习题册重积分答案
- 格式:doc
- 大小:409.00 KB
- 文档页数:17
第二十一章 重积分 1二重积分的概念一、平面图形的面积引例:若构成平面图形P 的点集是平面上的有界点集, 即存在矩形R ,使P ⊂R ,则称平面图形P 有界. 用某一平行于坐标轴的一组直线网T 分割P(如图),这时直线网T 的网眼——小闭矩形△i 可分为三类: (1)△i 上的点都是P 的内点;(2)△i 上的点都是P 的外点,即△i ∩P=Ø; (3)△i 上含有P 的边界点.将所有属于直线网T 的第(1)类小矩形(图中阴影部分)的面积加起来, 记和数为s p (T),则有s p (T)≤△R (矩形R 的面积);将所有第(1)类与第(3)类小矩形(图中粗线所围部分)的面积加起来, 记作S p (T),则有s p (T)≤S p (T). 由确界存在定理知,对于平面上所有直线网,数集{s p (T)}有上确界,数集{S p (T)}有下确界, 记Tp I sup ={s p (T)} ,Tp I inf ={S p (T)}. 显然有0≤p I ≤p I .p I 称为内面积,p I 称为外面积.定义1:若平面图形P 的内面积p I 等于它的外面积p I , 则称P 为可求面积,并称其共同值I p =p I =p I 为P 的面积.定理21.1:平面有界图形P 可求面积的充要条件是:对任给ε>0, 总存在直线网T ,使得S p (T)-s p (T)< ε.证:[必要性]设P 的面积为I p , 由面积的定义知, I p =p I =p I . ∀ε>0, 由p I 及p I 的定义知,分别存在直线网T 1与T 2,使得 s p (T 1)>I p -2ε, S p (T 2)<I p +2ε, 记T 为由T 1与T 2合并所成的直线网,则 s p (T 1)≤s p (T), S p (T 2)≥S p (T),∴s p (T)>I p -2ε, S p (T)<I p +2ε, 从而S p (T)-s p (T)<ε. [充分性]设对任给的ε>0, 存在某直线网T ,使得S p (T)-s p (T)<ε. 但s p (T)≤p I ≤p I ≤S p (T),∴p I -p I ≤S p (T)-s p (T)<ε. 由ε的任意性知,p I =p I ,∴平面图形P 可求面积.推论:平面有界图形P 的面积为零的充要条件是它的外面积p I =0,即对任给的ε>0, 存在某直线网T ,使得S p (T)<ε,或 平面图形P 能被有限个其面积总和小于ε的小矩形所覆盖.定理21.2:平面有界图形P 可求面积的充要条件是:P 的边界K 的面积为0.证:由定理21.1,P 可求面积的充要条件是:∀ε>0, ∃直线网T , 使得S p (T)-s p (T)<ε. 即有S K (T)=S p (T)-s p (T)<ε, 由推论知,P 的边界K 的面积为0.定理21.3:若曲线K 为定义在[a,b]上的连续函数f(x)的图象,则曲线K 的面积为零.证:∵f(x)在闭区间[a,b]上连续,从而一致连续. ∴∀ε>0, ∃δ>0, 当把区间[a,b]分成n 个小区间[x i-1,x i ] (i=1,2,…,n, x 0=a,x n =b)并满足 max{△x i =x i -x i-1 |i=1,2,…,n }<δ时,可使f(x)在每个小区间[x i-1,x i ]上的振幅都有ωi <ab -ε.把曲线K 按自变量x=x 0,x 1,…,x n 分成n 个小段,则 每一个小段都能被以△x i 为宽, ωi 为高的小矩形所覆盖,又 这n 个小矩形面积的总和为i ni i x ∆∑=1ω<ab -ε∑=∆ni ix1<ε,由定理21.1的推论即得曲线K 的面积为零.推论1:参数方程x=φ(t), y=ψ(t), t ∈[α,β]所表示的光滑曲线K 的面积为零.证:由光滑曲线的定义,φ’(t),ψ’(t)在[α,β]上连续且不同时为0. 对任意t 0∈[α,β],不妨设φ’(t 0)≠0,则存在t ’的某邻域U(t 0), 使得 x=φ(t)在此邻域上严格单调,从而存在反函数t=φ-1(x). 又 由有限覆盖定理,可把[α,β]分成有限段:α=t 0<t 1<…<t n =β, 在每一小区间段上,y=ψ(φ-1(x))或x=ψ(φ-1(y)),由定理21.3知, 每小段的曲线面积为0,∴整条曲线面积为零.推论2:由平面上分段光滑曲线所围成的有界闭区域是可求面积的.注:并非平面中所有的点集都是可求面积的.如D={(x,y)|x,y ∈Q ∩[0,1]}. 易知0=D I ≤D I =1, 所以D 是不可求面积的.二、二重积分的定义及其存在性 引例:求曲顶柱体的体积(如图1).设f(x,y)为定义在可求面积的有界闭区域D 上的非负连续函数. 求以曲面z=f(x,y)为顶,以D 为底的柱体体积V.用一组平行于坐标轴的直线网T 把D 分成n 个小区域σi (i=1,2,…,n). ∵f(x,y)在D 上连续,∴当每个σi 都很小时, f(x,y)在σi 上各点的函数值近似相等; 可在σi 上任取一点(ξi ,ηi ),用以f(ξi ,ηi )为高, σi 为底的小平顶柱体的体积f(ξi ,ηi )△σi 作为V i 的体积△V i ,即△V i ≈f(ξi ,ηi )△σi .把这些小平顶柱体的体积加起来, 就得到曲顶柱体体积V 的近似值: V=∑=∆n i i V 1≈i ni i i f σηξ∆∑=1),(.当直线网T 的网眼越来越细密,即分割T 的细度T =di ni ≤≤1max →0(di 为σi 的直径)时,i ni i i f σηξ∆∑=1),(→V.概念:设D 为xy 平面上可求面积的有界闭区域,f(x,y)为定义在D 上的函数. 用任意的曲线把D 分成n 个可求面积的小区域σ1, σ2,…, σn . 以△σi 表示小区域△σi 的面积,这些小区域构成D 的一个分割T , 以d i 表示小区域△σi 的直径,称T =di ni ≤≤1max 为分割T 的细度.在每个σi 上任取一点(ξi ,ηi ),作和式ini iif σηξ∆∑=1),(,称为函数f(x,y)在D 上属于分割T 的一个积分和.定义2:设f(x,y)是定义在可求面积的有界闭区域D 上的函数. J 是一个确定的数,若对任给的正数ε,总存在某个正数δ,使对于D 的任何分割T ,当它的细度T <δ时,属于T 的所有积分和都有J f ini ii-∆∑=σηξ1),(<ε,则称f(x,y)在D 上可积,数J 称为函数f(x,y)在D上的二重积分,记作:J=⎰⎰Dd y x f σ),(.注:1、函数f(x,y)在有界可求面积区域D 上可积的必要条件是f 在D 上有界.2、设函数f(x,y)在D 上有界,T 为D 的一个分割,把D 分成n 个可求面积的小区域σ1, σ2,…, σn . 令M i =iy x σ∈),(sup f(x,y), m i =iy x σ∈),(inf f(x,y), i=1,2,…,n.作和式S(T)=i n i i M σ∆∑=1, s(T)=i ni i m σ∆∑=1. 它们分别称为函数f(x,y)关于分割T 的上和与下和.定理21.4:f(x,y)在D 上可积的充要条件是:0lim →T S(T)=0lim →T s(T).定理21.5:f(x,y)在D 上可积的充要条件是:对于任给的正数ε,存在D 的某个分割T ,使得S(T)-s(T)<ε.定理21.6:有界闭区域D 上的连续函数必可积.定理21.7:设f(x,y)在有界闭域D 上有界,且不连续点集E 是零面积集,则f(x,y)在D 上可积.证:对任意ε>0, 存在有限个矩形(不含边界)覆盖了E ,而 这些矩形面积之和小于ε. 记这些矩形的并集为K ,则 D\K 是有界闭域(也可能是有限多个不交的有界闭域的并集). 设K ∩D 的面积为△k ,则△k <ε. 由于f(x,y)在D\K 上连续, 由定理21.6和定理21.5,存在D\K 上的分割T 1={σ1, σ2,…, σn }, 使得S(T 1)-s(T 1)<ε. 令T={σ1, σ2,…, σn , K ∩D},则T 是D 的一个分割,且 S(T)-s(T)=S(T 1)-s(T 1)+ωK △k <ε+ωε, 其中ωK 是f(x,y)在K ∩D 上的振幅,ω的是f(x,y)在D 上的振幅. 由定理21.5可知f(x,y)在D 上可积.三、二重积分的性质1、若f(x,y)在区域D 上可积,k 为常数,则kf(x,y)在D 上也可积,且⎰⎰Dd y x kf σ),(=k ⎰⎰Dd y x f σ),(.2、若f(x,y), g(x,y)在D 上都可积,则f(x,y)±g(x,y)在D 上也可积,且[]⎰⎰±Dd y x g d y x f σσ),(),(=⎰⎰Dd y x f σ),(±⎰⎰Dd y x g σ),(.3、若f(x,y)在D 1和D 2上都可积,且D 1与D 2无公共内点,则⎰⎰21),(D D d y x f σ=⎰⎰1),(D d y x f σ+⎰⎰2),(D d y x f σ.4、若f(x,y)与g(x,y)在D 上可积,且f(x,y)≤g(x,y), (x,y)∈D ,则⎰⎰Dd y x f σ),(≤⎰⎰Dd y x g σ),(.5、若f(x,y)在D 上可积,则函数|f(x,y)|在D 上也可积,且⎰⎰Dd y x f σ),(≤⎰⎰Dd y x f σ),(.6、若f(x,y)在D 上都可积,且m ≤f(x,y)≤M, (x,y)∈D ,则 mS D ≤⎰⎰Dd y x f σ),(≤MS D , 其中S D 是积分区域D 的面积.7、(中值定理)若f(x,y)在有界闭区域D 上连续,则存在(ξ,η)∈D , 使得⎰⎰Dd y x f σ),(=f(ξ,η)S D , 其中S D 是积分区域D 的面积.注:中值定理的几何意义:以D 为底,z=f(x,y) (f(x,y)≥0)为曲顶的曲顶柱体体积等于一个同底的平顶柱体的体积,这个平顶柱体的高等于f(x,y)在区域D 中某点(ξ,η)的函数值f(ξ,η).习题1、把重积分⎰⎰Dxydxd σ作为积分和的极限,计算这个积分值,其中D=[0,1]×[0,1],并用直线网x=n i, y=nj , (i,j=1,2,…,n-1)分割D 为许多小正方形,每个小正方形取其右顶点作为其节点.解:⎰⎰Dxydxd σ=2111lim n n j n i nj ni n ⋅⋅∑∑==∞→=21121lim n n j n nj n ⋅⋅+∑=∞→=224)1(lim n n n +∞→=41.2、证明:若函数f(x,y)在有界闭区域D 上可积,则f(x,y)在D 上有界. 证:若f 在D 上可积,但在D 上无界,则对D 的任一分割T={σ1, σ2,…, σn }, f 必在某个小区域σk 上无界. 当i ≠k 时,任取p i ∈σi ,令G=∑≠nki i i p f σ)(, I=⎰⎰Ddxdy y x f ),(.∵f 在σk 上无界,∴存在p k ∈σk ,使得|f(p k )|>kG I σ∆++1, 从而∑=ni iip f 1)(σ=∑≠∆+nki k k i i p f p f σσ)()(≥|f(p k )·△σk |-∑≠nki i i p f σ)(>|I|+1.又f 在D 上可积,∴存在δ>0,对任一D 的分割T={σ1, σ2,…, σn }, 当T <δ时,T 的任一积分和∑=nk k k p f 1)(σ都满足∑=-nk k k I p f 1)(σ<1,即∑=nk k k p f 1)(σ<|I|+1,矛盾!∴f 在D 上可积,则f 在D 上有界.3、证明二重积分中值定理:若f(x,y)在有界闭区域D 上连续,则存在(ξ,η)∈D ,使得⎰⎰Df =f(ξ,η)S D , 其中S D 是积分区域D 的面积.证:∵f 在有界闭区域D 上连续,∴f 在D 上有最大值M 和最小值m, 对D 中一切点有m ≤f ≤M ,∴mS D ≤⎰⎰Df ≤MS D , 即m ≤⎰⎰DDf S 1≤M.由介值性定理知,存在(ξ,η)∈D ,使得⎰⎰Df =f(ξ,η)S D .4、证明:若f(x,y)为有界闭区域D 上的非负连续函数,且在D 上不恒为零,则⎰⎰Dd y x f σ),(>0.证:由题设知存在p 0(x 0,y 0)∈D ,使f(p 0)>0,令δ=f(p 0),由连续函数的局部保号性知:∃η>0使得对一切p ∈D 1(D 1=U(p 0,η)∩D), 有f(p)>2δ. 又f(x,y)≥0且连续,∴⎰⎰Df =⎰⎰1D f +⎰⎰-1D D f ≥2δ·△D 1>0.5、证明:若f(x,y)在有界闭区域D 上连续,且在D 内任一子区域D ’⊂D 上有⎰⎰'D d y x f σ),(=0,则在D 上f(x,y)≡0.证:假设存在p 0(x 0,y 0)∈D ,使得f(p 0)≠0, 不妨设f(p 0)>0. 由连续函数的保号性知,∃η>0使得对一切p ∈D ’(D ’=U(p 0,η)∩D), 有f(p)>0,由第4题知⎰⎰'D f >0,矛盾! ∴在D 上f(x,y)≡0.6、设D=[0,1]×[0,1],证明: 函数f(x,y)=⎩⎨⎧内非有理点为皆为有理数即内有理点为D y x y x D y x ),(,0),(),(,1在D 上不可积.证: 设D 的任一分割T={σ1, σ2,…, σn }, 则每一个小区域σi 内必同时含有D 内有理点和非有理点,从而 M i =iy x σ∈),(sup f(x,y)=1, m i =iy x σ∈),(inf f(x,y)=0, i=1,2,…,n.∴S(T)=i n i i M σ∆∑=1=1, s(T)=i ni i m σ∆∑=1=0,由T 的任意性知:lim →T S(T)=1≠0=0lim →T s(T). ∴f 在D 上不可积.7、证明:若f(x,y)在有界闭区域D 上连续,g(x,y)在D 上可积且不变号,则存在一点(ξ,η)∈D ,使得⎰⎰Dd y x g y x f σ),(),(=f(ξ,η)⎰⎰Dd y x g σ),(.证:不妨设g(x,y)≥0, (x,y)∈D ,则⎰⎰Dd y x g σ),(≥0. 令M,m 分别为f 在D 上的最大、最小值,则 m ⎰⎰Dd y x g σ),(≤⎰⎰Dd y x g y x f σ),(),(≤M ⎰⎰Dd y x g σ),(.若⎰⎰Dd y x g σ),(=0, 则⎰⎰Dd y x g y x f σ),(),(=0,任取(ξ,η)∈D ,得证!若⎰⎰Dd y x g σ),(>0, 则m ≤⎰⎰⎰⎰DDd y x g d y x g y x f σσ),(),(),(≤M. 由介值性定理知,存在一点(ξ,η)∈D ,使得f(ξ,η)=⎰⎰⎰⎰DDd y x g d y x g y x f σσ),(),(),( ,即⎰⎰Dd y x g y x f σ),(),(=f(ξ,η)⎰⎰Dd y x g σ),(.8、应用中值定理估计积分:I=⎰⎰++Dyx d 22cos cos 100σ的值, 其中D={(x,y)||x|+|y|≤10}. 解:∵f(x,y)=yx 22cos cos 1001++ 在D={(x,y)||x|+|y|≤10}上连续,根据中值定理知:存在(ξ,η)∈D ,使得I=ηξ22cos cos 100++∆D, 从而102D ∆≤I ≤100D ∆, △D 为D 的面积,∴51100≤I ≤2.9、证明:若平面曲线x=φ(t), y=ψ(t), α≤t ≤β光滑 (即φ(t),ψ(t)在[α,β]上具有连续导数且φ’2(t)+ψ’2(t)≠0),则 此曲线的面积为0.证法1:该平面曲线L 的长度为l=dt t t ⎰'+'βαψϕ)()(22为有限值.对∀ε>0, 将L 分成n=⎥⎦⎤⎢⎣⎡εl +1段:L 1,L 2,…,L n , 在每段L i 上取一点P i , 使P i 与其一端点的弧长为nl 2,以P i 为中心作边长为的ε正方形△i , 则L i ⊂△i (i=1,2,…,n), 从而L ⊂n i 1= △i ,记△=ni 1= △i ,则△为一多边形.设△的面积W ,则W ≤n ε2=⎪⎭⎫ ⎝⎛+1εlε=(1+ε)ε,∴L 的面积W L ≤W ≤(1+ε)ε. 即此曲线的面积为0.证法2:在曲线上任取参数t 的点M ,∵φ’2(t)+ψ’2(t)≠0, 由隐函数存在定理知,存在σ=(t-δ,t+δ)使曲线上对应的一段可以表示成显式方程.应用有限覆盖定理,[α,β]被开区间集{σ}有限覆盖,得出有限个区间, 使曲线分成有限部分,每一部分可以表示成显式方程y=f(x)或x=g(y), 其中f,g 为连续函数,由定理21.3知光滑曲线的面积为0.。
第九章 重积分第一节 重积分的概念与性质1.选择 设21()d DI x y =+σ⎰⎰,32()d DI x y =+σ⎰⎰, 1若D 由x 轴、y 轴与直线1x y +=围成,则在D 上B . A .23()()x y x y +≤+; B .23()()x y x y +≤+; 由二重积分的性质可知,A .A .12I I ≥;B .12I I ≤;C .12I I =; 2若D 由圆周22(2)(1)2x y -+-=围成,则B . A .12I I ≥; B .12I I ≤; C .12I I =; 2.填空 设(,)d DI f x y =σ⎰⎰,1若(,)1f x y x y =++,域D 为01x ≤≤,02y ≤≤,则在D 上,(,)f x y 的最小值为1,最大值为4;由二重积分的性质可知,28I ≤≤;2若22(,)49f x y x y =++,域D 为224x y +≤,则在D 上,(,)f x y 的最小值为9,最大值为25,因此36100I π≤≤π.3.设12231()d D I xy =+σ⎰⎰,其中1D 是矩形闭区域:11x -≤≤,22y -≤≤;22232()d D I x y =+σ⎰⎰,其中2D 是矩形闭区域:01x ≤≤,02y ≤≤,试利用二重积分的几何意义说明1I 与2I 之间的关系.解 设函数223(,)()f x y x y =+,则积分1(,)d D f x y σ⎰⎰的几何意义是在矩形域1D 上以曲面(,)z f x y =为曲顶的曲顶柱体体积. 由于域1D 关于0x =即y 轴对称,而函数(,)f x y 是x 的偶函数即曲面(,)z f x y =关于yOz 面对称,因此1(,)d D f x y σ⎰⎰=2(,)d D f x y *σ⎰⎰ ,其中域D *为01x ≤≤,2y ≤. 同理,D *关于0y =对称,(,)f x y 是y 的偶函数,因此,(,)d D f x y *σ⎰⎰=22(,)d D f x y σ⎰⎰于是1(,)d D f x y σ⎰⎰=42(,)d D f x y σ⎰⎰,即124II =.第二节 二重积分的计算1.填空 1改变积分次序e ln 1d (,)d x x f x y y ⎰⎰=14d (,)d y ey f x y x ⎰⎰.2改变积分次序 I =2220d (,)d x x f x y y ⎰⎰+2(,)d x f x y y ⎰⎰2 若(,)f x y xy =,则I =103. 3设D :15y ≤≤,5y x ≤≤,则应把二重积分d d ln Dx yI y x=⎰⎰化为先对y 后对x 的二次积分I =5111d d ln x x y y x⎰⎰=4. 4二重积分20d xx f y ⎰⎰=π2sec 3π04d ()d f r r r θθ⎰⎰.5二重积分211222d ()d xxx x y y -+⎰⎰=2πsin 4cos 01d d r r rθθθ⋅⎰⎰=π420sin d cos θθθ⎰1. 2.画出积分区域,并计算下列二重积分. 122()d Dxy -σ⎰⎰,其中D 是闭区域0sin y x ≤≤,0πx ≤≤.解 原式=πsin 22d ()d x x x y y -⎰⎰=3π2sin (sin )d 3xx x x -⎰=2πππ3π000011cos 2sin 2cos [cos cos ]33x x x x x x x -+++-=240π9-.2d Dx y ⎰⎰,其中D 是由直线y x =,1x =-,1y =所围成的闭区域.解 将D 视为X -型区域,则D :1x y ≤≤,11x -≤≤. 原式=111d xx y -⎰⎰=31222111(1)d 3xx y x --+-⎰=1302(1)d 3x x --⎰=12. 3e d d x yDx y +⎰⎰,其中D 是由不等式1x y +≤,0x ≥所确定的闭区域.解 原式=1101d ed x x yx x y -++-⎰⎰=111d x y y x y x ex +=-+=-⎰=1210(e e )d x x --⎰=e 122e+.易犯的错误是:认为积分区域D 是关于x 轴对称的,因此原积分等于在域D 内第一象限 部分域上积分的2倍,即原式=21e d x yD +σ⎰⎰ , 1D =01,01.x y x ≤≤⎧⎨≤≤-⎩ 此解错在没有被积函数的奇偶性,只有积分区域的对称性,就乱用对称性简化计算. 4cos d Dx x σ⎰⎰,其中D 是由曲线0y =,y x =和π6x =围成的闭区域. 解 cos d Dx x σ⎰⎰=π600cos d d x x x y x ⎰⎰=π60cos d x x ⎰=12. 3.计算积分222d ed y x x y -⎰⎰的值.解 由于函数2e y -的原函数不是初等函数,故需交换积分次序,积分区域D 为由0,2,x y y x ===所围成的区域,故原式=2e d d y Dx y -⎰⎰=2200d e d y y y x -⎰⎰=220e d y y y -⎰=221e 2y --=41(1e )2--. 4.设D 为以点(1,1),(1,1),(1,1)---为顶点的三角形,1D 为D 在第一象限部分,试将(cos sin )d d Dxy x y x y +⎰⎰化为1D 上的积分.解 如图所示,将积分区域分为1D '与2D '两部分,其中1D '为三角形AOB ,2D '为三角形BOC .显然1D '关于y 轴对称,2D '关于x 轴对称,又因为 函数xy 关于x ,y 均为奇函数,所以1d d D xy x y '⎰⎰=0, 2d d D xy x y '⎰⎰=0.故d d Dxy x y ⎰⎰=1d d D xy x y '⎰⎰+2d d D xy x y '⎰⎰=0.又函数cos sin x y 关于x 为偶函数,关于y 为奇函 数, 所以1cos sin d d D x y x y '⎰⎰=21cos sin d d D x y x y ⎰⎰,2cos sin d d D x y x y '⎰⎰=0.综上所述,(cos sin )d d Dxy x y x y +⎰⎰=21cos sin d d D x y x y ⎰⎰.5.证明:()0d e ()d a y m a x y f x x -⎰⎰=()0()e ()d am a x a x f x x --⎰.分析 因为欲证等式的左端为累次积分,等式右端为定积分,因此,应从左端出发证明, 作一次积分,化为定积分,使之与右端定积分相等. 但原累次积分的被积函数含有抽象函数,无法关于x 先积分,故考虑改变积分次序.解()0d e ()d a y m a x y f x x -⎰⎰=()0e ()d d a a m a x xf x x y -⎰⎰=()0()e ()d am a x a x f x x --⎰.6.求下列空间域Ω的体积.1由四个平面0,0,1,1x y x y ====所围成的柱体被平面0z =及236x y z ++=截得的立体.解 曲顶柱体以{(,)|01,01}D x y x y =≤≤≤≤为底,以623z x y =--为顶面,故所求立体体积 (623)d d DV x y x y =--⎰⎰=1100d (623)d x x y y --⎰⎰=103(62)d 2x x --⎰=6-1-32=72. 2由曲面222z x y =+及2262z x y =--围成的立体. 解 两曲面的交线满足方程组 消去z ,得222x y +=.所求立体的体积 21()d DV z z =-σ⎰⎰=2222[(62)(2)]d Dx y x y ---+σ⎰⎰ =322(2)d Dx y --σ⎰⎰=32π20d )d θ-ρρρ⎰⎰=426π(4ρ⋅ρ-=6π.7.画出积分区域,并且把积分(,)d d Df x y x y ⎰⎰表示为极坐标形式的二次积分,其中积分区域D 是:图1 20y x ≤≤, 01x ≤≤;解 积分区域如图a 所示,其边界曲线2y x =及1x =在极坐标下的方程分别为2sin cos θρ=θ及1cos ρ=θ. 原积分=2π14cos sin 0cos d (cos ,sin )d f θθθθρθρθρρ⎰⎰易犯的错误是:积分区域如图b 所示.原积分=π14cos 0d (cos ,sin )d f θθρθρθρρ⎰⎰.此错误是由作图不准确造成的.2由曲线22y a x =-,2y ax x =-及y x =-围成的闭区域0a >.解 积分区域如图所示,曲线22y a x =-及2y ax x =-在极坐标下的方程分别为r a =及cos r a =θ. 原积分=π20cos d (cos ,sin )d a a f θθρθρθρρ⎰⎰+3π4π02d (cos ,sin )d af θρθρθρρ⎰⎰.易犯的错误是:原积分=3π40cos d (cos ,sin )a a f d θθρθρθρρ⎰⎰.8.计算()d d DI x y x y =+⎰⎰,其中D :224xy +≤.解 积分区域关于x 轴,y 轴均对称,被积函数x y +关于x ,y 均为偶函数,故 I =41()d d D x y x y +⎰⎰1D 为D 位于第一象限的部分图 a图 b图=4π2220d (cos sin )d θθ+θρρ⎰⎰=643. 9.选择适当的坐标计算下列各题. 122sin d d Dx y x y +⎰⎰,其中D 是圆环形闭区域:2222π4πx y ≤+≤. 解 原式=2π2ππd sin d θρ⋅ρρ⎰⎰=2ππ2[cos sin ]π-ρρ+ρ=26π-.22d d yDxe x y -⎰⎰,其中D 是由曲线24y x =和29y x =在第一象限所围成的区域. 解2d d y Dxex y -⎰⎰=2203d d y y y y xe x +∞-⎰⎰=201()d 249y y y e y +∞--⎰ =205d 72y ye y +∞-⎰=5144. 3arctan d d Dy x y x ⎰⎰,D 是由圆周22224,1x y x y +=+=,及直线0,y y x ==所围成的在第一象限内的区域.解 arctan d d Dy x y x ⎰⎰=2401d d πθθ⋅ρρ⎰⎰=23π64.422()d d Dx y x y +⎰⎰,其中D 是由直线y x =,y x a =+,y a =,3(0)y a a =>所围成的闭区域. 解 原式=322d ()d a y ay ay x y x -+⎰⎰=232d []3a a y a ax y y x -+⎰=23321[()]d 33a ay y a y a y --+⎰=4433()[]12123aa y y a a y --+ =414a . 易犯的错误时:认为积分区域如图 所示. 原式=220d ()d a x a ax x y y ++⎰⎰+3322d ()d a aaxx x y y +⎰⎰.此错误是由画图不准确造成的. 5d d Dy x y ⎰⎰,其中D 是直线2x =-,0y =,2y =及曲线22x y y =--所围成的平面图区域.解1 区域D 及1D 如图所示,有d d Dy x y ⎰⎰=1d d D D y x y +⎰⎰-1d d D y x y ⎰⎰ =02π2sin π22d d d sin x y y d θ--θρθ⋅ρρ⎰⎰⎰⎰=4-428sin d 3ππθθ⎰=4-2811cos 4(1cos 2)d 342ππ+θ⋅-θ+θ⎰ =4-2π. 解2 如图所示,{(,)|22}D x y x y =-≤≤≤≤,d d Dy x y ⎰⎰=202d y y x -⎰⎰=222d y y y -⎰⎰=4-2y ⎰令y-1=s i nt π22π24(1sin )cos d t t t --+⎰=4-π2.10.求由圆2ρ=和心形线2(1cos )ρ=+θ所围图形在圆外部分的面积.解 由2(1cos )2ρ=+θ⎧⎨ρ=⎩得交点:0π2θ=±,02ρ=.面积A =d d Dρρθ⎰⎰=π2(1+cos θ)2π22d d -θρρ⎰⎰=π22π22[cos θ+2cos ]d -θθ⎰=1π4[2]22⋅+=8π+.11.设平面薄片所占的闭区域D 是由螺线2ρ=θ上一段弧π(0)2≤θ≤与直线π2θ=所围成,它的面密度22(,)x y x y μ=+.求此薄片的质量.解 质量M =(,)d Dx y μσ⎰⎰=22()d Dxy +σ⎰⎰=π2320d d θθρρ⎰⎰=π4204d θθ⎰=5π40.第三节 三重积分的计算1.化(,,)d d d I f x y z x y z Ω=⎰⎰⎰为三次积分,其中积分区域Ω分别是:图1由双曲抛物面xy z =及平面10x y +-=,0z =所围成的闭区域. 2由曲面22z x y =+,2y x =及平面1y =,0z =所围成的闭区域.解 1由0z xy z =⎧⎨=⎩消去z ,得0xy =,即0x =或0y =.因此空间域是以0z =为下曲面,z xy =为上曲面,侧面是柱面0x =,0y =,10x y +-=.因此原式=110d d (,,)d x xy x y f x y z z -⎰⎰⎰.2积分区域Ω可表示为220z x y ≤≤+,21x y ≤≤,11x -≤≤ 所以222111(,,)d d d d d (,,)d x y xf x y z x y z x y f x y z z +-Ω=⎰⎰⎰⎰⎰⎰.2.计算cos()d d d y x z x y z Ω+⎰⎰⎰,其中Ω由y =0y =,0z =和π2x z +=所围成的闭区域.解 将积分区域Ω向xOy 平面投影得xy D :π02x ≤≤,0y ≤≤则Ω可表示成π02z x ≤≤-,(,)xy x y D ∈,故 cos()d d d y x z x y z Ω+⎰⎰⎰=π20d d cos()d xyx D x y y x z z -+⎰⎰⎰=(1sin )d d xyD y x x y -⎰⎰=π20d (1sin )d x y x y -⎰⎰=π201(1sin )d 2x x x -⎰=2π1162-.3.计算d d d z x y z Ω⎰⎰⎰,其中Ω是由锥面z =(0,0)z h R h =>>所围成的闭区域.解1 积分区域Ω如图所示,用竖 坐标为z 的平面截域Ω,得圆域22222():R z D z x y h+≤,其面积为222πR z h,采用“先二后一法”计算.d d d z x y z Ω⎰⎰⎰=0()d d h D z z z σ⎰⎰⎰=2220πd h R z z z h⋅⎰=242π4hR z h ⋅=22π4R h .解2 积分域Ω的边界曲面在柱面坐标下的方程分别为z h =及h z R=ρ. 利用柱面坐标计算.原式=2π0d d d R h h R z z ρθρρ⎰⎰⎰=2222012π[]d 2R h h Rρ-ρρ⎰=224202π[]24R h h R ρρ-⋅=22π4R h . 易犯的错误是: 1在柱面坐标下,原式=2π0d d d hRR z z ρθρρ⎰⎰⎰.关于z 的积分上、下限错误.2采用“先二后一法”.d d d z x y z Ω⎰⎰⎰=222d d d hx y R z zx y +≤⎰⎰⎰=2d h Rz z π⎰=222R h π. 关于x ,y 积分的积分域错误,积分域应为22222R z x y h +≤. 特别注意,将被积函数z用表达式z =. 4.计算d d d xz x y z Ω⎰⎰⎰,其中Ω是由平面0z =,z y =,1y =以及抛物柱面2y x =所围成的闭区域.解1 按先z 再x 后y 积分. 原式=10d d d 0yy x z z =⎰⎰⎰其中⎰为奇函数再对称区间上的积分,其值为0.解2 按先x 再y 后z 积分. 原式=110d d d 0zz z y x x =⎰⎰⎰其中d 0x =⎰.解3 按先x 再z 后y 积分.图原式=10d d d 0y y z z x =⎰⎰⎰5填空题.设Ω由球面z =与锥面z =围成,则三重积分在三种坐标系下分别可化为三次积分如下: 直角坐标系下: 柱面坐标系下: 球面坐标系下:π2π240d d sin d I f r r θϕϕ=⎰⎰⎰.6.利用柱面坐标计算下列三重积分. 122e d d d x y x y z --Ω⎰⎰⎰,其中Ω为由221x y +≤,01z ≤≤所确定.解22e d d d xy x y z --Ω⎰⎰⎰=22π11ρ0d ρd ρd ez θ-⎰⎰⎰=21ρ02πρd ρe-⎰=21ρ20πe d ρ-⎰=21ρ0πe --=1π(e 1)---=1π(1)e-.2d z v Ω⎰⎰⎰,其中Ω为由曲面z =及223x y z +=所围成的闭区域.解由223z x y z⎧⎪=⎨+=⎪⎩z ,得223x y +=,zdv Ω⎰⎰⎰=d ρd d zr z θΩ⎰⎰⎰=22π03d d ρd r z z θ⎰⎰⎰=4212π(4ρ)d ρ29r ⋅--⎰=13π4.3d d x y z Ω⎰⎰⎰, 其中Ω为由曲面y =,0z =,z a = (0)a >,0y =所围成的闭区域.解 原式=π2cos 220d ρd ρd a z z θθ⎰⎰⎰=π23204cos d 3a θθ⎰=289a .7.利用球面坐标计算下列三重积分:1d d x y z Ω,其中Ω是由球面222x y z z ++=所围成的闭区域.解 球面222x y z z ++=在球面坐标下的方程为cos r ϕ=.原式=π2πcos 320d sin d d r r ϕθϕϕ⎰⎰⎰=π420πsin cos d 2ϕϕϕ⎰=π520πcos 10ϕ-=π10. 2d d d z x y z Ω⎰⎰⎰,其中Ω是由不等式:2222()xy z a a ++-≤,22x y +2(0)z a ≤>所确定.解 曲面2222()x y z a a ++-=及222(0)x y z a +=>在球面坐标下的方程分别为2cos r a ϕ=及π4ϕ=. 原式=π2π2cos 340d sin d cos d a r r ϕθϕϕϕ⎰⎰⎰=π45402π4cos sin d a ϕϕϕ⎰=π640cos 8π6ϕ-⋅=47π6a . 8.选择适当的坐标计算下列三重积分. 12(1)d x v Ω+⎰⎰⎰,其中Ω是由曲面222x z y =+,2x =,4x =所围成的闭区域. 解 采用“先二后一法”计算.2(1)d x v Ω+⎰⎰⎰=422d (1)d d Dxx x y z +⎰⎰⎰=422(1)d d d Dxx x y z +⎰⎰⎰=4222(1)(π)d x x x +⎰=3256π15.2d d x y z Ω⎰⎰⎰,其中Ω由不等式:2221x y z ++≤,z ≥定.解1 曲面2221x y z ++=及z =在球面坐标下的方程分别为1r =及π6ϕ=.原式=π2π12600d sin d r cos r r dr θϕϕϕ⋅⋅⎰⎰⎰=π125600sin ρ2π25ϕ⋅⋅π20=. 解2 曲面2221x y z ++=及z =z =z =.原式=12π20d rdr z θ⎰⎰=120r 2π2⎰π20=.32d d d z x y z Ω⎰⎰⎰,其中Ω是2222xy z R ++≤和2222(0)x y z Rz R ++≤>的公共部分.解1 球面2222x y z R ++=及2222x y z Rz ++=在球面坐标下的方程分别为r R =及2cos r R ϕ=.由2cos r R r Rϕ=⎧⎨=⎩解得 3πϕ=.原式=π2π22230d d cos sin d Rr r r θϕϕϕ⋅⎰⎰⎰+π2π2cos 2222π03d d cos sin d R r r r ϕθϕϕϕ⋅⎰⎰⎰=ππ525732π03232cos dcos 2πcos dcos 55R R πϕϕϕϕ--⋅⎰⎰=557ππ60160R R +559π480R =. 解2 采用“先二后一法”计算. 原式=2222222222022d d d d d d RRR x y Rz z x y R z z zx y z zx y +≤-+≤-+⎰⎰⎰⎰⎰⎰=22222202π(2)d π()d R RR z Rz z z z R z z -+-⎰⎰559π480R =. 第四节 重积分的应用1.求锥面z =被柱面22z x =所割下部分的曲面面积.解由22z z x⎧⎪=⎨=⎪⎩消去z ,得D 的边界:222x y x +=.所求曲面面积DS σ=⎰⎰=d Dx yd Dσ.2.求底圆半径相等的两个直交圆柱面222x y R +=及222x z R +=所围成立体的表面积.解1 所求曲面在第一卦限内的图形如图所示.面积为2016d 16R Rx R ==⎰⎰.解2 由222222x y R x z R⎧+=⎨+=⎩消去x ,得z y =±.对于曲面x =y x =,0z x =,所求曲面的面积为图8d 8R y R Ry z R y -==⎰⎰⎰12222082()|16RR R y R =-⋅-=.3.设平面薄片所占的闭区域D 由曲线2y x =,2x y +=围成,求该均匀薄片的重心. 解 y M x M=,xM y M=. 212120000229d d d (2)d 2x x DM x y x x x ρσρρρ---===--=⎰⎰⎰⎰⎰,212120000229d d d (2)d 4x y x DM x x x y x x x x ρσρρρ---===--=-⎰⎰⎰⎰⎰,2121240002236d d [(2)]d 25x x x M x y y x x x ρρρ---==--=⎰⎰⎰, 因此,12yM x M ==-,85x M y M ==,故重心坐标为(,)x y =18(,)25-. 4.设平面薄片所占的闭区域D 由直线2x y +=,y x =和x 轴所围成,它的面密度22(,)x y x y ρ=+,求该薄片的质量.解 质量为1222220()d d ()d y yDM xy y x y x σ-=+=+⎰⎰⎰⎰12323410088842(44)d [2]33333y y y y y y y y =-+-=-+-⎰43=. 5.利用三重积分计算.1由曲面z =224x y z +=所围成的立体体段.解 采用柱面坐标计算232242002π2π(5ρ)ρπ4)383=---=.2由曲面z =,0)z A a =>>,0z =所围匀质物体的重心.解 匀质物体的重心即形心,且形心在对称轴-z 轴上,因此0x =,0y =,d d z vz vΩΩ=⎰⎰⎰⎰⎰⎰.其中332d π()3v A a Ω=-⎰⎰⎰.d z v Ω⎰⎰⎰=π2π320d cos sin d d A ar r θϕϕϕ⎰⎰⎰=π24420sin 2π24A a ϕ-⋅⋅=44π()4A a -. 于是44333()8()A a z A a -=-.重心坐标为44333()0,0,8()A a A a --. 6.求半径为R 、高为h 的均匀圆柱体绕过中心而垂直于母线的轴的转动惯量设密度1ρ=.解 建立坐标系,使圆柱体的对称轴在z 轴上,且原点在其中心.则所求转动惯量为 y I =2π22222202()d d ρd ρ(ρcos )d hRh x y v z z θθ-Ω+=+⎰⎰⎰⎰⎰⎰4322π20[cos ]d 424hR h R θθ=+⎰=342ππ412h h R R + 22()43M h R =+ 其中2πM R h =为圆柱体质量 第九章 重积分总习题1.计算d D I x y =,22222:,D x y a x y ay +≤+≥.解1 2()d ρd D D I ρθ=+⎰⎰⎰⎰下上π2π220sin πd ρd ρd ρd ρa aa θθθ=+⎰⎰⎰⎰33π3(1sin )d π33a a θθ=-+⎰π3333202222πsin d (π)3333a a a θθ=+=-⎰.解222222x y a x y ayI σσ+≤+≤=-⎰⎰⎰⎰3π3330222πsin d (π)3333a a a θθ=-=-⎰. 2.计算()d DI x y σ=+⎰⎰,其中D 由2y x =,24y x =及1y =围成. 解11100d )d d )d I y x y x y x y x =+++⎰⎰13/202d 5y y ==⎰. 解2 ()()d D D I x y σ=-+⎰⎰⎰⎰大小14212221121116[(1)]d [(14)]d 22x x x x x x x x ----=-+--+⎰⎰25=.3.计算2101d d x y I y x x y ≤≤≤=-⎰⎰解1 1222()d ()d D D I y x x y σσ=-+-⎰⎰⎰⎰ 图 221112211d ()d d ()d x xx y x y x x y y --=-+-⎰⎰⎰⎰4411224111[(1)]d []d 22x x x x x x x ---=--+-⎰⎰1115=. 亦可利用对称性简化计算.由于1D 、2D 均关于0x =即y 轴对称,又(,)f x y 关于x 为偶函数即(,)(,)f x y f x y -=,因此 221112202d ()d 2d ()d x xI x y x y x x y y =-+-⎰⎰⎰⎰.4.计算2(369)d Dy x y σ+-+⎰⎰,其中D 是闭区域222x y R +≤. 解 原式222200d ρ[ρsin 3ρcos 6ρsin ]d ρ9πRR πθθθθ=+-+⎰⎰442π2229πsin d 009ππ44R R R R θθ=+++=+⎰.亦可利用对称性简化计算.由于积分Dxd σ⎰⎰及Dyd σ⎰⎰均为零,故原积分再利用极坐标计算.5.计算22()d d d y z x y z Ω+⎰⎰⎰,其中Ω是由xOy 平面上曲线22y x =绕x 轴旋转而成的曲面与平面5x =所围成的闭区域.解 Ω在yOz 面投影域yz D 为:2210y z +≤,所以22()d d d yz x y z Ω+⎰⎰⎰=22π522d ρd ρd r x θ⋅⎰⎰⎰51150010002502π[1001000]2ππ412123-=⨯-⨯==. 6.计算d d x y z Ω,其中Ω为由2221x y z ++≤,1z ≥所确定.解 投影区域D :2224()5x y +≤,用柱面坐标得d d x y z Ω=42π50212d ρd ρd ρr z z θ-⎰⎰⎰图42250642π[1ρ(2ρ1)]d ρπ75=---=⎰. 7.计算()d d d x z x y z Ω+⎰⎰⎰,其中Ω是由曲面z =与z =所围成的区域.解d d d 0x x y z Ω=⎰⎰⎰因为被积函数是x 的奇函数,积分区域Ω关于0x =对称,所以有()d d d x z x y z Ω+⎰⎰⎰=d d d z x y z Ω⎰⎰⎰;又由于d d d z x y z Ω⎰⎰⎰的被积函数只是z 的函数,用平面z z =去截Ω所得闭区域()D z 的面积很容易求,因此可选用“先二后一”方法求解.()d d d x z x y z Ω+⎰⎰⎰=d d d z x y z Ω⎰⎰⎰=1210()()d d d d d d D z D z z zx y z zx y +⎰⎰⎰⎰⎰=1220πd π(1)d z z z z z z +-⎰=π8.8.计算22()d I x y v Ω=+⎰⎰⎰,其中Ω是由222x y z +=,2z =,8z =围成的闭区域. 解1 22()()d I x y v ΩΩ=++⎰⎰⎰⎰⎰⎰外柱22π282π48330222d ρd ρd d ρd ρd z z ρθθ=+⎰⎰⎰⎰⎰⎰2432ρ62π42πρ(8)d ρ2=⋅⋅+-⎰48π288π336π=+=.解2 22()()d I xy v ΩΩ=-+⎰⎰⎰⎰⎰⎰大小222π482π2222ρρ022d ρd ρρd d ρd ρρd z z θθ=-⎰⎰⎰⎰⎰⎰42353500112π(8ρρ)d ρ2π(2ρρ)d ρ22=---⎰⎰336π=. 解3 采用“先二后一法”计算. I=22882π223222d ()d d d d d ρx y zzx y x y z θ+≤+=⎰⎰⎰⎰⎰⎰=8222πd z z ⎰336π=.易犯的错误是:将222x y z +=代入被积表达式,得 388222π2d 4π|672π3z z z z =⋅⋅==⎰.9.计算2221d xy z v Ω++-⎰⎰⎰,其中Ω是球体2224x y z ++≤.解 被积函数含有绝对值2221x y z ++-,用曲面22210x y z ++-=将Ω分成1Ω和2Ω,其中1Ω:2221x y z ++≤ ,2Ω:22214x y z ≤++≤. 于是采用球面坐标计算1222(1)d x y z v Ω---⎰⎰⎰=2ππ1220d d (1)sin d r r r θϕϕ-⎰⎰⎰=8π15, 2222(1)d x y z v Ω++-⎰⎰⎰=2ππ22201d d (1)sin d r r r θϕϕ-⎰⎰⎰=232π15, 所以2221d x y z v Ω++-⎰⎰⎰=8π15+232π15=16π. 10.半球面z =220x y Ry +-=,22x y +0(0)Ry R +=>割出两个窗口,求在这半球面上剩下部分的面积.解d d S x y σ==.sin 4d R R Rθθ=-⎰=π2204cos d 4R R R θθ=⎰.11.在底半径为R ,高为H 的圆柱体上面,拼加一个同半径的半球体,使整个立体的重心 位于球心处,求R 和H 的关系设体密度1μ=.解 建立坐标系如图所示,由题意知,物体重心的竖坐标 d 0d z vZ vΩΩ==⎰⎰⎰⎰⎰⎰,222π(2)02R R H =-=.R =.12.设一个上、下底半径各为b 、a ,高为H 的圆锥台,轴的转动惯量b a <. 解1 建立坐标系下如图432π2πρ(ρ)d ρ4a b b H H a a b=⋅⋅+--⎰=55π()10()H a b a b --.解2 采用“先二后一法”.用竖坐标为z 的平面截闭区域Ω,得到 圆域()D z ,设其半径为()z ρ,则ρ()z b H z a b H --=-,ρ()a bz a z H-=-.原式=2π2230()d ()d d d ρd ρa bH Ha z HD z z x y z σθ--+=⎰⎰⎰⎰⎰⎰45540π1π[()]d ()210()H H aH a b z z a b H a b =--=--⎰.。
第二十一章 重积分 6重积分的应用一、曲面的面积问题:设D 为可求面积的平面有界区域,函数f(x,y)在D 上具有连续的一阶偏导数,讨论由方程z=f(x,y), (x,y)∈D 所确定的曲面S 的面积.分析:对区域D 作分割T ,把D 分成n 个小区域σi (i=1,2,…,n). 曲面S 同时也被分割成相应的n 个小曲面片S i (i=1,2,…,n). 在每个S i 上任取一点M i , 作曲面在这一点的切平面πi , 并 在πi 上取出一小块A i , 使得A i 与S i 在xy 平面上的投影都是σi . 现在M i 附近,用切平面A i 代替小曲面片S i . 则当T 充分小时,有 △S=∑=∆ni i S 1≈∑=∆ni i A 1, 这里的△S, △S i , △A i 分别表示S, S i 和A i 的面积.∴当T →0时,可用和式∑=∆ni i A 1的极限作为S 的面积.建立曲面面积计算公式:∵切平面πi 的法向量就是曲面S 在点M i (ξi ,ηi ,ζi )处的法向量, 记其与z 轴的夹角为γi , 则|cos γi |=),(),(1122i i yi i xf f ηξηξ++.∵A i 在xy 平面上投影为σi , ∴△A i =iiγσcos ∆=i i i y i i x f f σηξηξ∆++),(),(122. 又和数∑=∆ni i A 1=∑=∆++ni i i i y i i x f f 122),(),(1σηξηξ是连续函数),(),(122y x f y x f y x ++在有界闭区域D 上的积分和,∴当T →0时,有△S=∑=→∆++ni i i i y i i x T f f 1220),(),(1lim σηξηξ=⎰⎰++Dy x dxdy y x f y x f ),(),(122, 或△S=∑=→∆ni i iT 1cos limγσ=⎰⎰∧Dz n dxdy ),cos(,其中),cos(∧z n 为曲面的法向量与z 轴正向夹角的余弦.例1:求圆锥z=22y x +在圆柱体x 2+y 2≤x 内那一部分的面积. 解:由x 2+y 2≤x, 得D={(r,θ)|0≤r ≤21, 0≤θ≤2π}, 又z x =22y x x +=r r θcos =cos θ, z y =22yx y+=r r θsin =sin θ, ∴△S=⎰⎰++Dyxdxdy z z 221=⎰⎰πθ202102rdr d =π42.例2:设平面光滑曲线的方程为y=f(x), x ∈[a,b] (f(x)>0). 求证:此曲线绕x 轴旋转一周得到的旋转曲面的面积为: S=⎰'+ba dx x f x f )(1)(22π.证:由上半旋转面方程为z=22)(y x f -, 得 z x =22)()()(yx f x f x f -', z y =22)(yx f y --. 即有221yxz z ++=2222222)()()()(1yx f y y x f x f x f -+-'+=2222)())(1)((yx f x f x f -'+. ∴S=⎰⎰--'+b a x f x f dy y x f x f x f dx )()(222)()(1)(2=⎰⎰-'+b a x f dyy x f dx x f x f )(0222)(1)(1)(4=⎰⎰---'+ba x f x yf d x f y dx x f x f )(01222))(()(11)(1)(4=⎰⎰-'+b a dt tdx x f x f 102211)(1)(4=⎰'+b adx x f x f )(1)(22π.注:若空间曲面S 由参量方程:x=x(u,v),y=y(u,v),z=z(u,v),(u,v)∈D 确定, 其中x(u,v), y(u,v), z(u,v)在D 上具有连续一阶偏导数,且),(),(v u u y x ∂,),(),(v u u z y ∂,),(),(v u u x z ∂中至少有一个不等于0,则 曲面S 在点(x,y,z)的法线方向数为⎝⎛∂),(),(v u u z y ,),(),(v u u x z ∂,⎪⎪⎭⎫∂),(),(v u u y x , 则 它与z 轴的夹角的余弦的绝对值为:),cos(∧z n =222),(),(),(),(),(),(),(),(⎪⎪⎭⎫ ⎝⎛∂+⎪⎪⎭⎫ ⎝⎛∂+⎪⎪⎭⎫ ⎝⎛∂∂v u u y x v u u x z v u u z y v u u y x=2222222)())((),(),(v u v u v u vvvuuuz z y y x x z y x z y x v u u y x ++-++++∂=21),(),(FEG v u u y x -∂,其中E=222u u u z y x ++,G=222v v v z y x ++,F=v u v u v u z z y y x x ++.当),(),(v u u y x ∂≠0,则有△S=⎰⎰∧Dz n dxdy ),cos(=dudv z n v u u y x D ⎰⎰'∧∂),cos(),(),(=dudv F EG D ⎰⎰'-2.例3:求球面上两条纬线和两条经线之间 的曲面的面积(图中阴影部分). 解:设球面方程为:(R 为球的半径). x=Rcos ψcos φ,y=Rcos ψsin φ, z=Rsin ψ.由E=222ψψψz y x ++=R 2, G=222ϕϕϕz y x ++=R 2cos 2ψ, F=ϕψϕψϕψz z y y x x ++=0, 得2F EG -=R 2cos ψ. ∴△S=⎰⎰2121cos 2ψψϕϕψψϕd R d =R 2(φ2-φ1)(sin ψ2-sin ψ1).二、质心引例:设V 是密度函数为ρ(x,y,z)的空间物体,ρ(x,y,z)在V 上连续. 为求得V 的质心坐标公式,先对V 作分割T ,在属于T 的每一小块v i 上任取一点(ξi ,ηi ,ζi ),则小块v i 的质量可用ρ(ξi ,ηi ,ζi )△v i 近似代替. 若把每一小块看作质量集中在(ξi ,ηi ,ζi )的质点时,整个物体就可用这n 个质点的质点系来近似代替. 由于质点系的质心坐标公式为:∑∑==∆∆=ni iiiini iiiiin v v x 11),,(),,(ζηξρζηξρξ, ∑∑==∆∆=ni iiiini iiiiin v v y 11),,(),,(ζηξρζηξρη, ∑∑==∆∆=n i iiiini ii i i in v v z 11),,(),,(ζηξρζηξρζ.当T →0时,n x , n y , n z 的极限x , y , z 就定义为V 的质心坐标,即⎰⎰⎰⎰⎰⎰=VVdVz y x dVz y x x x ),,(),,(ρρ, ⎰⎰⎰⎰⎰⎰=VVdVz y x dVz y x y y ),,(),,(ρρ, ⎰⎰⎰⎰⎰⎰=VVdVz y x dVz y x z z ),,(),,(ρρ.当物体V 的密度均匀即ρ为常数时,则有⎰⎰⎰∆=VxdV Vx 1, ⎰⎰⎰∆=VydV Vy 1, ⎰⎰⎰∆=VzdV Vz 1, 这里△V 为V 的体积.又密度分布为ρ(x,y)的平面薄板D 的质心坐标为:⎰⎰⎰⎰=DDd y x d y x x x σρσρ),(),(, ⎰⎰⎰⎰=DDd y x d y x y y σρσρ),(),(. 当平面薄板的密度均匀时,即ρ为常数时,则有⎰⎰∆=Dxd D x σ1, ⎰⎰∆=D yd D y σ1, △D 为薄板D 的面积.例4:求密度均匀的上半椭球体的质心.解:设椭球体由不等式a x 2+by 2+c z 2≤1表示.由对称性知x =0, y =0, 又由ρ为常数,得z =⎰⎰⎰⎰⎰⎰VVdVdVz ρρ=abc abc ππ3242=83c .三、转动惯量质点A 对于轴l 的转动惯量J 是质点A 的质量m 和A 与转动轴l 的距离r 的平方的乘积,即J=mr 2.设ρ(x,y,z)为空间物体V 的密度分布函数,它在V 上连续. 对V 作分割T ,在属于T 的每一小块v i 上任取一点(ξi ,ηi ,ζi ),则v i 的质量可用ρ(ξi ,ηi ,ζi )△v i 近似代替. 当以质点系{(ξi ,ηi ,ζi ), i=1,2,…, n}近似替代V 时,质点系对于x 轴的转动惯量为:i i i i ni i i x v J n∆+=∑=),,()(122ζηξρζη.当T →0时,上述积分和的极限就是物体V 对于x 轴的转动惯量 J x =⎰⎰⎰+VdV z y x z y ),,()(22ρ. 类似地,V 对于y 轴与z 轴的转动惯量分别为:J y =⎰⎰⎰+VdV z y x x z ),,()(22ρ, J z =⎰⎰⎰+VdV z y x y x ),,()(22ρ.同理,V 对于坐标平面的转动惯量分别为:J xy =⎰⎰⎰VdV z y x z ),,(2ρ, J yz =⎰⎰⎰VdV z y x x ),,(2ρ, J xz =⎰⎰⎰VdV z y x y ),,(2ρ.平面薄板对于坐标轴的转动惯量分别为:J x =⎰⎰Dd y x y σρ),(2, J y =⎰⎰Dd y x x σρ),(2. 以及有J l =⎰⎰Dd y x y x r σρ),(),(2,其中l 为转动轴, r(x,y)为D 中点(x,y)到l 的距离函数.例5:求密度均匀的圆环D 对于垂直于圆环面中心轴的转动惯量. 解:设圆环D 为R 12≤x 2+y 2≤R 22, 密度为ρ, 则D 中任一点(x,y)与转轴的距离平方为x 2+y 2, 于是转动惯量为:J=⎰⎰+Dd y x σρ)(22=⎰⎰21320R R dr r d πθρ=2πρ(R 24-R 14)=例6:求均匀圆盘D 对于其直径的转动惯量.解:设D 为x 2+y 2≤R 2, 密度为ρ, D 内任一点(x,y)与y 轴的距离为|x|, 于是转动惯量为:(m 为圆盘质量) J=⎰⎰Dd x σρ2=⎰⎰Rdr r d 02320cos θθρπ=⎰πθθρ2024cos 4d R =44R ρπ=42mR .例7:设某球体的密度与球心的距离成正比,求它对于切平面的转动惯量.解:设球体由x 2+y 2+z 2≤R 2表示,密度为k 222z y x ++, k 为比便常数. 切平面方程为x=R, 则球体对于平面x=R 的转动惯量为: J=k ⎰⎰⎰-++VdV x R z y x 2222)(=k ⎰⎰⎰-ππϕθϕϕθ003220sin )cos sin (Rdr r r R d d=kR 6⎰⎰⎪⎭⎫ ⎝⎛+-ππϕθϕθϕθ023220cos sin 61cos sin 5241d d =⎰πθθ2026cos 911d kR =911k πR 6.四、引力求密度为ρ(x,y,z)的立体对立体外质量为1的质点A 的引力.设A 的坐标为(ξi ,ηi ,ζi ),V 中点的坐标用(x,y,z)表示. V 中质量微元dm=ρdV 对A 的引力在坐标轴上的投影为 dF xyz其中K 为引力系数, r=222)()()(ζηξ-+-+-z y x 是A 到dV 的距离,于是 力F 在三个坐标轴上的投影分别为: F x =K ⎰⎰⎰-VdV r x ρξ3, F y =K ⎰⎰⎰-V dV r y ρη3, F z =K ⎰⎰⎰-VdV r z ρζ3, 所以F=F x i+F y j+F z k.例8:设球体V 具有均匀的密度ρ, 求V 对球外一点A(质量为1)的引力(引力系数为k).解:设球体为x 2+y 2+z 2≤R 2,球外一点坐标为(0,0,a) (R<a). 则F x =F y =0,F z =k ⎰⎰⎰-++-V dV a z y x a z ρ2/3222])([=k ρ⎰⎰⎰-++--zD R R a z y x dxdydz a z 2/3222])([)(, 其中D z ={(x,y)|x2+y2≤R 2-z 2}. 运用极坐标计算得: F z =k ρdr a z r rd dz a z z R RR ⎰⎰⎰---+-2202/32220])([)(πθ =2πk ρ⎰-+----R R dz aaz R a z )21(22=2πk ρ⎪⎪⎭⎫⎝⎛+--++-+-⎰-R R dz a az R R a a az R a R 22222222212= 2πk ρ⎥⎦⎤⎢⎣⎡-+----+---⎰⎰--RRRRaz d a az R a R a az d a az R a R )2(214)2(241222222222=2πk ρ⎥⎦⎤⎢⎣⎡+---+-----RRRRa az R a R a a az R a R 22222322222)2(612 =2πk ρ⎥⎦⎤⎢⎣⎡-++----222233)(6)()(2a R a R a a R R a R=2πk ρ⎪⎪⎭⎫⎝⎛-+++-232332a R R a R R R =2334a R k ρπ-. (注:z ≤R<a)习题1、求曲面az=xy 包含在圆柱x 2+y 2=a 2内那部分的面积.解:∵z x =a y, z y =ax , D={(r,θ)|0≤r ≤a, 0≤θ≤2π}, ∴曲面面积为: S=⎰⎰⎪⎭⎫⎝⎛+⎪⎭⎫ ⎝⎛+Ddxdy a x a y 221=⎰⎰+a dr a r r d 022201πθ=)122(322-a π.2、求锥面z=22y x +被柱面z 2=2x 所截部分的曲面面积. 解:且面在xy 平面的投影区域为:D={(r,θ)|0≤r ≤1, 0≤θ≤2π}, 且z x =22yx x +, z y =22yx y +, ∴曲面面积为:S=⎰⎰⎪⎪⎭⎫ ⎝⎛++⎪⎪⎭⎫ ⎝⎛++Ddxdy y x y y x x 2222221=⎰⎰10202rdr d πθ=π2.3、求下列均匀密度的平面薄板质心:(1)半椭圆2222by a x +≤1, y ≥0;(2)高为h, 底分别为a 和b 的等腰梯形.解:(1)设质心位置为(x ,y ), 由对称性得x =0.y =⎰⎰⎰⎰DDd yd σρσρ=⎰⎰⎰⎰DDd yd σσ=⎰⎰Dyd ab σπ2=dr r ab d ab ⎰⎰πθθπ122sin 2=π34b . (2)不妨设a 为下底,以下底中点为原点建立直角坐标系,则 D={(x,y)|l 1(y)≤x ≤l 2(y),0≤y ≤h}.设质心位置为(x ,y ), 由对称性得x =0.又等腰三角形的面积为2)(hb a +, ∴y =⎰⎰+D yd h b a σ)(2=⎰⎰+h y l y l dx ydy h b a 0)()(21)(2=⎰⎥⎦⎤⎢⎣⎡+---+--+h ydy a h y h a b a h y h b a h b a 02)(22)(2)(2=⎰⎥⎦⎤⎢⎣⎡+--+h ydy a h y h b a h b a 0)()(2=⎰⎪⎭⎫ ⎝⎛+-+h dy by y h b a h b a 02)(2=h b a a b )(32++. 其中:l 1(y): x=2)(2a h y h a b ---; l 2(y): x=2)(2ah y h b a +--.4、求下列均匀密度物体的质心.(1)z ≤1-x 2-y 2, z ≥0;(2)由坐标面及平面x+2y-z=1所围的四面体. 解:(1)设质心为(x ,y ,z ), 由对称性x =y =0, 应用柱面坐标变换有,z =⎰⎰⎰⎰⎰⎰VVdV dV z ρρ=⎰⎰⎰⎰⎰⎰--221020110201r r dz r d r d zdz r d r d ππθθ=dr r r dr r r )1()1(212102210--⎰⎰=31. (2)设质心为(x ,y ,z ),∵V=⎰⎰⎰VdV =121, ∴x =⎰⎰⎰--+21001211x y x dz dy xdx V =⎰⎰---2101)21(12x dy y x xdx =⎰-1024)1(12dx x x =41. y =⎰⎰⎰--+yy x dz dx ydy V 210122101=⎰⎰---ydx x y ydy 210210)21(12=⎰-21022)21(12dy y y =81. z =⎰⎰⎰--+yy x zdz dx dy V21012211=⎰⎰--+-ydx y x dy 2102210)12(6=⎰--21033)21(6dy y =41-.5、求下列均匀密度的平面薄板的转动惯量: (1)半径为R 的圆关于其切线的转动惯量;(2)边长为a 和b, 且夹角为φ的平行四边形,关于底边b 的转动惯量.解:(1)设切线为x=R, 密度为ρ.则对任一点P(x,y)∈D, P 到x=R 的距离为R-x ,从而转动惯量 J=ρ⎰⎰-Dd x R σ2)(=ρ⎰⎰+-Rdr r Rr R r d 022220)cos cos 2(θθθπ=ρ⎰+-πθθθ2024)cos 41cos 3221(d R= R 4. (2)设密度为ρ. 以底边为x 轴,左端点为原点,则转动惯量 J=⎰⎰Dd y σ2=ρ⎰⎰+by y a dx dy y ϕϕϕcot cot sin 02=3sin 33ϕρb a .6、计算下列引力:(1)均匀薄片x 2+y 2≤R 2, z=0对于轴上一点(0,0,c) (c>0)处的单位质量的引力;(2)均匀柱体x 2+y 2≤a 2, 0≤z ≤h 对于点P(0,0,c) (c>h)处的单位质量的引力;(3)均匀密度的正圆锥体(高h, 底半径R)对于在它的顶点处质量为m 的质点的引力.解:(1)根据对称性知引力方向在z 轴上,∴F z =0, F y =0.F z =k ρ⎰⎰++Ddxdy c y x c 2/3222)(=kc ρ⎰⎰+R dr c r r d 02/32220)(πθ=2k .∴F={0,0,2k }.(2)根据对称性知引力方向在z 轴上,∴F z =0, F y =0. F z =k ρ⎰⎰⎰-++-VdV c z y x c z 2/3222])([=k ρ⎰⎰⎰-+-a h dr c z r rd dz c z 02/322200])([)(πθ=-2k πρdz c z a c z h⎰⎥⎥⎦⎤⎢⎢⎣⎡-+-+022)(1=2k πρ[]h c h a c a --+-+2222)(. ∴F={0,0,2k πρ[]h c h a c a --+-+2222)(}.(3)以圆锥体的顶点为原点, 对称轴为z 轴建立xyz 三维直角坐标系. 根据对称性知引力方向在z 轴上,∴F z =0, F y =0.F z =k ρm ⎰⎰⎰++V dV z y x z 2/3222)(=k ρm ⎰⎰⎰+R hrR dz z r zrdr d 02/322020)(πθ=2k πR ρm ⎪⎪⎭⎫⎝⎛++-22221R h R h R . ∴F={0,0, 2k πR ρm ⎪⎪⎭⎫ ⎝⎛++-22221R h R h R }.7、求曲面⎪⎩⎪⎨⎧=+=+=ψϕψϕψsin sin )cos (cos )cos (a z a b y a b x (0≤φ≤2π, 0≤ψ≤2π) 的面积,其中常数a,b 满足0≤a ≤b.解:∵x φ=-(b+acos ψ)sin φ, y φ=(b+acos ψ)cos φ, z φ=0; x ψ=-asin ψcos φ, y ψ=-asin ψsin φ, z ψ=acos ψ.∴E=222ϕϕϕz y x ++=(b+acos ψ)2, G=222ψψψz y x ++=a 2, F=ψϕψϕψϕz z y y x x ++=0. ∴S=σd F EG D ⎰⎰'-2=σψd a b a D ⎰⎰'+)cos (=⎰⎰+ππψψϕ2020)cos (d a b d a =4ab π2.8、求螺旋面⎪⎩⎪⎨⎧===ϕϕϕb z r y r x sin cos (0≤r ≤a, 0≤φ≤2π) 的面积.解:∵x r =cos φ, y r =sin φ, z r =0; x φ=-rsin φ, y φ=rcos φ, z φ=b.∴E=222r r r z y x ++=1, G=222ϕϕϕz y x ++=r 2+b 2, F=ϕϕϕz z y y x x r r r ++=0.∴S=σd F EG D ⎰⎰'-2=σd b r D ⎰⎰'+22=⎰⎰+πϕ20022d dr b r a=π⎪⎪⎭⎫⎝⎛++++b b a a b b a a 22222ln .9、求边长为a 密度均匀的正方体关于其任一棱边的转动变量. 解:以正方体的一个顶点为原点,顶点上方的棱为z 轴,使 正方体处于第一卦限中,则正方体对z 轴上的棱的转动变量为: J z =ρ⎰⎰⎰+V dV y x )(22=ρ⎰⎰⎰+aaadz y x dy dx 00220)(=a ρ⎰⎰+aady y x dx 0220)(=a ρ⎰+adx a ax 032)31(=32a 5ρ. (ρ为正方体密度)。
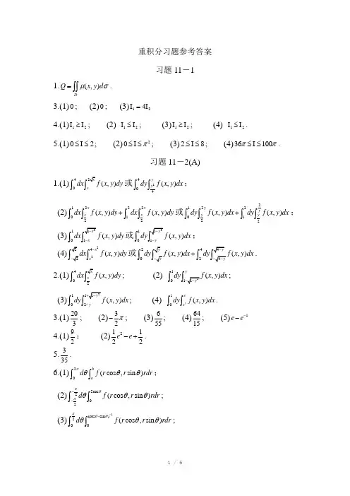
重积分习题参考答案习题11-11.(,)DQ x y d μσ=⎰⎰.3.(1)0; (2)0; (3)124I =I4.(1)12I ≥I ; (2) 12I ≤I ; (3)12I ≥I ; (4) 12I ≤I .5.(1)02≤I ≤; (2)20π≤I ≤; (3)28≤I ≤; (4)36100ππ≤I ≤.习题11-2(A)1.(1)40(,)xdx f x y dy ⎰⎰或2404(,)yy dy f x y dx ⎰⎰;(2)12220122(,)(,)x xx x dx f x y dy dx f x y dy +⎰⎰⎰⎰或21220122(,)(,)y y y y dy f x y dx dy f x y dx +⎰⎰⎰⎰;(3)101(,)xdx f x y dy -⎰或11(,)ydy f x y dx -⎰;(4)224(,)x xf x y dy -⎰或2402(,)(,)dy f x y dx dy f x y dx +⎰⎰.2.(1)402(,)x dx f x y dy ⎰⎰; (2) 101(,)ydy f x y dx ⎰⎰;(3)1102(,)y dy f x y dx -⎰⎰; (4)1(,)y eedy f x y dx ⎰⎰.3.(1)203; (2)32π-; (3)655; (4)6415; (5)1e e -- 4.(1)92; (2)21122e e -+.5.335. 6.(1)20(cos ,sin )ba d f r r rdr πθθθ⎰⎰; (2)2cos 202(cos ,sin )d f r r rdr πθπθθθ--⎰⎰; (3)1(cos sin )20(cos ,sin )d f r r rdr πθθθθθ-+⎰⎰;(4)3sec tan cot 444(cos ,sin )(cos ,sin )d f r r rdr d f r r rdr ππθθθπθθθθθθ+++⎰⎰⎰⎰sec tan 304(cos ,sin )d f r r rdr πθθπθθθ+⎰⎰;7.(1)sec csc 440002(cos ,sin )(cos ,sin )d f r r rdr d f r r rdr ππθθπθθθθθθ+⎰⎰⎰⎰;(2)23cos 04()d f r rdr πθπθ⎰⎰;(3)1210cos sin (cos ,sin )d f r r rdr πθθθθθ+⎰⎰;(4)sec 40sec tan (cos ,sin )d f r r rdr πθθθθθθ⎰⎰. 8.(1)434a π; 1. 9.(1)2364π; (2)(2ln 21)4π-; (3)34()33R π-; (4)a .10.4332a π. 习题11-2(B)1.(1)120(,)yy dy f x y dx -⎰⎰; (2) 110(,)dy f x y dx ⎰;(3)10121101(,)(,)(,)xf x y dy dx f x y dy dx f x y dy --++⎰⎰⎰⎰⎰;(4)02420(,)(,)y dy f x y dx dy f x y dx +-+⎰⎰⎰.2.(1)0; (2)430; (3)8)3(4)1sin1-. 3.(1)2sec 41arctan4(cos ,sin )d f r r rdr πθθθθ⎰;(2)4cos 202cos (cos ,sin )d f r r rdr πθθθθθ⎰⎰;4.(1)38π; (2)52π.5.(1)2π; (2)49 (3)22π-; (4)414a ; (5)2π.6.(1) 232a π; (2)22a ; (3)23π7.(1)43π; (2)7ln 23; (3)12e -; (4)2ab π. 8.6π.习题11-3(A)1.(1)22111(,,)x y dx f x y z dz -+⎰⎰;(2)2221212(,,)x x y dx f x y z dz --+⎰⎰;(3)2211(,,)x y dx f x y z dz -+⎰;(4)1111(,,)dx f x y z dz -⎰⎰.2.32;3.15(ln 2)28-; 4.21162π-; 5.(1)1(1)e π--; (2)712π; (3)163π; (4)289a . 6.(1)45π; (2)476a π; (3)552()15R a π-; (4)1330π.7.(1)18; (2)8π; (3)10π; (4)ln 3ln 2)3π-. 8.4k R π习题11-3(B)1.(1)(,,)aa dx f x y z dz -⎰;200(cos ,sin ,)ad rdr f r r z dz πθθθ⎰⎰;2220sin (cos sin ,sin sin ,cos )ad d f d ππθϕϕρθϕρθϕρϕρρ⎰⎰⎰;(2)11(,,)dx f x y z dz -⎰;21(cos ,sin ,)rd rdr f r r z dz πθθθ⎰⎰;22400sin (cos sin ,sin sin ,cos )d d f d ππθϕϕρθϕρθϕρϕρρ⎰⎰.(3)2211(,,)x y dx f x y z dz +-⎰⎰;2200(cos ,sin ,)rr d rdr f r r z dz πθθθ⎰⎰⎰;2csc 220csc cot 4sin (cos sin ,sin sin ,cos )d d f d ππϕπϕϕθϕϕρθϕρθϕρϕρρ⎰⎰⎰;2. 222241()3x y x y f dz --+⎰;2224103r r d f dz πθ-⎰⎰,6π3.20200Rd rdr dr πθI =⎰⎰⎰; 23402sin Rd d d πππθϕϕρρI =⎰⎰⎰, 5415R π. 4.(1)835; (2)2845; (3)0; (4)559480R π. 5.336π; 6.π; 7.45π.习题11-4(A)2.1)6π.3.22(2)R π-.4.320. 5.(1)0033(,)58x y ; (2)4(0,)3bπ; (3)22(,0)2()a ab b a b +++. 6.(1)34y a b πI =; 220()4ab a b πI =+(2)725x I =, 967y I =;(3) )33x ab I =, 33y a bI =;7.(1)3(0,0)4; (2)44333()(0,0,)8()A B A B --; (3)2227(,,)5530a a a .8.(1)483a ; (2)27(0,0,)60a ; (3) 611245a . 9.649k R π.习题11-4(B). 2.216R . 3.3535(,)4854.. 5.44()32b a πρ-.6.43512a π. 7.368105ρ. 8.(0,0,54a ).9.222(3)12a h a h π+. 10.2432;327r R R π=.11.2x F G μ=;0y F =; z F Ga πμ=.12.0x y F F ==; 2)z F G h πρ=-.总复习题十一一、1.B 2.C 3.C 4.A 5.B 6.A二、1.(1)()x f x -; 2.(1,1)y y --; 3.54π;4.41(1)2e --; 5.42211()4R a b π+. 三、1.2409π-; 2.314()33R π-; 3.0; 4.2503π;5.200(,)(,)f x y dx f x y dx +-22(,)(,)f x y dx f x y dx -.6.42π-.7.212A .8.8π. 9.5144. 10.以球心O 及0P 的连线作为x 轴正方向建立直角坐标系(,0,0)4R -友情提示:范文可能无法思考和涵盖全面,供参考!最好找专业人士起草或审核后使用,感谢您的下载!。
第十一章 重积分§1 二重积分的概念1.把重积分⎰⎰D xydxdy 作为积分和的极限,计算这个积分值,其中D=[][]1,01,0⨯,并用直线网x=n i ,y=nj (i,j=1,2,…,n-1)分割这个正方形为许多小正方形,每一小正方形取其右上顶点为其界点.2.证明:若函数f 在矩形式域上D 可积,则f 在D 上有界.3.证明定理:若f 在矩形区域D 上连续,则f 在D 上可积.4.设D 为矩形区域,试证明二重积分性质2、4和7.性质2 若f 、g 都在D 上可积,则f+g 在D 上也可积,且()⎰+D g f =⎰⎰+D D g f . 性质4 若f 、g 在D 上可积,且g f ≤,则 ⎰⎰≤D Dg f , 性质7(中值定理) 若f 为闭域D 上连续函数,则存在()D ,∈ηξ,使得()D ,f f D∆ηξ=⎰. 5.设D 0、D 1和D 2均为矩形区域,且210D D D =,∅=11D int D int , 试证二重积分性质3.性质3(区域可加性) 若210D D D =且11D int D int ∅=,则f 在D 0上可积的充要条件是f 在D 1、D 2上都可积,且⎰0D f =⎰⎰+21D D f f , 6.设f 在可求面积的区域D 上连续,证明:(1)若在D 上()0y ,x f ≥,()0y ,x f ≠则0f D>⎰; (2)若在D 内任一子区域D D ⊂'上都有⎰'=D 0f ,则在D 上()0y ,x f ≡。
.7.证明:若f 在可求面积的有界闭域D 上连续,,g 在D 上可积且不变号,则存在一点()D ,∈ηξ,使得()()⎰⎰D dxdy y ,x g y ,x f =()ηξ,f ()⎰⎰Ddxdy y ,x g .8.应用中值定理估计积分⎰⎰≤-++10y x 22ycos x cos 100dxdy 的值§2 二重积分的计算1.计算下列二重积分:(1)()⎰⎰-Ddxdy x 2y ,其中D=[][]2,15,3⨯;(2)⎰⎰D2dxdy xy ,其中(ⅰ)D=[][]3,02,0⨯,(ⅱ)D=[]3,0 []2,0⨯; (3)()⎰⎰+Ddxdy y x cos ,其中D=[]π⨯⎥⎦⎤⎢⎣⎡π,02,0; (4)⎰⎰+D dx dy x y 1x ,其中D=[][]1,01,0⨯. 2. 设f(x,y)=()()y f x f 21⋅为定义在D=[]⨯11b ,a []22b ,a 上的函数,若1f 在[]11b ,a 上可积,2f 在[]22b ,a 上可积,则f 在D 上可积,且⎰D f =⎰⎰⋅1122b a b a 21f f . 3.设f 在区域D 上连续,试将二重积分()⎰⎰Ddxdy y ,x f 化为不同顺序的累次积分:(1)D 由不等式x y ≤,a y ≤,b x ≤()b a 0≤≤所确的区域:(2)D 由不等式222a y x ≤+与a y x ≤+(a>0)所确定的区域;(3)D=(){}1,≤+y x y x .4.在下列积分中改变累次积分的顺序:(1) ()⎰⎰20x 2x dy y ,x f dx ; (2) ()⎰⎰----11x 1x 122dy y ,x f dx ; (3)()⎰⎰10x 02dy y ,x f dy +()()⎰⎰-31x 3210dy y ,x f dx .5.计算下列二重积分:(1)⎰⎰D2dxdy xy ,其中D 由抛物线y=2px 与直线x=2p (p>0)所围的区域; (2)()⎰⎰+D 22dxdy y x,其中D=(){1x 0y ,x ≤≤, y x ≤ }x 2≤; (3)⎰⎰-D x a 2dx dy (a>0),其中D 为图(20—7)中的阴影部分; (4)⎰⎰Ddxdy x ,其中D=(){}x y x y ,x 22≤+; (5)⎰⎰D dxdy xy ,其中为圆域222a y x ≤+.6.写出积分()⎰⎰ddxdy y ,x f 在极坐标变换后不同顺序的累次积分:(1)D 由不等式1y x 22≤+,x y ≤,0y ≥所确定的区域;(2)D 由不等式2222b y x a ≤+≤所确定的区域;(3)D=(){}0x ,y y x y ,x 22≥≤+.7.用极坐标计算二重积分: (1) ⎰⎰+D22dxdy y x sin ,其中D=(){222y x y ,x +≤π }24π≤; (2)()⎰⎰+Ddxdy y x ,其中D=(){}y x y x y ,x 22+≤+; (3)()⎰⎰+'D22dxdy y x f ,其中D 为圆域222R y x ≤+.8.在下列符号分中引入新变量后,试将它化为累次积分:(1) ()⎰⎰--20x 2x 1dy y ,x f dx ,其中u=x+y,v=x-y;(2) ()dxdy y ,x f D⎰⎰,其中D=(){a y x y ,x ≤+,0x ≥, }0y ≥,若x=v cos U 4, v sin U y 4=.(3)()⎰⎰dxdy y ,x f ,其中D=(){a y x y ,x ≤+,0x ≥, }0y ≥,若x+y=u,y=uv.9.求由下列曲面所围立体V 的体积:(1) v 由坐标平面及x=2,y=3,x+y+Z=4所围的角柱体;(2) v 由z=22y x +和z=x+y 围的立体; (3) v 由曲面9y 4x Z 222+=和2Z=9y 4x 22+所围的立体.11.试作适当变换,计算下列积分:(1)()()⎰⎰-+Ddxdy y x sin y x ,D=(){π≤+≤y x 0y .x }π≤-≤y x 0;(2)⎰⎰+D y x y dxdy e,D=(){1y x y ,x ≤+,0x ≥,}0y ≥.12.设f:[a,b]→R 为连续函数,应用二重积分性质证明:()≤⎥⎦⎤⎢⎣⎡⎰2b a dx x f ()()⎰-b a 2dx x f a b , 其中等号仅在f 为常量函数时成立。
第二十一章 重积分 6重积分的应用一、曲面的面积问题:设D 为可求面积的平面有界区域,函数f(x,y)在D 上具有连续的一阶偏导数,讨论由方程z=f(x,y), (x,y)∈D 所确定的曲面S 的面积.分析:对区域D 作分割T ,把D 分成n 个小区域σi (i=1,2,…,n). 曲面S 同时也被分割成相应的n 个小曲面片S i (i=1,2,…,n). 在每个S i 上任取一点M i , 作曲面在这一点的切平面πi , 并 在πi 上取出一小块A i , 使得A i 与S i 在xy 平面上的投影都是σi . 现在M i 附近,用切平面A i 代替小曲面片S i . 则当T 充分小时,有 △S=∑=∆ni i S 1≈∑=∆ni i A 1, 这里的△S, △S i , △A i 分别表示S, S i 和A i 的面积.∴当T →0时,可用和式∑=∆ni i A 1的极限作为S 的面积.建立曲面面积计算公式:∵切平面πi 的法向量就是曲面S 在点M i (ξi ,ηi ,ζi )处的法向量, 记其与z 轴的夹角为γi , 则|cos γi |=),(),(1122i i yi i xf f ηξηξ++.∵A i 在xy 平面上投影为σi , ∴△A i =iiγσcos ∆=i i i y i i x f f σηξηξ∆++),(),(122. 又和数∑=∆ni i A 1=∑=∆++ni i i i y i i x f f 122),(),(1σηξηξ是连续函数),(),(122y x f y x f y x ++在有界闭区域D 上的积分和,∴当T →0时,有△S=∑=→∆++ni i i i y i i x T f f 1220),(),(1lim σηξηξ=⎰⎰++Dy x dxdy y x f y x f ),(),(122, 或△S=∑=→∆ni i iT 1cos limγσ=⎰⎰∧Dz n dxdy ),cos(,其中),cos(∧z n 为曲面的法向量与z 轴正向夹角的余弦.例1:求圆锥z=22y x +在圆柱体x 2+y 2≤x 内那一部分的面积. 解:由x 2+y 2≤x, 得D={(r,θ)|0≤r ≤21, 0≤θ≤2π}, 又z x =22y x x +=r r θcos =cos θ, z y =22yx y+=r r θsin =sin θ, ∴△S=⎰⎰++Dyxdxdy z z 221=⎰⎰πθ202102rdr d =π42.例2:设平面光滑曲线的方程为y=f(x), x ∈[a,b] (f(x)>0). 求证:此曲线绕x 轴旋转一周得到的旋转曲面的面积为: S=⎰'+ba dx x f x f )(1)(22π.证:由上半旋转面方程为z=22)(y x f -, 得 z x =22)()()(yx f x f x f -', z y =22)(yx f y --. 即有221yxz z ++=2222222)()()()(1yx f y y x f x f x f -+-'+=2222)())(1)((yx f x f x f -'+. ∴S=⎰⎰--'+b a x f x f dy y x f x f x f dx )()(222)()(1)(2=⎰⎰-'+b a x f dyy x f dx x f x f )(0222)(1)(1)(4=⎰⎰---'+ba x f x yf d x f y dx x f x f )(01222))(()(11)(1)(4=⎰⎰-'+b a dt tdx x f x f 102211)(1)(4=⎰'+b adx x f x f )(1)(22π.注:若空间曲面S 由参量方程:x=x(u,v),y=y(u,v),z=z(u,v),(u,v)∈D 确定, 其中x(u,v), y(u,v), z(u,v)在D 上具有连续一阶偏导数,且),(),(v u u y x ∂,),(),(v u u z y ∂,),(),(v u u x z ∂中至少有一个不等于0,则 曲面S 在点(x,y,z)的法线方向数为⎝⎛∂),(),(v u u z y ,),(),(v u u x z ∂,⎪⎪⎭⎫∂),(),(v u u y x , 则 它与z 轴的夹角的余弦的绝对值为:),cos(∧z n =222),(),(),(),(),(),(),(),(⎪⎪⎭⎫ ⎝⎛∂+⎪⎪⎭⎫ ⎝⎛∂+⎪⎪⎭⎫ ⎝⎛∂∂v u u y x v u u x z v u u z y v u u y x=2222222)())((),(),(v u v u v u vvvuuuz z y y x x z y x z y x v u u y x ++-++++∂=21),(),(FEG v u u y x -∂,其中E=222u u u z y x ++,G=222v v v z y x ++,F=v u v u v u z z y y x x ++.当),(),(v u u y x ∂≠0,则有△S=⎰⎰∧Dz n dxdy ),cos(=dudv z n v u u y x D ⎰⎰'∧∂),cos(),(),(=dudv F EG D ⎰⎰'-2.例3:求球面上两条纬线和两条经线之间 的曲面的面积(图中阴影部分). 解:设球面方程为:(R 为球的半径). x=Rcos ψcos φ,y=Rcos ψsin φ, z=Rsin ψ.由E=222ψψψz y x ++=R 2, G=222ϕϕϕz y x ++=R 2cos 2ψ, F=ϕψϕψϕψz z y y x x ++=0, 得2F EG -=R 2cos ψ. ∴△S=⎰⎰2121cos 2ψψϕϕψψϕd R d =R 2(φ2-φ1)(sin ψ2-sin ψ1).二、质心引例:设V 是密度函数为ρ(x,y,z)的空间物体,ρ(x,y,z)在V 上连续. 为求得V 的质心坐标公式,先对V 作分割T ,在属于T 的每一小块v i 上任取一点(ξi ,ηi ,ζi ),则小块v i 的质量可用ρ(ξi ,ηi ,ζi )△v i 近似代替. 若把每一小块看作质量集中在(ξi ,ηi ,ζi )的质点时,整个物体就可用这n 个质点的质点系来近似代替. 由于质点系的质心坐标公式为:∑∑==∆∆=ni iiiini iiiiin v v x 11),,(),,(ζηξρζηξρξ, ∑∑==∆∆=ni iiiini iiiiin v v y 11),,(),,(ζηξρζηξρη, ∑∑==∆∆=n i iiiini ii i i in v v z 11),,(),,(ζηξρζηξρζ.当T →0时,n x , n y , n z 的极限x , y , z 就定义为V 的质心坐标,即⎰⎰⎰⎰⎰⎰=VVdVz y x dVz y x x x ),,(),,(ρρ, ⎰⎰⎰⎰⎰⎰=VVdVz y x dVz y x y y ),,(),,(ρρ, ⎰⎰⎰⎰⎰⎰=VVdVz y x dVz y x z z ),,(),,(ρρ.当物体V 的密度均匀即ρ为常数时,则有⎰⎰⎰∆=VxdV Vx 1, ⎰⎰⎰∆=VydV Vy 1, ⎰⎰⎰∆=VzdV Vz 1, 这里△V 为V 的体积.又密度分布为ρ(x,y)的平面薄板D 的质心坐标为:⎰⎰⎰⎰=DDd y x d y x x x σρσρ),(),(, ⎰⎰⎰⎰=DDd y x d y x y y σρσρ),(),(. 当平面薄板的密度均匀时,即ρ为常数时,则有⎰⎰∆=Dxd D x σ1, ⎰⎰∆=D yd D y σ1, △D 为薄板D 的面积.例4:求密度均匀的上半椭球体的质心.解:设椭球体由不等式a x 2+by 2+c z 2≤1表示.由对称性知x =0, y =0, 又由ρ为常数,得z =⎰⎰⎰⎰⎰⎰VVdVdVz ρρ=abc abc ππ3242=83c .三、转动惯量质点A 对于轴l 的转动惯量J 是质点A 的质量m 和A 与转动轴l 的距离r 的平方的乘积,即J=mr 2.设ρ(x,y,z)为空间物体V 的密度分布函数,它在V 上连续. 对V 作分割T ,在属于T 的每一小块v i 上任取一点(ξi ,ηi ,ζi ),则v i 的质量可用ρ(ξi ,ηi ,ζi )△v i 近似代替. 当以质点系{(ξi ,ηi ,ζi ), i=1,2,…, n}近似替代V 时,质点系对于x 轴的转动惯量为:i i i i ni i i x v J n∆+=∑=),,()(122ζηξρζη.当T →0时,上述积分和的极限就是物体V 对于x 轴的转动惯量 J x =⎰⎰⎰+VdV z y x z y ),,()(22ρ. 类似地,V 对于y 轴与z 轴的转动惯量分别为:J y =⎰⎰⎰+VdV z y x x z ),,()(22ρ, J z =⎰⎰⎰+VdV z y x y x ),,()(22ρ.同理,V 对于坐标平面的转动惯量分别为:J xy =⎰⎰⎰VdV z y x z ),,(2ρ, J yz =⎰⎰⎰VdV z y x x ),,(2ρ, J xz =⎰⎰⎰VdV z y x y ),,(2ρ.平面薄板对于坐标轴的转动惯量分别为:J x =⎰⎰Dd y x y σρ),(2, J y =⎰⎰Dd y x x σρ),(2. 以及有J l =⎰⎰Dd y x y x r σρ),(),(2,其中l 为转动轴, r(x,y)为D 中点(x,y)到l 的距离函数.例5:求密度均匀的圆环D 对于垂直于圆环面中心轴的转动惯量. 解:设圆环D 为R 12≤x 2+y 2≤R 22, 密度为ρ, 则D 中任一点(x,y)与转轴的距离平方为x 2+y 2, 于是转动惯量为:J=⎰⎰+Dd y x σρ)(22=⎰⎰21320R R dr r d πθρ=2πρ(R 24-R 14)=例6:求均匀圆盘D 对于其直径的转动惯量.解:设D 为x 2+y 2≤R 2, 密度为ρ, D 内任一点(x,y)与y 轴的距离为|x|, 于是转动惯量为:(m 为圆盘质量) J=⎰⎰Dd x σρ2=⎰⎰Rdr r d 02320cos θθρπ=⎰πθθρ2024cos 4d R =44R ρπ=42mR .例7:设某球体的密度与球心的距离成正比,求它对于切平面的转动惯量.解:设球体由x 2+y 2+z 2≤R 2表示,密度为k 222z y x ++, k 为比便常数. 切平面方程为x=R, 则球体对于平面x=R 的转动惯量为: J=k ⎰⎰⎰-++VdV x R z y x 2222)(=k ⎰⎰⎰-ππϕθϕϕθ003220sin )cos sin (Rdr r r R d d=kR 6⎰⎰⎪⎭⎫ ⎝⎛+-ππϕθϕθϕθ023220cos sin 61cos sin 5241d d =⎰πθθ2026cos 911d kR =911k πR 6.四、引力求密度为ρ(x,y,z)的立体对立体外质量为1的质点A 的引力.设A 的坐标为(ξi ,ηi ,ζi ),V 中点的坐标用(x,y,z)表示. V 中质量微元dm=ρdV 对A 的引力在坐标轴上的投影为 dF xyz其中K 为引力系数, r=222)()()(ζηξ-+-+-z y x 是A 到dV 的距离,于是 力F 在三个坐标轴上的投影分别为: F x =K ⎰⎰⎰-VdV r x ρξ3, F y =K ⎰⎰⎰-V dV r y ρη3, F z =K ⎰⎰⎰-VdV r z ρζ3, 所以F=F x i+F y j+F z k.例8:设球体V 具有均匀的密度ρ, 求V 对球外一点A(质量为1)的引力(引力系数为k).解:设球体为x 2+y 2+z 2≤R 2,球外一点坐标为(0,0,a) (R<a). 则F x =F y =0,F z =k ⎰⎰⎰-++-V dV a z y x a z ρ2/3222])([=k ρ⎰⎰⎰-++--zD R R a z y x dxdydz a z 2/3222])([)(, 其中D z ={(x,y)|x2+y2≤R 2-z 2}. 运用极坐标计算得: F z =k ρdr a z r rd dz a z z R RR ⎰⎰⎰---+-2202/32220])([)(πθ =2πk ρ⎰-+----R R dz aaz R a z )21(22=2πk ρ⎪⎪⎭⎫⎝⎛+--++-+-⎰-R R dz a az R R a a az R a R 22222222212= 2πk ρ⎥⎦⎤⎢⎣⎡-+----+---⎰⎰--RRRRaz d a az R a R a az d a az R a R )2(214)2(241222222222=2πk ρ⎥⎦⎤⎢⎣⎡+---+-----RRRRa az R a R a a az R a R 22222322222)2(612 =2πk ρ⎥⎦⎤⎢⎣⎡-++----222233)(6)()(2a R a R a a R R a R=2πk ρ⎪⎪⎭⎫⎝⎛-+++-232332a R R a R R R =2334a R k ρπ-. (注:z ≤R<a)习题1、求曲面az=xy 包含在圆柱x 2+y 2=a 2内那部分的面积.解:∵z x =a y, z y =ax , D={(r,θ)|0≤r ≤a, 0≤θ≤2π}, ∴曲面面积为: S=⎰⎰⎪⎭⎫⎝⎛+⎪⎭⎫ ⎝⎛+Ddxdy a x a y 221=⎰⎰+a dr a r r d 022201πθ=)122(322-a π.2、求锥面z=22y x +被柱面z 2=2x 所截部分的曲面面积. 解:且面在xy 平面的投影区域为:D={(r,θ)|0≤r ≤1, 0≤θ≤2π}, 且z x =22yx x +, z y =22yx y +, ∴曲面面积为:S=⎰⎰⎪⎪⎭⎫ ⎝⎛++⎪⎪⎭⎫ ⎝⎛++Ddxdy y x y y x x 2222221=⎰⎰10202rdr d πθ=π2.3、求下列均匀密度的平面薄板质心:(1)半椭圆2222by a x +≤1, y ≥0;(2)高为h, 底分别为a 和b 的等腰梯形.解:(1)设质心位置为(x ,y ), 由对称性得x =0.y =⎰⎰⎰⎰DDd yd σρσρ=⎰⎰⎰⎰DDd yd σσ=⎰⎰Dyd ab σπ2=dr r ab d ab ⎰⎰πθθπ122sin 2=π34b . (2)不妨设a 为下底,以下底中点为原点建立直角坐标系,则 D={(x,y)|l 1(y)≤x ≤l 2(y),0≤y ≤h}.设质心位置为(x ,y ), 由对称性得x =0.又等腰三角形的面积为2)(hb a +, ∴y =⎰⎰+D yd h b a σ)(2=⎰⎰+h y l y l dx ydy h b a 0)()(21)(2=⎰⎥⎦⎤⎢⎣⎡+---+--+h ydy a h y h a b a h y h b a h b a 02)(22)(2)(2=⎰⎥⎦⎤⎢⎣⎡+--+h ydy a h y h b a h b a 0)()(2=⎰⎪⎭⎫ ⎝⎛+-+h dy by y h b a h b a 02)(2=h b a a b )(32++. 其中:l 1(y): x=2)(2a h y h a b ---; l 2(y): x=2)(2ah y h b a +--.4、求下列均匀密度物体的质心.(1)z ≤1-x 2-y 2, z ≥0;(2)由坐标面及平面x+2y-z=1所围的四面体. 解:(1)设质心为(x ,y ,z ), 由对称性x =y =0, 应用柱面坐标变换有,z =⎰⎰⎰⎰⎰⎰VVdV dV z ρρ=⎰⎰⎰⎰⎰⎰--221020110201r r dz r d r d zdz r d r d ππθθ=dr r r dr r r )1()1(212102210--⎰⎰=31. (2)设质心为(x ,y ,z ),∵V=⎰⎰⎰VdV =121, ∴x =⎰⎰⎰--+21001211x y x dz dy xdx V =⎰⎰---2101)21(12x dy y x xdx =⎰-1024)1(12dx x x =41. y =⎰⎰⎰--+yy x dz dx ydy V 210122101=⎰⎰---ydx x y ydy 210210)21(12=⎰-21022)21(12dy y y =81. z =⎰⎰⎰--+yy x zdz dx dy V21012211=⎰⎰--+-ydx y x dy 2102210)12(6=⎰--21033)21(6dy y =41-.5、求下列均匀密度的平面薄板的转动惯量: (1)半径为R 的圆关于其切线的转动惯量;(2)边长为a 和b, 且夹角为φ的平行四边形,关于底边b 的转动惯量.解:(1)设切线为x=R, 密度为ρ.则对任一点P(x,y)∈D, P 到x=R 的距离为R-x ,从而转动惯量 J=ρ⎰⎰-Dd x R σ2)(=ρ⎰⎰+-Rdr r Rr R r d 022220)cos cos 2(θθθπ=ρ⎰+-πθθθ2024)cos 41cos 3221(d R= R 4. (2)设密度为ρ. 以底边为x 轴,左端点为原点,则转动惯量 J=⎰⎰Dd y σ2=ρ⎰⎰+by y a dx dy y ϕϕϕcot cot sin 02=3sin 33ϕρb a .6、计算下列引力:(1)均匀薄片x 2+y 2≤R 2, z=0对于轴上一点(0,0,c) (c>0)处的单位质量的引力;(2)均匀柱体x 2+y 2≤a 2, 0≤z ≤h 对于点P(0,0,c) (c>h)处的单位质量的引力;(3)均匀密度的正圆锥体(高h, 底半径R)对于在它的顶点处质量为m 的质点的引力.解:(1)根据对称性知引力方向在z 轴上,∴F z =0, F y =0.F z =k ρ⎰⎰++Ddxdy c y x c 2/3222)(=kc ρ⎰⎰+R dr c r r d 02/32220)(πθ=2k .∴F={0,0,2k }.(2)根据对称性知引力方向在z 轴上,∴F z =0, F y =0. F z =k ρ⎰⎰⎰-++-VdV c z y x c z 2/3222])([=k ρ⎰⎰⎰-+-a h dr c z r rd dz c z 02/322200])([)(πθ=-2k πρdz c z a c z h⎰⎥⎥⎦⎤⎢⎢⎣⎡-+-+022)(1=2k πρ[]h c h a c a --+-+2222)(. ∴F={0,0,2k πρ[]h c h a c a --+-+2222)(}.(3)以圆锥体的顶点为原点, 对称轴为z 轴建立xyz 三维直角坐标系. 根据对称性知引力方向在z 轴上,∴F z =0, F y =0.F z =k ρm ⎰⎰⎰++V dV z y x z 2/3222)(=k ρm ⎰⎰⎰+R hrR dz z r zrdr d 02/322020)(πθ=2k πR ρm ⎪⎪⎭⎫⎝⎛++-22221R h R h R . ∴F={0,0, 2k πR ρm ⎪⎪⎭⎫ ⎝⎛++-22221R h R h R }.7、求曲面⎪⎩⎪⎨⎧=+=+=ψϕψϕψsin sin )cos (cos )cos (a z a b y a b x (0≤φ≤2π, 0≤ψ≤2π) 的面积,其中常数a,b 满足0≤a ≤b.解:∵x φ=-(b+acos ψ)sin φ, y φ=(b+acos ψ)cos φ, z φ=0; x ψ=-asin ψcos φ, y ψ=-asin ψsin φ, z ψ=acos ψ.∴E=222ϕϕϕz y x ++=(b+acos ψ)2, G=222ψψψz y x ++=a 2, F=ψϕψϕψϕz z y y x x ++=0. ∴S=σd F EG D ⎰⎰'-2=σψd a b a D ⎰⎰'+)cos (=⎰⎰+ππψψϕ2020)cos (d a b d a =4ab π2.8、求螺旋面⎪⎩⎪⎨⎧===ϕϕϕb z r y r x sin cos (0≤r ≤a, 0≤φ≤2π) 的面积.解:∵x r =cos φ, y r =sin φ, z r =0; x φ=-rsin φ, y φ=rcos φ, z φ=b.∴E=222r r r z y x ++=1, G=222ϕϕϕz y x ++=r 2+b 2, F=ϕϕϕz z y y x x r r r ++=0.∴S=σd F EG D ⎰⎰'-2=σd b r D ⎰⎰'+22=⎰⎰+πϕ20022d dr b r a=π⎪⎪⎭⎫⎝⎛++++b b a a b b a a 22222ln .9、求边长为a 密度均匀的正方体关于其任一棱边的转动变量. 解:以正方体的一个顶点为原点,顶点上方的棱为z 轴,使 正方体处于第一卦限中,则正方体对z 轴上的棱的转动变量为: J z =ρ⎰⎰⎰+V dV y x )(22=ρ⎰⎰⎰+aaadz y x dy dx 00220)(=a ρ⎰⎰+aady y x dx 0220)(=a ρ⎰+adx a ax 032)31(=32a 5ρ. (ρ为正方体密度)。
第十一章 重积分§1 二重积分的概念1.把重积分⎰⎰D xydxdy 作为积分和的极限,计算这个积分值,其中D=[][]1,01,0⨯,并用直线网x=n i ,y=nj (i,j=1,2,…,n-1)分割这个正方形为许多小正方形,每一小正方形取其右上顶点为其界点.2.证明:若函数f 在矩形式域上D 可积,则f 在D 上有界.3.证明定理(20.3):若f 在矩形区域D 上连续,则f 在D 上可积.4.设D 为矩形区域,试证明二重积分性质2、4和7.性质2 若f 、g 都在D 上可积,则f+g 在D 上也可积,且()⎰+D g f =⎰⎰+D D g f .性质4 若f 、g 在D 上可积,且g f ≤,则 ⎰⎰≤D Dg f ,性质7(中值定理) 若f 为闭域D 上连续函数,则存在()D ,∈ηξ,使得()D ,f f D∆ηξ=⎰.5.设D 0、D 1和D 2均为矩形区域,且210D D D U =,∅=11D int D int I , 试证二重积分性质3.性质3(区域可加性) 若210D D D U =且11D int D int I ∅=,则f 在D 0上可积的充要条件是f 在D 1、D 2上都可积,且⎰0D f =⎰⎰+21D D f f ,6.设f 在可求面积的区域D 上连续,证明:(1)若在D 上()0y ,x f ≥,()0y ,x f ≠则0f D>⎰;(2)若在D 内任一子区域D D ⊂'上都有⎰'=D 0f ,则在D 上()0y ,x f ≡。
.7.证明:若f 在可求面积的有界闭域D 上连续,,g 在D 上可积且不变号,则存在一点()D ,∈ηξ,使得()()⎰⎰D dxdy y ,x g y ,x f =()ηξ,f ()⎰⎰Ddxdy y ,x g .8.应用中值定理估计积分⎰⎰≤-++10y x 22ycos x cos 100dxdy的值§2 二重积分的计算1.计算下列二重积分:(1)()⎰⎰-Ddxdy x 2y ,其中D=[][]2,15,3⨯;(2)⎰⎰D 2dxdy xy ,其中(ⅰ)D=[][]3,02,0⨯,(ⅱ)D=[]3,0 []2,0⨯;(3)()⎰⎰+Ddxdy y x cos ,其中D=[]π⨯⎥⎦⎤⎢⎣⎡π,02,0;(4)⎰⎰+D dxdy xy 1x ,其中D=[][]1,01,0⨯.2. 设f(x,y)=()()y f x f 21⋅为定义在D=[]⨯11b ,a []22b ,a 上的函数,若1f 在[]11b ,a 上可积,2f 在[]22b ,a 上可积,则f 在D 上可积,且⎰D f =⎰⎰⋅1122b a b a 21f f .3.设f 在区域D 上连续,试将二重积分()⎰⎰Ddxdy y ,x f 化为不同顺序的累次积分:(1)D 由不等式x y ≤,a y ≤,b x ≤()b a 0≤≤所确的区域:(2)D 由不等式222a y x ≤+与a y x ≤+(a>0)所确定的区域;(3)D=(){}1,≤+y x y x .4.在下列积分中改变累次积分的顺序:(1) ()⎰⎰20x 2x dy y ,x f dx ; (2) ()⎰⎰----11x 1x 122dy y ,x f dx ;(3)()⎰⎰10x 02dy y ,x f dy +()()⎰⎰-31x 3210dy y ,x f dx .5.计算下列二重积分:(1)⎰⎰D 2dxdy xy ,其中D 由抛物线y=2px 与直线x=2p (p>0)所围的区域;(2)()⎰⎰+D 22dxdy y x,其中D=(){1x 0y ,x ≤≤, y x ≤ x 2≤;(3)⎰⎰-D x a 2dxdy (a>0),其中D 为图(20—7)中的阴影部分;(4)⎰⎰Ddxdy x ,其中D=(){}x y x y ,x 22≤+;(5)⎰⎰D dxdy xy ,其中为圆域222a y x ≤+.6.写出积分()⎰⎰ddxdy y ,x f 在极坐标变换后不同顺序的累次积分:(1)D 由不等式1y x 22≤+,x y ≤,0y ≥所确定的区域;(2)D 由不等式2222b y x a ≤+≤所确定的区域;(3)D=(){}0x ,y y x y ,x 22≥≤+.7.用极坐标计算二重积分:(1) ⎰⎰+D 22dxdy y x sin ,其中D=(){222y x y ,x +≤π }24π≤;(2)()⎰⎰+Ddxdy y x ,其中D=(){}y x y x y ,x 22+≤+;(3)()⎰⎰+'D 22dxdy y x f ,其中D 为圆域222R y x ≤+.8.在下列符号分中引入新变量后,试将它化为累次积分:(1) ()⎰⎰--20x 2x 1dy y ,x f dx ,其中u=x+y,v=x-y;(2) ()dxdy y ,x f D ⎰⎰,其中D=(){a y x y ,x ≤+,0x ≥,}0y ≥,若x=v cos U 4,v sin U y 4=.(3) ()⎰⎰dxdy y ,x f ,其中D=(){a y x y ,x ≤+,0x ≥, }0y ≥,若x+y=u,y=uv.9.求由下列曲面所围立体V 的体积:(1) v 由坐标平面及x=2,y=3,x+y+Z=4所围的角柱体;(2) v 由z=22y x +和z=x+y 围的立体;(3) v 由曲面9y 4x Z 222+=和2Z=9y 4x 22+所围的立体.11.试作适当变换,计算下列积分:(1)()()⎰⎰-+Ddxdy y x sin y x ,D=(){π≤+≤y x 0y .x }π≤-≤y x 0;(2)⎰⎰+D y x y dxdy e,D=(){1y x y ,x ≤+,0x ≥,}0y ≥.12.设f:[a,b]→R 为连续函数,应用二重积分性质证明:()≤⎥⎦⎤⎢⎣⎡⎰2b a dx x f ()()⎰-b a 2dx x f a b ,其中等号仅在f 为常量函数时成立。
第二十一章 重积分7 n 重积分引例:设物体V 1中点的坐标为(x 1,y 1,z 1), V 2中点的坐标为(x 2,y 2,z 2), 它们的密度函数分别为连续函数ρ1(x 1,y 1,z 1)与ρ2(x 2,y 2,z 2), 且 设它们之间的引力系数为1. 在V 1中取质量微元ρ1dx 1dy 1dz 1, 在V 2中取质量微元ρ2dx 2dy 2dz 2. 由万有引力定律知, V 1的微元对V 2的微元的吸引力在x 轴上的投影为32221112121)(rdz dy dx dz dy dx x x -ρρ, 其中r=221221221)()()(z z y y x x -+-+-.将两个物体的所有微元间的吸引力在x 轴上投影的量相加,就 得到物体V 1与V 2间的引力在x 轴上投影的值. 它是一个六重积分, 即F x =⎰⎰⎰⎰⎰⎰-Vdz dy dx dz dy dx rx x z y x z y x 22211132122221111))(,,(),,(ρρ.这是在由六维数组(x 1,y 1,z 1,x 2,y 2,z 2)构成六维空间中六维区域V=V 1×V 2上的积分. 吸引力在y 和z 轴上的投影也同样可由六个自变量的积分来表示.概念:规定n 维长方体区域:V=[a 1,b 1]×[a 2,b 2]×…×[a n ,b n ]的体积为 (b 1-a 1)×(b 2-a 2)×…×(b n -a n ). 又存在以下n 维体体积: n 维单纯形:x 1≥0,x 2≥0,…,x n ≥0, x 1+x 2+…+x n ≤h. n 维球体:x 12+x 22+…+x n 2≤R 2.设n 元函数f(x 1,x 2,…,x n )定义在n 维可求体积的区域V 上. 通过对V 的分割、近似求和、取极限的过程,即得到n 重积分: I=n n Vdx dx dx x x x f ⋯⋯⋯⋯⎰⎰2121),,,(.性质:1、若f(x 1,x 2,…,x n )在n 维有界区域V 上连续,则存在n 重积分. 2、若积分区域为长方体[a 1,b 1]×[a 2,b 2]×…×[a n ,b n ],则有 I=n n Vdx dx dx x x x f ⋯⋯⋯⎰⎰2121),,,(=⎰⎰⎰⋯⋯nnb a n n b a b a dx x x x f dx dx ),,,(21212211.3、当V 由不等式组a 1≤x 1≤b 1, a 2(x 1)≤x 2≤b 2(x 1),…, a n (x 1,…,x n-1)≤x n ≤b n (x 1,…,x n-1) 表示时,则有I=⎰⎰⎰--⋯⋯⋯⋯),,,(),,,(21)()(21121121121211),,,(n n n nx x x b xx x a n n x b x a b a dx x x x f dx dx .4、设变换T :⎪⎪⎩⎪⎪⎨⎧⋯=⋯⋯⋯=⋯=),,,(),,,(),,,(2121222111n n n nn x x x x x x ξξξξξξξξξ把n 维ξ1,ξ2,…,ξn 空间区域V ’ 一对一地映射成n 维x 1,x 2,…,x n 空间的区域V ,且在V ’上函数行列式J=),,,(),,,(2121n n x x x ξξξ⋯∂⋯∂=n nn n n n x x x x x x x x x ξξξξξξξξξ∂∂⋯∂∂∂∂⋯⋯⋯⋯∂∂⋯∂∂∂∂∂∂⋯∂∂∂∂212221212111恒不为零,则有n 重积分换元公式:I= n n n Vdx dx x x f ⋯⋯⎰⋯⎰11),,(个=n n n n n Vd d J x x f ξξξξξξ⋯⋯⋯⋯⎰⋯⎰1111||)),,(,),,,((个.例1:求n 维单纯形T n :x 1≥0,x 2≥0,…,x n ≥0, x 1+x 2+…+x n ≤h 的体积. 解:作变换x 1=h ξ1,x 2=h ξ2,…,x n =h ξn , 则J=h n , 单纯形T n 的体积为△T n =h nn n D d d d ξξξ⋯⎰⋯⎰211个=h n a n . 其中D 1={(ξ1,ξ2,…,ξn )|ξ1+ξ2+…+ξn ≤1, ξ1≥0, ξ2≥0,…, ξn ≥0},则a n =1211101--⋯⎰⋯⎰-⎰n n T n d d d d n ξξξξ个, 其中T n-1={(ξ1,ξ2,…,ξn-1)|ξ1+ξ2+…+ξn-1≤1-ξn , ξ1≥0, ξ2≥0,…, ξn-1≥0}. 又对积分a n 作变换ξ1=(1-ξn )ζ1,…, ξn-1=(1-ξn )ζn-1, 则J=(1-ξn )n-1,a n = 12111012)1(---⋯⎰⋯⎰-⎰n n D n n n d d d d ζζζξξ个= a n-1⎰--101)1(n n n d ξξ=na n 1-, 其中D 2={(ζ1, ζ2,…, ζn-1)| ζ1+ζ2+…+ζn-1≤1, ζ1≥0, ζ2≥0,…, ζn-1≥0}.当n=1时,a 1=1, ∴a n =!1n , 于是单纯形T n 的体积为△T n =!n h n .例2:求n 维球体V n :x 12+x 22+…+x n 2≤R 2的体积.解法一:作变换x 1=R ξ1,x 2=R ξ2,…,x n =R ξn , 则J=R n , 球体V n 的体积为△V n =R nn n d d d n ξξξξξ⋯⎰⋯⎰≤+⋯+211221 个=R n b n . 其中b n =121111122121---≤+⋯+-⋯⎰⋯⎰-⎰n n n d d d d nn ξξξξξξξ 个=⎰-11n d ξ△V n-1=b n-1⎰---11212)1(n n n d ξξ. 令ξn =cos θ, 则有b n =b n-1⎰-01cos sin πθθd n =2b n-1⎰20sin πθθd n . 又⎰20sin πθθd n =⎪⎪⎩⎪⎪⎨⎧+=+=-12!)!12(!)!2(22!!2!)!12(m n ,m m m n ,m m π, 及b 1=2, ∴△V n =R nb n =⎪⎪⎩⎪⎪⎨⎧+=+=+12!)!12()2(22!122m n ,m R m n ,m R m m mm ππ.解法二:作变换x 1=rcos φ1,x 2=rsin φ1cos φ2, x 3=rsin φ1sin φ2cos φ3,…, x n-1=rsin φ1sin φ2…sin φn-2cos φn-1, x n =rsin φ1sin φ2…sin φn-1, 则 J=r n-1sin n-2φ1sin n-3φ2…sin 2φn-3sin φn-2, 积分区域为:0≤r ≤R, 0≤φ1,φ2,…,φn-2≤π, 0≤φn-1≤2π, 从而 △V n =⎰⎰⎰⎰------⋯⋯πππϕϕϕϕϕϕ20122312102001sin sin sin n n n n n n Rd r d d dr=⎰⎰⎰----⋯πππϕϕϕϕϕ2010220112sin sin n n n n n d d d n R =⎪⎪⎩⎪⎪⎨⎧+=+=+12!)!12()2(22!122m n ,m R m n ,m R m m mm ππ.注:特别地,当n=1,2,3时,有△V 1=2R ,△V 2=πR 2,△V 3=34πR 3.求n 维空间中的曲面面积:设x n =f(x 1,…,x n-1), f(x 1,…,x n-1)∈△⊂R n-1为n 维空间中的曲面,则其面积为 11212111---∆⋯⎪⎪⎭⎫ ⎝⎛∂∂+⋯+⎪⎪⎭⎫⎝⎛∂∂+⎰⋯⎰n n n nn dx dx x x x x 个.例3:求n 维单位球面x 12+x 22+…+x n 2=1的面积.解:n 维单位球面上半部为:x n =)(12121-+⋯+-n x x (2121-+⋯+n x x ≤1), 又21211⎪⎪⎭⎫ ⎝⎛∂∂+⋯+⎪⎪⎭⎫ ⎝⎛∂∂+-n n n x x x x =n x 1, ∴上半球面面积为 21△S=n n n x x x dx dx n 11112121--≤+⋯+⋯⎰⋯⎰- 个=)(1212111112121---≤+⋯++⋯+-⋯⎰⋯⎰-n n n x x x x dx dx n个=⎰---+⋯+-+⋯+------≤+⋯++⋯+-⋯⎰⋯⎰)(1)(1212112121222122212121)(1n n n x x x x n n n n x x xx dx dx dx个. 又⎰--+⋯+-+⋯+----+⋯+-)(1)(12121122212221)(1n n x x x x n n x x dx =π, ∴21△S=π21212121--≤+⋯+⋯⎰⋯⎰-n n x x dx dx n个=πb n-2, 其中b n-2=21212121--≤+⋯+⋯⎰⋯⎰-n n x x dx dx n个为n-2维空间中单位球体体积.由例2得n 维球面面积为:△S=2πb n-2=⎪⎪⎩⎪⎪⎨⎧+=-=-12!)!12()2(22)!1(2m n ,m m n ,m mmππ.注:特别地,当n=1,2,3时,有△S 1=2,△S 2=2π,△S 3=4π.习题1、计算五重积分⎰⎰⎰⎰⎰Vdxdydzdudv , 其中V :x 2+y 2+z 2+u 2+v 2≤r 2.解:根据例2的结论,当n=5时V 5=!!5)2(225πr =15852r π.2、计算四重积分⎰⎰⎰⎰++++----Vdxdydzdu u z y x u z y x 2222222211, V :x 2+y 2+z 2+u 2≤1.解:令x=rcos φ1, y=rsin φ1cos φ2, z=rsin φ1sin φ2cos φ3, u=rsin φ1sin φ2sin φ3, 原式=⎰⎰⎰⎰+-102123222030201sin sin 11dr r rr d d d ϕϕϕϕϕπππ =⎰⎰+-132011211sin 4dr r r r d πϕϕπ=2π2⎰+-1032211dr r r r =π2(1-4π).3、求n 维角锥x i ≥0,nn a x a x a x +⋯++2211≤1, a i >0 (i=1,2,…,n)的体积. 解:令ξi =iia x (i=1,2,…,n), 则V=n n a x dx dx n i ii ⋯⎰∑⋯⎰≤=111个=a 1…a n n n d d n i i ξξξ⋯⎰∑⋯⎰≤=111个.由例1得V=!1n a 1…a n .4、把Ω:x 12+x 22+…+x n 2≤R 2上的n(n ≥2)重积分n n n dx dx x x x f ⋯+⋯++⎰⋯⎰122221Ω)(个化为单重积分,其中f(u)为连续函数. 解:令x 1=rcos φ1, x 2=rsin φ1cos φ2,…, x n-1=rsin φ1sin φ2…sin φn-2cos φn-1,x n =rsin φ1sin φ2…sin φn-2sin φn-1, 则nn n dx dx x x x f ⋯+⋯++⎰⋯⎰122221Ω)(个=⎰⎰⎰⎰⎰------⋯⋯ππππϕϕϕϕϕϕϕ2012231202020101sin sin sin )(n n n n n Rn d d d d dr r f r ,∵⎰π0sin tdt n =2⎰20cos πtdt n =⎪⎭⎫⎝⎛+Γ⎪⎭⎫⎝⎛+Γ2221n n π. ∴原式=⎰-⎪⎭⎫ ⎝⎛ΓR n hdr r f r h 012)(22π.。
第八章二重积分习题答案练习题1.设D:0y ≤0x a ≤≤,由二重积分的几何意义计算d Dx y解:d Dx y=200d πθ⎰⎰=222001()2r d a r πθ=--⎰⎰2. 设二重积分的积分区域为2214x y ≤+≤,则2dxdy =⎰⎰ 解:2dxdy =⎰⎰22126d rdr πθπ=⎰⎰练习题1.2d Dx σ⎰⎰其中D 是两个圆,y x 122=+与,y x 422=+围成的环型区域.解:2d Dx σ⎰⎰=22222301001515cos [cos2]84d r dr d d πππθθθθθπ=+=⎰⎰⎰⎰ 2计算二重积分σd yx D)341(--⎰⎰,其中D 是由直线2,,2=-=x x ;1,1=-=y y 围成的矩形。
解:σd y x D)341(--⎰⎰= 221211212(1)[(1)]4346x y x y dx dy y dx ------=--⎰⎰⎰ =222(1)84xdx --=⎰3. 应用二重积分,求在xy 平面上由曲线224x x y x y -==与所围成的区域D 的面积.解:22242202320(42)28(2)|33x x xDA dxdy dx dy x x x x -===-=-=⎰⎰⎰⎰⎰4. 求旋转抛物面224z x y =--与xy 平面所围成的立体体积 解: 2222220(4)(4)48DV x y d d r rdr d ππσθθπ=--=-==⎰⎰⎰⎰⎰习 题 八一.判断题1.d Dσ⎰⎰等于平面区域D 的面积.(√)2.二重积分 100f(x,y)d ydy x ⎰⎰交换积分次序后为11f(x,y)d xdx x ⎰⎰ (×)二.填空题1.二重积分的积分区域为2214x y ≤+≤,则4dxdy =⎰⎰12π12π.2.二重积分d d Dxy x y ⎰⎰的值为112,其中2:0D y x ≤≤,01x ≤≤.1123.二重积分10(,)ydy f x y dx ⎰⎰交换积分次序后为11(,)xdx f x y dy⎰⎰. 11(,)xdx f x y dy ⎰⎰4.设区域D 为1x ≤,1y ≤,则⎰⎰(sin x x -)d d x y =0.05.交换积分次序1d (,)y f x y dx ⎰=211(,)(,)x dx f x y dy f x y dy+⎰⎰.211(,)(,)x dx f x y dy f x y dy +⎰⎰6.设D 是由221x y +≤所确定的区域。
第九章 重积分(A)1.填空题(1) 设()y x y x P 2,=,()23,y x y x Q =,定义于:D 10<<x ,10<<y ,则(2) 设曲顶柱体的顶面是()y x f z ,=,()D y x ∈,,侧面是母线平行于z 轴,准线为D 的边界线的柱面,则此曲顶柱体的体积用重积分可表示为=V 。
(3) 在极坐标系中,面积元素为 。
2.利用二重积分的性质,比较下列积分大小(1)()⎰⎰+D d y x σ2与()⎰⎰+D d y x σ3,其中积分区域D 由x 轴,y 轴以及直线1=+y x 所 围成。
(2)()⎰⎰+D d y x σ2与()⎰⎰+D d y x σ3,其中积分区域D 是由圆周()()21222=-+-y x 所围成。
3.利用二重积分性质,估计积分()⎰⎰++=D d y x I σ92222的值,其中D 是圆形闭区域422≤+y x 。
4.交换积分()⎰⎰--aa x ax x a dy y x f dx 2222,的积分次序。
5.交换积分()⎰⎰-2120,y dx y x f dy 的积分次序。
6.交换二次积分()⎰⎰+-a ay y a y x f dy 022,的积分次序。
7.计算()⎰⎰+D d y x σ23,其中D 是由两坐标轴及直线2=+y x 所围成的闭区域。
8.计算()⎰⎰+Dd y x x σcos ,其中D 是顶点分别为()0,0,()0,π和()ππ,的三角形区域。
9.计算()⎰⎰+Dyd x σsin 1,其中D 是顶点分别为()0,0,()0,1,()2,1和()1,0的梯形闭区域。
10.计算二重积分⎰⎰Ddxdy ,其中区域D 由曲线21x y -=与12-=x y 围成。
11.计算二重积分⎰⎰Dd xy σ2,其中D 是由圆周422=+y x 及y 轴所围成的右半闭区域。
12.计算⎰⎰+D y x d 22σ,其中D 是圆环域4122≤+≤y x 。
第二十一章 重积分7 n 重积分引例:设物体V 1中点的坐标为(x 1,y 1,z 1), V 2中点的坐标为(x 2,y 2,z 2), 它们的密度函数分别为连续函数ρ1(x 1,y 1,z 1)与ρ2(x 2,y 2,z 2), 且 设它们之间的引力系数为1. 在V 1中取质量微元ρ1dx 1dy 1dz 1, 在V 2中取质量微元ρ2dx 2dy 2dz 2. 由万有引力定律知, V 1的微元对V 2的微元的吸引力在x 轴上的投影为32221112121)(rdz dy dx dz dy dx x x -ρρ, 其中r=221221221)()()(z z y y x x -+-+-.将两个物体的所有微元间的吸引力在x 轴上投影的量相加,就 得到物体V 1与V 2间的引力在x 轴上投影的值. 它是一个六重积分, 即F x =⎰⎰⎰⎰⎰⎰-Vdz dy dx dz dy dx rx x z y x z y x 22211132122221111))(,,(),,(ρρ.这是在由六维数组(x 1,y 1,z 1,x 2,y 2,z 2)构成六维空间中六维区域V=V 1×V 2上的积分. 吸引力在y 和z 轴上的投影也同样可由六个自变量的积分来表示.概念:规定n 维长方体区域:V=[a 1,b 1]×[a 2,b 2]×…×[a n ,b n ]的体积为 (b 1-a 1)×(b 2-a 2)×…×(b n -a n ). 又存在以下n 维体体积: n 维单纯形:x 1≥0,x 2≥0,…,x n ≥0, x 1+x 2+…+x n ≤h. n 维球体:x 12+x 22+…+x n 2≤R 2.设n 元函数f(x 1,x 2,…,x n )定义在n 维可求体积的区域V 上. 通过对V 的分割、近似求和、取极限的过程,即得到n 重积分: I=n n Vdx dx dx x x x f ⋯⋯⋯⋯⎰⎰2121),,,(.性质:1、若f(x 1,x 2,…,x n )在n 维有界区域V 上连续,则存在n 重积分. 2、若积分区域为长方体[a 1,b 1]×[a 2,b 2]×…×[a n ,b n ],则有 I=n n Vdx dx dx x x x f ⋯⋯⋯⎰⎰2121),,,(=⎰⎰⎰⋯⋯nnb a n n b a b a dx x x x f dx dx ),,,(21212211.3、当V 由不等式组a 1≤x 1≤b 1, a 2(x 1)≤x 2≤b 2(x 1),…, a n (x 1,…,x n-1)≤x n ≤b n (x 1,…,x n-1) 表示时,则有I=⎰⎰⎰--⋯⋯⋯⋯),,,(),,,(21)()(21121121121211),,,(n n n nx x x b xx x a n n x b x a b a dx x x x f dx dx .4、设变换T :⎪⎪⎩⎪⎪⎨⎧⋯=⋯⋯⋯=⋯=),,,(),,,(),,,(2121222111n n n nn x x x x x x ξξξξξξξξξ把n 维ξ1,ξ2,…,ξn 空间区域V ’ 一对一地映射成n 维x 1,x 2,…,x n 空间的区域V ,且在V ’上函数行列式J=),,,(),,,(2121n n x x x ξξξ⋯∂⋯∂=n nn n n n x x x x x x x x x ξξξξξξξξξ∂∂⋯∂∂∂∂⋯⋯⋯⋯∂∂⋯∂∂∂∂∂∂⋯∂∂∂∂212221212111恒不为零,则有n 重积分换元公式:I= n n n Vdx dx x x f ⋯⋯⎰⋯⎰11),,(个=n n n n n Vd d J x x f ξξξξξξ⋯⋯⋯⋯⎰⋯⎰1111||)),,(,),,,((个.例1:求n 维单纯形T n :x 1≥0,x 2≥0,…,x n ≥0, x 1+x 2+…+x n ≤h 的体积. 解:作变换x 1=h ξ1,x 2=h ξ2,…,x n =h ξn , 则J=h n , 单纯形T n 的体积为△T n =h nn n D d d d ξξξ⋯⎰⋯⎰211个=h n a n . 其中D 1={(ξ1,ξ2,…,ξn )|ξ1+ξ2+…+ξn ≤1, ξ1≥0, ξ2≥0,…, ξn ≥0},则a n =1211101--⋯⎰⋯⎰-⎰n n T n d d d d n ξξξξ个, 其中T n-1={(ξ1,ξ2,…,ξn-1)|ξ1+ξ2+…+ξn-1≤1-ξn , ξ1≥0, ξ2≥0,…, ξn-1≥0}. 又对积分a n 作变换ξ1=(1-ξn )ζ1,…, ξn-1=(1-ξn )ζn-1, 则J=(1-ξn )n-1,a n = 12111012)1(---⋯⎰⋯⎰-⎰n n D n n n d d d d ζζζξξ个= a n-1⎰--101)1(n n n d ξξ=na n 1-, 其中D 2={(ζ1, ζ2,…, ζn-1)| ζ1+ζ2+…+ζn-1≤1, ζ1≥0, ζ2≥0,…, ζn-1≥0}.当n=1时,a 1=1, ∴a n =!1n , 于是单纯形T n 的体积为△T n =!n h n .例2:求n 维球体V n :x 12+x 22+…+x n 2≤R 2的体积.解法一:作变换x 1=R ξ1,x 2=R ξ2,…,x n =R ξn , 则J=R n , 球体V n 的体积为△V n =R nn n d d d n ξξξξξ⋯⎰⋯⎰≤+⋯+211221 个=R n b n . 其中b n =121111122121---≤+⋯+-⋯⎰⋯⎰-⎰n n n d d d d nn ξξξξξξξ 个=⎰-11n d ξ△V n-1=b n-1⎰---11212)1(n n n d ξξ. 令ξn =cos θ, 则有b n =b n-1⎰-01cos sin πθθd n =2b n-1⎰20sin πθθd n . 又⎰20sin πθθd n =⎪⎪⎩⎪⎪⎨⎧+=+=-12!)!12(!)!2(22!!2!)!12(m n ,m m m n ,m m π, 及b 1=2, ∴△V n =R nb n =⎪⎪⎩⎪⎪⎨⎧+=+=+12!)!12()2(22!122m n ,m R m n ,m R m m mm ππ.解法二:作变换x 1=rcos φ1,x 2=rsin φ1cos φ2, x 3=rsin φ1sin φ2cos φ3,…, x n-1=rsin φ1sin φ2…sin φn-2cos φn-1, x n =rsin φ1sin φ2…sin φn-1, 则 J=r n-1sin n-2φ1sin n-3φ2…sin 2φn-3sin φn-2, 积分区域为:0≤r ≤R, 0≤φ1,φ2,…,φn-2≤π, 0≤φn-1≤2π, 从而 △V n =⎰⎰⎰⎰------⋯⋯πππϕϕϕϕϕϕ20122312102001sin sin sin n n n n n n Rd r d d dr=⎰⎰⎰----⋯πππϕϕϕϕϕ2010220112sin sin n n n n n d d d n R =⎪⎪⎩⎪⎪⎨⎧+=+=+12!)!12()2(22!122m n ,m R m n ,m R m m mm ππ.注:特别地,当n=1,2,3时,有△V 1=2R ,△V 2=πR 2,△V 3=34πR 3.求n 维空间中的曲面面积:设x n =f(x 1,…,x n-1), f(x 1,…,x n-1)∈△⊂R n-1为n 维空间中的曲面,则其面积为 11212111---∆⋯⎪⎪⎭⎫ ⎝⎛∂∂+⋯+⎪⎪⎭⎫⎝⎛∂∂+⎰⋯⎰n n n nn dx dx x x x x 个.例3:求n 维单位球面x 12+x 22+…+x n 2=1的面积.解:n 维单位球面上半部为:x n =)(12121-+⋯+-n x x (2121-+⋯+n x x ≤1), 又21211⎪⎪⎭⎫ ⎝⎛∂∂+⋯+⎪⎪⎭⎫ ⎝⎛∂∂+-n n n x x x x =n x 1, ∴上半球面面积为 21△S=n n n x x x dx dx n 11112121--≤+⋯+⋯⎰⋯⎰- 个=)(1212111112121---≤+⋯++⋯+-⋯⎰⋯⎰-n n n x x x x dx dx n个=⎰---+⋯+-+⋯+------≤+⋯++⋯+-⋯⎰⋯⎰)(1)(1212112121222122212121)(1n n n x x x x n n n n x x xx dx dx dx个. 又⎰--+⋯+-+⋯+----+⋯+-)(1)(12121122212221)(1n n x x x x n n x x dx =π, ∴21△S=π21212121--≤+⋯+⋯⎰⋯⎰-n n x x dx dx n个=πb n-2, 其中b n-2=21212121--≤+⋯+⋯⎰⋯⎰-n n x x dx dx n个为n-2维空间中单位球体体积.由例2得n 维球面面积为:△S=2πb n-2=⎪⎪⎩⎪⎪⎨⎧+=-=-12!)!12()2(22)!1(2m n ,m m n ,m mmππ.注:特别地,当n=1,2,3时,有△S 1=2,△S 2=2π,△S 3=4π.习题1、计算五重积分⎰⎰⎰⎰⎰Vdxdydzdudv , 其中V :x 2+y 2+z 2+u 2+v 2≤r 2.解:根据例2的结论,当n=5时V 5=!!5)2(225πr =15852r π.2、计算四重积分⎰⎰⎰⎰++++----Vdxdydzdu u z y x u z y x 2222222211, V :x 2+y 2+z 2+u 2≤1.解:令x=rcos φ1, y=rsin φ1cos φ2, z=rsin φ1sin φ2cos φ3, u=rsin φ1sin φ2sin φ3, 原式=⎰⎰⎰⎰+-102123222030201sin sin 11dr r rr d d d ϕϕϕϕϕπππ =⎰⎰+-132011211sin 4dr r r r d πϕϕπ=2π2⎰+-1032211dr r r r =π2(1-4π).3、求n 维角锥x i ≥0,nn a x a x a x +⋯++2211≤1, a i >0 (i=1,2,…,n)的体积. 解:令ξi =iia x (i=1,2,…,n), 则V=n n a x dx dx n i ii ⋯⎰∑⋯⎰≤=111个=a 1…a n n n d d n i i ξξξ⋯⎰∑⋯⎰≤=111个.由例1得V=!1n a 1…a n .4、把Ω:x 12+x 22+…+x n 2≤R 2上的n(n ≥2)重积分n n n dx dx x x x f ⋯+⋯++⎰⋯⎰122221Ω)(个化为单重积分,其中f(u)为连续函数. 解:令x 1=rcos φ1, x 2=rsin φ1cos φ2,…, x n-1=rsin φ1sin φ2…sin φn-2cos φn-1,x n =rsin φ1sin φ2…sin φn-2sin φn-1, 则nn n dx dx x x x f ⋯+⋯++⎰⋯⎰122221Ω)(个=⎰⎰⎰⎰⎰------⋯⋯ππππϕϕϕϕϕϕϕ2012231202020101sin sin sin )(n n n n n Rn d d d d dr r f r ,∵⎰π0sin tdt n =2⎰20cos πtdt n =⎪⎭⎫⎝⎛+Γ⎪⎭⎫⎝⎛+Γ2221n n π. ∴原式=⎰-⎪⎭⎫ ⎝⎛ΓR n hdr r f r h 012)(22π.。
第九章重积分A1、填空题1)交换下列二次积分的积分次序(1)______________________________________________ (2)______________________________________________ (3)_______________________________________________ (4)___________________________________________ (5)______________________________________________ (6)________________________________________2)积分的值等于__________________________________3)设,试利用二重积分的性质估计的值则。
4)设区域是有轴、轴与直线所围成,根据二重积分的性质,试比较积分与的大小________________________________5)设,则积分___________________________________________6)已知是由所围,按先后再的积分次序将化为累次积分,则7)设是由球面与锥面的围面,则三重积分在球面坐标系下的三次积分表达式为2、把下列积分化为极坐标形式,并计算积分值1)2)3、利用极坐标计算下列各题1),其中是由圆周及坐标轴所围成的在第一象限内的闭区域.2),其中是由圆周及坐标轴所围成的在第一象限的闭区域.3),其中是由圆周及直线所围成的在第一象限的闭区域.4、选用适当的坐标计算下列各题1),其中是直线及曲线所围成的闭区域.2),其中是顶点分别为和的梯形闭区域.3),其中是圆周所围成的闭区域.4),其中是圆环形闭区域.5、设平面薄片所占的闭区域由螺线上一段弧与直线所围成,它的面密度为,求这薄片的质量(图9-5).6、求平面,,,以及球心在原点、半径为的上半球面所围成的在第一卦限内的立体的体积(图9-6).7、设平面薄片所占的闭区域由直线,和轴所围成,它的面密度,求该薄片的质量.8、计算由四个平面,,,所围成的柱体被平面及截得的立体的体积.9、求由平面,,所围成的柱体被平面及抛物面截得的立体的体积.10、计算以面上的圆周围成的闭区域为底,而以曲面为顶的曲顶柱体的体积.11、化三重积分为三次积分,其中积分区域分别是1)由双曲抛物面及平面所围成的闭区域.2)由曲面及所围成的闭区域.12、设有一物体,占有空间闭区域,在点处的密度为,计算该物体的质量.13、计算,其中是由曲面,与平面和所围成的闭区域.14、计算,其中为球面及三个坐标面所围成的在第一卦限内的闭区域.15、算,其中是由锥面与平面所围成的闭区域.16、利用柱面坐标计算三重积分,其中是由曲面及所围成的闭区域.17、利用球面坐标计算三重积分,其中是由球面所围成的闭区域.18、选用适当的坐标计算下列三重积分1),其中为柱面及平面,,所围成的在第一卦限内的闭区域.2),其中是两个球和的公共部分.3),其中是由曲面及平面所围成的闭区域.4),其中闭区域由不等式,所确定.19、利用三重积分计算下列由曲面所围成的立体的体积1)及.2)及(含有轴的部分).20、球心在原点、半径为的球体,在其上任意一点的密度大小与这点到球心的距离成正比,求这球体的的质量.21、求球面含在圆柱面内部的那部分面积.22、求锥面被柱面所割下部分的曲面面积.23、求由抛物线及直线所围成的均匀薄片(面密度为常数)对于直线的转动惯量.24、设薄片所占的闭区域如下,求均匀薄片的质心是半椭圆形闭区域.25、设平面薄片所占的闭区域由抛物线及直线所围成,它在点处的面密度,求该薄片的质心.25、利用三重积分计算下列由曲面所围立体的质心(设密度)1),2),,26、求半径为高为的均匀圆柱体对于过中心而平行于母线的轴的转动惯量(设密度).B1、根据二重积分的性质,比较下列积分的大小1)与,其中积分区域是由圆周所围成.2)与,其中是三角形闭区域,三顶点分别为,.2、计算下列二重积分1),其中2),其中是由直线,及所围成的闭区域3),,其中3、化二重积分为而次积分(分别列出对两个变量先后次序不同的两个二次积分),其中积分区域1)由轴及半圆周所围成的闭区域2)环形闭区域4、求由曲面及所围成的立体的体积.5、计算,其中为平面,,,所围成的四面体.6、计算下列三重积分1),其中是两个球:和的公共部分.2),其中是由球面所围成的闭区域.3),其中是由平面上曲线绕轴旋转而成的曲面与平面所围成的闭区域.7、设球体占有闭区域,它在内部各点处的密度的大小等于该点到坐标原点的距离的平方,试求这球体的球心.8、一均匀物体(密度为常量)占有的闭区域由曲面和平面,所围成1)求物体的体积;2)求物体的质心;3)求物体关于轴的转动.C1、利用二重积分的性质,估计积分,其中是由圆周所围成.2、用二重积分计算立体的体积,其中由平面,,,和所围成.3、计算二重积分,其中是由直线,以及曲线所围成的平面区域.4、设在积分域上连续,更换二次积分的积分次序.5、计算二重积分,其中积分区域是由和确定.6、求二重积分的值,其中是由直线,及围成的平面区域.7、计算,其中由曲面及围成.8、计算,其中是由曲面与平面及所围成的闭区域.9、设有一半径为的球体,是此球表面上的一个定点,球体上任一点的密度与该点到的距离的平方成正比(比例常数),求球体的重心的位置.10、设有一高度为(为时间)的雪堆在融化过程中,其侧面满足方程(设长度单位为cm,时间单位为h),已知体积减少的速率与侧面积成正比例(比例系数),问高度为130(cm)的雪堆全部融化需多少时间?第九章重积分答案习题答案(A)1、填空题1)①②③④⑤⑥2)3)4)5)6)7)2、1)2)3、1)2)3)4、1)2)3)4)5、6、7、8、9、10、11、1)2)12、13、14、15、16、17、18、1)2)3)4)19、1)2)20、21、22、23、24、25、,26、27、(为圆柱体的质量)(B)1、 1)2)2、1)2)3)3、1),2)4、5、; 6、1)2)3); 7、8、1)2)3)(C)1、解:令,关键是求在上的最大值和最小值,在内部,,,因此在内部无驻点,最值点一定在边界上取得,作由方程组解得驻点为,,比较可得最小值,最大值为,而的面积为,由估值定理得。
参考答案与提示第7章 重积分7.1 重积分的概念与性质1、214I I =2、⎰⎰⎰⎰+<+DDdxdy y x dxdy y x 2)][ln()ln()1((2)⎰⎰⎰Ω++dv z y x 2222)(≤⎰⎰⎰Ω++dv z y x )(2223、(1) 364≤≤I (2) ππ10036≤≤I(3)33323323ππ≤≤-I 7.2 二重积分的计算法7.2.1 利用直角坐标计算二重积分1、(1) ⎰⎰x xdy y x f dx 240),(或⎰⎰y y dx y x f dy 4402),((2) ⎰⎰--x x dy y x f dx 1110),( 或 ⎰⎰⎰⎰-+-+y y dx y x f dy dx y x f dy 101101),(),((3)⎰⎰e e ydx y x f dy ),(10(4)⎰⎰+--)1(21)1(2111),(y y dx y x f dy2、(1) 2- (2) 49 (3) 213、274、347.2.2 利用极坐标计算二重积分1、(1)⎰⎰θπρρθρθρθsin 202)sin ,cos (R d f d(2)⎰⎰θθθπρρθρθρθcos 1cos sin 402)sin ,cos (d f d (3)⎰⎰R d d 0320ρρθπ(4)⎰⎰θπρρθcos 10240d d (5)⎰⎰RR d f d 0arctan 0)(tan ρρθθ2、(1) 62π (2) 3R π (3) )12ln 2(4-π3、)43(916-π7.3 三重积分的计算法7.3.1 直角坐标系下三重积分的计算法1、(1) ⎰⎰⎰-xy x dz z y x f dy dx 01010),,((2) ⎰⎰⎰++----1004422),,(22y x x xdz z y x f dy dx(3) ⎰⎰⎰-+----222221341412121),,(x y x x x dz z y x f dy dx2、(1)25(2) 0 (3) π72 7.3.2 柱面坐标系下三重积分的计算法1、(1)⎰⎰⎰RR dz z f d d ρπθρθρρρθ),sin ,cos (020(2)⎰⎰⎰-22433020),sin ,cos (ρρπθρθρρρθdz z f d d(3)⎰⎰⎰112),sin ,cos (dz z f d d θρθρρρθπ2、(1) π8 (2)127π (3) π336 3、π3327.3.3 球面坐标系下三重积分的计算法1、(1)⎰⎰⎰ϕππϕθθϕϕϕθcos 02020,sin sin ,cos sin (sin r r f d ddr r r 2)cos ϕ(2)⎰⎰⎰ϕππϕθθϕϕϕθcos 404020,sin sin ,cos sin (sin r r f d ddr r r 2)cos ϕ(3)⎰⎰⎰12020,sin sin ,cos sin (sin ϕθθϕϕϕθππr r f d ddr r r 2)cos ϕ2、(1) 8π (2) 554R π (3) π153968 (4)10π 7.4 重积分的应用1、22222221a c c b b a ++ 2、π2 3、)34,0(πb4、)45,0,0(R 5、7966、H R μπ4237.5 总 习 题1、(1) π32(2) 0 (3) 0(4)⎰⎰⎰⎰-------+y yy y dx y x f dy dx y x f dy 11101101),(),(222、(1) A (2) B (3) C3、(1) 2301ab (2) 21-e (3) e e 2183-(4) π80 (5) 482ππ- (6) 2494R R ππ+ (7))34(313-πR (8) ))0()((f a f -π 4、提示:⎰=x dt t f x F 0)()( 6、(1) π1531(2) 1652ln -(3) π3256 (4) 548059R π 7、)](3[223t hf h t +π8、)(422t f t π 9、R 32 10、提示:⎰=x dt t f x F 0)()(12、提示:交换积分次序 13、π2316a14、(1) )157,0,0(2a (2) 645112a μ第8章 曲线积分与曲面积分8.1 曲线积分8.1.1 对弧长的曲线积分1、(1)2 (2) π2、(1)2212155+- (2) 2)42(-+a e a π(3) π 3、)0,54(a 4、)382(222222ππk a k a a ++8.1.2 对坐标的曲线积分1、(1) 1556- (2) 13 (3) π2- (4) 32a π- (5) 14 3、⎰Γ-+-ds y x Q x y x P x x )],()1(),(2[28.2 格林公式及其应用1、(1) π18- (2) 4 (3) -2π (4) 42π (5) π2a2、(1) 5 (2) 3cos 42cos 9+3、C y x xy y x +-+-4532344、π283a8.3 曲面积分 8.3.1 对面积的曲面积分1、(1) 434R π (2) 2932(3) )(22h a a -π (4) R H arctan 2π 2、3221R π 3、πμ434a 8.3.2 对坐标的曲面积分 1、(1) π32- (2) 71052R π (3) π23 2、⎰⎰∑++dS R Q P )5325253( *3、218.4 高斯公式 通量与散度1、(1) 3V (2) 2212z xze y x +++ (3) yz x 62- 2、(1)π556a (2) 44h π- (3) 4π 3、108π8.5 斯托克斯公式 环流量与旋度1、(1) ,,)sin(cos )cos()sin(cos (2z y xz xy z x -- (2) (0,0,0) 2、(1) 23R π- (2) 9π (3) )(b a a +-π 3、2π8.6 总 习 题1、(1) a 12 (2) π6- (3))(342224γβαπ++R (4) 0 2、(1) D (2) A (3) D (4) C3、(1) 0 (2) 22a (3) ]22)2[(31230-+t (4) 18π(5) 34 (6) 234ab (7) 351 (8) π162 (9) 0 (10) 当R <1时0 当R >1时π (11) 322)22(a b a ππ-+ (12) π4- 4、21 5、122-+y x6、(1) )(422222c b a R R +++π (2) 415264a (3) 52029a π (4) 34π (5) 2π (6)不包围原点0,包围原点时4π7、 -24 8、π23a - 9、3,3,3c b a ===ςηξ 10、58±=y 11、0 12、(1) 8xy +2y , }3,21,4{22x z yz xz --- (2) 0, }2,2,2{222z xz y yz x xy ---第9章 无穷级数9.1 常数项级数的概念与性质1、(1) 收敛 , 2 (2) 发散2、(1) 发散 (2) 收敛3、(1) 收敛 (2) 发散 (3) 收敛 (4) 发散9.2 常数项级数的审敛法1、(1) 发散 (2) 收敛 (3) 收敛 (4) 收敛(5) 收敛 (6) 当0< a ≤1时发散 当a > 1时收敛 2、(1) 收敛 (2) 收敛 (3) 收敛3、(1) 收敛 (2) 发散 (3) 当b < a 时收敛 当b > a 时发散4、(1) 条件收敛 (2) 绝对收敛 (3) 绝对收敛 (4) 当0< p ≤1时条件收敛 当p > 1时绝对收敛 (5) 条件收敛9.3 幂级数1、(1) R = 1 (-1,1) (2) ),(+∞-∞ (3) 绝对收敛2、(1) ]21,21[- (2) )21,21(-(3) )21,23[-- 3、(1) )1,1(,)1(222-∈-x x x (2) )1,1(,11ln 41arctan 21-∈--++x x x x x9.4 将函数展开成幂级数1、(1) ∑+∞=-+=122)!2(2)2()1(1cos n nnn x x +∞<<∞-x (2) ∑+∞=--+=++2)1()1()1ln()1(n nnnn xx x x 11≤<-x2、n n n n n x x x )3(])92(21[51)1(3210112---=-+∑+∞=++ 51<<x3、∑+∞=---=+1112)1()1(1n n n nx x 11<<-x4、∑+∞=---=-+11212)1()21ln(n nn n x n x x 2121≤<-x5、∑∞+=++-++-=0212])!2()3(3)!12()3([)1(21sin n nn n n x n x x ππ+∞<<∞-x9.5 傅里叶级数1、⎰-πππdx x f )(1⎰-πππnxdx x f cos )(1⎰-πππnxdx x f sin )(1( ,2,1=n )2、∑+∞=---+-=12cos )]()1(1[{)(4)(n n nx n b a a b x f ππ π)12(},sin )()1(1+≠+--+k x nx nb a n3、nx n x n n sin 2)1(11∑∞=--=,),(ππ-∈x 4、正弦级数:h x x nx n nhx f n ≠≤<-=∑+∞=且ππ0,sin cos 1 2)(1余弦级数:h x x nx nnhhx f n ≠≤≤+=∑+∞=且πππ0,cos sin2)(19.6 一般周期函数的傅里叶级数1、]1,1[)12cos()12(1425)(122-∈---=∑∞=x x n n x f n ππ2、 正弦级数:)2,0[,2sin )1(411∈-=∑∞=+x xn n x n n ππ余弦级数:]2,0[,2cos ]1)1[(41122∈---=∑+∞=x xn n x n n ππ9.7 总 习 题1、(1) 8 (2) 2 (3) )1ln(x -- )11(<≤-x(4) 2e (5) π43- , π9232-2、(1) B (2) B (3) A (4 )C (5) B3、(1) 发散 (2) 收敛 (3) 当0< a <1时收敛,当a >1时发散,当a =1时,s > 1收敛,0< s ≤1发散4、(1) 绝对收敛 (2) 发散5、(1) )1ln(12222x x x +++ )1,1(-∈x (2) 3)1(2x x - )1,1(-∈x6、(1)2ln 4385- (2) )1sin 1(cos 21+7、(1) 53,)1()1(41)1(4ln )3ln(011≤<--+-+=+∑+∞=++x x n x n n n n(2) 31,)1)(2121()1(34103222<<----=++∑+∞=++x x x x n n n n n8、(1) sin 2)1(11∑+∞=+-=n n nx nx ),0(π∈x (2) ∑+∞=+-+=2)2sin 12cos 1(2n nx nnx n x ππ),0(π∈x 9、∑+∞=---=12)12cos()12(142n x n n x ππ ],0[π∈x , 82π 10、提示:在x 0 = 0处展开成一阶泰勒级数第10章 常微分方程10.1 常微分方程的基本概念10.2 一阶微分方程10.2.1 一阶微分方程(一)1、(1)33x Cey -= (2)222)1)(1(Cx y x =++(3)C x x y =++)1(22、(1) Cx xe y = (2) 333yx Ce y =10.2.2 一阶微分方程(二)1、(1) )(C x e y x +=- (2) )1(12+=yCe y x 2、(1) 21x x y -+= (2) 1sin 2sin -+=-x e y x 3、(1) 53525Cx x y +=- (2) C x x y 422)1()1(31-+-+=10.2.3 一阶微分方程(三)1、(1)C y xy x =-+2331 (2) C y x x y =+sin cos(3) C y y x =+22ln (4)C yxy x =+++arctan122 2、(1) 21)(C e x C y x+-=- (2) 21)cos(ln C C x y ++-= 3、(1) xy 11+= (2) 1)1(+-=x e y x 10.3 高阶线性微分方程10.3.1 高阶线性微分方程(一)1、2)(21x e x C C y += 2、1)1()1(221+-+-=x C x C y 3、(1) x x e C e C y 3231-+= (2) x e C C y 421+= (3) )(2221xxx e C e C e y -+=(4) )23sin 23cos(2121x C x C ey x +=- (5) x e x C C y λλ-+==)(,1212时当xxe C e C y )1(2)1(1222,1----+-+=>λλλλλ时当)1sin 1cos (,122212x C x C e y x λλλλ-+-=<-时当(6) x C x C C y sin cos 321++=(7) x x e x C C e x C C y 24321)()(-+++=10.3.2 高阶线性微分方程(二)1、(1) =*y x e dx x b ax Ce x sin )(cos )(++++ (2) =*y ]2sin )(2cos )[(4x d cx x b ax xe x +++ (3) =*y )2sin 2cos ()(2x d x c e b ax e x x x +++ (4)=*y )3sin 3cos ()(323x e x d e c bx ax xe x x ++++(5)=*y x d cx x b ax sin )(cos )(+++2、(1) )1(41)(221x e x C C y x +++= (2) )cos (sin 2121x x e C C y x +-+=- (3) x x e e x C C y 2221161)(-++=3、(1) x x y cos 813cos 241+= (2) )sin (x x e y x -=-4、(1) x x C x C y 212231++=(2))sin(ln 21)]ln 3sin()ln 3cos([21x x x C x C x y ++=10.4 总 习 题1、(1)e e y x +++=11ln 21 (2))sin(x yCe x = (3)2321y Cy x +=(4) xCx x x y +-=-ln 23 (5) C x y x +=arctan(6) C xy y x +=2(7) 212111ln 1C x C C C x y ++-=(8) 1)1(=-y x2、(1) 43161)(2221+++=-x x e e x C C y(2) x x C x C e y x 2cos 263)23sin 23cos (2121++=- 212sin 131+-x(3) (4) x xe y x sin 2=3、1ln )(+=x x f4、x e x f 2)(-=5、)(2x C x y -=6、]1,0[,156)(2∈++-==x x x x f y7、x x xe x x eC e C x 22221)21()(-++=ϕ 8、x xx x f cos 2sin 21)(+=9、 0)(2)(2='+''r f r r f r ,rr f 12)(-= 第11章 复变函数与解析函数11.1 复数及其运算1、(1)133 , 132- , i 132133+ , 1313, 32arctan -(2) 3cos πn , 3s i n πn , 3sin 3cos ππn i n - ,1 ,3πn(3) i 1327-- (4))6sin()6cos(ππ-+-i ,i e 6π- (5) i 8- 2、(1) B (2) A (3) C (4 ) D3、)]43sin()43[cos(2ππ-+-i4、)12sin 12(cos 2261260πππi e w i -==- )127sin127(cos22612761πππi ew i +==)45sin 45(cos 2264562πππi ew i +==5、i 31+ 2- i 31-11.2 复数函数1、π<<w arg 02、4122=+v u3、21- 4、除i z ±=外处处连续11.3 解析函数1、(1) 1-n nz (2) 21z-(3) i z 232+ (4) i i ,,0- . 2、(1) D (2) B (3) A (4 ) C3、(1) 仅在21=y 上可导处处不解析 (2) 仅在x y 32±=上可导处处不解析4、3,1,3-==-=n m li z xy x i y x y z f 32323)3()3()(=-+-= i z z f 23)(='11.4 初等函数1、(1) )24(2ln ππk i ++ ⋅⋅⋅±=,1,0k , 42ln πi+(2) )]2ln 4sin()2ln 4[cos(224-+-+ππππi e k)]2ln 4sin()2ln 4[cos(24-+-πππi e(3) )1(2241i e + (4)2sh 1cos 2ch 2sin i + 2、i k z )22(ππ+= ⋅⋅⋅±±=,2,1,0k11.5 总 习 题1、(1) 23-,23 , i 2323-- ,223 , 43π(2) )]65sin()65[cos(4ππ-+-i , i e π654-(3) 3)12(2arctan 615π-+k ie ⋅⋅⋅=,1,0k (4) 8i -(5) 22y xx e + , 22yx y+-(6) 0,0,1>>=y x xy (7))22(3ln ππ-+k i ⋅⋅⋅±=,1,0k (8))22(ππ+-k e⋅⋅⋅±=,1,0k2、1=x ,11=y3、k n 4= ⋅⋅⋅±=,1,0k4、i 322-5、i z )22(20-+= i z )22(21++-=6、e , 3π-7、2 9、仅在0=+x y 上可导处处不解析10、1-=a 1=b 11、处处解析 )1()(z e z f z+='第12章 复变函数的积分12.1 复数函数积分的概念1、(1) i 3266+ (2) i 3266+ (3) i 3266+2、(1)i 6561+- (2)i 6561+-3、)1(32i +12.2 基本积分定理1、02、03、04、05、2sin 21π-6、 22)1(tan 21)(tan 211tan tan -+-i i 12.3 基本积分公式1、(1) i π2 (2)17164i ππ+ (3)aiπ (4)1-e π (5)0 (6)ei π (7)i i cos π- (8)12iπ2、(1) 0 (2) 当1>α时等于0 当1<α时等于i ie απ-12.4 解析函数与调和函数的关系1、C x y xy v ++-=222)2()2()(2222C x y xy i xy y x z f ++-+--=C z i ++=2)1(2、 21)(2222++++-=i y x y y x x z f z 121-= 3、C e z f p z +==)(1时 C e z f p z +=-=-)(1时12.5 总 习 题1、(1) i π2 (2) 0 (3) )21(ae a + (4) 0(5)i π2 (6) 1sin 2i π- (7)2112---ieie ππ (8)!52iπ-2、当α和-α都在C 的外部时为0,当α和-α都在C 的内部时为i π2,当α和-α一个在C 的外部一个在C 的内部时为i π3、2=k C x y xy v ++-=22422222)2()4()222()(z i x y xy i xy y x z f +=+-+--=4、2)211()222(2)(22222+-=-++++-=z i x y xy i xy y x z f第13章 复变函数的级数与留数定理13.1 复变函数项级数1、(1) C (2) D (3) A (4 ) D (5 ) B2、(1)1=R (2)22=R (3)1=R 13.2 泰勒级数1、(1) A (2) D2、(1)∑+∞=-03)1(n nnz1<z (2) ∑+∞=++-011n n n z 1<z3、(1) ∑+∞=++-01)1)(31n nn z 31<+z (2)∑+∞=++---0112)2)(3121()1(n nn n n z 32<-z 13.3 洛朗级数1、(1) B (2) B (3) B2、(1) ∑+∞-=+1)2(n nzn 10<<z(2) ∑+∞-=--2)1()1(n n nz 110<-<z(3)⋅⋅⋅++-+4321111z z z z +∞<<||1z (4) )842(21432⋅⋅⋅-+-zz z +∞<<||2z13.4 留数与留数定理1、(1) A (2) C (3) B (4 ) C (5 ) B (6) A (7) B (8) A (9) D (10) C2、(1) z = 0为一级极点 z = ±i 为二级极点 (2) z = 0为可去奇点(3) z = 0为三级极点 )2,1(,2⋅⋅⋅±±==k i k z k π为一级极点 3、(1) 21]0),([s Re -=z f 23]2),([s Re =z f (2) i i z f 83]),([s Re -= i i z f 83]),([s Re =-(3) ⋅⋅⋅±=+-=++1,0),2()1(]2),([s Re 1k k k z f k ππππ4、(1) i e 24π (2) i π213.5 总 习 题1、(1)1=R 1<-i z (2) m n -, 极 (3) 2 1 (4)121<<R (5) 4 2、(1)C (2) B (3) D (4) C (5 ) B (6 ) B3、∑+∞=++--01)()1()1(n nn n i z i 2<+i z 4、∑+∞=+--=--012)1(341321n n nn z z z +∞<<||3z 5、)2,1(,2,0⋅⋅⋅±±===k k z z k π为可去奇点)2,1,0(,)12(⋅⋅⋅±±=+=k k z k π为一级极点6、(1) i π4- (2) i 2π-高等数学(下)期中模拟试卷(一)一、1. D 2. C 3. C 4. D 5. C二、1. 212.⎰⎰⎰+33020)(ρπρρρθdz z f d d3. 6π4. {1,1,1}5. p > 0三、1. 当0 ≤ λ ≤ e 时绝对收敛,当λ > e 时发散 2. 条件收敛四、)12(32- 五、8π 六、2)133(32a -π 七、8八、428R π-九、 -4π 十、提示:⎰=-b a ydy a b 222 高等数学(下)期中模拟试卷(二)一、1. B 2. C 3. B 4. C 5. D 二、1. 2 2. 29-xy 3. -1 4. }2,2,2{222z xz y yz x xy --- 5. 7三、1. 绝对收敛 2. 条件收敛 四、π)212(ln - 五、π2六、74π七、611- 八、)32,0,0(R 九. -π十、提示:γβαθcos cos cos cos z y x n r r ++=⋅=→→高等数学(下)期末模拟试卷(一)一、1. A 2. B 3. B 4. C 5. B二、1. 4πR 32. -18π3. 83π4. 43π,21-+e e5. 2e 2三、2πi cos1 四、在直线21=x 上可导但处处不解析 五、∑+∞=+022n n n z+∞<<z 2 六、π5512a七、(1) R = 1 (-1,1) (2))1,1(11ln 21-∈-+x xx八、⎪⎪⎩⎪⎪⎨⎧=<≤-∑+∞=-ππx x nx n n n ,00,sin )1(211九、1. Cx x y +=2 2. 133++=x x y十、x x x e x f x 231)(23+-+=-高等数学(下)期末模拟试卷(二)一、1. A 2. D 3. A 4. D 5. C二、1. π 2. -3 3. )(C e x y x += 4. 052=+'+''y y y 5. -8i 2π-三、1.i π2 2. 0 四、仅在(0,0)点可导但处处不解析五、∑+∞=+--02)1(2)1(n n n nz +∞<-<12z 六、3π- 七、 [-1,1) )1,1[)1ln(-∈--x x ln2八、⎪⎪⎩⎪⎪⎨⎧=<<<≤+∑+∞=h x x h h x nx nh n h n ,21,0,cos sin 21πππ九、x y arcsin = 十、x x x e x x e e x y ----+-=)63(78)(2。
第十章 总积分习题解答第12次课 二重积分的概念及性质1、 略2、根据这三点可知区域:2120ln()10[ln()]ln()x y x y x y x y ≤+≤⇒<+<⇒<+<+由二重积分的性质即得到:20[ln()]ln()DDx y d x y d σσ<+<+⎰⎰⎰⎰ 2、 提示:对于二重积分(,)Df x y d σ⎰⎰,根据题设条件:(1) 积分区域是对称的(2) 被积函数(,)f x y 的奇偶性(注意一定要判定) 据(1)、(2)可得答案依次为:成立、不成立、成立3、 与3题方法一样:答案依次为:0、0、0、0。
4、 按照二重积分的定义(几何意义),答案:6π5、 222210ln()02x y x y <+≤⇒+<,再由积分中值定理,可得: 符号为负提高题:当00,0x y ρ+→⇒→→ 再由积分中值定理:2222222(,)(,)(,)x y x y f x y d f d f σσσεησπεησ+≤+≤==⎰⎰⎰⎰(1)将(1)代入所求式子:2222220020011lim (,)lim (,)lim lim (,)lim x y x y x y I f x y d f d f σσσσσσσεησππεησ++++→→→+≤+≤→→→===⎰⎰⎰⎰由(,)f x y 的连续性,有:00lim (,)=(0,0)x y f f εη→→故而:0I =第13次课 二重积分的计算法1、(1)根据积分区域: 11,11x y -≤≤-≤≤112222118()()3Dx y d dy x y dy σ--+=+=⎰⎰⎰⎰ 或者:根据对称性质:2222882()233D D Dy d x y d x d σσσ==+==⎰⎰⎰⎰⎰⎰ (2)根据积分区域:0000cos()(sin 2sin )11(cos 2cos 2cos cos )22()232xxdx x y dy x x x dxx x xdx x x xdx ππππππππππ+=-=---+=-+=⎰⎰⎰⎰⎰(3)根据积分区域32222220235222222002(4)311264(4)(4)(4)33515Dxy d xdx y dy x x dyx d x x σ==-=---=--=⎰⎰⎰⎰⎰(4)根据对称性: 1:0,0,1D x y x y ≥≥+≤1110112200()4()4()144((1)(1))2(1)23yDD x y dxdy x y dxdy dy x y dxy y y dy y dy -+=+=+=-+-=-=⎰⎰⎰⎰⎰⎰⎰⎰P45(5)sin 22220230320302202200()()1(sin sin ) (1)3sin (1cos )cos 124[cos cos ](2) (2)333cos [cos 2sin ]2(sin cos )xDx y d dx x y dyx x x dx xdx x d xx x x d x x x xd x x x x ππππππππππσππ-=--=--=--=--+=-=--++=-⎰⎰⎰⎰⎰⎰⎰⎰⎰2 4 (3)40(2)(3)(1)9π-由、得(6)33120112220112222201sin sin sin [(cos1cos )(cos cos1)]11[cos1sin ][sin cos1]221(cos1sin1sin 4sin14cos1cos1)22cos12sin1sin 42y y y y Dx x xd dy dx dy dx y y y y y dy y y dy y y y y σ=+=--+-=----=--+--++-=⎰⎰⎰⎰⎰⎰⎰⎰2、计算下列二重积分 (1)210120=2Dxydxdy ydy xdxπ==⎰⎰⎰⎰⎰(2)22141244253(cos )cos 4015y Dy DDa baby e x yx dxdy ye xdxdy y x dxdy x dx y dy a b ----+=+=+=⎰⎰⎰⎰⎰⎰⎰⎰P 46 (3) 坐标变换222222002220222ln(1)cos ln(1)sin 1ln(1)(1)2[(1)ln(1)(1)][(1)ln(1)]DDR R xy dxdyx r r rdrd y r d r d r r r r R R R πθθθθππ++=+==++=++-+=++-⎰⎰⎰⎰⎰⎰ (4)122221220111:10:01DD D x y x D y x D y x ≤≤-≤-≤-≤-≤≤-≤=+⎰⎰⎰⎰根据对称性:12221122()523D D x xdx dx π=+=+=+⎰⎰⎰⎰⎰⎰???3、 (1)110111110(,)(,)(,)(,)xxDyyf x y d dy f x y dydx f x y dy dx f x y dyσ-+-+==+⎰⎰⎰⎰⎰⎰⎰⎰(2)210111(,)(,)(,)(,)Dy f x y d dx f x y dy f x y dydy f x y dxσ-=+=⎰⎰⎰⎰P47 4 (1)211(,)y dy f x y dx +⎰⎰(2)4102(,)xdx f x y dy ⎰⎰(3)1(,)xdx f x y dy ⎰(4)120(,)yydy f x y dx -⎰⎰5(说明:以通常的级坐标表达式) (1)2cos 202(cos ,sin )d f r r rdr πθπθθθ-⎰⎰(2)20(cos ,sin )bad f r r rdr πθθθ⎰⎰6 (1)223320cos 44()()d f r rdr d f r rdr ππππθθθ-⎰⎰⎰⎰或者:232cos 4()d f r rdr ππθθ⎰⎰(2)1210cos sin (cos ,sin )d f r r rdrπθθθθθ+⎰⎰P-48 7 (1)2320016R d r dr R πθπ=⎰⎰(2)220(63cos 2sin )6Rd r r rdr R πθθθπ--=⎰⎰(3)cos 3cos 222220223232333322001()322224(1cos )sin 33339R R d R r d R d R d R R θππθππππθθθθθθ--=--=-===⎰⎰⎰⎰⎰提高题:11111001110011100(,)(,)[(,)(,)](1,)0,(,1)0,(1,)0(,1)0[(,)(,)](,)(,)[(,)(xyx x x Dy x x x x DI f x y dxdy xdx ydf x y x f x y y f x y dy dx f y f x f y f x x f x y y f x y dy dx xf x y dxdydy xdf x y f x y x f '''''===-''===='''=-=-=-=--⎰⎰⎰⎰⎰⎰⎰⎰⎰⎰⎰⎰由于得,11,)](,)Dx y dx dy f x y dxdy a==⎰⎰⎰⎰第十四次课 三重积分1、 略2、 (1)2102(,,)x y dx f x y z dz ++-⎰⎰(2)20(,,)dy f x y z dz ⎰3、(1)35600001112848ax ya x a xdx ydy zdz xdx y dy x dx a ===⎰⎰⎰⎰⎰⎰(2)2220222200cos()(1sin )1111(1sin )(cos sin )222162xdx ydy x z dz x dx ydyx xdx x x x x ππππππ-+=-=-=+-=-⎰⎰⎰⎰(3)11112201230111(3)(4)12!3!1(1)(3,4)333(7)36!180xxy xxdx ydy dz x dx y dyx x dx B --=ΓΓ=-====Γ⎰⎰⎰⎰⎰⎰ (4)22112201320)111(2)460x y xdx ydy dz xdx x y ydyx x x dx +=+=+=⎰⎰⎰⎰P-51 4、110(,,)zz ydz dy f x y z dx --⎰⎰⎰5、 (1)2221210001(1)x y r e dxdy dz d e rdr eπθπ---==-⎰⎰⎰⎰⎰(2)2212cos 0rV d r dr πθθ==⎰⎰或者由对称性也可得为零P-52(3)2222520()430hhd r dr r h r dr h πππθ=-=⎰⎰⎰提高题:根据三重积分的性质:222()()F t zdV f x y z dV ΩΩ=+++⎰⎰⎰⎰⎰⎰将分成的两部分分别计算22204(2)18rzdV d rdr t r rdrt πθππΩ==-=⎰⎰⎰⎰2222200322323()()()()1212())2()[()2332()(1)32rf x y z dV f dVt f dV f d rdr f r r dr f t r r f t πξξξξθπξπξπξΩΩΩ++=≤====---=-⎰⎰⎰⎰⎰⎰⎰⎰⎰⎰433003012()()(1832()12limlim[()(18300()(0)()2lim(132t t t F t t f tF t t f t t f x f a F t a t ππξππξξπ→→+→=+-=+→→==-由于当时,可得再有的连续性和条件得: 第十五次课 重积分的应用P-53 1、 (1)11101)12S dx dx π===-⎰⎰(2)由对称性:33(1cos )2222211221(cos 2cos )(2)24a ad d a d a πθππππθσσθθθ-=-=+⎰⎰⎰2(1)由对称性:122202120044)1cos 1(1)228sin Dzd dx x y dyx r d r rdr y r πσθπθθ=--=⇒-==⎰⎰⎰⎰⎰ P-54 (2)1122022221()612()26xDDDDzd dx x y dy x d x y d y d σσσσ-=+==+==⎰⎰⎰⎰⎰⎰⎰⎰⎰⎰由等价和对称性:3、122222013320()()114[(2)2(1)]333xxDDd xy dxdy dx x y dyx x x x dx ρσ-=+=+=--+-=⎰⎰⎰⎰⎰⎰⎰4、DDS dxdy ===P-55 522cos 222202(1sin )2(1)2DDa S a a d ad a ππθπθθθ===-=-=-⎰⎰⎰⎰⎰⎰⎰根据对称性和极坐标变换:6根据对称性:只计算第一象限22388168()3RD RV dV dxdy dx R x dx R ====-=⎰⎰⎰⎰⎰⎰⎰一象限72122012240322(,)11()235(,)3548(,)3554xxDDy DDxDDMM x y dxdy x ydxdy dx x ydyx x x dx x y xdxdyx ydxdy M x M MMx y ydxdyx y dxdyM y MMMμμμ====-=========⎰⎰⎰⎰⎰⎰⎰⎰⎰⎰⎰⎰⎰⎰⎰设薄板的质量:821232330cos cos sin 4y Dx ar I x dxdya b d r dr a b y br πθπθθθ==⇒==⎰⎰⎰⎰9设密度>0k ρ= 根据对称性:就以绕Z 轴的转动惯量即可226235(2sin 9z RI I k x y k R k d d r dr πππθϕϕ==+==⎰⎰⎰⎰⎰⎰第十六次课 第十章 总复习题 1 (1)132212(1)233Dd r ππθπ==--=⎰⎰(2)2220222sin 2sin 2cos 2[cos sin ]6Dd r rdr r rdrrd r r r r πππππππππσθππππ===-=--=-⎰⎰⎰⎰⎰⎰(3)22222222222200ln(1)ln(1)1ln(1)(1)[(1)ln(1)(1)]224(5ln 54)4Dx y dxdy d r rdr r d r r r r πθπππ++=+=++=++-+=-⎰⎰⎰⎰⎰ (4)122212222222222222000:22[2()][2]:235)2)2DD D D x y x y dxdyx y dxdy x y dxdyD x y d r rdr d r rdr ππθθπ+≤+-⇒-+++-≤+≤-+-=⎰⎰⎰⎰⎰⎰⎰⎰(5)2sin 24304208(sin cos )(sin cos sin )3161631sin 33422d r dr d d πθππθθθθθθθπθθπ+=+===⎰⎰⎰⎰2 (1)21(,)xxdx f x y dy ⎰⎰(2)101(,)(,)dx f x y dy f x y dy +⎰(3)1302(,)xxdx f x y dy -⎰⎰(4)11arcsin 02arcsin 012arcsin 21arcsin 0arcsin 12arcsin (,)(,)(,)(,)(,)yy yyyydy f x y dx dy f x y dx dy f x y dxdy f x y dx dy f x y dxππππππ------+++⎰⎰⎰⎰⎰⎰⎰⎰⎰⎰或者:302sin 00404(,)2(1cos )(2aa a xI dx f x y dy d a d aθππθπθθ-----===-=⎰⎰⎰⎰⎰413210,0,120sin()1ln()038D x y x y x y x y x y I I I d σ≥≥≤+≤⎧⎫⎪⎪<+<+≤⎪⎪⎪⎪⇒+≤⇒<<⎨⎬⎪⎪⎪⎪=⎪⎪⎩⎭⎰⎰因为:由积分的性质可得: 5(1)222200022200()()()()0,0()lim lim ()0(2)()(1),lim lim ()(0)(3)DDt t Da a t F t f x y d f d f t t F t f t t f x y d f f aξξξξξσξσξπξξπσξπ++++++++++→→→→→→→→∃∈=+==→→==+==⎰⎰⎰⎰⎰⎰由积分的性质,(0,):由略65112220427y DI x dxdy x dx x dx ρρρρ====⎰⎰⎰⎰ 72222222120[4(3)](44)442cos (1)sin D Dy y y V x x x dxdyx r d r rdr y πθθθ=---+=--=⇒-==⎰⎰⎰⎰⎰822222221002cos 3343220442cos 2cos 32220223434222132cos (2)24122cos 4cos x y aaa xxa x y a a a x y V dx dz dx dy ad r dr a d a a V dV d rdr dz d r dr a ad a d ππθππππθθππππππθθθθθθθθθ++---+=====-=====⎰⎰⎰⎰⎰⎰⎰⎰⎰⎰⎰⎰⎰⎰⎰整332321313442242a a V V V a ππ===-=⎰9(1)222222222230264()()(2)23x y r xy dV x y dxdy dz d r dr πθπ+Ω+=+=-=⎰⎰⎰⎰⎰⎰⎰⎰(2)350011()480aa xa xyzdV xdx ydy zdz x a x dx a -Ω==-=⎰⎰⎰⎰⎰⎰(3)2320220(1sin )16(1sin )48xyzdV dxdy zdz d drd ππθθθθπΩ==+=+=⎰⎰⎰⎰⎰⎰⎰⎰(4)2222222222202021sin 422()2()(21)!ax y z r aaar r a r n a n edV d d e r dre r dr rde ae e dr a ae n n ππθϕϕππππ++Ω++∞=====-=-+⎰⎰⎰⎰⎰⎰⎰⎰⎰∑()22222222224cos 0sec cos 440:0,02(1)(1)a aaar x y x y r Da aD x a y ae dre dx e dy edxdy d e rdr ed e d πθππθθθθθ+⎛⎫ ⎪⎝⎭≤≤≤≤====-=-⎰⎰⎰⎰⎰⎰⎰⎰⎰接下来求:此法行不通,前面用的级数展开表达式10设球的密度为ρ有对称性可知重心坐标0,0x y ==948M V zdV zdVz M ρρπρρΩΩ=====⎰⎰⎰⎰⎰⎰可得质心为:(2)令密度为ρ,质量为M ,由题意知ρ=22cos 320420sin 88sin cos 5M dV d d r drd ππϕπρθϕϕπϕϕϕπ=====⎰⎰⎰⎰⎰⎰⎰22cos 420sin cos 64835875d d r drzdVz MMMππϕθϕϕϕρππ=====⎰⎰⎰⎰⎰⎰⎰⎰⎰11 直角坐标:3x y +⎰柱面坐标: 2203r d πθ⎰⎰球面坐标:22223003cos 222sin3sin (sin cos ,sin sin ,cos )sin (sin cos ,sin sin ,cos )d d f r r r r dr d d f r r r r drπππϕπϕπθϕϕϕθϕθϕθϕϕϕθϕθϕ+⎰⎰⎰⎰⎰⎰(2)根据对称性:24223(,,)()13)94r f x y z dV x y z dV zdVr d r rdr πθππΩΩΩ=++==--=⎰⎰⎰⎰⎰⎰⎰⎰⎰⎰⎰12132cos 23220033202sin sin cos 3sin 2263a dV d d r dr a d ad a πππϕππθϕϕϕϕϕππϕϕ====⎰⎰⎰⎰⎰⎰⎰⎰13201)6S d ππθ===⎰⎰⎰⎰表14提示:按照定义证明 152222222222221122000021122112()(1)sin cos 1(1)sin cos sin (1)2(1)1((1)(1))11.1..((1)(1))2418(1)1lim RR pRR R p p R R p pp p xI dV x y z x y z r dr d r I d d d d r r R R R p p Rp ππππϕθθϕϕθθϕϕππΩ----=++++++==+++-+==+-+-->⎰⎰⎰⎰⎰⎰⎰⎰⎰用球坐标变换得如下:当时,8(1)1lim R R R R I p p I π→+∞→+∞=-<=+∞当时,(注:本资料素材和资料部分来自网络,仅供参考。