(完整版)整数指数幂练习题.doc
- 格式:doc
- 大小:171.02 KB
- 文档页数:2
1、=23 ;=03 ;=-23 ;=-2)3( ;=-0)3( ;=--2)3( ;=2b ;=0b ;=-2b;2、27a a ÷= ;=--3132)(y x y x _ ___。
=-321)(b a ;=•---32222)(b a b a ___ ___。
=÷nm a a ;=⎪⎭⎫ ⎝⎛nb a ___ ___。
(参见P25页)=•--2223ab b a ;=--3)3(b ab _ ___; =÷---32232)()2(b a c ab ___;=-÷--)2(4122yz x z xy ; =•--332223)2(n m n m 。
3、用科学记数法表示:-0.00002009= .-0.000000001= .0.0012= . 0.000000345= . -0.00003= . 0.00000000108= . 4、计算(-4×106)÷(2×103)=__________.63(210)(3.210)-⨯⨯⨯=____ __. 6243(210)(10)--⨯÷=__________. 323(210)(510)--⨯⨯⨯=_________. 5212(310)(310)--⨯÷⨯=_______.1201(1)5(2004)2π-⎛⎫-+-÷- ⎪⎝⎭=_________.5、计算:(13-)0+(31)-1-2)5(--|-1| 6、计算,并把负指数化为正:21232)()2------n m mn (1、下列计算正确的是( )A 、m m m x x x 2=+B 、22=-n n x xC 、633x x x =⋅D 、326x x x =÷ 2、下列算式结果是-3的是( )A 、1)3(--B 、0)3(-C 、)3(--D 、|3|--3、计算4222x x x x x x ⎛⎫-÷ ⎪-+-⎝⎭的结果是( ) A.12x + B.-12x + C.-1 D.14计算、(1)()1132)(--•÷•n m n mx x x x (2)(-3a)3-(-a)·(-3a)2(3) ()[]3m n -p()[]5)(p n m n m --• (4)()m ma b b a 25)(--()m a b 7-÷ (m 为偶数,b a ≠)5、要使(x -1)0-(x +1)-2有意义,x 的取值应满足什么条件?2、如果等式()1122=-+a a ,则a 的值为 6、已知:()1242=--x x ,求x 的值.7、你能求出满足(n-3)n=(n-3)2n-2的正整数n 吗?8、你能求出满足(n-3)n+3=(n-3)2n的正整数n 吗?一、选择题 1. 分式22x yx y -+有意义的条件是( )A .x ≠0B .y ≠0C .x ≠0或y ≠0D .x ≠0且y ≠0 2.若分式(1)(2)(1)(2)x x x x +-++的值为零,则的值是( )A .-1B .-1或2C .2 D.-2A .x >3B .x <3C .x <3且x ≠0D .x >-3且x ≠0 4.如果正数x 、y 同时扩大10倍,那么下列分式中值保持不变的是( )A .11--y xB .11++y xC .32yx D .y x x +5.下列化简结果正确的是( )A .222222z y z x y x -=+- B.))((22b a b a b a -+--=0 C .y x yx 263=3x 3 D .12-+m m aa =a 3 6.计算2222n n m m m n-÷⋅的结果是( )A .-22n mB .-3n mC .-4mnD .-n7. 分式方程53211xx x-+=--的解是 ( ) A .x=4B .x=3C .x=0D .无解8、下列方程不是分式方程的是 ( )A 、31x x-= B 、1111x x x +=+- C 、342xy+= D 、1223x x --=9、将分式12x-y x 5 +y 3 的分子和分母中的各项系数都化为整数,应为( ).(A )x-2y 3x+5y (B )15x-15y 3x+5y (C ) 15x-30y 6x+10y (D )x-2y5x+3y10.甲从A 地到B 地要走m 小时,乙从B 地到A 地要走n 小时,若甲、乙二人同时从A 、B 两地出发,经过几小时相遇( )A .(m +n)小时 B .2n m +小时 C .mn n m +小时 D .nm mn+小时二、填空题11、当x __________时,分式392--x x 的值为零。
初中数学试卷 桑水出品15.2.3 整数指数幂一、选择题1.下列计算中,正确的是( )A .0a =1B .23-=-9C .5.6×210-=560D .21()5-=25 2.下列式子中与()2a -计算结果相同的是( )()()12224244. . . . A a B a a C a a D a a --÷-g g --3. 111()x y ---+=( )A .x y =B .1x y +C .xy x y +D .x y xy+ 4.已知m a ,0≠是正整数,下列各式中,错误的是( ) A m m aa 1=- B m m a a )1(=- C m m a a -=- D 1)(--=m m a a 5.下列计算中,正确的是 ( )A .22112()2m n m m n n -----+=++B .212()m n m n --=C .339(2)8x x --=D .11(4)4x x --=6.在:①()110=-,②()111-=-,③22313aa =-, ④()()235x x x -=-÷-中,其中正确的式子有( )A 、1个B 、2个C 、3个D 、 4个7.将11()6-,0(2)-,2(3)-这三个数按从小到大的顺序排列,正确的结果是 ( ) A .0(2)-<11()6-<2(3)- B .11()6-<0(2)-<2(3)- C .2(3)-<0(2)-<11()6- D .0(2)-<2(3)-<11()6- 8.n 正整数,且n n ---=-2)2(则n 是( )A 、偶数B 、奇数C 、正偶数D 、负奇数二、填空题9.填空:=-25 ,=⎪⎭⎫ ⎝⎛--321 . 10.计算:3-a = ,21-⎪⎭⎫ ⎝⎛-a = . 11.()=-31322b a b a ,()=--2223x b a .12.计算(-3-2)2的结果是_________.13.计算2323()a b a b --÷= .14.将式子32213--yx b a 化为不含负整数指数的形式是 . 15.化简:))()((2211---+-+y x y x y x =______________.16.若63=-n x ,则=n x 6.17.已知:57,37==n m ,则=-n m 27________________.18.已知:9432278321=⎪⎭⎫ ⎝⎛⋅⎪⎭⎫ ⎝⎛--x x , 则x=____________. 三、解答题19.(2013曲靖)计算:12-+|﹣|+()0.20.计算(1)()()22223y x yx -- (2)()()32121223---y x yz x(3)()()232212353z xy z y x --- (4)()()232232----n m n m21.已知2=x a ,求()()12233---++xx x x a a a a 的值.22.已知0)1(22=-++-b a b ,求32--b a 的值.23.拓展延伸【例题】阅读第(1)题的解题过程,再做第(2)题:(1)已知13x x -+=,求33x x -+的值.解:因为1222()29x x x x --+=++=所以227x x -+=所以332211()()()73318x x x x x x x x ----+=++-+=⨯-=;(2)已知13x x -+=,求55x x -+的值.一、选择题1.D2.D3.C4.C5.D6. B7. A8.B二、填空题 9.251、8- 10.31a 、2a 11.a b 68、464xa b 12.811 13.64b a 14.2323ax y b 15.441y x - 16.361 17.59 18.58 三、解答题19.2 20.(1)102x y (2)2472z y x (3)848925y x z (4)244mn 21.()()()()[]()()[]()()34652222122331223312233=++=++=++---------x x x x x x x x a a a a a a a a 22.⎩⎨⎧=-+=-0102b a b 解得⎩⎨⎧=-=21b a 则 ()81213232=⨯-=----b a 23.()()()12337181223355=-⨯=+-++=+----x x x x x x x x。
整数指数幂练习题1、=-23 ;=--2)3( ; =-0)3( ;03-=2、27a a ÷= ;=--3132)(y x y x _ ___;=∙---32222)(b a b a ;=÷---32232)()2(b a c ab .2、用科学记数法表示:-0.00002009= .-0.00003= . 0.00000000108= .3、计算(-4×106)÷(2×103)=__________.63(210)(3.210)-⨯⨯⨯=____ __.6243(210)(10)--⨯÷=__________. 323(210)(510)--⨯⨯⨯=_________.5212(310)(310)--⨯÷⨯=_______. 1201(1)5(2004)2π-⎛⎫-+-÷- ⎪⎝⎭=_________. 4、计算,并把负指数化为正指数:21232)()2------n m mn (5、计算、(1)()1132)(--∙÷∙n m n m x x x x (2)(-3a)3-(-a)·(-3a)2(3) ()[]3m n -p ()[]5)(p n m n m --∙ (4)()m m a b b a 25)(--()m a b 7-÷ (m 为偶数,b a ≠)6、要使(x -1)0-(x +1)-2有意义,x 的取值应满足 .7、已知: ()1242=--x x ,求x 的值.8、你能求出满足(n-3)n =(n-3)2n-2的正整数n 吗?9、已知x 3=m,x 5=n,用含有m ,n 的代数式表示x 14= .10、设x=3m ,y=27m+2,用x 的代数式表示y 是 .可化为一元一次方程的分式方程练习题1.若分式方程14733x x x -+=--有增根,则增根为 2.分式方程572x x =-的解为 3.分式方程2857x x +=-的解为 4.若分式751y -的值为12,则y = 5.当x = 时,分式5x x -与另一个分式62x x --的倒数相等。
15.2.3 整数指数幂【知识回顾】1、27a a ÷= ;(-4×106)÷(2×103)=__________。
2、用科学记数法表示:-0.00002006= .3、计算1201(1)5(2004)2π-⎛⎫-+-÷- ⎪⎝⎭的结果是_________. 4、纳米是一种长度单位,常用于度量物质原子的大小,1纳米=10-9米,已知某种植物孢子的直径为45000纳米,用科学记数法表示该孢子的直径为______米。
5、下列计算正确的是( )A 、m m m x x x 2=+B 、22=-n n x xC 、633x x x =⋅D 、326x x x =÷6、下列算式结果是-3的是( )A 、1)3(--B 、0)3(-C 、)3(--D 、|3|--7、下列计算正确的是( ); A 、532532a a a =+ B 、248a a a = C 、27313=-)( D 、9336)2---=-a a ( 8、计算4222x x x x x x ⎛⎫-÷⎪-+-⎝⎭的结果是( ) A.12x + B.-12x + C.-1 D.1 9、苏州红十字会统计,2004年苏州是无偿鲜血者总量为12.4万人次,已连续6年保持全省第一。
12.4万这个数用科学记数法来表示是( )A .1.24×104B .1.24×105C .1.24×106D .12.4×10410、计算:(13-)0+(31)-1-2)5(--|-1|11、计算,并把负指数化为正:21232)()2------n m mn (【拓展探究】12、已知a ,b 互为相反数,c ,d 互为倒数,e 是非零实数.求()02212e cd b a -++的值.13、阅读下列材料:∵11111323⎛⎫=- ⎪⨯⎝⎭, 111135235⎛⎫=- ⎪⨯⎝⎭, 111157257⎛⎫=- ⎪⨯⎝⎭, ……1111171921719⎛⎫=- ⎪⨯⎝⎭, ∴11111335571719++++⨯⨯⨯⨯ =11111111111(1)()()()2323525721719-+-+-++- =11111111(1)2335571719-+-+-++- =119(1)21919-=. 解答下列问题:(1)在和式111133557+++⨯⨯⨯中,第6项为______,第n 项是__________.(2)上述求和的想法是通过逆用________法则,将和式中的各分数转化为两个数之差,使得除首末两项外的中间各项可以_______,从而达到求和的目的.【答案】1、a5;-2×103;2、-2.006×10-5;3、-2;4、-4.5×10-5;5、C;6、D;7、C;8、B;9、B;10、-2;11、 88mn ; 12、∵a ,b 是互为相反数,c ,d 是互为倒数,e 是非零实数. ∴a+b=0,cd=1,e 0=1 ()02212e cd b a -++ =0+21-2 =23- 13、(1)11,1113(21)(21)n n ⨯-+; (2)分式减法,抵消。
初中数学试卷 桑水出品15.2.3 整数指数幂【知识回顾】1、27a a ÷= ;(-4×106)÷(2×103)=__________。
2、用科学记数法表示:-0.00002006= .3、计算1201(1)5(2004)2π-⎛⎫-+-÷- ⎪⎝⎭的结果是_________. 4、纳米是一种长度单位,常用于度量物质原子的大小,1纳米=10-9米,已知某种植物孢子的直径为45000纳米,用科学记数法表示该孢子的直径为______米。
5、下列计算正确的是( )A 、m m m x x x 2=+B 、22=-n n x xC 、633x x x =⋅D 、326x x x =÷6、下列算式结果是-3的是( )A 、1)3(--B 、0)3(-C 、)3(--D 、|3|--7、下列计算正确的是( ); A 、532532a a a =+ B 、248a a a = C 、27313=-)( D 、9336)2---=-a a ( 8、计算4222x x x x x x ⎛⎫-÷⎪-+-⎝⎭的结果是( ) A.12x + B.-12x + C.-1 D.1 9、苏州红十字会统计,2004年苏州是无偿鲜血者总量为12.4万人次,已连续6年保持全省第一。
12.4万这个数用科学记数法来表示是( )A .1.24×104B .1.24×105C .1.24×106D .12.4×10410、计算:(13-)0+(31)-1-2)5(--|-1| 11、计算,并把负指数化为正:21232)()2------n m mn (【拓展探究】12、已知a ,b 互为相反数,c ,d 互为倒数,e 是非零实数.求()02212e cd b a -++的值.13、阅读下列材料:∵11111323⎛⎫=- ⎪⨯⎝⎭, 111135235⎛⎫=- ⎪⨯⎝⎭, 111157257⎛⎫=- ⎪⨯⎝⎭, ……1111171921719⎛⎫=- ⎪⨯⎝⎭, ∴11111335571719++++⨯⨯⨯⨯L L =11111111111(1)()()()2323525721719-+-+-++-L =11111111(1)2335571719-+-+-++-L =119(1)21919-=. 解答下列问题:(1)在和式111133557+++⨯⨯⨯L L 中,第6项为______,第n 项是__________.(2)上述求和的想法是通过逆用________法则,将和式中的各分数转化为两个数之差,使得除首末两项外的中间各项可以_______,从而达到求和的目的.【答案】1、 a 5;-2×103;2、 -2.006×10-5;3、 -2;4、 -4.5×10-5;5、 C ;6、 D ;7、 C ;8、 B ;9、 B ;10、-2; 11、88mn ; 12、 ∵a ,b 是互为相反数,c ,d 是互为倒数,e 是非零实数.∴a+b=0,cd=1,e 0=1()02212e cd b a -++ =0+21-2 =23- 13、(1)11,1113(21)(21)n n ⨯-+; (2)分式减法,抵消。
高中数学整数指数幂专题含答案学校:__________ 班级:__________ 姓名:__________ 考号:__________1. 设集合A={1,2,3,4,5},B={x|x=2n,n∈Z},则A∩B=( )A.{4}B.{2,4}C.{1,3,5}D.{1,2,4}2. 已知2x>21−x,则x的取值范围是()A.RB.x<12C.x>12D.⌀3. 已知2a=3,2b=5,则22a−b等于()A.3 5B.95C.53D.2534. 素数也叫质数,法国数学家马林⋅梅森是研究素数的数学家中成就很高的一位,因此,后人将形如2n−1(n是素数)的素数称为梅森数.已知第20个梅森数为P=24423−1,第19个梅森数为Q=24253−1,则下列各数中与PQ最接近的数为( )(参考数据:lg2≈0.3)A.1059B.1056C.1051D.10455. 17&=1554979431000&api=v2 并迸入审核,请而心等待“ 画瞄要」… /1."随机派发”自动认领当前剩余时间最短的试题“解析“解答“答案图片部分需要ocr识别都提交给数字化工程师A.11B.22C.33D.446. 已知f(x)=3x,若实数x1,x2,…,x2018满足x1+x2+...+x2018=3,则f(x1)f(x2)…f(x2018)的值=________.7. 已知f(x)=x ln x+f′(1)x,则f(2)=________.8. “a=2”是”函数f(x)=x2+ax+1在区间[−1,+∞)上为增函数“的__________.9. 设a,b∈R,集合M={1, a+b, a},N={0, ba, b},若M=N,则b2014−a2013=________.10. 设m ,n ∈R ,那么(m −e n )2+(n −e m )2的最小值是________.11. 若a ,b ∈R ,集合{1, a +b, a}={0, b a , b},则b 2013−a 2013=________.12. 方程7⋅3x 9x −2=2的解是________.13. 设集合A ={1, a, b},B ={a, a 2, ab},且A =B ,求a 2014+b 2014.14. 设函数f(x)=x(x −k ln x x )(k ∈R ).(1)求函数f(x)的单调区间;(2)若g(x)=32x 2−(k +1)x ,函数f(x)和g(x)的图象只有一个交点,求k 的取值范围.15. 已知函数f(x)=ln x +a(1x −1),a ∈R .(1)若f(x)≥0,求实数a 取值的集合;(2)当a =0时,对任意x 1,x 2∈(0,+∞),x 1<x 2,令x 3=x 2−x1f (x 2)−f (x 1),证明:x 1<x 3<x 2.16. 计算:(1)cos (−2310∘);(2)(23)−2+(−827)−23+log 2√2.17. 计算:(1)(1e )0+√33×323+(18)−13;(2)lg 4−lg 25−0.12513−√3log 312.参考答案与试题解析高中数学整数指数幂专题含答案一、选择题(本题共计 5 小题,每题 3 分,共计15分)1.【答案】D【考点】交集及其运算整数指数幂【解析】计算A集合中各数是否为2的n次幂,即可求解.【解答】解:∵B={x|x=2n,n∈Z}={1,2,4,8,⋯,2n},∴A∩B={1,2,4}.故选D.2.【答案】C【考点】整数指数幂【解析】直接利用指数函数的单调性,求解即可.【解答】解:2x>21−x,可得x>1−x,解得x>1.2故选:C.3.【答案】B【考点】有理数指数幂整数指数幂【解析】将所求式子利用同底数幂的除法法则及幂的乘方运算法则变形,把已知的等式代入计算,即可求出值.【解答】解:∵2a=3,2b=5,∴22a−b=(2a)2÷2b=32÷5=9.5故选B.4.【答案】C指数式与对数式的互化整数指数幂【解析】无【解答】解:PQ =24423−124253−1≈2442324253=2170=10170lg2≈10170×0.3=1051.故选C.5.【答案】A【考点】有理数指数幂的化简求值有理数指数幂根式与分数指数幂的互化及其化简运算分数指数幂方根与根式及根式的化简运算整数指数幂【解析】答题题干数字化【解答】答题题干数字化二、填空题(本题共计 7 小题,每题 3 分,共计21分)6.【答案】27【考点】整数指数幂【解析】根据指数幂的运算性质即可求出.【解答】解:f(x)=3x,实数x1,x2,…x2018满足x1+x2+...+x2018=3,则f(x1)f(x2)…f(x2018)=3x1+x2+⋯+x2018=33=27,故答案为:27.7.【答案】2ln2+1 4【考点】整数指数幂【解析】此题暂无解析解:因为f′(x)=1+ln x−f′(1)x2,令x=1,得f′(1)=1−f′(1),所以f′(1)=12,所以f(2)=2ln2+14.故答案为:2ln2+148.【答案】充分不必要条件【考点】整数指数幂【解析】此题暂无解析【解答】解:本题主要考查函数和充要条件 .充分性:a=2时,f(x)=x2+2x+1=(x+2)2,所以函数f(x)在区间[−1,+∞)上为增函数,故充分性成立;必要性:f′(x)=2x+a≥0时,x≥a2时f(x)单调递增,−1≥a2,即a≥2,函数f(x)在区间[−1,+∞)上一定为增函数时,但是推不出a=2,所以必要性不成立。
整数指数幂:我们知道,正整数指数幂有一下运算性质: (1)aa a nm n m +=∙(m ,n 是正整数);(2)()a amnnm =,(m ,n 是正整数)(3)()b a ab nnn=(n 是正整数);(4)aa a nm nm-=÷(a ≠0,m ,n 是正整数,m >n)(5)ba b a nn n=⎪⎭⎫ ⎝⎛(n 是正整数).此外,我们还学过0指数幂,即当a ≠0时,10=a.由分式的约分可知,当a ≠0时,(4)aaa a a a a a223353531=∙==÷. ①另一方面,如果把正整数指数幂的运算性质(4)aa anm n m-=÷(a ≠0,m ,n 是正整数,m >n)中的条件m >n 去掉,即假设这个性质对于像a a 53÷的情形也能使用,则有a a53÷=.253a a--= ②由①②两式,我们想到如果规定aa221=-(a ≠0).就能使aa anm n m-=÷者条性质也适用于像a a53÷这样的情形.为使上述运算性质适用范围更广,同时也可以更简便地表示分式,数学中规定:一般地,当n 是正整数时,aann1=-(a ≠0).这就是说,)0(≠-a an是an的倒数.引入负整数指数幂后,指数的取值范围就推广到全体整数.1、计算:(1);52a a ÷- (2)⎪⎪⎭⎫⎝⎛-a b232(3)();123b a - (4)().22232b a b a-∙--整数指数幂的运算性质可以归结为:(1)aa anm n m+=∙(m ,n 是整数);(2)()a amn nm =,(m ,n 是整数) (3)()b a ab nnn=(n 是整数);2、计算:(1)();1233y x y x -- (2)()().223322b a c ab -÷--(3)();23321322zxy z yx-∙-⎪⎭⎫ ⎝⎛-- (4)()();223322b a c ab -÷--像这样vv -30603090=+分母中含未知数的方程叫做分式方程.我们以前学习的方程都是整式方程,它们的未知数不再分母中.解分式方程的一般步骤是:(1)分式方程的两边乘最简公分母可化为整式方程;(2)解这个整式方程;(3)(一般的,解分式方程时,去分母后所得整式方程的解有可能使原方程中分母为0,因此应做检验)检验:将整式方程的解代入最简公分母,若不为0,其解就是原分式方程的解,否则就是增根,必须舍去. 解分式方程的基本思路是:将分式方程化为整式方程,具体做法是在方程的两边都乘最简公分母.1、解方程:(1)x x 332=- (2)()()21311+-=--x x x x (3)32223=-++x x x (4)112412-=-++-xx x(5)1416222-=-+-+x x x (6)0111322=-+---x x x x x (7)x x x -=+--32332 (8)423532=-+-xx x (9)x x x -+=-4341 (10)113+-=-x x x x解决实际问题中,有时需要列、解分式方程.1、 两个工程队共同参与一项筑路工程,甲队单独施工1个月完成总工程的31,这时增加了乙队,两队又共同工作了半个月,总工程全部完成.哪个队的施工速度快?2、 张明3 h 清点完一批图书的一半,李强加入清点另一半图书的工作,两人合作1.2 h 清点完另一半图书.如果李强单独清点这批图书需要几小时?3、一项工程,甲队单独做需要40天完成,若乙队先做30天后,甲、乙两队一起合做20天恰好完成任务,请问:(1)乙队单独做需要多少天才能完成任务?(2)现将该工程分成两部分,甲对做其中一部分用了x天,乙队做另一部分工程用了y天,若x,y都是正整数,且甲队做的时间不到15天,乙队做的时间不到70天,那么两队实际各做了多少天?4、某次列车平均提速v km/h,用相同的时间,列车提速前行驶s km,提速后比提速前多行驶50 km,提速前列车的平均速度为多少?5、 改良玉米品种后,迎春村玉米平均每公顷增加产量a t,原来产m t 玉米的一块土地,现在的总产量增加20 t.原来和现在玉米的平均每公顷产量各是多少? 6、“母亲节”前夕,某商店根据市场调查,用3000元购进第一批盒装花,上市后很快售完,接着又用5000元购进第二批这种盒装花.已知第二批所购花的盒数是第一批所购盒数的2倍,且每盒花的进价比第一批的进价少5元.求第一批盒花的进价是多少元? 7、某商场销售的一款空调机每台的标价是1635元,在一次促销活动中,按标价的八折销售,仍可盈利9%.(1) 求这款空调每台的进价;(利润率=进价进价售价进价利润- ) (2) 在这次促销活动中,商场销售了这款空调机100台,问盈利多少元?8、为顺利通过“国家文明城市”,验收,东营市政府拟对城区部分路段的人行道地砖、绿化带、排水管等公用设施全面更新改造,根据市政府建设的需要,需40天内完成工程.现有甲、乙两个工程队有意承包这项工程,经调查知道;乙工程队单独完成此项工程的时间是甲工程队单独完成此项工程时间的2倍,若甲、乙两工程队合作只需10天完成.(1)甲、乙两个工程队单独完成此项工程各需多少天?(2)若甲工程队每天的工程费用是4.5万元,乙工程队每天的工程费用是2.5万元,请你设计一种方案,既能按时完工,又能使工程费用最少?9、某校为美化校园,计划对面积为1800m²的区域进行绿化,安排甲、乙两个工程队完成,已知甲队每天能完成绿化的面积是乙队每天能完成绿化的面积的2倍,并且在独立完成面积为400m²区域的绿化时,甲对比乙队少用4天.(1)求甲、乙两工程队每天能完成绿化的面积分别是多少m²?(2)若学校每天需付给甲队的绿化费用为0.4万元,乙队0.25万元,要使这次的绿化总费用不超过8万元,至少应安排甲队工作多少天?10、甲地到乙地的距离约为180 km,小刘开着小轿车,小张开着大货车,都从甲地去乙第,小刘比小张晚出发1小时,最后两车同时到达乙地,已知小轿车的速度是大货车速度的1.5倍.(1)求小轿车和大货车的速度各是多少?(2)当小刘出发时,求小张离乙地还由多远?11、某商店第一次用3000元购进某款书包,很快卖完,第二次又用2400元购进该款书包,但这次每个书包的进价是第一次进价的1.2倍,数量比第一次少了20个.(1)求第一次每个书包的进价是多少元?(2)若第二次进货后按80元/个的价格销售,恰好销售完一半时,根据市场情况,商店决定对剩余的书包按同一标准一次性打折销售,但要求这次的利润不少于480元.问最低可打几折?12、用电脑程序控制小型赛车进行90米比赛,“畅想号”和“和谐号”两辆赛车进入了决赛.两车从起点同时出发,“和谐号”到达终点时,“畅想号”距离终点还差9米.已知“和谐号”的平均速度为3 m/s.(1)求“畅想号”的平均速度;(2)如果两车重新开始比赛,“和谐号”从起点先向后退9米,两车再同时出发,它们能否同时到达终点?若能,求出到达终点的时间;若不能,请你设计一种方案(继续调整行驶距离或改变某辆赛车的速度),使两车能同时到达终点.。
【本文由书林工作坊整理发布,如有疑问可关注私信。
谢谢!】整数指数幂一、选择题1.下列计算中,正确的是( )A .0a =1B .23-=-9C .5.6×210-=560D .21()5-=252.下列式子中与()2a -计算结果相同的是( )()()12224244. . . . A a B a a C a a D a a --÷---3.111()x y ---+=( ) A .x y = B .1x y + C .xy x y + D .x yxy+ 4.已知m a ,0≠是正整数,下列各式中,错误的是( ) A mm aa 1=- B m m a a )1(=- C m m a a -=- D 1)(--=m m a a 5.下列计算中,正确的是 ( ) A .22112()2m n m m n n -----+=++ B .212()m n m n --=C .339(2)8x x --=D .11(4)4x x --=6.在:①()110=-,②()111-=-,③22313aa =-, ④()()235x x x -=-÷-中,其中正确的式子有( )A 、1个B 、2个C 、3个D 、 4个7.将11()6-,0(2)-,2(3)-这三个数按从小到大的顺序排列,正确的结果是( )A .0(2)-<11()6-<2(3)-B .11()6-<0(2)-<2(3)-C .2(3)-<0(2)-<11()6-D .0(2)-<2(3)-<11()6-8.n 正整数,且n n ---=-2)2(则n 是( )A 、偶数B 、奇数C 、正偶数D 、负奇数二、填空题 9.填空:=-25 ,=⎪⎭⎫⎝⎛--321 .10.计算:3-a = ,21-⎪⎭⎫⎝⎛-a = .11.()=-31322b a b a ,()=--2223x b a .12.计算(-3-2)2的结果是_________. 13.计算2323()a b a b --÷= .14.将式子32213--yx b a 化为不含负整数指数的形式是 .15.化简:))()((2211---+-+y x y x y x =______________. 16.若63=-n x ,则=n x 6.17.已知:57,37==n m ,则=-n m 27________________.18.已知:9432278321=⎪⎭⎫ ⎝⎛⋅⎪⎭⎫⎝⎛--x x , 则x=____________. 三、解答题19.(2013曲靖)计算:12-+|﹣|+()0.20.计算 (1)()()22223y xy x -- (2)()()32121223---y xyz x(3)()()232212353z xyz y x --- (4)()()232232----n mnm21.已知2=x a ,求()()12233---++x x x x a a a a 的值.22.已知0)1(22=-++-b a b ,求32--b a 的值.23.拓展延伸【例题】阅读第(1)题的解题过程,再做第(2)题: (1)已知13x x -+=,求33x x -+的值. 解:因为1222()29x x x x --+=++= 所以227x x -+=所以332211()()()73318x x x x x x x x ----+=++-+=⨯-=; (2)已知13x x -+=,求55x x -+的值.15.2.3 整数指数幂第1课时 整数指数幂一、选择题1.D2.D3.C4.C5.D6. B7. A8.B二、填空题9.251、8- 10.31a 、2a 11.ab 68、464xa b 12.81113.64b a 14.2323axy b 15.441y x - 16.361 17.59 18.58 三、解答题19.2 20.(1)102x y (2)2472z y x (3)848925y x z (4)244mn 21.()()()()[]()()[]()()34652222122331223312233=++=++=++---------x x x x x xxxa a a aaaaa22.⎩⎨⎧=-+=-0102b a b 解得⎩⎨⎧=-=21b a 则 ()81213232=⨯-=----b a23.()()()12337181223355=-⨯=+-++=+----x x x x x x x x。
整数指数幂第1课时 负整数指数幂1.计算5-2的值是( )A .-125 B.125 C .25 D .-252.计算⎝⎛⎭⎫-12-1的结果是( )A .-12 B.12 C .2 D .-23.计算a 3·a -5的结果是( )A .a 2B .a -2C .-a 2D .-a -24.若b =-3-2,c =⎝⎛⎭⎫13-2,d =⎝⎛⎭⎫-130,则() A .b <c <d B .b <d <c C .d <c <bD .c <d <b 5.计算:(1)(-2)0×3-2=________;(2)(x -1)2·x 3=________.6.计算:(1)⎝⎛⎭⎫23-2×3-1+(π-2018)0÷⎝⎛⎭⎫13-1;(2)(ab -2)-2·(a -2)3;(3)(2xy -1)2·xy ÷(-2x -2y ).第2课时用科学记数法表示绝对值小于1的数1.0.000012用科学记数法表示为()A.120×10-4B.1.2×10-5C.-1.2×10-5D.-1.2×1052.生物学家发现了一种病毒的长度约为0.00000432毫米.数据0.00000432用科学记数法表示为()A.0.432×10-5B.4.32×10-6C.4.32×10-7D.43.2×10-73.PM2.5是指大气中直径小于或等于2.5μm(0.0000025m)的颗粒物,含有大量有毒、有害物质,也称可入肺颗粒物.若将0.0000025用科学记数法表示为2.5×10n(n为整数),则n的值为()A.-7 B.-6 C.-5 D.64.用科学记数法把0.000009405表示成a×10-6,则a=________.5.用科学记数法表示下列各数:(1)0.0000314; (2)-0.0000064.6.用小数表示下列各数:(1)2×10-7; (2)2.71×10-5.7.纳米是一种长度单位,常用于度量物质原子的大小,1纳米=10-9米.已知某种植物孢子的直径约为45000纳米,用科学记数法表示该孢子的直径约为多少米?整数指数幂第1课时 负整数指数幂1.B. 2.D 3.B 4.B 5.(1)19(2)x 6.解:(1)原式=94×13+13=34+13=1312. (2)原式=a -2b 4·a -6=a -8b 4=b 4a 8. (3)原式=4x 2y -2·xy ÷(-2x -2y )=4x 3y -1÷(-2x -2y )=-2x 5y -2=-2x 5y 2. 第2课时 用科学记数法表示绝对值小于1的数1.B 2.B 3.B 4.9.4055.解:(1)原式=3.14×10-5.(2)原式=-6.4×10-6.6.解:(1)原式=0.0000002.(2)原式=0.0000271.7.解:45000纳米=4.5×104×10-9米=4.5×10-5米.答:该孢子的直径约为4.5×10-5米.。
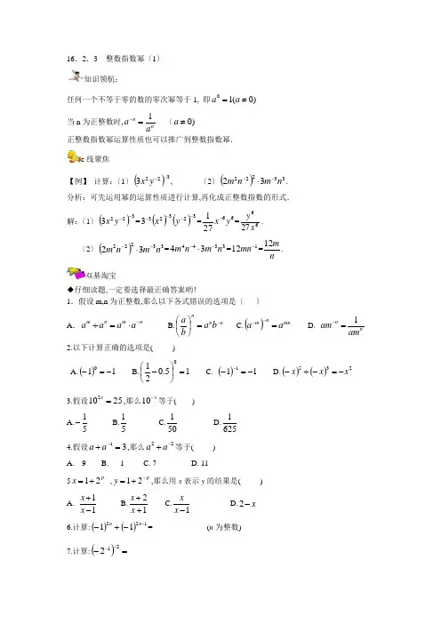
16.2.3 整数指数幂〔1〕知识领航:任何一个不等于零的数的零次幂等于1, 即)0(10≠=a a当n 为正整数时,n n a a 1=- 〔)0≠a 正整数指数幂运算性质也可以推广到整数指数幂.e 线聚焦【例】 计算:〔1〕()3223--y x , 〔2〕()3322232n m n m --⋅.分析:可先运用幂的运算性质进行计算,再化成正整数指数的形式.解:〔1〕()3223--y x =()()323233----y x =66271y x -=6627x y . 〔2〕()3322232n m n m --⋅=334434n m n m --⋅=112-mn =nm 12. 双基淘宝 ◆仔细读题,一定要选择最正确答案哟!1.假设m,n 为正整数,那么以下各式错误的选项是〔 〕A .n m n m a a a a -⋅=÷ B.n n n b a b a -=⎪⎭⎫ ⎝⎛ C.()mn n ma a =-- D. n n am am 1=- 2.以下计算正确的选项是( )A.()110-=- B.15.0210=⎪⎭⎫ ⎝⎛- C. ()111-=-- D.()()235x x x -=-÷- 3.假设25102=x ,那么x -10等于( ) A.51- B.51 C.501 D.6251 4.假设31=+-a a ,那么22-+a a 等于( )A. 9B. 1C. 7D. 115p x 21+= ,p y -+=21,那么用x 表示y 的结果是( ) A. 11-+x x B.12++x x C.1-x x D.x -2 6.计算:()()12211--+-n n =______________(n 为整数) 7.计算:()____________221=---8.化简:()))((2211---+-+y x yx yx =______________ 9.:57,37==n m ,那么=-n m 27________________. 10.:9432827321=⎪⎭⎫ ⎝⎛⋅⎪⎭⎫ ⎝⎛--x x , 那么x=_____________ 综合运用◆认真解答,一定要细心哟!11.计算:(1)10123)326(34--⎪⎭⎫ ⎝⎛⋅-⋅- (2)()32132----xy b a(3)()111)(2----⋅+-b a b a ab(4)⎪⎭⎫ ⎝⎛-÷⎪⎭⎫ ⎝⎛----42318521q p q p(5)321232223⎥⎥⎦⎤⎢⎢⎣⎡⎪⎪⎭⎫ ⎝⎛----y x c b a (6)23323322⎪⎪⎭⎫ ⎝⎛--⎪⎪⎭⎫ ⎝⎛+--ππππ 12.:a xx =+-1,求22-+x x 和44-+x x 的值拓广创新◆试一试,你一定能成功哟! 13.求满足2151691089=⎪⎭⎫ ⎝⎛⋅⎪⎭⎫ ⎝⎛⋅⎪⎭⎫ ⎝⎛c b a 的一切整数a,b,c 的值.。
整数指数幂练习题一、课前预习 (5分钟训练)1.下列计算正确的是( )A.(-2)0=-1 B.-23=-8 C.-2-(-3)=-5 D.3-2=-92.填空:(1)a·a 5=__________;(2)a 0·a -3=________;(3)a -1·a -2=________;(4)a m ·a n =____________.3.填空:(1)a÷a 4=__________;(2)a 0÷a -2=_____________;(3)a -1÷a -3=;(4)a m ÷a n =_________.4.某种细菌的长约为0.000 001 8米,用科学记数法表示为_______________.二、课中强化(10分钟训练) 1.下列计算正确的是( )A.(a 2)3=a 5 B.(a -2)-3=a -5 C.(31-)-1+(-π+3.14)0=-2 D.a+a -2=a -1 2.(1)(a -1)2=___________(a≠0);(2)(a -2b)-2=__________(ab≠0);(3)(b a )-1=________(ab≠0). 3.填空:(1)5-2=_______________;(2)(3a -1b)-1=_______________(ab≠0).4.计算:(1)(a b )-2·(ba )2; (2)(-3)-5÷33. 5.计算:(1)a -2b 2·(ab -1); (2)(y x )2·(xy)-2÷(x -1y).6.我们常用“水滴石穿”来说明一个人只要持之以恒地做某件事,就一定能成功.经测算,当水滴不断地滴在一块石头上时,经过10年,石头上可形成一个深为1厘米的小洞,那么平均每个月小洞的深度增加多少米?(结果保留三个有效数字,并用科学记数法表示)三、课后巩固(30分钟训练)1.据考证,单个雪花的质量在0.000 25克左右,这个数用科学记数法表示为( )A.2.5×10-3B.2.5×10-4C.2.5×10-5D.-2.5×10-4 2.下面的计算不正确的是( )A.a 10÷a 9=a B.b -6·b 4=21bC.(-bc)4÷(-bc)2=-b 2c 2D.b 5+b 5=2b 5 3.3p =4,(31)q =11,则32p -q =_______________.4.要使(242--x x )0有意义,则x 满足条件_______________. 5.(1)(a1)-p =_______________;(2)x -2·x -3÷x -3=___________(3)(a -3b 2)3=;____________(4)(a -2b 3)-2=_______________. 6.若x 、y 互为相反数,则(5x )2·(52)y =____________________.7.计算:(23-)-2-(3-π)0+(22-)2·(22)-2 .8.计算:(9×10-3)×(5×10-2) .9.计算:(1)5x 2y -2·3x -3y 2; (2)6xy -2z÷(-3x -3y -3z -1). 10.已知m -m -1=3,求m 2+m-2的值.参考答案一、课前预习 (5分钟训练)1.下列计算正确的是( )A.(-2)0=-1B.-23=-8C.-2-(-3)=-5D.3-2=-9解析:A:任何一个非零数的零次幂都等于1,故A 错;C:-2-(-3)=-2+3=1,故C 错;D:3-2=91312=,故D 错. 答案:B 2.填空:(1)a·a 5=__________;(2)a 0·a -3=________;(3)a -1·a -2=________;(4)a m ·a n =____________.答案:(1)a 6 (2)a -3 (3)a -3 (4)a m+n3.填空:(1)a÷a 4=__________;(2)a 0÷a -2=_____________;(3)a -1÷a -3=;(4)a m ÷a n =_________.答案:(1)31a (2)a 2 (3)a 2 (4)a m -n 4.某种细菌的长约为0.000 001 8米,用科学记数法表示为_______________.解析:科学记数法就是将一个数写成a×10n (1≤a <10)的形式.用科学记数法可以表示比1大的数,引入负整数指数幂后,也可表示比1小的数.0.000 001 8=1.8×0.000 001=1.8×10000001=1.8×10-6. 答案:1.8×10-6二、课中强化(10分钟训练)1.下列计算正确的是( )A.(a 2)3=a 5B.(a -2)-3=a -5C.(31-)-1+(-π+3.14)0=-2 D.a+a -2=a -1 解析:A.应为a 6,B.应为a 6,D.不能加减,C.原式=(-3-1)-1+1=(-3)1+1=-2.答案:C2.(1)(a -1)2=___________(a≠0);(2)(a -2b)-2=__________(ab≠0);(3)(ba )-1=________(ab≠0). 解析:幂的乘方、积的乘方以及商的乘方,当指数扩大到全体整数范围时,在正整数范围内成立的一切性质在保证分母不为零的前提下都成立.答案:(1)21a(2)24b a (3)a b 3.填空:(1)5-2=_______________;(2)(3a -1b)-1=_______________(ab≠0).解析:(1)根据a -n =n a 1,得5-2=251512=. (2)根据积的乘方,等于积中每个因式乘方的积可得 (3a -1b)-1=3-1(a -1)-1b -1=b a b a 3131=•. 答案:(1)251 (2)ba 3 4.计算:(1)(ab )-2·(b a )2; (2)(-3)-5÷33.解析:(1)根据a -n =n a 1.222)()(1)(b a ab a b ==-. 原式=422)()()(b a b a b a =•.(2)(-3)-5÷33=-3-5÷33=-3-5-3=-3-8.5.计算:(1)a -2b 2·(ab -1);(2)(yx )2·(xy)-2÷(x -1y). 解:(1)a -2b 2·(ab -1)=(a -2·a)(b 2·b -1)=a -1b=ab ; (2)(y x )2·(xy)-2÷(x -1y)=22y x ·x -2y -2·xy -1=521222yx y y y x x x =••••---. 6.我们常用“水滴石穿”来说明一个人只要持之以恒地做某件事,就一定能成功.经测算,当水滴不断地滴在一块石头上时,经过10年,石头上可形成一个深为1厘米的小洞,那么平均每个月小洞的深度增加多少米?(结果保留三个有效数字,并用科学记数法表示)解析:用10年形成的小洞的深度÷时间即可得到结果,注意单位.解:因为10年=120个月,1厘米=10-2米,所以平均每个月小洞的深度增加10-2÷120=(1÷120)×10-2≈0.008 33×10-2=8.33×10-3×10-2=8.33×10-5(米).三、课后巩固(30分钟训练)1.据考证,单个雪花的质量在0.000 25克左右,这个数用科学记数法表示为( )A.2.5×10-3B.2.5×10-4C.2.5×10-5D.-2.5×10-4 解析:科学记数法就是将一个较大或较小的数写成a×10n (1≤a <10)的形式.答案:B2.下面的计算不正确的是( )A.a 10÷a 9=aB.b -6·b 4=21bC.(-bc)4÷(-bc)2=-b 2c 2D.b 5+b 5=2b 5解析:运用幂的运算性质时一要注意符号问题,二要注意它们之间的区别,还要注意别与合并同类项混了.此题中A 、B 、D 都正确,而C:原式=(-bc)2=b 2c 2.答案:C3.3p =4,(31)q =11,则32p -q =_______________. 解析:32p =(3p )2=42=16,3-q =q 31=(31)q =11. 原式=32p·3-q =16×11=176.答案:176 4.要使(242--x x )0有意义,则x 满足条件_______________. 解析:要使式子有意义,分母不为0,分子为0.∴x -2≠0,x 2-4=0.∴x=-2.答案:x=-2 5.(1)(a1)-p =_______________;(2)x -2·x -3÷x -3=_______________; (3)(a -3b 2)3=;____________(4)(a -2b 3)-2=_______________.解析:(1)(a 1)-p =(a -1)-p =a p .(2)x -2·x -3÷x -3=x -5-(-3)=x -2. (3)(a -3b 2)3=a -9b 6.(4)(a -2b 3)-2=a 4b -6. 答案:(1)a p (2)x -2 (3)a -9b 6 (4)a 4b -66.若x 、y 互为相反数,则(5x )2·(52)y =____________________.解析:由x 、y 互为相反数得x+y=0,所以(5x )2·(52)y =52x·52y=52x+2y=52(x+y)=50=1.答案:17.计算:(23-)-2-(3-π)0+(22-)2·(22)-2. 解析:原式=341134=+-. 8.计算:(9×10-3)×(5×10-2). 解:原式=(9×5)×(10-2×10-3)=45×10-5=4.5×10×10-5=4.5×10-4.9.计算:(1)5x 2y -2·3x -3y 2; (2)6xy -2z÷(-3x -3y -3z -1).解:(1)原式=(5×3)(x 2x -3)(y -2y 2)=15x -1y 0=x15;(2)原式=[6÷(-3)](x÷x-3)(y-2÷y-3)(z÷z-1)=-2x1-(-3)y(-2)-(-3)z1-(-1)=-2x4yz2.10.已知m-m-1=3,求m2+m-2的值.解:两边平方得m2-2+m-2=9,所以m2+m-2=11.。
整数指数幂(二) 习题精选一、选择题1.已知x 为整数,且分式1222-+x x 的值为整数,则x 可取的值为( )A.1个B.2个C.3个D.4个2.若(30)62()2----x x 有意义,那么x 的范围是( ) A.2>x B.3<x C.23≠≠x x 或 D. 23≠≠x x 且3. 如果(32a b)2÷(3a b)2=3,那么a 8b 4等于( )A .6B .9C .12D .81 4.若ba b a +=+111,则ba ab +的值是( )A.2B.-1C.1D.0 二、填空题5.若,15=-a a 则a 的值可以是 。
6.已知2008,2007==y x ,则分式=-++4422))((yx y x y x 。
7.设※表示一种运算符号,规定x ※y=))(1(11a y x xy+++,且2※1=32,则a = ,9※8= 。
8.已知,31=+x x 则1242++x x x的值是 。
三、解答题9.观察下列关系式:1121)2)(1(1---=--x x x x2131)3)(2(1---=--x x x x3141)4)(3(1---=--x x x x ……你可以归纳一般结论是 。
利用上述结论,计算: )2008)(2007(1)3)(2(1)2)(1(111--++--+--+-x x x x x x x 。
10.有这样一道题“先化简,再求值:(41)442222-÷-++-x x x x x ,其中2008-=x ”小明做题时把“2008-=x ”错抄成了“2008=x ”,但他的计算结果也是正确的,请你解释这是怎么回事?12.已知,0200452=--x x 求代数式21)1()2(23-+---x x x 的值答案:一、1.D ,提示:1222-+x x 化简得12-x ,其值为整数则21,11±=-±=-x x 或,解得x =2,0, 3;2.D ,提示:由零指数幂和负指数幂的定义得,⎩⎨⎧≠-≠-0302x x ,得⎩⎨⎧≠≠32x x 故选D ;3.B ,提示:化简得324=b a ,整体代入得a 8b 4=(93)2224==b a ,故选B ;4.B ,提示:将ba ba +=+111化简得,(,,)222ab b a ab b a -=+=+即再将ba ab +化简为122-=+abb a ;二、5.5,1,-1,提示:分类讨论即当505,0==-≠a a a 即;当115,15==-=-a aa a a 时,为任意数,即成立;当为偶数5,1--=a a ,即115=-=-a aa 时,成立;6.-1,提示:将结论化简得12008200711-=-=-yx ;7.1,;4018.81,提示:∵,0≠x ∴分子分母都除以,2x 得811311)1(111113222242=-=-+=++=++x x xx x x x三、9.nx n x n x n x --+-=+--1)1(1)]1()[(1;解:)2008)(2007(1)3)(2(1)2)(1(111--++--+--+-x x x x x x x=20071200812131112111---++---+---+-x x x x x x x=20081-x10. 解:(41)442222-÷-++-x x x x x=1)2)(2()2)(2(4)2)(2(1)2)(2(4)2(22-+⨯-++=+-÷+-+-x x x x x x x x x x x =42+x把2008-=x 看成了2008=x 时,结果一样。
§16.2.3 整数指数幂(二)学习目标:学会小于1的正数用科学记数法表示的方法.重、难点:掌握小于1的正数用科学记数法表示.学会正数指数与负整数指数用于科学记数法的区别.一、复习:(一)整数指数幂运算性质①___________=⋅n m a a ②___________)(=nm a ③()__________=nab④___________=÷nm a a ⑤___________)(=nba ⑥___________0=a⑦___________=-na(二)计算: ①()___________232=--y x ②()___________32233=⋅---y x y x ③________________2624=÷-y x yx ④()___________22623=÷--y x y x⑤()___________3132=--yx y x ⑥()()___________232232=÷---b a c ab(三)用科学记数法表示下列各数: ①1236500=___________②-379001=______________③378000=______________④5760000000=______________二、新授填空: 100= ; 10-1= = ; 10-2= = ;10-3= = ; 100= = ; 你发现用10的负整数指数幂表示0.00…01这样较小的数有什么规律吗?请说出你总结的结论。
随堂练习:1. 用科学计数法表示下列各数: (1)0.000 04, (2) -0. 034, (3) 0.000 000 45,(4) 0. 003 009(5)-0.00001096(6)0.0003292、阅读书本21页的例题11,了解有关纳米的小知识。
3.计算: (1) (3×10-8)×(4×103) (2) (2×10-3)2÷(10-3)3(3)()()65107103--⨯⨯⨯ (4) ()()264103105.0-⨯⨯⨯(5) ()()217104109--⨯÷⨯(6) ()()2891021011⨯÷⨯-综合练习: 1、计算 ①()()()b a b a b a n nm +⋅+⋅+-+1② ()()()5433222ab b a ba -÷-⋅-③()()04223x x x ⋅÷④()()⎪⎭⎫⎝⎛-÷-÷-xyz z y xzy x 312.08.1322324⑤()()04220055211π-÷-⎪⎭⎫⎝⎛+--⑥()312226----⋅y x x2、先化简,再求值:,21222222⎪⎪⎭⎫ ⎝⎛++÷--ab b a ab b a b a 其中a=5,b=-33、先将分式121312-+÷⎪⎭⎫ ⎝⎛-+x x x 进行化简,然后请你给x 选择一个合适的值,再求原式的值。
整数指数幂练习题(2)【典型例题】
例 1. 1、若式子(2 x
1)0 有意义,求 x 的取值范围。
2 、要使 ( x
2 4 )0有意义 ,则 x 满足条件 _______________. x 2
(
1
) 2 ( 5) 0
例 2. 计算:( 1)、103 ( 3)3 0.3 1 12
30
( 2)、[(a)4( a2)3] a10(a 0)
例 3. 计算下列各式,并把结果化为只含有正整数指数幂的形式
( 1 )( 3 1 m3n 2 ) 2
(
[ 2( x y)2 ( x y)] 2 [( x y) 1 ( x y) 2 ] 3
例 4. 用科学记数法表示下列各数.
(1)30920000 (2)0.00003092
(3)- 309200 (4)- 0.000003092
例 5. 用小数表示下列各数 .
(1) 6.23 10 5(2)( 2)3108
例6.已知 x x 1 a ,求 x2x 2的值.
【强化练习】
一.选择题:
1. 下列算式中正确的是()
A. (0.0001)0 0 1
B. 10 4 0.0001
10 2 5 0 1 0.01 2 0.01
C. D.
2. 下列计算正确的是()
A. a3 m 5 a5 m a4m 10
B. x4 x3 x2 x2
10 2 5 0 1 10 4
2 0.001
C. D.
下面的数或式: 510 254 ,4 2 ,
1
为
,
负数的个数是(
3. , 117 )
A. 1 个
B. 2 个
4
D. 0 个
C. 3 个
3
0 1
,② a3 a3 a6
4. 下面是一名同学所做 6 道练习题:①,③
. 5 3 2
4m 2
1 2 3 3 6
2
2
2 ,
a a
a
,④4m2 ,⑤
xy
x y ,⑥
2 )
)
他做对的题的个数是(
A. 0
B. 1
C. 2
D. 3
2 0
5. 若 a 0.32 ,b 3 2 , c 1 , d 1 则 a、b、c、d 的大小关系
是(). 3 3
A. a<b<c<d
B. b<a<d<c
C. a<d<c<b
D. c<a<d<b
6.纳米是一种长度单位, 1nm=
10
9
m
,已知某种植物花粉的直径约为35000nm,那么用科学记数法表示该种花粉直径为()
A. 3.5 104 m
B. 3.5 10 4 m
C. 3.5 10 5 m
D. 3.5 10 9 m
二. 填空题:
2 10
3 6 10 5 0.02。
8. =
1 9.
3
2 11.
2
3
1
4 15、已知 3m=1/27,0.5n=16,求 m n的值
4 x2 y 3 2 1 x2 y3
3 = 。
10. = 。
1 2
1 0
2
1 3
4 = 。
三 . 解答题:
16、已知 a3m=4,b3n=2.求( a3)2m+(b n)3-a2m·b2n· b n的值12. 计算下列各式,并且把结果化为只含有正整数指数幂的形式:
(1)a 4 3 3 2
(2)
3a 2 2 3 2 1 ab ; b a b
13. 一个大正方体的边长为 0.2m。
m3 17、已知 m- m-1=3,求 m2+m-2的值 .
(1)这个大立方体的体积为多少?(用科学记数法表示)
(2)如果有一种小立方体的边长为2× 10 2 m,需要多少个这样的
小立方体才能摆成边长为0.2m 的一个大立方体?
18、已知 m 是整数,且m+3的值,求整数m
m+1
14、3p=4,( 1
)q=11,则 32p-q=_______________.
3
1 a
2
19、已知 a+ a =7,求
a4 +a 2 +1 的值。