P6KE系列(600W)瞬态电压抑制器参数表
- 格式:doc
- 大小:45.50 KB
- 文档页数:2
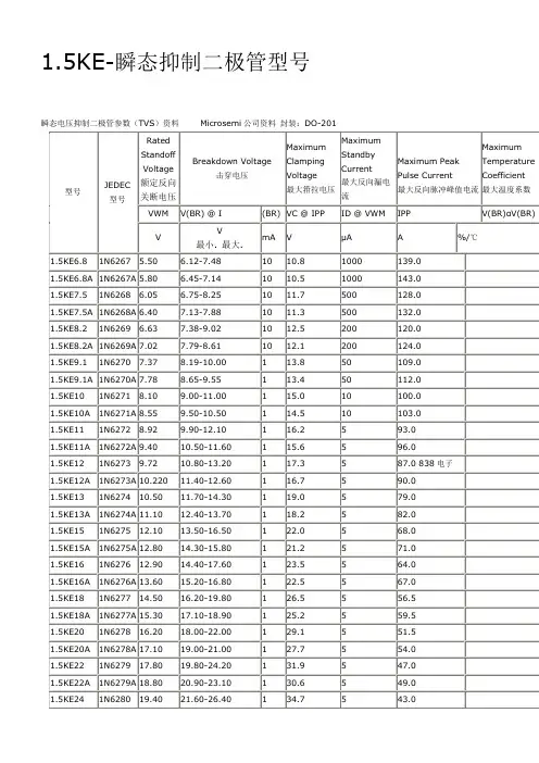
1.5KE-瞬态抑制二极管型号
瞬态电压抑制二极管参数(TVS)资料Microsemi公司资料封装:DO-201
瞬态抑制二极管的选型
1、确定被保护电路的最大直流或连续工作电压、电路的额定标准电压和“高端”容限。
2、TVS额定反向关断VWM应大于或等于被保护电路的最大工作电压。
若选用的VWM太低,器件可
能进入雪崩或因反向漏电流太大影响电路的正常工作。
串行连接分电压,并行连接分电流。
3、TVS的最大箝位电压VC应小于被保护电路的损坏电压。
4、在规定的脉冲持续时间内,TVS的最大峰值脉冲功耗PM必须大于被保护电路内可能出现的峰值脉
冲功率。
在确定最大箝位电压后,其峰值脉冲电流应大于瞬态浪涌电流。
5、对于数据接口电路的保护,还必须注意选取具有合适电容C的TVS器件。
6、根据用途选用TVS的极性及封装结构。
交流电路选用双极性TVS较为合理;多线保护选用TVS阵
列更为有利。
7、温度考虑。
瞬态电压抑制器可以在-55~+150℃之间工作。
如果需要TVS在一个变化的温度工作,
由于其反向漏电流ID是随增加而增大;功耗随TVS结温增加而下降,从+25℃到+175℃,大约线性下降50%雨击穿电压VBR随温度的增加按一定的系数增加。
因此,必须查阅有关产品资料,考虑温度变化对其特性的影响。
P6KE TVS瞬态抑制二极管型号
工作温度范围-55-175℃功率消耗- 最低600W
TVS瞬态电压抑制二极管原理
TVS瞬态抑制二极管封装。
TVS:TVS器件瞬态电压抑制器简称TVS。
TVS具有体积小,功率大,响应快,无噪声,价格低等诸多优点,是目前国际上普遍使用的一种高效能的保护器件。
它的外形与普通二极管无异,但却能“吸收〞功率高达数千瓦的浪涌信号,具有很短的反响时间及很高的尖峰电流负荷承受能力。
抑制二极管〔TVS管〕主要系列:P6KE系列、SMAJ系列TVS--Transient Voltage Suppresser--瞬态电压抑制器电压及电流的瞬态干扰是造成电子电路及设备损坏的主要原因,常给人们带来无法估量的损失。
这些干扰通常来自于电力设备的起停操作、交流电网的不稳定、雷击干扰及静电放电等,瞬态干扰几乎无处不在、无时不有,使人感到防不胜防。
幸好,一种高效能的电路保护器件TVS的出现使瞬态干扰得到了有效抑制TVS〔TRANSIENT VOLTAGE SUPPRESSOR〕或称瞬变电压抑制二极管是在稳压管工艺根底上开展起来的一种新产品,其电路符号和普通稳压二极管相同,外形也与普通二极管无异,当TVS管两端经受瞬间的高能量冲击时,它能以极高的速度〔最高达1*10-12秒〕使其阻抗骤然降低,同时吸收一个大电流,将其两端间的电压箝位在一个预定的数值上,从而确保后面的电路元件免受瞬态高能量的冲击而损坏。
在电路中一般工作于反向截止状态,此时它不影响电路的任何功能。
TVS 在规定的反向应用条件下,当电路中由于雷电、各种电器干扰出现大幅度的瞬态干扰电压或脉冲电流时,它在极短的时间内〔最高可到达1×10-12秒〕迅速转入反向导通状态,并将电路的电压箝位在所要求的平安数值上,从而有效的保护电子线路中精密元器件免受损坏。
干扰脉冲过去后,TVS又转入反向截止状态。
由于在反向导通时,其箝位电压低于电路中其它器件的最高耐压,因此起到了对其它元器件的保护作用。
TVS能承受的瞬时脉冲功率可达上千瓦,其箝位时间仅为1ps[1]。
TVS根据极性可分为单向和双向TVS。
瞬态电压抑制二极管(TVS)特点及主要参数一、TVS器件的特点瞬态(瞬变)电压抑制二级管简称TVS器件,在规定的反向应用条件下,当承受一个高能量的瞬时过压脉冲时,其工作阻抗能立即降至很低的导通值,允许大电流通过,并将电压箝制到预定水平,从而有效地保护电子线路中的精密元器件免受损坏。
TVS能承受的瞬时脉冲功率可达上千瓦,其箝位响应时间仅为1ps(10-12S)。
TVS允许的正向浪涌电流在T =25℃,T=10ms条件下,可达50~200A 。
双向TVS可在正反两个方向吸收瞬时大脉冲功率,并把电压箝制到预定水平,双向TVS适用于交流电路,单向TVS一般用于直流电路。
二、TVS器件的电特性1、单向TVS的V-I特性如图1-1所示,单向TVS的正向特性与普通稳压二极管相同,反向击穿拐点近似“直角”为硬击穿,为典型的PN结雪崩器件。
从击穿点到Vc值所对应的曲线段表明,当有瞬时过压脉冲时,器件的电流急骤增加而反向电压则上升到箝位电压值,并保持在这一水平上。
2、双向TVS的V-I特性如图1-2所示,双向TVS的V-I特性曲线如同两只单向TVS“背靠背”组合,其正反两个方向都具有相同的雪崩击穿特性和箝位特性,正反两面击穿电压的对称关系为:0.9≤V(BR)(正) /V(BR)(反) ≤1.1,一旦加在它两端的干扰电压超过箝位电压Vc就会立刻被抑制掉,双向TVS在交流回路应用十分方便。
三、TVS器件的主要电参数1、击穿电压V(BR)器件在发生击穿的区域内,在规定的试验电流I(BR)下,测得器件两端的电压称为击穿电压,在此区域内,二极管成为低阻抗的通路。
2、最大反向脉冲峰值电流I PP在反向工作时,在规定的脉冲条件下,器件允许通过的最大脉冲峰值电流。
I PP与最大箝位电压Vc(MAX)的乘积,就是瞬态脉冲功率的最大值。
使用时应正确选取TVS,使额定瞬态脉冲功率P PR大于被保护器件或线路可能出现的最大瞬态浪涌功率。
tvs二极管型号TVS二极管型号引言TVS(Transient Voltage Suppressor)二极管是一种用来保护电路免受过电压冲击的特殊二极管。
在电子设备和电路中,电压的突然变化可能会对电路元件和系统造成严重的损害。
TVS二极管旨在通过瞬时吸收过大的电压和电流,从而限制过电压在设备内部的传播。
本文将介绍一些常见的TVS二极管型号,以及其特点和应用领域。
一、SMAJ系列SMAJ系列是一种非常常见的TVS二极管型号,它具有以下特点:1. 反向工作电压范围广:SMAJ系列的反向工作电压范围从5V到440V不等,可以满足不同电路和系统的需求。
2. 低反向漏电流:SMAJ系列的反向漏电流在几个微安到几十个微安之间,可以确保电路的稳定性。
3. 高响应速度:SMAJ系列的响应时间非常快,通常为纳秒级,可以提供有效的过电压保护。
SMAJ系列的应用非常广泛,例如电源供应器、通信设备、工业控制系统等。
二、P6KE系列P6KE系列是另一种常见的TVS二极管型号,它具有以下特点:1. 高浪涌能量吸收能力:P6KE系列的浪涌能量吸收能力通常在600W到1500W之间,可以有效地吸收过电压的能量,保护电路和设备不受损坏。
2. 低反向耗尽电流:P6KE系列的反向耗尽电流在几个微安到几十个微安之间,有助于提高电路的可靠性和稳定性。
3. 多种封装形式:P6KE系列有多种封装形式可供选择,例如DO-15、DO-201、DO-204等,便于在不同的电路板上安装和使用。
P6KE系列常用于电子设备、汽车电子、医疗设备等领域。
三、1.5KE系列1.5KE系列是一种高功率TVS二极管型号,适用于需要大功率过电压保护的应用。
其特点包括:1. 大功率耗尽能力:1.5KE系列的耗尽能力通常在1500W到5000W之间,可以吸收大量的过电压能量。
2. 高响应速度:1.5KE系列的响应时间通常为纳秒级,可以迅速识别并吸收过电压。
3. 多种反向工作电压选择:1.5KE系列提供不同反向工作电压供选择,满足各种应用的需要。
P6KE Series 600W Transient Voltage SuppressorDESCRIPTION:The P6KE series of high current uni/bi-directional transient suppressors are designed for A.C.line protection and high power DC bus clamping applications.These devices offer uni/bi-directional port protection from 6.8volts to 400volts.They provide a clamping voltage lower than the avalanche voltage.Therefore,any voltage rise due to increased current conduction is contained to a minimum,providing the best possible protection level.They can also be connected in series and/or parallel to create very high capacity protection solutions.FEATURES:✧Low zener impedance.✧Excellent clamping capability.✧Repetition rate (duty cycle):0.01%.✧JEDEC DO-15/DO-204AC Molded Plastic.✧Color band denoted cathode except bidirectional .✧High temperature soldering:260℃/10s at terminals.✧Glass passivated or plannar chip junction in DO-15/DO-204AC package.✧600W Peak Pulse power capability at 10×1000μs waveform.✧Fast response time:typically less than 1.0ps from 0V to V BR min.ABSOLUTE MAXIMUM RATINGS (T A =25ºC,RH=45%-75%,unless otherwise noted)ParameterSymbol Value Unit Peak pulse power dissipation on 10/1000μs waveformP PP 600W Peak pulse current of on 10/1000μs waveformI PP See next tableA Steady state power dissipation at T L =75℃P M(AV) 5.0W Operating junction and Storage temperature rangeT STG,T J -55to +150℃Peak forward surge current,8.3ms single half sine-waveI FSM100ASymbolELECTRICAL CHARACTERISTICS(T A=25℃)Part Number V R I R@V R V BR@I T I T V C@I PP I PP①Uni-Polar Bi-Polar VμA min(V)max(V)mA max(V)A P6KE6.8A P6KE6.8CA 5.8150 6.457.141010.557.2 P6KE7.5A P6KE7.5CA 6.41007.137.881011.353.1 P6KE8.2A P6KE8.2CA7.02507.798.611012.149.6 P6KE9.1A P6KE9.1CA7.78208.659.55113.444.8 P6KE10A P6KE10CA8.55109.5010.50114.541.4 P6KE11A P6KE11CA9.4510.5011.60115.638.5 P6KE12A P6KE12CA10.2211.4012.60116.736 P6KE13A P6KE13CA11.1112.4013.70118.233 P6KE15A P6KE15CA12.8114.3015.80121.228.3 P6KE16A P6KE16CA13.6115.2016.80122.526.7 P6KE18A P6KE18CA15.3117.1018.90125.223.8 P6KE20A P6KE20CA17.1119.0021.00127.721.7 P6KE22A P6KE22CA18.8120.9023.10130.619.7 P6KE24A P6KE24CA20.5122.8025.20133.218.1 P6KE27A P6KE27CA23.1125.7028.40137.516 P6KE30A P6KE30CA25.6128.5031.50141.414.5 P6KE33A P6KE33CA28.2131.4034.70145.713.2 P6KE36A P6KE36CA30.8134.2037.80149.912.1 P6KE39A P6KE39CA33.3137.1041.00153.911.2 P6KE43A P6KE43CA36.8140.9045.20159.310.2 P6KE47A P6KE47CA40.2144.7049.40164.89.3 P6KE51A P6KE51CA43.6148.5053.60170.18.6 P6KE56A P6KE56CA47.8153.2058.80177.07.8 P6KE62A P6KE62CA53.0158.9065.10185.07.1 P6KE68A P6KE68CA58.1164.6071.40192.0 6.6 P6KE75A P6KE75CA64.1171.3078.801103.0 5.9 P6KE82A P6KE82CA70.1177.9086.101113.0 5.4 P6KE91A P6KE91CA77.8186.5095.501125.0 4.8 P6KE100A P6KE100CA85.5195.00105.01137.0 4.4 P6KE110A P6KE110CA94.01105.0116.01152.0 4.0ELECTRICAL CHARACTERISTICS(T A=25℃,continued)Part Number V R I R@V R V BR@I T I T V C@I PP I PP①Uni-Polar Bi-Polar VμA min(V)max(V)mA max(V)A P6KE120A P6KE120CA102.01114.0126.01165.0 3.7 P6KE130A P6KE130CA111.01124.0137.01179.0 3.4 P6KE150A P6KE150CA128.01143.0158.01207.0 2.9 P6KE160A P6KE160CA136.01152.0168.01219.0 2.8 P6KE170A P6KE170CA145.01162.0179.01234.0 2.6 P6KE180A P6KE180CA154.01171.0189.01246.0 2.5 P6KE200A P6KE200CA171.01190.0210.01274.0 2.2 P6KE220A P6KE220CA185.01209.0231.01328.0 1.9 P6KE250A P6KE250CA214.01237.0263.01344.0 1.8 P6KE300A P6KE300CA256.01285.0315.01414.0 1.5 P6KE350A P6KE350CA300.01332.0368.01482.0 1.3 P6KE400A P6KE400CA342.01380.0420.01548.0 1.1①Surge waveform:10/1000μsV R:Stand-off Voltage--Maximum voltage that can be appliedV BR:Breakdown VoltageV C:Clamping Voltage--Peak voltage measured across the suppressor at a specified Ipp I R:Reverse Leakage CurrentRATINGS AND V‐I CHARACTERISTICS CURVES(T A=25ºC,unless otherwise noted) FIG.1:V-I curve characteristics(Uni-directional)FIG.2:V-I curve characteristicsV C V BR V R VV FI PPI PPV C V BR V R I T I R VI R V R V BR V CI TI PPtr=100k value50td00FIG.3:Pulse waveformPPM RSM 150FIG.4:Pulse derating curvePP 1004001.02.03.04.020255075100125150175SOLDERING PARAMETERSReflow Condition Pb-Free assembly (see FIG.5)PreHeat-Temperature Min (T s(min))+150℃-Temperature Max(T s(max))+200℃-Time (Min to Max)(t s )60-180secs.Average ramp up rate (Liquid us Temp (T L )to peak)3℃/sec.Max T s(max)to T L -Ramp-up Rate 3℃/sec.Max Reflow-Temperature(T L )(Liquid us)+217℃-Temperature(t L )60-150secs.Peak Temp (T p )+260(+0/-5)℃Time within 5℃of actual Peak Temp (t p )30secs.Max Ramp-down Rate6℃/sec.Max Time 25℃to Peak Temp (T P )8min.Max Do not exceed+260℃MARKING &ORDERING INFORMATIONCathode BandP6KE XX C A (1)(2)(3)(4)(1)Series:600watts series (2)Reverse Stand-off Voltage (3)Bi-directional(4)5%V BR Voltage toleranceProduct TypeLogoP 6KExxCATimetime to peak temperatue (t 25℃to peak)25t sT S(min)PreheatRamp-downT S(max)t LT L Critical Zone T L to T PRamp-upT PtpFIG.5:Reflow conditionT e m p e r a t u r etr =rise time to peak value td =decay t ime to half value10μsPeaHalf valuet(ms)T A (℃)Website:For additional information,pleasecontact your local SalesRepresentative.©Copyright2016,jksemiis a registered trademark of jksemi All rights arereserved PACKAGE MECHANICAL DATARef.DimensionsInches MillimetersMin.Max.Min.Max.A 1.000-25.40-B0.2280.300 5.807.62C0.0270.0350.690.89D0.1180.140 3.00 3.60Part Number Case Type Quantity Packing OptionP6KEXXCA/A DO-15/DO-204AC2000BoxA B ADC。
P6KE系列(600W)瞬态电压抑制器参数表 2004-10-6 硬道理电子技术交流网本公司有供应瞬态抑制二极管,欢迎来电!P6KE6.8A/CA P6KE7.5A/CA P6KE8.2A/CAP6KE9.1A/CA P6KE10A/CA P6KE11A/CA P6KE12A/CA P6KE13A/CA P6KE15A/CA P6K E16A/CAP6KE18A/CA P6KE20A/CA P6KE22A/CA P6KE24A/CA P6KE27A/CA P6KE30A/CA P6KE 33A/CAP6KE36A/CA P6KE39A/CA P6KE43A/CAP6KE47A/CA P6KE51A/CA P6KE56A/CAP6KE62A/CA P6KE68A/CA P6KE75A/CAP6KE82A/CA P6KE91A/CA P6KE100A/CA本公司有供应瞬态抑制二极管,欢迎来电!P6KE110A/CA P6KE120A/CA P6KE130A/CAP6KE150A/CA P6KE160A/CA P6KE170A/CA P6KE180A/CA P6KE200A/CA P6KE220A/C AP6KE250A/CA P6KE300A/CA P6KE350A/CA P6KE400A/CA P6KE440A/CAP6KE480A/CA P6KE510A/CA P6KE530A/CA P6KE540A/CA P6KE550A/CA本公司有供应瞬态抑制二极管,欢迎来电!1.5KE6.8A/CA 1.5KE7.5A/CA 1.5KE8.2A/CA1.5KE9.1A/CA 1.5KE10A/CA 1.5KE11A/CA1.5KE12A/CA 1.5KE13A/CA 1.5KE15A/CA 1.5KE16A/CA 1.5KE18A/CA 1.5KE20A/CA 1.5KE22A/CA 1.5KE24A/CA 1.5KE27A/CA1.5KE30A/CA 1.5KE33A/CA 1.5KE36A/CA1.5KE39A/CA 1.5KE43A/CA 1.5KE47A/CA1.5KE51A/CA 1.5KE56A/CA1.5KE62A/CA 1.5KE68A/CA 1.5KE75A/CA1.5KE82A/CA 1.5KE91A/CA本公司有供应瞬态抑制二极管,欢迎来电!1.5KE100A/CA 1.5KE110A/CA 1.5KE120A/CA1.5KE130A/CA 1.5KE150A/CA 1.5KE160A/CA1.5KE170A/CA 1.5KE180A/CA1.5KE200A/CA 1.5KE220A/CA 1.5KE250A/CA1.5KE300A/CA 1.5KE350A/CA 1.5KE400A/CA1.5KE440A/CA 1.5KE480A/CA 1.5KE510A/CA1.5KE530A/CA 1.5KE540A/CA 1.5KE550A/CA本公司经营瞬态抑制管,有如下型号的产品系列,欢迎来电来邮垂询!5KP5.0A/CA 5KP6.0A/CA 5KP6.5A/CA 5KP7.0A/CA5KP7.5A/CA 5KP8.0A/CA 5KP8.5A/CA 5KP9.0A/CA 5KP10A/CA 5KP11A/CA 5KP12A/CA 5 KP13A/CA 5KP14A/CA 5KP15A/CA 5KP16A/CA 5KP17A/CA的产品系列,欢迎来电来邮垂询!SMBJ5.0A/CA SMBJ6.0A/CA SMBJ6.5A/CA SMBJ7.0A/CA SMBJ7.5A/CA SMBJ8.0A/CASM BJ8.5A/CA SMBJ9.0A/CA SMBJ10A/CA SMBJ11A/CA SMBJ12A/CA SMBJ13A/CASMBJ14A/CA SMBJ15A/CA SMBJ16A/CASMBJ17A/CA SMBJ18A/CA SMBJ20A/CASMBJ22A/CA S MBJ24A/CA SMBJ26A/CASMBJ28A/CA SMBJ30A/CA SMBJ33A/CASMBJ36A/CA SMBJ40 A/CA SMBJ43A/CA SMBJ45A/CA本公司经营瞬态抑制管,有如下型号的产品系列,欢迎来电来邮垂询!SMBJ48A/CA SMBJ51A/CA SMBJ54A/CA SMBJ58A/CA SMBJ60A/CASMBJ64A/CA SMBJ7 0A/CA SMBJ75A/CASMBJ78A/CA SMBJ85A/CA SMBJ90A/CASMBJ100A/CA SMBJ110A/C ASMBJ120A/CASMBJ130A/CA SMBJ150A/CA\SMBJ160A/CASMBJ170A/CASMBJ180A/CA SMBJ200A/CA SMBJ220A/CA SMBJ250A/CA SMBJ300A/CASMBJ350A/CA SMBJ400A/CA SMBJ440A/CA我公司始创于香港,1998年在台湾投资设立电子元件生产线,以电子元件的研发和生产为主.目前业务范围主要为以下二个领域:1.防雷器件部:专业从事贴片式过压、过流、防静电等保护元器件的研发、生产和销售,拥有先进的片式生产备。
低功耗瞬态管P6SMB15CA型号说明硕凯电子(Sylvia)一、最大额定值Notes:1.Non-repetitive current pulse,per Fig.3and derated above TA=25°C per Fig.2.2.Mounted on5.0mm x5.0mm(0.03mm thick)Copper Pads to each terminal.3.8.3ms single half sine-wave,or equivalent square wave,Duty cycle=4pulses per minutes maximum.4.VF<3.5V for VBR<200V and VF<6.5V for VBR>201V.二、脉冲浪涌三、UL认证编号四、产品应用说明TVS器件非常适合保护I/O接口,Vcc总线和其他应用于电信、计算机、工业和消费电子应用的易损电路。
五、脉冲降额曲线五、电路图六、I-V曲线特性七、产品特性1、为表面安装应用优化电路板空间2、低泄漏3、单向和双向单元4、玻璃钝化结5、低电感6、优良的钳位能力7、600W的峰值功率能力在10×1000μ波形重复率(占空比):0.01%8、快速响应时间:从0伏特到最小击穿电压通常小于1.0ps9、典型的,在电压高于12V时,反向漏电流小于5μA10、高温焊接:终端260°C/40秒11、典型的最大温度系数△Vbr=0.1%x Vbr@25°C x△T12、塑料包装有保险商实验室可燃性94V-013、无铅镀雾锡14、无卤化,符合RoHS15、典型失效模式是在指定的电压或电流下出现16、晶须测试是基于JEDEC JESD201A每个表4a及4c进行的17、IEC-61000-4-2ESD15kV(空气),8kV(接触)18、数据线的ESD保护符合IEC61000-4-2(IEC801-2)19、数据线的EFT保护符合IEC61000-4-4(IEC801-4)八、瞬态管产品图。
瞬变二极管瞬变二极管瞬变二极管又称瞬态抑制二极管(TVS,Transient Voltage Suppressors),二极管中较常用的一种,是一种高品质的突波吸收器,以二极管(伏安特性)为核心,是目前国际上普遍使用的一种高效能电路保护器图片件,它的外型与普通二极管相同,但却能吸收高达数千瓦的浪涌功率。
其工作原理不是降低电流变化速率,而是提供一个电流的额外通路。
电路中有感性元件(比如说电感线圈、继电器之类)的时候,当电路电压过大时,可能会击穿开关或者烧坏电路,这时通过这个二极管提供电流通路,TVS将多余的电释放掉,但不全放电,不导通,就不会发生击穿的现象。
平时二极管工作在反偏状态下,几乎相当于开路。
和稳压管的作用有点像,可保护电器仍可正常工作。
瞬态抑制二极管的主要特点是并联在电路中,在反向应用条件下,当承受一个高能量的大脉冲时,其工作阻抗立即降至极低的导通值,从而允许大电流通过,同时把电压箝制在预定水平,其响应时间仅为10-12毫秒,因此可有效地保护电子线路中的精密元器件。
自然界的感应雷击、静电释放、电子装置的电流浪涌都是让现代电子系统面临严峻的考验。
在电路中产生瞬态电压时,TVS利用雪崩原理,以P秒级的反应速度瞬间起到分流限压作用、从而保护负载不被损坏。
瞬态抑制二极管广泛应用于通信、电脑,、仪器仪表、汽车电子、开关电源、防雷及楼宇安防产品。
TVP管,对电路进行快速过压保护,分双极型和单极型两种,按峰值功率(500W-5000W)和电压(8.2V~200V)分类。
能做保护电路,不能做稳压管。
瞬态抑制二级管由特制的P-N半导体结组成,可提供浪涌保护。
PN 结通常覆膜,以防在非导电状态下过早出现电压弧闪。
出现瞬态电压时,瞬态抑制二级管开始导电,并通过雪崩效应钳制瞬态电压。
瞬态抑制二极管广泛用作电信、通用电子设备、数码消费电子产品的电路过压保护装置,可提供雷击、静电放电和其他瞬态电压保护。
P6KE是此TVS最大浪涌吸收能力为600W,=VC*IPP(IPP最大峰值脉冲电流,VC最大峰值电压)6.8钳位电压6.8V,一般误差正负5%。
教材TVS管的应用原理、参数及选型REV 版本APAGE页码 3 of 5最大箝位电压VC和最大峰值脉冲电流IPP。
当持续时间为20mS的脉冲峰值电流IPP流过TVS时,在其两端出现的最大峰值电压为VC。
VC、IPP反映了TVS的浪涌抑制能力。
VC 与VBR之比称为箝位因子,一般在1.2~1.4之间。
电容量C。
电容量C是由TVS雪崩结截面决定的,是在特定的1MHz频率下测得的。
C 的大小与TVS的电流承受能力成正比,C太大将使信号衰减。
因此,C是数据接口电路选用TVS的重要参数。
教材TVS管的应用原理、参数及选型REV 版本APAGE页码 4 of 5最大峰值脉冲功耗PM。
PM是TVS能承受的最大峰值脉冲功率耗散值。
在给定的最大箝位电压下,功耗PM越大,其浪涌电流的承受能力越大;在给定的功耗PM下,箝位电压VC 越低,其浪涌电流的承受能力越大。
另外,峰值脉冲功耗还与脉冲波形、持续时间和环境温度有关。
而且,TVS所能承受的瞬态脉冲是不重复的,器件规定的脉冲重复频率(持续时间与间歇时间之比)为0.01%。
如果电路内出现重复性脉冲,应考虑脉冲功率的累积,有可能损坏TVS。
箝位时间TC。
TC是从零到最小击穿电压VBR的时间。
对单极性TVS小于1×10-12s;对双极性TVS小于10×10-12s。
4. TVS的选型最大箝位电压VC要小于电路允许的最大安全电压。
截止电压VRWM大于电路的最大工作电压,一般可以选择VRWM等于或者略大于电路的最大工作电压。
额定的最大脉冲功率(TVS参数中给出)PM要大于最大瞬态浪涌功率。
教材TVS管的应用原理、参数及选型REV 版本APAGE页码 5 of 5对于数据接口电路的保护,还必须注意选取具有合适电容C的TVS器件。
当信号频率或传输速率较高时,应选用低电容系列的管子:信号频率(传输速率)≥10MHz(Mb/s),Cj≤60pF;信号频率(传输速率)≥100 MHz(Mb/s),Cj≤20pF。
The P6KE series is designedspecifically to protect sensitive electronicequipment from voltage transients induced by lightning and other transientvoltage events.Uni-directional Bi-directionalu Glass passivated chip junction in DO-15 Packageu Low leakageu Uni and Bidirectional unitu Excellent clamping capabilityu600W Peak power capability at 10 × 1000µs waveform Repetition rate(duty cycle):0.01%u Fast response time: typically less than 1.0ps from 0 Volts to V BR minu Typical I R less than 5μA above 12V.u High Temperature soldering: 260°C/40 seconds at terminalsu Typical maximum temperature coefficient ΔV BR = 0.1% ×V BR@25°C×ΔTu Plastic package has Underwriters Laboratory Flammability 94V-0u Matte tin lead–free Platedu Halogen free and RoHS compliantu Typical failure mode is short from over-specified voltage or currentu Whisker test is conducted based on JEDEC JESD201A per its table4a and 4cu IEC-61000-4-2 ESD 15kV(Air), 8kV (Contact)u ESD protection of data lines in accordance with IEC 61000-4-2(IEC801-2)u EFT protection of data lines in accordance with IEC 61000-4-4(IEC801-4)TVS devices are ideal for the protection of I/O interfaces, V bus and othervulnerable circuits used in Telecom, Computer, Industrial and Consumerelectronic applications.Parameter Symbol Value Unit Peak Pulse Power Dissipation with a 10/1000µs waveform (Fig.1)(Note1), (Note 2)P PPM600 Watts Peak Pulse Current with a 10/1000µs waveform.(Note1,Fig.3) I PP See Next Table Amps Power Dissipation on Infinite Heat Sink at T L=75°C P M(AV) 5.0 Watt Peak Forward Surge Current, 8.3ms Single Half Sine Wave (Note 3) I FSM100 Amps Maximum Instantaneous Forward Voltage at 25A for Unidirectional Only(Note 4)V F 3.5/5.0 Voltage Operating junction and Storage Temperature Range. T J , T STG-55 to +150 °C Notes:1. Non-repetitive current pulse, per Fig. 3 and derated above T A = 25°C per Fig.2.2. Mounted on 5.0mm x 5.0mm (0.03mm thick) Copper Pads to each terminal.3. 8.3ms single half sine-wave, or equivalent square wave, Duty cycle = 4 pulses per minutes maximum.4. V F < 3.5V for V BR < 200V and V F< 6.5V for V BR > 201V.APart NumberBreakdown Voltage V BR (V)@I T Uni Bi Reverse Stand-Off Voltage V RWM (V) MIN MAX Test Current I T (mA) Maximum Clamping Voltage V C @I PP (V) Maximum Peak Pulse Current I PP (A) Maximum Reverse Leakage I R @V RWM (μA)P6KE6.8 P6KE6.8C 5.5 6.12 7.48 10 10.8 55.56 1000 P6KE6.8A P6KE6.8CA 5.8 6.46 7.14 10 10.5 57.14 1000 P6KE7.5 P6KE7.5C 6.1 6.75 8.25 10 11.7 51.28 500 P6KE7.5A P6KE7.5CA 6.4 7.13 7.88 10 11.3 53.10 500 P6KE8.2 P6KE8.2C 6.6 7.38 9.02 10 12.5 48.00 200 P6KE8.2A P6KE8.2CA 7.0 7.79 8.61 10 12.1 49.59 200 P6KE9.1 P6KE9.1C 7.4 8.19 10.01 1 13.8 43.48 50 P6KE9.1A P6KE9.1CA 7.8 8.65 9.56 1 13.4 44.78 50 P6KE10 P6KE10C 8.1 9.00 11.00 1 15.0 40.00 10 P6KE10A P6KE10CA 8.6 9.50 10.50 1 14.5 41.38 10 P6KE11 P6KE11C 8.9 9.90 12.10 1 16.2 37.04 5 P6KE11A P6KE11CA 9.4 10.45 11.55 1 15.6 38.46 5 P6KE12 P6KE12C 9.7 10.80 13.20 1 17.3 34.68 5 P6KE12A P6KE12CA 10.2 11.40 12.60 1 16.7 35.93 5 P6KE13 P6KE13C 10.5 11.70 14.30 1 19.0 31.58 5 P6KE13A P6KE13CA 11.1 12.35 13.65 1 18.2 32.97 5 P6KE15 P6KE15C 12.1 13.50 16.50 1 22.0 27.27 5 P6KE15A P6KE15CA 12.8 14.25 15.75 1 21.2 28.30 5 P6KE16 P6KE16C 12.9 14.40 17.60 1 23.5 25.53 5 P6KE16A P6KE16CA 13.6 15.20 16.80 1 22.5 26.67 5 P6KE18 P6KE18C 14.5 16.20 19.80 1 26.5 22.64 5 P6KE18A P6KE18CA 15.3 17.10 18.90 1 25.2 23.81 5 P6KE20 P6KE20C 16.2 18.00 22.00 1 29.1 20.62 5 P6KE20A P6KE20CA 17.1 19.00 21.00 1 27.7 21.66 5 P6KE22 P6KE22C 17.8 19.80 24.20 1 31.9 18.81 5 P6KE22A P6KE22CA 18.8 20.90 23.10 1 30.6 19.61 5 P6KE24 P6KE24C 19.4 21.60 26.40 1 34.7 17.29 5 P6KE24A P6KE24CA 20.5 22.80 25.20 1 33.2 18.07 5 P6KE27 P6KE27C 21.8 24.30 29.70 1 39.1 15.35 5 P6KE27A P6KE27CA 23.1 25.65 28.35 1 37.5 16.00 5 P6KE30 P6KE30C 24.3 27.00 33.00 1 43.5 13.79 5 P6KE30A P6KE30CA 25.6 28.50 31.50 1 41.4 14.49 5 P6KE33 P6KE33C 26.8 29.70 36.30 1 47.7 12.58 5 P6KE33A P6KE33CA 28.2 31.35 34.65 1 45.7 13.13 5 P6KE36 P6KE36C 29.1 32.40 39.60 1 52.0 11.54 5 P6KE36A P6KE36CA 30.8 34.20 37.80 1 49.9 12.02 5 P6KE39 P6KE39C 31.6 35.10 42.90 1 56.4 10.64 5 P6KE39A P6KE39CA 33.3 37.05 40.95 1 53.9 11.13 5 P6KE43 P6KE43C 34.8 38.70 47.30 1 61.9 9.69 5 P6KE43A P6KE43CA 36.8 40.85 45.15 1 59.3 10.12 5 P6KE47 P6KE47C 38.1 42.30 51.70 1 67.8 8.85 5 P6KE47A P6KE47CA 40.2 44.65 49.35 1 64.8 9.26 5 P6KE51 P6KE51C 41.3 45.90 56.10 1 73.5 8.16 5 P6KE51A P6KE51CA 43.6 48.45 53.55 1 70.1 8.56 5 P6KE56 P6KE56C 45.4 50.40 61.60 1 80.5 7.45 5 P6KE56A P6KE56CA 47.8 53.20 58.80 1 77.0 7.79 5 P6KE62 P6KE62C 50.2 55.80 68.20 1 89.0 6.74 5 P6KE62A P6KE62CA 53.0 58.90 65.10 1 85.0 7.06 5 P6KE68 P6KE68C 55.1 61.20 74.80 1 98.0 6.12 5 P6KE68A P6KE68CA 58.1 64.60 71.40 1 92.0 6.52 5 P6KE75 P6KE75C 60.7 67.50 82.50 1 108.0 5.56 5 P6KE75A P6KE75CA 64.1 71.25 78.75 1 103.0 5.83 5 P6KE82 P6KE82C 66.4 73.80 90.20 1 118.0 5.08 5 P6KE82AP6KE82CA70.177.9086.101113.05.315APart Number Breakdown Voltage V BR (V)@I T UniBi Reverse Stand-Off Voltage V RWM (V) MIN MAX Test Current I T (mA)Maximum Clamping Voltage V C @I PP (V) Maximum Peak Pulse Current I PP (A) Maximum Reverse Leakage I R @V RWM (μA)P6KE91 P6KE91C 73.7 81.90 100.10 1 131.0 4.58 5 P6KE91A P6KE91CA 77.8 86.45 95.55 1 125.0 4.80 5 P6KE100 P6KE100C 81.0 90.00 110.00 1 144.0 4.17 5 P6KE100A P6KE100CA 85.5 95.00 105.00 1 137.0 4.38 5 P6KE110 P6KE110C 89.2 99.00 121.00 1 158.0 3.80 5 P6KE110A P6KE110CA 94.0 104.50 115.50 1 152.0 3.95 5 P6KE120 P6KE120C 97.2 108.00 132.00 1 173.0 3,47 5 P6KE120A P6KE120CA 102.0 114.00 126.00 1 165.0 3.64 5 P6KE130 P6KE130C 105.0 117.00 143.00 1 187.0 3.21 5 P6KE130A P6KE130CA 111.0 123.50 136.50 1 179.0 3.35 5 P6KE150 P6KE150C 121.0 135.00 165.00 1 215.0 2.79 5 P6KE150A P6KE150CA 128.0 142.50 157.50 1 207.0 2.90 5 P6KE160 P6KE160C 130.0 144.00 176.00 1 230.0 2.61 5 P6KE160A P6KE160CA 136.0 152.00 168.00 1 219.0 2.74 5 P6KE170 P6KE170C 138.0 153.00 187.00 1 244.0 2.46 5 P6KE170A P6KE170CA 145.0 161.50 178.50 1 234.0 2.56 5 P6KE180 P6KE180C 146.0 162.00 198.00 1 258.0 2.33 5 P6KE180A P6KE180CA 154.0 171.00 189.00 1 246.0 2.44 5 P6KE200 P6KE200C 162.0 180.00 220.00 1 287.0 2.09 5 P6KE200A P6KE200CA 171.0 190.00 210.00 1 274.0 2.19 5 P6KE220 P6KE220C 175.0 198.00 242.00 1 344.0 174 5 P6KE220A P6KE220CA 185.0 209.00 231.00 1 328.0 1.83 5 P6KE250 P6KE250C 202.0 225.00 275.00 1 360.0 1.67 5 P6KE250A P6KE250CA 214.0 237.50 262.50 1 344.0 1.74 5 P6KE300 P6KE300C 243.0 270.00 330.00 1 430.0 1.40 5 P6KE300A P6KE300CA 256.0 285.00 315.00 1 414.0 1.45 5 P6KE350 P6KE350C 284.0 315.00 385.00 1 504.0 1.19 5 P6KE350A P6KE350CA 299.3 332.50 367.50 1 482.0 1.24 5 P6KE380 P6KE380C 308.6 342.00 418.00 1 547.2 1.10 5 P6KE380A P6KE380CA 324.9 361.00 399.00 1 524.4 1.14 5 P6KE400 P6KE400C 324.8 360.00 440.00 1 576.0 1.05 5 P6KE400A P6KE400CA 342.0 380.00 420.00 1 552.0 1.09 5 P6KE440 P6KE440C 357.3 396.00 484.00 1 633.6 0.95 5 P6KE440A P6KE440CA 376.2 418.00 462.00 1 607.2 0.99 5 P6KE500 P6KE500C 406.0 450.00 550.00 1 720.0 0.83 5 P6KE500A P6KE500CA 427.5 475.00 525.00 1 690.0 0.87 5 P6KE520 P6KE520C 422.2 468.00 572.00 1 748.8 0.80 5 P6KE520A P6KE520CA 444.6 494.00 546.00 1 717.6 0.84 5 P6KE550 P6KE550C 446.6 495.00 605.00 1 792.0 0.76 5 P6KE550A P6KE550CA 470.3 522.50 577.50 1 759.0 0.79 5 P6KE600 P6KE600C 487.2 540.00 660.00 1 864.0 0.69 5 P6KE600A P6KE600CA513.0570.00630.001 828.00.725Note:1. Suffix 'A ' denotes 5% tolerance device. Without 'A' denotes 10% tolerance device2. Add suffix 'C 'or ' CA ' after part number to specify Bi-directional devices3. For Bi-Directional devices having V R of 10 volts and under, the I R limit is doubleAATemperature Cycle JESD22-A104 Weight 0.015 ounce, 0.4 gramPressure Cooker JESD22-A102 Case JEDEC DO-204AC (DO-15) Molded Plastic over glass passivated junction High Temp. Storage JESD22-A103 Polarity Color band denotes cathode except BipolarHTRBJESD22-A108 TerminalMatte Tin-plated leads, Solderable per JESD22-B102DThermal ShockJESD22-A106Reflow ConditionLead –free assembly -Temperature Min (T s(min))150°C -Temperature Max (T s(max)) 200°CPre Heat- Time (min to max) (t s )60 -180 Seconds Average ramp up rate ( Liquidus Temp T L ) to peak3°C/second max T S(max) to TL - Ramp-up Rate3°C/second max - Temperature (T L ) (Liquidus) 217°CReflow- Time (min to max) (t s )60 -150 SecondsPeak Temperature (T P ) 260 +0/-5°CTime within 5°C ofactualpeakTemperature (t p )20 -40 Seconds Ramp-down Rate6°C/second max Time 25°C to peak Temperature (T P ) 8 minutes MaxDo not exceed280°CRamp-down PreheatTime to peak temperature(t 25℃ to peak)Ramp-upTime Physical SpecificationsEnvironmental SpecificationsSoldering Parameters。
P6SMB600 W Transient voltage suppressorProduct features• Low profile SMB package • Excellent clamping capability•600 W peak pulse power capability at 10/1000 μs waveform• Typical I R less than 1 μA above 12 V•Fast response time: typically less than 1.0 ps from 0 V to V BR minimum•High temperature reflow soldering: +260 °C /40 s at terminal•Plastic package meets UL 94 V-0 flammability rating• Meets moisture sensitivity level (MSL) level 1•Terminal: Solder plated leads, solderable per J-STD-002•For surface mounted applications in order to optimize board space•UL 497B recognized.File No. : E198449 Guide QVGQ2Applications• Consumer electronics • Telecommunications • Computing and servers • Appliances• Industrial automation •Mobile and wearablesEnvironmental compliance and general specificationsP6SMB 6-8 C AFamily name V R voltage(“-” indicates decimal point) Bi-/Uni-Directional(Blank=Uni, C=Bi)Voltage toleranceOrdering part numberPIN configurationPb HALOGENHF FREE2Technical Data 11212Effective November 2020P6SMB600 W Transient voltage suppressor/electronicsParameterSymbolValueUnitStorage operating junction temperature range T STG / T J -55 to +150°C Steady state power dissipation at T L = +75 °C P M(AV) 5.0W Peak pulse power dissipation on 10/1000 μs waveformP PP 600W Maximum instantaneous forward voltage at 100 A for unidirectionalV F 5.0V Peak forward surge current, 8.3 ms single half sine wave 1I FSM 100A Typical thermal resistance junction to leadR JL20°C/W Typical thermal resistance junction to ambientR JA100°C/WAbsolute maximum ratings(+25 °C, RH=45%-75%, unless otherwise noted)1. Measured on 8.3 ms single half sine wave or equivalent square wave for unidirectional device only, duty cycle = 4 per minute maximumPackaging information (mm)Drawing not to scale.Supplied in tape and reel packaging, 3,000 parts per 13” diameter reel (EIA-481 compliant)Mechanical parameters, pad layout- mmMillimetersInches Dimension MinimumMaximumMinimumMaximumA 3.30 3.940.1300.155B 4.30 4.800.1690.189C 1.90 2.200.0750.087D 0.95 1.520.0370.060E 5.20 5.600.2050.220F 0.0510.2030.0020.008G 0.150.310.0060.012H 2.10 2.400.0830.094J 2.200.087K 2.600.102L2.300.091Part markingDimension Millimeters InchesA0 3.76 ± 0.30.148 ± 0.012B0 5.69 ± 0.30.224 ± 0.012C 330.013.0 D0 1.55 ± 0.10.061 ± 0.004E 1.75 ± 0.20.069 ± 0.008E113.3 ± 0.30.524 ± 0.012F 5.5 ± 0.20.217 ± 0.008P0 4.00 ± 0.20.157 ± 0.008P18.00 ± 0.20.315 ± 0.008P2 2.00 ± 0.2 0.079 ± 0.008W 12.0 ± 0.20.472 ± 0.008W115.7 ± 2.00.618 ± 0.079Cathode band (Uni-polar only)Part marking: xxxx = Date codeyyyy- Refer to marking designator listed in Electrical Characteristics table3Technical Data 11212Effective November 2020P6SMB600 W Transient voltage suppressor /electronicsPart number Marking V RI R @ V R V BR @ I T I TV C @ I PP I PP Uni-polarBi-polarUni Bi(V)(μA)min (V)max (V)(mA)max (V)(A)P6SMB6-8A P6SMB6-8CA 6V8A 6V8C 5.8150 6.457.141010.558.1P6SMB7-5A P6SMB7-5CA 7V5A 7V5C 6.41207.137.881011.354P6SMB8-2A P6SMB8-2CA 8V2A 8V2C 7.02507.798.611012.150.4P6SMB9-1A P6SMB9-1CA 9V1A 9V1C 7.78208.659.55113.445.5P6SMB10A P6SMB10CA 10A 10C 8.55109.510.5114.542.1P6SMB11A P6SMB11CA 11A 11C 9.4510.511.6115.639.1P6SMB12A P6SMB12CA 12A 12C 10.2211.412.6116.736.5P6SMB13A P6SMB13CA 13A 13C 11.1112.413.7118.233.5P6SMB15A P6SMB15CA 15A 15C 12.8114.315.8121.228.8P6SMB16A P6SMB16CA 16A 16C 13.6115.216.8122.527.1P6SMB18A P6SMB18CA 18A 18C 15.3117.118.9125.224.2P6SMB20A P6SMB20CA 20A 20C 17.111921127.721.7P6SMB22A P6SMB22CA 22A 22C 18.8120.923.1130.619.7P6SMB24A P6SMB24CA 24A 24C 20.5122.825.2133.218.4P6SMB27A P6SMB27CA 27A 27C 23.1125.728.4137.516.3P6SMB30A P6SMB30CA 30A 30C 25.6128.531.5141.414.7P6SMB33A P6SMB33CA 33A 33C 28.2131.434.7145.713.3P6SMB36A P6SMB36CA 36A 36C 30.8134.237.8149.912.2P6SMB39A P6SMB39CA 39A 39C 33.3137.141153.911.3P6SMB43A P6SMB43CA 43A 43C 36.8140.945.2159.310.3P6SMB47A P6SMB47CA 47A 47C 40.2144.749.4164.89.4P6SMB51A P6SMB51CA 51A 51C 43.6148.553.6170.18.7P6SMB56A P6SMB56CA 56A 56C 47.8153.258.81777.9P6SMB62A P6SMB62CA 62A 62C 53158.965.11857.2P6SMB68A P6SMB68CA 68A 68C 58.1164.671.4192 6.6P6SMB75A P6SMB75CA 75A 75C 64.1171.378.81103 5.9P6SMB82A P6SMB82CA 82A 82C 70.1177.986.11113 5.4P6SMB91A P6SMB91CA 91A 91C 77.8186.595.51125 4.9P6SMB100A P6SMB100CA 100A 100C 85.51951051137 4.5P6SMB110A P6SMB110CA 110A 110C 94110511611524P6SMB120A P6SMB120CA 120A 120C 10211141261165 3.7P6SMB130A P6SMB130CA 130A 130C 11111241371179 3.4P6SMB150A P6SMB150CA 150A 150C 12811431581207 2.9P6SMB160A P6SMB160CA 160A 160C 13611521681219 2.8P6SMB170A P6SMB170CA 170A 170C 14511621791234 2.6P6SMB180A P6SMB180CA 180A 180C 15411711891246 2.5P6SMB200A P6SMB200CA 200A 200C 17111902101274 2.2P6SMB220A P6SMB220CA 220A 220C 18512092311328 1.9P6SMB250A P6SMB250CA 250A 250C 21412372631344 1.8P6SMB300A P6SMB300CA 300A 300C 25612853151414 1.5P6SMB350A P6SMB350CA 350A 350C 30013323681482 1.3P6SMB400A P6SMB400CA 400A 400C 34213804201548 1.1P6SMB440A P6SMB440CA 440A 440C 376141846216021P6SMB480A P6SMB480CA 480A 480C 408145650416580.9P6SMB510A P6SMB510CA 510A 510C 434148553516980.9P6SMB540A P6SMB540CA 540A 540C 460151356717400.8P6SMB600AP6SMB600CA600A600C512157063018280.75Electrical characteristics (+25 °C)4Technical Data 11212Effective November 2020P6SMB600 W Transient voltage suppressor/electronicsI P P M (% I R S M )t (ms)200 25 50 75 100125 150 175P P P d e r a t i n g i n p e r c e n t a g e (%)100406080T J -Initial junction temperature (°C)V- I curve characteristics (Uni-directional)V- I curve characteristics (Bi-directional)Pulse waveformPulse derating curveSurge waveform: 10/1000 μsV R : Stand-off voltage -- Maximum voltage that can be applied V BR : Breakdown voltageV C : Clamping voltage -- Peak voltage measured across the suppressor at a specified I PP I R : Reverse leakage current I T : Test currentV F : Forward voltage drop for Uni-directional TVS diode0.001 0.01 0.11.0 100.11.010010600 W at 10/1000 μs +25 °CP p p (k W )t d -Pulse width (ms)Peak pulse power dissipation vs. pulse widthRatings and V-I characteristic curves (+25 °C unless otherwise noted)EatonElectronics Division 1000 Eaton Boulevard Cleveland, OH 44122United States/electronics© 2020 EatonAll Rights Reserved Printed in USAPublication No. 11212 BU-MC20190November 2020Technical Data 11212Effective November 2020P6SMB600 W Transient voltage suppressor Life Support Policy: Eaton does not authorize the use of any of its products for use in life support devices or systems without the express writtenapproval of an officer of the Company. Life support systems are devices which support or sustain life, and whose failure to perform, when properly used in accordance with instructions for use provided in the labeling, can be reasonably expected to result in significant injury to the user.Eaton reserves the right, without notice, to change design or construction of any products and to discontinue or limit distribution of any products. Eaton also reserves the right to change or update, without notice, any technical information contained in this bulletin.Solder reflow profileT e m p e r a t u r eT LT PEaton is a registered trademark.All other trademarks are property of their respective owners.Follow us on social media to get the latest product and support information.Reference J-STD-020Profile featureStandard SnPb solderLead (Pb) free solderPreheat and soak • Temperature min. (T smin )100 °C 150 °C • Temperature max. (T smax )150 °C 200 °C • Time (T smin to T smax ) (t s )60-120 seconds 60-180 seconds Ramp up rate T L to T p 3 °C/ second max. 3 °C/ second max.Liquidous temperature (T l ) Time (t L ) maintained above T L183 °C60-150 seconds 217 °C60-150 seconds Peak package body temperature (T P )*Table 1Table 2Time (t p )* within 5 °C of the specified classification temperature (T c )20 seconds*40 seconds*Ramp-down rate (T p to T L ) 6 °C/ second max. 6 °C/ second max.Time 25 °C to peak temperature6 minutes max.8 minutes max.* Tolerance for peak profile temperature (T p ) is defined as a supplier minimum and a user maximum.Table 1 - Standard SnPb solder (T c )Package thicknessVolume mm3 <350Volume mm3 ≥350<2.5 mm 235 °C 220 °C ≥2.5 mm220 °C220 °CTable 2 - Lead (Pb) free solder (T c )Package thicknessVolume mm 3 <350Volume mm 3350 - 2000Volume mm 3 >2000<1.6 mm 260 °C 260 °C 260 °C 1.6 – 2.5 mm 260 °C 250 °C 245 °C >2.5 mm250 °C245 °C245 °C。
TVS瞬变管P6SMB10A型号详解硕凯电子(Sylvia)一、产品说明瞬态电压抑制器(TransientVoltageSuppressor)简称TVS管,TVS管的电气特性是由P-N结面积、掺杂浓度及晶片阻质决定的。
其耐突波电流的能力与其P-N结面积成正比。
TVS广泛应用于半导体及敏感器件的保护,通常用于二级电源和信号电路的保护,以及防静电等。
其特点为反应速度快(为ps级),体积小,脉冲功率较大,箝位电压低等。
其10/1000μs波脉冲功率从400W~30KW,脉冲峰值电流从0.52A~544A;击穿电压有从6.8V~550V的系列值,便于各种不同电压的电路使用。
二、物理说明三、产品UL认证编号四、贴片封装产品图五、产品应用TVS器件非常适合保护I/O接口,Vcc总线和其他应用于电信、计算机、工业和消费电子应用的易损电路。
六、环境说明七、产品印字说明八、产品电路图九、产品特性1、为表面安装应用优化电路板空间2、低泄漏3、单向和双向单元4、玻璃钝化结5、低电感6、优良的钳位能力7、600W的峰值功率能力在10×1000μ波形重复率(占空比):0.01%8、快速响应时间:从0伏特到最小击穿电压通常小于1.0ps9、典型的,在电压高于12V时,反向漏电流小于5μA10、高温焊接:终端260°C/40秒11、典型的最大温度系数△Vbr=0.1%x Vbr@25°C x△T12、塑料包装有保险商实验室可燃性94V-013、无铅镀雾锡14、无卤化,符合RoHS15、典型失效模式是在指定的电压或电流下出现16、晶须测试是基于JEDEC JESD201A每个表4a及4c进行的17、IEC-61000-4-2ESD15kV(空气),8kV(接触)18、数据线的ESD保护符合IEC61000-4-2(IEC801-2)19、数据线的EFT保护符合IEC61000-4-4(IEC801-4)。
一.什么叫TVS瞬态抑制二极管?瞬态二极管(Transient Voltage Suppressor)简称TVS,是一种二极管形式的高效能保护器件。
当TVS二极管的两极受到反向瞬态高能量冲击时,它能以10的负12次方秒量级的速度,将其两极间的高阻抗变为低阻抗,吸收高达数千瓦的浪涌功率,使两极间的电压箝位于一个预定值,有效地保护电子线路中的精密元器件,免受各种浪涌脉冲的损坏。
二.如何选用雷茂电子公司生产的TVS瞬态抑制二极管?1.首先确定被保护电路的最大直流或连续工作电压。
S的反向变位电压即工作电压(V RWM)应大于或等于被保护电路的最大工作电压。
S的最大箝位电压(V C)应低于被保护电路的最大允许安全电压(最大承受电压)。
S额定瞬态脉冲功率PM应大于被保护电路可能出现的最大瞬态浪涌功率。
在确定了最大箝位电压(V C)后,其峰值脉冲电流应大于瞬态浪涌电流。
5.双向TVS用于交流电或来自正负双向脉冲的电路。
单向TVS一般用于电路只有正向电平信号(直流电路)。
6.对于数据接口电路的保护,需必须注意选取具有合适电容C的TVS器件。
7.温度考虑。
TVS可以在-55℃~+150℃之间工作。
如果应用电路中TVS在一个变化的温度工作,由于其反向漏电流ID是随增加而增大;功耗随TVS结温增加而下降,从+25℃~+175℃,大约线性下降50%,击穿电压VBR随温度的增加按一定的系数增加。
因此,需要查阅雷茂电子相关产品资料,考虑温度变化对其特性的影响。
三.雷茂TVS瞬态二极管有哪些系列?类别封装击穿电压值(A:单向,C A:双向)功率SMAJ系列(SMA/DO-214AC)(5.0A/CA-440A/C A)400WP4SMA系列(SMA/DO-214AC) (6.8A/CA-550A/CA) 400WSMBJ系列(SMB/DO-214AA)(5.0A/CA-440A/C A)600W贴片型P6SMB系列(SMB/DO-214AA)(6.8A/CA-550A /CA)600WSMCJ系列(SMC/DO-214AB)(5.0A/CA-440A/ CA)1500W1.5SMC系列(SMC/DO-214AB)(6.8A/CA-550A/ CA)1500WSMDJ系列(SMC/DO-214AB)(5.0A/CA-220A/ CA)3000W5.0SMD系列(SMC/DO-214AB)(11A/CA-170A /CA)5000W雷茂TVS管P4KE系列(DO-204AL/DO-41)(6.8A/CA-550 A/CA)400WSA系列(DO-204AC/DO-15)(5.0A/CA-220 A/CA)500WP6KE系列(DO-204AC/DO-15)(6.8A/CA-550 A/CA)600W1.5KE系列(DO-201)(6.8A/CA-550 A/CA)1500W3KP系列(P600)(5.0A/CA-220A/ CA)3000W插件型5KP系列(P600)(5.0A/CA-250 A/CA)5000W15KPA系列(P600)(17A/CA-28 0A/CA)15000W20KPA系列(P600)(20A/CA-300A /CA)20000W30KPA系列(P600)(28A/CA-288 A/CA)30000WSAC低电容系列(DO-204AC/DO-15)(5.0A-50 A)500W/50PFLCE低电容系列(DO-201)(6.5A-28A)1500W/100PF四.雷茂TVS瞬态抑制二极管主要适用于哪些产品?雷茂TVS瞬态抑制二极管目前已广泛应用于:计算机系统、通讯设备、交/直流电源、汽车电子、电子镇流器、家用电器、仪器仪表(电度表)、RS232/422/423/485、I/O、LAN、ISDN、ADSL、USB、MP3、PDAS、GPS、CDMA、GSM、数字照相机的保护、共模/差模保护、RF 耦合/IC 驱动接收保护、电机电磁波干扰抑制、声频/视频输入、传感器/变速器、工控回路、继电器、接触器噪音的抑制等各个领域。
贴片封装瞬态抑制二极管P6SMB56CA型号硕凯电子(Sylvia)一、最大额定值Notes:1.Non-repetitive current pulse,per Fig.3and derated above TA=25°C per Fig.2.2.Mounted on5.0mm x5.0mm(0.03mm thick)Copper Pads to each terminal.3.8.3ms single half sine-wave,or equivalent square wave,Duty cycle=4pulses per minutes maximum.4.VF<3.5V for VBR<200V and VF<6.5V for VBR>201V.二、I-V曲线特性三、脉冲降额曲线四、UL认证编号五、脉冲浪涌五、产品应用说明TVS器件非常适合保护I/O接口,Vcc总线和其他应用于电信、计算机、工业和消费电子应用的易损电路。
六、电路图七、瞬态抑制二极管产品特性1、为表面安装应用优化电路板空间2、低泄漏3、单向和双向单元4、玻璃钝化结5、低电感6、优良的钳位能力7、600W的峰值功率能力在10×1000μ波形重复率(占空比):0.01%8、快速响应时间:从0伏特到最小击穿电压通常小于1.0ps9、典型的,在电压高于12V时,反向漏电流小于5μA10、高温焊接:终端260°C/40秒11、典型的最大温度系数△Vbr=0.1%x Vbr@25°C x△T12、塑料包装有保险商实验室可燃性94V-013、无铅镀雾锡14、无卤化,符合RoHS15、典型失效模式是在指定的电压或电流下出现16、晶须测试是基于JEDEC JESD201A每个表4a及4c进行的17、IEC-61000-4-2ESD15kV(空气),8kV(接触)18、数据线的ESD保护符合IEC61000-4-2(IEC801-2)19、数据线的EFT保护符合IEC61000-4-4(IEC801-4)八、瞬态抑制二极管产品图。
双向瞬态电压抑制二极管P6SMB30CA
硕凯电子(Sylvia)
一、命名方式
二、物理说明
三、产品特性
1、为表面安装应用优化电路板空间
2、低泄漏
3、单向和双向单元
4、玻璃钝化结
5、低电感
6、优良的钳位能力
7、600W的峰值功率能力在10×1000μ波形重复率(占空比):0.01%
8、快速响应时间:从0伏特到最小击穿电压通常小于1.0ps
9、典型的,在电压高于12V时,反向漏电流小于5μA
10、高温焊接:终端260°C/40秒
11、典型的最大温度系数△Vbr=0.1%x Vbr@25°C x△T
12、塑料包装有保险商实验室可燃性94V-0
13、无铅镀雾锡
14、无卤化,符合RoHS
15、典型失效模式是在指定的电压或电流下出现
16、晶须测试是基于JEDEC JESD201A每个表4a及4c进行的
17、IEC-61000-4-2ESD15kV(空气),8kV(接触)
18、数据线的ESD保护符合IEC61000-4-2(IEC801-2)
19、数据线的EFT保护符合IEC61000-4-4(IEC801-4)
四、UL认证编号
五、应用说明
TVS器件非常适合保护I/O接口,Vcc总线和其他应用于电信、计算机、工业和消费电子应用的易损电路。
六、瞬态电压抑制二极管产品图
七、产品电路图
八、最大不重复浪涌电流
九、编带说明。