二分法算法流程图和伪代码
- 格式:pdf
- 大小:290.40 KB
- 文档页数:1
二分法解决问题实例及解答过程二分法,又称折半查找,是一种在有序数组中查找特定元素的方法。
它的原理是将数组中的数据按照某种顺序排列,然后每次查找时都将待查找的数据与数组中间的元素进行比较,逐步缩小查找范围,直到找到目标元素为止。
二分法的时间复杂度为O(log n),效率极高,在应对大量数据的查找时能够快速定位目标元素。
下面就用一个实际的问题来演示二分法的应用过程。
假设有一个有序数组arr,里面存储了一些数值,我们要在arr中查找目标值target,如果找到了就返回其索引,找不到就返回-1。
1.首先,我们要确定二分法的查找范围,即左边界和右边界。
在开始时,左边界为0,右边界为数组的长度减一。
2.接下来就是进入循环,不断进行比较和缩小查找范围的过程。
具体步骤如下:-计算中间元素的索引mid:mid = (left + right) / 2,取整数部分。
-比较中间元素和目标值的大小:-如果中间元素等于目标值,返回mid;-如果中间元素大于目标值,缩小查找范围:right = mid - 1;-如果中间元素小于目标值,缩小查找范围:left = mid + 1。
3.循环直到left大于right,这时表示已经查找完整个数组,依然没有找到目标值,返回-1。
下面我们用一个具体的例子来演示。
假设有一个有序数组arr = [1, 3, 5, 7, 9, 11, 13, 15],要在arr中查找目标值为9。
首先,初始化左右边界:left = 0right = 7进入循环:1.第一轮循环:-计算中间元素的索引:mid = (0 + 7) / 2 = 3- arr[mid] = 7,小于目标值9,所以更新左边界:left = mid +1 = 42.第二轮循环:-计算中间元素的索引:mid = (4 + 7) / 2 = 5- arr[mid] = 11,大于目标值9,所以更新右边界:right = mid - 1 = 43.第三轮循环:-计算中间元素的索引:mid = (4 + 4) / 2 = 4- arr[mid] = 9,等于目标值9,找到目标值,返回mid。
二分法程序实现平面区域计算几何计算几何是一门研究不同形状的几何图形之间的关系和属性的学科。
而平面区域计算几何则是研究平面上的区域和图形之间的关系和属性的领域。
在平面区域计算几何中,二分法是一种常见且有效的算法,能够在相当快的时间内对平面上的区域和图形进行分析和计算。
下面将介绍如何使用编程语言实现二分法程序,在计算几何问题中应用。
一、二分法算法二分法是一种基于分治思想的高效算法,其核心思想是通过将一个问题拆分为多个子问题,逐步缩小问题规模,最终得到问题的解。
在平面区域计算几何中,二分法通常被用来确定一个区域中特定位置的坐标或特定图形的性质。
下面是二分法的伪代码:```// 求解特定区域中位置的坐标或图形的性质low = 区域左下角坐标high = 区域右上角坐标while low < high:mid = (low + high) / 2if 满足条件1:high = midelse:low = mid + 1// 返回满足条件的坐标或性质return low```在二分法算法中,我们需要定义满足条件1的规则,以便在分治过程中快速定位目标区域。
对于不同问题,这个规则有很大的差异。
二、应用二分法算法解决平面区域计算几何问题使用二分法实现平面区域计算几何,需要先定义问题,然后才能确定条件1和算法规则。
这里我们的例子是一个简单的问题:给定一个二维平面上的矩形区域和一个内部点P,求该点到矩形的距离。
这个问题在计算机图形学和计算几何中是一个经典问题,可以应用于线段和多边形的求解。
二分法的核心是分治,所以我们首先要将问题分解为多个子问题,然后使用递归算法来解决它。
在这个问题中,我们可以使用水平线和垂直线将矩形划分成9个小矩形(包括本身)。
然后对每个小矩形重复这个过程,直到我们找到包含点P的最小矩形。
这个过程可以看做是一个模板,我们可以在这个过程中填充我们自己定义的条件1和算法规则。
代码实现如下:```// 定义一个二维点类class Point {double x;double y;}// 定义一个矩形类class Rect {Point topLeft;Point bottomRight;}// 定义一个函数来计算点到矩形的距离double distanceFromPointToRect(Point p, Rect rect) {// 判断点是否在矩形内if (p.x >= rect.topLeft.x && p.x <= rect.bottomRight.x &&p.y >= rect.topLeft.y && p.y <= rect.bottomRight.y) {return 0;}// 判断点在矩形的上下左右哪个区域double dx = 0.0, dy = 0.0;if (p.x < rect.topLeft.x) {dx = p.x - rect.topLeft.x;} else if (p.x > rect.bottomRight.x) {dx = p.x - rect.bottomRight.x;}if (p.y < rect.topLeft.y) {dy = p.y - rect.topLeft.y;} else if (p.y > rect.bottomRight.y) {dy = p.y - rect.bottomRight.y;}// 如果点在矩形的左上角、右上角、右下角或者左下角,直接返回距离if (dx == 0.0 || dy == 0.0) {return sqrt(dx*dx + dy*dy);}// 查找包含点P的最小子矩形Rect subRect = null;while (true) {// 将当前矩形平分为4个子矩形double midX = (rect.topLeft.x + rect.bottomRight.x) / 2.0;double midY = (rect.topLeft.y + rect.bottomRight.y) / 2.0;Rect[] subRects = {new Rect(rect.topLeft, new Point(midX, midY)),new Rect(new Point(midX, rect.topLeft.y), newPoint(rect.bottomRight.x, midY)),new Rect(new Point(midX, midY), rect.bottomRight),new Rect(new Point(rect.topLeft.x, midY), new Point(midX, rect.bottomRight.y))};// 判断点所在的子矩形if (p.x < midX) {if (p.y < midY) {subRect = subRects[0];} else {subRect = subRects[1];}} else {if (p.y < midY) {subRect = subRects[3];} else {subRect = subRects[2];}}// 如果包含点,则递归实现求解if (p.x >= subRect.topLeft.x && p.x <= subRect.bottomRight.x &&p.y >= subRect.topLeft.y && p.y <= subRect.bottomRight.y) {return distanceFromPointToRect(p, subRect);}// 否则将包含点的子矩形作为下一个矩形继续递归分治rect = subRect;}}```这个算法基于二分法思想,分治过程中计算出点P到矩形最小矩形的距离,最终得出点P到矩形的距离。
算法设计与分析各种查找算法的性能测试目录摘要 (2)第一章:简介(Introduction) (3)1.1 算法背景 (3)第二章:算法定义(Algorithm Specification) (4)2.1 数据结构 (4)2.2顺序查找法的伪代码 (4)2.3 二分查找(递归)法的伪代码 (5)2.4 二分查找(非递归)法的伪代码 (6)第三章:测试结果(Testing Results) (8)3.1 测试案例表 (8)3.2 散点图 (9)第四章:分析和讨论 (11)4.1 顺序查找 (11)4.1.1 基本原理 (11)4.2.2 时间复杂度分析 (11)4.2.3优缺点 (11)4.2.4该进的方法 (12)4.2 二分查找(递归与非递归) (12)4.2.1 基本原理 (12)4.2.2 时间复杂度分析 (13)4.2.3优缺点 (13)4.2.4 改进的方法 (13)附录:源代码(基于C语言的) (15)摘要在计算机许多应用领域中,查找操作都是十分重要的研究技术。
查找效率的好坏直接影响应用软件的性能,而查找算法又分静态查找和动态查找。
我们设置待查找表的元素为整数,用不同的测试数据做测试比较,长度取固定的三种,对象由随机数生成,无需人工干预来选择或者输入数据。
比较的指标为关键字的查找次数。
经过比较可以看到,当规模不断增加时,各种算法之间的差别是很大的。
这三种查找方法中,顺序查找是一次从序列开始从头到尾逐个检查,是最简单的查找方法,但比较次数最多,虽说二分查找的效率比顺序查找高,但二分查找只适用于有序表,且限于顺序存储结构。
关键字:顺序查找、二分查找(递归与非递归)第一章:简介(Introduction)1.1 算法背景查找问题就是在给定的集合(或者是多重集,它允许多个元素具有相同的值)中找寻一个给定的值,我们称之为查找键。
对于查找问题来说,没有一种算法在任何情况下是都是最优的。
有些算法速度比其他算法快,但是需要较多的存储空间;有些算法速度非常快,但仅适用于有序数组。
二分法原理
二分法,又称折半查找,是一种在有序数组中查找特定元素的搜索算法。
它的
工作原理是不断将查找区间分成两部分,并确定目标值可能在哪一部分,然后将查找范围缩小一半。
这种算法每次比较后都会使查找范围减半,因此具有很高的效率。
二分法的基本原理是通过不断缩小查找范围来逼近目标值。
假设我们要在一个
有序数组中查找某个特定的值,首先我们将数组的中间元素与目标值进行比较,如果中间元素等于目标值,则查找成功;如果中间元素大于目标值,则在数组的左半部分继续查找;如果中间元素小于目标值,则在数组的右半部分继续查找。
如此循环,直到找到目标值或者确定目标值不存在为止。
二分法的时间复杂度为O(log n),这意味着随着数据量的增加,其查找时间并
不会呈线性增长,而是呈对数增长。
因此,二分法是一种非常高效的搜索算法,尤其适用于大规模数据的查找。
在实际应用中,二分法通常用于有序数组或者有序列表的查找,比如在数据库
中查找某个特定的记录,或者在某个范围内查找满足特定条件的数据。
此外,二分法还可以应用于一些数学问题的求解,比如求函数的零点、求函数的最值等。
总之,二分法是一种高效的搜索算法,其原理简单而有效。
通过不断缩小查找
范围,可以快速定位目标值,适用于各种有序数据的查找和求解问题。
在实际应用中,我们可以充分利用二分法的特点,提高搜索和求解的效率,从而更好地解决实际问题。
二分法解决实际问题的过程二分法解决实际问题的过程一、引言在计算机科学中,二分法是一种通用的搜索算法,常用于解决实际问题。
它通过将问题分成两个部分,然后确定目标在哪个部分,并继续对该部分进行二分,最终找到目标或确定目标不存在。
本文将探讨二分法解决实际问题的过程,从简单到复杂、由浅入深,帮助读者全面理解这一算法。
二、基本原理1. 概念解释:二分法,也称为二分查找,是一种通过不断将范围缩小一半的方式来查找目标的方法。
它要求待查找的数组或列表是有序的。
2. 基本步骤:- 确定搜索范围:将数组或列表的起始位置和结束位置确定为搜索范围。
- 计算中点:将搜索范围分成两部分,计算中点的索引位置。
- 比较目标值与中点:将目标值与中点进行比较,确定目标可能在哪个部分。
- 缩小搜索范围:根据比较结果,将搜索范围缩小为可能存在目标的部分,并重复上述步骤,直到找到目标或确定目标不存在。
三、简单示例为了更好地理解二分法的过程,在这里我们举一个简单的示例。
假设有一个升序排列的数组,我们需要查找数组中是否存在某个特定的元素。
1. 确定搜索范围:将数组的起始位置设为0,结束位置设为数组长度减1。
2. 计算中点:将起始位置和结束位置相加除以2,得到中点的索引位置。
3. 比较目标值与中点:将目标值与中点位置的元素进行比较。
4. 缩小搜索范围:根据比较结果,如果目标值小于中点位置的元素,则将结束位置更新为中点位置减1;如果目标值大于中点位置的元素,则将起始位置更新为中点位置加1。
重复上述步骤,直到找到目标或确定不存在。
通过这个简单的示例,我们可以看到二分法的基本思路和步骤。
它的时间复杂度为O(log n),相较于线性搜索的时间复杂度O(n),二分法在大规模数据中有着显著的优势。
四、应用案例1.查找算法:二分法广泛应用于查找算法中,例如在有序数组中查找指定元素的位置。
2.分析数据:二分法还可以用于分析数据中的特定属性,例如找到最接近某个给定值的元素。
伪代码及其实例讲解伪代码及其实例讲解伪代码(Pseudocode)是一种算法描述语言。
使用伪代码的目的是为了使被描述的算法可以容易地以任何一种编程语言(Pascal,C,Java,etc)实现。
因此,伪代码必须结构清晰、代码简单、可读性好,并且类似自然语言。
介于自然语言与编程语言之间。
它以编程语言的书写形式指明算法的职能。
相比于程序语言(例如Java, C++,C, Dephi 等等)它更类似自然语言。
它是半角式化、不标准的语言。
我们可以将整个算法运行过程的结构用接近自然语言的形式(这里,你可以使用任何一种你熟悉的文字,中文,英文等等,关键是你把你程序的意思表达出来)描述出来. 使用伪代码, 可以帮助我们更好的表述算法, 不用拘泥于具体的实现.人们在用不同的编程语言实现同一个算法时意识到,他们的实现(注意:这里是实现,不是功能)很不同。
尤其是对于那些熟练于不同编程语言的程序员要理解一个(用其他编程语言编写的程序的)功能时可能很难,因为程序语言的形式限制了程序员对程序关键部分的理解。
这样伪代码就应运而生了。
当考虑算法功能(而不是其语言实现)时,伪代码常常得到应用。
计算机科学在教学中通常使用虚拟码,以使得所有的程序员都能理解。
综上,简单的说,让人便于理解的代码。
不依赖于语言的,用来表示程序执行过程,而不一定能编译运行的代码。
在数据结构讲算法的时候用的很多。
语法规则例如,类Pascal语言的伪代码的语法规则是:在伪代码中,每一条指令占一行(else if,例外)。
指令后不跟任何符号(Pascal和C中语句要以分号结尾)。
书写上的“缩进”表示程序中的分支程序结构。
这种缩进风格也适用于if-then-else语句。
用缩进取代传统Pascal中的begin和end语句来表示程序的块结构可以大大提高代码的清晰性;同一模块的语句有相同的缩进量,次一级模块的语句相对与其父级模块的语句缩进。
算法的伪代码语言在某些方面可能显得不太正规,但是给我们描述算法提供了很多方便,并且可以使我们忽略算法实现中很多麻烦的细节。
二分法查找原理
二分法查找是一种常用的查找算法,它基于分治思想来快速定位目标元素在有序数组中的位置。
具体原理如下:
1. 首先,将要查找的数组按照升序排列。
2. 然后,取数组的中间元素。
3. 如果中间元素等于目标元素,则返回中间元素所在的位置。
4. 如果中间元素大于目标元素,则在中间元素的左侧子数组中继续查找。
5. 如果中间元素小于目标元素,则在中间元素的右侧子数组中继续查找。
6. 重复以上步骤,直到找到目标元素或者确定目标元素不存在。
这个算法之所以被称为二分法,是因为每一次查找都会将待查找范围缩小一半,因此它的时间复杂度只有O(logn),效率非
常高。
需要注意的是,二分法查找要求目标数组必须是有序的,否则无法保证查找的正确性。
此外,如果数组中存在多个与目标元素相等的元素,二分法查找只能返回其中的一个位置。
总的来说,二分法查找是一种高效的查找算法,适用于有序数组,并且不断将待查找范围缩小的场景。
二分查找,也称为二分搜索,是一种在有序序列中查找特定元素的搜索算法。
它的工作原理是将序列分为两部分,然后检查中间元素以确定所搜索的元素在哪一部分。
然后,对选定的部分重复这个过程,直到找到元素或确定元素不在序列中为止。
以下是二分查找算法的基本步骤:
1. 设定一个序列的范围下限left和上限right,通常初始时设为0和序列长度减1。
2. 计算中间位置mid,通过(right + left)/ 2公式来计算。
3. 检查中间元素是否等于目标值。
如果是,那么查找成功,返回中间位置mid。
4. 如果中间元素不是目标值,那么根据目标值和中间元素的比较结果来确定要在左边还是右边的子序列中继续查找。
如果目标值小于中间元素,那么在左边的子序列中查找;如果目标值大于中间元素,那么在右边的子序列中查找。
更新left或right的值。
5. 如果left>right,那么查找失败,说明目标值不在序列中。
你可以将这些步骤转化为Scratch的程序代码,通过自定义一些变量和过程来实现二分查找的功能。
建议你尝试一下这个挑战,看看你能否独立设计出这个算法的Scratch版本!。
二分查找二分查找算法基本思想二分查找算法的前置条件是,一个已经排序好的序列(在本篇文章中为了说明问题的方便,假设这个序列是升序排列的),这样在查找所要查找的元素时,首先与序列中间的元素进行比较,如果大于这个元素,就在当前序列的后半部分继续查找,如果小于这个元素,就在当前序列的前半部分继续查找,直到找到相同的元素,或者所查找的序列范围为空为止.用伪代码来表示, 二分查找算法大致是这个样子的:left = 0, right = n -1while (left <= right)mid = (left + right) / 2casex[mid] < t: left = mid + 1;x[mid] = t: p = mid; break;x[mid] > t: right = mid -1;return -1;第一个正确的程序根据前面给出的算法思想和伪代码, 我们给出第一个正确的程序,但是,它还有一些小的问题,后面会讲到int search(int array[], int n, int v){int left, right, middle;left = 0, right = n - 1;while (left <= right){middle = (left + right) / 2;if (array[middle] > v){right = middle;}else if (array[middle] < v){left = middle;}else{return middle;}}return -1;}下面,讲讲在编写二分查找算法时可能出现的一些问题.边界错误造成的问题二分查找算法的边界,一般来说分两种情况,一种是左闭右开区间,类似于[left, right),一种是左闭右闭区间,类似于[left, right].需要注意的是, 循环体外的初始化条件,与循环体内的迭代步骤, 都必须遵守一致的区间规则,也就是说,如果循环体初始化时,是以左闭右开区间为边界的,那么循环体内部的迭代也应该如此.如果两者不一致,会造成程序的错误.比如下面就是错误的二分查找算法:int search_bad(int array[], int n, int v){int left, right, middle;left = 0, right = n;while (left < right){middle = (left + right) / 2;if (array[middle] > v){right = middle - 1;}else if (array[middle] < v){left = middle + 1;}else{return middle;}}return -1;}这个算法的错误在于, 在循环初始化的时候,初始化right=n,也就是采用的是左闭右开区间,而当满足array[middle] > v的条件是, v如果存在的话应该在[left, middle)区间中,但是这里却把right赋值为middle - 1了,这样,如果恰巧middle-1就是查找的元素,那么就会找不到这个元素.下面给出两个算法, 分别是正确的左闭右闭和左闭右开区间算法,可以与上面的进行比较: (下面这两个算法是正确的)int search2(int array[], int n, int v){int left, right, middle;left = 0, right = n - 1;while (left <= right){middle = (left + right) / 2;if (array[middle] > v){right = middle - 1;}else if (array[middle] < v){left = middle + 1;}else{return middle;}}return -1;}int search3(int array[], int n, int v){int left, right, middle;left = 0, right = n;while (left < right){middle = (left + right) / 2;if (array[middle] > v){right = middle;}else if (array[middle] < v){left = middle + 1;}else{return middle;}}return -1;}死循环上面的情况还只是把边界的其中一个写错, 也就是右边的边界值写错, 如果两者同时都写错的话,可能会造成死循环,比如下面的这个程序:int search_bad2(int array[], int n, int v){int left, right, middle;left = 0, right = n - 1;while (left <= right){middle = (left + right) / 2;if (array[middle] > v){right = middle;}else if (array[middle] < v){left = middle;}else{return middle;}}return -1;}这个程序采用的是左闭右闭的区间.但是,当array[middle] > v的时候,那么下一次查找的区间应该为[middle + 1, right], 而这里变成了[middle, right];当array[middle] < v的时候,那么下一次查找的区间应该为[left, middle - 1], 而这里变成了[left, middle].两个边界的选择都出现了问题, 因此,有可能出现某次查找时始终在这两个范围中轮换,造成了程序的死循环.溢出前面解决了边界选择时可能出现的问题, 下面来解决另一个问题,其实这个问题严格的说不属于算法问题,不过我注意到很多地方都没有提到,我觉得还是提一下比较好.在循环体内,计算中间位置的时候,使用的是这个表达式:middle = (left + right) / 2;假如,left与right之和超过了所在类型的表示范围的话,那么middle就不会得到正确的值. 所以,更稳妥的做法应该是这样的:middle = left + (right - left) / 2;更完善的算法前面我们说了,给出的第一个算法是一个"正确"的程序, 但是还有一些小的问题.首先, 如果序列中有多个相同的元素时,查找的时候不见得每次都会返回第一个元素的位置, 比如考虑一种极端情况:序列中都只有一个相同的元素,那么去查找这个元素时,显然返回的是中间元素的位置.其次, 前面给出的算法中,每次循环体中都有三次情况,两次比较,有没有办法减少比较的数量进一步的优化程序?<<编程珠玑>>中给出了解决这两个问题的算法,结合前面提到溢出问题我对middle的计算也做了修改:int search4(int array[], int n, int v){int left, right, middle;left = -1, right = n;while (left + 1 != right)//这个循环维持的条件是left<right && array[left]<v<=array[right],所以到最后的时候,{//如果可以找到目标,则只剩下两个数,并且满足 array[left]<v<=array[right],是要查找的数是rightmiddle = left + (right -left) / 2;if (array[middle] < v)//必须保证array[left]<v<=array[right],所以left = middle;{//如果left =middle+1,则有可能出现array[left]<=v的情况left = middle;}else{right = middle;}}if (right >= n || array[right] != v){right = -1;}return right;}这个算法是所有这里给出的算法中最完善的一个,正确,精确且效率高.但是这个算法的还是不能很好的理解可以用下面的算法,可以找出满足条件的数[cpp]view plaincopy1.int Bi_Search(int a[],int n,int b)//2.{//返回等于b的第一个3.if(n==0)4.return -1;5.int low = 0;6.int high = n-1;7.int last = -1;//用last记录上一次满足条件的下标8.while (low<=high)9. {10.int mid = low +(high-low)/2;11.if (a[mid]==b)12. {13. last = mid;14. high = mid -1;15. }16.else if(a[mid]>b)17. high = mid -1;18.else19. low = mid +1;20. }21.22.return last;23.24.}25.int Bi_Search1(int a[],int n,int b)//大于b的第一个数26.{27.if(n<=0)28.return -1;29.int last = -1;30.int low = 0;31.int high = n-1;32.while (low<=high)33. {34.int mid = low +(high - low)/2;35.if(a[mid]>b)36. {37. last = mid;38. high = mid -1;39. }40.else if (a[mid]<=b)41. {42. low =mid +1;43. }44. }45.46.return last;47.}查找(二):二分查找一、二分查找(Binary Search)二分查找又称折半查找,它是一种效率较高的查找方法。
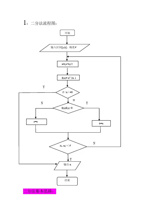
1:二分法流程图:二分法基本思路:一般地,对于函数f(x),如果存在实数c,当x=c 时,若f(c)=0,那么把x=c 叫做函数f(x)的零点。
解方程即要求f(x)的所有零点。
假定f(x)在区间(x ,y )上连续先找到a 、b 属于区间(x ,y ),使f(a),f(b)异号,说明在区间(a,b)内一定有零点,然后求f[(a+b)/2],现在假设f(a)<0,f(b)>0,a<b① 如果f[(a+b)/2]=0,该点就是零点,如果f[(a+b)/2]<0,则在区间((a+b)/2,b)内有零点,(a+b)/2>=a ,从①开始继续使用② 中点函数值判断。
如果f[(a+b)/2]>0,则在区间(a,(a+b)/2)内有零点,(a+b)/2<=b ,从①开始继续使用 中点函数值判断。
这样就可以不断接近零点。
通过每次把f(x)的零点所在小区间收缩一半的方法,使区间的两个端点逐步迫近函数的零点,以求得零点的近似值,这种方法叫做二分法。
从以上可以看出,每次运算后,区间长度减少一半,是线形收敛。
另外,二分法不能计算复根和重根。
二分法步骤:用二分法求方程()0f x =的根*x 的近似值k x 的步骤① 若对于a b <有()()0f a f b <,则在(,)a b 内()0f x =至少有一个根。
② 取,a b 的中点12a b x +=计算1()f x ③ 若1()0f x =则1x 是()0f x =的根,停止计算,运行后输出结果*1x x =若1()()0f a f x <则在1(,)a x 内()0f x =至少有一个根。
取111,a a b x ==;若1()()0f a f x >,则取111,a x b b ==;④ 若12k k b a ε-≤(ε为预先给定的要求精度)退出计算,运行后输出结果*2k ka b x +≈,反之,返回步骤1,重复步骤1,2,3二分法Mtalab 程序syms x;fun=input('(输入函数形式)fx=');a=input('(输入二分法下限)a=');b=input('(输入二分法上限)b=');d=input('输入误差限d=')%二分法求根%f=inline(x^2-4*x+4);%修改需要求解的inline函数的函数体f=inline(fun);%修改需要求解的inline函数的函数体e=b-a; k=0 ;while e>dc=(a+b)/2;if f(a)*f(c)<0b=c;elseif f(a)*f(c)>0a=c;elsea=c;b=cende=e/2; k=k+1;endx=(a+b)/2;x%x为答案k%k为次数2,牛顿法及流程图:方程f(x)=0的根就是曲线y=f(x)与x轴交点的横坐标x*,当初始近似值x0选取后,过( x0,f(x0))作切线,其切线方程为:y- f(x0)=f′(x0)(x-x0)它与x轴交点的横坐标为x一般地,设是x*的第n次近似值,过( x,f(x))作y=f(x)的切线,其切线与x轴交点的横坐标为:x = - 即用切线与x轴交点的横坐标近似代曲线与x轴交点的横坐标,如图牛顿法正因为有此明显的几何意义,所以也叫切线法。
二分法计算原理二分法是一种基于仅使用一小部分适用条件来不断缩小目标的搜索范围的算法,是一种高效的搜索算法。
该算法主要应用于计算机科学领域中的数据处理、编程以及算法设计等方面。
下面将围绕“二分法计算原理”进行详细论述。
一、什么是二分法二分法也叫折半查找,它是一种在有序数组中查找目标值的算法。
其主要的思路是将目标值与数组的中间值进行比较,判断目标值在数组的前半部分还是后半部分,并根据比较结果确定下一步查找的范围,即不断缩小搜索的范围,直到找到目标值或无法缩小搜索范围时停止搜索。
二、二分法的应用二分法主要应用于以下方面:1. 在有序数组中进行快速查找;2. 确定某个函数的零点;3. 在某个区间内查找极值点;4. 进行二分图的遍历搜索。
三、二分法的实现二分法的实现主要分为以下几个步骤:1. 确定初始搜索范围: 首先确定需要查找的数组以及目标值,然后对数组进行排序,并确定初始搜索范围,即对整个数组进行查找。
2. 确定中间值: 在确定好初始搜索范围后,通过计算左右界的中间值即可得到中间值。
3. 比较目标值与中间值: 将目标值与中间值进行比较,如果目标值小于中间值,则在左侧区间继续查找,否则在右侧区间继续查找。
4. 更新搜索范围: 根据不同的比较结果更新搜索范围,缩小查找的范围。
5. 终止条件: 在搜索范围缩小到一定程度,但仍未找到目标值时,终止搜索。
四、二分法的优点相对于其他查找算法来说,二分法具有以下几个优点:1. 时间复杂度较低:二分法的时间复杂度为O(logn),相对于线性查找算法等时间复杂度较高的算法来说,二分法所需的时间更短,效率更高。
2. 可靠性和通用性:二分法在已排序数组中的查找可靠而通用,不受数据规模的限制。
3. 易于实现和理解:二分法的实现过程简单易懂,容易理解。
五、总结二分法是一种基于仅使用一小部分适用条件来不断缩小目标的搜索范围的算法。
其优点是时间复杂度低、可靠性和通用性强,易于实现和理解。
二分法计算点集最近的两个点及距离在计算机科学领域,二分法被广泛应用于解决各种问题,其中之一就是计算点集中最近的两个点及它们之间的距离。
这个问题在实际生活中也有很多应用场景,比如地理信息系统中寻找最近的两个地点,或者机器人导航中规划最短路径等。
本文将介绍二分法在计算点集最近的两个点及距离中的应用,希望能帮助读者更深入地理解这一算法。
1. 问题描述假设有一个二维平面上的点集S,其中包含n个点。
我们的目标是找到S中距离最近的两个点及它们之间的距离。
这个问题看似简单,但是对于一个大规模的点集来说,暴力搜索会变得非常低效。
我们需要一种更有效的算法来解决这个问题。
2. 暴力搜索算法我们可以考虑一种暴力搜索的算法。
对于点集S中的每一对点,我们都计算它们之间的距离,并找出其中最小的距离。
这种算法的时间复杂度为O(n^2),在点集规模很大时,性能会非常低下。
3. 分治算法我们可以利用二分法来设计一个更高效的算法。
我们将点集S按照横坐标进行排序,然后将其等分成两部分:左边的点和右边的点。
接下来,我们分别在左右子集中找到最近的两个点及它们之间的距离。
假设左右子集中最近的两个点分别为p1和p2,我们分别计算它们之间的距离为d。
那么,我们需要计算跨越左右两个子集的最近距离。
4. 跨越子集的最近距离我们将以中线为界限的一个带状区域定义为可能存在最近点对的区域。
在这个带状区域内,任意两点之间的距离都不会超过d。
我们只需要考虑在带状区域内的点对。
并且我们可以利用这个性质来优化查找过程。
5. 算法实现# 伪代码def closestPair(S):if len(S) < 2:return NoneS.sort(key=lambda x: x[0]) # 按照横坐标排序return closestPairRec(S, 0, len(S)-1)def closestPairRec(S, low, high):if high - low <= 3:return bruteForce(S[low:high+1]) # 暴力搜索mid = (low + high) // 2leftPair = closestPairRec(S, low, mid) # 左子集最近点对rightPair = closestPairRec(S, mid+1, high) # 右子集最近点对d = min(leftPair[1], rightPair[1])midStrip = [point for point in S[low:high] if abs(point[0] - S[mid][0]) < d] # 带状区域内的点return min(leftPair, rightPair, closestSplitPair(midStrip, d)) # 返回最近点对def closestSplitPair(S, d):S.sort(key=lambda x: x[1]) # 按照纵坐标排序bestPair = (None, float('inf'))for i in range(len(S)):for j in range(i+1, len(S)):if S[j][1] - S[i][1] > d:breakdistance = euclideanDistance(S[i], S[j])if distance < bestPair[1]:bestPair = (S[i], S[j], distance)return bestPair6. 总结与回顾通过上述算法,我们可以在O(nlogn)的时间复杂度内找到点集中最近的两个点及它们之间的距禞。
二分法逻辑
二分法也称为二分查找法,是一种在有序数组中查找目标值的算法。
基本逻辑如下:
1. 从有序数组的中间元素开始,将目标值与中间元素进行对比。
2. 如果目标值等于中间元素,则查找成功,返回该元素的索引。
3. 如果目标值小于中间元素,则在数组的左半部分继续进行二分查找。
4. 如果目标值大于中间元素,则在数组的右半部分继续进行二分查找。
5. 重复以上步骤,直到找到目标值或者数组的左边界大于右边界为止。
二分法的关键在于每次都将数组范围缩小一半,从而提高查找效率。
它的时间复杂度为O(logN),其中N为数组的长度。
需要注意的是,二分法只适用于有序数组。
如果数组无序或者包含重复元素,就无法使用二分法进行查找。
OI学习笔记3:最优性算法最优性算法⼀、⼆分法1、⼆分法。
(1)优势。
⼆分法可以将部分线性处理转化为对数处理。
⼆分法的时间复杂度通常为O(\log N)。
(2)使⽤条件。
⼆分法仅能在问题状态空间严格单调的情况下使⽤。
(3)⼆分算法(详见OI学习笔记11:⼆分)。
2、三分法。
(1)函数的凸性。
上凸函数:对于函数f(x)上任意两点x_1,x_2,令x=q_1x_1+q_2x_2,其中q_1+q_2=1,若有f(x)\geq q_1f(x_1) +q_2f(x_2)恒成⽴,则称f(x)为上凸函数。
下凸函数:对于函数f(x)上任意两点x_1,x_2,令x=q_1x_1+q_2x_2,其中q_1+q_2=1,若有f(x)\leq q_1f(x_1) +q_2f(x_2)恒成⽴,则称f(x)为下凸函数。
琴⽣不等式:f(\sum q_ix_i)\leq \sum q_if(x_i)(2)整数三分。
三分法与⼆分法的步骤相近,参照代码可简单理解。
while(l < r){int lmid = l + (r - l) / 3;int rmid = r - (r - l) / 3;if(f(lmid) > f(rmid)) r = rmid;else l = lmid;}(3)实数三分。
while(r - l > eps){//eps为精确度。
double lmid = l + (r - l) / 3;double rmid = r - (r - l) / 3;if(f(lmid) > f(rmid)) r = rmid;else l = lmid;}⼆、启发式最优算法1、爬⼭算法。
⼀种简单的贪⼼算法。
容易陷⼊局部最优解,⽆法搜出全局最优解。
2、模拟退⽕算法(SA)。
(1)原理。
来源于固体退⽕原理,是⼀种概率算法。
(2)算法流程。
1. 初始化,给定初温T,最低温度T_{min},同⼀温度下迭代次数N,初始状态x,初始化结果result。