大学物理上答案浙江大学出版社第八章
- 格式:pdf
- 大小:8.29 MB
- 文档页数:28
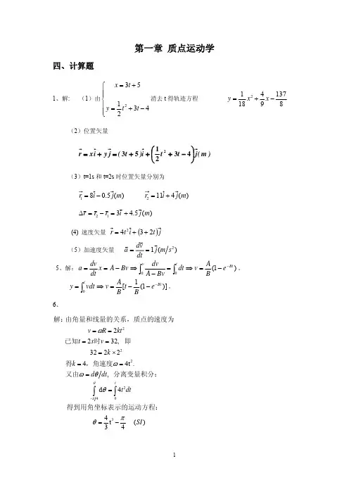
第1章 质点运动学 P211.8 一质点在xOy 平面上运动,运动方程为:x =3t +5, y =21t 2+3t -4. 式中t 以 s 计,x ,y 以m 计。
⑴以时间t 为变量,写出质点位置矢量的表示式;⑵求出t =1 s 时刻和t =2s 时刻的位置矢量,计算这1秒内质点的位移;⑶计算t =0 s 时刻到t =4s 时刻内的平均速度;⑷求出质点速度矢量表示式,计算t =4 s 时质点的速度;(5)计算t =0s 到t =4s 内质点的平均加速度;(6)求出质点加速度矢量的表示式,计算t =4s 时质点的加速度(请把位置矢量、位移、平均速度、瞬时速度、平均加速度、瞬时加速度都表示成直角坐标系中的矢量式)解:(1)j t t i t r)4321()53(2-+++=m⑵ 1=t s,2=t s 时,j i r5.081-= m ;2114r i j =+m∴ 213 4.5r r r i j ∆=-=+m⑶0t =s 时,054r i j =-;4t =s 时,41716r i j =+ ∴ 140122035m s 404r r r i j i j t --∆+====+⋅∆-v ⑷ 1d 3(3)m s d ri t j t-==++⋅v ,则:437i j =+v 1s m -⋅ (5) 0t =s 时,033i j =+v ;4t =s 时,437i j =+v 24041 m s 44ja j t --∆====⋅∆v v v (6) 2d 1 m s d a j t-==⋅v这说明该点只有y 方向的加速度,且为恒量。
1.9 质点沿x 轴运动,其加速度和位置的关系为226a x =+,a 的单位为m/s 2,x 的单位为m 。
质点在x =0处,速度为10m/s,试求质点在任何坐标处的速度值。
解:由d d d d d d d d x a t x t x===v v v v 得:2d d (26)d a x x x ==+v v 两边积分210d (26)d xx x =+⎰⎰vv v 得:2322250x x =++v∴ 1m s -=⋅v1.11 一质点沿半径为1 m 的圆周运动,运动方程为θ=2+33t ,式中θ以弧度计,t 以秒计,求:⑴ t =2 s 时,质点的切向和法向加速度;⑵当加速度的方向和半径成45°角时,其角位移是多少?解: t tt t 18d d ,9d d 2====ωβθω ⑴ s 2=t 时,2s m 362181-⋅=⨯⨯==βτR a2222s m 1296)29(1-⋅=⨯⨯==ωR a n ⑵ 当加速度方向与半径成ο45角时,有:tan 451n a a τ︒==即:βωR R =2,亦即t t 18)9(22=,解得:923=t 则角位移为:322323 2.67rad 9t θ=+=+⨯= 1.13 一质点在半径为0.4m 的圆形轨道上自静止开始作匀角加速度转动,其角加速度为α=0.2 rad/s 2,求t =2s 时边缘上各点的速度、法向加速度、切向加速度和合加速度。
大学物理学第版修订版邮电大学出版社上册第八章习题答案集团标准化工作小组 [Q8QX9QT-X8QQB8Q8-NQ8QJ8-M8QMN]习题8 选择题(1) 关于可逆过程和不可逆过程有以下几种说法:① 可逆过程一定是准静态过程.② 准静态过程一定是可逆过程.③ 不可逆过程发生后一定找不到另一过程使系统和外界同时复原.④ 非静态过程一定是不可逆过程.以上说法,正确的是:[](A) ①、②、③、④. (B) ①、②、③.(C) ②、③、④. (D) ①、③、④.[答案:D. 准静态过程不一定是可逆过程.因准静态过程中可能存在耗散效应,如摩擦、粘滞性、电阻等。
](2) 热力学第一定律表明:[](A) 系统对外做的功不可能大于系统从外界吸收的热量.(B) 系统内能的增量等于系统从外界吸收的热量.(C) 不可能存在这样的循环过程,在此循环过程中,外界对系统做的功不等于系统传给外界的热量.(D) 热机的效率不可能等于1.[答案:C 。
热力学第一定律描述个热力学过程中的能量守恒定性质。
](3) 如题图所示,bca 为理想气体绝热过程,b 1a 和b 2a 是任意过程,则上述两过程中气体做功与吸收热量的情况是: [ ](A) b 1a 过程放热,做负功;b 2a 过程放热,做负功.(B) b 1a 过程吸热,做负功;b 2a 过程放热,做负功.(C) b 1a 过程吸热,做正功;b 2a 过程吸热,做负功.(D) b 1a 过程放热,做正功;b 2a 过程吸热,做正功.[答案:B 。
b 1acb 构成正循环,ΔE = 0,A 净 > 0,Q = Q b 1a + Q acb = A 净 >0,但 Q acb = 0,∴ Q b 1a >0 吸热; b 1a 压缩,做负功b 2a cb 构成逆循环,ΔE = 0,A 净 < 0,Q = Q b 2a + Q acb = A 净 <0,p但Q acb= 0,∴ Q b2a <0 放热 ; b2a压缩,做负功](4) 根据热力学第二定律判断下列哪种说法是正确的.[](A) 功可以全部变为热,但热不能全部变为功.(B) 热量能从高温物体传到低温物体,但不能从低温物体传到高温物体.(C) 气体能够自由膨胀,但不能自动收缩.(D) 有规则运动的能量能够变为无规则运动的能量,但无规则运动的能量不能变为有规则运动的能量.[答案:C. 热力学第二定律描述自然热力学过程进行的条件和方向性。
大学物理上册习题答案大学物理上册习题答案大学物理是一门重要的基础课程,涵盖了广泛的知识领域,从力学到热学,从电磁学到光学。
学生们通过学习这门课程,可以掌握自然界中的物质和运动规律,培养逻辑思维和问题解决能力。
然而,对于初学者来说,物理习题往往是一个难题。
因此,在这篇文章中,我将给出一些大学物理上册习题的答案,希望能够帮助学生们更好地理解和掌握物理知识。
1. 问题:一个质点以初速度v0匀速沿水平方向运动,经过一段时间t后,它的速度变为v。
求加速度a。
答案:根据匀加速直线运动的公式v = v0 + at,将题目中的数据代入,得到v = v0 + at。
解方程得到a = (v - v0) / t。
2. 问题:一个质点以初速度v0匀速沿水平方向运动,经过一段时间t后,它的位移变为s。
求加速度a。
答案:根据匀加速直线运动的公式s = v0t + (1/2)at^2,将题目中的数据代入,得到s = v0t + (1/2)at^2。
解方程得到a = 2(s - v0t) / t^2。
3. 问题:一个质点以初速度v0匀速沿斜面下滑,经过一段时间t后,它的速度变为v。
求加速度a。
答案:根据斜面下滑运动的公式v = v0 + gt,将题目中的数据代入,得到v = v0 + gt。
解方程得到a = (v - v0) / t。
4. 问题:一个质点以初速度v0自由落体运动,经过一段时间t后,它的位移变为s。
求加速度a。
答案:根据自由落体运动的公式s = v0t + (1/2)gt^2,将题目中的数据代入,得到s = v0t + (1/2)gt^2。
解方程得到a = 2(s - v0t) / t^2。
5. 问题:一个质点以初速度v0匀速沿水平方向运动,经过一段时间t后,它的速度变为v。
如果加速度为a,求位移s。
答案:根据匀加速直线运动的公式v = v0 + at,将题目中的数据代入,得到v = v0 + at。
解方程得到s = v0t + (1/2)at^2。
物理部分课后习题答案(标有红色记号的为老师让瞧的题)27页 1-2 1-4 1-121-2 质点的运动方程为22,(1)x t y t ==-,,x y 都以米为单位,t 以秒为单位,求:(1) 质点的运动轨迹;(2) 从1t s =到2t s =质点的位移的大小; (3) 2t s =时,质点的速度与加速度。
解:(1)由运动方程消去时间t 可得轨迹方程,将t =,有21)y =或 1=(2)将1t s =与2t s =代入,有11r i =, 241r i j =+213r r r i j =-=-位移的大小 231r =+=(3) 2x dxv t dt== 2(1)y dy v t dt==-22(1)v ti t j =+-2xx dv a dt==, 2y y dv a dt == 22a i j =+当2t s =时,速度与加速度分别为42/v i j m s =+22a i j =+ m/s 21-4 设质点的运动方程为cos sin ()r R ti R t j SI ωω=+,式中的R 、ω均为常量。
求(1)质点的速度;(2)速率的变化率。
解 (1)质点的速度为sin cos d rv R ti R t j dtωωωω==-+ (2)质点的速率为v R ω==速率的变化率为0dvdt= 1-12 质点沿半径为R 的圆周运动,其运动规律为232()t SI θ=+。
求质点在t 时刻的法向加速度n a 的大小与角加速度β的大小。
解 由于 4d t dtθω== 质点在t 时刻的法向加速度n a 的大小为2216n a R Rt ω==角加速度β的大小为 24/d rad s dtωβ==77页2-15, 2-30, 2-34,2-15 设作用于质量1m kg =的物体上的力63()F t SI =+,如果物体在这一力作用下,由静止开始沿直线运动,求在0到2.0s 的时间内力F 对物体的冲量。
大学物理学上册习题解答HUA system office room 【HUA16H-TTMS2A-HUAS8Q8-HUAH1688】大学物理学习题答案习题一答案习题一1.1 简要回答下列问题:(1)位移和路程有何区别在什么情况下二者的量值相等在什么情况下二者的量值不相等(2) 平均速度和平均速率有何区别在什么情况下二者的量值相等(3) 瞬时速度和平均速度的关系和区别是什么瞬时速率和平均速率的关系和区别又是什么(4)质点的位矢方向不变,它是否一定做直线运动质点做直线运动,其位矢的方向是否一定保持不变(5) (6)r ∆和r ∆有区别吗?v ∆和v ∆有区别吗?0dv dt =和0d v dt=各代表什么运动? (7)设质点的运动方程为:()x x t =,()y y t =,在计算质点的速度和加速度时,有人先求出r =dr v dt= 及 22d r a dt =而求得结果;又有人先计算速度和加速度的分量,再合成求得结果,即v = 及 a = 你认为两种方法哪一种正确两者区别何在(7) 如果一质点的加速度与时间的关系是线性的,那么,该质点的速度和位矢与时间的关系是否也是线性的?(8)“物体做曲线运动时,速度方向一定在运动轨道的切线方向,法向分速度恒为零,因此其法向加速度也一定为零.”这种说法正确吗?(9)(9) 任意平面曲线运动的加速度的方向总指向曲线凹进那一侧,为什么?(10) 质点沿圆周运动,且速率随时间均匀增大,n a 、t a 、a 三者的大小是否随时间改变?(11) 一个人在以恒定速度运动的火车上竖直向上抛出一石子,此石子能否落回他的手中如果石子抛出后,火车以恒定加速度前进,结果又如何1.2 一质点沿x 轴运动,坐标与时间的变化关系为224t t x -=,式中t x ,分别以m 、s 为单位,试计算:(1)在最初s 2内的位移、平均速度和s 2末的瞬时速度;(2)s 1末到s 3末的平均加速度;(3)s 3末的瞬时加速度。
大学物理浙江大学答案【篇一:1992-2016年浙江大学820普通物理考研真题及答案解析汇编】我们是布丁考研网浙大考研团队,是在读学长。
我们亲身经历过浙大考研,录取后把自己当年考研时用过的资料重新整理,从本校的研招办拿到了最新的真题,同时新添加很多高参考价值的内部复习资料,保证资料的真实性,希望能帮助大家成功考入浙大。
此外,我们还提供学长一对一个性化辅导服务,适合二战、在职、基础或本科不好的同学,可在短时间内快速把握重点和考点。
有任何考浙大相关的疑问,也可以咨询我们,学长会提供免费的解答。
更多信息,请关注布丁考研网。
以下为本科目的资料清单(有实物图及预览,货真价实): 2017年浙江大学《普通物理》全套资料包含:一、浙江大学《普通物理》历年考研真题及答案 2016年浙江大学《普通物理》考研真题(含答案解析)2014年浙江大学《普通物理》考研真题 2012年浙江大学《普通物理》考研真题(含答案解析)2011年浙江大学《普通物理》考研真题(含答案解析) 2010年浙江大学《普通物理》考研真题(含答案解析) 2009年浙江大学《普通物理》考研真题(含答案解析) 2008年浙江大学《普通物理》考研真题(含答案解析) 2007年浙江大学《普通物理》考研真题(含答案解析) 2006年浙江大学《普通物理》考研真题(含答案解析)2005年浙江大学《普通物理》考研真题(含答案解析) 2004年浙江大学《普通物理》考研真题(含答案解析)2003年浙江大学《普通物理》考研真题(含答案解析)2002年浙江大学《普通物理》考研真题(含答案解析)2001年浙江大学《普通物理》考研真题(含答案解析)2000年浙江大学《普通物理》考研真题1999年浙江大学《普通物理》考研真题1998年浙江大学《普通物理》考研真题1997年浙江大学《普通物理》考研真题1996年浙江大学《普通物理》考研真题1995年浙江大学《普通物理》考研真题1994年浙江大学《普通物理》考研真题1993年浙江大学《普通物理》考研真题1992年浙江大学《普通物理》考研真题二、浙江大学《大学物理及实验》期中期末试题汇编三、浙江大学《普通物理》复习笔记1、浙江大学《普通物理》考研笔记此笔记是刚考上的2016届研究生在对浙大的普物课本仔细研读和对课后习题以及真题认真分析解答的基础上整理而成的公式定律总结和部分解题技巧。
浙江大学大学物理答案【篇一:11-12-2大学物理乙期末试题b】《大学物理乙(上)》课程期末考试试卷 (b)开课分院:基础部,考试形式:闭卷,允许带非存储计算器入场考试日期:2012年月日,考试所需时间: 120 分钟考生姓名学号考生所在分院:专业班级: .一、填空题(每空2分,共50分):1、一个0.1kg的质点做简谐振动,运动方程为x(t)?0.2cos3t m,则该质点的最大加速度amax,质点受到的合力随时间变化的方程f(t。
2、一质点作简谐振动,振幅为a,初始时具有振动能量2.4j。
当质点运动到a/2处时,质点的总能量为 j,其中动能为j。
3、在宁静的池水边,你用手指以2hz的频率轻叩池面,在池面上荡起水波,波速为2m/s,则这些波的波长为 m。
4、两列波在空间相遇时能够产生干涉现象的三个条件为:,振动方向相同,初相位差恒定。
5、如图所示,在均匀介质中,相干波源a和b相距3m,它们所发出的简谐波在ab连线上的振幅均为0.4m,波长均为2m,且a为波峰时b恰好为波谷,那么ab连线中点的振幅为 m,在ba延长线上,a点外侧任一点的振幅为m。
6、已知空气中的声速340m/s,一辆汽车以40m/s的速度驶近一静止的观察者,汽车喇叭的固有频率为555hz,则观察者听到喇叭的音调会更________(填“高”或“低”),其频率为____________ hz。
(请保留三位有效数字)......7、已知800k时某气体分子的方均根速率为500m/s,当该气体降温至200k时,其方均根速率为__________m/s。
8、体积为2?10?3m3的理想气体,气体分子总数为5.4?1022个,其温度为362k,则气体的压强为_________________pa。
9、麦克斯韦速率分布曲线下的面积恒等于_________。
10、一定量氢气在500k的温度下,分子的平均平动动能为______________________j,分子的平均转动动能为________________________j。
第八章 电磁感应 电磁场8 -1 一根无限长平行直导线载有电流I ,一矩形线圈位于导线平面内沿垂直于载流导线方向以恒定速率运动(如图所示),则( ) (A ) 线圈中无感应电流(B ) 线圈中感应电流为顺时针方向 (C ) 线圈中感应电流为逆时针方向 (D ) 线圈中感应电流方向无法确定分析与解 由右手定则可以判断,在矩形线圈附近磁场垂直纸面朝里,磁场是非均匀场,距离长直载流导线越远,磁场越弱.因而当矩形线圈朝下运动时,在线圈中产生感应电流,感应电流方向由法拉第电磁感应定律可以判定.因而正确答案为(B ).8 -2 将形状完全相同的铜环和木环静止放置在交变磁场中,并假设通过两环面的磁通量随时间的变化率相等,不计自感时则( )(A ) 铜环中有感应电流,木环中无感应电流 (B ) 铜环中有感应电流,木环中有感应电流 (C ) 铜环中感应电动势大,木环中感应电动势小 (D ) 铜环中感应电动势小,木环中感应电动势大分析与解 根据法拉第电磁感应定律,铜环、木环中的感应电场大小相等, 但在木环中不会形成电流.因而正确答案为(A ).8 -3 有两个线圈,线圈1 对线圈2 的互感系数为M 21 ,而线圈2 对线圈1的互感系数为M 12 .若它们分别流过i 1 和i 2的变化电流且,并设由i 2变化在线圈1 中产生的互感电动势为ε12 ,由i 1 变化在线圈2 中产生的互感电动势为ε21 ,下述论断正确的是( ). (A ) , (B ) , (C ),ti t i d d d d 21<2112M M =1221εε=2112M M ≠1221εε≠2112M M =1221εε<(D ) ,分析与解 教材中已经证明M21 =M12 ,电磁感应定律;.因而正确答案为(D ). 8 -4 对位移电流,下述四种说法中哪一种说法是正确的是( ) (A ) 位移电流的实质是变化的电场(B ) 位移电流和传导电流一样是定向运动的电荷 (C ) 位移电流服从传导电流遵循的所有定律 (D ) 位移电流的磁效应不服从安培环路定理分析与解 位移电流的实质是变化的电场.变化的电场激发磁场,在这一点位移电流等效于传导电流,但是位移电流不是走向运动的电荷,也就不服从焦耳热效应、安培力等定律.因而正确答案为(A ). 8 -5 下列概念正确的是( ) (A ) 感应电场是保守场(B ) 感应电场的电场线是一组闭合曲线(C ) ,因而线圈的自感系数与回路的电流成反比 (D ) ,回路的磁通量越大,回路的自感系数也一定大分析与解 对照感应电场的性质,感应电场的电场线是一组闭合曲线.因而 正确答案为(B ).8 -6 一铁心上绕有线圈100匝,已知铁心中磁通量与时间的关系为,求在时,线圈中的感应电动势.分析 由于线圈有N 匝相同回路,线圈中的感应电动势等于各匝回路的感应电动势的代数和,在此情况下,法拉第电磁感应定律通常写成,其中称为磁链. 解 线圈中总的感应电动势当 时,.8 -7 有两根相距为d 的无限长平行直导线,它们通以大小相等流向相反的电流,且电流均以的变化率增长.若有一边长为d 的正方形线圈与两导线处于同一平面内,如图所示.求线圈中的感应电动势.2112M M =1221εε<t i M εd d 12121=tiM εd d 21212=LI Φm =LI Φm =()Wb π100sin 100.85t Φ⨯=s 100.12-⨯=t tψt ΦN ξd d d d -=-=ΦN ψ=()()t tΦNξπ100cos 51.2d d =-=s 100.12-⨯=t V 51.2=ξtId d分析 本题仍可用法拉第电磁感应定律来求解.由于回路处在非均匀磁场中,磁通量就需用来计算(其中B 为两无限长直电流单独存在时产生的磁感强度B 1 与B 2 之和).为了积分的需要,建立如图所示的坐标系.由于B 仅与x 有关,即,故取一个平行于长直导线的宽为dx 、长为d 的面元dS ,如图中阴影部分所示,则,所以,总磁通量可通过线积分求得(若取面元,则上述积分实际上为二重积分).本题在工程技术中又称为互感现象,也可用公式求解.解1 穿过面元dS 的磁通量为因此穿过线圈的磁通量为再由法拉第电磁感应定律,有解2 当两长直导线有电流I 通过时,穿过线圈的磁通量为线圈与两长直导线间的互感为tΦξd d -=⎰⋅=SΦS B d ()B B x =x d S d d =y x S d d d =tl ME M d d -=()x d xIμx d d x I μΦd π2d π2d d d d 0021-+=⋅+⋅=⋅=S B S B S B ()43ln π2d π2d π2d 02020Id μx x Id μx d x Id μΦΦd d dd=-+==⎰⎰⎰tI d μt ΦE d d 43ln π2d d 0⎪⎭⎫ ⎝⎛=-=43ln π20dI μΦ=43ln π20d μI ΦM ==当电流以变化时,线圈中的互感电动势为 试想:如线圈又以速率v 沿水平向右运动,如何用法拉第电磁感应定律求图示位置的电动势呢?此时线圈中既有动生电动势,又有感生电动势.设时刻t ,线圈左端距右侧直导线的距离为ξ,则穿过回路的磁通量,它表现为变量I 和ξ的二元函数,将Φ代入 即可求解,求解时应按复合函数求导,注意,其中,再令ξ=d 即可求得图示位置处回路中的总电动势.最终结果为两项,其中一项为动生电动势,另一项为感生电动势.8 -8 有一测量磁感强度的线圈,其截面积S =4.0 cm 2 、匝数N =160 匝、电阻R =50Ω.线圈与一内阻R i =30Ω的冲击电流计相连.若开始时,线圈的平面与均匀磁场的磁感强度B 相垂直,然后线圈的平面很快地转到与B 的方向平行.此时从冲击电流计中测得电荷值.问此均匀磁场的磁感强度B 的值为多少? 分析 在电磁感应现象中,闭合回路中的感应电动势和感应电流与磁通量变化的快慢有关,而在一段时间内,通过导体截面的感应电量只与磁通量变化的大小有关,与磁通量变化的快慢无关.工程中常通过感应电量的测定来确定磁场的强弱.解 在线圈转过90°角时,通过线圈平面磁通量的变化量为因此,流过导体截面的电量为则 8 -9 如图所示,一长直导线中通有I =5.0 A 的电流,在距导线9.0 cm 处,放一面积为0.10 cm 2 ,10 匝的小圆线圈,线圈中的磁场可看作是均匀的.今在1.0 ×10-2 s 内把此线圈移至距长直导线10.0 cm 处.求:(1) 线圈中平均感应电动势;(2) 设线圈的电阻为1.0×10-2Ω,求通过线圈横截面的感应电荷.tld d tI d μt I ME d d 43ln π2d d 0⎪⎭⎫ ⎝⎛=-=()ξf ΦS,1d =⋅=⎰S B tΦE d d -=v =tξd d 54.010C q -=⨯NBS NBS ΦΦΦ=-=-=0Δ12ii R R NBSR R Φq +=+=Δ()T 050.0=+=NSR R q B i分析 虽然线圈处于非均匀磁场中,但由于线圈的面积很小,可近似认为穿过线圈平面的磁场是均匀的,因而可近似用来计算线圈在始、末两个位置的磁链. 解 (1) 在始、末状态,通过线圈的磁链分别为, 则线圈中的平均感应电动势为电动势的指向为顺时针方向.(2) 通过线圈导线横截面的感应电荷为8 -10 如图(a)所示,把一半径为R 的半圆形导线OP 置于磁感强度为B 的均匀磁场中,当导线以速率v 水平向右平动时,求导线中感应电动势E 的大小,哪一端电势较高?NBS ψ=1011π2r IS μN S NB ψ==2022π2r ISμN S NB ψ==V 1011.111πΔ2ΔΔ8210-⨯=⎪⎪⎭⎫ ⎝⎛-==r r t IS μN t ΦE tΦE d d -=分析 本题及后面几题中的电动势均为动生电动势,除仍可由求解外(必须设法构造一个闭合回路),还可直接用公式求解.在用后一种方法求解时,应注意导体上任一导线元dl 上的动生电动势.在一般情况下,上述各量可能是dl 所在位置的函数.矢量(v ×B )的方向就是导线中电势升高的方向.解1 如图(b)所示,假想半圆形导线O P 在宽为2R 的静止形导轨上滑动,两者之间形成一个闭合回路.设顺时针方向为回路正向,任一时刻端点O 或 端点P 距 形导轨左侧距离为x ,则即由于静止的 形导轨上的电动势为零,则E =-2R v B .式中负号表示电动势的方向为逆时针,对OP 段来说端点P 的电势较高.解2 建立如图(c )所示的坐标系,在导体上任意处取导体元dl ,则由矢量(v ×B )的指向可知,端点P 的电势较高.解3 连接OP 使导线构成一个闭合回路.由于磁场是均匀的,在任意时刻,穿过回路的磁通量常数.由法拉第电磁感应定律可知,E =0 又因 E =E OP +E PO 即 E OP =-E PO =2R v B由上述结果可知,在均匀磁场中,任意闭合导体回路平动所产生的动生电动势为零;而任意曲线形导体上的动生电动势就等于其两端所连直线形导体上的动生电动势.上述求解方法是叠加思想的逆运用,即补偿的方法. 8 -11 长为L 的铜棒,以距端点r 处为支点,以角速率ω绕通过支点且垂直于铜棒的轴转动.设磁感强度为B 的均匀磁场与轴平行,求棒两端的电势差.tΦE d d -=()l B d ⋅⨯=⎰lE v ()l B d d ⋅⨯=v E B R Rx Φ⎪⎭⎫⎝⎛+=2π212B R txRB t ΦE v 2d d 2d d -=-=-=()θR θB l θB E o d cos d cos 90sin d d v v ==⋅⨯=l B v B R θθBR E v v 2d cos d E π/2π/2===⎰⎰-==BS ΦtΦE d d -=分析 应该注意棒两端的电势差与棒上的动生电动势是两个不同的概念,如同电源的端电压与电源电动势的不同.在开路时,两者大小相等,方向相反(电动势的方向是电势升高的方向,而电势差的正方向是电势降落的方向).本题可直接用积分法求解棒上的电动势,亦可以将整个棒的电动势看作是O A 棒与O B 棒上电动势的代数和,如图(b)所示.而E O A 和E O B 则可以直接利用第8 -2 节例1 给出的结果. 解1 如图(a)所示,在棒上距点O 为l 处取导体元dl ,则因此棒两端的电势差为当L >2r 时,端点A 处的电势较高解2 将AB 棒上的电动势看作是O A 棒和O B 棒上电动势的代数和,如图(b)所示.其中, 则8 -12 如图所示,长为L 的导体棒OP ,处于均匀磁场中,并绕OO ′轴以角速度ω旋转,棒与转轴间夹角恒为θ,磁感强度B 与转轴平行.求OP 棒在图示位置处的电动势.()()r L lB ωl lB ωE L-rr ABAB 221d d --=-=⋅⨯=⎰⎰-l B v ()r L lB ωE U AB AB 221--==221r ωB E OA =()221r L B ωE OB -=()r L BL ωE E E OB OA AB 221--=-=分析 如前所述,本题既可以用法拉第电磁感应定律 计算(此时必须构造一个包含OP 导体在内的闭合回路, 如直角三角形导体回路OPQO ),也可用来计算.由于对称性,导体OP 旋转至任何位置时产生的电动势与图示位置是相同的. 解1 由上分析,得由矢量的方向可知端点P 的电势较高.解2 设想导体OP 为直角三角形导体回路OPQO 中的一部分,任一时刻穿 过回路的磁通量Φ为零,则回路的总电动势显然,E QO =0,所以由上可知,导体棒OP 旋转时,在单位时间内切割的磁感线数与导体棒QP 等效.后者是垂直切割的情况. 8 -13 如图(a)所示,金属杆AB 以匀速平行于一长直导线移动,此导线通有电流I =40A.求tΦE d d -=()l B d ⋅⨯=⎰lE v ()l B d ⋅⨯=⎰OPOP E v l αB lo d cos 90sin ⎰=v ()()l θB θωlo d 90cos sin ⎰-=l ()⎰==L θL B ωl l θB ω022sin 21d sin B ⨯v QO PQ OP E E E tΦE ++==-=0d d ()221PQ B ωE E E QO PQ OP ==-=12.0m s -=⋅v杆中的感应电动势,杆的哪一端电势较高?分析 本题可用两种方法求解.(1) 用公式求解,建立图(a )所示的坐标系,所取导体元,该处的磁感强度.(2) 用法拉第电磁感应定律求解,需构造一个包含杆AB 在内的闭合回路.为此可设想杆AB 在一个静止的形导轨上滑动,如图(b)所示.设时刻t ,杆AB 距导轨下端CD 的距离为y ,先用公式求得穿过该回路的磁通量,再代入公式,即可求得回路的电动势,亦即本题杆中的电动势.解1 根据分析,杆中的感应电动势为式中负号表示电动势方向由B 指向A ,故点A 电势较高.解2 设顺时针方向为回路AB CD 的正向,根据分析,在距直导线x 处,取宽为dx 、长为y 的面元dS ,则穿过面元的磁通量为穿过回路的磁通量为回路的电动势为由于静止的形导轨上电动势为零,所以()l B d ⋅⨯=⎰lE v x l d d =xIμB π20=⎰⋅=SΦS B d tΦE d d -=()V 1084.311ln 2πd 2πd d 50m1.1m 1.00-⨯-=-=-==⋅⨯=⎰⎰vv v I μx x μxl E ABAB l B x y xIμΦd 2πd d 0=⋅=S B 11ln 2πd 2πd 0m1.1m 1.00⎰⎰-===SIyμx y x I μΦΦV 1084.32πd d 11ln 2πd d 500-⨯-=-=-=-=Iyμt y x I μt ΦE式中负号说明回路电动势方向为逆时针,对AB 导体来说,电动势方向应由B 指向A ,故点A 电势较高. 8 -14 如图(a)所示,在“无限长”直载流导线的近旁,放置一个矩形导体线框,该线框在垂直于导线方向上以匀速率v 向右移动,求在图示位置处,线框中感应电动势的大小和方向.分析 本题亦可用两种方法求解.其中应注意下列两点:1.当闭合导体线框在磁场中运动时,线框中的总电动势就等于框上各段导体中的动生电动势的代数和.如图(a)所示,导体eh 段和fg 段上的电动势为零[此两段导体上处处满足],因而线框中的总电动势为其等效电路如图(b)所示.2.用公式求解,式中Φ是线框运动至任意位置处时,穿过线框的磁通量.为此设时刻t 时,线框左边距导线的距离为ξ,如图(c )所示,显然ξ是时间t 的函数,且有.在求得线框在任意位置处的电动势E(ξ)后,再令ξ=d ,即可得线框在题目所给位置处的电动势. 解1 根据分析,线框中的电动势为由E ef >E hg 可知,线框中的电动势方向为efgh .解2 设顺时针方向为线框回路的正向.根据分析,在任意位置处,穿过线框的磁通量为相应电动势为V 1084.35-⨯-==E EAB ()0l B =⋅⨯d v ()()()()hg ef hgefghefE E E -=⋅⨯-⋅⨯=⋅⨯+⋅⨯=⎰⎰⎰⎰l B l B l B l B d d d d v v v v tΦE d d -=v =tξd d hg ef E E E -=()()⎰⎰⋅⨯-⋅⨯=hgefl B l B d d v v ()⎰⎰+-=2201000d 2πd 2πl l l l d I μl d I μvv ()1202πl d I I μ+=1vI ()()ξl ξξx Il μdx ξx Il μΦl 120020ln π2π21++=+=⎰令ξ=d ,得线框在图示位置处的电动势为由E >0 可知,线框中电动势方向为顺时针方向.*8 -15 有一长为l ,宽为b 的矩形导线框架,其质量为m ,电阻为R .在t =0时,框架从距水平面y =0 的上方h 处由静止自由下落,如图所示.磁场的分布为:在y =0 的水平面上方没有磁场;在y =0 的水平面下方有磁感强度为B 的均匀磁场,B 的方向垂直纸面向里.已知框架在时刻t 1 和t 2 的位置如图中所示.求在下述时间内,框架的速度与时间的关系:(1) t 1 ≥t >0,即框架进入磁场前;(2) t 2 ≥t ≥t 1 ,即框架进入磁场, 但尚未全部进入磁场;(3)t >t 2 ,即框架全部进入磁场后.分析 设线框刚进入磁场(t 1 时刻)和全部进入磁场(t 2 时刻)的瞬间,其速度分别为v 10 和v 20 .在情况(1)和(3)中,线框中无感应电流,线框仅在重力作用下作落体运动,其速度与时间的关系分别为v =gt (t <t 1)和v =v 20 +g (t -t 2 )(t >t 2 ).而在t 1<t <t 2这段时间内,线框运动较为复杂,由于穿过线框回路的磁通量变化,使得回路中有感应电流存在,从而使线框除受重力外,还受到一个向上的安培力F A ,其大小与速度有关,即.根据牛顿运动定律,此时线框的运动微分方程为,解此微分方程可得t 1<t <t 2 时间内线框的速度与时间的关系式.解 (1) 根据分析,在时间内,线框为自由落体运动,于是其中时,()()1120π2d d l ξξl l I μt ΦξE +=-=v ()1120π2l d d l l I μE +=v ()A A F F =v ()tvv d d mF mg A =-1t t ≤()11t t gt ≤=v 1t t =gh 2101==v v(2) 线框进入磁场后,受到向上的安培力为根据牛顿运动定律,可得线框运动的微分方程令,整理上式并分离变量积分,有积分后将代入,可得(3) 线框全部进入磁场后(t >t 2),作初速为v 20 的落体运动,故有8 -16 有一磁感强度为B 的均匀磁场,以恒定的变化率在变化.把一块质量为m 的铜,拉成截面半径为r 的导线,并用它做成一个半径为R 的圆形回路.圆形回路的平面与磁感强度B 垂直.试证:这回路中的感应电流为式中ρ 为铜的电阻率,d 为铜的密度.解 圆形回路导线长为,导线截面积为,其电阻R ′为在均匀磁场中,穿过该回路的磁通量为,由法拉第电磁感应定律可得回路中的感应电流为而,即,代入上式可得v Rl B IlB F A 22==tv m v d d 22=-R l B mg mRl B K 22=⎰⎰=-t t t g 110d d vv Kv vgh 210=v ()()[]1212t t K e gh K g g K----=v ()()()[]()222031221t t g e gh K g g Kt t g t t K -+--=-+=--v v td d Btd d π4Bd ρm I =πR 22πr 22rR ρS l ρR =='BS Φ=tt t d d 2πd d π1d d 122B ρRr B R R ΦR R E I ='='='=2ππ2r R d m =dmRr π2π2=td d π4Bd ρm I =8 -17 半径为R =2.0 cm 的无限长直载流密绕螺线管,管内磁场可视为均匀磁场,管外磁场可近似看作零.若通电电流均匀变化,使得磁感强度B 随时间的变化率为常量,且为正值,试求:(1) 管内外由磁场变化激发的感生电场分布;(2) 如,求距螺线管中心轴r =5.0 cm 处感生电场的大小和方向.分析 变化磁场可以在空间激发感生电场,感生电场的空间分布与场源———变化的磁场(包括磁场的空间分布以及磁场的变化率等)密切相关,即.在一般情况下,求解感生电场的分布是困难的.但对于本题这种特殊情况,则可以利用场的对称性进行求解.可以设想,无限长直螺线管内磁场具有柱对称性,其横截面的磁场分布如图所示.由其激发的感生电场也一定有相应的对称性,考虑到感生电场的电场线为闭合曲线,因而本题中感生电场的电场线一定是一系列以螺线管中心轴为圆心的同心圆.同一圆周上各点的电场强度E k 的大小相等,方向沿圆周的切线方向.图中虚线表示r <R 和r >R 两个区域的电场线.电场线绕向取决于磁场的变化情况,由楞次定律可知,当时,电场线绕向与B 方向满足右螺旋关系;当 时,电场线绕向与前者相反.解 如图所示,分别在r <R 和r >R 的两个区域内任取一电场线为闭合回路l (半径为r 的圆),依照右手定则,不妨设顺时针方向为回路正向. (1) r <R ,r >R ,td d B1s T 010.0d d -⋅=tBtd d B S Bl E d d ⋅∂∂-=⎰⎰S S k t 0d d <t B 0d d >tBtB r t r E E k lk d d πd d d π2d 2-=⋅-=⋅=⋅=⎰⎰S B l E tBr E k d d 2-=tB R t r E E k l k d d πd d d π2d 2-=⋅-=⋅=⋅=⎰⎰S B l E tBr R E k d d 22-=由于,故电场线的绕向为逆时针. (2) 由于r >R ,所求点在螺线管外,因此将r 、R 、的数值代入,可得,式中负号表示E k 的方向是逆时针的. 8 -18 在半径为R 的圆柱形空间中存在着均匀磁场,B 的方向与柱的轴线平行.如图(a)所示,有一长为l的金属棒放在磁场中,设B 随时间的变化率为常量.试证:棒上感应电动势的大小为分析 变化磁场在其周围激发感生电场,把导体置于感生电场中,导体中的自由电子就会在电场力的作用下移动,在棒内两端形成正负电荷的积累,从而产生感生电动势.由于本题的感生电场分布与上题所述情况完全相同,故可利用上题结果,由计算棒上感生电动势.此外,还可连接OP 、OQ ,设想PQOP 构成一个闭合导体回路,用法拉第电磁感应定律求解,由于OP 、OQ 沿半径方向,与通过该处的感生电场强度E k 处处垂直,故,OP 、OQ 两段均无电动势,这样,由法拉第电磁感应定律求出的闭合回路的总电动势,就是导体棒PQ 上的电动势. 证1 由法拉第电磁感应定律,有证2 由题8 -17可知,在r <R 区域,感生电场强度的大小 设PQ 上线元dx 处,E k 的方向如图(b )所示,则金属杆PQ 上的电动势为0d d >tBtB r R E k d d 22-=tB d d 15m V 100.4--⋅⨯-=k E tBdd ⎰⋅=lk E l E d 0d =⋅l E k 22Δ22d d d d d d ⎪⎭⎫⎝⎛-==-==l R l t B t B S t ΦE E PQtBr E k d d 2=讨论 假如金属棒PQ 有一段在圆外,则圆外一段导体上有无电动势? 该如何求解?8 -19 截面积为长方形的环形均匀密绕螺绕环,其尺寸如图(a)所示,共有N 匝(图中仅画出少量几匝),求该螺绕环的自感L .分析 如同电容一样,自感和互感都是与回路系统自身性质(如形状、匝数、介质等)有关的量.求自感L 的方法有两种:1.设有电流I 通过线圈,计算磁场穿过自身回路的总磁通量,再用公式计算L .2.让回路中通以变化率已知的电流,测出回路中的感应电动势E L ,由公式计算L .式中E L 和都较容易通过实验测定,所以此方法一般适合于工程中.此外,还可通过计算能量的方法求解.解 用方法1 求解,设有电流I 通过线圈,线圈回路呈长方形,如图(b)所示,由安培环路定理可求得在R 1 <r <R 2 范围内的磁场分布为由于线圈由N 匝相同的回路构成,所以穿过自身回路的磁链为则若管中充满均匀同种磁介质,其相对磁导率为μr ,则自感将增大μr 倍.()()222202/2d d d 2/d d 2d cos d l R l t B x r l R t B r x θE E lk k PQ -=-==⋅=⎰⎰x E IΦL =tI E L Ld /d =t I d d xNIμB π20=12200lnπ2d π2d 21R R hI N μx h x NI μN N ψSR R ==⋅=⎰⎰S B 1220lnπ2R R h N μI ψL =8 -20 如图所示,螺线管的管心是两个套在一起的同轴圆柱体,其截面积分别为S 1 和S 2 ,磁导率分别为μ1 和μ2 ,管长为l ,匝数为N ,求螺线管的自感.(设管的截面很小)分析 本题求解时应注意磁介质的存在对磁场的影响.在无介质时,通电螺线管内的磁场是均匀的,磁感强度为B 0 ,由于磁介质的存在,在不同磁介质中磁感强度分别为μ1 B 0 和μ2 B 0 .通过线圈横截面的总磁通量是截面积分别为S 1 和S 2 的两部分磁通量之和.由自感的定义可解得结果. 解 设有电流I 通过螺线管,则管中两介质中磁感强度分别为, 通过N 匝回路的磁链为则自感8 -21 有两根半径均为a 的平行长直导线,它们中心距离为d .试求长为l 的一对导线的自感(导线内部的磁通量可略去不计).I L N μnl μB 111==I LN μnl μB 222==221121S NB S NB ΨΨΨ+=+=2211221S μS μlN I ψL L L +==+=分析 两平行长直导线可以看成无限长但宽为d 的矩形回路的一部分.设在矩形回路中通有逆时针方向电流I ,然后计算图中阴影部分(宽为d 、长为l )的磁通量.该区域内磁场可以看成两无限长直载流导线分别在该区域产生的磁场的叠加.解 在如图所示的坐标中,当两导线中通有图示的电流I 时,两平行导线间的磁感强度为穿过图中阴影部分的磁通量为则长为l 的一对导线的自感为如导线内部磁通量不能忽略,则一对导线的自感为.L 1 称为外自感,即本题已求出的L ,L 2 称为一根导线的内自感.长为l 的导线的内自感,有兴趣的读者可自行求解. 8 -22 如图所示,在一柱形纸筒上绕有两组相同线圈AB 和A ′B ′,每个线圈的自感均为L ,求:(1) A 和A ′相接时,B 和B ′间的自感L 1 ;(2) A ′和B 相接时,A 和B ′间的自感L 2 .分析 无论线圈AB 和A ′B ′作哪种方式连接,均可看成一个大线圈回路的两个部分,故仍可从自感系数的定义出发求解.求解过程中可利用磁通量叠加的方法,如每一组载流线圈单独存在时穿过自身回路的磁通量为Φ,则穿过两线圈回路的磁通量为2Φ;而当两组线圈按(1)或(2)方式连接后,则穿过大线圈回路的总磁通量为2Φ±2Φ,“ ±”取决于电流在两组线圈中的流向是相同或是相反.解 (1) 当A 和A ′连接时,AB 和A ′B ′线圈中电流流向相反,通过回路的磁通量亦相反,故总通量为,故L 1 =0.(2) 当A ′和B 连接时,AB 和A ′B ′线圈中电流流向相同,通过回路的磁通量亦相同,故总通量为,()r d Iμr I μB -+=π2π200aa d l μr Bl ΦSad a-==⋅=⎰⎰-ln πd d 0S B aad l μI ΦL -==ln π0212L L L +=8π02lμL=0221=-=ΦΦΦΦΦΦΦ4222=+=故. 本题结果在工程实际中有实用意义,如按题(1)方式连接,则可构造出一个无自感的线圈.8 -23 如图所示,一面积为4.0 cm 2 共50 匝的小圆形线圈A ,放在半径为20 cm 共100 匝的大圆形线圈B 的正中央,此两线圈同心且同平面.设线圈A 内各点的磁感强度可看作是相同的.求:(1) 两线圈的互感;(2) 当线圈B 中电流的变化率为-50 A·s-1 时,线圈A 中感应电动势的大小和方向.分析 设回路Ⅰ中通有电流I 1 ,穿过回路Ⅱ的磁通量为Φ21 ,则互感M =M 21 =Φ21I 1 ;也可设回路Ⅱ通有电流I 2 ,穿过回路Ⅰ的磁通量为Φ12 ,则 . 虽然两种途径所得结果相同,但在很多情况下,不同途径所涉及的计算难易程度会有很大的不同.以本题为例,如设线圈B 中有电流I 通过,则在线圈A 中心处的磁感强度很易求得,由于线圈A 很小,其所在处的磁场可视为均匀的,因而穿过线圈A 的磁通量Φ≈BS .反之,如设线圈A 通有电流I ,其周围的磁场分布是变化的,且难以计算,因而穿过线圈B 的磁通量也就很难求得,由此可见,计算互感一定要善于选择方便的途径. 解 (1) 设线圈B 有电流I 通过,它在圆心处产生的磁感强度穿过小线圈A 的磁链近似为 则两线圈的互感为(2) 互感电动势的方向和线圈B 中的电流方向相同.8 -24 如图所示,两同轴单匝线圈A 、C 的半径分别为R 和r ,两线圈相距为d .若r 很小,可认为线圈A 在线圈C 处所产生的磁场是均匀的.求两线圈的互感.若线圈C 的匝数为N 匝,则互感又为多少?L IΦI ΦL 4422===21212I ΦM M ==RIμN B B200=A BA A A A S RIμN N S B N ψ200==H 1028.6260-⨯===RSμN N I ψM A B A A V 1014.3d d 4-⨯=-=tIME A解 设线圈A 中有电流I 通过,它在线圈C 所包围的平面内各点产生的磁 感强度近似为穿过线圈C 的磁通为则两线圈的互感为若线圈C 的匝数为N 匝,则互感为上述值的N 倍.8 -25 如图所示,螺绕环A 中充满了铁磁质,管的截面积S 为2.0 cm 2 ,沿环每厘米绕有100 匝线圈,通有电流I 1 =4.0 ×10 -2 A ,在环上再绕一线圈C ,共10 匝,其电阻为0.10 Ω,今将开关S 突然开启,测得线圈C 中的感应电荷为2.0 ×10-3C .求:当螺绕环中通有电流I 1 时,铁磁质中的B 和铁磁质的相对磁导率μr .分析 本题与题8 -8 相似,均是利用冲击电流计测量电磁感应现象中通过回路的电荷的方法来计算磁场的磁感强度.线圈C 的磁通变化是与环形螺线管中的电流变化相联系的.()2/322202dR IR μB +=()22/32220π2r dR IR μBS ψC +==()2/3222202πd R R r μI ψM +==解 当螺绕环中通以电流I 1 时,在环内产生的磁感强度则通过线圈C 的磁链为设断开电源过程中,通过C 的感应电荷为q C ,则有由此得相对磁导率8 -26 一个直径为0.01 m ,长为0.10 m 的长直密绕螺线管,共1 000 匝线圈,总电阻为7.76 Ω.求:(1) 如把线圈接到电动势E =2.0 V 的电池上,电流稳定后,线圈中所储存的磁能有多少? 磁能密度是多少?*(2) 从接通电路时算起,要使线圈储存磁能为最大储存磁能的一半,需经过多少时间?分析 单一载流回路所具有的磁能,通常可用两种方法计算:(1) 如回路自感为L (已知或很容易求得),则该回路通有电流I 时所储存的磁能,通常称为自感磁能.(2) 由于载流回路可在空间激发磁场,磁能实际是储存于磁场之中,因而载流回路所具有的能量又可看作磁场能量,即,式中为磁场能量密度,积分遍及磁场存在的空间.由于,因而采用这种方法时应首先求载流回路在空间产生的磁感强度B 的分布.上述两种方法还为我们提供了计算自感的另一种途径,即运用求解L .解 (1) 密绕长直螺线管在忽略端部效应时,其自感,电流稳定后,线圈中电流,则线圈中所储存的磁能为在忽略端部效应时,该电流回路所产生的磁场可近似认为仅存在于螺线管中,并为均匀磁场,故磁能密度 处处相等, 110I n μμB r =S I n μμN BS N ψr c 11022==()RS I n μμN ψR ψR qc r c c 110201Δ1=--=-=T 10.02110===SN RqcI n μμB r 1991102==I n μS N Rqcμr 221LI W m =V w W Vmm d ⎰=mwμB w m 22=V w LI V m d 212⎰=l S N L 2=REI =J 1028.3221522202-⨯===lRSE N μLI W m m w 3m J 17.4-⋅==SLW w mm。
第1讲 电路的基本概念与规律[考试标准]知识内容考试要求说明电源和电流 c 1.不要求计算液体导电时的电流. 2.不要求解决与导线内部自由电子定向运动速率相联系的问题.电动势c 欧姆定律、U -I 图象及I -U 图象c 焦耳定律 c 导体的电阻c一、电源、电流和电动势 1.电源通过非静电力做功把其他形式的能转化为电势能的装置. 2.电流 (1)定义式:I =q t.(2)方向:规定为正电荷定向移动的方向. (3)微观表达式:I =nqS v . 3.电动势 (1)定义式:E =Wq.(2)物理意义:反映电源非静电力做功本领大小的物理量.自测1 (2019届西湖高级中学模拟)如图1所示为两节某品牌的不同型号干电池,其上均标有“1.5V ”字样,下列说法正确的是()图1A .两种型号的电池都有内阻而且一定相同B .两种型号的电池储存的能量一定一样多C .“1.5 V ”表示电池供电时正负极之间的电压为1.5 VD .“1.5 V ”表示电池供电时每通过1 C 的电荷量,有1.5 J 的化学能转化为电能 答案 D二、欧姆定律、U -I 图象及I -U 图象 1.欧姆定律 (1)表达式:I =UR .(2)适用范围①金属导电和电解质溶液导电(对气态导体和半导体元件不适用). ②纯电阻电路(不含电动机、电解槽等的电路). 2.U -I 图象及I -U 图象的比较自测2 (多选)如图2所示是电阻R 的I -U 图象,图中α=45°,由此得出( )图2A .通过电阻的电流与两端电压成正比B .电阻R =0.5 ΩC .因I -U 图象的斜率表示电阻的倒数,故R =1tan α=1.0 ΩD .在R 两端加上6.0 V 的电压时,每秒通过电阻横截面的电荷量是3.0 C 答案 AD三、电功、电热、电功率 1.电功(1)定义:导体中的恒定电场对自由电荷的电场力做的功. (2)公式:W =qU =IUt (适用于任何电路).(3)电流做功的实质:电能转化为其他形式的能的过程. 2.电功率(1)定义:单位时间内电流做的功,表示电流做功的快慢. (2)公式:P =Wt =UI (适用于任何电路).3.焦耳定律(1)电热:电流通过导体产生的热量跟电流的二次方成正比,跟导体的电阻及通电时间成正比. (2)表达式:Q =I 2Rt . 4.热功率(1)定义:单位时间内的发热量. (2)表达式:P =Qt=I 2R .自测3 如果家里的微波炉(1 000 W)、电视机(100 W)和洗衣机(400 W)平均每天都工作1 h ,一个月(30天计)的用电量是( ) A .10 kW·h B .20 kW·h C .45 kW·h D .40 kW·h答案 C解析 P =100 W +1 000 W +400 W =1 500 W =1.5 kW ,故W =Pt =1.5 kW ×1 h ×30=45 kW·h.四、导体的电阻1.电阻的定义式:R =UI .2.电阻的决定式:R =ρlS .3.电阻率 (1)计算式:ρ=R Sl .(2)电阻率与温度的关系①金属:电阻率随温度升高而增大.②半导体(负温度系数):电阻率随温度升高而减小. ③一些合金:几乎不受温度变化的影响.④超导体:当温度降低到绝对零度附近时,某些材料的电阻率突然减小为零,成为超导体. 自测4 下列关于电阻率的叙述,正确的是( ) A .电阻率与导体的长度和横截面积有关B .电阻率表征了材料的导电能力的强弱,由导体的材料决定,且与温度有关C .电阻率大的导体,电阻一定大D .有些合金的电阻率几乎不受温度变化的影响,可以用来制成电阻温度计 答案B命题点一 对电阻定律、欧姆定律的理解 电阻的决定式和定义式的比较例1 如图3所示,厚薄均匀的矩形金属薄片边长ab =10 cm ,bc =5 cm ,若将A 与B 接入电压为U 的电路中时,电流为1 A ;若将C 与D 接入电压为U 的电路中时,则电流为( )图3A .4 AB .2 A C.12 A D.14 A答案 A解析 根据电阻定律公式R =ρL S 得,R AB =ρL ab S ad ,R CD =ρL ad S ab ,故R AB R CD =41.接入电压相同的电路,两次电流之比为1∶4,故将C 与D 接入电压为U 的电路中时电流为4 A.变式1 两根完全相同的金属裸导线,如果把其中的一根均匀拉长到原来的2倍,把另一根对折后绞合起来,然后给它们分别加上相同电压后,则在相同时间内通过它们的电荷量之比为( ) A .1∶4 B .1∶8 C .1∶16 D .16∶1答案 C变式2 已知纯电阻用电器A 的电阻是纯电阻用电器B 的电阻的2倍,加在A 上的电压是加在B 上的电压的一半,那么通过A 和B 的电流I A 和I B 的关系是( ) A .I A =2I B B .I A =I B2C .I A =I BD .I A =I B4答案 D解析 由I =U R 得,I A ∶I B =U A R A ∶U B R B =1∶4,即I A =I B4,故选项D 正确.变式3 (2016·浙江10月选考·9)一根细橡胶管中灌满盐水,两端用短粗铜丝塞住管口.管中盐水柱长为40 cm 时测得电阻为R .若溶液的电阻随长度、横截面积的变化规律与金属导体相同.现将管中盐水柱均匀拉长至50 cm(盐水体积不变,仍充满橡胶管),则盐水柱电阻变为( ) A.45R B.54R C.1625R D.2516R 答案 D解析 由于总体积不变,设40 cm 长时盐水柱的横截面积为S .所以长度变为50 cm 后,横截面积S ′=45S ,根据电阻定律有R =ρ40S ,R ′=ρ5045S ,联立两式得R ′=2516R ,选项D 正确. 变式4 如图4所示,两个同种材料制成的导体放在水平面上,两导体是横截面为正方形的柱体,柱体高均为h ,大柱体横截面边长为a ,小柱体横截面边长为b ,则( )图4A .若电流沿图示方向,大柱体与小柱体的电阻之比为a ∶bB .若电流沿图示方向,大柱体与小柱体的电阻之比为a 2∶b 2C .若电流方向竖直向下,大柱体与小柱体的电阻之比为b ∶aD .若电流方向竖直向下,大柱体与小柱体的电阻之比为b 2∶a 2 答案 D解析 电流如题图方向时,由R =ρL S ,R 大=ρaah ,R 小=ρbbh ,故R 大∶R 小=1∶1,故A 、B 错误;电流方向竖直向下时,R 大′=ρh a 2,R 小′=ρhb 2,则R 大′∶R 小′=b 2∶a 2,故C 错误,D 正确. 命题点二 伏安特性曲线的理解1.图5甲中图线a 、b 表示线性元件,图乙中图线c 、d 表示非线性元件. 2.图线a 、b 的斜率表示电阻的倒数,斜率越大,电阻越小,故R a <R b (如图甲所示) 3.图线c 的电阻随电压的增大而减小,图线d 的电阻随电压的增大而增大(如图乙所示).图54.非线性元件的I -U 图线是曲线时,导体电阻R n =U nI n,即电阻等于图线上点(U n ,I n )与坐标原点连线的斜率的倒数,而不等于该点切线斜率的倒数. 类型1 线性元件的分析例2 如图6所示,图线1表示的导体电阻为R 1,图线2表示的导体电阻为R 2,则下列说法正确的是( )图6A .R 1∶R 2=1∶3B .R 1∶R 2=3∶1C .将R 1与R 2串联后接在恒定电源上,则流过两电阻的电流之比为1∶3D .将R 1与R 2并联后接在恒定电源上,则流过两电阻的电流之比为1∶3 答案 A解析 在I -U 图象中,R =1k ,由题图可知,k 1=1,k 2=13,所以R 1∶R 2=1∶3,选项A 正确,B 错误;R 1与R 2串联后接在恒定电源上,流过两电阻的电流相等,选项C 错误;R 1与R 2并联后接在恒定电源上,流过两电阻的电流之比I 1I 2=R 2R 1=31,选项D 错误.变式5 某导体的伏安特性曲线如图7所示,下列说法中错误的是( )图7A .该导体的电阻是25 ΩB .当该导体两端的电压为5 V 时,该导体的电功率为0.5 WC .当该导体两端的电压为1 V 时,通过该导体的电流为0.04 AD .当通过该导体的电流为0.1 A 时,该导体两端的电压为2.5 V 答案 B解析 I -U 图象的斜率表示电阻的倒数,故电阻R =50.2Ω=25 Ω,故A 正确; 当该导体两端电压为5 V 时,电流I =0.2 A ,电功率P =UI =1 W ,故B 错误; 当该导体两端电压为1 V 时,电流I =U R =125 A =0.04 A ,故C 正确;当电流为0.1 A 时,电压U =IR =0.1×25 V =2.5 V ,故D 正确.类型2 非线性元件的分析例3 (多选)我国已经于2012年10月1日起禁止销售100 W 及以上的白炽灯,之后逐步淘汰白炽灯.假设某同学研究白炽灯得到某白炽灯的伏安特性曲线如图8所示.图象上A 点与原点的连线与横轴成α角,A 点的切线与横轴成β角,则( )图8A .白炽灯的电阻随电压的增大而减小B .在A 点,白炽灯的电阻可表示为tan βC .在A 点,白炽灯的电功率可表示为U 0I 0D .在A 点,白炽灯的电阻可表示为U 0I 0答案 CD解析 白炽灯的电阻随电压的增大而增大,选项A 错误;在A 点,白炽灯的电阻大小可表示为U 0I 0,选项B 错误,选项D 正确;在A 点,白炽灯的电功率可表示为U 0I 0,选项C 正确.变式6 如图9所示为某电学元器件的U -I 图线,图中倾斜虚线为曲线上P 点的切线.当通过该元器件的电流为0.4 A 时,该元器件的阻值为( )图9A .250 ΩB .125 ΩC .100 ΩD .62.5 Ω答案 B解析 由题图可知,当电流为0.4 A 时,电压为50 V ,则由欧姆定律可知,阻值为:R =U I =500.4 Ω=125 Ω,故B 正确,A 、C 、D 错误. 命题点三 电功、电功率和电热的计算 1.纯电阻电路与非纯电阻电路的比较:2.电功与电热的处理方法:(1)首先要分清所研究的电路是纯电阻电路还是非纯电阻电路,正确选择计算公式.(2)处理非纯电阻电路的计算问题时,要善于从能量转化的角度出发,紧紧围绕能量守恒定律,利用“电功=电热+其他能量”寻找等量关系求解.例4 一只电饭煲和一台洗衣机并联接在输出电压为220 V 的交流电源上(其内电阻可忽略不计),均正常工作.用电流表分别测得通过电饭煲的电流是5.0 A ,通过洗衣机电动机的电流是0.50 A ,则下列说法中正确的是( )A .电饭煲的电阻为44 Ω,洗衣机电动机线圈的电阻为440 ΩB .电饭煲消耗的电功率为1 555 W ,洗衣机电动机消耗的电功率为155.5 WC .1 min 内电饭煲消耗的电能为6.6×104 J ,洗衣机电动机消耗的电能为6.6×103 JD .电饭煲发热功率是洗衣机电动机发热功率的10倍 答案 C解析 由于电饭煲是纯电阻元件, 所以R 1=UI 1=44 Ω,P 1=UI 1=1 100 W ,其在1 min 内消耗的电能W 1=UI 1t =6.6×104 J , 洗衣机为非纯电阻元件, 所以R 2≠UI 2,P 2=UI 2=110 W ,其在1 min 内消耗的电能W 2=UI 2t =6.6×103 J ,其热功率P 热≠P 2, 所以电饭煲发热功率不是洗衣机电动机发热功率的10倍.故选C.变式7 如图10所示是某一电器的铭牌,从铭牌上的信息可推断该铭牌对应的电器可能是( )图10答案 A解析 铭牌上标注功率为24 W ,功率较低,所以应为电风扇,选项A 正确.变式8 (多选)现有充电器为一手机电池充电,等效电路如图11所示,充电器电源的输出电压为U ,输出电流为I ,手机电池的内阻为r ,下列说法正确的是( )图11A .充电器输出的电功率为UI +I 2rB .电能转化为化学能的功率为UI -I 2rC .电池产生的热功率为I 2rD .充电器的充电效率为IrU ×100%答案 BC解析 充电器输出的电功率为:P 输出=UI ,故A 错误;电能转化为化学能和热能,根据能量守恒定律,有:UIt =I 2rt +Pt ,故有:P =UI -I 2r ,故B 正确;电池产生的热功率为P 热=I 2r ,故C 正确;充电器的充电效率为η=U -Ir U×100%,故D 错误.变式9 (2018·嘉兴市期末)如图12所示为一台冬天房间里取暖用的暖风机.其内部电路可简化为加热电阻丝与电动机串联,电动机带动风叶转动,将加热后的热空气吹出.设电动机的线圈电阻为R 1,电阻丝的电阻为R 2,将暖风机接到额定电压为U (有效值)的交流电源上,正常工作时,电路中的电流有效值为I ,电动机、电阻丝、暖风机消耗的电功率分别为P 1、P 2、P ,则下列关系式正确的是( )图12A.P1=I2R1B.P2>I2R2C.P=UI D.P=I2(R1+R2)答案 C变式10(2016·浙江10月选考·11)如图13为一种服务型机器人,其额定功率为48 W,额定工作电压为24 V.机器人的锂电池容量为20 A·h,则机器人()图13A.额定工作电流为20 AB.充满电后最长工作时间为2 hC.电池充满后总电荷量为7.2×104 CD.以额定电流工作时每秒消耗能量为20 J答案 C解析根据P=UI可知,机器人额定工作电流为2 A,选项A错误;机器人的锂电池容量为20 A·h,则在额定电流2 A下工作时,能够工作最长时间为10 h,选项B错误;电池充满电后的总电荷量Q=It=20×3 600 C=7.2×104 C,选项C正确;在额定电流下,机器人功率为48 W,即每秒消耗能量48 J,选项D错误.1.(2019届温州市模拟)下列说法正确的是()A.电流强度是矢量B .带电微粒所带的电荷量有可能是2.4×10-19CC .通过导体横截面的电荷量越多,电流越大D .电动势在数值上等于非静电力在电源内部把1 C 的正电荷从负极移送到正极所做的功 答案 D2.关于导体的电阻和电阻率,下列说法中正确的是( )A .由R =UI 可知,导体的电阻与导体两端电压成正比,与流过导体的电流成反比B .由R =ρlS 可知,同种导体的电阻与导体的长度成正比,与导体的横截面积成反比C .由ρ=RSl 可知,导体的电阻率与导体的横截面积成正比,与导体的长度成反比D .由ρ=RSl 可知导体的电阻越大,其电阻率越大答案 B解析 导体的电阻是导体本身的性质,与两端电压和通过导体的电流无关,同种导体的电阻与导体的长度成正比,与导体的横截面积成反比,选项A 错,B 对;电阻率是材料本身的性质,只与材料和温度有关,与导体的长度和横截面积无关,选项C 、D 均错.3.某同学在商场买了一个标有“220 V 800 W ”的电水壶,为了验证电水壶质量是否合格,他特意用多用电表测量了电水壶的电阻,若电水壶合格,那么该同学测得的电水壶的阻值( ) A .接近60.5 Ω B .略大于60.5 Ω C .明显大于60.5 Ω D .明显小于60.5 Ω答案 D解析 依据电水壶标签上额定电压和额定功率求出的电阻为高温状态下的电阻,而用多用电表测出的电水壶电阻为常温下的电阻,且温度相差很大,根据金属材料的电阻随温度的升高而增大可知选项D 正确.4.一个阻值为R 的电阻两端加上电压U 后,通过电阻横截面的电荷量q 随时间t 变化的图象如图1所示,此图象的斜率可表示为( )图1A .UB .RC.U RD.1R答案 C5.随着人们生活水平的逐步提高,家用电器的种类不断增多.下列关于家庭电路的说法中正确的是 ( )A .灯与控制它的开关是并联的,与插座是串联的B .使用测电笔时,不能用手接触到笔尾的金属体C .电路中电流过大的原因之一是使用的电器总功率过大D .增加大功率用电器时,只需换上足够粗的保险丝即可 答案 C解析 因为开关是控制灯工作与否的,所以开关必须与灯是串联关系,而灯的工作情况不影响插座的工作,所以是并联的,故A 错误;使用测电笔时,必须接触笔尾的金属体,故B 错误;电路中电流过大的原因有两个:一个是使用的电器总功率过大,另一个是发生短路,故C 正确;增加大功率用电器的时候,不但要换上足够粗的保险丝,输电线也要更换横截面积大的导线,故D 错误.6.如图2所示,R 1、R 2是材料相同、厚度相同、表面为正方形的导体,正方形的边长之比为2∶1,通过这两个导体的电流方向如图所示,则以下说法正确的是( )图2A .导体材料的电阻率跟长度成正比,跟材料的横截面积成反比B .若通过导体的电流方向如图,两个导体的电阻R 1∶R 2=4∶1C .若两导体的电流方向垂直于正方形面通过,则导体电阻之比R 1∶R 2=4∶1D .若通过导体的电流方向如图,不管两导体电阻是串联还是并联在电路中,两电阻的热功率相同 答案 D解析 材料的电阻率由材料本身的性质决定,与长度及横截面积无关,A 选项错误;设导体的厚度为D ,正方形边长为l ,若通过导体的电流方向如题图所示,则R =ρl S =ρl lD =ρD ,即两导体电阻相等,不管两导体电阻是串联还是并联在电路中,两电阻的热功率相同,B 选项错误,D 选项正确;若电流方向垂直正方形面通过,由电阻定律可得R =ρDl2,则R 1∶R 2=1∶4,C 选项错误.7.如图3所示,a 、b 、c 为同一种材料做成的电阻,b 与a 的长度相等,但横截面积b 是a 的两倍;c 与a 的横截面积相等,但长度c 是a 的两倍.当开关闭合后,三个理想电压表的示数关系是( )图3A .电压表的示数是的2倍B .电压表的示数是的2倍C .电压表的示数是的2倍D .电压表的示数是的2倍答案 A解析 由题意可知:L c =2L a =2L b ,S b =2S a =2S c ;设b 的电阻R b =R ,由电阻定律R =ρLS ,得:R a =2R b =2R ,R c =2R a =4R ,R c ∶R a ∶R b =4∶2∶1,由题图可知,a 、b 、c 三个电阻串联,通过它们的电流I 相等,由U =IR 得:U c ∶U a ∶U b =4∶2∶1,U V3∶U V1∶U V2=4∶2∶1.8.一个内电阻可以忽略的电源,给装满绝缘圆管的水银供电,通过水银的电流为0.1 A ,若把全部水银倒在一个内径大一倍的绝缘圆管内(恰好能装满圆管),那么通过水银的电流将是( ) A .0.4 A B .0.8 A C .1.6 A D .3.2 A 答案 C解析 大圆管内径大一倍,即横截面积为原来的4倍,由于水银体积不变,故水银柱长度变为原来的14,则电阻变为原来的116,因所加电压不变,由欧姆定律知电流变为原来的16倍,C 正确. 9.(2017·浙江11月选考·12)小明同学家里部分电器的消耗功率及每天工作时间如下表所示,则这些电器一天消耗的电能约为( )A.6.1×103 WB .6.1×102 JC.2.2×104 W D.2.2×107 J答案 D解析根据题表数据可知,每天消耗的电能为W=2 kW×1 h+1.2 kW×3 h+0.1 kW×2 h+0.016 kW×4 h+0.009 kW×24 h=6.08 kW·h≈2.2×107 J,故D正确.10.某技术质量监督局对市场中电线电缆产品质量进行抽查,结果公布如下:十几个不合格产品中,大部分存在导体电阻不合格,主要是铜材质量不合格,使用了再生铜或含杂质很多的铜;再一个就是铜材质量可能合格,但把横截面积缩小,买2.5平方毫米的电线,拿到手的仅为1.5平方毫米,载流量不够;另一个问题是绝缘层质量不合格,用再生塑料作电线外皮,电阻率达不到要求……则以下说法正确的是()A.横截面积减小的铜的电阻率增大B.再生铜或含杂质很多的铜的电阻率很小C.再生塑料作电线外皮,使电线的绝缘性能下降D.铜是导体,电阻为零,横截面积和杂质对其没有影响答案 C11.扫地机器人是智能家用电器的一种,它利用自身携带的小型吸尘部件进行吸尘清扫.如图4为某款扫地机器人,已知其电池容量2 200 mAh,额定工作电压15 V,额定功率33 W,则下列说法正确的是()图4A.题中“mAh”是能量的单位B.扫地机器人的电阻是20 ΩC.扫地机器人正常工作时的电流是2.2 AD.扫地机器人充满电后一次工作时间约为2 h答案 C12.室内有几种用电器:1.5 kW的电饭煲、200 W的电灯、750 W的取暖器、250 W的电视机和2 kW 的空调器.如果进线处只有13 A的保险丝,供电电压为220 V,为用电安全,下列情况下不能同时使用的是()A.电饭煲和电灯B.取暖器和空调器C.电饭煲和空调器D.电灯、电视机和空调器答案 C解析当保险丝达到最大电流时电路中的总功率P=UI=220×13 W=2 860 W电饭煲和电灯同时使用的功率为:P1=(1 500+200) W=1 700 W<2 860 W,可以同时使用;取暖器和空调器同时使用的功率为:P2=(750+2 000) W=2 750 W<2 860 W,可以同时使用;电饭煲和空调器同时使用的功率为:P3=(1 500+2 000) W=3 500 W>2 860 W,不可以同时使用;电灯、电视机和空调器同时使用的功率为:P4=(200+250+2 000) W=2 450 W<2 860 W,可以同时使用,故C正确.13.R1、R2的伏安特性曲线如图5所示.下列说法正确的是()图5A.R1、R2并联后的总电阻的伏安特性曲线在区域ⅠB.R1、R2并联后的总电阻的伏安特性曲线在区域ⅡC.R1、R2串联后的总电阻的伏安特性曲线在区域ⅠD.R1、R2串联后的总电阻的伏安特性曲线在区域Ⅱ答案 A解析在I-U图象中,图线的斜率表示电阻的倒数,由题图可知电阻R1的阻值较大,电阻R2的阻值较小.R1、R2并联后的总电阻小于任意一个电阻值,所以伏安特性曲线在电阻值比较小的Ⅰ区,故A正确,B错误;若将两电阻串联后接入电路,由于串联后的总电阻大于任意一个电阻,所以R1、R2串联后的总电阻的伏安特性曲线在电阻值比较大的区域Ⅲ,故C、D错误.14.某导体的伏安特性曲线如图6中AB段(曲线)所示,关于导体的电阻,以下说法正确的是()图6A.B点的电阻为12 ΩB .B 点的电阻为4 ΩC .导体的电阻因温度的影响改变了1 ΩD .导体的电阻因温度的影响改变了10 Ω 答案 D解析 根据电阻的定义式可以求出A 、B 两点电阻分别为R A =30.1 Ω=30 Ω,R B =60.15Ω= 40 Ω,所以ΔR =R B -R A =10 Ω,D 正确,A 、B 、C 错误.15.第56届日本电池大会上华为发布了5分钟即可充满3 000 mAh 电池50%电量的快充技术成果,引起业界广泛关注.如图7是华为某智能手机电池上的信息,支持低压大电流充电,则( )图7A .4.35 V 表示该电池的电动势B .11.4 Wh 表示该电池能提供的电量C .3 000 mAh 表示该电池能提供的电能D .该电池充满电后以100 mA 的电流工作时,可连续工作30小时 答案 D解析 4.35 V 是充电电压,不是电池的电动势,A 错误;11.4 Wh 是电池能提供的电能,不是电池提供的电量,B 错误;mAh 是电量的单位,3 000 mAh 表示电池能提供的电量,C 错误;由t =Q I =3 000 mAh100 mA=30 h 知,D 正确.16.(2018·杭州市重点中学期末)如图8所示,2013年,杭州正式推出微公交,它是一种零排放的纯电动汽车,这为杭州人绿色出行又提供了一种方案.该电动车配有一块12 V 三元锂电池,容量达260 Ah ;采用220 V 普通电压充电,一次完全充电约需8 h ;行驶时最大时速可达80 km /h ,充满电后可最多行驶80 km.则以下判断正确的是(在计算过程中不考虑各种能量之间转化的效率,可认为电能的价格为0.8元/kW·h)( )图8A .充电电流为260 AB .充满电后储存的电能为3 120 JC .折合每公里的电能成本约为0.03元D .匀速行驶时的阻力约为2.0×104 N 答案 C17.(2019届金华市质检)有一台标称值为“220 V ,50 W ”的电风扇,其线圈电阻为0.4 Ω,在它正常工作时,下列求其每分钟产生的电热的四种解法中正确的是( ) A .I =P U =522 A ,Q =UIt =3 000 JB .Q =Pt =3 000 JC .I =P U =522 A ,Q =I 2Rt =1.24 JD .Q =U 2R t =22020.4×60 J =7.26×106 J答案 C解析 电风扇消耗的电能转化为机械能与内能两部分, 公式UIt 和公式Pt 都是电功的表达式,不是电热的表达式,故A 、B 错误;电流:I =P U =50220 A =522 A ;电风扇正常工作时产生的电热是由于线圈电阻发热产生的,所以每分钟产生的热量为:Q =I 2Rt =(522)2×0.4×60 J =1.24 J ,故C 正确;电风扇不是纯电阻电路,不能用Q =U 2R t 计算电热,故D 错误.。
大学物理 第一章作业题P21 1.1; 1.2; 1.4;1.9 质点沿x 轴运动,其加速度和位置的关系为 a =2+62x ,a 的单位为2s m -⋅,x 的单位为 m. 质点在x =0处,速度为101s m -⋅,试求质点在任何坐标处的速度值. 解: ∵x v v t x x v t v a d d d d d d d d ===分离变量:x x adx d )62(d 2+==υυ 两边积分得 cx x v ++=322221 由题知,0=x 时,100=v ,∴50=c∴ 13s m 252-⋅++=x x v1.10已知一质点作直线运动,其加速度为 a =4+3t 2s m -⋅,开始运动时,x =5 m ,v =0,求该质点在t =10s 时的速度和位置.解:∵ t t va 34d d +==分离变量,得 t t v d )34(d +=积分,得 12234c t t v ++=由题知,0=t ,00=v ,∴01=c故2234t t v += 又因为2234d d t t t x v +==分离变量, tt t x d )234(d 2+=积分得 232212c t t x ++=由题知 0=t ,50=x ,∴52=c故 521232++=t t x所以s 10=t 时m70551021102s m 190102310432101210=+⨯+⨯=⋅=⨯+⨯=-x v1.11一质点沿半径为1 m 的圆周运动,运动方程为 θ=2+33t ,θ式中以弧度计,t 以秒计,求:(1) t =2 s 时,质点的切向和法向加速度;(2)当加速度的方向和半径成45°角时,其角位移是多少?解:t t t t 18d d ,9d d 2====ωβθω(1)s 2=t 时, 2s m 362181-⋅=⨯⨯==βτR a2222s m 1296)29(1-⋅=⨯⨯==ωR a n(2)当加速度方向与半径成ο45角时,有145tan ==︒na a τ即 βωR R =2亦即 t t 18)9(22= 则解得923=t 于是角位移为rad67.29232323=⨯+=+=t θ1.12 质点沿半径为R 的圆周按s =2021bt t v -的规律运动,式中s 为质点离圆周上某点的弧长,0v ,b 都是常量,求:(1)t 时刻质点的加速度;(2) t 为何值时,加速度在数值上等于b .解:(1)bt v t sv -==0d dR bt v R v a b tva n 202)(d d -==-==τ则 240222)(R bt v b a a a n -+=+=τ加速度与半径的夹角为20)(arctanbt v Rba a n --==τϕ(2)由题意应有2402)(R bt v b b a -+== 即 0)(,)(4024022=-⇒-+=bt v R bt v b b∴当b v t 0=时,b a =第二章作业题P612.9 质量为16 kg 的质点在xOy 平面内运动,受一恒力作用,力的分量为x f =6 N ,y f =-7 N ,当t =0时,==y x 0,x v =-2 m ·s -1,y v =0.求当t =2 s 时质点的 (1)位矢;(2)速度. 解:2s m 83166-⋅===m f a x x2s m 167-⋅-==mf a y y(1)⎰⎰--⋅-=⨯-=+=⋅-=⨯+-=+=20101200s m 872167s m 452832dt a v v dt a v v y y y x x x于是质点在s 2时的速度 1s m 8745-⋅--=ji v(2)m874134)167(21)4832122(21)21(220j i ji jt a i t a t v r y x --=⨯-+⨯⨯+⨯-=++=2.10 质点在流体中作直线运动,受与速度成正比的阻力kv (k 为常数)作用,t =0时质点的速度为0v ,证明(1) t 时刻的速度为v =t mk ev )(0-;(2) 由0到t 的时间内经过的距离为x =(k mv 0)[1-t mke )(-];(3)停止运动前经过的距离为)(0k m v ;(4)证明当k m t =时速度减至0v 的e 1,式中m 为质点的质量.答: (1)∵t v m kv a d d =-= 分离变量,得m tk v v d d -=即 ⎰⎰-=vv t m t k v v 00d dmkt e v v -=ln ln 0∴ tm k ev v -=0(2)⎰⎰---===tttm k m ke k mv t ev t v x 000)1(d d(3)质点停止运动时速度为零,即t →∞,故有⎰∞-=='00d k mv t ev x tm k(4)当t=k m时,其速度为e v e v ev v km m k 0100===-⋅-即速度减至0v 的e 1.2.11一质量为m 的质点以与地的仰角θ=30°的初速0v 从地面抛出,若忽略空气阻力,求质点落地时相对抛射时的动量的增量.解: 依题意作出示意图如题2-6图题2-6图在忽略空气阻力情况下,抛体落地瞬时的末速度大小与初速度大小相同,与轨道相切斜向下,而抛物线具有对y 轴对称性,故末速度与x 轴夹角亦为o30,则动量的增量为0v m v m p -=∆由矢量图知,动量增量大小为v m ,方向竖直向下.2.13 作用在质量为10 kg 的物体上的力为i t F)210(+=N ,式中t 的单位是s ,(1)求4s 后,这物体的动量和速度的变化,以及力给予物体的冲量.(2)为了使这力的冲量为200 N ·s ,该力应在这物体上作用多久,试就一原来静止的物体和一个具有初速度j6-m ·s -1的物体,回答这两个问题.解: (1)若物体原来静止,则it i t t F p t10401s m kg 56d )210(d -⋅⋅=+==∆⎰⎰,沿x 轴正向,i p I im p v111111s m kg 56s m 6.5--⋅⋅=∆=⋅=∆=∆若物体原来具有6-1s m -⋅初速,则⎰⎰+-=+-=-=t ttF v m t m F v m p v m p 000000d )d (,于是 ⎰∆==-=∆t p t F p p p 0102d,同理, 12v v∆=∆,12I I =这说明,只要力函数不变,作用时间相同,则不管物体有无初动量,也不管初动量有多大,那么物体获得的动量的增量(亦即冲量)就一定相同,这就是动量定理.(2)同上理,两种情况中的作用时间相同,即⎰+=+=tt t t t I 0210d )210(亦即 0200102=-+t t 解得s 10=t ,(s 20='t 舍去)3.14一质量为m 的质点在xOy 平面上运动,其位置矢量为j t b i t a rωωsin cos +=求质点的动量及t =0 到ωπ2=t 时间内质点所受的合力的冲量和质点动量的改变量. 解: 质点的动量为)cos sin (j t b i t a m v m pωωω+-==将0=t 和ωπ2=t 分别代入上式,得j b m pω=1,i a m p ω-=2,则动量的增量亦即质点所受外力的冲量为)(12j b i a m p p p I+-=-=∆=ω2.15 一颗子弹由枪口射出时速率为10s m -⋅v ,当子弹在枪筒内被加速时,它所受的合力为 F =(bt a -)N(b a ,为常数),其中t 以秒为单位:(1)假设子弹运行到枪口处合力刚好为零,试计算子弹走完枪筒全长所需时间;(2)求子弹所受的冲量.(3)求子弹的质量. 解: (1)由题意,子弹到枪口时,有0)(=-=bt a F ,得b a t =(2)子弹所受的冲量⎰-=-=tbt at t bt a I 0221d )(将b at =代入,得b a I 22=(3)由动量定理可求得子弹的质量202bv a v I m ==第三章作业题P88 3.1; 3.2; 3.7;3.13计算题2-27图所示系统中物体的加速度.设滑轮为质量均匀分布的圆柱体,其质量为M ,半径为r ,在绳与轮缘的摩擦力作用下旋转,忽略桌面与物体间的摩擦,设1m =50kg ,2m =200 kg,M =15kg, r =0.1 m解: 分别以1m ,2m 滑轮为研究对象,受力图如图(b)所示.对1m ,2m 运用牛顿定律,有a m T g m 222=- ① a m T 11= ②对滑轮运用转动定律,有β)21(212Mr r T r T =- ③又, βr a = ④联立以上4个方程,得2212s m 6.721520058.92002-⋅=++⨯=++=M m m g m a题2-27(a)图 题2-27(b)图题2-28图3.14 如题2-28图所示,一匀质细杆质量为m ,长为l ,可绕过一端O 的水平轴自由转动,杆于水平位置由静止开始摆下.求: (1)初始时刻的角加速度; (2)杆转过θ角时的角速度. 解: (1)由转动定律,有β)31(212ml mg=∴ l g23=β(2)由机械能守恒定律,有22)31(21sin 2ωθml l mg =∴ l g θωsin 3=题2-29图3.15 如题2-29图所示,质量为M ,长为l 的均匀直棒,可绕垂直于棒一端的水平轴O 无摩擦地转动,它原来静止在平衡位置上.现有一质量为m 的弹性小球飞来,正好在棒的下端与棒垂直地相撞.相撞后,使棒从平衡位置处摆动到最大角度=θ30°处. (1)设这碰撞为弹性碰撞,试计算小球初速0v 的值;(2)相撞时小球受到多大的冲量?解: (1)设小球的初速度为0v ,棒经小球碰撞后得到的初角速度为ω,而小球的速度变为v ,按题意,小球和棒作弹性碰撞,所以碰撞时遵从角动量守恒定律和机械能守恒定律,可列式:mvl I l mv +=ω0 ①2220212121mv I mv +=ω ②上两式中231Ml I =,碰撞过程极为短暂,可认为棒没有显著的角位移;碰撞后,棒从竖直位置上摆到最大角度o30=θ,按机械能守恒定律可列式:)30cos 1(2212︒-=lMg I ω ③由③式得2121)231(3)30cos 1(⎥⎦⎤⎢⎣⎡-=⎥⎦⎤⎢⎣⎡︒-=l g I Mglω由①式ml I v v ω-=0 ④由②式m I v v 2202ω-= ⑤所以22001)(2ωωm v ml I v -=-求得glmM m m M l ml I l v +-=+=+=31232(6)311(2)1(220ωω (2)相碰时小球受到的冲量为⎰-=∆=0d mvmv mv t F由①式求得ωωMl l I mv mv t F 31d 0-=-=-=⎰glM 6)32(6--=负号说明所受冲量的方向与初速度方向相反.第五章作业题P145 5.1; 5.2;5.7 质量为kg 10103-⨯的小球与轻弹簧组成的系统,按)SI ()328cos(1.0ππ+=x 的规律作谐振动,求:(1)振动的周期、振幅和初位相及速度与加速度的最大值;(2)最大的回复力、振动能量、平均动能和平均势能,在哪些位置上动能与势能相等?(3)s 52=t 与s 11=t 两个时刻的位相差;解:(1)设谐振动的标准方程为)cos(0φω+=t A x ,则知:3/2,s 412,8,m 1.00πφωππω===∴==T A 又 πω8.0==A v m 1s m -⋅ 51.2=1s m -⋅2.632==A a m ω2s m -⋅(2) N 63.0==m m a FJ 1016.32122-⨯==m mv E J 1058.1212-⨯===E E E k p当p k E E =时,有p E E 2=,即 )21(212122kA kx ⋅=∴ m 20222±=±=A x (3) ππωφ32)15(8)(12=-=-=∆t t5.8 一个沿x 轴作简谐振动的弹簧振子,振幅为A ,周期为T ,其振动方程用余弦函数表示.如果0=t 时质点的状态分别是:(1)A x -=0;(2)过平衡位置向正向运动;(3)过2Ax =处向负向运动; (4)过2Ax -=处向正向运动.试求出相应的初位相,并写出振动方程.解:因为 ⎩⎨⎧-==000sin cos φωφA v A x将以上初值条件代入上式,使两式同时成立之值即为该条件下的初位相.故有)2cos(1πππφ+==t T A x)232cos(232πππφ+==t T A x)32cos(33πππφ+==t T A x)452cos(454πππφ+==t T A x5.9 一质量为kg 10103-⨯的物体作谐振动,振幅为cm 24,周期为s 0.4,当0=t 时位移为cm 24+.求:(1)s 5.0=t 时,物体所在的位置及此时所受力的大小和方向; (2)由起始位置运动到cm 12=x 处所需的最短时间; (3)在cm 12=x 处物体的总能量.解:由题已知 s 0.4,m 10242=⨯=-T A ∴ 1s rad 5.02-⋅==ππωT又,0=t 时,0,00=∴+=φA x 故振动方程为m )5.0cos(10242t x π-⨯=(1)将s 5.0=t 代入得0.17mm )5.0cos(102425.0=⨯=-t x πN102.417.0)2(10103232--⨯-=⨯⨯⨯-=-=-=πωxm ma F方向指向坐标原点,即沿x 轴负向. (2)由题知,0=t 时,00=φ,t t =时 3,0,20πφ=<+=t v A x 故且 ∴ s 322/3==∆=ππωφt(3)由于谐振动中能量守恒,故在任一位置处或任一时刻的系统的总能量均为J 101.7)24.0()2(10102121214223222--⨯=⨯⨯⨯===πωA m kA E5.11 图为两个谐振动的t x -曲线,试分别写出其谐振动方程.题4-8图解:由题4-8图(a),∵0=t 时,s 2,cm 10,,23,0,0000===∴>=T A v x 又πφ 即 1s rad 2-⋅==ππωT故 m )23cos(1.0ππ+=t x a 由题4-8图(b)∵0=t 时,35,0,2000πφ=∴>=v A x 01=t 时,22,0,0111ππφ+=∴<=v x又 ππωφ253511=+⨯= ∴ πω65= 故 m t x b )3565cos(1.0ππ+= 5.12 一轻弹簧的倔强系数为k ,其下端悬有一质量为M 的盘子.现有一质量为m 的物体从离盘底h 高度处自由下落到盘中并和盘子粘在一起,于是盘子开始振动.(1)此时的振动周期与空盘子作振动时的周期有何不同? (2)此时的振动振幅多大?(3)取平衡位置为原点,位移以向下为正,并以弹簧开始振动时作为计时起点,求初位相并写出物体与盘子的振动方程. 解:(1)空盘的振动周期为k M π2,落下重物后振动周期为km M +π2,即增大.(2)按(3)所设坐标原点及计时起点,0=t 时,则kmgx -=0.碰撞时,以M m ,为一系统动量守恒,即0)(2v M m gh m +=则有 Mm ghm v +=20 于是gM m khk mg M m gh m k mg v x A )(21))(2()()(22222++=++=+=ω(3)gm M khx v )(2tan 000+=-=ωφ (第三象限),所以振动方程为 ⎥⎦⎤⎢⎣⎡+++++=g m M kh t M m k gM m khk mg x )(2arctan cos )(215.15 试用最简单的方法求出下列两组谐振动合成后所得合振动的振幅:(1) ⎪⎩⎪⎨⎧+=+=cm )373cos(5cm )33cos(521ππt x t x (2)⎪⎩⎪⎨⎧+=+=cm)343cos(5cm )33cos(521ππt x t x 解: (1)∵ ,233712πππφφφ=-=-=∆∴合振幅 cm 1021=+=A A A(2)∵ ,334πππφ=-=∆∴合振幅 0=A5.16 一质点同时参与两个在同一直线上的简谐振动,振动方程为⎪⎩⎪⎨⎧-=+=m)652cos(3.0m )62cos(4.021ππt x t x 试分别用旋转矢量法和振动合成法求合振动的振动幅和初相,并写出谐振方程。
大学物理教程-(上)课后习题-标准答案大学物理教程-(上)课后习题-答案————————————————————————————————作者:————————————————————————————————日期:物理部分课后习题答案(标有红色记号的为老师让看的题)27页 1-2 1-4 1-121-2 质点的运动方程为22,(1)x t y t ==-,,x y 都以米为单位,t 以秒为单位,求:(1)质点的运动轨迹;(2)从1t s =到2t s =质点的位移的大小;(3) 2t s =时,质点的速度和加速度。
解:(1)由运动方程消去时间t 可得轨迹方程,将t x =代入,有2(1)y x =-或 1y x =-(2)将1t s =和2t s =代入,有11r i =u r r , 241r i j =+u r r r213r r r i j =-=-r u r u r r r V位移的大小223110r m =+=r V (3) 2x dxv t dt== 2(1)y dyv t dt ==- 22(1)v ti t j =+-r r r2xx dv a dt==, 2y y dv a dt == 22a i j =+r r r当2t s =时,速度和加速度分别为42/v i j m s =+r r r22a i j =+r r rm/s 21-4 设质点的运动方程为cos sin ()r R ti R t j SI ωω=+r r r,式中的R 、ω均为常量。
求(1)质点的速度;(2)速率的变化率。
解(1)质点的速度为sin cos d r v R ti R t j dtωωωω==-+r r r r(2)质点的速率为22x y v v v R ω=+=速率的变化率为0dvdt= 1-12 质点沿半径为R 的圆周运动,其运动规律为232()t SI θ=+。
求质点在t 时刻的法向加速度n a 的大小和角加速度β的大小。
第八章 机械振动选择题8—1 对做简谐运动的物体,下列说法正确的是 ( B )(A) 物体位于平衡位置且向Ox 轴负向运动时,速度和加速度都为零;(B) 物体位于平衡位置且向Ox 轴正向运动时,速度最大,加速度为零;(C) 物体位于负向最大位移时,速度和加速度都达到最大值;(D) 物体位于正向最大位移时,速度最大,加速度为零.8—2 一物体做简谐运动,其运动方程为cos()x A t ωϕ=+.在2T t =时,物体振动的速度为 ( D )(A) cos A ωϕ-; (B) cos A ωϕ;(C) sin A ωϕ-; (D) sin A ωϕ.8—3 一物体做简谐运动,其运动方程为πcos()4x A t ω=+.在4T t =时,物体振动的加 速度为 ( B )(A) 2ω2ω;(C) 2ω2ω . 8—4 一质点做简谐运动,其运动方程为π0.02cos(π)3x t =+.该简谐运动的周期和初相分别为 ( A ) (A) π2s,3; (B) π4s,3; (C) π2s,3-; (D) π4s,3-.8—5 对做简谐运动的弹簧振子,下列说法正确的是 ( B )(A) 加速度大小与位移成正比,加速度方向与位移方向相同;(B) 加速度方向恒指向平衡位置;(C) 振幅仅决定于0t =时刻物体的初始位移;(D) 振动频率和振动的初始条件有关.8—6 一质点做简谐运动,若将振动速度处于正最大值的时刻取作0t =,则振动初相ϕ为 ( A ) (A) π2-; (B) 0; (C) π2; (D) π. 8—7 一物体做简谐运动,振幅为A .在起始时刻质点的位移为2A,且向Ox 轴的正向运动.代表起始时刻该简谐运动的旋转矢量图为 ( C )8—8 一质点做简谐运动,周期是T ,该质点从平衡位置运动到2A x =处所需要的最短 时间是 ( A ) (A) 12T ; (B) 6T ; (C) 4T ; (D) 2T . 8—9 两个质点沿Ox 轴做振幅、频率皆相同的简谐运动,当第一个质点处于平衡位置且向Ox 轴负向运动时,第二质点在2A x =-处且向Ox 轴负向运动,则这两个简谐运动的相位差δ为 ( C ) (A) π2; (B) 2π3; (C) π6; (D) 5π6. 8—10 有两个弹簧振子做振幅相同的简谐运动,弹簧的劲度系数k 相同,但物体的质量不同,则两个振动系统的总能量 ( C )(A) 不同,物体质量大的系统总能量大; (B) 不同,物体质量小的系统总能量大;(C) 相同; (D) 无法确定.8—11 一弹簧振子做简谐运动.当位移为振幅的一半时,振动系统的势能为总能量的( A ) (A) 14; (B) 13; (C) 12; (D) 34. 8—12 一弹簧振子做简谐运动,总能量为E .如果简谐运动的振幅增大为原来的2倍,物体的质量增大为原来的4倍,则振动系统的总能量变为 ( D ) (A) 4E ; (B) 2E ; (C) 2E ; (D) 4E . 8—13 两个振动方向相同、频率相同、振幅均为A 的简谐运动合成后振幅仍为A .则这两个简谐运动的相位差为 ( C )(A) o 60; (B) o 90; (C) o 120; (D) o180.8—14 一质点同时参与两个简谐运动,运动方程分别为11cos x A t ω=、22cos x A t ω=,则合振动振幅为 ( A )(A) 12A A A =+; (B) 12A A A =-;(C) A =A =计算题8—15 一物体做简谐运动,其运动方程为 π0.1cos(20π)4x t =+ 式中,x 的单位为m ,t 的单位为s .求2s t =时物体的位移、速度和加速度.解 物体的速度和加速度分别为d π0.120πsin(20π)d 4π 2πsin(20π)4x t t t ==-⨯+=-+v()22d π0.120πcos(20π)d 4π 40πcos(20π)4a t t t ==-⨯+=-+v2s t =时,,物体的位移、速度和加速度分别为22ππ0.1cos(40π)m 0.1cos m 7.0710m 44t x -==+==⨯ 112ππ2πsin(40π)m 2πsin m s 4.44m s 44t --==-+=-⋅=-⋅v 22222ππ40πcos(40π)m 40πcos m s 279m s 44t a --==-+=-⋅=-⋅ 8—16 一质点沿Ox 轴做简谐运动,振幅为2610m -⨯,周期为2.0s .求物体振动速度的最大值和加速度的最大值.解 物体的简谐运动方程为 22πcos() 610cos(π)x A t T t ϕϕ-=+=⨯+式中的初相ϕ由计时起点决定.物体的振动速度和加速度分别为2d 610πsin(π)d x t tϕ-==-⨯+v 22d 610πcos(π)d a t t ϕ-==-⨯+v 速度和加速度的最大值分别为211max 610πm s 0.188m s ---=⨯⋅=⋅v2222max 610πm s 0.592m s a ---=⨯⋅=⋅8—17 已知一物体做简谐运动,振幅2210m A -=⨯,频率2Hz ν=,初相位π2ϕ=.求该物体的简谐运动方程.解 物体的简谐运动方程为2cos(2π)π 210cos(4π)2x A t t νϕ-=+=⨯+式中x 的单位为m ,t 的单位为s .8—18 一物体做简谐运动,其运动方程为π0.1cos(20π)4x t =+ 式中, x 的单位为m ,t 的单位为s .求振幅、角频率、频率、周期和初相.解 将运动方程π0.1cos(20π)m 4x t =+ 和物体简谐运动方程的标准形式cos()x A t ωϕ=+比较,可得物体简谐运动的振幅、角频率和初相分别为0.1m A = 1120πs 62.8s ω--== π4ϕ=由角频率,可计算出频率和周期分别为 110s 2πων-== 110.1s 10T ν=== 8—19 一物体做简谐运动,振幅2210m A -=⨯,角频率14πrad s ω-=⋅.0t =时,物体位于210m -处,并向Ox 轴负向运动.求该物体的简谐运动方程.解 物体的初始位置20110m x -=⨯,等于2A .0t =时,旋转矢量位置如图.由图可得π3ϕ=.物体的简谐运动方程为 2cos()π 210cos(4π)3x A t t ωϕ-=+=⨯+式中x 的单位为m ,t 的单位为s .8—20 一质量为10g 的物体做简谐运动,频率4Hz ν=.0t =时,位移为2cm -,初速度为零.求该物体的简谐运动方程.解 由于物体的初始位置为20m 210x -=-⨯,初始速度为00=v ,因此2cos02πsin A A ϕνϕ-==-由此可得物体简谐运动的振幅和初相分别为2210mπA ϕ-=⨯=物体的简谐运动方程为2cos(2π)210cos(8ππ)x A t t νϕ-=+=⨯+式中x 的单位为m ,t 的单位为s .8—21 一放置在光滑水平桌面上的弹簧振子,沿Ox 轴做简谐运动.振幅2310mA -=⨯,周期为0.5s .求下面两种初始条件下的简谐运动方程. (1) 当0t =时,物体在2A x =-处,并向Ox 轴负向运动; (2) 当0t =时,物体在平衡位置,并向Ox 轴正向运动.解 (1) 0t =时刻的旋转矢量1A 位置如图.由图可得12π3ϕ=.物体的简谐运动方程为 22πcos()2π 310cos(4π)3x A t Tt ϕ-=+=⨯+(2) 0t =时刻的旋转矢量2A 位置如图.由图可得2π2ϕ=-.物体的简谐运动方程为 22πcos()π 310cos(4π)2x A t T t ϕ-=+=⨯-简谐运动方程中的x 的单位为m ,t 的单位为s .8—22 一质量为0.25kg 的物体,在弹性力作用下沿Ox 轴做简谐运动,弹簧的劲度系数125N m k -=⋅.求:(1) 振动的周期和角频率;(2) 如果振幅2210m A -=⨯,在0t =时物体位于20110m x -=-⨯处,且向Ox 轴正向运动,求简谐运动方程.解 (1) 振动的角频率和周期分别为1110s ω--=== 2π2πs 0.628s 10T ω=== (2) 20110m x -=-⨯等于2A -.0t =时刻的旋转矢量的位置如图.由图可得2π3ϕ=-. 物体的简谐运动方程为 2cos()2π 210cos(10)3x A t t ωϕ-=+=⨯-式中x 的单位为m ,t 的单位为s .8—23 一质量为0.1kg 的物体,沿Ox 轴做简谐运动.振幅为21.010m -⨯,最大加速度为24.0m s -⋅.求物体通过平衡位置时的动能.解 因为最大加速度2max a A ω=,所以角频率的平方为 2max a Aω= 物体通过平衡位置时,动能最大,为22k 12E m A ω=.将2max a Aω=代入,可得22k max 2311221 0.1 4.0 1.010J 2.010J 2E m A ma A ω--==⎛⎫=⨯⨯⨯⨯=⨯ ⎪⎝⎭8—24 一物体做简谐运动,其运动方程为2ππ610cos()34x t -=⨯+ 式中,x 的单位为m ,t 的单位为s .求当x 值为多大时,振动系统的势能占总能量的一半.解 系统的势能为2p 12E kx =,总能量为212E kA =.在振动系统的势能占总能量的一半,即p 12E E =时,有 221124kx kA = 可得226.010m 4.2410m 22x A --=±=±⨯=±⨯ 8—25 一质点同时参与两个同方向的简谐运动,运动方程分别为2122π610cos(2)65π910cos(2)6x t x t -=⨯+=⨯-上面两式中,1x 、2x 的单位为m ,t 的单位为s .求合振动的振幅及初相.解 0t =时刻,质点参与的两个简谐运动的旋转矢量的位置如图.由图可得,合振动的振幅为2122(96)10m 310mA A A --=-=-⨯=⨯初相为25π6ϕϕ==- 8—26 一质点同时参与两个同方向的简谐运动,运动方程分别为124cos3π2cos(3)2x tx t ==+上面两式中, 1x 、2x 的单位为m ,t 的单位为s .求合振动的振幅及初相.解 0t =时刻,质点参与的两个简谐运动的旋转矢量的位置如图.由图可得,合振动的振幅为m 4.47m A ==初相为221arc tan arc tan 26.572A A ϕ===8—27 一质点同时参与两个同方向的简谐运动,运动方程分别为212225π610cos()6910cos()x t x t ϕ--=⨯-=⨯+上面两式中, 1x 、2x 的单位为m ,t 的单位为s .求:(1) 2ϕ为何值时合振动的振幅最大;(2) 2ϕ为何值时合振动的振幅最小.解 (1) 合振动的振幅最大时,212πk ϕϕ-=.由此可得215π2π2π6k k ϕϕ=+=-(2) 合振动的振幅最小时,()2121πk ϕϕ-=+.由此可得215ππ(21)π(21)π2π66k k k ϕϕ=++=+-=+。
1、 磁场的高斯定理⎰⎰=⋅0S d B说明了下面的哪些叙述是正确的?a 穿入闭合曲面的磁感应线条数必然等于穿出的磁感应线条数;b 穿入闭合曲面的磁感应线条数不等于穿出的磁感应线条数;c 一根磁感应线可以终止在闭合曲面内;d 一根磁感应线可以完全处于闭合曲面内。
A 、ad ;B 、ac ;C 、cd ;D 、ab 。
[ ] 1. A解释:磁感线闭合的特性。
2 洛仑兹力可以A 、改变带电粒子的速率;B 、改变带电粒子的动量;C 、对带电粒子作功;D 、增加带电粒子的动能。
[ ] B解释:洛仑兹力的特点,改变速度方向不改变速度大小。
3 如图所示,两个载有相等电流I 的半径为R 的圆线圈一个处于水平位置,一个处于竖直位置,两个线圈的圆心重合,则在圆心O 处的磁感应强度大小为多少?A 、0;B 、R I 2/0μ;C 、R I 2/20μ;D 、R I /0μ。
[ ] C解释:两个圆电流中心磁感强度的合成,注意方向。
4 一载有电流I 的细导线分别均匀密绕在半径为R 和r 的长直圆筒上形成两个螺线管(R=2r ),两螺线管的匝数密度相等。
两螺线管中的磁感应强度大小R B 和r B 应满足:A 、r RB B 2=; B 、r R B B =;C 、r R B B =2;D 、r R B B 4=。
[ ]B解释:参考长直螺线管内部磁感强度公式nI B 0μ=,场强与半径无关。
5 B6 D7 B一质量为m 、电量为q 的粒子,以速度υ垂直射入均匀磁场B 中,则粒子运动轨道所包围范围的磁通量与磁场磁感应强度B 大小的关系曲线是 [ ] (A ) (B ) (C ) (D )解释:由半径公式qBm R υ=求出磁通量表达式,反比关系。
8如图所示,有一无限长通电流的扁平铜片,宽度为a ,厚度不计,电流I 在铜片上均匀分布,在铜片外与铜片共面,离铜片右边缘为b 处的P 点的磁感应强度B的大小为:A 、()b a I+πμ20 ; B 、;)21(20b a I+πμC 、b b a a I +ln 20πμ;D 、aba b I +ln 20πμ。
大学物理课后习题答案第八章第八章光的偏振8.1两偏振片组装成起偏和检偏器,当两偏振片的偏振化方向夹角成30o时观察一普通光源,夹角成60o时观察另一普通光源,两次观察所得的光强相等,求两光源光强之比.[解答]第一个普通光源的光强用I1表示,通过第一个偏振片之后,光强为I0 = I1/2.22当偏振光通过第二个偏振片后,根据马吕斯定律,光强为I = I0cosθ1= I1cosθ1/2.2同理,对于第二个普通光源可得光强为I = I2cosθ2/2.2222因此光源的光强之比I2/I1 = cosθ1/cosθ2 = cos30o/cos60o = 1/3.8.2一束线偏振光和自然光的混合光,当它通过一偏振片后,发现随偏振片的取向不同,透射光的强度可变化四倍,求入射光束中两种光的强度各占入射光强度的百分之几?[解答]设自然光强为I1,线偏振光强为I2,则总光强为I0 = I1 + I2.当光线通过偏振片时,最小光强为自然光强的一半,即Imin = I1/2;最大光强是线偏振光强与自然光强的一半之和,即Imax = I2 + I1/2.由题意得Imax/Imin = 4,因此2I2/I1 + 1 = 4,解得I2 = 3I1/2.此式代入总光强公式得I0 = I1 + 3I1/2.因此入射光中自然光强的比例为I1/I0 = 2/5 = 40%.由此可得线偏振光的光强的比例为I2/I0 = 3/5 = 60%.[讨论]如果Imax/Imin = n,根据上面的步骤可得I1/I0 = 2/(n + 1),I2/I0 = (n - 1)/(n + 1),可见:n的值越大,入射光中自然光强的比例越小,线偏振光的光强的比例越大.8.3水的折射率为1.33,玻璃的折射率为1.50,当光由水射向玻璃时,起偏角为多少?若光由玻璃射向水时,起偏角又是多少?这两个角度数值上的关系如何?[解答]当光由水射向玻璃时,水的折射率为n1,玻璃的折射率为n2,根据布儒斯特定律tani0 = n2/n1 = 1.1278,得起偏角为i0 = 48.44o.当光由玻璃射向水时,玻璃的折射率为n1,水的折射率为n2,根据布儒斯特定律tani0 = n2/n1 = 0.8867,得起偏角为i0 = 41.56o.可见:两个角度互为余角.8.4根据布儒斯特定律可测量不透明介质的折射率,今测得某釉质的起偏角为58o,则该釉质的折射率为多少?[解答]空气的折射率取为1,根据布儒斯特定律可得釉质的折射率为n = tan i0 = 1.6003.8.5三个偏振片堆叠在一起,第一块与第三块偏振化方向互相垂直,第二块与第一块的偏振化方向互相平行,现令第ωθ二块偏振片以恒定的角速度ω0绕光传播方向旋转,如图所示.设入射自然光的光强为I0,试证明:此自然光通过这一系统后出射光强度为I = I0(1 �C cos4ωt)/16.[证明]自然光通过偏振片P1之后,形成偏振光,光强为 P1 P2 P3I1= I0/2.图8.5经过时间t,P3的偏振化方向转过的角度为θ = ωt,2根据马吕斯定律,通过P3的光强为I3= I1cosθ.由于P1与P2的偏振化方向垂直,所以P2与P3的偏振化方向的夹角为φ = π/2 �C θ,再根据马吕斯定律,通过P2的光强为I = I3cos2φ = I3sin2θ= I0(cos2θsin2θ)/2 = I0(sin22θ)/8= I0(1 �Ccos4θ)/16,即I = I0(1 �C cos4ωt)/16.证毕.8.6如图所示,自然光以起偏角i0从空气射向水面,水中有一块玻璃板,若以玻璃反射之光亦为线偏振光,求水面和玻璃平面的夹角(n玻 = 1.50,n水 = 1.33).[解答]根据布儒斯特定律:i0 tani0 = n水,可得空气的起偏角为i0 = arctann水= 53.06°.θ θ 水折射角为γ = 90° - i0 = 36.94°.再根据布儒斯特定律:tani = n玻/n水 = 1.128,i γ 玻璃可得玻璃的起偏角为i = 48.44°.水面和玻璃平面的夹角为θ = i �C γ= 11.5°.图8.6[讨论]为了简便起见,设n1 = n水,n2 = n玻,那么tani0 = n1,tani = n2/n1,水面与玻璃平面的夹角为θ = i �C γ = (i + i0) - 90°,因此tan???cot(i?i0)??1tan(i?i0)??1?tanitani0tani?tani0?n2?1n2/n1?n1?n1(n2?1)n2?n12.这是最终公式,代入数值得tanθ = 0.2034,夹角为θ= 11.5°.8.7一方解石晶体置于两平行的且偏振化方向相同的偏振片之间,晶体的主截面与偏振片的偏振化方向成30o,入射光在晶体的主截面内,求以下两种情况下的o光和e光强度之比.(1)从晶体出射时;(2)从检偏器出射时.[解答](1)从偏振片入射到晶体的光分成o光和e光,o光垂直于主截面,e光平行于主截面.设入射偏振光的振幅为A,则Ao = Asinθ,Ae = Acosθ,当光从晶体出射时,o光和e光强度之比为IoIe?AoAe22?tan??tan30??2213.(2)从晶体出射的o光和e光入射到第二块偏振片时,只有沿偏振化方向的光能够通过,o光和e光的振幅为A`o = Aosinθ,A`e = Aecosθ,当光从偏振片出射时,o光和e光强度之比为IoI`e`?AoA`2`2e?AoA22etan??tan??tan430??2419.8.8某晶体对波长为632.8nm的光的主折射率为no = 1.66,ne = 1.49.用其制成适应于该波长光的1/4玻片,晶片至少要多厚?该波片的光轴方向如何? A [解答]对于1/4玻片,o光和e光的位相差为o θ θ 2??o e e ???(no?ne)l?(2k?1),?02当k = 0时晶片厚度最小l = λ0/4(n o - ne) = 930.6(nm).要形成圆偏振光,波片的光轴方向要与光的偏振化方向成45度角.P1 P P2感谢您的阅读,祝您生活愉快。