max =4(cm 2).考点三 三角函数的定义及应用角度1 求三角函数值【例2】已知角α的终边与单位圆的交点为P ⎝ ⎛⎭⎪⎫-12,y ,则sin α·tan α等于( )A.-33 B.±33C.-32D.±32答案 C解析 由OP 2=14+y 2=1,得y 2=34,y =±32.当y =32时,sin α=32,tan α=-3, 此时sin α·tan α=-32.当y =-32时,sin α=-32,tan α=3, 此时,sin α·tan α=-32. 综上sin α·tan α=-32. 角度2 由三角函数值求参数【例3】已知角α的终边过点P (-8m ,-6sin 30°),且cos α=-45,则m 的值为( ) A.-12 B.-32 C.12D.32答案 C解析 由题意得点P (-8m ,-3),r =64m 2+9,所以cos α=-8m64m 2+9=-45,所以m >0,解得m =12.角度3 三角函数值的符号【例4】 (多选题)(2021·重庆调研)已知|cos θ|=cos θ,|tan θ|=-tan θ,则角θ2的终边可能在( ) A.第二、四象限 B.第一、三象限 C.y 轴上D.x 轴上答案 AD解析∵|cos θ|=cos θ,|tan θ|=-tan θ,∴cos θ≥0,tan θ≤0,∴角θ的终边在第四象限或x轴正半轴上,∴角θ2的终边在第二、四象限或x轴上.故选AD.感悟升华 1.三角函数定义的应用(1)直接利用三角函数的定义,找到给定角的终边上一个点的坐标,及这点到原点的距离,确定这个角的三角函数值.(2)已知角的某一个三角函数值,可以通过三角函数的定义列出含参数的方程,求参数的值.2.要判定三角函数值的符号,关键是要搞清三角函数中的角是第几象限角,再根据正、余弦函数值在各象限的符号确定值的符号.如果不能确定角所在象限,那就要进行分类讨论求解.【训练2】(1)若sin θ·cos θ<0,tan θsin θ>0,则角θ是()A.第一象限角B.第二象限角C.第三象限角D.第四象限角(2)已知角θ的顶点与原点重合,始边与x轴非负半轴重合,若A(-1,y)是角θ终边上的一点,且sin θ=-31010,则y=________.答案(1)D(2)-3解析(1)由tan θsin θ>0,得1cos θ>0,所以cos θ>0.又sin θ·cos θ<0,所以sin θ<0,所以θ为第四象限角.故选D.(2)因为sin θ=-31010<0,A(-1,y)是角θ终边上一点,所以y<0,由三角函数的定义,得yy2+1=-31010.解得y =-3.A 级 基础巩固一、选择题1.小明出国旅游,当地时间比北京时间晚一个小时,他需要调整手表的时间,则时针转过的角的弧度数为( ) A.π3 B.π6C.-π3D.-π6答案 B解析 因为当地时间比北京时间晚一个小时,所以时针应该是逆时针方向旋转,故时针转过的角的弧度数为π6.故选B.2.(多选题)(2021·淄博调研)下列四个命题正确的是( ) A.-3π4是第二象限角B.4π3是第三象限角C.-400°是第四象限角D.-315°是第一象限角答案 BCD解析 -3π4是第三象限角,故A 错误;4π3=π+π3,从而4π3是第三象限角,B 正确;-400°=-360°-40°,是第四象限角,从而C 正确;-315°=-360°+45°,是第一象限角,从而D 正确.3.(2020·天津期末)在平面直角坐标系中,若角α以x 轴的非负半轴为始边,且终边过点⎝ ⎛⎭⎪⎫-32,12,则sin α=( )A.-32B.-12C.32D.12答案 D解析 由任意角三角函数的定义得sin α=12⎝ ⎛⎭⎪⎫-322+⎝ ⎛⎭⎪⎫122=12.故选D.4.已知扇形的面积为2,扇形圆心角的弧度数是4,则扇形的周长为( )A.2B.4C.6D.8答案 C解析 设扇形的半径为r ,弧长为l ,则由扇形面积公式可得2=12|α|r 2=12×4×r 2,解得r =1,l =αr =4,所以所求扇形的周长为2r +l =6.5.若角α的终边在直线y =-x 上,则角α的取值集合为( )A.⎩⎨⎧⎭⎬⎫α⎪⎪⎪α=k ·2π-π4,k ∈Z B.⎩⎨⎧⎭⎬⎫α⎪⎪⎪α=k ·2π+3π4,k ∈Z C.⎩⎨⎧⎭⎬⎫α⎪⎪⎪α=k ·π-3π4,k ∈Z D.⎩⎨⎧⎭⎬⎫α⎪⎪⎪α=k ·π-π4,k ∈Z 答案 D解析 由图知,角α的取值集合为⎩⎨⎧⎭⎬⎫α⎪⎪⎪α=2n π+3π4,k ∈Z ∪ ⎩⎨⎧⎭⎬⎫α⎪⎪⎪α=2n π-π4,k ∈Z =⎩⎨⎧⎭⎬⎫α⎪⎪⎪α=(2n +1)π-π4,k ∈Z ∪ ⎩⎨⎧⎭⎬⎫α⎪⎪⎪α=2n π-π4,k ∈Z =⎩⎨⎧⎭⎬⎫α⎪⎪⎪α=k π-π4,k ∈Z . 6.设θ是第三象限角,且⎪⎪⎪⎪⎪⎪cos θ2=-cos θ2,则θ2是( ) A.第一象限角B.第二象限角C.第三象限角D.第四象限角答案 B解析 由θ是第三象限角知,θ2为第二或第四象限角, 又⎪⎪⎪⎪⎪⎪cos θ2=-cos θ2,所以cos θ2<0, 综上可知,θ2为第二象限角.7.(2020·长沙模拟)已知角α的顶点在原点,始边与x 轴的非负半轴重合,终边上一点A (2sin α,3)(sin α≠0),则cos α=( )A.12B.-12C.32D.-32答案 A解析 由三角函数定义得tan α=32sin α,即sin αcos α=32sin α,得3cos α=2sin 2α=2(1-cos 2α),解得cos α=12或cos α=-2(舍去).故选A.8.(多选题)(2021·山东新高考模拟)如图,A ,B 是单位圆上的两个质点,点B 的坐标为(1,0),∠BOA =60°,质点A 以1 rad/s 的角速度按逆时针方向在单位圆上运动,质点B 以2 rad/s 的角速度按顺时针方向在单位圆上运动,则( )A.经过1 s 后,∠BOA 的弧度数为π3+3B.经过π12 s 后,扇形AOB 的弧长为7π12C.经过π6 s 后,扇形AOB 的面积为π3D.经过5π9 s 后,A ,B 在单位圆上第一次相遇答案 ABD解析 经过1 s 后,质点A 运动1 rad ,质点B 运动2 rad ,此时∠BOA 的弧度数为π3+3,故A 正确;经过π12 s 后,∠AOB =π12+π3+2×π12=7π12,故扇形AOB 的弧长为7π12×1=7π12,故B 正确;经过π6 s 后,∠AOB =π6+π3+2×π6=5π6,故扇形AOB 的面积为S =12×5π6×12=5π12,故C 不正确;设经过t s 后,A ,B 在单位圆上第一次相遇,则t (1+2)+π3=2π,解得t =5π9(s),故D 正确.二、填空题9.已知扇形的圆心角为π6,面积为π3,则扇形的弧长等于________. 答案 π3解析 设扇形半径为r ,弧长为l ,则⎩⎪⎨⎪⎧l r =π6,12lr =π3,解得⎩⎨⎧l =π3,r =2. 10.在平面直角坐标系xOy 中,点P 在角2π3的终边上,且|OP |=2,则点P 的坐标为________.答案 (-1,3)解析设点P 的坐标为(x ,y ),由三角函数定义得⎩⎪⎨⎪⎧x =|OP |cos 2π3,y =|OP |sin 2π3,所以⎩⎪⎨⎪⎧x =-1,y =3,所以点P 的坐标为(-1,3).11.(2021·河北九校联考)已知点P (sin 35°,cos 35°)为角α终边上一点,若0°≤α<360°,则α=________.答案 55°解析 由题意知cos α=sin 35°=cos 55°,sin α=cos 35°=sin 55°,P 在第一象限,所以α=55°.12.已知角α的顶点为坐标原点,始边与x 轴的非负半轴重合,终边上有两点A (1,a ),B (2,b ),且cos 2α=23,则|a -b |=________.答案 55解析 由O ,A ,B 三点共线,从而得到b =2a ,因为cos 2α=2cos 2α-1=2×⎝ ⎛⎭⎪⎫1a 2+12-1=23,解得a 2=15, 即|a |=55,所以|a -b |=|a -2a |=|a |=55.B 级 能力提升13.设集合M =⎩⎨⎧⎭⎬⎫x |x =k 2·180°+45°,k ∈Z ,N ={x |x =k 4·180°+45°,k ∈Z },那么( )A.M =NB.M ⊆NC.N ⊆MD.M ∩N =∅ 答案 B解析 由于M 中,x =k 2·180°+45°=k ·90°+45°=(2k +1)·45°,2k +1是奇数;而N 中,x =k 4·180°+45°=k ·45°+45°=(k +1)·45°,k +1是整数,因此必有M ⊆N .14.(2019·北京卷)如图,A ,B 是半径为2的圆周上的定点,P 为圆周上的动点,∠APB 是锐角,大小为β.图中阴影区域的面积的最大值为( )A.4β+4cos βB.4β+4sin βC.2β+2cos βD.2β+2sin β 答案 B解析 如图,设点O 为圆心,连接PO ,OA ,OB ,AB ,在劣弧上取一点C ,则阴影部分面积为△ABP 和弓形ACB 的面积和.因为A ,B 是圆周上的定点,所以弓形ACB 的面积为定值,故当△ABP 的面积最大时,阴影部分的面积最大.又AB 的长为定值,故当点P 为优弧的中点时,点P 到弦AB 的距离最大,此时△ABP 面积最大,即当P 为优弧的中点时,阴影部分面积最大.下面计算当P 为优弧的中点时阴影部分的面积.因为∠APB 为锐角,且∠APB =β,所以∠AOB =2β,∠AOP =∠BOP =180°-β,则阴影部分的面积S =S △AOP +S △BOP +S 扇形OAB =2×12×2×2sin(180°-β)+12×22×2β=4β+4sin β.故选B.15.一扇形的圆心角为2π3,则此扇形的面积与其内切圆的面积的比值为________.答案 7+439解析 设扇形半径为R ,内切圆半径为r .则(R -r )sin π3=r ,即R =⎝⎛⎭⎪⎫1+233r . 又S 扇=12|α|R 2=12×2π3×R 2=π3R 2=7+439πr 2,所以S 扇πr 2=7+439.16.在平面直角坐标系中,劣弧,,,是圆x 2+y 2=1上的四段弧(如图),点P 在其中一段弧上,角α以Ox 为始边,OP 为终边.若tan α<cos α<sin α,则P 所在的圆弧是________.答案解析 因为tan α<cos α,所以P 所在的圆弧不是,因为tan α<sin α,所以P 所在的圆弧不是,又cos α<sin α,所以P 所在的圆弧不是,所以P 所在的圆弧是.。
随意角的三角函数一、选择题1.以下四个命题中,正确的选项是( )A.在定义域内,只有终边同样的角的三角函数值才相等B.{|= k +, k∈ Z }≠{|= - k +, k∈ Z }6 6C.若是第二象限的角,则 sin2 < 0 D .第四象限的角可表示为{| 2k +3<< 2k , k∈ Z }22.若角的终边过点 (- 3,- 2),则 ( )A . sin tan > 0B . cos tan > 0 C.sin cos > 0 D . sin cot > 0 3.角的终边上有一点P(a, a), a∈R ,且 a≠ 0,则 sin 的值是 ( )A .2 2 2D . 1 2B . - C.±2 224.α是第二象限角,其终边上一点P( x,5),且 cos α=4x,则 sin α的值为()10 6 2 10A.4 B.4 C.4 D.- 4 5. 使 lg ( cos θ·tan θ)存心义的角θ是()A.第一象限角B.第二象限角C .第一或第二象限角D.第一、二象限角或终边在y 轴上6. 设角α是第二象限角,且|cos 2 |=-cos 2 ,则角 2 是()A.第一象限角B.第二象限角C.第三象限角D.第四象限角7.已知会合E={θ|cos θ< sin θ,0≤θ≤2π},F={θ|tan θ< sin θ},那么 E∩F 是区间 ( )1 / 6二、填空题1.已知角的终边落在直线y= 3x 上,则 sin = ________.2.已知 P(- 3 ,y)为角的终边上一点,且sin =13,那么y的值等于________.133.已知锐角终边上一点P(1, 3 ),则的弧度数为________.4.( 1) sin 9tan7_________4 35.三、解答题1.已知角的终边过P(- 3 , 4),求的三角函数值2.已知角的终边经过点P(x,- 3 )(x>0).且cos=x,求sin、cos、tan的值.23.(1)已知角α 终边上一点P(3k,-4k)(k<0),求sinα,cosα,tanα的值;4.一个扇形的周长为 l ,求扇形的半径、圆心角各取何值时,此扇形的面积最大.9 . 化简或求值:三角函数的引诱公式一、选择题(本大题共12 个小题,每题 5 分,共 60 分 . 在每题给出的四个选择中,只 有一项为哪一项切合题目要求的 .) 1 、与- 463°终边同样的角可表示为( )A .k ·360°+ 436°( k ∈ Z )B .k ·360°+ 103°( k ∈ Z )C .k ·360°+ 257°( k ∈ Z )D .k ·360°- 257°( k ∈ Z ) 2、以下四个命题中可能建立的一个是( )A 、 sin1且 cos1 B 、 sin0且cos122C 、 tan1且 cos1 D 、 是第二象限时, tansiacos43、若 sin,且是第二象限角,则 tan 的值为()54 33 4C 、A 、B 、4D 、3434、若 sin cos2 ,则 tancot 等于( )A 、 1B 、 2C 、 -1D 、-21、 tan 300 sin 450 的值为( )A 、 13 B 、 13 C 、 1 3D 、1 35、若 A 、B 、 C 为△ ABC 的三个内角,则以下等式建立的是( )A 、 sin(BC ) sin AB 、 cos(BC ) cos AC 、 tan(B C ) tan AD 、 cot( BC ) cot A6、 12 sin( 2) cos(2) 等于()A . sin2- cos2B .cos2- sin2C . ±( sin2-cos2)D . sin2+cos27 、 sin α cos =α 1 , 且< α < , 则 cos α - sin α 的 值 为842( )3 3 3 3 A .B .C .D .22442 8、在△ ABC 中,若最大角的正弦值是2,则△ ABC 必是( )A 、等边三角形B 、直角三角形C 、钝角三角形D 、锐角三角形4 / 69、以下不等式中,不建立的是()A 、 sin 130 sin 140B 、 cos130 cos140C 、 tan130 tan140D 、cot 130 cot 14010、已知函数 f ( x)cos x,则以下等式建立的是()2A 、 f (2 x) f ( x)B 、C 、 f (x)f ( x)D 、 f ( 2 x) f ( x)f ( x)f ( x)11sin 、 cos 是对于 x 的方程 4x 22mx m 0的两个实根,则 m 值为( )、若A 、 m4,0B 、 m 15C 、 m 15D 、 m 15312、 已 知 f (x) a sin( x )b cos( x) 4 ( a, b, ,为非零实数),f (2011) 5则 f (2012) ( )A .1B . 3C . 5D .不可以确立二、填空题(本大题共4 个小题 ,每题5 分,共 20 分 .将答案填在题中横线上)13、化简 sin 2sin 2 sin 2 sin 2cos 2 cos 2 .14、若 sin3 cos0 ,则 cos2 sin 的值为.3sin2 cos15、 cos( 945 ).16、 tan 1tan 2 tan 3tan 89.三、解答题(本大题共6 道小题,共 70 分 .解答应写出文字说明 ,证明过程或演算步骤)17、求值 sin 2 120cos180 tan45 cos 2( 330 ) sin( 210 )sin 2 () cos( ).18、 化简:) cos 3 (tan(2 ) tan()19、已知sin( ) 1) cos 的值.,求 sin( 2) tan(220、已知sin 4和 tan 的值 .. 求cos51 sin 1 sin21、( 10 分)已知α是第三角限的角,化简sin 1 sin122、已知sin() 1,求证tan(2) tan0。
1.2.1 任意角的三角函数A 级 基础巩固一、选择题1.若α是第二象限角,则点P (sin α,cos α)在( ) A .第一象限 B .第二象限 C .第三象限D .第四象限解析:因为α是第二象限角,所以cos α<0,sin α>0,所以点P 在第四象限. 答案:D2.已知α的终边经过点(-4,3),则cos α=( ) A.45B.35C .-35D .-45解析:r = (-4)2+32=5,由任意角的三角函数的定义可得cos α=-45.答案:D3.当α为第二象限角时,|sin α|sin α-cos α|cos α|的值是( )A .0B .1C .2D .-2解析:当α为第二象限角时,sin α>0,cos α<0. 所以|sin α|sin α-cos α|cos α|=sin αsin α+cos αcos α=2.答案:C4.若角α的终边过点P (2sin 30°,-2cos 30°),则sin α的值等于( ) A.12B .-12C .-32D .-33解析:因为2sin 30°=2×12=1,-2cos 30°=-2×32=-3,所以P (1,-3),所以点P 到原点的距离为12+(-3)2=2, 所以sin α=-32. 答案:C5.若点P (sin α,tan α)在第三象限,则角α是( ) A .第一象限角 B .第二象限角 C .第三象限角D .第四象限角解析:因为P (sin α,tan α)在第三象限,所以sin α<0,tan α<0,故α为第四象限角. 答案:D 二、填空题6.(2016·四川卷)sin 750°=________.解析:sin 750°=sin(30°+2×360°)=sin 30°=12.答案:127.已知角α的终边经过点(-3cos θ,4cos θ),其中θ∈⎝ ⎛⎭⎪⎫π2,π,则cos α=________.解析:因为θ∈⎝⎛⎭⎪⎫π2,π,所以cos θ<0,所以点(-3cos θ,4cos θ)到原点的距离r =5|cos θ|=-5cos θ. 所以cos α=-3cos θ-5cos θ=35.答案:358.已知θ∈⎝ ⎛⎭⎪⎫π3,π2,在单位圆中角θ的正弦线、余弦线、正切线分别是MP ,OM ,AT ,则它们从大到小的顺序为____________.解析:作图如下,因为θ∈⎝ ⎛⎭⎪⎫π3,π2,所以θ>π4,根据三角函数线的定义可知AT >MP >OM .答案:AT >MP >OM 三、解答题9.求下列各式的值:(1)sin(-1 320°)cos(1 110°)+cos(-1 020°)sin 750°; (2)cos ⎝ ⎛⎭⎪⎫-233π+tan 17π4.解:(1)原式=sin(-4×360°+120°)cos(3×360°+30°)+cos(-3×360°+60°)sin(2×360°+30°)=sin 120°cos 30°+cos 60°sin 30°=32×32+12×12=1.(2)原式=cos ⎣⎢⎡⎦⎥⎤π3+(-4)×2π+tan ⎝ ⎛⎭⎪⎫π4+2×2π=cos π3+tan π4=12+1=32. 10.设角x 的终边不在坐标轴上,求函数y =sin x |sin x |+cos x |cos x |+tan x|tan x |的值域.解:当x 为第一象限角时,sin x ,cos x ,tan x 均为正值,所以sin x |sin x |+cos x |cos x |+tan x|tan x |=3.当x 为第二象限角时,sin x 为正值,cos x ,tan x 为负值,所以sin x |sin x |+cos x|cos x |+tan x|tan x |=-1.当x 为第三象限角时,sin x ,cos x 为负值,tan x 为正值,所以sin x |sin x |+cos x|cos x |+tan x|tan x |=-1.当x 为第四象限角时,sin x ,tan x 为负值,cos x 为正值,所以sin x |sin x |+cos x|cos x |+tan x|tan x |=-1.综上,y 的值域为{-1,3}B 级 能力提升1.已知θ为锐角,则下列选项提供的各值中,可能为sin θ+cos θ的值的是( ) A.43B.35C.45D.12解析:由于θ为锐角,所以由三角函数及三角形中两边之和大于第三边可知,sin θ+cos θ>1,故选A.答案:A2.若角θ的终边经过点P (-3,m )(m ≠0),且sin θ=24m ,则cos θ的值为________. 解析:因为角θ的终边经过点P (-3,m )(m ≠0), 且sin θ=24m ,所以x =-3,y =m ,r =3+m 2, sin θ=m3+m2=24m ,所以1r =13+m2=24, 所以cos θ=-3r =-64.答案:-643.设a=sin 33°,b=cos 55°,c=tan 35°,试比较a,b,c三数的大小.解:因为a=sin33°,b=cos 55°,c=tan 35°,作出三角函数线(如图),结合图象可得c>b>a.。
第一章 三角函数1.2.1 任意角的三角函数一、选择题1.已知sin α+cos α=–15,α∈(0,π),则tan α的值为A .–43或–34B .–43C .–34D .34【答案】C【解析】∵sin α+cos α=–15,α∈(0,π),∴α为钝角,结合sin 2α+cos 2α=1,∴sin α=35,cos α=–45,则tan α=sin cos αα=–34,故选C . 2.若点5π5πsin cos 66⎛⎫ ⎪⎝⎭,在角α的终边上,则sin α的值为A .12-B .12C .3D 3 【答案】C【解析】因为点5π5πsin cos 66⎛⎫ ⎪⎝⎭,在角α的终边上,即点132⎛- ⎝⎭,在角α的终边上,则3sin α=,故选C .3.若角α的终边过点P (3,–4),则cos α等于A .35B .34-C .45-D .45【答案】A【解析】∵角α的终边过点P (3,–4),∴r =5,∴cos α=35,故选A .4.如果角θ的终边经过点(3,–4),那么sin θ的值是A .35B .35-C .45D .45-【答案】D【解析】∵角θ的终边经过点(3,–4),∴x =3,y =–4,r 22x y +,∴sin θ=y r=–45,故选D .5.若sinαtanα<0,且costanαα<0,则角α是A.第一象限B.第二象限C.第三象限D.第四象限【答案】C【解析】∵sinαtanα<0,可知α是第二或第三象限角,又costanαα<0,可知α是第三或第四象限角.∴角α是第三象限角.故选C.6.已知点P(x,3)是角θ终边上一点,且cosθ=–45,则x的值为A.5 B.–5 C.4 D.–4 【答案】D【解析】∵P(x,3)是角θ终边上一点,且cosθ=–45,∴cosθ=29x+=–45,∴x=–4.故选D.7.若点P(sinα,tanα)在第三象限,则角α是A.第一象限角B.第二象限角C.第三象限角D.第四象限角【答案】D【解析】∵点P(sinα,tanα)在第三象限,∴sinα<0,tanα<0.∴角α是第四象限角.故选D.8.如果角α的终边过点(2sin60°,–2cos60°),则sinα的值等于A.12B.–12C.–3D.–3【答案】B【解析】角α的终边过点(2sin60°,–2cos60°),即(31-,),由任意角的三角函数的定义可知:sinα=()()221 231=-+-.故选B.9.若角120°的终边上有一点(–4,a),则a的值是A.43B.43-C.43±D.310.已知4sin5α=,并且P(–1,m)是α终边上一点,那么tanα的值等于A .43-B .34-C .34D .43【答案】A 【解析】∵4sin5α=,并且P (–1,m )是α45=,∴m =43,那么tan α=1m-= –m =–43,故选A . 11.已知sin α<0,且tan α>0,则α的终边所在的象限是A .第一象限B .第二象限C .第三象限D .第四象限【答案】C【解析】∵sin α<0,∴α的终边在第三、第四象限或在y 轴负半轴上,∵tan α>0,∴α的终边在第一或第三象限,取交集可得,α的终边所在的象限是第三象限角.故选C . 12.若角α终边经过点P (sin2π2πcos 33,),则sin α=A .12BC .12-D . 【答案】C【解析】∵角α终边经过点P (sin 2π2πcos 33,),即点P ,–12),∴x ,y =–12,r =|OP |=1,则sin α=y r=y =–12,故选C .13.已知角α的终边过点12P ⎛ ⎝⎭,,则sin α=A .12B C D . 【答案】C【解析】由题意可得,x =12,y ,r =|OP |=1,∴sin α=y r,故选C .14.已知角α的终点经过点(–3,4),则–cos α=A .35B .–35C .45D .–45【答案】A【解析】∵角α的终点经过点(–3,4),∴x =–3,y =4,r =|OP |=5,则–cos α=–35x r =,故选A . 二、填空题15.若角α的终边与单位圆交于P (–35,45),则sin α=45;cos α=___________;tan α=___________.【答案】45;35-;43- 【解析】∵角α的终边与单位圆交于P (–35,45),|OP |=223455⎛⎫⎛⎫-+ ⎪ ⎪⎝⎭⎝⎭=1,∴由任意角的三角函数的定义可知:sin α=44515=,同理可得cos α=35-;tan α=445335=--;故答案为:45;35-;43-.16.已知23cos 4a x a-=-,x 是第二、三象限角,则a 的取值范围是__________.17.已知角α的终边经过点P (–2,4),则sin α–cos α的值等于__________.35【解析】∵角α的终边经过点P (–2,4),∴x =–2,y =4,r =|OP 5,∴sin α=25y r =,cos α=xr= 5,则sin α–cos α3535. 18.适合条件|sin α|=–sin α的角α是__________.【答案】[2k π–π,2k π],k ∈Z【解析】∵|sin α|=–sin α,∴–sin α≥0,∴sin α≤0,由正弦曲线可以得到α∈[2k π–π,2k π],k ∈Z ,故答案为:[2k π–π,2k π],k ∈Z .19.若角α的终边经过点(–1,–2),则tan α=___________.【答案】2【解析】∵角α的终边经过点(–1,–2),∴由三角函数定义得tan α=21--=2.故答案为:2. 20.已知角θ的终边经过点P (x ,2),且1cos 3θ=,则x =___________.2 【解析】∵角θ的终边经过点P (x ,2),且21cos 34x θ==+,解得x 22.21.若sinθ<0,cosθ>0,则θ在第___________象限.【答案】四【解析】由sinθ<0,可知θ为第三、第四象限角或终边在y轴负半轴上的角.由cosθ<0,可知θ为第一、第四象限角或终边在x轴正半轴上的角.取交集可得,θ在第四象限.故答案为:四.三、解答题22.已知点P(3m,–2m)(m<0)在角α的终边上,求sinα,cosα,tanα.【解析】因为点P(3m,–2m)(m<0)在角α的终边上,所以x=3m,y=–2m,r=–13m,sinα=21313yr==,cosα=31313xr=-=-,tanα=32yx=-.23.确定下列各式的符号:(1)sin 103°·cos 220°;(2)cos 6°·tan 6.24.已知角α的终边在直线y=2x上,分别求出sinα,cosα及tanα的值.【解析】当角α的终边在第一象限时,在角α的终边上任意取一点P(1,2),则x=1,y=2,r=|OP5,∴sinα=255yr==cosα=55xr=,tanα=yx=2;当角α的终边在第三象限时,在角α的终边上任意取一点P(–1,–2),则x=–1,y=–2,r=|OP|=5,∴sinα=yr=5=25,cosα=xr=5=5,tanα=yx=2.25.已知角α的终边上一点P (m )(m ≠0),且sin α=4,求cos α,tan α的值.【解析】设P (x ,y ).由题设知x=y=m ,所以r 2=|OP|2=(2+m 2(O 为原点),,所以sin α=mr =4,所以=,3+m 2=8,解得当r=,x=所以cos =,tan当m=r=,x=y=所以cos =,tan26.已知角α终边上一点P (m ,1),cos α=–13.(1)求实数m 的值; (2)求tan α的值.【解析】(1)角α终边上一点P (m ,1),∴x =m ,y =1,r =|OP∴cos α=–13,解得m =.(2)由(1)可知tan α=1m。
一数学限时训练---任意角的三角函数(4)
测试时间:2019.3.20
一、选择题
A .在定义域内,只有终边相同的角的三角函数值才相等
B .{α|α=k π+
6π,k ∈Z }≠{β|β=-k π+6π,k ∈Z }
C .若α是第二象限的角,则sin2α<0
D .第四象限的角可表示为{α|2k π+23π<α<2k π,k ∈Z }
2.若角α的终边过点(-3,-2),则( )
A .sin α tan α>0
B .cos α tan α>0
C .sin α cos α>0
D .sin α cot α>0 3.角α的终边上有一点P (a ,a ),a ∈R ,且a ≠0,则sin α的值是( )
A .22
B .-22
C .±22
D .1
4.α是第二象限角,其终边上一点P (x ,),且cos α=x ,则sin α的值为( )
A .
B .
C .
D .- 5.使lg (cos θ·tan θ)有意义的角θ是( )
A .第一象限角
B .第二象限角
C .第一或第二象限角
D .第一、二象限角或终边在y 轴上
6.设角α是第二象限角,且|cos |=-cos ,则角是( )
A .第一象限角
B .第二象限角
C .第三象限角
D .第四象限角 二、填空题
1.已知角α的终边落在直线y =3x 上,则sin α=________.
2.已知P (-3,y )为角α的终边上一点,且sin α=13
13,那么y 的值等于________. 3.已知锐角α终边上一点P (1,3),则α的弧度数为________.
4.(1)sin 49πtan 3
7π_________ 三、解答题
1.已知角α的终边过P (-3 ,4),求α的六种三角函数值
2.已知角β的终边经过点P (x ,-3)(x >0).且cos β=
2
x ,求sin β、cos β、tan β的值.
答案:
542
4104642410
2α2α2α
一,1.c 2.c 3.A 4.A 5。
C 6.C
二. 1.10103± 2.21 3.3
π 4.26 三,1.=a sin 54 53cos -=a ,34tan -=a , 43cot -=a , 35sec -=a ,4
5csc =a 2. 3tan ,21cos ,23sin -==-
=βββ。