《三角函数与平面向量》单元测试题
- 格式:doc
- 大小:64.50 KB
- 文档页数:4
约稿:三角函数与平面向量综合测试题一、选择题:本大题共12小题,每小题5分,共60分。
在每小题给出的四个选项中,恰有一项....是符合题目要求的。
1.下列函数中,周期为2π的是( ) A .sin 2x y = B .sin 2y x = C .cos 4xy = D .cos 4y x =2.已知命题:p x ∀∈R ,sin 1x ≤,则( ) A.:p x ⌝∃∈R ,sin 1x ≥ B.:p x ⌝∀∈R ,sin 1x ≥ C.:p x ⌝∃∈R ,sin 1x >D.:p x ⌝∀∈R ,sin 1x >3. 条件甲a =+θsin 1,条件乙a =+2cos2sinθθ,那么 ( )A .甲是乙的充分不必要条件B .甲是乙的充要条件C .甲是乙的必要不充分条件D .甲是乙的既不充分也不必要条件4.已知O 是ABC △所在平面内一点,D 为BC 边中点,且2OA OB OC ++=0,那么( )A.AO OD =B.2AO OD =C.3AO OD =D.2AO OD =5. 若函数f (x )=3sin21x , x ∈[0, 3π], 则函数f (x )的最大值是 ( )A.21 B.32C.22D.236. (1+tan25°)(1+tan20°)的值是( )A.-2B.2C.1D.-17. α、β为锐角a =sin(βα+),b =ααcos sin +,则a 、b 之间关系为 ( )A .a >bB .b >aC .a =bD .不确定8. 下面有五个命题:①函数y =sin 4x -cos 4x 的最小正周期是π.BACD②终边在y 轴上的角的集合是{a |a =Z k k ∈π,2|. ③在同一坐标系中,函数y =sin x 的图象和函数y =x 的图象有三个公共点.④把函数.2sin 36)32sin(3的图象得到的图象向右平移x y x y =ππ+=⑤函数.0)2sin(〕上是减函数,在〔ππ-=x y其中真命题的序号是 ① ④ ((写出所有真命题的编号))9. )sin()(ϕω+=x A x f (A >0,ω>0)在x =1处取最大值,则 ( )A .)1(-x f 一定是奇函数B .)1(-x f 一定是偶函数C .)1(+x f 一定是奇函数D .)1(+x f 一定是偶函数10. 使x y ωsin =(ω>0)在区间[0,1]至少出现2次最大值,则ω的最小值为( )A .π25B .π45C .πD .π2311、在直角坐标系xOy 中,,i j分别是与x 轴,y 轴平行的单位向量,若直角三角形ABC 中,2A Bi j =+ ,3AC i k j =+,则k 的可能值有 ( )A 、1个B 、2个C 、3个D 、4个 12. 如图,l 1、l 2、l 3是同一平面内的三条平行直线,l 1与l 2间的距离是1, l 2与l 3间的距离是2,正三角形ABC 的三顶点分别在l 1、l 2、l 3上,则△ABC 的边长是 ( )(A )32 (B )364(C )4173 (D )3212二、填空题:本大题共4小题,每小题4分,共16分。
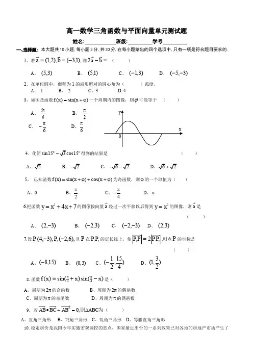
高一数学三角函数与平面向量单元测试题姓名: 班级: 学号一、选择题: 本大题共10小题,每小题3分,共30分.在每小题给出的四个选项中,只有一项是符合题目要求的.1、若),1,3(),2,1(-==则=-b a 2 ( )A 、)3,5( B 、 )1,5( C 、 )3,1(- D 、 )3,5(--2.在单位圆中,面积为1的扇形所对的圆心角为( )弧度。
A 、 1B 、 2C 、3 D. 43、如图是函数f (x)sin(x )=+ϕ一个周期内的图像,则ϕ可能等于 ( )A 、56π B 、 2πC 、 6π-D 、6π4.化简00sin15得到的结果是 ( )A B 、 C 、 D +5、 已知函数f (x)sin(x )cos(x )=+ϕ++ϕ为奇函数,则ϕ的一个取值为( ) A 、0 B 、2π C 、4π- D 、π 6.把函数742++=x x y的图像按向量a 经过一次平移以后得到2x y =的图像,则a 是( ) A 、)3,2(- B 、 )3,2(- C 、 )3,2(-- D 、 )3,2(7.设),6,2(),3,4(21--P P 且P 在21P P =则点P 的坐标是( )A 、)15,8(-B 、 (0,3)C 、)415,21(-D 、)23,1( 8.函数44f (x)sin(x)sin(x)ππ=+-是( )A 、周期为2π的奇函数B 、周期为2π的偶函数C 、周期为π的奇函数D 、周期为π的偶函数 9. 若为则ABC AB ∆=+∙,02( )A 、直角三角形B 、钝角三角形C 、锐角三角形D 、等腰直角三角形影响,温州市某房地产介绍所对本市一楼群在今年的房价作了统计与预测:发现每个季度的平均单价y(每平方面积的价格,单位为元)与第x季度之间近似满足:y500sin(x)9500(0)=ω+ϕ+ω>,已知第一、二季度平均单价如右表所示:则此楼群在第三季度的平均单价大约是()元A、10000B、9500C、9000D、8500二、填空题:本大题共6小题,每小题4分,满分24分.把答案填在题中横线上.11、已知113a(,2sin),b(cos,),a322=α=α且∥b,则锐角α的值为;12、m,n a2m a n,|a|=⊥=设是两个单位向量,向量-n,则;13、函数y cos2x4cos x,x[,]32ππ=-∈-的值域是;14、在三角形ABC中,设=,=,点D在线段BC上,且3=,则用,表示为;15、已知偶函数f(x)2sin(x)(0,0)=ω+ϕω><ϕ<π的最小正周期是π,则f(x)的单调递减区间为;16、下列命题:①若=⋅=⋅②若与是共线向量,与是共线向量,则与是共线向量:-=+,则0=⋅ba④若a与b是单位向量,则1=⋅ba其中真命题的序号为。
2008高考数学二轮复习 第四单元 三角函数与平面向量综合测试一、选择题 (10×5分=50分) 1.已知等腰三角形底角的正弦值为,32则顶角的正弦值是 ( A ) A .594 B .592 C .594-D .592- 2.函数x y sin =的图象按向量)2,2(π-=a 平移后与)(x g 的图象重合,则函数=)(x g (A )A .2cos +xB .2cos --xC .2cos -xD .2cos +-x3.等边ABC ∆的边长为1,设C AC b BC a AB ===,,,则=⋅+⋅+⋅a c c b b a ( B )A .23 B .21 C .23- D .21- 4.已知,4-<k 则函数)1(cos 2cos -+=x k x y 的最小值是 ( A )A .1B .1-C .12+kD .12+-k5.若θ是第三象限角,且2sin2cossin 1θθθ+=+,则2θ是 ( B ) A .第二、四象限角 B .第二象限角 C .第三象限角 D .第四象限角6.已知P 是ABC ∆所在平面内的一点,若R ∈+=λλ,。
则点P 一定在( B )A .ABC ∆内部B .AC 边所在直线上C .AB 边所在直线上D .BC 边所在直线上7.把函数x x y sin cos 3-=的图象按向量)0()0,(>-=m m 平移,所得的图象关于y 轴对称,则m 的最小正值是 ( D )A .6π B .3π C .π32 D .π65 8.在ABC ∆中,下列三角表达式:①C B A sin )sin(++ ②A C B cos )cos(++ ③ 2tan 2tanC B A + ④ 2sec 2cos AC B +,其中恒为定值的是 ( B ) A .①② B .②③ C .③④D .②④9.已知ABC ∆中,点D 在BC 边上,且DB CD 2=,,s r +=则s r +的值( D )A .32 B .34C .3-D .0 10.设(0,0)O ,(1,0)A ,(0,1)B ,点P 是线段AB 上的一个动点,AP AB λ=, 若⋅≥⋅, 则实数λ的取值范围是 ( B )A .112λ≤≤B . 112λ-≤≤C . 1122λ≤≤+D . 1122λ-≤≤+二、填空题(6×5=30)11.︒︒-︒25cos 25sin 5cos 2的值为12.函数)32sin(4π--=x y 的单调减区间是5,1212k k k z ππππ⎡⎤-+∈⎢⎥⎣⎦_____________ 13.直角坐标平面上向量)3,2(),1,4(-==在直线λ上的射影长度相等,则直线l 的斜率为3或12-_____________ 14.已知j i ,为互相垂直的单位向量,j i b j i a λ+=-=,2,且b a ,的夹角为锐角,则实数λ的取值范围1(,2)(2,)2-∞-⋃-__________15.在AOB ∆中,)sin 5,cos 5(),sin 2,cos 2(ββαα==,若5-=⋅,则AOB ∆的面积为_2_________ 16. 在ABC ∆中,O 为中线AM 上的一个动点,若2=AM ,则)(OC OB OA +⋅的 最小值是___-2_________ 三、解答题:17.(本题10分)设πππ471217,53)4cos(<<=+x x ,求xxx tan 1sin 22sin 2-+的值。
平面向量与解三角形单元检测题(含答案)平面向量与解三角形单元检测题一、选择题(本大题共10小题,每小题5分,共50分.在每小题给出的四个选项中,只有一项是符合题目要求的)1.设x ,y ∈R ,向量a =(x,1),b =(1,y ),c =(2,-4),且a ⊥c, b ∥c ,则|a +b |=( )A.5B.10 C .2 5 D .102.在△ABC 中,N 是AC 边上一点,且AN =12NC ,P 是BN 上的一点,若AP =m AB +29AC ,则实数m的值为( )A.19B.13C .1D .3 3.已知点A (-1,1),B (1,2),C (-2,-1),D (3,4),则向量AB→在CD →方向上的投影为 A.322 B.3152 C .-322D .-31524.在直角坐标系xOy 中,AB→=(2,1),AC →=(3,k ),若三角形ABC 是直角三角形,则k 的可能值个数是( )A .1B .2C .3D .4 5.已知向量a 与b 的夹角为120°,|a |=3,|a +b |=13,则|b | 等于 ( ).A .5B .4C .3D .16.在四边形ABCD 中,AC→=(1, 2),BD →=(-4,2),则该四边形的面积为 A. 5 B .2 5 C . 5 D .10 7.如图所示,非零向量=a ,=b ,且BC ⊥OA,C为垂足,若=λa (λ≠0),则λ=( )8.在△ABC 中,sin 2A≤sin 2B+sin 2C-sin Bsin C,则A 的取值范围是( )(A)(0,π6] (B)[π6,π)(C)(0,π3] (D)[π3,π) 9.设△ABC 的内角A ,B ,C 所对边分别为a ,b ,c .若b +c =2a,3sin A =5sin B ,则角C =A.π3B.2π3C.3π4D.5π610.在平面直角坐标系中,若O 为坐标原点,则A ,B ,C 三点在同一直线上的等价条件为存在唯一的实数λ,使得OC→=λOA →+(1-λ)OB →成立,此时称实数λ为“向量OC→关于OA →和OB →的终点共线分解系数”.若已知P 1(3, 1),P 2(-1,3),(1)若m∥n,求证:△ABC为等腰三角形;(2)若m⊥p,边长c=2,角C=π3,求△ABC的面积.17.在△ABC中,角A,B,C的对边分别为a,b,c,已知sin Asin B+sin Bsin C+cos 2B=1.(1)求证:a,b,c成等差数列; (2)若C=2π3,求ab的值.18.在△ABC中,a、b、c分别是角A、B、C所对的边,且a=12c+bcos C.(1)求角B的大小; (2)若S△ABC,求b的最小值.19.在△ABC中,角A,B,C的对边分别为a,b,c,若a cos2C2+c cos2A2=32b.(1)求证:a,b,c成等差数列;(2)若∠B=60°,b=4,求△ABC的面积.20.△ABC为一个等腰三角形形状的空地,腰AC 的长为3(百米),底AB的长为4(百米).现决定在空地内筑一条笔直的小路EF(宽度不计),将该空地分成一个四边形和一个三角形,设分成的四边形和三角形的周长相等,面积分别为S 1和S 2. (1)若小路一端E 为AC 的中点,求此时小路的长度;(2)若小路的端点E 、F 两点分别在两腰上,求12SS 的最小值.21.已知△ABC 的角A ,B ,C 所对的边分别是a ,b ,c ,且满足sin sin 2cos cosCsin cos B C B A A+--=。
2019-2019 江苏高三数学三角函数与平面向量专题检测三角函数是数学中常有的一类对于角度的函数,以下是三角函数与平面向量专题检测,请考生仔细练习。
1.- [ 由 |OP|=5,得 sin =- ,cos =, sin +cos =-.]2.,kZ [y=sin=-sin. 由 2k2x-+ ,得 kx+ , kZ.y=sin 的单一减区间为,kZ.]3. [ ∵0 且 cos =,又 0,+,又 sin(+ ,cos(+)=-=- ,sin ==.cos =cos[(+)-]=cos(+)cos +sin(+)sin =.]4.(kZ) [ 由 T== ,得 =2,所以 f(x)=Asin(2x+).∵y=f(x) 的图象对于 x=对称,且-,则 =, f(x)=Asin令 2x+=k , x=- , kZ ,所以 y=f(x) 的对称中心为 (kZ).]5.2 [ 由正弦定理, =,sin A==.又 a6.④7. [ 由 ab=(,2)(3 ,2)=32+40 ,得 0 或-.又 a=kb ,得 =,则 =,所以〈 a,b〉为锐角,应有 -或 0 且.] 8.直角三角形回扣三三角函数与平面向量圈套清点 1 三角函数的定义理解不清致误三角函数值是比值,是一个实数,这个实数的大小和点P(x,y)在终边上的地点没关,只由角的终边地点决定.[ 回扣问题 1] 已知角的终边经过点P(3,-4),则 sin +cos 的值为________.圈套清点 2 求 y=Asin(x+) 与 y=Acos (x+) 的单一区间,忽略符号致错0 时,应先利用引诱公式将x 的系数转变为正数后再求解;在书写单一区间时,不可以弧度和角度混用,需加2k 时,不要忘记 kZ ,所求区间一般为闭区间.[ 回扣问题 2] 函数 y=sin 的递减区间是 ________.圈套清点 3 求三角函数值问题,忽略隐含条件对角的范围的限制致使增解[ 回扣问题 3] 已知 cos =, sin(+)= , 0,则 cos =________.圈套清点 4 对于三角函数性质认识不足致误(1)三角函数图象的对称轴、对称中心不独一.①函数 y=sin x 的对称中心为 (k ,0)(kZ) ,对称轴为 x=k+(kZ).②函数 y=cos x 的对称中心为 (kZ) ,对称轴为x=kZ).③函数 y=tan x 的对称中心为 (kZ) ,没有对称轴 .(2)求 y=Asin(x+) ,y=Acos (x+) 的最小正周期易忽略的符号. [ 回扣问题 4] 设函数 f(x)=Asin(x+)的图象对于x= 对称,且最小正周期为,则y=f(x) 的对称中心为________.圈套清点 5 忽略解三角形中的细节问题致误利用正弦定理解三角形时,注意解的个数议论,可能有一解、两解或无解 .在△ ABC 中, Asin Asin B.[ 回扣问题 5] △ABC 的内角 A , B, C 所对的边分别为 a, b, c 若 B= , a=1, b=,则 c=________.圈套清点 6 忽略零向量与向量的运算律致误当 ab=0 时,不必定获得 ab,当 ab 时, aab=cb,不可以获得a=c,消去律不建立; (ab)c 与 a(bc)不必定相等, (ab)c 与 c平行,而 a(bc)与 a 平行 .[ 回扣问题 6] 以下各命题:①若 ab=0,则 a、b 中起码有一个为 0;②若 a0,ab=ac,则 b=c;③对随意愿量 a、b、 c,有(ab)ca(b④对任一直量a,有 a2=|a|2.此中正确命题是________( 填序号 ).圈套清点 7 向量夹角范围不清解题失误设两个非零向量a,b,其夹角为,则:ab0 是为锐角的必需非充足条件;当为钝角时,ab0,且 a,b 不反向; ab0 是为钝角的必需非充足条件.[ 回扣问题 7] 已知 a=(, 2), b=(3, 2),假如 a 与 b 的夹角为锐角,则的取值范围是________.圈套清点 8 混杂三角形的四心的向量表示形式致误①++=0P 为△ ABC 的重心;② ==P 为△ ABC 的垂心;③向量 (0)所在直线过△ ABC 的心里;④==P 为△ABC 的外心 .要练说,得练看。
新高考 三角函数与平面向量单元测试卷+详细分析与解答一、单选题(共8小题,满分40分,每小题5分) 1、)sin 225︒=()A .12-B .2-C .D .1-2、已知向量(1,1),a =(1,3),b =-(2,1)c =,且()//a b c λ-,则λ=() A .3B .-3C .17D .17-3、已知345sin πα⎛⎫-= ⎪⎝⎭,0,2πα⎛⎫∈ ⎪⎝⎭,则cos α=()A .10 B .10C .2D .104、已知向量a ,b 满足1a =,2b =,()()313a b a b -⋅+=-,则a 与b 的夹角为() A .6π B .3π C .23π D .56π 5、如图,在等腰直角ABC ∆中,D ,E 分别为斜边BC 的三等分点(D 靠近点B ),过E 作AD 的垂线,垂足为F ,则AF =()A .3155AB AC + B .2155AB AC + C .481515AB AC + D .841515AB AC + 6、为了得函数23y sin x π⎛⎫=+ ⎪⎝⎭的图象,只需把函数2y sin x =的图象() A .向左平移6π个单位 B .向左平移3π单位 C .向右平移6π个单位 D .向右平移3π个单位7、若π1sin 34α⎛⎫-= ⎪⎝⎭,则πcos 23α⎛⎫+= ⎪⎝⎭().A .78-B .14-C .14D .788、泉城广场上矗立着的“泉标”,成为泉城济南的标志和象征.为了测量“泉标”高度,某同学在“泉标”的正西方向的点A 处测得“泉标”顶端的仰角为45︒,沿点A 向北偏东30︒前进100 m 到达点B ,在点B 处测得“泉标”顶端的仰角为30︒,则“泉标”的高度为() A .50 mB .100 mC .120 mD .150 m二、多选题(共4小题,满分20分,每小题5分,少选的3分,多选不得分) 9、关于平面向量,,a b c ,下列说法中不正确...的是() A .若//a b 且//b c ,则//a cB .()a b c a c b c +⋅=⋅+⋅ C .若a b a c ⋅=⋅,且0a ≠,则b c =D .()()a b c a b c ⋅⋅=⋅⋅10、若函数f (x )=sin(2x -π3)与g (x )=cos(x +π4)都在区间(a ,b )(0<a <b <π)上单调递减,则b -a 的可能取值为( )A .π6B .π3C .π2D .5π1211、己知函数()()()sin 0,023f x x f x ππωϕωϕ⎛⎫=+><<- ⎪⎝⎭,为的一个零点,6x π=为()f x 图象的一条对称轴,且()()0f x π在,上有且仅有7个零点,下述结论正确..的是() A .=6πϕB .=5ωC .()()0f x π在,上有且仅有4个极大值点D .()042f x π⎛⎫⎪⎝⎭在,上单调递增12、在ABC 中,内角A ,B ,C 所对的边分别为a ,b ,c ,若1tan A ,1tan B ,1tan C依次成等差数列,则下列结论中不一定成立.....的是() A .a ,b ,c 依次成等差数列B C .2a ,2b ,2c 依次成等差数列 D .3a ,3b ,3c 依次成等差数列三、填空题(共4小题,满分20分,每小题5分,一题两空,第一空2分)13、已知向量→a =(2,-6),→b =(3,m ),若|→a +→b |=|→a -→b |,则m =▲________. 14、已知tan 3α=,则sin cos sin cos αααα-+的值为______.15、若非零向量a 、b ,满足a b =,()2a b b +⊥,则a 与b 的夹角为___________. 16、在ABC ∆中,,,a b c 分别为内角,,A B C 的对边,若32sin sin sin ,cos 5B AC B =+=,且6ABC S ∆=,则b =__________.SinB=四、解答题(共6小题,满分70分,第17题10分,其它12分)17、现给出两个条件:①2c -3b =2a cos B ,②(2b -3c )cos A =3a cos C ,从中选出一个条件补充在下面的问题中,并以此为依据求解问题.在△ABC 中,a ,b ,c 分别为内角A ,B ,C 所对的边,________. (1)求A ;(2)若a =3-1,求△ABC 周长的最大值.18、已知平面向量()()1,2,2,a b m =-= (1)若a b ⊥,求2a b +;(2)若0m =,求a b +与a b -夹角的余弦值.19、在边长为2的等边AOB ∆中,以O 为圆心、OA 为半径作弧AB ,点P 为弧AB 上一动点.求()OP OA OB ⋅+的取值范围.20、在①函数()()1sin 20,22f x x πωϕωϕ⎛⎫=+>< ⎪⎝⎭的图象向右平移12π个单位长度得到()g x 的图象,()g x 图象关于原点对称;②向量()3sin ,cos 2m x x ωω=,()11cos ,,0,24n x f x m n ωω⎛⎫=>=⋅ ⎪⎝⎭;③函数()1cos sin 64f x x x πωω⎛⎫=+- ⎪⎝⎭()0ω>这三个条件中任选一个,补充在下面问题中,并解答.已知_________,函数()f x 的图象相邻两条对称轴之间的距离为2π.(1)若02πθ<<,且sin 2θ=,求()f θ的值; (2)求函数()f x 在[]0,2π上的单调递减区间.21、ABC ∆的内角A ,B ,C 的对边分别为,,a b c ,已知()2cos cos 0a c B b A ++=. (I )求B ;(II )若3,b ABC =∆的周长为3ABC +∆的面积.22、已知02πα<<,2πβπ<<,4tan 23α=-,sin β=(1)求tan α的值; (2)求()cos 2αβ-的值.新高考 三角函数与平面向量单元测试卷+详细分析与解答一、单选题(共8小题,满分40分,每小题5分) 1、(2020届山东省潍坊市高三上期中)sin 225︒=()A .12-B .2-C .D .1-【答案】B【解析】因为2sin 225sin(18045)sin 452=+=-=-. 故选:B.2、(2020届山东省枣庄、滕州市高三上期末)已知向量(1,1),a =(1,3),b =-(2,1)c =,且()//a b c λ-,则λ=()A .3B .-3C .17D .17-【答案】C【解析】由题意(1,13)a b λλλ-=+-,∵()//a b c λ-,∴2(13)1λλ-=+,解得17λ=. 故选:C.3、(2020届山东省潍坊市高三上期末)已知345sin πα⎛⎫-= ⎪⎝⎭,0,2πα⎛⎫∈ ⎪⎝⎭,则cos α=()A .10B .10C .2 D .10【答案】A 【解析】0,2πα⎛⎫∈ ⎪⎝⎭,,444πππα⎛⎫-∈- ⎪⎝⎭4cos 45πα⎛⎫-== ⎪⎝⎭,cos cos cos cos sin sin 444444ππππππαααα⎡⎤⎛⎫⎛⎫⎛⎫=-+=--- ⎪ ⎪ ⎪⎢⎥⎝⎭⎝⎭⎝⎭⎣⎦43525210=⨯-⨯=. 故选:A4、(2020届山东省德州市高三上期末)已知向量a ,b 满足1a =,2b =,()()313a b a b -⋅+=-,则a 与b 的夹角为() A .6πB .3π C .23π D .56π 【答案】C 【解析】()()2232313a b a b a a b b -⋅+=+⋅-=-,即21113a b ⋅-=-,得1a b ⋅=-,则1cos 2a b a bθ⋅==-⋅,0θπ≤≤,23πθ∴=. 故选:C.5、(2020·河南高三期末(文))如图,在等腰直角ABC ∆中,D ,E 分别为斜边BC 的三等分点(D 靠近点B ),过E 作AD 的垂线,垂足为F ,则AF =()A .3155AB AC + B .2155AB AC + C .481515AB AC +D .841515AB AC +【答案】D【解析】设6BC =,则2AB AC BD DE EC =====,AD AE ===,101044cos 2105DAE +-∠==⨯, 所以45AF AF AD AE ==,所以45AF AD =. 因为()1133AD AB BC AB AC AB =+=+-2133AB AC =+, 所以421845331515AF AB AC AB AC ⎛⎫=⨯+=+ ⎪⎝⎭. 故选:D6、(2020届山东师范大学附中高三月考)为了得函数23y sin x π⎛⎫=+ ⎪⎝⎭的图象,只需把函数2y sin x =的图象() A .向左平移6π个单位 B .向左平移3π单位 C .向右平移6π个单位 D .向右平移3π个单位【答案】A【解析】不妨设函数2y sin x =的图象沿横轴所在直线平移ϕ个单位后得到函数23y sin x π⎛⎫=+ ⎪⎝⎭的图象.于是,函数2y sin x =平移ϕ个单位后得到函数,sin 2()y x ϕ=+,即sin(22)y x ϕ=+, 所以有223k πϕπ=+,6k πϕπ=+,取0k =,6π=ϕ.答案为A .7、(2020届山东省滨州市三校高三上学期联考)若π1sin 34α⎛⎫-= ⎪⎝⎭,则πcos 23α⎛⎫+= ⎪⎝⎭().A .78-B .14-C .14 D .78【答案】A 【解析】2π2π2πππcos 2cos π2cos 2cos 22sin 133333ααααα⎡⎤⎛⎫⎛⎫⎛⎫⎛⎫⎛⎫+=--=--=--=-- ⎪ ⎪ ⎪ ⎪ ⎪⎢⎥⎝⎭⎝⎭⎝⎭⎝⎭⎝⎭⎣⎦1721168=⨯-=-. 故选A .8、(2020届山东师范大学附中高三月考)泉城广场上矗立着的“泉标”,成为泉城济南的标志和象征.为了测量“泉标”高度,某同学在“泉标”的正西方向的点A 处测得“泉标”顶端的仰角为45︒,沿点A 向北偏东30︒前进100 m 到达点B ,在点B 处测得“泉标”顶端的仰角为30︒,则“泉标”的高度为() A .50 m B .100 mC .120 mD .150 m【答案】A【解析】如图,CD 为“泉标”高度,设高为h 米,由题意,CD ⊥平面ABD ,100AB =米,60BAD ︒∠=,,4530CAD CBD ︒∠=∠=.在CBD 中,BD 3h =,在CAD 中,AD h =,在ABD △中,3,BD h AD h ==,,100AB =,60BAD ︒∠=,由余弦定理可得223100002100cos 60(50)(100)0h h h h h ︒=+-⨯∴-+=, 解得50h =或100h =- (舍去), 故选:B.二、多选题(共4小题,满分20分,每小题5分,少选的3分,多选不得分)9、(2020届山东实验中学高三上期中)关于平面向量,,a b c ,下列说法中不正确...的是() A .若//a b 且//b c ,则//a cB .()a b c a c b c +⋅=⋅+⋅ C .若a b a c ⋅=⋅,且0a ≠,则b c = D .()()a b c a b c ⋅⋅=⋅⋅【答案】ACD【解析】对于A ,若0b =,因为0与任意向量平行,所以a 不一定与c 平行,故A 错; 对于B ,向量数量积满足分配律,故B 对; 对于C ,向量数量积不满足消去率,故C 错;对于D ,()a b c ⋅⋅是以c 为方向的向量,()a b c ⋅⋅是以a 为方向的相量,故D 错. 故选:ACD .10、(2021年江苏金陵中学学情调研)若函数f (x )=sin(2x -π3)与g (x )=cos(x +π4)都在区间(a ,b )(0<a <b <π)上单调递减,则b -a 的可能取值为( )A .π6B .π3C .π2D .5π12【答案】AB【解析】考虑f (x )与g (x )在(0,π)上的单调性,可得函数f (x )=sin(2x -π3)在(5π12,11π12)上单调递减,g (x )=cos(x +π4)在(0,3π4)上单调递减,所以这两个函数在区间(5π12,3π4)上单调递减,因此b -a ≤3π4-5π12=π3. 11、(2020届山东实验中学高三上期中)己知函数()()()sin 0,023f x x f x ππωϕωϕ⎛⎫=+><<- ⎪⎝⎭,为的一个零点,6x π=为()f x 图象的一条对称轴,且()()0f x π在,上有且仅有7个零点,下述结论正确..的是() A .=6πϕB .=5ωC .()()0f x π在,上有且仅有4个极大值点D .()042f x π⎛⎫⎪⎝⎭在,上单调递增【答案】CD 【解析】6x π=为()f x 图象的一条对称轴,3π-为()f x 的一个零点,()()sin f x x ωϕ=+ 62k ππωϕπ∴⨯+=+,且()3k πωπ⨯-=,k Z ∈,21k ω∴=+,k Z ∈,()f x 在(0,)π上有且仅有7个零点, 78πωπϕπ∴+<,即131522ω, 7ω∴=,762k ππϕπ∴⨯+=+,又02πϕ<<,所以3πϕ=,()sin 73f x x π⎛⎫∴=+ ⎪⎝⎭令7232x k πππ+=+,()k Z ∈解得7224k x ππ=+,()k Z ∈ 当20742k πππ<+<解得1411212k -<<,因为k Z ∈,所以0,1,2,3k = 故()()0,f x π在上有且仅有4个极大值点, 由272232k x k πππππ-+++得,522427427k k xππππ-++, 即()f x 在522,427427k k ππππ⎡⎤-++⎢⎥⎣⎦上单调递增, ()f x ∴在0,42π⎛⎫⎪⎝⎭上单调递增,综上,AB 错误,CD 正确, 故选:CD .12、(2020届山东省潍坊市高三上学期统考)在ABC 中,内角A ,B ,C 所对的边分别为a ,b ,c ,若1tan A ,1tan B ,1tan C依次成等差数列,则下列结论中不一定成立.....的是() A .a ,b ,c 依次成等差数列B C .2a ,2b ,2c 依次成等差数列 D .3a ,3b ,3c 依次成等差数列 【答案】ABD【解析】ABC 中,内角,,A B C 所对的边分别为,,a b c ,若1tan A ,1tan B ,1tan C依次成等差数列,则:211tan tan tan B A C=+,利用sin tan cos ααα=, 整理得:2cos cos cos sin sin sin B C A B C A =+, 利用正弦和余弦定理得:2222222222222a c b a b c b c a abc abc abc+-+-+-⋅=+, 整理得:2222b a c =+,即:222,,a b c 依次成等差数列.此时对等差数列222,,a b c 的每一项取相同的运算得到数列a ,b ,c 3a ,3b ,3c ,这些数列一般都不可能是等差数列,除非a b c ==,但题目没有说ABC 是等边三角形,故选:ABD.三、填空题(共4小题,满分20分,每小题5分,一题两空,第一空2分)13、(2021年江苏金陵中学学情调研)已知向量→a =(2,-6),→b =(3,m ),若|→a +→b |=|→a -→b |,则m =______..【答案】:1【解析】若|→a +→b |=|→a -→b |,则→a ·→b =0,即2×3-6m =0,则m =1. 14、(2020届山东省日照市高三上期末联考)已知tan 3α=,则sin cos sin cos αααα-+的值为______. 【答案】12【解析】因为tan 3α=,所以sin cos tan 11sin cos tan 12αααααα--==++. 故答案为:1215、(2020·山东省淄博实验中学高三上期末)若非零向量a 、b ,满足a b =,()2a b b +⊥,则a 与b 的夹角为___________. 【答案】120【解析】设a 与b 的夹角为θ,由题意a b =,()2a b b +⊥,, 可得2(2)2cos 0a b b a b b θ+⋅=+=,所以1cos 2θ=-, 再由0180θ≤≤可得,120θ=,故答案是120.16、(2020届山东实验中学高三上期中)在ABC ∆中,,,a b c 分别为内角,,A B C 的对边,若32sin sin sin ,cos 5B AC B =+=,且6ABC S ∆=,则b =__________.SinB=【答案】(1) 4 (2)54 【解析】已知等式2sin sin B A sinC =+,利用正弦定理化简得:2b a c =+,3cos ,5B =∴可得4sin 5B ==,114sin 6225ABC S ac B ac ∆∴==⨯=,可解得15ac =,∴余弦定理可得,2222cos b a c ac B =+-()()221cos a c ac B =+-+=23421515b ⎛⎫-⨯⨯+ ⎪⎝⎭,∴可解得4b =, 故答案为4.四、解答题(共6小题,满分70分,第17题10分,其它12分)17、(2021年江苏金陵中学学情调研)现给出两个条件:①2c -3b =2a cos B ,②(2b -3c )cos A =3a cos C ,从中选出一个条件补充在下面的问题中,并以此为依据求解问题.在△ABC 中,a ,b ,c 分别为内角A ,B ,C 所对的边,________.(1)求A ;(2)若a =3-1,求△ABC 周长的最大值.【解析】若选择条件①2c -3b =2a cos B .(1)由余弦定理可得2c -3b =2a cos B =2a ·a 2+c 2-b 22ac ,整理得c 2+b 2-a 2=3bc ,………2分可得cos A =b 2+c 2-a 22bc =3bc 2bc =32.…………………………………………………3分因为A ∈(0,π),所以A =π6.…………………………………………………………5分(2)由余弦定理a 2=b 2+c 2-2bc cos A ,得(3-1)2=b 2+c 2-2bc ·32,………6分 即4-23=b 2+c 2-3bc =(b +c )2-(2+3)bc ,亦即(2+3)bc =(b +c )2-(4-23),因为bc ≤(b +c )24,当且仅当b =c 时取等号,所以(b +c )2-(4-23)≤(2+3)×(b +c )24,解得b +c ≤22,…………………………………………………………8分当且仅当b =c =2时取等号.所以a +b +c ≤22+3-1,即△ABC 周长的最大值为22+3-1.…………………………………………………10分 若选择条件②(2b -3c )cos A =3a cos C .(1)由条件得2b cos A =3a cos C +3c cos A ,由正弦定理得2sin B cos A =3(sin A cos C +sin C cos A )=3sin(A +C )=3sin B .………2分因为sin B ≠0,所以cos A =32,…………………………………………………3分因为A ∈(0,π),所以A =π6.(2)同上18、(2020届山东省枣庄市高三上学期统考)已知平面向量()()1,2,2,a b m =-=(1)若a b ⊥,求2a b +;(2)若0m =,求a b +与a b -夹角的余弦值.【答案】(1)25a b +=(2 【解析】因为a b ⊥,()()1,2,2,a b m =-=所以0a b ⋅=,即220m -+=解得1m =所以()()()21,24,23,4a b +=-+= 22345a b +=+=(2)若0m =,则()2,0b =所以(1,2)a b +=,-(3,2)a b =-5,a b +=,-13a b =,341a b ⋅=-+=所以cos 5-a ba b a b θ⋅===⋅+19、(2020届江苏省南通市海门中学高三上学期10月检测)在边长为2的等边AOB ∆中,以O 为圆心、OA 为半径作弧AB ,点P 为弧AB 上一动点.求()OP OA OB ⋅+的取值范围.【解析】设AB 的中点为C ,则2OA OB OC +=,设OP 与OC 的夹角为θ,则06πθ≤≤,所以()22cos 22OP OA OB OP OC OP OC θθθ⋅+=⋅=⋅=⨯=,因为06πθ≤≤cos 1θ≤≤,所以6θ≤≤()OP OA OB ⋅+的取值范围为6,⎡⎣.20、(2020届山东省泰安市高三上期末)在①函数()()1sin 20,22f x x πωϕωϕ⎛⎫=+>< ⎪⎝⎭的图象向右平移12π个单位长度得到()g x 的图象,()g x 图象关于原点对称;②向量()3sin ,cos 2m x x ωω=,()11cos ,,0,24n x f x m n ωω⎛⎫=>=⋅ ⎪⎝⎭;③函数()1cos sin 64f x x x πωω⎛⎫=+- ⎪⎝⎭()0ω>这三个条件中任选一个,补充在下面问题中,并解答.已知_________,函数()f x 的图象相邻两条对称轴之间的距离为2π.(1)若02πθ<<,且sin 2θ=,求()f θ的值; (2)求函数()f x 在[]0,2π上的单调递减区间.【解析】解:方案一:选条件①由题意可知,22T ππω==,1ω∴= ()()1sin 22f x x ϕ∴=+,()1sin 226g x x πϕ⎛⎫∴=+- ⎪⎝⎭, 又函数()g x 图象关于原点对称,,6k k Z πϕπ∴=+∈,2πϕ<,6πϕ∴=,()1sin 226f x x π⎛⎫∴=+ ⎪⎝⎭,(1)0,sin 2πθθ<<=,4πθ∴=,()4f f πθ⎛⎫∴= ⎪⎝⎭12sin 23π==; (2)由3222,262k x k k Z πππππ+≤+≤+∈,得2,63k x k k Z ππππ+≤≤+∈, 令0k =,得263x ππ≤≤,令1k =,得7563x ππ≤≤, ∴函数()f x 在[]0,2π上的单调递减区间为275,,,6363ππππ⎡⎤⎡⎤⎢⎥⎢⎥⎣⎦⎣⎦.方案二:选条件② ()113sin ,cos 2,cos ,24m x x n x ωωω⎛⎫== ⎪⎝⎭, ()f x mn ∴=⋅31sin cos cos 224x x x ωωω=+112cos 2222x x ωω⎛⎫=+ ⎪ ⎪⎝⎭1sin 226x πω⎛⎫=+ ⎪⎝⎭, 又22T ππω==,1ω∴=,()1sin 226f x x π⎛⎫∴=+ ⎪⎝⎭, (1)0,sin 2πθθ<<=,4πθ∴=,()4f f πθ⎛⎫∴= ⎪⎝⎭12sin 23π==; (2)由3222,262k x k k Z πππππ+≤+≤+∈,得2,63k x k k Z ππππ+≤≤+∈, 令0k =,得263x ππ≤≤,令1k =,得7563x ππ≤≤, ∴函数()f x 在[]0,2π上的单调递减区间为275,,,6363ππππ⎡⎤⎡⎤⎢⎥⎢⎥⎣⎦⎣⎦. 方案三:选条件③()1cos sin 64f x x x πωω⎛⎫=+- ⎪⎝⎭1cos sin cos cos sin 664x x x ππωωω⎛⎫=+- ⎪⎝⎭ 211cos cos 24x xx ωω=+-12cos 24x x ωω=+ 11sin 2cos 2222x x ωω⎛⎫=+ ⎪ ⎪⎝⎭1sin 226x πω⎛⎫=+ ⎪⎝⎭, 又22T ππω==,1ω∴=,()1sin 226f x x π⎛⎫∴=+ ⎪⎝⎭, (1)0,sin 22πθθ<<=,4πθ∴=,()4f f πθ⎛⎫∴= ⎪⎝⎭12sin 23π=4=; (2)由3222,262k x k k Z πππππ+≤+≤+∈,得2,63k x k k Z ππππ+≤≤+∈, 令0k =,得263x ππ≤≤,令1k =,得7563x ππ≤≤.∴函数()f x 在[]0,2π上的单调递减区间为275,,,6363ππππ⎡⎤⎡⎤⎢⎥⎢⎥⎣⎦⎣⎦. 21、(2020届山东省枣庄市高三上学期统考)ABC ∆的内角A ,B ,C 的对边分别为,,a b c ,已知()2cos cos 0a c B b A ++=.(I )求B ;(II )若3,b ABC =∆的周长为3ABC +∆的面积.【答案】(Ⅰ)23B π= (Ⅱ) 4ABC S =△ 【解析】(Ⅰ)()2cos cos 0a c B b A ++=,()sin 2sin cos sin cos 0A C B B A ∴++=,()sin cos sin cos 2sin cos 0A B B A C B ++=,()sin 2cos sin 0A B B C ++=,()sin sin A B C +=.1cos 2B ∴=-, 20,3B B ππ<<∴=. (Ⅱ)由余弦定理得221922a c ac ⎛⎫=+-⨯- ⎪⎝⎭, ()2229,9a c ac a c ac ++=∴+-=,33,a b c b a c ++=+=∴+=3ac ∴=,11sin 322ABCS ac B ∴==⨯=. 22、(2020届江苏省南通市海门中学高三上学期10月检测)已知02πα<<,2πβπ<<,4tan 23α=-,sin β=. (1)求tan α的值;(2)求()cos 2αβ-的值.【解析】(1)因为4tan 23α=-所以22tan 41tan 3αα=--, 即22tan 3tan 20αα--=,解得tan 2α=或1tan 2α=-, 因为02πα<<,所以tan 2α=.(2)由(1)tan 2α=,所以sin 2cos αα=,又22sin cos 1αα+=,02πα<<,所以sin 5α=,cos 5α=,因为sin β=2πβπ<<,所以cos β== 所以4sin 22sin cos 5βββ==-,223cos 2cos sin 5βββ=-=,所以()cos 2cos cos 2sin sin 25αβαβαβ-=+=-.。
三角函数和向量测试试卷(含答案)一、选择题:本大题共12小题,每小题5分,共60分.在每小题给出的四个选项中,只有一项是符合题目要求的.1.02120sin 等于( ) A .23±B .23C .23- D .212.若角0600的终边上有一点()a ,4-,则a 的值是( )A .34B .34-C .34±D .3 3.sin163sin 223sin 253sin313+=( )A .12-B .12 C.2- D.24.若,24παπ<<则( )A .αααtan cos sin >>B .αααsin tan cos >>C .αααcos tan sin >>D .αααcos sin tan >>5.函数)652cos(3π-=x y 的最小正周期是( )A .52π B .25π C .π2 D .π5 6.已知下列命题中:(1)若k R ∈,且0kb = ,则0k =或0b =,(2)若0a b ⋅= ,则0a = 或0b =(3)若不平行的两个非零向量b a ,,满足||||b a =,则0)()(=-⋅+b a b a(4)若a 与b 平行,则||||a b a b =⋅其中真命题的个数是( )A .0B .1C .2D .37.把函数sin y x =(x R ∈)的图象上所有点向左平行移动3π个单位长度,再把所得图象上所有点的横坐标缩短到原来的12倍(纵坐标不变),得到的图象所表示的函数是( ) (A )sin(2)3y x π=-,x R ∈ (B )sin()26x y π=+,x R ∈(C )sin(2)3y x π=+,x R ∈ (D )sin(2)32y x π=+,x R ∈ 8.已知,a b 均为单位向量,它们的夹角为060,那么3a b += ( )A .7B .10C .13D .49.已知3sin(),45x π-=则sin 2x 的值为( ) A .1925 B .1625 C .1425 D .72510.向量(2,3)a = ,(1,2)b =-,若ma b + 与2a b - 平行,则m 等于A .2-B .2C .21D .12-11.已知向量)sin ,(cos θθ=a ,向量)1,3(-=b 则|2|b a -的最大值,最小值分别是( )A .0,24B .24,4C .16,0D .4,0 12.函数tan sin tan sin y x x x x =+--在区间3(,)22ππ内的图象是( )二、填空题:本大题共4小题,每小题4分,共16分.把答案填在横线上13.若(2,2)a =-,则与a 垂直的单位向量的坐标为__________。
高一数学周末测试(十八周)一、选择题1. 若向量 a ⃗ =(x +1,2) 和向量 b ⃗ =(1,−1) 平行,则 ∣a ⃗ +b ⃗ ∣=( ) A. √10 B. √102 C. √2 D. √222. 已知点 A (1,3),B (4,−1),则与向量 AB ⃗⃗⃗⃗⃗⃗ 同方向的单位向量是 ( ) A. (35,−45) B. (45,−35) C. (−35,45) D. (−45,35)3. 已知函数 f (x )=cos 4x −sin 4x ,下列结论中错误的是 ( ) A. f (x )=cos2x B. 函数 f (x ) 的图象关于直线 x =0 对称 C. f (x ) 的最小正周期为 π D. f (x ) 的值域为 [−√2,√2]4. 要得到函数 y =2sin (2x +π5) 的图象,应该把函数 y =cos (x −215π)−√3sin (x −2π15) 的图象做如下变换 ( )A. 将图象上的每一点横坐标缩短到原来的 12 而纵坐标不变B. 沿 x 轴向左平移 π2 个单位,再把得图象上的每一点横坐标伸长到原来的 2 倍而纵坐标不变C. 先把图象上的每一点横坐标缩短到原来的 12 而纵坐标不变,再将所得图象沿 x 轴向右平移 π4 个单位D. 先把图象上的每一点横坐标缩短到原来的 12 而纵坐标不变,再将所得图象沿 x 轴向左平移 π2 个单位5. 3−sin70∘2−cos 210∘= ( )A. 12 B. √22 C. 2 D. √326. cos10∘sin70∘−cos80∘sin20∘= ( ) A. 12B. √32C. −12D. −√327. 已知 sin ( π4−x)=35,则 cos ( π2−2x) 的值为 ( ) A. 1925 B. 1625 C. 1425 D. 7258. 设 α∈(0,π2),β∈(0,π2),且 sinαcosα=cosβ1−sinβ,则 ( )A. 2α+β=π2 B. 2α−β=π2C. α+2β=π2D. α−2β=π29. 在 △ABC 中,AB =3,AC =2,BD ⃗⃗⃗⃗⃗⃗ =12BC ⃗⃗⃗⃗⃗⃗ ,则 AD ⃗⃗⃗⃗⃗⃗ ⋅DB ⃗⃗⃗⃗⃗⃗ 的值为 ( ) A. 52 B. −52 C. 54 D. −5410. △ABC 中, CB ⃗⃗⃗⃗⃗⃗ =a ⃗ ,AC ⃗⃗⃗⃗⃗ =b ⃗ , ∣a ⃗ ∣=2,∣∣b ⃗ ∣∣=1,a ⃗ ⋅b ⃗ =−1,则 ∣∣AB ⃗⃗⃗⃗⃗⃗ ∣∣= ( ) A. 1 B. √2 C. √3 D. 211. 函数 f (x )=2cos 2x +sin2x −1,给出下列四个命题中正确的是 ( ) A 函数在区间 [π8,5π8] 上是减函数;B 直线 x =π8 是函数图象的一条对称轴;C 函数 f (x ) 的图象可由函数 y =√2sin2x 的图象向左平移 π4 而得到; D 若 x ∈[0,π2],则 f (x ) 的值域是 [0,√2]; 12. 已知下列四个命题正确的是 . A 对任意两向量 a ⃗ ,b ⃗ ,均有 ∣∣a ⃗ −b ⃗ ∣∣<∣a ⃗ ∣+∣∣b ⃗ ∣∣;B 若在 △ABC 中,AD ⃗⃗⃗⃗⃗⃗ =12(AB ⃗⃗⃗⃗⃗⃗ +AC ⃗⃗⃗⃗⃗ ),则 D 是线段 BC 的中点;C 在四边形中,若 (AB ⃗⃗⃗⃗⃗⃗ −AC ⃗⃗⃗⃗⃗ )+(BD ⃗⃗⃗⃗⃗⃗ −BA ⃗⃗⃗⃗⃗⃗ )=0⃗ ,则 ABCD 为平行四边形; D 若 ∣∣AB ⃗⃗⃗⃗⃗⃗ +AD ⃗⃗⃗⃗⃗⃗ ∣∣=∣∣AB ⃗⃗⃗⃗⃗⃗ −AD ⃗⃗⃗⃗⃗⃗ ∣∣,则 ∣∣AB ⃗⃗⃗⃗⃗⃗ ∣∣=∣∣AD ⃗⃗⃗⃗⃗⃗ ∣∣. 13.下列命题中错误的是( ).A 存在实数 α,β,使等式 sin (α+β)=sinα+sinβ 成立.( )B 在锐角 △ABC 中,sinAsinB 和 cosAcosB 大小不确定.( ) C 若 α+β=45∘,则 tanα+tanβ=1−tanαtanβ.( )D y =3sinx +4cosx 的最大值是 7.( )E 对任意角 α 都有 1+sinα=(sin α2+cos α2)2.( )F 在非直角三角形中,tanA +tanB +tanC =tanAtanBtanC .( )二、填空题14. 若单位向量 e 1⃗⃗⃗⃗ ,e 2⃗⃗⃗⃗ 的夹角为 π3,则向量 e 1⃗⃗⃗⃗ −2e 2⃗⃗⃗⃗ 与向量 e 1⃗⃗⃗⃗ 的夹角为 .15. 如图,在直角梯形 ABCD 中,AD ∥BC ,∠ADC =90∘,AD =2,BC =CD =1,P 是 AB 的中点,则 DP ⃗⃗⃗⃗⃗⃗ ⋅AB⃗⃗⃗⃗⃗⃗ = .16. 定义运算 ∣∣∣a b c d ∣∣∣=ad −bc ,若 cosα=17,∣∣∣sinαsinβcosαcosβ∣∣∣=3√314,0<β<α<π2,则 β= .17. 已知平面向量 a ⃗ ,b ⃗ 的夹角为 π3,且满足 ∣a ⃗ ∣=2,∣∣b ⃗ ∣∣=1,则 a ⃗ ⋅b ⃗ = , ∣∣a ⃗ +2b ⃗ ∣∣= . 三、解答题18. ∣a ⃗ ∣=4,∣b ⃗ ∣=3,(2a ⃗ −3b ⃗ )⋅(2a ⃗ +b ⃗ )=61. (1)求 a ⃗ 与 b ⃗ 的夹角 θ; (2)求 ∣a ⃗ +b⃗ ∣.19. 向量 a ⃗ =(cosα,sinα),b⃗ =(cosx,sinx ),c ⃗ =(sinx +2sinα,cosx +2cosα),其中 0<α<x <π.(1)若 α=π4,求函数 f (x )=b ⃗ ⋅c ⃗ 的最小值及相应 x 的值; (2)若 a ⃗ 与 b⃗ 的夹角为 π3,且 a ⃗ ⊥c ⃗ ,求 tan2α 的值.20. 函数 f (x )=2cos 2x +2√3sinxcosx +a ,且当 x ∈[0,π2] 时,f (x ) 的最小值为 2,(1)求 a 的值,并求 f (x ) 的单调递增区间; (2)先将函数 y =f (x ) 的图象上的点纵坐标不变,横坐标缩小到原来的 12,再将所得的图象向右平移 π12 个单位,得到函数 y =g (x ) 的图象,求方程 g (x )=4 在区间 [0,π2] 上所有根之和.21. 在平面直角坐标系 xOy 中,已知点 P (12,√32),将向量 OP⃗⃗⃗⃗⃗⃗ 绕原点 O 按逆时针方向旋转 x 弧度得到向量 OQ ⃗⃗⃗⃗⃗⃗ . (1)若 x =π4,求点 Q 的坐标;(2)已知函数 f (x )=OP ⃗⃗⃗⃗⃗⃗ ⋅OQ ⃗⃗⃗⃗⃗⃗ ,令 g (x )=f (x )⋅f (x +π3),求函数 g (x ) 的值域.22. 已知函数 f (x )=2sin 2x +cos (2x −π3).(1)求 f (x ) 的最小正周期;(2)求 f (x ) 在 (0,π2) 上的单调递增区间.23. 如图,某市准备在道路 EF 的一侧修建一条运动赛道,赛道的前一部分为曲线段FBC ,该曲线段是函数 y =Asin (ωx +2π3)(A >0,ω>0),x ∈[−4,0] 的图象,且图象的最高点为 B (−1,2);赛道的中间部分为直线跑道 CD ,且 CD =√3,CD ∥EF ;赛道的后一部分是以 O 为圆心的一段圆弧 DE .(1)求 ω 的值和 ∠DOE 的大小;(2)若要在圆弧赛道所对应的扇形 ODE 区域内建一个矩形草坪,矩形的一边在道路OE 上,一个顶点在半径 OD 上,另外一个顶点 P 在圆弧 DE 上,且 ∠POE =θ,求当矩形草坪的面积取最大值时 θ 的值.参考答案(十八周)第一部分 1. C【解析】依题意得,−(x +1)−2×1=0,得 x =−3, 又 a ⃗ +b ⃗ =(−2,2)+(1,−1)=(−1,1), 所以 ∣a ⃗ +b ⃗ ∣=√2. 2. A【解析】已知点 A (1,3),B (4,−1),则 AB⃗⃗⃗⃗⃗⃗ =(3,−4),故与其同方向的单位向量为 15(3,−4)=(35,−45).3. D4. C 【解析】函数y =cos (x −215π)−√3sin (x −2π15)=2cos [(x −2π15)+π3]=2cos (x +π5)=2sin (π2+x +π5)=2sin (x +7π10)轴的图象,先把图象上的每一点横坐标缩短到原来的 12 而纵坐标不变,可得 y =2sin (2x +7π10) 的图象,再将所得图象沿 x 向右平移 π4 个单位,可得 y =2sin (2x −π2+7π10)=2sin (2x +π5) 的图象.5. C【解析】3−sin70∘2−cos 210∘=3−sin70∘2−1+cos20∘2=2(3−sin70∘)3−cos20∘=2 .6. B7. D【解析】因为 sin ( π4−x)=35,所以 cos (π2−2x)=cos2( π4−x)=1−2sin 2( π4−x)=725. 8. B【解析】由 sinαcosα=cosβ1−sinβ ,可得:sinα−sinαsinβ=cosαcosβ. 所以 sinα=cosαcosβ+sinαsinβ=cos (α−β), 因为 α∈(0,π2),β∈(0,π2), 所以 cos (α−β)>0, 所以 α+α−β=π2, 即 2α−β=π2. 9. C 10. C 11. A B【解析】提示:f (x )=cos2x +sin2x =√2sin (2x +π4),A B 对. 12. B C【解析】若两向量 a ⃗ ,b ⃗ 方向相反,则A 不对; 由向量平行四边形法则可知B 对;C 中向量等式化简后为 CB ⃗⃗⃗⃗⃗⃗ =DA ⃗⃗⃗⃗⃗⃗ ,说明 CB ∥AD ,CB =AD ,所以C 对; 由向量平行四边形法则可知D 不对. 13. B D第二部分 14. π2.【解析】因为 (e 1⃗⃗⃗⃗ −2e 2⃗⃗⃗⃗ )⋅e 1⃗⃗⃗⃗ =e 1⃗⃗⃗⃗ 2−2e 1⃗⃗⃗⃗ ⋅e 2⃗⃗⃗⃗ =1−2×12=0; 所以 (e 1⃗⃗⃗⃗ −2e 2⃗⃗⃗⃗ )⊥e 1⃗⃗⃗⃗ ;所以向量 e 1⃗⃗⃗⃗ −2e 2⃗⃗⃗⃗ 与向量 e 1⃗⃗⃗⃗ 的夹角为 π2. 15. −1【解析】在直角梯形 ABCD 中,AD ∥BC ,∠ADC =90∘,AD =2,BC =CD =1,可得 △BCD 为等腰直角三角形,则 BD =√2,且 P 是 AB 的中点,可得 DP ⃗⃗⃗⃗⃗⃗ =12(DB ⃗⃗⃗⃗⃗⃗ +DA⃗⃗⃗⃗⃗⃗ ),DP ⃗⃗⃗⃗⃗⃗ ⋅AB⃗⃗⃗⃗⃗⃗ =12(DB ⃗⃗⃗⃗⃗⃗ +DA ⃗⃗⃗⃗⃗⃗ )⋅(DB ⃗⃗⃗⃗⃗⃗ −DA ⃗⃗⃗⃗⃗⃗ )=12(DB ⃗⃗⃗⃗⃗⃗ 2−DA⃗⃗⃗⃗⃗⃗ 2)=12[(√2)2−22]=−1.16. π3【解析】由 0<β<α<π2,cosα=17,得 sinα=4√37;又由 ∣∣∣sinαsinβcosαcosβ∣∣∣=3√314,得 sinαcosβ−cosαsinβ=sin (α−β)=3√314,cos (α−β)=1314,所以 cosβ=cos [(α−β)−α]=cos (α−β)cosα+sin (α−β)sinα=12,则 β=π3. 17. 1,2√3【解析】a ⃗ ⋅b ⃗ =∣a ⃗ ∣∣∣b ⃗ ∣∣cos⟨a ⃗ ,b ⃗ ⟩=2×1×12=1;∣∣a ⃗ +2b ⃗ ∣∣=√(a ⃗ +2b ⃗ )2=√∣a ⃗ ∣2+4a ⃗ ⋅b ⃗ +4∣∣b ⃗ ∣∣2=√4+4×1+4×1=2√3.第三部分18. (1) 由 (2a ⃗ −3b ⃗ )⋅(2a ⃗ +b ⃗ )=61, 得 4∣a ⃗ ∣2−4a ⃗ ⋅b ⃗ −3∣b⃗ ∣2=61. 因为 ∣a ⃗ ∣=4,∣b ⃗ ∣=3, 所以 a ⃗ ⋅b ⃗ =−6, 所以 cosθ=a ⃗ ⋅b ⃗ ∣a⃗ ∣∣b ⃗ ∣=−64×3=−12.又 θ∈[0,π], 所以 θ=23π.(2) 因为 ∣a ⃗ +b ⃗ ∣2=(a ⃗ +b ⃗ )2=∣a ⃗ ∣2+2a ⃗ ⋅b ⃗ +∣b ⃗ ∣2=42+2×(−6)+32=13, 所以 ∣a ⃗ +b⃗ ∣=√13. 19. (1) 因为 b⃗ =(cosx,sinx ),c ⃗ =(sinx +2sinα,cosx +2cosα),α=π4, 所以 f (x )=b ⃗ ⋅c ⃗ =cosxsinx +2cosxsinα+sinxcosx +2sinxcosα =2sinxcosx +√2(sinx +cosx ).令 t =sinx +cosx (0<x <π),则 2sinxcosx =t 2−1,且 −1<t ≤√2. 则 y =g (t )=t 2+√2t −1=(t +√22)2−32,−1<t ≤√2.所以 t =−√22时,y 取得最小值,且 y min =−32,此时 sinx +cosx =−√22.1)sin(x )442ππ+=∴+=-由于 0<x <π,5444x πππ<+< 746x ππ∴+= 故 x =11π12. 所以函数 f (x ) 的最小值为 −32,相应 x 的值为 11π12. (2) 因为 a ⃗ 与 b⃗ 的夹角为 π3, 所以 cos π3=a ⃗ ⋅b ⃗ ∣a⃗ ∣⋅∣b ⃗ ∣=cosαcosx +sinαsinx =cos (x −α).因为 0<α<x <π,所以 0<x −α<π.所以 x −α=π3. 因为 a⃗ ⊥c ⃗ , 所以 cosα(sinx +2sinα)+sinα(cosx +2cosα)=0. 所以 sin (x +α)+2sin2α=0,sin (2α+π3)+2sin2α=0. 所以 52sin2α+√32cos2α=0.所以 tan2α=−√35. 20. (1) 函数 f (x )=cos2x +1+√3sin2x +a =2sin (2x +π6)+a +1, 因为 x ∈[0,π2],所以 2x +π6∈[π6,7π6],f (x )min =−1+a +1=2,得 a =2,即 f (x )=2sin (2x +π6)+3.令 2kπ−π2≤2x +π6≤2kπ+π2,k ∈Z , 得 kπ−π3≤x ≤kπ+π6,k ∈Z ,所以函数 f (x ) 的单调递增区间为 [kπ−π3,kπ+π6],k ∈Z .(2) 由(1)得 f (x )=2sin (2x +π6)+3,所以 g (x )=2sin (4(x −π12)+π6)+3=2sin (4x −π6)+3,又因为g(x)=4.所以sin(4x−π6)=12,解得4x−π6=2kπ+π6或2kπ+5π6,即x=kπ2+π12或kπ2+π4(k∈Z).因为x∈[0,π2],所以x=π12或π4,故所有根之和为π12+π4=π3.21. (1)由题意可得P(cosπ3,sinπ3),cos(π3+π4)=12×√22−√32×√22=√2−√64,sin(π3+π4)=√32×√22+12×√22=√2+√64,所以点Q的坐标为(√2−√64,√2+√64).(2)f(x)=12cos(π3+x)+√32sin(π3+x)=14cosx−√34sinx+34cosx+√34sinx =cosx,所以g(x)=cosx⋅cos(x+π3)=12cos2x−√32sinxcosx=1+cos2x4−√34sin2x=14−12sin(2x−π6).因−1≤sin(2x−π6)≤1,故g(x)的值域为[−14,34].22. (1)因为cos2x=1−2sin2x,所以f(x)=2sin2x+cos(2x−π3)=1−cos2x+12cos2x+√32sin2x=1+sin(2x−π6).故f(x)的最小正周期为π.(2)由2kπ−π2≤2x−π6≤2kπ+π2,k∈Z,得kπ−π6≤x≤kπ+π3,k∈Z.故f(x)在(0,π2)上的单调递增区间为(0,π3).23. (1)由条件得A=2,T4=3.∵T=2πω,∴ω=π6,∴曲线段FBC的解析式为y=2sin(π6x+2π3)(−4≤x≤0).当x=0时,y=OC=√3.又CD=√3,∴∠COD=π4,∴∠DOE=π4.(2)由(1)可知OD=√6.又点P在圆弧DE上,OP=√6.又∠POE=θ,0<θ<π4,∴矩形草坪的面积为S=√6sinθ(√6cosθ−√6sinθ)=6(sinθcosθ−sin2θ)=6(12sin2θ+12cos2θ−12)=3√2sin(2θ+π)−3.∵0<θ<π4,∴π4<2θ+π4<3π4,∴当2θ+π4=π2,即θ=π8时,S取得最大值.。
三角函数、平面向量专题试题集三角函数.平面向量专题试题集1. 函数的最小正周期为 ( A )A. B. C.8D.42. 已知函数的图象的一条对称轴方程为直线_=1,若将函数的图象向右平移b个单位后得到y=sin_的图象,则满足条件的b的值一定为( C )A.B. C.D.3. 在△ABC,为角A.B.C所对的三条边.(1)求时,t的取值范围;(2)化简(用(1)中t表示).(1)∵,∴△ABC为直角三角形,∴∠A+∠B= …………2分又…………4分∵ ∴, ∴…………6分(2)∵ ∴…………9分…………12分4. 已知向量a和b的夹角为60°,a = 3,b = 4,则(2a –b)·a等于 ( B )(A)15 (B)12 (C)6 (D)35. 已知.(Ⅰ)求cos的值;(Ⅱ)求满足sin(– _ ) – sin (+ _) + 2cos=的锐角_.解:(Ⅰ)因为,所以.(2分)所以=, (4分)由,所以.(6分)(Ⅱ)因为sin() – sin() + 2cos,所以, (8分)所以sin_=, (10分)因为_为锐角,所以.(12分)6. 下列函数中,最小正周期为,且图象关于直线对称的是( B )A. B.C. D.7. 若是纯虚数,则的值为 ( B )A.B.C.D.8. 已知向量上的一点(O为坐标原点),那么的最小值是( B )A.-16 B.-8 C.0 D.49. _年8月,在北京召开的国际数学家大会会标如图所示,它是由4个相同的直角三角形与中间的小正方形拼成的一大正方形,若直角三角形中较小的锐角为,大正方形的面积是1,小正方形的面积是的值等于( D )A.1 B.C.D.-10. 为锐角,为钝角,=.11. 已知a=1,b=,(1)若a//b,求a·b;(2)若a,b的夹角为135°,求a+b.解(1),①若,同向,则……3分②若,异向,则……3分(2)的夹角为135°,……2分……2分……2分12.已知函数(1)将的形式,并求其图象对称中心的横坐标;(2)如果△ABC的三边a.b.c成等比数列,且边b所对的角为_,试求_的范围及此时函数f(_)的值域.解:(1) ……3分由即对称中心的横坐标为……3分(2)由已知.……3分的值域为……2分综上所述, ……1分13. 设平面上的动向量a=(s,t),b=(-1,t2-k)其中s,t为不同时为0的两个实数,实数,满足a⊥b,(1)求函数关系式(2)若函数上是单调增函数,求证:;(3)对上述,存在正项数列,其中通项公式并证明.(1)解: ……3分(2)证明:成立, ……2分故; ……1分(3)故因为……4分事实上,……4分方法1:方法2:14. 如果函数的最小正周期是T,且当时取得最大值,那么( A )A. B. C. D.15. 在中,已知,那么一定是( B )A.直角三角形B.等腰三角形C.等腰直角三角形D.正三角形16. 已知,那么的值为,的值为.17. 若 , 且()⊥ ,则与的夹角是 ( B )(A)(B)(C)(D)18. 把y = sin_的图象向左平移个单位,得到函数y = sin的图象;再把所得图象上的所有点的横坐标伸长到原来的2倍,而纵坐标保持不变,得到函数的图象.19. 已知直线:_ – 2y + 3 = 0 ,那么直线的方向向量为(2,1)或等(注:只需写出一个正确答案即可);过点(1,1),并且的方向向量2与1满足1·= 0,则的方程为2_ + y – 3 = 0.20. 已知:tan= 2,求:(Ⅰ)tan的值;(Ⅱ)sin2的值.解:(Ⅰ)== 2,∴tan. (5分)(Ⅱ)解法一:sin2+sin2+ cos2= sin2+ sin2+ cos2– sin2= 2sincos+ cos2 (8分)= (11分)=.(13分)(Ⅱ)解法二:sin2+ sin2+ cos2= sin2+ sin2+ cos2– sin2= 2sincos+ cos2 (1)(8分)∵tan=,∴为第一象限或第三象限角.当为第一象限角时,sin=,cos=,代入(1)得2sincos+ cos2=; (10分)当为第三象限角时,sin=,cos=,代入(1)得2sincos+ cos2=. (12分)综上所述:sin2+ sin2+ cos2=.(13分)21. 已知常数a _gt; 0,向量,,经过定点A (0,–a )以+为方向向量的直线与经过定点B (0,a)以+ 2为方向向量的直线相交于点P,其中∈R.(Ⅰ)求点P的轨迹C的方程;(Ⅱ)若,过E (0,1)的直线l交曲线C于M.N两点,求的取值范围.解:(Ⅰ)设P点的坐标为(_,y),则,,又,故,.由题知向量与向量平行,故(y + a) = a_.又向量与向量平行,故y – a = 2.两方程联立消去参数,得点P (_,y)的轨迹方程是(y + a)(y – a)= 2a2_2,即y2 – a2 = 2a2_2.(6分)(Ⅱ)∵,故点P的轨迹方程为2y2 – 2_2= 1,此时点E (0,1)为双曲线的焦点.①若直线l的斜率不存在,其方程为_ = 0,l与双曲线交于.,此时. (8分)②若直线l的斜率存在,设其方程为y = k_ + 1,代入2y2 – 2_2= 1化简得2(k2 – 1) _2 + 4k_ + 1 = 0.∴直线l与双曲线交于两点,∴△=(4k)2 – 8 (k2 – 1) _gt; 0且k2 –1≠0.解得k≠±1.设两交点为M (_1,y1).N (_2,y2),则_1 + _2 =,_1_2 =. (10分)此时= _1_2 + k2_1_2= (k2 + 1) _1_2 =.当–1 _lt; k _lt; 1时,k2 – 1 _lt; 0,故≤;当k _gt; 1或k _lt; – 1时,k2 – 1 _gt; 0,故.综上所述,的取值范围是∪. (13分)22.23.24.25.26.27.28.29.30.31.32. 已知向量=(8, _),=(_,1),其中_>0,若(-2)∥(2+),则_的值为A.4B.8C.0D.2解:-2=(8-2_,_-2),2+=(16+_,_+1)由(-2)∥(2+),得(8-2_,_-2)=λ(16+_,_+1)即_THORN; _=4.选A33. 同时具有以下性质:〝①最小正周期实π;②图象关于直线_=对称;③在[-]上是增函数〞的一个函数是A.y=sin()B.y=cos(2_+)C.y=sin(2_-)D.y=cos(2_-)解:由性质①排除A,由性质②排除D,由性质③排除B,选C.34. 在△ABC中,已知sin2Asin2B=,tanAtanB=3,求角C.解:∵sin2Asin2B=,∴sinAsinBcosAcosB=……①……3’由A.B∈(0,π),知sinAsinB>0,∴cosAcosB>0又tanAtanB=3,即=3……②……6’由①②得:∴c osC=-cos(A+B)=-cosAcosB+sinAsinB=而C∈(0,π),∴C=.35. 如图,已知点P(3,0),点A.B分别在_轴负半轴和y轴上,且=0,,当点B在y轴上移动时,记点C的轨迹为E.(1)求曲线E的方程;(2)已知向量=(1,0),=(0,1),过点Q(1,0)且以向量+k(k∈R)为方向向量的直线l交曲线E于不同的两点M.N,若D(-1,0),且>0,求k的取值范围.解:(1)设A(a,0)(a<0),B(0,b),C(_,y)则=(_-a,y),=(a,-b),=(3,-b),∵=0,,∴……3’消去a.b得:y2=-4_∵a<0,∴_=3a<0故曲线E的方程为y2=-4_(_<0)……5’(2)设R(_,y)为直线l上一点,由条件知)即(_-1,y)=λ(1,k)∴,消去λ得l的方程为:y=k(_-1) ……7’由_THORN;k2_2-2(k2-2)_+k2=0 ……(_)∵直线l交曲线E与不同的两点M.N∴△>0 _THORN; -1<k<1……①……9’设M(_1,y1),N(_2,y2),则=(_1+1,y1),=(_2+1,y2)∵M.N在直线y=k(_-1)上,∴y1=k(_1-1),y2=k(_2-1)又由(_),有_1+_2=,_1_2=2∴=(_1+1)(_2+1)+y1y2=(_1+1)(_2+1)+k2(_1-1)(_2-1)=(k2+1)_1_2+(1-k2)(_1+_2)+k2+1=由条件知:>0 _THORN;k2>……②……12’由①②知:-1<k<-或<k<1.……13’36. 设集合,集合,则( A )A.中有3个元素 B.中有1个元素C.中有2个元素 D.37. 在△中,〝是〝〞的( C )A.充分非必要条件 B.必要非充分条件C.充要条件 D.既不充分也不必要条件38. 函数在下面哪个区间内是增函数( C )A.B.C. D.39. 函数的最小正周期为.40. 在三角形ABC中,设,,点在线段上,且,则用表示为.41. 将圆按向量平移得到圆,则的坐标为(-1,2);将抛物线按的相反向量平移后的曲线方程为.42. 已知向量,,,其中.(Ⅰ)当时,求值的集合;(Ⅱ)求的最大值.解:(Ⅰ)由,得,即.…………4分则,得.…………………………………5分∴为所求.…………………………………6分(Ⅱ),……………10分所以有最大值为3. (12)分。
10.使y = sin亦(3 >0)在区间|0, 1 ]至少出现2次最大值,则3的最小值为(()A.* B t6.(l+tan25o)(l+tan2O o)的值是(7.a > 0 为锐角a二sin(a + "), b= sin tz + cos or ,则a、bZ间关系为A. a>hB. h>aC. a-bD.不确定8.同时具有性质“①最小正周期是龙,②图象关于直线x =-对称;③在3 6 3 是减函数”的一个函数是()X TT TT TT TT A. y - sin(— + —) B. y - cos(2x ------- ) C. y = sin(2x -------- ) D. y = cos(2x +—)2 6 6 63 9. /(x) = Asin((wc^(p) (A>0, 3>0)在x=l 处取最大值,则AD・BC=16.下面有五个命题:①函数3?=sin4x-cos4x的最小正周期是兀.②终边在y轴上的角的集合是{a\a=^,k e Z |.J③在同一坐标系中,函数>,=sirL¥的图象和函数)=兀的图象有三个公共点.④把函数y = 3sin(2x + -)的图象向右平移匹得到y = 3sin 2x的图象.3 6⑤函数y = sin(x-^)在(0,兀)上是减函数.其中真命题的序号是_____________ ((写出所有真命题的编号))三•解答题=17.在ZXABC中,内角A, B, C所对的边分别是a, b, c.已知bsin A = 3csinB,一、选择题:1 •下列函数中,周期为彳的是()A. ”si吟B. y = sin 2xC. y = cos-一4D. y = cos 4x2.设P是ZkABC所在平面内的一点,BC + BA = 2BP,则A.PA+PB=O B PC+PA=0C.PB+PC"°PA+PB+PC=O)3.己知向量"HZ若a + ”与4b-2a平行,则实数兀的值是()A.-2 B. 0 C. 1 D. 24.已知O是△4BC所在平面内一点,D为BC边中点,且2Q4 + OB + OC = 0, 那么)A. AO = OD B.AO = 2OD C. AO = 3OD D. 2AO = OD5. 若函数fix)= V3 sin 1 ,函数/U)的最大值是5 5 3A. —71B. —71C.兀D・—712 4 211、在直角坐标系x0>冲,i,丿•分别是与x轴,y轴平行的单位向量,若直角屮,AB = 2i + j, AC = 3i + kj ,则k的可能值有A、1个12.如图,h、仏、B、2个C、3个厶是同一平面内的三条平行直线,厶与b间的距离是的距离是2,正三角形ABC的三顶点分别在厶、H、厶上,贝'JAABC的边(A) 2^3 (B) —(C) (D)3 4 3二、填空题:13.设两个向量"5 ,满足I 5l=2,| e2\=l, e lf e2的夹角为60°,若向量2t e i+7 e2与向量e x+1 e2的夹角为钝角,则实数t的取值范围为.714.若sin〃一cos0 = —, 0(0,兀),则tan。
数学高三复习三角函数与平面向量专项检测三角函数是数学中常见的一类关于角度的函数,以下是三角函数与平面向量专题检测,期望考生认真练习。
陷阱盘点1 三角函数的定义明白得不清致误三角函数值是比值,是一个实数,那个实数的大小和点P(x,y)在终边上的位置无关,只由角的终边位置决定.[回扣问题1]已知角的终边通过点P(3,-4),则sin +cos 的值为______ __.陷阱盘点2 求y=Asin(x+)与y=Acos (x+)的单调区间,忽视符号致错0时,应先利用诱导公式将x的系数转化为正数后再求解;在书写单调区间时,不能弧度和角度混用,需加2k时,不要忘掉kZ,所求区间一样为闭区间.[回扣问题2]函数y=sin的递减区间是________.陷阱盘点3 求三角函数值问题,忽视隐含条件对角的范畴的制约导致增解[回扣问题3]已cos =,sin(+)=,0,则cos =________.陷阱盘点4 关于三角函数性质认识不足致误(1)三角函数图象的对称轴、对称中心不唯独.①函数y=sin x的对称中心为(k,0)(kZ),对称轴为x=k+(kZ).②函数y=cos x的对称中心为(kZ),对称轴为x=kZ).③函数y=tan x的对称中心为(kZ),没有对称轴.(2)求y=Asin(x+),y=Acos (x+)的最小正周期易忽视的符号.[回扣问题4]设函数f(x)=Asin(x+)的图象关于x=对称,且最小正周期为,则y=f(x)的对称中心为_______ _.陷阱盘点5 忽视解三角形中的细节问题致误利用正弦定明白得三角形时,注意在△ABC中,Asin Asin B.[回扣问题5]△ABC的内角A,B,C所对的边分别为a,b,c若B=,a=1,b=,则c=________.陷阱盘点6 忽视零向量与向量的运算律致误当ab=0时,不一定得到ab,当ab 时,aab=cb,不能得到a=c,消去律不成立;(ab)c与a(bc)不一定相等,(ab)c与c平行,而a(bc)与a平行.[回扣问题6]下列各命题:①若ab=0,则a、b中至少有一个为0;②若a0,ab=ac,则b=c;③对任意向量a、b、c,有(ab)ca(b④对任一向量a,有a 2=|a|2.其中正确命题是________(填序号).陷阱盘点7 向量夹角范畴不清解题失误设两个非零向量a,b,其夹角为,则:ab0是为锐角的必要非充分条件;当为钝角时,ab0,且a,b不反向;ab0是为钝角的必要非充分条件.[回扣问题7]已知a=(,2),b=(3,2),假如a与b的夹角为锐角,则的取值范畴是________.陷阱盘点8①++=0P为△ABC的重心;②==P为△ABC的垂心;③向量(0)所在直线过△ABC的内心;④||=||=||P为△ABC的外心.[回扣问题8]若O是△ABC所|-|=|+-2|,则△ABC的形状为________.回扣三三角函数与平面向量1.- [由|OP|=5,得sin =-,cos =,sin +cos =-.]2.,kZ [y=sin=-sin.由2k2x-+,得kx+,kZ.y=sin的单调减区间为,kZ.]3. [∵0且cos =+,又sin(+,.cos(+)=-=-,sin ==.cos =cos[(+)-]=cos(+)cos +sin(+)sin =.]4.(kZ) [由T==,得=2,因此f(x)=Asin(2x+).∵y=f(x)的图象关于x=对称,+,且-,则=,f(x)=Asin令2x+=k,x=-,kZ,因此y=f(x)的对称中心为(kZ).]宋以后,京师所设小学馆和武学堂中的教师称谓皆称之为“教谕”。
三角函数和平面向量单元测试卷(时间:120分钟 满分:150分)一、选择题(本大题共12小题,每小题5分,共60分.在每小题给出的四个选项中,只有一项符合题目要求的)1.已知平面向量a 与b 的夹角等于π3,若|a |=2,|b |=3,则|2a -3b |=( )A.57B.61 C .57D .61解析:由题意可得a·b =|a |·|b |cos π3=3,所以|2a -3b |=(2a -3b )2=4|a |2+9|b |2-12a·b =16+81-36=61. 答案:B2.已知角α的终边经过点P (4,-3),则2sin α+cos α的值等于( ) A .-35B .45C .25D .-25解析:因为α的终边过点P (4,-3), 所以x =4,y =-3,r =|OP |=5, 所以sin α=y r =-35,cos α=45,所以2sin α+cos α=2×⎝⎛⎭⎫-35+45=-25. 答案:D3.下列各向量中,与a =(3,2)垂直的是( ) A .(3,-2) B .(2,3) C .(-4,6)D .(-3,2)解析:因为(3,2)·(-4,6)=3×(-4)+2×6=0. 答案:C4.为了得到函数y =sin ⎝⎛⎭⎫2x -π3的图象,只需把函数y =sin 2x 的图象上所有的点( ) A .向左平行移动π3个单位长度B .向右平行移动π3个单位长度C .向左平行移动π6个单位长度D .向右平行移动π6个单位长度解析:因为y =sin ⎝⎛⎭⎫2x -π3=sin 2⎝⎛⎭⎫x -π6, 所以将函数y =sin 2x 的图象向右平行移动π6个单位长度,可得y =sin ⎝⎛⎭⎫2x -π3的图象. 答案:D5.已知向量a ,b ,c 满足|a |=1,|b |=2,c =a +b ,c ⊥a ,则a 与b 的夹角等于( ) A .30° B .60° C .120°D .90°解析:设a ,b 的夹角为θ,由c ⊥a ,c =a +b ⇒(a +b )·a =a 2+a ·b =0⇒a ·b =-1⇒cos θ=a ·b |a ||b |=-12且0°≤θ≤180°⇒θ⇒120°.故选C. 答案:C6.(2015·广东卷)下列函数中,既不是奇函数,也不是偶函数的是( ) A .y =x +sin 2x B .y =x 2-cos x C .y =2x +12xD .y =x 2+sin x解析:A 项,定义域为R ,f (-x )=-x -sin 2x =-f (x ),为奇函数,故不符合题意;B 项,定义域为R ,f (-x )=x 2-cos x =f (x ),为偶函数,故不符合题意;C 项,定义域为R ,f (-x )=2-x +12-x =2x +12x =f (x ),为偶函数,故不符合题意;D 项,定义域为R ,f (-x )=x 2-sin x ,-f (x )=-x 2-sin x ,因为f (-x )≠-f (x ),且f (-x )≠f (x ),故为非奇非偶函数.答案:D7.如果点P (sin θcos θ,2cos θ)位于第三象限,那么角θ所在的象限是( ) A .第一象限 B .第二象限 C .第三象限D .第四象限解析:因为点P 位于第三象限,所以⎩⎪⎨⎪⎧sin θcos θ<0,2cos θ<0,所以⎩⎪⎨⎪⎧cos θ<0,sin θ >0,所以θ在第二象限. 答案:B8.若将函数y =2sin 2x 的图象向左平移π12个单位长度,则平移后图象的对称轴为( )A .x =k π2-π6(k ∈Z) B .x =k π2+π6(k ∈Z) C .x =k π2-π12(k ∈Z) D .x =k π2+π12(k ∈Z)解析:将函数y =2sin 2x 的图象向左平移π12个单位长度,得到函数y =2sin 2⎝⎛⎭⎫x +π12=2sin ⎝⎛⎭⎫2x +π6的图象.由2x +π6=k π+π2(k ∈Z),得x =k π2+π6(k ∈Z),即平移后图象的对称轴为x =k π2+π6(k ∈Z).答案:B9.(2015·课标全国Ⅰ卷)函数f (x )=cos(ωx +φ)的部分图象如图所示,则f (x )的单调递减区间为( )A.⎝⎛⎭⎫k π-14,k π+34,k ∈Z B.⎝⎛⎭⎫2k π-14,2k π+34,k ∈Z C.⎝⎛⎭⎫k -14,k +34,k ∈Z D.⎝⎛⎭⎫2k -14,2k +34,k ∈Z 解析:由图象知,周期T =2⎝⎛⎭⎫54-14=2, 所以2πω=2,所以ω=π. 由π×14+φ=π2+2k π,k ∈Z ,不妨取φ=π4,所以f (x )=cos ⎝⎛⎭⎫πx +π4. 由2k π<πx +π4<2k π+π,得2k -14<x <2k +34,k ∈Z ,所以f (x )的单调递减区间为⎝⎛⎭⎫2k -14,2k +34,k ∈Z. 答案:D10.将函数y =sin ⎝⎛⎭⎫2x -π3图象上的点P ⎝⎛⎭⎫π4,t 向左平移s (s >0)个单位长度得到点P ′.若P ′位于函数y =sin 2x 的图象上,则( )A .t =12, s 的最小值为π6B .t =32, s 的最小值为π6C .t =12, s 的最小值为π3D .t =32, s 的最小值为π3解析:因为点P ⎝⎛⎭⎫π4,t 在函数y =sin ⎝⎛⎭⎫2x -π3的图象上,所以t =sin ⎝⎛⎭⎫2×π4-π3=sin π6=12.所以P ⎝⎛⎭⎫π4,12.将点P 向左平移s (s >0)个单位长度得P ′⎝⎛⎭⎫π4-s ,12. 因为P ′在函数y =sin 2x 的图象上,所以sin 2⎝⎛⎭⎫π4-s =12,即cos 2s =12,所以2s =2k π+π3或2s =2k π+53π,即s =k π+π6或s =k π+5π6(k ∈Z),所以s 的最小值为π6. 答案:A11.函数y =3sin ⎝⎛⎭⎫π3-2x 的单调递增区间是( ) A.⎣⎡⎦⎤-π2+2k π,π2+2k π(k ∈Z) B.⎣⎡⎦⎤π2+2k π,3π2+2k π(k ∈Z) C.⎣⎡⎦⎤5π12+k π,11π12+k π(k ∈Z) D.⎣⎡⎦⎤-π12+k π,5π12+k π(k ∈Z) 解析:由题意可得y =-3sin ⎝⎛⎭⎫2x -π3,由π2+2k π≤2x -π3≤3π2+2k π,k ∈Z ,得5π12+k π≤x ≤11π12+k π,k ∈Z ,所以原函数的单调递增区间是⎣⎡⎦⎤5π12+k π,11π12+k π(k ∈Z). 答案:C12.化简cos 2⎝⎛⎭⎫x 2-7π8-cos 2⎝⎛⎭⎫x 2+7π8=( ) A .-22sin x B.22sin x C .-22cos x D.22cos x 解析:cos 2⎝⎛⎭⎫x 2-7π8-cos 2⎝⎛⎭⎫x 2+7π8= ⎣⎡⎦⎤cos ⎝⎛⎭⎫x 2-7π8+cos ⎝⎛⎭⎫x 2+7π8.⎣⎡⎦⎤cos ⎝⎛⎭⎫x 2-7π8-cos ⎝⎛⎭⎫x 2+7π8= ⎝⎛⎭⎫2cos x 2cos 7π8·⎝⎛⎭⎫2sin x 2sin 7π8=⎝⎛⎭⎫2sin 7π8cos 7π8·⎝⎛⎭⎫2sin x 2cos x 2=sin7π4·sin x =sin ⎝⎛⎭⎫2π-π4·sin x = -sin π4·sin x =-22sin x .答案:A二、填空题(本大题共4个小题,每小题5分,共20分.把答案填在题中的横线上) 13.设sin 2α=-sin α,α∈⎝⎛⎭⎫π2,π,则tan 2α的值是________. 解析:因为sin 2α=-sin α,所以2sin αcos α=-sin α. 因为α∈⎝⎛⎭⎫π2,π,sin α≠0, 所以cos α=-12.又因为α∈⎝⎛⎭⎫π2,π,所以α=23π, 所以tan 2α=tan 43π=tan ⎝⎛⎭⎫π+π3=tan π3= 3. 答案:314.(2014·陕西卷)设0<θ<π2,向量a =(sin 2θ,cos θ),b =(cos θ,1),若a ∥b ,则tan θ=________.解析:因为a ∥b ,所以sin 2θ×1-cos 2θ=0,所以2sin θcos θ-cos 2θ=0,因为0<θ<π2,所以cos θ >0,所以2sin θ=cos θ,所以tan θ=12. 答案:1215.已知△ABC 是边长为1的等边三角形,点D ,E 分别是边AB ,BC 的中点,连接DE 并延长到点F ,使得DE =2EF ,则AF →·BC →的值为________.解析:如图,由条件可知BC →=AC →-AB →,AF →=AD →+DF →=12AB →+32DE →=12AB →+34AC →,所以BC →·AF →=(AC →-AB →)·⎝ ⎛⎭⎪⎫12AB →+34AC →=34AC →2-14AB →·AC →-12AB →2. 因为△ABC 是边长为1的等边三角形,所以|AC →|=|AB →|=1,∠BAC =60°, 所以BC →·AF →=34-18-12=18.答案:1816.已知函数f (x )=sin ωx +cos ωx (ω>0),x ∈R.若函数f (x )在区间(-ω,ω)内单调递增,且函数y =f (x )的图象关于直线x =ω对称,则ω的值为________.解析:f (x )=sin ωx +cos ωx =2sin ⎝⎛⎭⎫ωx +π4, 因为f (x )在区间(-ω,ω)内单调递增,且函数图象关于直线x =ω对称,所以f (ω)必为一个周期上的最大值,所以有ω·ω+π4=2k π+π2,k ∈Z ,所以ω2=π4+2k π,k ∈Z.又ω-(-ω)≤2πω2,即ω2≤π2,所以ω2=π4,所以ω=π2.答案:π2三、解答题(本大题共6小题,共70分.解答应写出文字说明、证明过程或演算步骤) 17.(本小题满分10分)已知|a |=1,|b |=2,a 与b 的夹角为θ. (1)若a ∥b ,求a·b ; (2)若a -b 与a 垂直,求θ.解:(1)因为a ∥b ,所以θ=0°或180°, 所以a·b =|a ||b |cos θ=±2. (2)因为a -b 与a 垂直,所以(a -b )·a =0,即|a |2-a·b =1-2cos θ=0, 所以cos θ=22. 又0°≤θ ≤180°,所以θ=45°.18.(本小题满分12分)已知角α的终边过点P ⎝⎛⎭⎫45,-35. (1)求sin α的值;(2)求式子sin ⎝⎛⎭⎫π2-αsin (α+π)·tan (α-π)cos (3π-α)的值.解:(1)因为|OP |=⎝⎛⎭⎫452+⎝⎛⎭⎫-352=1,所以点P 在单位圆上, 由正弦函数定义得sin α=-35.(2)原式=cos α-sin α·tan α-cos α=sin αsin α·cos α=1cos α,由(1)得sin α=-35,P 在单位圆上,所以由已知条件得cos α=45.所以原式=54.19.(本小题满分12分)如图所示,在平面直角坐标系中,锐角α和钝角 β的终边分别与单位圆交于A ,B 两点.(1)若A ,B 两点的纵坐标分别为45,1213,求cos( β-α)的值;(2)已知点C 是单位圆上的一点,且OC →=OA →+OB →,求OA →和OB →的夹角θ.解:(1)设A ⎝⎛⎭⎫x 1,45,B ⎝⎛⎭⎫x 2,1213,则x 21+⎝⎛⎭⎫452=1,又x 1>0,所以x 1=35,所以A ⎝⎛⎭⎫35,45. x 22+⎝⎛⎭⎫12132=1,又x 2<0,所以x 2=-513,所以B ⎝⎛⎭⎫-513,1213. 所以sin α=45,cos α=35,sin β=1213,cos β=-513,所以cos( β-α)=cos βcos α+sin βsin α=⎝⎛⎭⎫-513×35+1213×45=3365.(2)根据题意知|OA →|=1,|OB →|=1,|OC →|=1,又OC →=OA →+OB →, 所以四边形CAOB 是平行四边形. 又|OA →|=|OB →|,所以▱CAOB 是菱形,又|OA →|=|OB →|=|OC →|,所以△AOC 是等边三角形, 所以∠AOC =60°,所以∠AOB =120°, 即OA →与OB →的夹角θ为120°.20.(本小题满分12分)设f (x )=23sin(π-x )sin x -(sin x -cos x )2. (1)求f (x )的单调递增区间;(2)把y =f (x )的图象上所有点的横坐标伸长到原来的2倍(纵坐标不变),再把得到的图象向左平移π3个单位,得到函数y =g (x )的图象,求g ⎝⎛⎭⎫π6的值. 解:(1)f (x )=23sin (π-x )sin x -(sin x -cos x )2 =23sin2x -(1-2sin x cos x ) =3(1-cos 2x )+sin 2x -1 =sin 2x -3cos 2x +3-1 =2sin ⎝⎛⎭⎫2x -π3+3-1, 由2k π-π2≤2x -π3≤2k π+π2(k ∈Z),得k π-π12≤x ≤k π+5π12(k ∈Z),所以f (x )的单调递增区间是⎣⎡⎦⎤k π-π12,k π+5π12(k ∈Z)⎣⎡⎦⎤或⎝⎛⎭⎫k π-π12>k π+5π12(k ∈Z ). (2)由(1)知f (x )=2sin ⎝⎛⎭⎫2x -π3+3-1, 把y =f (x )的图象上所有点的横坐标伸长到原来的2倍(纵坐标不变),得到y =2sin ⎝⎛⎭⎫x -π3+3-1的图象,再把得到的图象向左平移π3个单位,得到y =2sin x +3-1的图象, 即g (x )=2sin x +3-1, 所以g ⎝⎛⎭⎫π6=2sin π6+3-1= 3. 21.(本小题满分12分)(2015·广东卷)在平面直角坐标系xOy 中,已知向量m =⎝⎛⎭⎫22,-22,n =(sin x ,cos x ),x ∈⎝⎛⎭⎫0,π2.(1)若m ⊥n ,求tan x 的值; (2)若m 与n 的夹角为π3,求x 的值.解:(1)若m ⊥n ,则m·n =0. 由向量数量积的坐标公式得22sin x -22cos x =0, 所以tan x =1.(2)因为m 与n 的夹角为π3,所以m·n =|m |·|n |cos π3,即22sin x -22cos x =12, 所以sin ⎝⎛⎭⎫x -π4=12. 又因为x ∈⎝⎛⎭⎫0,π2,所以x -π4∈⎝⎛⎭⎫-π4,π4, 所以x -π4=π6,即x =5π12.22.(2015·重庆卷)(本小题满分12分)已知函数f (x )=12sin 2x -3cos 2x .(1)求f (x )的最小正周期和最小值;(2)将函数f (x )的图象上每一点的横坐标伸长到原来的两倍,纵坐标不变,得到函数g (x )的图象.当x ∈⎣⎡⎦⎤π2,π时,求g (x )的值域. 解:(1)f (x )=12sin 2x -3cos 2x =12sin 2x -32(1+cos 2x )=12sin 2x -32cos 2x -32=sin ⎝⎛⎭⎫2x -π3-32, 因此f (x )的最小正周期为π,最小值为-2+32.(2)由条件可知g (x )=sin ⎝⎛⎭⎫x -π3-32. 当x ∈⎣⎡⎦⎤π2,π时,有x -π3∈⎣⎡⎦⎤π6,2π3, 从而y =sin ⎝⎛⎭⎫x -π3的值域为⎣⎡⎦⎤12,1, 那么y =sin ⎝⎛⎭⎫x -π3-32的值域为⎣⎢⎡⎦⎥⎤1-32,2-32. 故g (x )在区间⎣⎡⎦⎤π2,π上的值域是⎣⎢⎡⎦⎥⎤1-32,2-32.。
《三角函数与平面向量》测试题
班级 姓名
一、选择题(本大题共8小题,每小题5分,共40分.)
1.将函数y =cos x 的图象向左平移φ(0≤φ<2π)个单位后,得到函数y =
sin ⎝
⎛⎭⎪⎫x -π6的图象,则φ等于( ) A.π6 B.2π3 C.4π3 D.11π6
2.函数 f (x )=sin x -2cos 2x 2
的一个单调增区间是( ) A.⎝ ⎛⎭⎪⎫-π2,π2 B .(0,π) C.⎝ ⎛⎭⎪⎫π2,3π2 D.⎝ ⎛⎭⎪⎫-π4
,3π4 3.已知集合A ={(x ,y )|y =sin x },集合B ={(x ,y )|y =tan x },则A ∩B =( )
A .{(0,0)}
B .{(π,0),(0,0)}
C .{(k π,0)}(k ∈Z)
D .Ø
4.函数y =-12cos2x +sin x -12
的值域为( ) A .[-1,1] B .[-54,1] C .[-54,-1] D .[-1,54
] 5.已知θ是第三象限角,|cos θ|=m ,且sin
θ2+cos θ2>0,则cos θ2等于( ) A .-1-m 2 B.1+m 2
C .-1+m 2 D.1-m 2 6.在△ABC 中,角A 、B 、C 所对应的边分别为a 、b 、c ,若角A 、B 、C 依次成等差数列,且a =1,b =3,则S △ABC 等于( ) A. 2 B. 3 C.32
D .2 7.函数f (x )=2sin(2x +π4
),给出的命题: ①函数f (x )在区间[
π2,5π8]上是减函数; ②直线x =π8
是函数 f (x )的图象的一条对称轴; ③函数f (x )的图象可以由函数y =2sin2x 的图象向左平移
π4个单位得到.其中正确的是( )
A .①③
B .①②
C .②③
D .①②③
8.△ABC 中,a ,b ,c 分别是内角A ,B ,C 的对边,且cos2B +3cos(A +C )+2=0,b =3,则c ∶sin C 等于( )
A .3∶1 B.3∶1 C.2∶1 D .2∶1
二、填空题(本大题共4小题,每题5分,共20分)
9.若A 、B 是锐角△ABC 的两个内角,则点P (cos B -sin A ,sin B -cos A ) 在第________象限.
10.已知直线x =π6
是函数y =a sin x -b cos x 图象的一条对称轴, 则函数y =b sin x -a cos x 图象的一条对称轴为________.
11.设函数 f (x )=3sin θ3·x 3+cos θ2x 2+4x -1,其中θ∈[0,5π6
], 则导数f ′(-1)的取值范围是________.
12.在锐角△ABC 中,a 、b 、c 分别是角A 、B 、C 的对边,且3a =2c sin A , 则角C =________.
三、解答题(本大题共4小题,每题10分,共40分.)
13.已知向量a =(cos α,sin α),b =(cos β,sin β),|a -b |=255
, (1)求cos(α-β)的值;
(2)若-π2<β<0<α<π2,且sin β=-513
,求sin α的值. 14.已知函数f (x )=3sin(ωx )-2sin 2ωx 2
(ω>0)的最小正周期为3π. (1)当x ∈[π2,3π4
]时,求函数f (x )的最小值; (2)在△ABC 中,若f (C )=1,且2sin 2B =cos B +cos(A -C ),求sin A 的值.
15.据气象台预报,距S 岛300km 的A 处有一台风中心形成,并以每小时30km 的速度向北偏西30°角的方向移动,在距台风中心270km 以内的地区将受到台风的影响.
问:S 岛是否受其影响?若受到影响,从现在起经过多少小时S 岛开始受到台风的影响?持续时间多久?说明理由.
16.(20XX 年江南十校联考)在△ABC 中,内角A ,B ,C 所对边长分别为a ,b ,c ,
AB →·AC →=8,∠BAC =θ,a =4.
(1)求向量b ·c 的最大值及θ的取值范围;
(2)求函数f (θ)=23sin 2(
π4
+θ)+2cos 2θ-3的最值. 参考答案:
一、CDCB ,ACBD 二、9,二; 10,x =π3 ; 11,[3,6]; 12, π3。
三、13.解析:(1)∵|a -b |=255,∴a 2-2a ·b +b 2=45
. 又a =(cos α,sin α),b =(cos β,sin β),
∴a 2=b 2=1,a ·b =cos αcos β+sin αsin β=cos(α-β).∴cos(α-β)=2-452=35
. (2)∵-π2<β<0<α<π2,∴0<α-β<π.由(1)得cos(α-β)=35,∴sin(α-β)=45
. 又sin β=-513,∴cos β=1213
. ∴sin α=sin[(α-β)+β]=sin(α-β)cos β+cos(α-β)sin β
=45×1213+35×(-513)=3365
.
14.解析:f (x )=3sin(ωx )-2·1-ωx
2
=3sin(ωx )+cos(ωx )-1=2sin(ωx +π6
)-1 依题意函数f (x )的最小正周期为3π ,即2πω
=3π, 解得ω=23,所以f (x )=2sin(23x +π6
)-1 (1)由π2≤x ≤3π4得π2≤23x +π6≤2π3,所以,当sin(23x +π6)=32
时, f (x )最小值=2×32
-1=3-1 (2)由f (C )=2sin(2C 3+π6)-1及f (C )=1,得sin(2C 3+π6)=1 而π6≤23C +π6≤5π6,所以23C +π6=π2,解得C =π2
在Rt △ABC 中,∵A +B =π2
,2sin 2B =cos B +cos(A -C )
2cos 2A -sin A -sin A =0,∴sin 2A +sin A -1=0,解得sin A =-1±52
∵0<sin A <1,∴sin A =5-12
. 15.解析:如下图,设台风中心经过t 小时到达B 点,由题意:
∠SAB =90°-30°=60°,在△SAB 中,SA =300,AB =30t ,∠SAB =60°, 由余弦定理得:
SB 2=SA 2+AB 2-2SA ·AB ·cos∠SAB =3002+(30t )2-2·300·30t cos60°, 若S 岛受到台风影响,则应满足条件:
|SB |≤270即SB 2≤2702化简整理得t 2
-10t +19≤0解之得5-6≤t ≤5+6, 所以从现在起,经过5- 6 小时S 岛开始受到影响,(5+6)小时后影响结束, 持续时间:(5+6)-(5-6)=26(小时) 答:S 岛从现在起经过(5-6)小时受到台风影响,且持续时间为26小时.
16.解析:(1)bc ·cos θ=8,b 2+c 2-2bc cos θ=42 即b 2+c 2=32
又b 2+c 2≥2bc 所以bc ≤16,即bc 的最大值为16
即8cos θ≤16,所以cos θ≥12,又0<θ<π,所以0<θ≤π3 (2)f (θ)=3·[1-cos(π2
+2θ)]+1+cos2θ- 3 =3sin2θ+cos2θ+1=2sin(2θ+π6
)+1 因0<θ≤π3,所以π6<2θ+π6≤5π6,12≤sin(2θ+π6
)≤1 当2θ+π6=5π6,即θ=π3时,f (θ)min =2×12
+1=2 当2θ+π6=π2,即θ=π6
时,f (θ)max =2×1+1=3.。