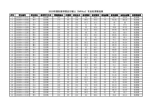
2019MPAcc:河北经贸大学录取情况汇总
- 格式:pdf
- 大小:169.70 KB
- 文档页数:1
河北经贸大学2014年会计硕士MPAcc复试分数线与复试名单序号姓名专业名称考生编号总分zzll wgy ywk1 ywk21 许聪会计118324053000810 238 157 81 0 02 周一凡会计118324053000009 234 154 80 0 03 冯楚楚会计118324053000219 225 150 75 0 04 崔文慧会计118324053000476 224 154 70 0 05 师鹏举会计118324053000157 222 154 68 0 06 李芳茹会计118324053000319 222 142 80 0 07 李舒婷会计118324053000266 220 147 73 0 08 储智明会计118324053000050 219 155 64 0 09 边娜会计118324053000479 219 150 69 0 010 王珂会计118324053000862 218 149 69 0 011 李哲会计118324053000394 217 143 74 0 012 杜志远会计118324053000413 217 150 67 0 013 潘艳艳会计118324053000167 216 147 69 0 014 刘安琪会计118324053000881 216 143 73 0 015 任畅会计118324053000247 214 145 69 0 016 魏家伟会计118324053000330 214 147 67 0 017 刘岩会计118324053000333 214 146 68 0 018 高瑞霞会计118324053000460 214 147 67 0 019 曹彤会计118324053000235 213 156 57 0 020 杨静波会计118324053000380 213 155 58 0 021 李薇会计118324053000645 213 146 67 0 022 王浩会计118324053000680 213 151 62 0 023 高玉超会计118324053000215 212 162 50 0 024 任得贤会计118324053000391 212 149 63 0 025 赵静会计118324053000450 212 138 74 0 026 刘芳会计118324053000019 211 142 69 0 027 兀晶会计118324053000044 211 139 72 0 028 刘晓炜会计118324053000481 211 145 66 0 029 杨希楠会计118324053000882 211 142 69 0 030 孙晨璐会计118324053000179 210 145 65 0 031 杨静会计118324053000656 210 141 69 0 032 刘琳玮会计118324053000760 210 141 69 0 033 王金铭会计118324053000041 209 137 72 0 034 李雪迪会计118324053000192 209 143 66 0 035 盖晶晶会计118324053000578 209 150 59 0 036 何建颖会计118324053000624 209 140 69 0 037 任繁辉会计118324053000736 209 137 72 0 038 申晓宇会计118324053000781 209 144 65 0 039 孙佳惠会计118324053000152 208 140 68 0 040 张梦芸会计118324053000153 208 146 62 0 041 阴海霞会计118324053000261 208 132 76 0 042 王昭辉会计118324053000003 207 132 75 0 043 陈肃会计118324053000102 207 131 76 0 044 闫晨阳会计118324053000402 207 138 69 0 045 张静会计118324053000429 207 150 57 0 046 姜楠会计118324053000672 207 134 73 0 047 刘晓东会计118324053000851 207 137 70 0 048 刘温会计118324053000246 206 146 60 0 049 吴凯会计118324053000276 206 136 70 0 050 郝亚男会计118324053000406 206 151 55 0 051 甄珍会计118324053000436 206 147 59 0 052 刘娇会计118324053000512 206 145 61 0 053 刘晓辉会计118324053000559 206 151 55 0 054 梁艺会计118324053000643 206 139 67 0 055 苏清会计118324053000768 206 136 70 0 056 张浩会计118324053000274 205 138 67 0 057 曹素静会计118324053000571 205 144 61 0 058 寇丽娜会计118324053000662 205 137 68 0 059 郎天宇会计118324053000837 205 135 70 0 060 高鸣会计118324053000169 204 133 71 0 061 马赏会计118324053000651 204 143 61 0 062 李霖娜会计118324053000806 204 134 70 0 063 张丹阳会计118324053000872 204 152 52 0 064 葛立慧会计118324053000181 203 143 60 0 065 胡馨天会计118324053000346 203 145 58 0 066 张亚君会计118324053000418 203 135 68 0 01 高艾会计学118324042000181 404 81 79 131 1132 张磊会计学118324042000113 401 76 61 125 1393 苏精华会计学118324042000009 392 77 66 112 1374 苑广跃会计学118324042000186 388 67 62 133 1265 刘海霞会计学118324042000283 387 69 63 123 1326 李莹会计学118324042000023 382 72 65 116 1297 焦丽宁会计学118324042000217 380 72 64 124 1208 孙超会计学118324042000064 376 79 63 112 1229 韩琪龙会计学118324042000187 376 79 66 114 11710 焦士影会计学118324042000135 371 79 50 96 14611 张丽会计学118324042000012 370 65 55 133 11712 王志焕会计学118324042000028 370 63 58 111 13813 史雪苗会计学118324042000231 362 63 65 105 12914 黄京霞会计学118324042000173 357 64 68 93 13215 袁仕宁会计学118324042000304 356 81 56 94 12516 孔令秀会计学118324042000322 356 56 65 103 13217 王冠男会计学118324042000010 354 61 62 102 129。
凯程会计硕士考研,定向名校保录取
第 1 页 共 1 页
2016年河北经贸大学会计专硕(mpacc )
难度如何
全日制
学制 2年 学费:
年份 学费数据 2016年 全日制0.7万/年
历年招生数据:
年份 招生数据
2016年 55(含推免17) 网报数据:
年份 网报人
2015年(本数据为2014年10月份网上报考人数,非现场确认后考试人数,原因有一人报多所院校情
况;该数据可作为一个院
校的报考热度)
1133 历年分数线:
年份 分数线 2015年 203/40/80
凯程考研:凯程在会计专硕方面优势显著, 2015年集训营与保录班学员,会计专硕30人考取名校,成功率接近92%,凯程对会计专硕非常重视,名师授课、严格管理、讲课练习评测模考,创造了多个会计专硕第一,凯程考研是会计专硕考研黄埔军校。
学员经验:凯程学员经验谈视频在凯程官方网站有公布,同学们随时可以去查看,体现了凯程的实力和信心。
全部名师:凯程的英语和199管理综合都是全名师授课,王洋教授、杨武金教授、孙华明教授、英语是孙浩、索玉柱等名师,欢迎同学们到凯程网站查看。
历史悠久:凯程办学11年,创造了无数个会计专硕奇迹,每个学校会计专硕限额招生。
MPAcc院校分析:河北经贸大学凯程青青老师给大家详细介绍一下河北经贸大学会计硕士相关信息,分享给大家。
一、招生信息
2018年河北经贸大学MPAcc计划招生全日制70人,学费0.7万/年,全日制学制2年。
二、复试分数线
2018年复试分数线:209
三、数据分析
2018参加MPAcc复试:参加复试人数共220人;录取人数共101人(不含非全日制,不含推免);录取最高分251,最低分209
250以上4人,录全日制3人
240-249之间13人,录全日制7人
230-239之间37人,录全日制22人
220-229之间60人,录全日制31人
210-219之间97人,录全日制34人
209分9人,录全日制4人
四、复试
1.复试内容
(1)政治理论笔试,100′,时间1小时
(2)英语听力测试,20′,时间30分钟
(3)专业科目笔试,100′,时间2小时
财务与会计实务。
(4)英语口语测试,100′
与专业面试一同进行
(5)专业面试,100′
职(执)业能力加分制度,6′
对于取得与录取专业相关的国家注册职(执)业资格证书的,每项国家注册职(执)业资格证书加3分。
最高不超过6分
2.总成绩评定
总成绩=(初试成绩+初试加分项)×70%+(复试英语听力成绩+复试专业科目笔试成绩)×30%+职(执)业能力加分
3.参考书目
《中级财务会计》,周华编著,中国人民大学出版社,2013年8月
《财务管理学》(第六版),荆新、王化成、刘俊彦主编,中国人民大学出版社,2012年6月第六版。
这4所MPAcc院校报录比惊人,报考要慎重!近两年来咨询MPAcc的考生越来越多,年龄层也慢慢的扩大,从就业二十年到刚毕业的学生都有,并且大家都对“永恒的”热门专业——会计,十分热衷。
但随着考研人数不断增加,考研竞争越来越激烈,尤其是那些总所周知的财经名校。
虽然名校未来发展更好,但同时也意味着更高的难度。
虽然皆知211财经院校难考,可光一个“难”字很难清晰表达出这个难度,所以今天为大家挑出目前最热门的4所财经院校,从它们近3年的报录比来看看,你想考的院校,到底是有多难!中央财经大学央财的就业一直都具有很好的口碑,应用经济学学科位居全国第一,金融学、会计学、经济学等作为中央财大的王牌专业,就业率、未来发展和薪资待遇自是不用说。
首次MPAcc学位评估:A2019复试MPAcc分数线:206(全日制和非全日制统一划线)报录信息:全日制会计硕士(MPAcc):2018:统考报名2226人,统招100人,报录比:4.4%2017:统考报名1333人,统招131人,报录比:9.8%2019年全日制会计硕士复录情况:进入复试人数为452人,最终拟录取人数为53人,其中最高分为263分,最低分为230分MPAcc录取规则:总成绩=初试总分×120%+复试总分×240%上海财经大学这所位于金融魔都上海的财经高校,更是具有实力和名气双高的定位。
作为财经类专业的热门考研院校,上海财大的王牌专业金融学和会计学每年都有无数学子报考。
首次MPAcc学位评估:A2019复试分数线:全日制242;非全日制192报录信息全日制会计硕士:2018:报考1367人,统考录取45人,报录比:3.2%2017:报考1069人,统考录取57人,报录比:5.3%2019年全日制会计硕士复录情况:进入复试131人,拟录取43人,最高分是266分,最低分是242对外经济贸易大学对外经济贸易大学的考研难度相当高,很多考研学子都表示真的是学霸中的学霸才能够成功考上。
2019年8所名校MPAcc会计硕士录取详情1、北京国家会计学院【2019年】1.复试科目:思想政治理论、会计学、管理会计、审计学,面试(英语、专业知识),综合素质与能力考核。
2.录取规则:总成绩=初试总成绩/3×50%+复试成绩/4×50%3.2019复录详情(一志愿):参加复试人数32人,录取人数25人,拟录取初试最高分255分,最低分237分。
250-259分,录2人;240-249分,录16人;230-239分,录7人。
【2018年】1.复试科目:思想政治理论、会计学、管理会计、审计学,面试(英语、专业知识),综合素质与能力考核。
2.录取规则:总成绩=初试总成绩/3×50%+复试成绩/4×50%3.2018复录详情(一志愿):参加复试人数36人,录取人数30人,拟录取初试最高分260分,最低分233分。
260-269分,录1人;250-259分,录1人;240-249分,录16人;230-239分,录12人。
2、对外经贸大学【2019年】1.复试科目:专业课笔试、政治理论笔试、综合面试(综合能力、英语、专业知识)。
2.录取规则:总成绩=[初试成绩的百分制]×0.6+[会计专业笔试成绩的百分制]×0.2+[面试成绩的百分制]×0.23.2019复录详情:参加复试246人(含骨干12人,士兵3人),其中全日制239人,非全日制7人。
录取人数:全日制56人(含骨干8人,士兵2人),非全日制5人。
全日制录取初试最高分260分,最低分208分(为骨干计划,正常为232分)。
260-269分,录1人;250-259分,录15人;240-249分,录17人;230-239分,录8人;其余10名为骨干和士兵计划。
非全日制录取初试最高分255分,最低分231分。
250-259分,录1人;230-239分,录4人。
【2018年】1.复试科目:专业课笔试(考生需携带无存储功能的普通计算器)、政治理论笔试(不计入总成绩)、综合面试(综合能力、英语、专业知识)。
河北经贸大学2014年会计硕士(MPAcc)研究生拟录取名单河北经贸大学2014年会计硕士专业学位(MPAcc)研究生拟录取名单序号考生编号姓名拟录取状态初试成绩总分综合外语1 118324053000009 周一凡拟录取234 154 802 118324053000810 许聪拟录取238 157 813 118324053000157 师鹏举拟录取222 154 684 118324053000219 冯楚楚拟录取225 150 755 118324053000476 崔文慧拟录取224 154 706 118324053000167 潘艳艳拟录取216 147 697 118324053000862 王珂拟录取218 149 698 118324053000881 刘安琪拟录取216 143 739 118324053000479 边娜拟录取219 150 6910 118324053000319 李芳茹拟录取222 142 8011 118324053000247 任畅拟录取214 145 6912 118324053000266 李舒婷拟录取220 147 7313 118324053000680 王浩拟录取213 151 6214 118324053000050 储智明拟录取219 155 6415 118324053000394 李哲拟录取217 143 7416 118324053000179 孙晨璐拟录取210 145 6517 118324053000333 刘岩拟录取214 146 6818 118324053000391 任得贤拟录取212 149 6319 118324053000460 高瑞霞拟录取214 147 6720 118324053000624 何建颖拟录取209 140 6921 118324053000003 王昭辉拟录取207 132 7522 118324053000413 杜志远拟录取217 150 6723 118324053000152 孙佳惠拟录取208 140 6824 118324053000276 吴凯拟录取206 136 7025 118324053000041 王金铭拟录取209 137 7226 118324053000672 姜楠拟录取207 134 7327 118324053000450 赵静拟录取212 138 7428 118324053000760 刘琳玮拟录取210 141 6929 118324053000235 曹彤拟录取213 156 5730 118324053000215 高玉超拟录取212 162 5031 118324053000643 梁艺拟录取206 139 6732 118324053000781 申晓宇拟录取209 144 6533 118324053000768 苏清拟录取206 136 7034 118324053000662 寇丽娜拟录取205 137 6835 118324053000330 魏家伟拟录取214 147 6736 118324053000192 李雪迪拟录取209 143 6637 118324053000571 曹素静拟录取205 144 6138 118324053000102 陈肃拟录取207 131 7639 118324053000044 兀晶拟录取211 139 7240 118324053000578 盖晶晶拟录取209 150 5941 118324053000806 李霖娜拟录取204 134 7042 118324053000837 郎天宇拟录取205 135 7043 118324053000559 刘晓辉拟录取206 151 5544 118324053000656 杨静拟录取210 141 6945 118324053000153 张梦芸拟录取208 146 6246 118324053000882 杨希楠拟录取211 142 6947 118324053000736 任繁辉拟录取209 137 7248 118324053000851 刘晓东拟录取207 137 7049 118324053000380 杨静波拟录取213 155 5850 118324053000436 甄珍拟录取206 147 5951 118324053000429 张静拟录取207 150 5752 118324053000481 刘晓炜拟录取211 145 6653 118324053000402 闫晨阳拟录取207 138 6954 118324053000651 马赏拟录取204 143 6155 118324053000246 刘温拟录取206 146 6056 118324053000406 郝亚男拟录取206 151 5557 118324053000202 李智璇拟录取202 133 6958 118324053000465 郑倩拟录取201 137 6459 118324053000267 孙璟琨拟录取201 142 5960 118324053000484 王博拟录取202 133 6961 118324053000667 陈会凡拟录取202 139 6362 118324053000398 张雪菲拟录取201 142 5963 118324053000039 张宁拟录取202 135 6764 118324053000059 张轩拟录取202 142 6065 118324053000633 曲为华拟录取201 136 6566 118324053000850 孙卫卫拟录取202 134 6867 118324053000094 李旭拟录取202 144 5868 118324053000017 刘亚丽拟录取201 136 6569 118324053000615 郭影爱拟录取201 139 6270 118324053000169 高鸣拟录取204 133 7171 118324053000181 葛立慧拟录取203 143 6072 118324053000274 张浩拟录取205 138 6773 118324053000418 张亚君拟录取203 135 6874 118324053000512 刘娇拟录取206 145 6175 118324053000872 张丹阳拟录取204 152 52。
凯程会计硕士考研,定向名校保录取
第 1 页 共 1 页
2016年河北经贸大学会计专硕(mpacc )
难度怎么样
全日制
学制 2年 学费:
年份 学费数据 2016年 全日制0.7万/年
历年招生数据:
年份 招生数据
2016年 55(含推免17) 网报数据:
年份 网报人
2015年(本数据为2014年10月份网上报考人数,非现场确认后考试人数,原因有一人报多所院校情
况;该数据可作为一个院
校的报考热度)
1133 历年分数线:
年份 分数线 2015年 203/40/80
凯程考研:凯程在会计专硕方面优势显著, 2015年集训营与保录班学员,会计专硕30人考取名校,成功率接近92%,凯程对会计专硕非常重视,名师授课、严格管理、讲课练习评测模考,创造了多个会计专硕第一,凯程考研是会计专硕考研黄埔军校。
学员经验:凯程学员经验谈视频在凯程官方网站有公布,同学们随时可以去查看,体现了凯程的实力和信心。
全部名师:凯程的英语和199管理综合都是全名师授课,王洋教授、杨武金教授、孙华明教授、英语是孙浩、索玉柱等名师,欢迎同学们到凯程网站查看。
历史悠久:凯程办学11年,创造了无数个会计专硕奇迹,每个学校会计专硕限额招生。
全日制MPAcc招生人数最多院校汇总,超过100人!今天凯程青青老师整理了一些2019全日制MPAcc招生人数最多的院校,超过100人。
招生人数作为衡量报考难度的其中一个重要指标,希望以下信息能对考研的你有所帮助!1天津财经大学2019年MPAcc全日制计划招生人数:144人(不含推免)2019年MPAcc全日制实际录取人数:182人(不含推免)2019年复试分数线:230/42/842018年复试分数线:232/42/842017年复试分数线:230/42/842019年MPAcc全日制学费:2万元/2年2湖北经济学院2019年MPAcc全日制计划招生人数:119人(不含推免)2019年MPAcc全日制实际录取人数:第一批录取149人,后又补录21人2019年复试分数线:188/55/1202018年复试分数线:198/50/1202017年复试分数线:209/60/1202019年MPAcc全日制学费:4.5万元/3年3暨南大学2019年MPAcc全日制计划招生人数:110人(含推免)2019年MPAcc全日制实际录取人数:64人(不含推免和专项计划)2019年复试分数线:242/42/842018年复试分数线:2462017年复试分数线:2482019年MPAcc全日制学费:非定向:7万元/2年;定向:8万元/2年4江西财经大学2019年MPAcc全日制计划招生人数:会计学院与审计硕士合招210人;会计发展研究中心30人2019年MPAcc全日制实际录取人数:会计学院140人(不含专项计划);会计发展研究中心25人2019年复试分数线:会计学院224/42/84;会计发展研究中心176/42/842018年复试分数线:会计学院232;会计发展研究中心1652017年复试分数线:会计学院235;会计发展研究中心2352019年MPAcc全日制学费:会计学院、会计发展研究中心:3.6万元/3年5重庆工商大学2019年MPAcc全日制计划招生人数:100人2019年MPAcc全日制实际录取人数:104人2019年复试分数线:224/42/842018年复试分数线:2142017年复试分数线:2312019年MPAcc全日制学费:3.9万元/3年6西南财经大学2019年MPAcc全日制计划招生人数:200人(含推免)2019年MPAcc全日制实际录取人数:140人(不含推免和专项计划)2019年复试分数线:210/42/842018年复试分数线:2202017年复试分数线:2212019年MPAcc全日制学费:4万元/2年7哈尔滨商业大学2019年MPAcc全日制计划招生人数:100人2019年MPAcc全日制录取人数:进入复试195人,未给出拟录名单2019年复试分数线:201/42/842018年复试分数线:1972017年复试分数线:2052019年MPAcc全日制学费:1.8万元/2年8吉林财经大学2019年MPAcc全日制计划招生人数:110人2019年MPAcc全日制实际录取人数:128人2019年复试分数线:203/42/842018年复试分数线:2172017年复试分数线:2202019年MPAcc全日制学费:2.7万元/3年9广西财经学院2019年MPAcc全日制计划招生人数:131人2019年MPAcc全日制实际录取人数:181人2019年复试分数线:160/37/742018年复试分数线:180/60/722017年复试分数线:1902019年MPAcc全日制学费:1.495万元/年10贵州财经大学2019年MPAcc全日制计划招生人数:120人2019年MPAcc全日制实际录取人数:130人2019年复试分数线:206/37/742018年复试分数线:195/37/742017年复试分数线:207/52/1242019年MPAcc全日制学费:3.6万元/3年11兰州财经大学2019年MPAcc全日制计划招生人数:100人2019年MPAcc全日制录取人数:未公布2019年复试分数线:203/37/742018年复试分数线:194/37/742017年复试分数线:2132019年MPAcc全日制学费:2.4万元/3年12青海民族大学2019年MPAcc全日制计划招生人数:135人2019年MPAcc全日制实际录取人数:100人2019年复试分数线:175/50/1052018年复试分数线:155/37/742017年复试分数线:1902019年MPAcc全日制学费:1.6万元/2年13新疆财经大学2019年MPAcc全日制计划招生人数:110人2019年MPAcc全日制实际录取人数:107人2019年复试分数线:190/60/1002018年复试分数线:1852017年复试分数线:2002019年MPAcc全日制学费:1.4万元/2年14上海大学2019年MPAcc全日制计划招生人数:管理学院140人(含推免),悉尼工商学院50(含推免)2019年MPAcc全日制实际录取人数:管理学院93人(不含推免),悉尼工商学院45人(不含推免)2019年复试分数线:管理学院:220/42/84悉尼工商学院:218/42/842019年MPAcc全日制学费:11.8万元/2年15广东外语外贸大学2019年MPAcc全日制计划招生人数:130人2019年MPAcc全日制实际录取人数:91人(不含推免)2019年复试分数线:国际注册会计师和国际管理会计师:239/42/84;“小语种+会计”创新班:170/42/842019年MPAcc全日制学费:国际注册会计师和国际管理会计师:7万元/2年“小语种+会计”创新班:9万/3年。
2019MPAcc各省份招生院校名单凯程青青老师为大家整理了2019年各省MPAcc招生院校信息汇总,希望对同学们择校有所帮助。
1、北京985北京大学、中国人民大学、清华大学、北京航空航天大学、北京理工大学211北京交通大学、北京林业大学、中央财经大学、对外经济贸易大学、华北电力大学、中国矿业大学(北京)、中国石油大学(北京)、北京化工大学、北京外国语大学、中央民族大学其他北方工业大学、北京工商大学、北京印刷学院、北京语言大学、首都经济贸易大学、北京国家会计学院、中国财政科学研究院、北京第二外国语学院、北京信息科技大学、北京联合大学2、天津985南开大学其他天津科技大学、天津农学院、天津商业大学、天津财经大学、天津工业大学3、河北211华北电力大学(保定)、河北工业大学其他河北大学、河北地质大学、河北农业大学、河北师范大学、燕山大学、河北经贸大学、河北工程大学4、山西211太原理工大学山西大学、山西财经大学、山西师范大学5、内蒙古211内蒙古大学其他内蒙古农业大学、内蒙古财经大学、内蒙古科技大学6、辽宁985东北大学211辽宁大学其他沈阳工业大学、沈阳理工大学、辽宁工程技术大学、辽宁石油化工大学、沈阳化工大学、沈阳建筑大学、沈阳农业大学、东北财经大学、沈阳大学7、吉林985吉林大学211东北师范大学其他长春理工大学、长春工业大学、吉林财经大学、东北电力大学、长春大学8、黑龙江985哈尔滨工业大学211东北农业大学其他哈尔滨理工大学、黑龙江科技大学、东北石油大学、佳木斯大学、黑龙江八一农垦大学、齐齐哈尔大学、哈尔滨商业大学、黑龙江大学9、上海985复旦大学、同济大学、上海交通大学、华东师范大学211华东理工大学、东华大学、上海财经大学、上海大学其他上海对外经贸大学、上海国家会计学院、上海理工大学、上海海事大学、华东政法大学10、江苏南京大学、东南大学211苏州大学、南京航空航天大学、南京理工大学、中国矿业大学、河海大学、南京农业大学、南京师范大学其他江苏科技大学、南京邮电大学、南京林业大学、南京信息工程大学、南京财经大学、南京审计大学、空军勤务学院、南京工业大学、江苏师范大学、扬州大学11、浙江985浙江大学其他杭州电子科技大学、浙江工商大学、浙江财经大学、浙江工业大学、浙江理工大学、浙江农林大学、绍兴文理学院、宁波大学12、安徽211安徽大学、合肥工业大学其他安徽工业大学、安徽师范大学、阜阳师范学院、安徽财经大学、安徽农业大学13、福建985厦门大学211福州大学其他华侨大学、福建农林大学、厦门国家会计学院、集美大学14、江西211南昌大学其他华东交通大学、东华理工大学、江西理工大学、景德镇陶瓷大学、江西农业大学、江西师范大学、赣南师范大学、江西财经大学15、山东985山东大学、中国海洋大学211中国石油大学(华东)其他青岛科技大学、山东师范大学、山东财经大学、青岛大学、山东工商学院、山东科技大学、济南大学16、河南其他华北水利水电大学、郑州轻工业学院、河南工业大学、河南科技大学、中原工学院、河南农业大学、河南大学、河南财经政法大学、郑州航空工业管理学院、河南理工大学、河南师范大学17、湖北985武汉大学、华中科技大学211武汉理工大学、中南财经政法大学其他武汉工程大学、武汉纺织大学、武汉轻工大学、三峡大学、湖北经济学院、武汉科技大学、长江大学、湖北工业大学、湖北大学、中南民族大学18、湖南985湖南大学、中南大学211湖南师范大学其他湖南科技大学、长沙理工大学、中南林业科技大学、湖南商学院、南华大学、湖南工业大学、吉首大学、湖南农业大学、湖南理工学院19、广东985中山大学、华南理工大学211暨南大学、华南师范大学其他深圳大学、广东财经大学、广州大学、广东工业大学、广东外语外贸大学、华南农业大学、广东技术师范学院20、广西211广西大学其他桂林电子科技大学、桂林理工大学、广西财经学院21、海南211海南大学22、重庆985重庆大学其他重庆理工大学、重庆工商大学、陆军勤务学院23、四川985四川大学211西南交通大学、西南财经大学其他四川师范大学、西南民族大学、成都信息工程大学、四川理工学院、西华大学、成都学院24、贵州其他贵州财经大学25、云南211云南大学其他云南师范大学、云南财经大学、云南民族大学、昆明理工大学26、西藏211西藏大学其他西藏民族大学27、陕西985西安交通大学、西北工业大学211长安大学、陕西师范大学其他西安理工大学、西安科技大学、西安石油大学、西安外国语大学、西安财经学院、西安邮电大学、西安工程大学、延安大学、陕西理工大学28、甘肃985兰州大学其他兰州理工大学、兰州交通大学、西北师范大学、兰州财经大学、甘肃政法学院29、青海其他青海民族大学30、宁夏211宁夏大学其他北方民族大学31、新疆211石河子大学其他新疆农业大学、新疆财经大学。
2019MPAcc:河北经贸大学录取情况汇总凯程青青老师为大家整理了关于河北经贸大学近两年mpacc复试录取情况,分享给大家。
1.2018年录取情况
2018年MPAcc参加复试人数共220人;
录取人数共101人(不含非全日制,不含推免)
录取最高分251,最低分209
250以上4人,录全日制3人
240-249之间13人,录全日制7人
230-239之间37人,录全日制22人
220-229之间60人,录全日制31人
210-219之间97人,录全日制34人
209分9人,录全日制4人
2.2017年录取情况
2017年MPAcc参加复试人数共178人;
录取人数共133人(不含推免),无非全日制
录取最高分249,最低分223
240以上,22人,录19人
230-239之间77人,录62人
223-229之间79人,录52人。