江西财经大学投资项目评估 名词解释 简答 主要公式 总结
- 格式:doc
- 大小:58.00 KB
- 文档页数:4
1.项目:项目是受时间和成本约束的,用以实现一系列既定的可交付物(达到项目目标的范围),同时满足质量标准和需求的一次性活动。
2.价值工程:通过集体智慧和有组织的活动对产品或服务进行功能分析,使目标以最低的总成本,可靠地实现产品或服务的必要功能,从而提高产品或服务的价值。
3.项目风险管理:项目管理组织对项目可能遇到的风险进行规划,识别,估计,评价,应对,监控的过程,是以科学的管理方法实现最大的安全保障的实践活动的总称。
4.资金时间价值:资金数额在特定利率条件下,对时间指数的变化关系5.QFD技术:质量功能展开(quality function deployment)技术,把顾客或市场的要求转化为设计要求、零部件特性、工艺要求、生产要求的多层次演绎分析方法。
6.社会折现率:由政府部门统一规定,主要作现值计算的基准折现率。
在国民经济评价中用于计算经济净现值和国民经济角度的内部收益率。
7.项目组织:为完成特定的项目任务而建立起来的从事项目具体工作的组织形式。
8.项目团队:为适应项目的有效实施而建立的团队。
(由具有不同层次权力和责任的,通过分工与合作达到某一确定目标)9.项目范围:为了达到项目的目标,项目所规定要完成的工作。
10.工作分解结构:(WBS)是将一个项目分解为易于管理的几个部分或几个细目,以确保识别完成项目工作范围所需的所有工作要素。
11.项目进度管理:又叫项目时间管理,项目工期管理,是为确保项目按时完工所开展的一系列管理活动与过程,是项目管理的重要组成部分之一。
12.项目采购:是指从项目组织外部获得货物和服务(合称产品)的过程。
13.成本的概念:为达到一定目标(如生产产品等)所耗费资源的货币体现。
14.成本预算:将估算的成本按照时间短配置到项目各个活动中去,并建立一个衡量绩效的基准计划。
15.采购的定义:从系统外部获得货物,土建工程和服务的完整的采办过程。
16.项目生命周期:把项目实现的过程中先后衔接的各个阶段的集合称为项目生命周期。
1.项目评估与项目可行性研究:项目评估是从投资者角度的分析,可行性研究是从建设单位(项目本身)角度的分析。
2.固定资产残值与固定资产余值:当固定资产失去使用价值时的价值就是残值,没有失去使用价值时的价值就是余值。
3.工艺评估与设备评估:工艺是方法流程,设备是满足工艺的物质表现形式。
4.经营成本与总成本费用:不考虑非现金流的成本就是经营成本,总成本费用是包括现金流出和非现金流出的全部生产成本费用。
5. 投资回收期与借款偿还期:投资回收期是指用项目的净现金流来抵消项目投资现金流的时间,无论动态静态,都只是一种虚拟的分析指标,而借款偿还期则是具体的偿还借款本金和建设期利息的时间。
6. 建设期借款利息与生产期借款利息:建设期借款利息由于没有还款资金来源,所以只能作为资本化的利息,看做是投资的总额,而生产期借款利息由于有还款资金来源,所以计入财务费用,作为收入的费用抵项。
7. NPV与NAV:NPV是项目现金流的现值之和,如果将这个现值和平分(按照资金时间价值)到每年的值,就是NA V了。
8. 建厂地点与厂址:建厂地点是面上的厂址选择,厂址则是点上的厂址选择,后者是具体的地点,前者只是一个区域。
9、项目评估对金融的意义项目评估是从投资者角度的分析,在现代金融范畴,融资和投资是两个最重要的方面。
因此,投资的价值是分析的意义。
但投资有金融投资和实物投资,项目评估涉及的是实物投资领域。
10、简谈做好投资项目评估,对评估者基础知识的要求。
需要评估者具有一定的技术工艺、市场营销、财务、管理、环保等方面的基础知识,要了解国家的产业政策,要掌握必须的计算机操作手段等。
11简谈工艺项目评估的意义工艺决定了项目的产品质量和成本高低,也是设备选择的基本要求,因此对项目可行性的评估具有决定性意义。
12、简谈国民经济评估的意义由于现行财务会计制度和价格等的不合理性,财务评估不能从资源最优配置上得出客观的结论,国民经济评估从国家的长远发展和资源最优配置的角度进行分析,有利于项目的宏观效益提高。
投资项目评估1. 简介投资项目评估是指对某个潜在投资项目进行全面的分析和评估,以确定其风险和潜力,并决定是否值得投资。
投资项目评估在投资决策中起着关键的作用,可以帮助投资者合理分配资源,提高投资的成功率和收益。
2. 评估方法2.1. 市场分析市场分析是投资项目评估的关键步骤之一。
通过对市场规模、市场增长率、竞争情况、消费者需求和行业发展趋势等因素的分析,可以评估投资项目在市场中的竞争力和发展潜力。
常用的市场分析方法包括:市场调研、竞争分析和市场趋势预测等。
2.2. 财务分析财务分析是评估投资项目可行性的重要手段之一。
通过对投资项目的资金流入和流出、投资回报率、现金流量、财务指标等因素的分析,可以评估投资项目的盈利能力、偿债能力和回报率。
常用的财务分析方法包括:财务比率分析、现金流量分析和盈利能力分析等。
2.3. 技术分析技术分析是评估投资项目技术可行性的重要内容。
通过对投资项目的技术要求、技术难度、技术可行性和技术风险等因素的分析,可以评估投资项目的技术可行性和技术实施的难易程度。
常用的技术分析方法包括:技术评估、技术方案分析和技术风险评估等。
3. 评估指标3.1. 投资回报率(ROI)投资回报率是衡量投资项目盈利能力的指标之一。
它表示投资项目的盈利与投资金额之间的比率,可以帮助投资者判断投资项目的回报率是否符合预期。
一般来说,投资回报率越高,项目的盈利能力越强。
3.2. 净现值(NPV)净现值是评估投资项目可行性的重要指标之一。
它表示投资项目的现金流入和现金流出之间的差额,可以帮助投资者判断投资项目的现金流量是否足够强大。
一般来说,净现值越大,投资项目的可行性越高。
3.3. 内部收益率(IRR)内部收益率是衡量投资项目回报率的指标之一。
它表示在投资项目的整个周期内,投资者可以获得的年均回报率。
一般来说,内部收益率越高,投资项目的收益越高。
4. 风险评估风险评估是评估投资项目风险的重要环节。
通过对投资项目的市场风险、技术风险、财务风险和政策风险等因素的分析,可以评估投资项目的风险程度和风险承受能力。
1投资:广义——投资者为某种目的而进行的一次资源投放活动。
狭义——经济主体为经济目的而进行的一次资本金的投放活动。
2投资特征:收益性、风险性、回收性、长期性。
3投资结构:指某时期在各产业中投资的比例关系。
4产业结构:某时期国民经济中各产业之间的比例。
5投机:指在证券或外汇市场上抓住机遇,大量套汇套利,利用价差来谋取高利的一种交易行为。
6投资项目:指在规定的期限内,为完成某项开发目标或某组开发目标而独立进行的投资活动。
7项目周期:指完成一次投资循环的过程,包括投资前期(立项、评估)、建设期(设计、施工)、和生产期(人员组织、投产运行)。
8可行性研究:指对拟建项目在政策上和经济上的可行性进行研究,为项目投资决策提供科学依据。
9项目评估:是可行性研究的再研究,即在可行性研究的基础上,对拟建项目在政策上和经济上的可行性和合理性再进行一次研究,为投资项目的最后科学决策提供依据。
10现金流量:指在项目经济寿命期中,实际发生的现金流动量,并标有明确的发生时点。
11流入量:实际现金流入量,主要有产品销售收入,期末残值收入,回收流动资金等。
12流出量:实际现金流出量,主要有投资,成本,税金支出等。
13净流量:流入量与流出量之。
14累计净流量:各年净流量之和。
15实际利率:i,指实际计算利息所用的利率。
16名义利率:是实际计息不用的利率,只是在金融活动中或贷款合同文件上出现的利率。
17年值:也称年金,指每年收治的等额系列款项。
18项目必要性评估:指对所确定的拟建项目将来生产的产品或所提供的服务是否能满足市场需求和得到社会承认所进行的审查,分析和评价。
19市场研究包括(市场调查)和(市场预测)20市场调查:指对拟建项目产品市场销售和供给两方面的资料作系统的收集、记录和分析,以了解产品的现实市场和潜在市场,确定其需求量,为将来市场预测和确定经济规模提供科学依据。
21市场预测:指在市场调查的基础上,运用科学的方法和手段,对未来一定时期内某种产品的市场供求变化及其发展趋势进行分析测算。
投资项目评价填空与名词解释重点有风险,运用需谨慎1、资金等值计算:即利用等值计算的概念,把在一个时点上发生的资金换算成另外一个时点(或一些特定的时点)上的等额金额的过程。
影响资金等值的因素是:资金金额、资金发生的时间和资金的增值率。
2、风险:P113广义的风险可以定义为:风险是未来变化偏离预期的可能性以及对目标产生影响的大小。
特征:1.风险是中性的2.风险大小与变动发生的可能性有关,也与变动发生后对项目影响的大小有关。
3、专家调查法:P84也称德尔菲法,其过程是由被调查的专家经过多轮的意见征集,集体交流信息,最终归纳汇总成为基本一致的意见的预测过程。
其主要特点是匿名性、反馈性和收敛性。
4、固定效果法:P100该方法是各方案具有相同效果的基础上,按费用最小准则进行方案间的比选。
它适用于项目有比较固定目标的情况。
5、可行性研究:P7是在投资决策前,对拟建项目进行全面的技术经济分析的科学方法和工作程序。
6、评价参数:P67评价参数是用于计算、衡量项目的费用、效益、指标的主要基础数据,以及判断项目可行性和经济合理性的一系列指标的基准值和参考值的总称。
按照使用功能分为:计算参数、判据参数。
7、敏感性分析:P120敏感性分析是通过考察项目的不确定性因素的变化对项目指标的影响程度,从而判断项目承受风险能力的一种不确定性分析方法。
8、财务评价:财务评价是根据国家现行财税制度和价格体系,计算分析项目直接发生的财务效益和费用,编制财务报表,计算相应的评价指标,考察项目的盈利能力、偿债能力和财务生存能力等等。
判断项目的可行性,为决策者提供依据。
、9、气球法:一般情况下只根据项目的偿还能力(使用每年全部的折旧、摊销费、未分配利润)偿还借款本金,以显示项目偿还能力的方法。
10、净现值:P44(NPV)是指按行业的基准收益率ic或设定的折现率,将项目计算期内各年净现金流量折现到项目建设期初的现值之和。
11、先付年金:是指一定时期内每期期初等额收付的款项,又称即付年金。
《投资项目评估》大学笔记第一章:投资项目评估概述一、基本概念1. 投资项目:投资项目是指为了获取未来经济利益,投资者将资本投入某一领域,进行一系列经济建设活动的过程。
这些活动可能包括新建、扩建、改建、购置、更新设备等。
2. 投资项目评估:投资项目评估是指对投资项目的可行性、效益、风险等方面进行系统的分析、评价和论证的过程。
它旨在判断项目是否值得投资,以及如何优化项目以实现最佳投资效果。
二、投资项目评估的目的与意义1. 目的:- 为投资决策提供依据:通过评估,确定项目是否具有投资价值,为投资者提供决策支持。
- 优化项目方案:通过评估,发现项目方案的不足,提出改进措施,提高项目的成功率。
- 分配资源:帮助投资者合理分配资源,确保资金、技术、人力等资源得到有效利用。
- 风险管理:识别项目潜在风险,制定风险应对策略,降低投资风险。
2. 意义:- 提高投资效益:通过评估,选择最有利的投资项目,提高投资回报率。
- 促进经济发展:合理引导投资流向,促进产业结构优化,推动经济增长。
- 保护投资者利益:确保投资决策的科学性,减少盲目投资,保护投资者的合法权益。
三、投资项目评估的原则1. 客观性原则:评估过程应基于客观事实和数据,避免主观臆断。
2. 系统性原则:评估应全面考虑项目的各个方面,形成完整的评估体系。
3. 比较性原则:通过比较不同方案或项目,揭示项目的优势和劣势。
4. 预测性原则:基于现有信息和趋势,预测项目未来的发展情况。
5. 动态性原则:项目评估应是一个动态过程,要考虑时间因素和外部环境变化。
四、投资项目评估的方法1. 定性分析:- 专家意见法:通过专家的经验和知识,对项目进行评价。
- 因素分析法:分析影响项目的各种因素,判断其对项目的影响程度。
2. 定量分析:- 数据对比法:通过对比历史数据或行业标准,评价项目的性能和效益。
- 财务分析法:运用财务指标(如净现值、内部收益率等)对项目的财务可行性进行评价。
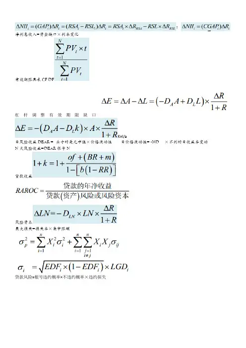
净利息收入=资金缺口×利率变化有效期限画表CF DF杠杆调整有效期限缺口K=l/a日风险收益DEAR= 头寸的美元市值×价格波动性日价格波动性= -×不利的日收益率变动N天风险收益=DEAR根号N贷款收益风险资本最大损失=损失率×集中限额贷款风险=根号违约概率×不违约概率×违约损失信息成本:金融机构的资金总量能够激励它去搜集客户信息并对客户的行为进行监督,金融机构的规模较大,使得信息收集的平均成本比个人低。
流动性和价格风险:金融机构能向家庭储蓄者提供流动性极高且风险很低的金融债权凭证期限中介:金融机构能够承受其资产和负债期限不匹配的风险货币供给传导:一国中央银行的货币政策,要通过存款机构的传导,才能够对金融系统中的其他行业及整个经济产生影响信贷分配:金融机构通常被看作某一行业主要的融资渠道支付服务:存款机构能够有效的提供支票清算之类的支付服务,从而直接对经济产生有利影响面值中介:金融机构使得小投资者能够突破在购买大面额资产方面遇到的困难利率风险:由于市场利率波动造成金融机构净利息收入(利息收入-利息支出)损失或资本损失的风险信贷资金理论:该理论认为,金融市场上的利率水平不是由储蓄与投资所决定,而是由影响信贷资金供求状况的因素,由借贷资金的供给与需求的均衡所决定(供求改变会导致利率朝向市场新的均衡方向移动)。
信贷资金总供给与利率正相关,而信贷资金总需求与利率负相关再定价缺口:通过计算每一种期限类别中利率敏感性资产(RSA)和利率敏感性负债(RSL)之差得到的(GAP = 利率敏感性资产- 利率敏感性负债),用于衡量金融机构净利息收入对市场利率的敏感程度。
其考虑了某个固定的期限,但没有考虑期限不匹配和资产或负债的结构问题利率敏感性资产是指在一定时期内到期或需要重定价的资产,主要包括浮动利率资产、优惠利率放款和短期借入资金有限期限(麦考林久期)是一种以现金流量的相对现值为权重的加权平均到期期限(以年为单位)。
投资项目评估名词解释1. 投资项目:指投资者投入资金或其他资源,用于实现一定目标或获得一定收益的计划或行动。
2. 项目评估:指对投资项目进行全面、系统的评价,以确定该项目是否值得实施或投资者是否应该投资。
3. 项目可行性研究:是对投资项目进行的一项科学研究,包括市场可行性研究、技术可行性研究、经济可行性研究、环境可行性研究等,以评估项目是否具备可行性。
4. 投资回报率(ROI):指投资项目所获得的收入与投入的比值,是衡量投资项目盈利能力的一项指标。
5. 现金流量:指投资项目在一定时期内产生的现金流入和流出的总量。
对于投资项目的评估,现金流量的大小和分布情况是重要的考虑因素之一。
6. 内部收益率(IRR):是指投资项目所获得的全部现金流量使得净现值(NPV)等于零时的折现率。
7. 投资风险:指投资项目未来可能发生的不确定性事件对投资者造成的损失。
投资项目评估需要对风险进行全面的评估和管理。
8. 敏感性分析:是对投资项目的关键变量进行模拟和分析,以确定这些变量对项目决策或投资回报率的影响程度,帮助投资者识别风险和优化决策。
9. 评估报告:是项目评估的最终成果,包括项目背景介绍、可行性分析、风险评估、财务分析和决策建议等内容。
10. 投资者价值:指投资者能够从投资项目中获得的收益和福利。
投资项目评估需要综合考虑投资者的经济利益、社会效益和环境效益等方面。
11. 社会效益:指投资项目对社会的影响和贡献,包括就业创造、技术推广、环境保护、文化传承等方面的效益。
12. 环境影响评价(EIA):是对投资项目可能对环境产生的影响进行评估和管理的过程,以减少环境风险和促进可持续发展。
13. 项目生命周期:指一个投资项目从规划、实施到运营和退出的整个过程。
项目评估需要考虑项目生命周期的各个阶段,以确定项目是否具备可持续发展的潜力。
14. 资本成本:是投资项目所需的资金成本,包括债务成本和股权成本等。
对于投资项目的评估,资本成本是决策者进行财务分析和决策的重要参考依据。
1投资项目-—-—在规定期限、投资预算、质量标准的条件下,按照规范程序完成的一项建设任务。
2项目周期—--- 一个投资项目从提出项目设想、立项、决策、开发、建设、施工直到竣工投产、进行生产活动和总结评价的全过程。
3项目建议书----是由项目负责人向其主管部门上报的文件,目前广泛应用于项目的国家立项审批工作中。
它要从宏观上论述项目设立的必要性和可能性,把项目投资的设想变为概略的投资建议。
项目建议书的呈报可以供项目审批机关作出初步决策.它可以减少项目选择的盲目性,为下一步可行性研究打下基础。
4可行性研究----是在投资决策前,在深入调查研究的基础上,对拟建项目进行全面技术经济分析论证的科学方法和工作阶段。
5项目评估:可行性研究的再研究和再评价过程,即是在可行性研究的基础上,对拟建项目在经济上和技术上的可行性和合理性再进行一次研究,为投资项目的最终决策提供科学依据。
6资金时间价值——资金在运用中随着时间的增长而发生增值的现象7名义利率和实际利率-——-复利的计息期不一定总是一年,有可能是季度、月或日。
当利息在一年内要复利几次时,给出的年利率叫做名义利率,而按照复利次数实际计算出的年利息率叫做实际利率。
其关系式为:i实= 其中m为一年当中的计息次数。
8市场调查————是对拟建项目产品市场销售和供给两方面的资料作系统的收集、记录和分析,以便了解产品的现实市场和潜在市场,确定其需求量,为未来市场预测提供科学的依据。
9市场预测--—-在市场调查的基础上,运用科学的方法和手段,对未来一定时期内某种产品的市场供求变化及其发展趋势进行分析测算10建设规模————劳动和生产资料的集中程度.其衡量指标主要有生产能力、职工人数、产量、固定资产价值等。
11规模经济—-——在一定的生产技术条件下,伴随着生产能力扩大而带来的经济效益的增加。
12经济规模-——-只盈利不亏损时的建设规模13同步建设条件———-指建设项目与相关项目以及主体工程与辅助工程在时间上、技术上和生产能力上的同步14基础财务数据---—是指建设和生产全过程中发生的各项成本费用和收益。
投资项目评估第一章一、名词解释1、投资项目:简称项目。
是指在规定期限内、按预定目标完成的一系列单次性活动,是单次性活动的一种组织管理模式。
2、可行性研究:是在投资项目拟建之前,通过对与项目有关的市场、资源、工程技术、经济和社会等方面的问题进行全面分析、论证和评价,从而确定项目是否可行或选择最佳投资方案的一项工作。
3、项目评估:项目评估是指在可行性研究的基础上,根据国家有关部门颁布的政策、法规、方法、参数和条例,对项目进行全面分析论证,并就该项目是否可行提出相应判断的技术经济学科。
二、思考题1、简述我国大中型投资项目决策程序。
答:①提出项目建议书----设想②进行可行性分析----论证③进行项目评估④项目或审批、或核准、或登记备案2、可行性研究有哪几个阶段及有何作用?答:阶段:①机会可行性研究阶段②初步可行性研究阶段③详细可行性研究阶段作用:①为投资者进行决策提供依据②为投资者申请项目贷款提供依据③为商务谈判和签订有关合同或协议提供依据④为工程设计提供依据3、项目评估与可行性研究有何关系?答:联系:①两者均处于项目周期的第一阶段②两者的内容、研究方法基本相同③两者的出发点与最终工作目标相同区别:①执行单位不同:可行性研究的执行单位是企业;项目评估的执行单位是银行②立足点不同③侧重点不同:可行性研究侧重于项目的必要性;项目评估侧重于项目的可行性④所起的作用不同:可行性研究的作用比项目评估的作用更重要⑤所处阶段的次序不同:可行性研究一定在项目评估之前第二章一、思考题1、项目投资者评估包括哪些内容?答:①项目投资者(企业)的经济技术实力评估②投资者的管理水平评估③投资者的资信程度评估包括筹资能力和信用程度。
2、项目投资宏观环境评估包括哪些内容?答:①政治环境②经济环境③自然环境(硬环境)④社会文化环境⑤法律环境第三章一、名词解释1、市场分析:是指在市场调查和市场预测的基础上,根据项目产品的竞争能力、市场规模、位置、性质和特点等要素做出“项目产品是否有市场”专业判断的一种分析技术。
名词解释1.可行性研究:是项目前期工作的最重要内容,它是在项目投资决策前,对工程建设项目可进行全面的技术经济分析论证的科学方法和工作阶段。
2。
投资环境:指影响和制约项目投资活动全过程的各种外部环境和条件的总和,它是决定和影响项目投资、资金增值的各种政治、自然、经济和社会因素相互作用而形成的矛盾统一体。
3。
项目总资金:是指投资项目从和建设前期准备工作开始到项目全部建成投资运营为止所发生的全部投资费用。
4.融资成本:是指企业为了筹集和使用资金而付出的全部费用。
5.项目总评估:是在汇总各分项评估结果的基础上,运用系统分析研究方法,对拟建投资项目的可行性及预期效益进行全面分析和综合评估,提出结论性意见和建议。
6.项目评估:是在可行性研究工作的基础上,对拟建项目的必要性,项目背景情况和建设条件的可行性,以及项目在技术先进适用性和经济上的合理有效性等诸多方面进行全面的综合审查和评价。
7.建设规模:指项目可行性研究报告中规定的全部设计生产能力,效益或投资总规模,亦称生产规模.8.项目筹资与融资:是投资项目通过各种途径筹集和融通到项目所需投资资金的一种经济活动。
9。
财务内部收益率:指项目整个寿命期内,各年净现金流量现值累计等于零时的折现率,它反映项目整个寿命期内总投资支出所获得的实际最大投资收益率,这是项目接受贷款利率的最高临界点。
10.投资项目:投资项目是指投入一定的资金以获取预期效益的一整套投资活动是在规定期限内为完成某项开发目标而规划投资、实施政策措施、组建机构以及包括其他活动在内的统一整体.11.项目建设必要性评估:是投资项目评估的首要环节,是对项目可能性研究报告中提出的项目投资建设的必要性的理由及建设的重要性和可能性进行审查、分析和评估。
12。
财务净现值:它是指项目按部门或行业的基准收益率或设定的折现率,将各年的净现金流量折现到建设开始年的现值总和.13。
社会折现率:是从国家角度对资金机会成本和资金时间价值的估量,它表示社会资金被项目占用后应获得的最低投资收益率。
一、名词解释:1、投资:投资主体为获取预期收益而投入的一定量的资金和资源,并不断转化为资产的过程叫投资.2、项目:就是任务,它是有一定的期限要求,质量要求,规模要求的一次性任务。
3、财物价格:4、影子价格:资源可用量的任何边际变化对国家基本社会目标所做贡献的价值。
5、新设法人融资(项目融资):项目发起人和投资者为建一个新项目专门设立新的法人进行筹集资金的形式.6、既有法人融资(公司融资):新法人对项目建设运营偿还债务负完全责任。
7、偿债备付率是指项目在借款偿还期内,各年可用于还本付息的资金与当期应还本付息金额的比值。
其表达式为:偿债备付率=可用于还本付息的资金/当期应还本付息的金额*100%8、涨价预备费是对建设工期较长的投资项目,在建设期内可能发生的材料、人工、设备、施工机械等价格上涨,以及费率、利率、汇率等变化,而引起项目投资的增加,需要事先预留的费用表达式为:PC=∑[(1+Δ)t—1]It t:建设期Δ:涨价率It:第t年的投资额9、项目财务收益率:10、项目社会折现率:由国家规定的、根据资金的供需状况和机会成本用以调控投资项目经济可行性的折现率。
二、简述题:1、项目可行性研究的工作过程。
答、@1、项目设想。
寻找投资机会,确定投资方向,一般项目法人和项目发起人来完成,编写出项目建议书;@2、项目初步可行性研究。
在很多项目方案中选择好的方案,一般由项目法人、项目发起人组织专家进行可行性研究,或委托评估机构来完成,编写出项目初步可行性研究报告。
@3、可行性研究。
由项目法人和项目发起人组织更高级的专家组、委托更高级的评估机构来完成,主要对项目技术方案、产品方案、投资筹资方案来进行详细的调研,最终编写出可行性研究报告。
2、企业资信评估程序。
答:@1、申请或委托企业资信评估:企业向金融机构和评估机构提出申请,并提供最近几年的企业财务方面的相关资料。
@2、收集和核查资料:评估机构来企业调查和校准相关资料。
项目评估名词解释项目评估是指以客观的方法和技术,对某一项目的投资价值、可行性、风险性和结果质量进行评价和判断的一系列运算。
它是投资者、财务分析师、投资顾问、财政部门和其他决策人等对投资项目等投资机会进行综合分析判断的重要工具。
项目评估可以分为两个阶段:初步评估和深浅评估。
初步评估也称为宏观评估,基于投资项目的总体情况进行的,主要目的是识别和去除投资者投资风险,如选定投资目的、确定投资模式、评估投资回报期限、判断投资的可行性和可接受性等。
深入评估也称为微观评估,是基于投资项目的具体条件进行的,主要目的是评估投资的量的、风险性、经济效益等方面。
包括:财务投资分析、财务融资分析、经济效益分析、市场分析、社会环境分析、技术分析、管理分析等。
项目评估得出的结论对于投资者而言,就是对投资项目是否有潜力、具体可行性、预期回报和风险的可接受性的把握。
所以,项目评估是投资决策中的重要组成部分,也是决策者有效地选择和分析把握投资机会的关键。
现在,项目评估已经成为投资决策、项目管理和投资管理的必要程序,也是企业把握投资机会和运作投资策略的重要依据。
它不仅能够有效地降低投资风险,而且能够更加合理地把握投资收益,有利于企业实现资源的有效分配和使用。
为了更加准确有效地进行项目评估,一些数据分析工具如多维度分析、计算机模拟分析、系统分析等,以及实施评估标准化管理技术等,都被广泛使用。
它们通过分析投资项目的潜力、可行性和风险,以及确定投资项目的最优实施方案,使决策者能够更加客观和理性地进行投资决策。
综上所述,项目评估是对投资项目的投资价值、可行性、风险性和结果质量进行综合分析判断的重要工具,是投资者有效地选择和分析把握投资机会的关键。
它包括宏观评估和微观评估两个阶段,需要借助一些数据分析工具和评估标准化管理技术,以更加准确有效地进行项目评估,有助于把握投资机会,提高投资效率,降低投资风险。
1、项目评估:是由投资决策部门或贷款机构或具备资质的咨询机构对上报的项目可行性研究报告进行全面的审核和再评价。
2、竞争性项目:主要是指收益水平比较高、市场调节比较灵敏、具有市场竞争能力的行业部门的相关项目。
3、公益性项目:是指那些非营利性和具有社会效益性的项目。
它主要包括教育、文化、卫生、体育、环保、广播电视等设施,公、检、法等政权设施,政府、社会团体、国防设施等。
4、基础性项目:主要是指具有一定自然垄断、建设周期长、投资量大而收益较低的基础产业和基础设施项目。
(它主要包括农林水利业、能源业、交通、邮电、通信业及城市公用设施等。
)5、项目周期:亦称项目发展周期,是指一个投资项目从提出项目设想、立项、决策、开发、建设、施工直到竣工投产、进行生产活动和总结评价的全过程6、企业资信评估:企业资信评估是指对企业的资质和信用度进行检验和度量,并科学、客观地以其资质信誉等级做出全面评价的过程。
其中,资质是指企业的经济技术实力、经营管理能力和经营状况等基本条件与企业素质的综合体现;信用度是指企业在经营活动中履行承诺与讲求信誉的程度。
7、财务评价:是在国家现行财税制度和市场价格体系下,从项目角度出发,分析预测项目的财务效益与费用,计算财务评价指标,考察拟建项目的盈利能力、偿债能力和财务生存能力,以判断项目的财务可行性,为投资决策、融资决策及银行审贷提供科学依据。
8、维持运营投资:是指某些项目在运营期内需要投入一定的固定资产投资才能得以维持正常运营,如设备更新费用、油田的开发费用、矿山的井巷开拓延伸费用等。
在项目运营期内,如发生此类费用,应将其列入现金流量表作为现金流出。
9、调整所得税:为体现与融资方案无关的要求,项目投资现金流量表中的基础数据都需要剔除运营期利息的影响。
10、补贴收入:是指项目按有关规定可能获得的补贴收入,包括先征后返的增值税、按销量或工作量等依据国家规定的补助定额计算并按期给予的定额补贴,以及属于财政扶持而给予的其他形式的补贴等。
投资项目评价方法知识点总结在当今的商业世界中,投资项目的选择和评估至关重要。
正确的投资决策可以为企业带来丰厚的回报,而错误的决策则可能导致巨大的损失。
因此,掌握有效的投资项目评价方法是投资者和企业管理者必备的技能。
接下来,让我们详细了解一下常见的投资项目评价方法。
一、净现值法(NPV)净现值法是投资项目评价中最常用的方法之一。
它通过将项目未来的现金流量按照一定的折现率折现到当前时点,然后减去初始投资成本,得到净现值。
如果净现值大于零,则项目可行;反之,则项目不可行。
计算公式为:NPV =∑(Ct /(1 + r)^t) C0其中,Ct 表示第 t 期的现金流量,r 表示折现率,t 表示时期数,C0 表示初始投资成本。
净现值法的优点在于考虑了货币的时间价值,能够较为准确地反映项目的真实价值。
但它也存在一些局限性,比如对折现率的选择较为敏感,而且对于现金流不稳定的项目评估可能不够准确。
二、内部收益率法(IRR)内部收益率是指使项目净现值等于零时的折现率。
当内部收益率大于或等于企业的预期收益率时,项目可行;反之,则不可行。
计算内部收益率通常需要通过试错法或使用财务软件来求解。
内部收益率法的优点是直观易懂,能够反映项目的盈利能力。
然而,它可能存在多个内部收益率的情况,对于互斥项目的选择可能会产生误导。
三、回收期法回收期是指收回初始投资所需要的时间。
分为静态回收期和动态回收期两种。
静态回收期不考虑货币的时间价值,计算简单,但不够准确。
动态回收期考虑了时间价值,相对更合理。
回收期法的优点是易于理解和计算,能反映项目的风险。
但它忽略了回收期后的现金流量,可能导致短视的决策。
四、盈利指数法(PI)盈利指数是指未来现金流量的现值与初始投资的比值。
如果盈利指数大于 1,则项目可行;反之,则不可行。
盈利指数法的优点是可以与净现值法结合使用,对于资金有限的情况下项目的排序有一定帮助。
但它同样不能反映项目的绝对盈利水平。
《项目评估》期末考试知识点汇总项目评估题型:名词解释5个10分单选10个15分多选10个20分判断题10个15分问答题4个20分计算题2个20分(参考PPT)第一章1.投资的概念、特点、类型。
概念:投资是指经济主体以获得未来货币增值或收益为目的,预先垫付一定量的货币与实物,经营某项事业的经济行为。
(课本p2)特点:收益性、风险性、周期性(课本p3)类型:1)根据人们投入资本的性质不同:精神投资、物质投资2)投入资本的内容不同:直接投资、间接投资(课本p2)PPT:1.从微观角度和投资实现的方式看,可分为经济性投资与金融性投资。
2.按产品性质或产业性质,可分为竞争性投资、基础性投资和公益性投资3.按投资主体划分,可分为政府投资、企业投资和社会团体投资4.按扩大再生产方式进行分类,可分为外延性投资和内含性投资5.按投资所形成的资产形态来看,可分为固定资产投资、流动资产投资、无形资产和其他资产等6.按在生产过程中的作用大小,可分为积极投资与消极投资2.项目的概念、类型。
概念:项目是投资项目的简称,也可以说投资项目是项目的主要存在载体与表现形式。
类型:(课本p5)1)按性质划分:基本建设项目、更新改造项目2)按行业划分:工业项目、非工业投资项目3)按用途划分:生产性项目和非生产性项目4)按建设资金来源划分:政府投资项目、企业投资项目、“三资”项目5)按项目投资的使用方向和投资主体的活动范围:竞争性项目、基础性项目、公益性项目PPT:(1)按性质的不同,投资项目可以分为:1.基本建设项目2.更改项目(2)按内容不同,投资项目可以分为:1.工业项目2.非工业项目(3)按投资主体的不同,投资项目可以分为:1.国内项目2.外商项目(4)按生产能力不同,可将项目分为:1.大型项目2.中型项目3.小型项目3.项目评估的概念、原则。
概念:项目评估是在直接投资活动中,在对投资项目进行可行性研究的基础上,从企业整体的角度对模拟投资建设项目的计划、设计、实施方案进行全面的技术经济论证和评价,从而确定投资项目和发展前景,即对拟建项目的必要性、可行性、合理性及效益、费用进行的审核和评价。
名词解释:项目:指在一定时间内,按预算规定的范围,为达到预定质量目标而进行的一项一次性任务。
.投资项目:是指投入一定资金以获取预期效益的一整套投资活动,是在规定期限内为完成某项开发目标而规划投资、实施政策措施、组建机构,以及包括其他活动在内的统一整体。
项目周期:项目发展周期,是指一个投资项目从提出项目设想、立项、决策、开发、建设、施工直到竣工投产、进行生产活动和总结评价的全过程。
可行性研究:是项目前期工作的最重要的内容,它是在项目投资决策前,对工程建设项目进行全面的技术经济分析论证的科学方法和工作阶段。
.项目评估:是在可行性研究工作的基础上,对拟建项目的必要性、项目背景情况和建设条件的可行性,以及项目在技术上的先进适用性和经济上的合理有效性等诸多方面进行全面的综合审查和评价。
市场调查:是对拟建项目产品需求供应的历史与现状进行调查,为市场预测和制定产品方案提供信息资料。
市场预测:是指以市场调查所获取的信息资料为基础,运用科学的方法,对未来一定时期内市场发展的状况和发展趋势作出的正确估计和判断。
市场需求:需求就是指一定时间内和一定价格条件下,消费者对某种商品或服务愿意而且能够购买的数量规模经济:在一定的生产技术条件下,伴随着生产能力扩大引起生产规模变化而带来的经济效益,规模经济促使生产规模与经济效益达到最佳匹配。
建设规模:指劳动力、劳动程度和劳动对象等生产要素与产品在投资项目中的集中程度。
生产能力:生产能力是指在计划期内,企业参与生产的全部固定资产,在既定的组织技术条件下,所能生产的最大产品数量,或者能够处理的原材料数量。
经济规模:经济规模,指在一定的经济制度安排下,一个独立的经济体所具有的资金、原材料、劳动力、技术、影响力、竞争力的总体大小。
同步建设条件----指建设项目与相关项目以及主体工程与辅助工程在时间上、技术上和生产能力上的同步.基本预备费是指在项目实施中可能发生的难以预料的支出而需要事先预留的费用基本预备费=(建筑工程费+设备及工器具购置费+安装工程费+工程建设其他费用)*基本预备费率涨价预备费:项目在建设期内由于价格等变化引起投资增加,从而需要实现预留的费用要素成本----构成产品生产成本费用的基础要素经营成本----伴随着现金流出的成本费用。
可变成本----随着产量的增减而变化的成本费用1可行性研究工作一般可分几个阶段?每个阶段需做哪些工作?可行性研究的工作阶段:①项目建议书阶段;②可行性研究报告阶段项目建议书的基本内容:①投资项目建设的必要性和依据;②产品方案、拟建规模和建设地点的初步设想;③资源、交通运输及其他建设条件和协作关系的初步分析;④主要工艺技术方案设想;⑤投资估算和资金筹措设想;⑥项目建设进度安排;⑦经济效益和社会效果的初步估计;⑧初步结论与建议可行性研究的基本内容:(一)总论(二)需求预测和拟建规模(三)资源、原材料、燃料及公用设施情况(四)建厂条件及厂址方案(五)设计方案(六)环境保护与劳动安全(七)生产组织、劳动定员和人员培训(八)项目实施计划和进度(九)投资估算与资金筹措(十)项目的效益分析(十一)评价总结2简述初步可行性研究和项目建议书的概念,内容和作用,及其与可行性研究的区别。
. 初步可行性研究----在项目意向确定之后,对项目设想进行初步估计。
主要任务----编制项目建议书。
项目建议书----是由项目负责人向其主管部门上报的文件,目前广泛应用于项目的国家立项审批工作中。
它要从宏观上论述项目设立的必要性和可能性,把项目投资的设想变为概略的投资建议。
项目建议书的呈报可以供项目审批机关作出初步决策。
它可以减少项目选择的盲目性,为下一步可行性研究打下基础。
主要内容---提出项目建设的理由及其主要依据,并对项目的市场需求、生产建设条件、投资估算以及项目经济效益作出初步论证分析。
初步可行性研究和可行性研究的区别:在研究的重点、深度和计算精确度上也有所不同,主要区别:研究任务不同。
基础资料和编制依据不同。
内容繁简和深度不同。
投资估算的精度要求不同。
上报的研究成果内容不同。
初步可研投资误差±20%,可研投资误差±10%3何为项目评估?它在投资决策中的作用是什么?项目评估----可行性研究的再研究和再评价过程,即是在可行性研究的基础上,对拟建项目在经济上和技术上的可行性和合理性再进行一次研究,为投资项目的最终决策提供科学依据。
在投资决策中的作用:是实现投资决策科学化和民主化的重要手段。
4.项目评估和可行性研究有哪些共同点和差异?两者之间的相互关系如何?共同点:两者都处于项目投资的前期,都是在投资决策前为项目实施所进行的技术经济分析论证工作。
两者的目的都是要提高投资项目决策前的技术经济分析水平,共同为是实现投资决策的科学化、民主化和规范化服务。
这两项工作的基本原理、内容、和方法是相同的。
不同点:概念与作用不同,执行单位不同,研究的角度和侧重点不同,报告撰写内容格式和成果形式不同,在项目管理工作中所处的阶段和地位不同。
联系:1)可行性研究是项目评估的对象基础,项目评估应在可行性研究的基础上进行;2)项目评估是使可行性研究的结果得以实现的前提;3)项目评估是可行性研究的延伸和再评价。
5.市场现状调查包括哪些内容?采用哪些步骤和常用方法?各有什么特点?(1)市场现状调查内容包括调查项目同类产品的市场容量、产品价格和市场竞争力现状。
(2)步骤:选择产品;明确现场调查范围;选择市场调查的具体部分;收集所需的原始资料和第二手数据;确定随机抽样的规模和设计,选择抽样调查方法;确定实地调查的方法与技术,招聘和培训现场统计员,组织现场工作,详细研究所收集的数据资料;分析数据和处理数据;分析与解释、归纳与结论;编写调查报告,作为市场调查的最终成果。
常用方法:资料调查:根据现成的资料和数据进行调查、分析和研究抽样调查:根据对样本的研究结果在抽样置信水平上,推断总体特性的调查方法。
实地调查:包括询问调查法,观察法,实验法。
6市场现状预测包括哪些内容?采用哪些步骤和常用方法?市场预测应考虑哪些制约因素?市场预测主要包括产品供应预测,需求预测,,产品价格变动趋势预测,产品市场占有率和寿命周期预测,产品的营销范围、方式和费用预测,产品生产所需的资源预测。
一)市场预测的程序1、确定预测目的2、资料的收集、整理和分析3、选用适当的方法作出预测分析4、分析预测误差,检验预测模型5、选定预测方案、编写预测报告项目产品市场发展趋势预测基本方法:①一般预测方法(直观判断法、历史引申法、因果分析法)②价格预测方法(回归法、比价法)制约因素:(1)产品的消费用途。
(2)产品的消费对象。
(3)产品的消费条件。
(4)产品的更新周期。
(5)产品的环境因素。
(6)营销策略与推销方式。
7什么是项目建设必要性评估?包括哪些内容?有哪些作用?答:项目建设必要性评估是投资项目评估的首要环节,是对项目可行性研究报告中提出的项目投资建设的必要性的理由及建设的重要性和可能性进行重新审查、分析和评估。
○内容:①对项目背景及项目发展概况的审查、分析与评估。
②项目宏观必要性评估。
③项目微观必要性评估。
○作用:①保证投资项目规划和投资决策的正确性,以利于确保投资安全。
②为项目增强产品竞争力和提高投资效益、降低投资风险提供可靠的依据,可进一步提高项目未来产品市场占有率和投资效益。
③能确定合理的项目建设规模,有利于控制投资项目建设规模,防止盲目建设和重复建设。
④根据国家政策方针和建设条件,择优选择投资项目,有利于引导投资者和贷款机构选择正确的投资方向。
8.如何确定项目建设规模?有哪些确定的因素?初步确定规模区间,根据项目产品的市场供求分析和服务对象的预测及产品的市场占有率与项目建设的必要性条件,确定项目寿命期内生产能力的服务范围和生产规模;确定项目的起始规模,确定最大的项目建设规模,制定项目不同规模的投资方案,确定项目经济合理的建设规模。
在各种规模投资方案制定后,采用“费用-效益分析”、“费用-规模”分析和技术经济分析的论证方法,对各种方案进行比较在此基础上选择最佳经济规模作为项目经济合理的建设规模。
盈亏分析法:根据产品生产要求确定工艺技术和设备,计算出企业最低生产规模界限,即企业的起始规模;合理生产规模的选择,研究产品生产量与费用之间的变化关系;按照生产活动的时间动态,可采用盈亏分析图法,来确定项目的最近生产规模。
最小费用法:在选择和确定合理的经济规模时,不仅要考虑到建设项目的投资大小、生产产品的成本和劳动生产率的高低,而且还应研究产品出厂后的运输和销售费用。
确定的因素:项目产品的市场需求;原材料、能源供应及其他外部协作条件;生产技术和设备先进性及来源;自然资源和资金的可供给量及主要外部协作条件;生产的“规模经济”问题。
9.总投资的构成----从前期准备开始到全部建成投产为止所发生的全部费用,可分为建设投资和流动资金投资。
建设投资的构成---固定资产投资和建设期借款利息动态投资的构成---动态投资是指为完成一个工程项目的建设,预计投资需要量的总和。
它除了包括静态投资所含内容之外,还包括建设期贷款利息、投资方向调节税、涨价预备费等固定资产投资的构成及估算方法---工程费用(建筑工程费、设备购置费、设备安装费)工程其他费用和预备费(基本预备费和涨价预备费)。
估算方法:概算指标估算法、单位生产能力投资估算法、生产能力指数估算法(0.6指数法)、比例估算法流动资金----是指在工业项目投产前预先支付的用于购买生产与经营过程中所需要的原材料、燃料动力、备品备件、支付工资等费用,以及生产中的在制品、半成品、产成品占用的周转资金。
由存货(储备资金、生产资金、产成品资金)应收应付预收预付账款(结算资金)、现金及存款(货币资金)10投资项目筹资渠道:国家财政资金、银行信贷资金、非银行金融机构资金、其他企业资金、民间资金、企业自留资金、利用外资等。
11项目权益资金:包括资本金(实收资本,是指在项目投资中由投资者提供的资金)、股本溢价(企业在筹资过程中,投资者投入的资金超过其注册资金的数额)、接受捐赠资产、资金(企业接受现金或非现金资产捐赠而增加的资本公积)可以从哪些渠道获得?(1)政府财政性资金;(2)国家授权的投资机构及企业法人的所有者权益、企业折旧资金,以及投资者按国家规定从资本市场上筹措的权益性资金(如发行股票和可转换债券);(3)外国资本直接投资;(4)个人合法所得资金,社会团体和个人入股;(5)国家规定的其他可用作项目资本金的资金12项目债务资金来源有哪些?如何评估?来源:信贷融资、债务融资、融资租赁。
评估:(1)对于使用银行及其他金融与非金融机构贷款的项目,应要求借款人提交有关金融机构的承诺(或意向承诺)文件,了解和评估贷款条件及落实情况,包括金额、利率、期限和担保情况等;(2)对利用外资的项目,应要求借款人提交国家有关部门的批复文件,重点审查和评估外资的落实情况及使用条件;(3)对项目生产经营所需流动资金应全部落实加以评估,并要求借款人提交有关的有效承诺文件;(4)对负债融资进行评估,主要是对长期借款、长期债券、融资租赁、流动资金借款及其他短期负债等的融资数额、融资方式、融资成本、计划安排或审批等进行落实和评估。