0附表2+框架梁由永久荷载效应控制的内力组合表
- 格式:xls
- 大小:67.50 KB
- 文档页数:10
框架梁的内力组合:层次截面位置内力GKSQKSwKSEKSwKGKSS4.12.1+)85.0(2.1wKQKGKSSS++QKGKSS4.12.1+EKGKSS3.12.1+控制值调幅后的值第六层FM-75.96 -23.92- ±5.31 ±19.34 -83.72 -98.59 -106.17 -116.79 -124.64 -66.01 -116.29 ±124.64 ±105.94 V86.30 27.74 μ0.99 μ3.65 102.17 104.95 126.15 128.13 142.40 98.82 108.31 142.40 170.88左LM-139.82 -44.89- ±3.04 ±11.28 -163.53 -172.04 -202.90 -208.98 -230.63 -153.12 -182.45 ±230.63 ±196.04 V101.50 32.74 μ0.99 μ3.65 120.41 123.19 148.64 150.62 167.64 117.06 126.55 167.64 201.17右LM-108.77 -35.14- ±5.16 ±17.41 -123.30 -137.75 -155.23 -165.55 -179.72 -107.89 -153.16 ±179.72 ±152.76 V80.67 26.05 μ1.87 μ6.58 94.18 99.42 117.08 120.82 133.27 88.25 105.36 132.27 159.92 'FM-27.15 -8.47 ±6.06 ±22.06 -21.4 -41.06 -33.72 -45.84 -44.44 -3.90 -61.26 ±45.84 ±38.96 V53.47 17.15 μ1.87 μ6.58 61.55 66.78 76.87 80.61 88.17 52.61 69.72 88.17 105.86 跨中FLM89.29 29.09 1.14 -4.03 108.74 133.01 121.97 112.39 133.01 159.61 LRM32.64 10.59 -0.45 -2.33 38.54 47.72 53.99 36.14 53.99 64.79第五层FM-117.00 -32.74 ±14.43 ±33.92 -120.20 -160.60 -153.80 -182.66 -186.24 -96.30 -184.50 ±186.24 ±158.30 V102.93 28.78 μ2.29 μ6.03 120.31 126.72 145.69 150.27 163.81 115.68 131.36 163.81 196.57左LM-160.53 -45.04 ±4.78 ±16.73 -185.94 -199.33 -226.14 -235.70 -255.69 -170.89 -214.39 ±255.69 ±217.34 V113.25 31.70 μ2.29 μ6.03 132.69 139.11 160.56 165.14 180.28 128.06 143.74 180.28 216.34右LM-109.96 -30.67 ±18.63 ±53.07 -105.87 -158.03 -139.39 -176.65 -174.89 -62.96 -200.94 ±200.94 ±170.80 V85.90 24.57 μ5.90 μ16.25 94.82 111.34 118.06 129.86 137.48 81.96 124.21 137.48 164.98 'FM-45.90 -12.84 ±16.79 ±41.41 -31.57 -78.59 -49.20 -82.78 -73.06 -1.25 -108.91 ±108.91 ±92.57 V66.54 18.63 μ5.90 μ16.25 71.59 81.11 89.78 101.58 105.93 58.72 100.97 105.93 127.12 跨中FLM88.26 24.61 4.83 8.60 112.67 131.66 140.37 117.09 140.37 168.44 LRM37.9 10.64 0.92 5.83 46.77 55.44 60.38 53.06 60.38 72.46第四层FM-118.43 -33.13 ±24.89 ±64.04 -107.27 -176.96 -145.39 -195.17 -188.50 -58.86 -225.37 ±225.37 ±191.56 V103.14 28.85 μ5.07 μ11.40 116.67 130.87 143.22 153.36 164.16 108.95 138.59 164.16 196.99左LM-160.14 -44.80 ±17.71 ±31.76 -167.37 -216.96 -204.54 -239.96 -254.89 -149.88 -234.46 ±254.89 ±216.66 V113.08 31.63 μ5.07 μ11.40 128.60 142.79 157.51 167.65 179.98 120.88 150.52 179.98 215.98右LM-110.24 -30.83 ±19.35 ±61.93 -105.20 -159.38 -139.14 -177.78 -175.45 -51.78 -212.80 ±212.80 ±180.88 V87.78 24.55 μ7.99 μ22.39 94.15 116.52 117.21 134.19 139.71 76.23 134.44 139.71 167.65 'FM-46.87 -13.12 ±28.59 ±72.42 -16.22 -96.25 -38.81 -95.99 -74.61 34.90 -147.39 ±147.39 ±125.28 V66.66 18.65 μ7.99 μ22.39 68.81 91.18 81.15 103.83 106.10 50.89 109.10 109.10 130.92 跨中FLM87.74 24.53 3.59 16.14 110.31 129.73 139.63 126.27 139.63 167.56 LRM37.27 10.42 -4.62 -5.25 38.26 48.96 59.31 37.90 59.31 71.17第三层FM-124.09 -34.09 ±34.75 ±75.81 -100.26 -197.56 -143.13 -212.63 -196.63 -50.36 -247.46 ±247.46 ±210.34 V103.95 29.33 μ7.39 μ14.10 114.39 135.09 142.38 157.06 165.80 106.41 143.07 165.80 198.96左LM-159.05 -41.77 ±27.30 ±42.65 -152.64 -229.08 -199.06 -253.66 -249.34 -135.42 -246.31 ±253.66 ±215.61 V112.27 31.15 μ7.39 μ14.10 124.38 145.07 153.81 168.59 178.33 116.39 153.05 178.33 214.00右LM-106.39 -31.68 ±28.36 ±80.59 -87.59 -167.75 -126.24 -182.96 -172.02 -22.90 -232.44 ±232.44 ±197.57 V86.54 24.53 μ11.62 μ28.64 87.58 120.12 113.08 136.32 138.19 66.62 141.08 141.08 169.30 'FM-50.50 -14.13 ±41.36 ±91.27 -2.70 -118.50 -31.25 -113.97 -80.38 58.05 -179.25 ±179.25 ±152.36 V67.90 18.67 μ11.62 μ28.64 65.21 97.75 85.73 108.97 107.62 44.25 118.71 118.71 142.45 跨中FLM85.46 25.57 3.73 16.58 107.77 128.02 138.35 124.11 138.35 166.19 LRM37.38 9.47 -6.50 -5.34 35.76 46.41 58.11 37.91 58.11 69.73第二层FM-127.59 -35.44 ±42.21 ±88.54 -94.01 -212.20 -141.02 -225.44 -202.72 -38.01 -268.21 ±268.21 ±227.98 V104.41 29.18 μ9.50 μ16.12 111.99 139.22 140.60 159.60 166.14 104.34 146.25 166.14 199.37左LM-158.65 -44.38 ±37.63 ±46.84 -137.70 -243.06 -190.47 -265.73 -252.51 -129.49 -251.27 ±265.73 ±225.87 V111.81 31.30 μ9.50 μ16.12 120.87 147.47 151.28 170.28 177.99 113.22 155.13 177.99 213.59 右L M-103.04 -28.93 ±45.22 ±96.70 -60.34 -186.96 -102.93 -193.37 -164.01 2.06 -249.36 ±249.36 ±211.96框架外柱的内力组合:层次控制截面内力A 轴 外 柱GK SQK SwK S EK S wK GK S S 4.12.1+ )85.0(2.1wK QK GK S S S ++ QK GK S S 4.12.1+)(3.12.1max M S S EK GK +控制值调幅后的值第六层 上M -75.96 -23.92 ±5.31 ±19.34 -83.72 -98.59 -106.17 -116.79 -124.64 -66.01 -116.29 -124.64 137.10 N 86.30 27.74 ±0.99 ±3.65 104.95 102.17 128.13 126.15 142.40 108.31 98.82 142.40 142.40 下M -58.50 -13.67 μ3.04 μ11.05 -74.46 -65.94 -84.86 -78.78 -89.34 -84.57 -55.84 -89.34 -98.27 N 106.93 48.73 ±0.99 ±3.65 129.74 126.97 170.73 168.75 196.54 133.10 123.61 196.54 196.54 V 86.30 27.74 μ0.99 μ3.65 102.17 104.95 126.15 128.13 196.54 98.82 108.31 142.40 156.64 第五 层上M -58.50 -13.67 ±11.39 ±22.87 -54.25 -86.15 -70.43 -93.21 -89.34 -40.47 -99.93 -99.93 109.92 N 209.86 77.15 ±3.28 ±9.68 256.42 247.24 320.69 314.13 359.84 264.42 239.25 359.84 359.84 下M -63.91 -17.88 μ8.25 μ31.58 -108.24 -85.14 -100.14 -83.64 -101.72 -117.75 -35.64 -117.75 -129.53 N 230.91 97.78 ±3.28 ±9.68 281.18 272.00 362.98 356.42 413.48 289.17 260.00 413.48 413.48 V 102.93 28.78 μ2.29 μ6.03 120.31 126.72 145.69 150.27 163.81 115.68 131.36 163.81 180.19 第四层上M -54.52 -12.25 ±16.64 ±32.46 -33.13 -97.72 -67.75 -90.03 -86.77 -23.23 -107.62 -107.62 118.38 N 333.63 126.63 ±8.35 ±21.08 412.05 388.67 516.34 499.64 539.65 427.76 372.95 539.65 539.65 下M -55.28 -15.04 μ13.62 μ39.67 -85.40 -47.29 -92.74 -65.50 -87.39 -117.91 -14.77 -117.91 -129.70 N 354.26 147.26 ±8.35 ±21.08 436.80 413.42 558.63 541.93 631.28 452.52 397.71 631.28 631.28 V 103.14 28.85 ±5.07 ±11.40 120.67 134.87 143.22 153.36 164.16 108.95 138.59 164.16 180.57 第三层上M -68.81 -19.05 ±21.13 ±36.14 -52.99 -112.15 -80.63 -122.89 -112.24 -38.59 -132.55 -132.55 145.81 N 458.21 176.59 ±15.74 ±35.18 571.89 527.82 715.69 684.21 797.08 595.59 504.12 797.08 797.08 下M -63.80 -19.02 μ17.29 μ44.17 -100.77 -52.35 -110.02 -75.44 -103.19 -133.98 -19.14 -133.98 147.38 N483.17201.55±15.74 ±35.18620.11557.77766.86735.38861.97625.54534.07861.97861.97框架外柱的内力组合:层次控制截面内力C 轴 外 柱GK SQK SwK S EK S wK GK S S 4.12.1+ )85.0(2.1wK QK GK S S S ++ QK GK S S 4.12.1+)(3.12.1max M S S EK GK + 控制值调幅后的值第六层 上M -27.15 -8.47 ±6.06 ±22.06 -24.10 -41.06 -33.72 -45.84 -44.44 -3.90 -61.26 -61.26 67.39 N 53.47 17.15 ±1.87 ±6.58 66.78 61.55 80.61 76.87 88.17 72.72 55.61 88.17 151.83 下M -22.95 -6.42 μ4.04 μ14.71 -33.20 -21.88 -37.04 -28.96 -36.53 -46.66 -8.42 -46.66 51.33 N 74.10 37.78 ±1.87 ±6.58 91.54 86.30 122.90 119.16 141.81 97.47 80.37 205.47 205.47 V 53.47 17.15 μ1.87 μ6.58 61.55 66.78 76.87 80.61 88.17 55.61 72.72 88.17 167.01 第五 层上M -22.95 -6.42 ±12.75 ±26.70 -9.69 45.39 -20.25 -45.75 -36.53 7.17 62.25 62.25 68.48 N 140.64 56.41 ±7.77 ±22.83 179.65 157.89 224.49 208.95 247.74 198.46 139.07 247.74 389.27 下M -25.54 -7.15 μ9.62 μ35.40 -44.12 -17.18 -46.35 -27.11 -40.66 -76.67 15.37 -76.67 84.34 N 161.27 77.04 ±7.77 ±22.83 204.40 182.65 226.78 251.24 301.38 223.22 163.83 301.38 442.91 V 66.54 18.63 μ5.90 μ16.25 71.59 88.11 89.78 101.58 105.93 58.72 100.97 105.93 206.58 第四层上M -21.33 -5.97 ±18.97 ±37.02 0.96 -52.15 -11.70 49.64 -33.95 22.53 -73.72 -73.72 81.09 N 227.93 95.69 ±15.76 ±45.22 295.58 251.45 370.61 339.09 407.48 332.30 214.73 407.48 626.88 下M -22.73 -6.36 μ15.52 μ45.24 -49.00 -5.55 -48.20 -17.16 -36.18 -86.09 31.54 -86.09 94.70 N 248.56 116.32 ±15.76 ±45.22 320.34 276.21 412.90 381.38 461.12 257.06 239.49 461.12 680.51 V 66.66 18.65 ±7.99 ±22.39 68.81 91.18 87.85 103.83 106.10 50.89 109.10 109.10 202.37 第三层上M -27.77 -7.77 ±25.84 ±46.30 2.85 -69.50 -14.09 -65.77 -44.20 -26.87 -93.51 -93.51 102.86 N 316.46 134.99 ±27.38 ±73.86 418.08 341.42 521.87 467.11 568.74 475.77 283.73 568.74 866.00 下M-26.40-7.38μ22.01 μ54.03-62.49-0.87-59.96-15.94-42.01-101.9238.56-101.92112.11N 341.42 159.95 ±27.38 ±73.86 448.04 371.37 573.04 518.28 633.63 505.72 313.69 633.63 753.52 V 67.90 18.67 μ11.62 μ28.64 65.21 97.75 85.73 108.97 107.62 44.25 118.71 118.71 204.04 第二 层上M -26.40 -7.38 ±33.52 ±55.28 15.25 -78.61 -4.43 -71.47 -42.01 40.18 -103.54 -103.54 113.89 N 410.27 179.20 ±47.73 ±108.20 559.15 425.50 692.37 596.91 743.20 632.98 351.66 743.20 1118.33 下M -30.09 -8.41 μ28.55 μ55.28 -76.08 3.86 -71.81 -14.71 -47.88 -107.97 35.76 -107.97 118.78 N 453.23 204.16 ±47.73 ±108.20 589.10 455.45 743.54 648.08 767.27 662.94 381.62 767.27 1183.23 V 68.85 19.25 μ16.35 μ34.34 59.73 105.51 82.63 86.08 115.33 37.98 127.26 127.26 206.18 第一层上M -18.16 -5.07 ±0.00 ±40.57 -21.79 -21.79 -26.10 -26.10 -28.89 30.68 -74.53 -74.53 81.98 N 503.08 223.21 ±0.00 ±138.28 603.70 603.70 793.42 793.42 916.19 783.46 423.93 916.19 1369.19 下 M -9.08 -2.54 μ0.00 μ82.36 -10.90 -10.90 -13.06 -13.06 -14.45 -117.96 96.17 -117.96 -129.76 N 528.04 248.17 ±0.00 ±138.28 633.65 633.65 844.75 844.75 981.07 813.41 453.88 981.07 987.01 V67.85 19.05 μ0.00μ30.0851.42 51.42 97.61 97.61 108.09 42.32 120.52 120.52 132.57框架内柱的内力组合:层次控制截面内力B 轴 内 柱GK SQK SwK S EK S wK GK S S 4.12.1+ )85.0(2.1wK QK GK S S S ++ QK GK S S 4.12.1+)(3.12.1max M S S EK GK + 控制值调幅后的值第六层上M -31.05 -9.75 ±8.20 ±28.69 -25.78 -48.74 -37.35 -53.75 -50.91 0.04 -74.55 74.55 82.01 N 182.17 58.97 ±2.86 ±10.23 222.61 214.60 271.44 265.72 300.91 231.90 205.31 300.91 300.91 下M -35.91 -7.58 μ6.71 μ23.47 21.70 40.49 17.94 31.36 -41.70 0.58 61.60 61.60 67.76 N223.43100.05±2.86 ±10.23272.12264.11356.02350.30408.19281.31254.82408.19408.91。
3.5.2.2 水平地震作用下的内力计算表3-55 地震作用下○A轴处柱端弯矩和与○A轴相连的梁端弯矩计算(kN.m)层号V i∑D D im D im/∑DV im=(D im/∑D)×V iyh M c上M c下M b总h3.00 295.88 36242.00 6055.00 0.17 49.43 1.89 114.19 93.43 114.19 4.20 2.00 308.94 39423.00 6768.00 0.17 53.04 2.18 106.92 115.83 200.35 4.20 1.00 315.69 32054.00 6217.00 0.19 61.23 2.88 117.56 176.34 233.39 4.80表3-56 地震作用下○B轴处柱端弯矩和与○B轴相连的梁端弯矩计算(kN.m)层号V i∑D D im D im/∑D V im=(D im/∑D) ×V i yh M c上M c下M b总h M b左M b右10.00 57.57 56190.00 11239.00 0.20 11.52 1.23 20.38 34.55 20.38 3.009.00 108.72 56190.00 11239.00 0.20 21.75 1.44 33.92 65.24 68.47 3.008.00 153.69 56190.00 11239.00 0.20 30.74 1.50 46.11 92.22 111.35 3.007.00 192.75 56190.00 11239.00 0.20 38.55 1.50 57.83 115.66 150.05 3.006.00 226.19 56190.00 11239.00 0.20 45.24 1.50 67.86 135.73 183.52 3.005.00 254.31 56190.00 11239.00 0.20 50.87 1.50 76.30 152.60 212.03 3.004.00 277.42 56190.00 11239.00 0.20 55.49 1.35 91.56 166.47 244.16 3.003.00 295.88 36242.00 8044.00 0.22 65.67 2.00 144.81 275.82 4.20 155.64 155.64 2.00 308.94 39423.00 8629.00 0.22 67.62 2.10 142.01 284.01 4.20 208.91 208.91 1.00 315.69 32054.00 6540.00 0.20 64.41 2.59 142.22 309.17 4.80 213.11 213.11表3-57 地震作用下○C轴处柱端弯矩和与○C轴相连的梁端弯矩计算(kN.m)层号V i∑D D im D im/∑D V im=(D im/∑D) ×V i yh M c上M c下h M b左M b右10.00 57.57 56190.00 16856.00 0.30 17.27 1.35 28.50 51.81 3.00 14.25 14.25 9.00 108.72 56190.00 16856.00 0.30 32.61 1.49 49.41 97.84 3.00 50.61 50.61 8.00 153.69 56190.00 16856.00 0.30 46.10 1.50 69.16 138.31 3.00 83.50 83.50 7.00 192.75 56190.00 16856.00 0.30 57.82 1.50 86.73 173.46 3.00 112.52 112.52 6.00 226.19 56190.00 16856.00 0.30 67.85 1.50 101.78 203.56 3.00 137.62 137.62 5.00 254.31 56190.00 16856.00 0.30 76.29 1.50 114.43 228.87 3.00 159.00 159.00 4.00 277.42 56190.00 16856.00 0.30 83.22 1.50 124.83 249.66 3.00 176.85 176.85 3.00 295.88 36242.00 8044.00 0.22 65.67 2.00 144.81 275.82 4.20 197.23 197.23 2.00 308.94 39423.00 8629.00 0.22 67.62 2.10 142.01 284.01 4.20 208.91 208.91 1.00 315.69 32054.00 6540.00 0.20 64.41 2.62 140.67 309.17 4.80 212.34 212.34表3-58 地震作用下○D轴处柱端弯矩和与○D轴相连的梁端弯矩计算(kN.m)层号V i∑D D im D im/∑D V im=(D im/∑D) ×V i yh M c上M c下h M b左M b右10.00 57.57 56190.00 16856.00 0.30 17.27 1.35 28.50 51.81 3.00 14.25 14.25 9.00 108.72 56190.00 16856.00 0.30 32.61 1.38 52.93 97.84 3.00 52.37 52.37 8.00 153.69 56190.00 16856.00 0.30 46.10 1.50 69.16 138.31 3.00 83.50 83.50 7.00 192.75 56190.00 16856.00 0.30 57.82 1.50 86.73 173.46 3.00 112.52 112.52 6.00 226.19 56190.00 16856.00 0.30 67.85 1.50 101.78 203.56 3.00 137.62 137.62 5.00 254.31 56190.00 16856.00 0.30 76.29 1.50 114.43 228.87 3.00 159.00 159.00 4.00 277.42 56190.00 16856.00 0.30 83.22 1.50 124.83 249.66 3.00 176.85 176.85 3.00 295.88 36242.00 8044.00 0.22 65.67 2.00 144.81 275.82 4.20 197.23 197.23 2.00 308.94 39423.00 8629.00 0.22 67.62 2.10 142.01 284.01 4.20 208.91 208.91 1.00 315.69 32054.00 6540.00 0.20 64.41 2.62 140.67 309.17 4.80 212.34 212.34表3-59 地震作用下○E轴处柱端弯矩和与○E轴相连的梁端弯矩计算(kN.m)层号V i∑D D im D im/∑DV im=(D im/∑D)×V iyh M c上M c下M b总h10 57.57 56190.00 11239.00 0.20 11.52 1.23 20.38 34.55 20.38 3.0 9 108.72 56190.00 11239.00 0.20 21.75 1.44 33.92 65.24 68.47 3.0 8 153.69 56190.00 11239.00 0.20 30.74 1.50 46.11 92.22 111.35 3.0 7 192.75 56190.00 11239.00 0.20 38.55 1.50 57.83 115.66 150.05 3.0 6 226.19 56190.00 11239.00 0.20 45.24 1.50 67.86 135.73 183.52 3.0 5 254.31 56190.00 11239.00 0.20 50.87 1.50 76.30 152.60 212.03 3.0 4 277.42 56190.00 11239.00 0.20 55.49 1.35 91.56 166.47 244.16 3.0 3 295.88 36242.00 6055.00 0.17 49.43 2.00 109.00 207.62 275.47 4.2 2 308.94 39423.00 6768.00 0.17 53.04 2.18 106.92 222.76 314.54 4.2 1 315.69 32054.00 6217.00 0.19 61.23 2.98 111.68 293.90 334.44 4.8表3-60 水平地震作用梁端弯矩(kN.m)○A轴右梁端○B轴左梁端○B轴右梁端○C轴左梁端○C轴右梁端○D轴左梁端○D轴右梁端○E轴左梁端20.38 14.25 14.25 14.25 14.25 20.3868.47 50.61 50.61 52.37 52.37 68.47111.35 83.50 83.50 83.50 83.50 111.35150.05 112.52 112.52 112.52 112.52 150.05183.52 137.62 137.62 137.62 137.62 183.52212.03 159.00 159.00 159.00 159.00 212.03244.16 176.85 176.85 176.85 176.85 244.16 114.19 155.64 155.64 197.23 197.23 197.23 197.23 275.47 200.35 208.91 208.91 208.91 208.91 208.91 208.91 314.54 233.39 213.11 213.11 212.34 212.34 212.34 212.34 334.44(1)用于承载力计算的框架梁由可变荷载效应控制的基本组合表(工况一)表3-65 用于承载力计算的框架梁由可变荷载效应控制的基本组合表(○A-○B轴间梁)M max相应的V(kN) M min相应的V(kN) │V│max相应的M(kN.m) 层数恒荷①活荷②左风③右风④组合项目数值组合项目数值组合项目数值3 左M -29.4 -9.7 17.0 -17.0 1.2×①+1.4×②+ -63.3 1.2×①+1.4×②+ -63.3左V 59.8 19.9 -5.5 5.5 1.2×①+ 1.4×0.6×④104.3 1.4×0.6×④104.3 中M 63.7 21.2 0.4 -0.4 1.4×②+ 105.87右M -63.9 -21.2 -16.1 16.1 1.4×0.6×④ 1.2×①+1.4×②+ -120.0 1.2×①+1.4×②+ -120.0 右V -48.3 -16.1 -5.5 5.5 1.4×0.6×③-85.2 1.4×0.6×④-85.2 2 左M -41.4 -20.0 31.5 -31.5 1.2×①+1.4×②+ -104.1 1.2×①+1.4×②+ -104.1左V 59.6 20.7 -8.8 8.8 1.2×①+ 1.4×0.6×④108.0 1.4×0.6×④108.0 中M 82.3 18.9 5.0 -5.0 1.4×②+ 121.02右M -74.7 -36.2 -21.5 21.5 1.4×0.6×④ 1.2×①+1.4×②+ -158.5 1.2×①+1.4×②+ -158.5 右V -48.5 -15.3 -8.8 8.8 1.4×0.6×③-87.1 1.4×0.6×④-87.1 1 左M -40.5 -19.6 40.5 -40.5 1.2×①+1.4×②+ -110.0 1.2×①+1.4×②+ -110.0左V 54.1 20.7 -10.8 10.8 1.2×①+ 1.4×0.6×④103.1 1.4×0.6×④103.1 中M 81.7 18.6 7.9 -7.9 1.4×②+ 117.49右M -75.0 -36.3 -24.5 24.5 1.4×0.6×④ 1.2×①+1.4×②+ -161.5 1.2×①+1.4×②+ -161.5 右V -48.3 -15.2 -10.8 10.8 1.4×0.6×③-88.4 1.4×0.6×④-88.4表3-66 用于承载力计算的框架梁由可变荷载效应控制的基本组合表(○B-○C轴间梁)M max相应的V(kN) M min相应的V(kN) │V│max相应的M(kN.m) 层数恒荷①活荷②左风③右风④组合项目数值组合项目数值组合项目数值10 左M -34.5 -11.6 2.3 -2.30 1.2×①+1.4×②+ -59.57 1.2×①+1.4×②+ -59.57左V 58.5 19.4 -0.6 0.64 1.2×①+ 1.4×0.6×④97.99 1.4×0.6×④97.99 中M 67.8 22.6 0.3 -0.37 1.4×②+ 112.77右M -60.8 -20.7 -1.5 1.57 1.4×0.6×④ 1.2×①+1.4×②+ -102.81 1.2×①+1.4×②+ -102.8 右V -49.7 -16.4 -0.6 0.64 1.4×0.6×③-83.38 1.4×0.6×④-83.38 9-4 左M -22.8 -8.1 23.2 -23.22 1.2×①+1.4×②+ -58.32 1.2×①+1.4×②+ -58.32 左V 60.7 19.8 -6.6 6.62 1.2×①+ 1.4×0.6×④106.11 1.4×0.6×④106.11 中M 65.3 21.6 3.3 -3.36 1.4×②+ 105.82右M -62.2 -18.5 -16.5 16.50 1.4×0.6×④ 1.2×①+1.4×②+ -115.10 1.2×①+1.4×②+ -115.1 右V -47.5 -16.1 -6.6 6.62 1.4×0.6×③-85.30 1.4×0.6×④-85.30 3 左M -57.4 -18.0 16.1 -16.18 1.2×①+1.4×②+ -108.93 1.2×①+1.4×②+ -108.9左V 54.4 17.7 -5.9 5.98 1.2×①+ 1.4×0.6×④95.20 1.4×0.6×④95.20 中M 84.2 27.6 1.7 -1.76 1.4×②+ 138.27右M -59.1 -17.0 -19.6 19.69 1.4×0.6×④ 1.2×①+1.4×②+ -112.11 1.2×①+1.4×②+ -112.1 右V -53.8 -18.2 -5.9 5.98 1.4×0.6×③-95.13 1.4×0.6×④-95.13 2 左M -69.8 -33.0 21.5 -21.53 1.2×①+1.4×②+ -149.17 1.2×①+1.4×②+ -149.1左V 53.2 17.5 -7.1 7.18 1.2×①+ 1.4×0.6×④94.44 1.4×0.6×④94.44 中M 101.7 28.3 0.0 0.00 1.4×②+ 161.81右M -64.2 -31.1 -21.5 21.53 1.4×0.6×④ 1.2×①+1.4×②+ -138.75 1.2×①+1.4×②+ -138.7 右V -55.0 -18.5 -7.1 7.18 1.4×0.6×③-97.91 1.4×0.6×④-97.91 1 左M -70.0 -33.0 24.5 -24.57 1.2×①+1.4×②+ -152.10 1.2×①+1.4×②+ -152.1左V 53.1 17.5 -8.1 8.17 1.2×①+ 1.4×0.6×④95.17 1.4×0.6×④95.17 中M 101.9 28.4 0.1 -0.07 1.4×②+ 162.04右M -64.1 -31.0 -24.4 24.43 1.4×0.6×④ 1.2×①+1.4×②+ -140.99 1.2×①+1.4×②+ -140.9 右V -55.10 -18.47 -8.17 8.17 1.4×0.6×③-98.84 1.4×0.6×④-98.84表3-67 用于承载力计算的框架梁由可变荷载效应控制的基本组合表(○C-○D轴间梁)M max相应的V(kN) M min相应的V(kN) │V│max相应的M(kN.m) 层数恒荷①活荷②左风③右风④组合项目数值组合项目数值组合项目数值10 左M -56.70 -19.00 1.57 1.2×①+1.4×②+ -94.64 1.2×①+1.4×②+ -94.64左V 53.67 18.00 -0.52 1.2×①+ 1.4×0.6×④89.60 1.4×0.6×④89.60 中M 81.00 27.00 0.00 1.4×②+ 135.0右M -56.70 -19.00 -1.57 1.4×0.6×④ 1.2×①+1.4×②+ -95.96 1.2×①+1.4×②+ -95.96 右V -53.67 -18.00 -0.52 1.4×0.6×③-90.04 1.4×0.6×④-90.04 9-4 左M -67.90 -18.30 16.50 1.2×①+1.4×②+ -107.10 1.2×①+1.4×②+ -107.10 左V 53.67 18.00 -5.50 1.2×①+ 1.4×0.6×④89.60 1.4×0.6×④89.60 中M 67.50 27.00 0.00 1.4×②+ 118.8右M -67.90 -18.30 -16.50 1.4×0.6×④ 1.2×①+1.4×②+ -120.96 1.2×①+1.4×②+ -120.96 右V -53.67 -18.00 -5.50 1.4×0.6×③-94.22 1.4×0.6×④-94.22 3 左M -67.20 -17.70 19.69 1.2×①+1.4×②+ -105.42 1.2×①+1.4×②+ -105.42左V 54.13 17.86 -6.56 1.2×①+ 1.4×0.6×④89.95 1.4×0.6×④89.95 中M 66.12 26.58 0.00 1.4×②+ 116.5右M -69.96 -18.55 -19.69 1.4×0.6×④ 1.2×①+1.4×②+ -126.46 1.2×①+1.4×②+ -126.46 右V -53.21 -17.86 -7.76 1.4×0.6×③-95.37 1.4×0.6×④-95.37 2 左M -64.30 -31.10 21.53 1.2×①+1.4×②+ -120.70 1.2×①+1.4×②+ -120.70左V 54.58 17.55 -7.18 1.2×①+ 1.4×0.6×④90.07 1.4×0.6×④90.07 中M 96.27 25.66 0.00 1.4×②+ 151.4右M -69.77 -33.78 -21.53 1.4×0.6×④ 1.2×①+1.4×②+ -149.10 1.2×①+1.4×②+ -149.10 右V -52.76 -17.55 -8.97 1.4×0.6×③-95.42 1.4×0.6×④-95.42 1 左M -64.20 -31.06 24.43 1.2×①+1.4×②+ -120.52 1.2×①+1.4×②+ -120.52左V 54.63 17.53 -8.14 1.2×①+ 1.4×0.6×④90.10 1.4×0.6×④90.10 中M 96.10 25.59 0.00 1.4×②+ 151.1右M -70.00 -33.89 -24.43 1.4×0.6×④ 1.2×①+1.4×②+ -151.97 1.2×①+1.4×②+ -151.97 右V -52.70 -17.53 -10.64 1.4×0.6×③-96.72 1.4×0.6×④-96.72表3-68 用于承载力计算的框架梁由可变荷载效应控制的基本组合表(○D-○E轴间梁)M max相应的V(kN) M min相应的V(kN) │V│max相应的M(kN.m) 层数恒荷①活荷②左风③右风④组合项目数值组合项目数值组合项目数值10 左M -60.81 -20.37 1.57 -1.57 1.2×①+1.4×②+ -102.81 1.2×①+1.4×②+ -102.81左V 49.74 16.54 -0.64 0.64 1.2×①+ 1.4×0.6×④83.38 1.4×0.6×④83.38 中M 94.16 31.39 0.37 -0.37 1.4×②+ 156.62右M -34.50 -11.60 -2.30 2.30 1.4×0.6×④ 1.2×①+1.4×②+ -59.57 1.2×①+1.4×②+ -59.57 右V -58.51 -19.46 -0.64 0.64 1.4×0.6×③-97.99 1.4×0.6×④-97.99 9-4 左M -62.26 -18.95 16.50 -16.50 1.2×①+1.4×②+ -115.10 1.2×①+1.4×②+ -115.10 左V 47.54 16.21 -6.62 6.62 1.2×①+ 1.4×0.6×④85.30 1.4×0.6×④85.30 中M 104.78 32.39 3.36 -3.36 1.4×②+ 168.25右M -22.80 -8.18 -23.22 23.22 1.4×0.6×④ 1.2×①+1.4×②+ -58.32 1.2×①+1.4×②+ -58.32 右V -60.70 -19.80 -6.62 6.62 1.4×0.6×③-106.11 1.4×0.6×④-106.11 3 左M -65.80 -19.80 19.69 -19.69 1.2×①+1.4×②+ -123.22 1.2×①+1.4×②+ -123.22左V 50.16 16.92 -7.76 7.76 1.2×①+ 1.4×0.6×④90.39 1.4×0.6×④90.39 中M 96.95 30.23 3.58 -3.58 1.4×②+ 155.65右M -42.01 -13.34 -26.85 26.85 1.4×0.6×④ 1.2×①+1.4×②+ -91.64 1.2×①+1.4×②+ -91.64 右V -58.09 -19.08 -7.76 7.76 1.4×0.6×③-102.92 1.4×0.6×④-102.92 2 左M -74.80 -36.20 21.53 -21.53 1.2×①+1.4×②+ -158.53 1.2×①+1.4×②+ -158.53左V 48.55 15.31 -8.97 8.97 1.2×①+ 1.4×0.6×④87.22 1.4×0.6×④87.22 中M 115.71 35.09 5.39 -5.39 1.4×②+ 183.45右M -41.38 -20.03 -32.30 32.30 1.4×0.6×④ 1.2×①+1.4×②+ -104.83 1.2×①+1.4×②+ -104.83 右V -59.69 -20.70 -8.97 8.97 1.4×0.6×③-108.14 1.4×0.6×④-108.14 1 左M -75.00 -36.30 24.43 -24.43 1.2×①+1.4×②+ -161.34 1.2×①+1.4×②+ -161.34左V 48.36 15.21 -10.64 10.64 1.2×①+ 1.4×0.6×④88.27 1.4×0.6×④88.27 中M 116.28 35.36 7.50 -7.50 1.4×②+ 182.73右M -40.45 -19.58 -39.43 39.43 1.4×0.6×④ 1.2×①+1.4×②+ -109.07 1.2×①+1.4×②+ -109.07 右V -59.88 -20.79 -10.64 10.64 1.4×0.6×③-109.90 1.4×0.6×④-109.90(2)用于承载力计算的框架梁由永久荷载效应控制的基本组合表(工况二)表3-69 用于承载力计算的框架梁由永久荷载效应控制的基本组合表(○A-○B轴间梁)M max相应的V(kN) M min相应的V(kN) │V│max相应的M(kN.m) 层数恒荷①活荷②组合项目数值组合项目数值组合项目数值3 左M -29.40 -9.79 1.35×①+ -49.28 1.35×①+ -49.28左V 59.88 19.91 1.35×①+ 1.4×0.7×②100.35 1.4×0.7×②100.35 中M 63.72 21.29 1.4×0.7×②106.87右M -63.97 -21.22 1.35×①+ -107.16 1.35×①+ -107.16 右V -48.36 -16.10 1.4×0.7×②-81.06 1.4×0.7×②-81.06 2 左M -41.40 -20.00 1.35×①+ -75.49 1.35×①+ -75.49左V 59.69 20.70 1.35×①+ 1.4×0.7×②100.86 1.4×0.7×②100.86 中M 82.31 18.90 1.4×0.7×②129.63右M -74.79 -36.21 1.35×①+ -136.45 1.35×①+ -136.45 右V -48.56 -15.30 1.4×0.7×②-80.54 1.4×0.7×②-80.54 1 左M -40.50 -19.60 1.35×①+ -73.88 1.35×①+ -73.88左V 54.12 20.79 1.35×①+ 1.4×0.7×②93.43 1.4×0.7×②93.43 中M 81.74 18.64 1.4×0.7×②128.61右M -75.03 -36.32 1.35×①+ -136.88 1.35×①+ -136.88 右V -48.37 -15.21 1.4×0.7×②-80.20 1.4×0.7×②-80.20表3-70 用于承载力计算的框架梁由永久荷载效应控制的基本组合表(○B-○C轴间梁)M max相应的V(kN) M min相应的V(kN) │V│max相应的M(kN.m) 层数恒荷①活荷②组合项目数值组合项目数值组合项目数值10.00 左M -56.70 -11.60 1.35×①+ -87.91 1.35×①+ -87.91左V 53.67 19.46 1.35×①+ 1.4×0.7×②91.52 1.4×0.7×②91.52 中M 81.00 22.62 1.4×0.7×②131.51右M -56.70 -20.37 1.35×①+ -96.51 1.35×①+ -96.51 右V -53.67 -16.54 1.4×0.7×②-88.66 1.4×0.7×②-88.66 9-4 左M -67.90 -8.18 1.35×①+ -99.68 1.35×①+ -99.68 左V 53.67 19.80 1.35×①+ 1.4×0.7×②91.85 1.4×0.7×②91.85 中M 67.50 21.62 1.4×0.7×②112.31右M -67.90 -18.95 1.35×①+ -110.24 1.35×①+ -110.24 右V -53.67 -16.21 1.4×0.7×②-88.33 1.4×0.7×②-88.33 3.00 左M -67.20 -18.90 1.35×①+ -109.24 1.35×①+ -109.24左V 54.13 17.78 1.35×①+ 1.4×0.7×②90.50 1.4×0.7×②90.50 中M 66.12 27.65 1.4×0.7×②116.36右M -69.96 -17.60 1.35×①+ -111.69 1.35×①+ -111.69 右V -53.21 -18.22 1.4×0.7×②-89.68 1.4×0.7×②-89.68 2.00 左M -64.30 -33.80 1.35×①+ -119.93 1.35×①+ -119.93左V 54.58 17.55 1.35×①+ 1.4×0.7×②90.88 1.4×0.7×②90.88 中M 96.27 28.35 1.4×0.7×②157.74右M -69.77 -31.11 1.35×①+ -124.68 1.35×①+ -124.68 右V -52.76 -18.45 1.4×0.7×②-89.30 1.4×0.7×②-89.30 1.00 左M -64.20 -33.90 1.35×①+ -119.89 1.35×①+ -119.89左V 54.63 17.53 1.35×①+ 1.4×0.7×②90.93 1.4×0.7×②90.93 中M 96.10 28.42 1.4×0.7×②157.59右M -70.00 -31.06 1.35×①+ -124.94 1.35×①+ -124.94 右V -52.70 -18.47 1.4×0.7×②-89.25 1.4×0.7×②-89.25表3-71 用于承载力计算的框架梁由永久荷载效应控制的基本组合表(○C-○D轴间梁)M max相应的V(kN) M min相应的V(kN) │V│max相应的M(kN.m) 层数恒荷①活荷②组合项目数值组合项目数值组合项目数值10.00 左M -34.50 -19.00 1.35×①+ -65.20 1.35×①+ -65.20左V 58.51 18.00 1.35×①+ 1.4×0.7×②96.62 1.4×0.7×②96.62 中M 67.85 27.00 1.4×0.7×②118.05右M -60.81 -19.00 1.35×①+ -100.71 1.35×①+ -100.71 右V -49.74 -18.00 1.4×0.7×②-84.78 1.4×0.7×②-84.78 9-4 左M -22.80 -18.30 1.35×①+ -48.71 1.35×①+ -48.71 左V 60.70 18.00 1.35×①+ 1.4×0.7×②99.58 1.4×0.7×②99.58 中M 65.32 27.00 1.4×0.7×②114.64右M -62.26 -18.30 1.35×①+ -101.99 1.35×①+ -101.99 右V -47.54 -18.00 1.4×0.7×②-81.82 1.4×0.7×②-81.82 3.00 左M -57.40 -17.70 1.35×①+ -94.84 1.35×①+ -94.84左V 54.41 17.86 1.35×①+ 1.4×0.7×②90.95 1.4×0.7×②90.95 中M 84.20 26.58 1.4×0.7×②139.71右M -59.11 -18.55 1.35×①+ -97.98 1.35×①+ -97.98 右V -53.84 -17.86 1.4×0.7×②-90.18 1.4×0.7×②-90.18 2.00 左M -69.80 -31.10 1.35×①+ -124.71 1.35×①+ -124.71左V 53.20 17.55 1.35×①+ 1.4×0.7×②89.02 1.4×0.7×②89.02 中M 101.77 25.66 1.4×0.7×②162.54右M -64.26 -33.78 1.35×①+ -119.86 1.35×①+ -119.86 右V -55.04 -17.55 1.4×0.7×②-91.51 1.4×0.7×②-91.51 1.00 左M -70.00 -31.06 1.35×①+ -124.94 1.35×①+ -124.94左V 53.15 17.53 1.35×①+ 1.4×0.7×②88.92 1.4×0.7×②88.92 中M 101.93 25.59 1.4×0.7×②162.67右M -64.15 -33.89 1.35×①+ -119.81 1.35×①+ -119.81 右V -55.10 -17.53 1.4×0.7×②-91.56 1.4×0.7×②-91.56表3-72 用于承载力计算的框架梁由永久荷载效应控制的基本组合表(○D-○E轴间梁)M max相应的V(kN) M min相应的V(kN) │V│max相应的M(kN.m) 层数恒荷①活荷②组合项目数值组合项目数值组合项目数值10.00 左M -60.81 -20.37 1.35×①+ -102.06 1.35×①+ -102.06左V 49.74 16.54 1.35×①+ 1.4×0.7×②83.35 1.4×0.7×②83.35 中M 94.16 31.39 1.4×0.7×②157.87右M -34.50 -11.60 1.35×①+ -57.94 1.35×①+ -57.94 右V -58.51 -19.46 1.4×0.7×②-98.05 1.4×0.7×②-98.05 9-4 左M -62.26 -18.95 1.35×①+ -102.62 1.35×①+ -102.62 左V 47.54 16.21 1.35×①+ 1.4×0.7×②80.06 1.4×0.7×②80.06 中M 104.78 32.39 1.4×0.7×②173.19右M -22.80 -8.18 1.35×①+ -38.80 1.35×①+ -38.80 右V -60.70 -19.80 1.4×0.7×②-101.34 1.4×0.7×②-101.34 3.00 左M -65.80 -19.80 1.35×①+ -108.23 1.35×①+ -108.23左V 50.16 16.92 1.35×①+ 1.4×0.7×②84.29 1.4×0.7×②84.29 中M 96.95 30.23 1.4×0.7×②160.50右M -42.01 -13.34 1.35×①+ -69.79 1.35×①+ -69.79 右V -58.09 -19.08 1.4×0.7×②-97.11 1.4×0.7×②-97.11 2.00 左M -74.80 -36.20 1.35×①+ -136.46 1.35×①+ -136.46左V 48.55 15.31 1.35×①+ 1.4×0.7×②80.54 1.4×0.7×②80.54 中M 115.71 35.09 1.4×0.7×②190.59右M -41.38 -20.03 1.35×①+ -75.49 1.35×①+ -75.49 右V -59.69 -20.70 1.4×0.7×②-100.86 1.4×0.7×②-100.86 1.00 左M -75.00 -36.30 1.35×①+ -136.82 1.35×①+ -136.82左V 48.36 15.21 1.35×①+ 1.4×0.7×②80.20 1.4×0.7×②80.20 中M 116.28 35.36 1.4×0.7×②191.62右M -40.45 -19.58 1.35×①+ -73.80 1.35×①+ -73.80(3)用于承载力计算的框架梁由地震效应控制的基本组合表(工况三)表3-73 用于承载力计算的框架梁由地震效应控制的基本组合表(○A-○B轴间梁)重力荷载水平地震水平地震M max相应的V(kN) M min相应的V(kN) │V│max相应的M(kN.m) 层数代表值①作用②作用③组合项目数值组合项目数值组合项目数值3.00 左M -34.30 114.19 -114.19 1.2×①+1.3×③-189.61 1.2×①+1.3×③-189.61左V 69.83 -44.97 44.97 142.26 142.26 中M 74.36 20.72 -20.72 1.2×①+1.3×②116.17右M -74.58 -155.64 155.64 1.2×①+1.3×②-291.82 1.2×①+1.3×②-291.82 右V -56.41 -44.97 44.97 -126.15 -126.15 2.00 左M -51.20 200.35 -200.35 1.2×①+1.3×③-321.90 1.2×①+1.3×③-321.90左V 88.73 -68.21 68.21 195.15 195.15 中M 100.81 4.28 -4.28 1.2×①+1.3×②126.53右M -92.59 -208.91 208.91 1.2×①+1.3×②-382.69 1.2×①+1.3×②-382.69 右V -74.93 -68.21 68.21 -178.59 -178.59 1.00 左M -50.10 233.39 -233.39 1.2×①+1.3×③-363.53 1.2×①+1.3×③-363.53左V 88.96 -74.42 74.42 203.49 203.49 中M 100.11 10.14 -10.14 1.2×①+1.3×②133.31右M -92.88 -213.11 213.11 1.2×①+1.3×②-388.50 1.2×①+1.3×②-388.50 右V -74.70 -74.42 74.42 -186.38 -186.38表3-74 用于承载力计算的框架梁由地震效应控制的基本组合表(○B-○C轴间梁)重力荷载水平地震水平地震M max相应的V(kN) M min相应的V(kN) │V│max相应的M(kN.m) 层数代表值①作用②作用③组合项目数值组合项目数值组合项目数值10.00 左M -39.90 20.38 -20.38 1.2×①+1.3×③-74.38 1.2×①+1.3×③-74.38左V 67.80 -5.77 5.77 88.87 88.87 中M 79.27 3.07 -3.07 1.2×①+1.3×②99.11右M -70.36 -14.25 14.25 1.2×①+1.3×②-102.95 1.2×①+1.3×②-102.95 右V -57.65 -5.77 5.77 -76.68 -76.68 9-4 左M -29.80 244.16 -244.16 1.2×①+1.3×③-353.16 1.2×①+1.3×③-353.16 左V 72.74 -70.17 70.17 178.50 178.50 中M 77.81 33.65 -33.65 1.2×①+1.3×②137.12右M -72.19 -176.85 176.85 1.2×①+1.3×②-316.53 1.2×①+1.3×②-316.53 右V -58.61 -70.17 70.17 -161.54 -161.54 3.00 左M -66.80 155.64 -155.64 1.2×①+1.3×②-282.49 1.2×①+1.3×②-282.49左V 65.87 -58.81 58.81 155.50 155.50 中M 98.39 20.80 -20.80 1.2×①+1.3×②145.11右M -68.02 -197.23 197.23 1.2×①+1.3×②-338.03 1.2×①+1.3×②-338.03 右V -65.47 -58.81 58.81 -155.02 -155.02 2.00 左M -86.40 208.91 -208.91 1.2×①+1.3×③-375.27 1.2×①+1.3×③-375.27左V 80.69 -69.64 69.64 187.35 187.35 中M 124.92 0.00 0.00 1.2×①+1.3×②149.90右M -79.56 -208.91 208.91 1.2×①+1.3×②-367.06 1.2×①+1.3×②-367.06 右V -82.97 -69.64 69.64 -190.09 -190.09 1.00 左M -86.70 213.11 -213.11 1.2×①+1.3×③-381.09 1.2×①+1.3×③-381.09左V 80.61 -70.91 70.91 188.92 188.92 中M 125.14 0.39 -0.39 1.2×①+1.3×②150.67右M -79.42 -212.34 212.34 1.2×①+1.3×②-371.35 1.2×①+1.3×②-371.35表3-75 用于承载力计算的框架梁由地震效应控制的基本组合表(○C-○D轴间梁)重力荷载水平地震水平地震M max相应的V(kN) M min相应的V(kN) │V│max相应的M(kN.m) 层数代表值①作用②作用③组合项目数值组合项目数值组合项目数值10.00 左M -65.60 14.25 -14.25 1.2×①+1.3×③-97.24 1.2×①+1.3×③-97.24左V 57.61 -4.75 4.75 75.30 75.30 中M 94.50 0.00 0.00 1.2×①+1.3×②113.40右M -65.60 -14.25 14.25 1.2×①+1.3×②-97.24 1.2×①+1.3×②-97.24 右V -57.61 -4.75 4.75 -75.30 -75.30 9-4 左M -77.60 176.85 -176.85 1.2×①+1.3×③-323.02 1.2×①+1.3×③-323.02 左V 57.61 -58.95 58.95 145.76 145.76 中M 81.00 0.00 0.00 1.2×①+1.3×②97.20右M -77.60 -176.85 176.85 1.2×①+1.3×②-323.02 1.2×①+1.3×②-323.02 右V -57.61 -58.95 58.95 -145.76 -145.76 3.00 左M -76.50 197.23 -197.23 1.2×①+1.3×②-348.20 1.2×①+1.3×②-348.20左V 58.14 -65.74 65.74 155.24 155.24 中M 79.40 0.00 0.00 1.2×①+1.3×②95.28右M -79.70 -197.23 197.23 1.2×①+1.3×②-352.04 1.2×①+1.3×②-352.04 右V -57.08 -65.74 65.74 -153.96 -153.96 2.00 左M -79.60 208.91 -208.91 1.2×①+1.3×③-367.11 1.2×①+1.3×③-367.11左V 82.96 -69.64 69.64 190.08 190.08 中M 118.12 0.00 0.00 1.2×①+1.3×②141.74右M -86.37 -208.91 208.91 1.2×①+1.3×②-375.23 1.2×①+1.3×②-375.23 右V -80.70 -69.64 69.64 -187.37 -187.37 1.00 左M -79.40 212.34 -212.34 1.2×①+1.3×③-371.32 1.2×①+1.3×③-371.32左V 83.04 -70.78 70.78 191.66 191.66 中M 117.87 0.00 0.00 1.2×①+1.3×②141.44右M -86.66 -212.34 212.34 1.2×①+1.3×②-380.04 1.2×①+1.3×②-380.04表3-76 用于承载力计算的框架梁由地震效应控制的基本组合表(○D-○E轴间梁)重力荷载水平地震水平地震M max相应的V(kN) M min相应的V(kN) │V│max相应的M(kN.m) 层数代表值①作用②作用③组合项目数值组合项目数值组合项目数值10.00 左M -70.36 14.25 -14.25 1.2×①+1.3×③-102.95 1.2×①+1.3×③-102.95左V 57.65 -5.77 5.77 76.68 76.68 中M 109.73 3.07 -3.07 1.2×①+1.3×②135.66右M -39.90 -20.38 20.38 1.2×①+1.3×②-74.38 1.2×①+1.3×②-74.38 右V -67.80 -5.77 5.77 -88.87 -88.87 9-4 左M -72.19 176.85 -176.85 1.2×①+1.3×③-316.53 1.2×①+1.3×③-316.53 左V 58.61 -70.17 70.17 161.54 161.54 中M 120.20 33.65 -33.65 1.2×①+1.3×②187.98右M -29.80 -244.16 244.16 1.2×①+1.3×②-353.16 1.2×①+1.3×②-353.16 右V -72.74 -70.17 70.17 -178.50 -178.50 3.00 左M -75.80 197.23 -197.23 1.2×①+1.3×②-347.36 1.2×①+1.3×②-347.36左V 61.15 -78.78 78.78 175.79 175.79 中M 112.57 39.12 -39.12 1.2×①+1.3×②185.94右M -48.66 -275.47 275.47 1.2×①+1.3×②-416.50 1.2×①+1.3×②-416.50 右V -70.19 -78.78 78.78 -186.65 -186.65 2.00 左M -86.37 208.91 -208.91 1.2×①+1.3×③-375.23 1.2×①+1.3×③-375.23左V 75.97 -87.24 87.24 204.58 204.58 中M 139.07 52.82 -52.82 1.2×①+1.3×②235.54右M -51.23 -314.54 314.54 1.2×①+1.3×②-470.38 1.2×①+1.3×②-470.38 右V -87.68 -87.24 87.24 -218.64 -218.64 1.00 左M -86.66 212.34 -212.34 1.2×①+1.3×③-380.04 1.2×①+1.3×③-380.04左V 75.73 -91.13 91.13 209.35 209.35 中M 139.79 61.05 -61.05 1.2×①+1.3×②247.11右M -50.08 -334.44 334.44 1.2×①+1.3×②-494.87 1.2×①+1.3×②-494.87(4)用于承载力计算的框架柱由可变荷载效应控制的基本组合表(工况一)表3-77 用于承载力计算的框架柱由活荷载效应控制的基本组合表(○A轴处柱)恒荷载活荷载左风右风N max相应的M(kN.m) N min相应的M(kN.m) │M│max 相应的N(kN) 层数①②③④组合项目数值组合项目数值组合项目数值3 上M 29.4 9.8 0.0 0.0 1.2×①+1.4×②+1.4×0.6×③49.0 1.2×①+1.4×②+1.4×0.6×④49.0 1.2×①+1.4×0.7×②+1.4×③44.9N 115.9 75.9 5.6 -5.6 250.0 240.7 221.2 下M -20.7 -100 -17 17.1 -53.2 -24.5 -58.6N 115.9 75.9 5.6 -5.6 1.2×①+1.4×②+1.4×0.6×③250.0 1.2×①+1.4×②+1.4×0.6×④240.7 1.2×①+1.4×0.7×②+1.4×③221.2V 1.5 0.2 -7.4 7.4 -4.2 8.2 -8.42 上M 20.7 10.0 0.0 0.0 1.2×①+1.4×②+1.4×0.6×③38.9 1.2×①+1.4×②+1.4×0.6×④38.9 1.2×①+1.4×0.7×②+1.4×③34.7N 349.0 270.1 14.4 -14.4 809.0 784.8 703.6 下M -21.4 -10.4 -31 31.5 -66.7 -13.7 -80.0N 349.0 270.1 14.4 -14.4 1.2×①+1.4×②+1.4×0.6×③809.0 1.2×①+1.4×②+1.4×0.6×④784.8 1.2×①+1.4×0.7×②+1.4×③703.6V 1.5 0.2 -8.7 8.7 -5.3 9.3 -10.21 上M 10.0 9.2 0.0 0.0 1.2×①+1.4×②+1.4×0.6×③25.0 1.2×①+1.4×②+1.4×0.6×④25.0 1.2×①+1.4×0.7×②+1.4×③21.1N 599.7 481.7 25.2 -25.2 1415.2 1372.8 1227.0 下M -9.5 -4.6 -40 40.5 -51.9 16.2 -72.7N 599.7 481.7 25.2 -25.2 1.2×①+1.4×②+1.4×0.6×③1415.2 1.2×①+1.4×②+1.4×0.6×④1372.8 1.2×①+1.4×0.7×②+1.4×③1227V 1.5 0.2 -11 11.2 -7.4 11.4 -13.7表3-78 用于承载力计算的框架柱由活荷载效应控制的基本组合表(○B轴处柱)恒荷载活荷载左风右风N max相应的M N min相应的M │M│max 相应的N 层数①②③④组合项目数值组合项目数值组合项目数值10 上M 35 12 2 -2 1.2×①+1.4×②+ 60 1.2×①+1.4×②+ 56 1.2×①+1.4×0.7 56N 115 75 1 -1 1.4×0.6×③244 1.4×0.6×④243 ×②+1.4×③212 下M -11 -4 -2 2 -21 -18 -20 N 115 75 1 -1 1.2×①+1.4×②+ 244 1.2×①+1.4×②+ 243 1.2×①+1.4×0.7 212V 2 0 -1 1 1.4×0.6×③ 1 1.4×0.6×④ 3 ×②+1.4×③0 9-4 上M 11 4 13 -13 1.2×①+1.4×②+ 30 1.2×①+1.4×②+ 9 1.2×①+1.4×0.7 36 N 1366 1082 26 -26 1.4×0.6×③3175 1.4×0.6×④3132 ×②+1.4×③2735 下M -11 -4 -11 11 -28 -11 -32 N 1366 1082 26 -26 1.2×①+1.4×②+ 3175 1.2×①+1.4×②+ 3132 1.2×①+1.4×0.7 2735V 2 0 -8 8 1.4×0.6×③-5 1.4×0.6×④9 ×②+1.4×③-9 3 上M 2 1 22 -22 1.2×①+1.4×②+ 22 1.2×①+1.4×②+ -14 1.2×①+1.4×0.7 34N 1568 1247 25 -25 1.4×0.6×③3649 1.4×0.6×④3607 ×②+1.4×③3140 下M -3 -1 -20 20 -21 12 -32 N 1568 1247 25 -25 1.2×①+1.4×②+ 3649 1.2×①+1.4×②+ 3607 1.2×①+1.4×0.7 3140V 2 0 -10 10 1.4×0.6×③-6 1.4×0.6×④10 ×②+1.4×③-12 2 上M 3 1 23 -23 1.2×①+1.4×②+ 24 1.2×①+1.4×②+ -15 1.2×①+1.4×0.7 37N 1902 1545 27 -27 1.4×0.6×③4467 1.4×0.6×④4422 ×②+1.4×③3833 下M -3 -1 -23 23 -25 15 -37 N 1902 1545 27 -27 1.2×①+1.4×②+ 4467 1.2×①+1.4×②+ 4422 1.2×①+1.4×0.7 3833V 2 0 -11 11 1.4×0.6×③-7 1.4×0.6×④11 ×②+1.4×③-14 1 上M 2 1 26 -26 1.2×①+1.4×②+ 26 1.2×①+1.4×②+ -17 1.2×①+1.4×0.7 40N 2263 1870 29 -29 1.4×0.6×③5358 1.4×0.6×④5309 ×②+1.4×③4589 下M -1 -1 -30 30 -28 23 -44 N 2263 1870 29 -29 1.2×①+1.4×②+ 5358 1.2×①+1.4×②+ 5309 1.2×①+1.4×0.7 4589表3-79 用于承载力计算的框架柱由活荷载效应控制的基本组合表(○C轴处柱)恒荷载活荷载左风右风N max相应的M N min相应的M │M│max 相应的N 层数①②③④组合项目数值组合项目数值组合项目数值10 上M 4 1 3 -3 1.2×①+1.4×②+ 9 1.2×①+1.4×②+ 4 1.2×①+1.4×0.7 11N 163 95 0 0 1.4×0.6×③329 1.4×0.6×④328 ×②+1.4×③289 下M -3 0 -3 3 -6 -2 -7 N 163 95 0 0 1.2×①+1.4×②+ 329 1.2×①+1.4×②+ 328 1.2×①+1.4×0.7 289V 2 0 1 -1 1.4×0.6×③ 3 1.4×0.6×④ 1 ×②+1.4×③ 4 9-4 上M 3 0 18 -18 1.2×①+1.4×②+ 19 1.2×①+1.4×②+ -11 1.2×①+1.4×0.7 28 N 1835 1338 4 -4 1.4×0.6×③4078 1.4×0.6×④4071 ×②+1.4×③3518 下M -5 0 -18 18 -21 9 -30 N 1835 1338 4 -4 1.2×①+1.4×②+ 4078 1.2×①+1.4×②+ 4071 1.2×①+1.4×0.7 3518V 2 0 8 -8 1.4×0.6×③9 1.4×0.6×④-5 ×②+1.4×③13 3 上M 3 0 22 -22 1.2×①+1.4×②+ 22 1.2×①+1.4×②+ -14 1.2×①+1.4×0.7 35N 2113 1545 3 -3 1.4×0.6×③4701 1.4×0.6×④4696 ×②+1.4×③4054 下M 0 0 -20 20 -17 17 -28 N 2113 1545 3 -3 1.2×①+1.4×②+ 4701 1.2×①+1.4×②+ 4696 1.2×①+1.4×0.7 4054V 2 0 10 -10 1.4×0.6×③10 1.4×0.6×④-6 ×②+1.4×③16 2 上M 0 0 23 -23 1.2×①+1.4×②+ 20 1.2×①+1.4×②+ -20 1.2×①+1.4×0.7 33N 2500 1860 3 -3 1.4×0.6×③5607 1.4×0.6×④5602 ×②+1.4×③4828 下M 0 0 -23 23 -20 20 -33 N 2500 1860 3 -3 1.2×①+1.4×②+ 5607 1.2×①+1.4×②+ 5602 1.2×①+1.4×0.7 4828V 2 0 11 -11 1.4×0.6×③11 1.4×0.6×④-7 ×②+1.4×③17 1 上M 0 0 26 -26 1.2×①+1.4×②+ 22 1.2×①+1.4×②+ -22 1.2×①+1.4×0.7 36N 2916 2203 3 -3 1.4×0.6×③6585 1.4×0.6×④6580 ×②+1.4×③5662 下M 0 0 -30 30 -25 25 -42 N 2916 2203 3 -3 1.2×①+1.4×②+ 6585 1.2×①+1.4×②+ 6580 1.2×①+1.4×0.7 5662。
框架梁荷载组合表()单位:弯矩(kN.m)/ 剪力、轴力(kN)第页;共页
注:
1. 10c 栏内的V Gb 指梁在重力荷载代表值作用下,按简支梁分析的梁端截面剪力设计值,即应乘以重力荷载分项系数 1.2
2. 11a(b)栏内的弯矩仍为9a(b)栏内的弯矩。
3. 承载力抗震调整系数RE 按《建筑抗震设计规范》GB50011-2010 第
框架柱荷载组合表()单位:弯矩(kN.m)/ 剪力、轴力(kN)第页;共页
注:
1. 框架顶层梁柱节点及轴压比小于0.15的梁柱节点无需进行本表10 栏对柱端弯矩设计值的级差调整。
2. 底层柱下端截面组合的弯矩设计值应乘以 1.5(二级)、1.3(三级)的增大系数(按《建筑抗震设计规范》GB50011-2010 第
3. 11a(b)栏:采用经级差调整后的柱端弯矩(10栏内的值)对剪力进行级差调整,11a(b)栏内的弯矩填经过级差调整即10 栏内的值,轴力为9a(b)栏内的值。
4. 承载力抗震调整系数RE 按《建筑抗震设计规范》GB50011-2010 第。
附录2 内力组合表附录2.1 框架梁的内力组合表层次截面内力S GK S QKS EK S EK组合一组合二组合三组合四组合五组合六组合七组合八组合九组合十组合十一组合十二组合十三剪力调整左风右风左震右震一层AM -92.23-24.57(-24.74)43.80 -27.30 160.80 -171.40 -145.06 -49.35 -148.89 -86.43 -176.02 -111.79 -171.51 -30.91 -130.45 62.65 -261.25 78.34 -245.56144.04 V94.1024.4(24.4)-10.40 6.50 -38.30 40.90 147.08 98.36 122.02 130.56 151.85 142.21 156.41 79.54 103.20 66.10 153.62 48.03 135.55跨中M120.4835.52(35.64)2.65 -1.65 9.50 -10.10 194.30 148.29 142.27 192.67 187.25 199.68 196.07 124.19 118.17 133.73 114.62 112.99 93.88B左M-110.84-31.03(-30.77)-38.50 24.00 -141.80 151.20 -176.44 -186.91 -99.41 -220.61 -141.86 -212.38 -159.88 -164.74 -77.24 -251.86 33.82 -232.92 52.75 V99.6026.3(26.2)-10.40 6.50 -38.30 40.90 156.34 104.96 128.62 139.55 160.85 151.50 165.69 85.04 108.70 72.63 160.15 53.47 140.99B右M-20.91-5.78(-5.36)21.10 -13.20 77.50 -82.90 -33.18 4.45 -43.57 -5.79 -49.01 -16.17 -44.98 8.63 -39.39 54.33 -102.06 57.87 -98.52121.80 V23.905.8(4.7)-18.90 11.50 -69.40 74.30 36.80 2.22 44.78 12.17 50.48 22.07 47.61 -2.56 40.00 -49.91 108.88 -54.37 104.41跨中M 1.20-0.36(-1.08)-2.60 1.65 -9.45 10.15 0.94 -2.20 3.75 -2.29 3.07 -0.92 2.65 -2.44 3.51 -8.62 10.49 -8.72 10.39CM-0.17-0.255(-0.77)-26.30 16.50 -96.40 103.20 -0.56 -37.02 22.90 -33.66 20.26 -22.57 13.38 -36.99 22.93 -93.80 100.81 -93.83 100.78 V 3.700.1(1.1)-18.90 11.50 -69.40 74.30 4.58 -22.02 20.54 -19.25 19.06 -10.78 14.75 -22.76 19.80 -72.35 86.44 -73.07 85.71二层AM-89.17-24.31(-24.99)31.50 -19.70 137.20 -142.80 -141.03 -62.90 -134.58 -97.94 -162.45 -117.74 -160.74 -45.07 -116.75 42.28 -230.72 57.53 -215.48110.30 V93.8024.4(24.4)-7.60 4.70 -32.90 34.30 146.72 101.92 119.14 133.73 149.23 144.16 154.49 83.16 100.38 71.77 146.02 53.75 128.00跨中M123.6036(35.28)1.55 -1.00 7.10 -7.35 198.72 150.49 146.92 195.63 192.42 203.44 201.30 125.77 122.20 134.04 119.95 112.85 98.76B左M-109.57-30.77(-31.03)-28.40 17.70 -123.00 128.10 -174.56 -171.24 -106.70 -206.03 -147.95 -201.92 -163.20 -149.33 -84.79 -232.49 12.33 -213.73 31.09 V99.9026.3(26.2)-7.60 4.70 -32.90 34.30 156.70 109.24 126.46 143.44 158.94 154.26 164.59 89.26 106.48 78.91 153.16 59.70 133.95B右M-22.95-6.035(-5.19)15.20 -9.50 66.10 -68.90 -35.99 -6.26 -40.84 -15.99 -47.11 -24.13 -44.88 -1.67 -36.25 41.46 -90.17 45.29 -86.33101.40 V25.60 6(4.6) -13.40 8.30 -58.40 60.90 39.12 11.96 42.34 21.40 48.74 29.18 47.41 6.84 37.22 -5.95 95.75 -40.82 91.01跨中M 2.28-0.48(-0.96)-1.60 1.00 -7.05 7.35 2.06 0.50 4.14 0.12 3.39 1.26 3.45 0.04 3.68 -5.25 8.79 -5.52 8.52CM-1.190.34(0.68)-18.40 11.50 -80.20 83.60 -0.95 -27.19 14.67 -24.18 13.49 -16.73 8.39 -26.95 14.91 -78.96 80.75 -78.83 80.87 V 2.00 0.3 (1) -13.40 8.30 -58.40 60.90 2.82 -16.36 14.02 -14.11 13.24 -8.26 9.97 -16.76 13.62 -61.98 69.84 -62.41 69.42注:表中组合一到组合十三的荷载组合式子以及剪力的调整见计算书的4.6.2节()中的数值为雪荷载作用下的内力;弯矩M的单位为kN·m,剪力V的单位为kN。
L R L RL R LM(KNm)-116.64-13.75 5.39-5.39 18.94-18.94 -159.22 -170.94 -145.90 -160.98 -154.69 -163.74 -132.42 -147.51 -92.69V(KN)67.48 4.52-1.01 1.01 -3.54 3.54 87.29 95.52 83.99 86.81 86.45 88.14 79.56 82.38 59.31跨中下部M(KNm)188.1416.05 1.16-1.16 4.07-4.07 248.23 269.71 243.11 239.87 249.21 247.26 227.38 224.15 180.51M(KNm)-173.23-15.68-3.08 3.08 -10.8110.81 -229.83 -249.23 -227.55 -218.94 -232.41 -227.25 -212.18 -203.57 -173.51V(KN)80.95 4.98-1.01 1.01 -3.54 3.54 104.11 114.16 100.61 103.43 103.26 104.95 95.73 98.55 71.64M(KNm)-90.72-4.85 4.61-4.61 16.22-16.22 -115.65 -127.23 -107.16 -120.08 -111.78 -119.53 -102.41 -115.32 -68.02V(KN) 6.800.00-3.08 3.08 10.81-10.81 8.15 9.17 3.85 12.46 5.57 10.74 3.85 12.46 16.66跨中下部M(KNm)19.200.970.00- 0.000.00 24.40 26.88 24.00 24.00 24.40 24.40 23.04 23.04 17.72M(KNm)-90.72-4.85-4.61 4.61 -16.2216.22 -115.65 -127.23 -120.08 -107.16 -119.53 -111.78 -115.32 -102.41 -99.65V(KN) 6.800.00-3.08 3.08 10.81-10.81 8.15 9.17 3.85 12.46 5.57 10.74 3.85 12.46 16.66M(KNm)-151.86-48.0339.94-39.94 88.68-88.68 -249.48 -252.09 -173.39 -285.22 -215.93 -283.03 -126.32 -238.15 -71.83V(KN)86.5420.987.51-7.51 -16.6616.66 133.22 137.39 134.92 113.90 139.53 126.91 114.35 93.33 71.09跨中下部M(KNm)185.1162.988.41-8.41 18.72-18.72 310.30 311.62 295.62 272.08 317.37 303.24 233.90 210.35 213.19M(KNm)-184.50-57.00-23.1223.12 -51.2451.24 -301.19 -304.93 -309.62 -244.88 -320.61 -281.77 -253.76 -189.03 -241.65V(KN)94.3223.12-7.517.51 -16.6616.66 145.54 149.98 125.32 146.34 139.24 151.85 102.67 123.69 79.05M(KNm)-72.58-19.6534.68-34.68 76.85-76.85 -114.61 -117.24 -57.80 -154.91 -85.47 -143.74 -38.54 -135.65 0.77V(KN) 6.800.0023.12-23.12 -51.2451.24 8.15 9.17 40.52 -24.22 27.58 -11.27 40.52 -24.22 -43.84跨中下部M(KNm)16.22 3.930.00- 0.000.00 24.96 25.74 23.31 23.31 24.96 24.96 19.46 19.46 16.36M(KNm)-72.58-19.65-34.6834.68 -76.8576.85 -114.61 -117.24 -154.91 -57.80 -143.74 -85.47 -135.65 -38.54 -149.10V(KN) 6.800.00-23.1223.12 -51.2451.24 8.15 9.17 -24.22 40.52 -11.27 27.58 -24.22 40.52 -43.84M(KNm)-184.51-58.42103.69-103.69 242.64-242.64 -303.20 -306.34 -133.50 -423.82 -216.10 -390.29 -76.25 -366.57 44.22V(KN)88.7821.64-19.5819.58 -45.7745.77 136.83 141.06 100.32 155.16 120.38 153.28 79.11 133.95 45.01跨中下部M(KNm)189.7664.5121.43-21.43 50.40-50.40 318.02 319.39 320.93 260.92 336.02 300.02 257.71 197.71 248.95M(KNm)-198.38-61.85-60.8360.83 -141.83141.83 -324.64 -328.42 -383.82 -213.51 -375.74 -273.55 -323.21 -152.90 -344.66V(KN)92.0822.46-19.5819.58 -45.7745.77 141.93 146.31 105.08 159.92 125.48 158.39 83.07 137.91 48.35M(KNm)-47.80-11.4491.24-91.24 212.75-212.75 -73.38 -75.74 59.16 -196.31 3.27 -150.02 70.38 -185.10 159.26V(KN) 6.800.00-60.8360.83 -141.83141.83 8.15 9.17 -77.00 93.31 -42.94 59.25 -77.00 93.31 -132.17跨中下部M(KNm)11.26 2.290.00- 0.000.00 16.72 17.44 15.75 15.75 16.72 16.72 13.51 13.51 11.16M(KNm)-47.80-11.44-91.2491.24 -212.75212.75 -73.38 -75.74 -196.31 59.16 -150.02 3.27 -185.10 70.38 -255.59V(KN)6.800.00-60.8360.83-141.83141.838.15 9.17 -77.00 93.31 -42.94 59.25-77.0093.31-132.17底层框架横梁A1B1左支座截面右支座截面B1C1左支座截面右支座截面标准层框架横梁(6层)A5B5左支座截面右支座截面B5C5左支座截面右支座截面 1.2恒+1.4风[1.2恒+0.5×1.2活γRE顶层框架横梁A8B8左支座截面右支座截面B8C8左支座截面右支座截面框架横梁内力组合表层名框架梁的名称截面位置内力恒荷活荷风荷L 风荷R 地震L 地震R 内力组合1.2恒+1.4活1.35恒+0.7×1.4活 1.2恒+0.7×1.4活+1.4风 1.2恒+1.4活+0.6×1.4风危险内力×1.2活+1.3地]γRE的设计值R-129.63 170.9466.22 95.52172.58 269.71-152.42 249.2378.55 114.16-99.65 127.23-4.43 16.6617.72 26.88-68.02 127.23-4.43 16.66-244.75 285.22103.56 139.53176.69 317.37-141.74 320.61111.53 151.85-149.10 154.9156.07 56.0716.36 25.740.77 154.9156.07 56.07-428.92 428.92134.26 155.16150.67 336.02-68.09 383.82137.60 159.92-255.59 255.59144.40 144.4011.16 17.44159.26 255.59144.40 144.40。
第六部分 框架内力组合一. 框架梁内力组合见横向框架KJ-2内力组合表对于框架梁,在水平荷载和竖向荷载的共同作用下,其剪力沿梁轴线呈线性变化,因此,除取梁的两端为控制截面外,还应在跨间取最大正弯矩的截面为控制截面。
对于框架梁的最不利内力组合有: 对梁端截面:max M +、max M -、m ax V 对梁跨间截面:max M +、max M -荷载规范3.2.5基本组合的荷载分项系数,应按下列规定采用: 1.永久荷载的分项系数: (1) 当其效应对结构不利时,对由可变荷载效应控制的组合,应取1.2; 对由永久荷载效应控制的组合,应取1.35.(2) 当其效应对结构有利时,一般情况下应取1.0;对结构倾覆、滑移和漂浮验算,应取0.9 2.可变荷载的分项系数 一般情况下应取1.4对标准值大于4KN/m 2的工业房屋楼面结构的活荷载应取1.3荷载规范5.4.1结构构件的地震作用效应和其它荷载效应的基本组合,应按下式计算:S=WK W W EVK EVEhK EHGE G S S S S γψγγγ+++式中S ——结构构件内力组合的设计值,包括组合的弯矩、轴向力和剪力设计值; G γ——重力荷载分项系数,一般情况应采用1.2,当重力荷载效应对构件承载能力有利是,不应大于1.0;Eh γ、Ev γ——分别为水平、竖向地震作用分项系数,应按表6―1采用; w γ——风荷载分项系数,应采用1.4;GE S ——重力荷载代表值的效应,有吊车时,尚应包括悬吊物重力标准值的效应; EhK S ——水平地震作用标准值的效应,尚应乘以相应的增大系数或调整系数; EvK S ——竖向地震作用标准值的效应,尚应乘以相应的增大系数或调整系数;wK S ——风荷载标准值的效应;w ψ——风荷载组合值系数,一般结构取0.0,风荷载起控制作用的高层建筑应采用0.2水平、竖向地震作用分项系数表地震作用 Eh γ Ev γ 仅计算水平地震作用1.30.0仅计算竖向地震作用 0.0 1.3 同时计算水平和地震作用1.30.5荷载规范5.4.2 结构构件的截面抗震验算,应采用下列设计表达式: S ≤RE R γ/ 式中 RE γ——承载力抗震调整系数,除另有规定外,应按表采用;R ——结构构件承载力设计值。
8框架内力组合8.1 框架梁内力组合8.1.1 最不利内力现浇钢筋混凝土框架一般为刚性节点,框架梁的两个端部截面是负弯矩和剪力最大的部位。
在水平荷载作用下,框架梁端部还会产生弯矩。
跨中截面通常会产生最大正弯矩,有时也可能出现负弯矩。
因此,框架梁的控制截面是两端支座处的截面和跨中截面。
框架梁的控制截面最不利内力组合有以下几种: 梁端支座截面max M -、max M +和max V ; 梁跨中截面max M +、max M -(可能出现)。
8.1.2 框架梁内力汇总框架梁AB 、BC 在各种荷载作用下内力表如下:表8-1 框架梁AB 内力表8-2 框架梁BC内力8.1.3 换算到梁边支座截面内力框架梁的控制截面是跨内最大弯矩处和支座处。
为计算简便,通常取跨中截面为控制截面;支座截面一般由受弯和受剪承载力控制,梁支座截面最不利位置在柱边,配筋是采用梁端截面内力,而不是轴线处的内力。
柱边梁端截面剪力和弯矩按下式计算:()2+='VV bg-p(8-1)-M⋅'='M2bV(8-2)式中M'、-梁端柱边截面的剪力和弯矩;V'V、-内力计算得到的梁端柱轴线截面的剪力和弯矩;Mpg+-作用在梁上的竖向分布恒荷载和活荷载。
Array框架梁AB、BC在各种荷载作用下内力换算到梁边支座的内力见表8-3、4:表8-3 框架梁AB换算到柱边后的内力表8-4 框架梁BC换算到柱边后的内力8.1.4 横向框架梁内力组合(1)可变荷载效应控制时1.2恒+1.4活1.2恒+0.9⨯1.4(活+风)(2)永久荷载效应控制时1.35恒+0.7⨯1.4活横向框架梁内力组合结果见表8-5:表8-5 横向框架梁内力组合8.1.5 横向框架梁考虑地震作用内力组合进行抗震设计时,结构构件的地震作用内力效应和其它荷载内力效应组合的设计值,应按下式计算:表8-6 横向框架梁考虑地震作用内力组合8.2.2 框架柱内力汇总各层框架柱在各种荷载作用下的内力见表8-7:表8-7 框架柱在各种荷载作用下的内力框架柱一般内力组合一般组合采用三种形式:(1)可变荷载效应控制时1.2恒+1.4活1.2恒+0.9×1.4(活+风)(2)永久荷载效应控制时1.35恒+0.7×1.4活框架柱一般内力组合结果见表8-8:表8-8 框架柱一般内力组合8.2.4 框架柱考虑地震作用内力组合进行抗震设计时,结构构件的地震作用内力效应和其他荷载内力效应组合的设计值,应按下式计算:1.2重力荷载+1.3水平地震作用表8-9 框架柱考虑地震作用内力组合续表8-9。
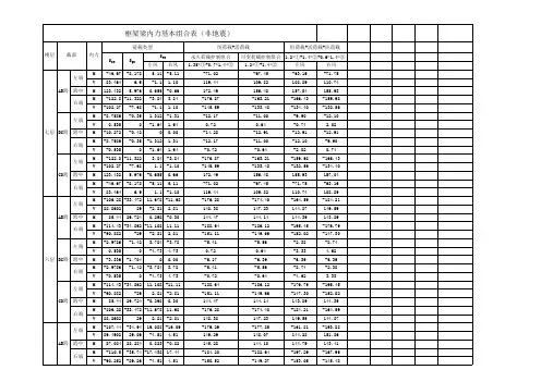
附表2 框架梁由永久荷载效应控制的内力组合表 kN(kN·m)B梁注:恒载、(楼面)活载的荷载分项系数分别为1.35、1.4;内力组合值均乘以ro=1;为简化计算取 1.35SGk+1.0SQk进行组合。
上柱左梁右梁左梁-89.24-0.225-122.45122.45-0.12104.32-0.233-18.13-0.27520.08-14.93-0.147-28.98下柱24.5421.53-25.31-18.29-49.1426.3224.11-27.11-31.00-52.63第五层29.4724.57-27.36-33.20-53.1330.03 6.6824.72-27.49-33.52-9.03-53.3730.21 6.75-33.67-9.057.16-9.267.38-10.45上柱8.46-8.45-0.177-0.113-72.34-0.146-98.3498.34-0.09386.08-0.181-12.26-0.177 6.98-6.95-0.113-13.53下柱8.46 6.08-8.60-8.45-16.737.38 5.91-7.62-10.45-14.84第四层7.16 5.57-7.45-9.26-14.506.7511.90 5.51-7.43-9.05-13.89-14.466.6811.84-9.03-13.8211.79-13.8011.02-13.90上柱11.31-9.83-0.177-0.113-72.34-0.146-98.3498.34-0.09386.08-0.181-12.26-0.1779.33-8.09-0.113-15.74下柱11.319.09-11.44-9.83-22.2711.029.72-11.36-13.90-22.10第三层11.799.77-11.37-13.80-22.1311.849.739.81-11.44-13.82-12.29-22.2611.909.82-13.89-12.3610.06-12.6610.02-13.19上柱10.80-9.62-0.177-0.113-72.34-0.146-98.3498.34-0.09386.08-0.181-12.26-0.1778.91-7.92-0.113-15.41下柱10.808.27-10.86-9.62-21.1310.028.30-10.42-13.19-20.28第二层10.068.10-10.17-12.66-19.809.8215.688.03-10.12-12.36-16.91-19.699.7315.64-12.29-16.8915.43-16.7414.59-15.81上柱12.62-10.76-0.205-0.124-72.34-0.168-98.3498.34-0.10286.08-0.197-12.26-0.12710.34-8.85-0.077-17.10下柱7.8211.96-13.01-6.68-25.129.0412.65-13.77-9.82-26.59第一层9.5612.82-13.89-10.39-26.83恒载作用下右梁左梁右梁左梁18.13-0.254-339.16-0.086-357.29357.29-0.175324.0893.51-0.1631.66-62.25-0.325107.8958.9036.53-58.18-115.6267.10 108.3867.9636.70-59.57-108.05109.0868.2736.93-59.49-110.64109.1268.7122.3936.94-59.52-110.48-20.8468.7322.43-110.54-20.8922.43-21.0823.27-20.3525.78-28.1543.57-0.121-0.19712.26-0.193-258.42-0.065-270.68270.68-0.106244.6841.12-0.12113.85-15.15-0.19737.1125.7812.50-10.95-28.1525.26 35.7823.2712.05-11.34-20.3535.7822.4312.05-11.24-21.0835.7122.4330.4312.03-11.21-20.89-40.4222.3930.38-20.84-40.3930.19-40.1930.56-39.1030.05-45.8430.47-0.121-0.19712.26-0.193-258.42-0.065-270.68270.68-0.106244.6847.94-0.12116.14-24.66-0.19748.7530.0516.42-21.04-45.8433.52 48.1530.5616.22-21.63-39.1048.4530.1916.32-21.73-40.1948.5430.3828.4716.35-21.75-40.39-34.9730.4328.50-40.42-34.9928.69-35.0929.64-35.8029.50-42.2931.36-0.121-0.19712.26-0.193-258.42-0.065-270.68270.68-0.106244.6847.05-0.12115.85-22.76-0.19747.2829.5015.92-19.26-42.2935.1445.7629.6415.41-18.88-35.8045.4728.6915.31-18.83-35.0945.4128.5031.2315.29-18.82-34.99-42.0228.4731.22-34.97-42.0131.15-41.9830.68-41.7626.77-39.7741.10-0.133-0.23112.26-0.212-213.70-0.072-225.96225.96-0.125199.9642.68-0.08314.49-21.52-0.14448.9116.7116.61-22.60-24.7919.1249.6519.1516.86-22.72-26.0349.7619.4416.90-22.73-26.17作用下的迭代计算-122.45122.45-18.1318.13-357.29357.2921.94-30.26 2.37164.8614.37-82.10 -100.5192.19-15.76182.99-342.92275.19-76.37159.85q35.65q19.88q45.38 1/8ql*l183.671/8ql*l27.061/8ql*l535.93跨中-87.32跨中72.31跨中-226.87左端剪力115.73左端剪力-17.88左端剪力227.52右端剪力-113.14右端剪力-83.48右端剪力-213.58-51.72113.51-98.3498.34-12.2612.26-270.68270.683.59-9.35 6.7956.9612.84-10.40-94.7588.99-5.4769.22-257.84260.28-31.9575.21q28.63q13.51q34.38 1/8ql*l147.501/8ql*l18.391/8ql*l406.02跨中-55.63跨中18.95跨中-146.96左端剪力92.80左端剪力 2.97左端剪力166.84右端剪力-91.01右端剪力-41.61右端剪力-167.34-36.8283.25-98.3498.34-12.2612.26-270.68270.688.19-13.06 4.0374.8310.95-27.15-90.1585.28-8.2387.09-259.73243.53-40.0889.34q28.63q13.51q34.38 1/8ql*l147.501/8ql*l18.391/8ql*l406.02跨中-59.79跨中29.27跨中-154.39左端剪力92.66左端剪力-1.61左端剪力168.75右端剪力-91.14右端剪力-46.19右端剪力-165.42-38.4887.37-98.3498.34-12.2612.26-270.68270.685.94-12.216.0371.1311.77-22.34-92.4086.13-6.2383.39-258.91248.34-29.2088.17q28.63q13.51q34.38 1/8ql*l147.501/8ql*l18.391/8ql*l406.02跨中-58.24跨中26.42跨中-152.40左端剪力92.88左端剪力-1.09左端剪力168.17右端剪力-90.93右端剪力-45.67右端剪力-166.00-46.1190.92-98.3498.34-12.2612.26-225.96225.9611.74-14.97-3.8972.7011.07-28.57-86.6083.37-16.1584.96-214.89197.39-20.7938.88q28.63q13.51q28.70 1/8ql*l147.501/8ql*l18.391/8ql*l338.94跨中-62.52跨中32.17跨中-132.80左端剪力92.40左端剪力 1.44左端剪力141.28右端剪力-91.40右端剪力-43.14右端剪力-137.68-241.92 -152.22 -82.10 -101.69 -115.82 -110.37-111.97 -119.01 -52.34。