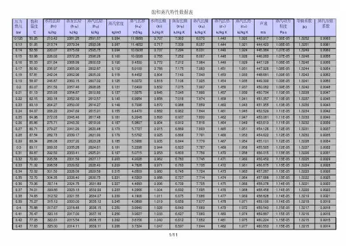
R717饱和热力性质表
- 格式:pdf
- 大小:71.95 KB
- 文档页数:2
附录:附表1:R12饱和液体及蒸汽热力性质表附表2:R13饱和液体及蒸汽热力性质表附表3:R22饱和液体及蒸汽热力性质表附表4:R134a饱和液体及蒸汽热力性质表附表5:R152a饱和液体及蒸汽热力性质表附表6:R600a饱和液体及蒸汽热力性质表附表7:R407c饱和液体及蒸汽热力性质表附表8:R123饱和液体及蒸汽热力性质表附表9:R410a饱和液体及蒸汽热力性质表附表1:R12饱和液体及蒸汽热力性质表R12饱和液体及蒸汽热力性质表温度绝对压力密度密度比焓比焓比熵比熵t pρ′ρ″h′h″s′s″℃MPa kg/m3kg/m3kJ/kg kJ/kg kJ/kg·K kJ/kg·K -1000.00118851679.10.099959113.32306.090.60771 1.721 -990.00130441676.50.10908114.14306.540.61242 1.7172 -980.00142981673.90.1189114.96306.980.61711 1.7135 -970.00156531671.30.12945115.78307.430.62178 1.7098 -960.00171171668.60.14077116.6307.880.62642 1.7062 -950.001869616660.15291117.42308.320.63105 1.7026 -940.00203971663.40.16592118.24308.770.63564 1.6992 -930.00222281660.70.17983119.06309.230.64022 1.6958 -920.00241971658.10.19471119.88309.680.64477 1.6925 -910.00263111655.50.21059120.71310.130.6493 1.6892 -900.0028581652.80.22754121.53310.590.65381 1.6861 -890.00310131650.20.24561122.36311.040.6583 1.6829 -880.00336171647.50.26485123.18311.50.66277 1.6799 -870.00364041644.90.28532124.01311.960.66722 1.6769 -860.00393831642.20.30708124.83312.410.67164 1.6739 -850.00425651639.60.33019125.66312.870.67605 1.6711 -840.00459591636.90.35471126.49313.340.68044 1.6683 -830.00495781634.30.38072127.32313.80.68481 1.6655 -820.00534321631.60.40827128.15314.260.68916 1.6628 -810.005753416290.43743128.98314.720.69349 1.6602 -800.00618961626.30.46827129.81315.190.6978 1.6576 -790.00665291623.60.50087130.64315.650.7021 1.655 -780.007144916210.53531131.47316.120.70637 1.6525 -770.00766671618.30.57164132.31316.580.71063 1.6501 -760.00821981615.60.60996133.14317.050.71487 1.6477 -750.00880561612.90.65034133.98317.520.7191 1.6454 -740.00942561610.30.69286134.81317.990.7233 1.6431 -730.010*******.60.73761135.65318.460.72749 1.6409 -720.010*******.90.78466136.49318.930.73167 1.6387 -710.0115061602.20.83411137.33319.40.73583 1.6365 -700.0122781599.50.88605138.17319.870.73997 1.6344 -690.0130921596.80.94056139.01320.340.74409 1.6323 -680.013951594.10.99774139.85320.820.7482 1.6303 -670.0148541591.4 1.0577140.69321.290.7523 1.6283 -660.0158051588.7 1.1205141.54321.760.75638 1.6264温度绝对压力密度密度比焓比焓比熵比熵t pρ′ρ″h′h″s′s″℃MPa kg/m3kg/m3kJ/kg kJ/kg kJ/kg·K kJ/kg·K -650.0168061586 1.1862142.38322.240.76044 1.6245 -640.0178581583.3 1.255143.23322.710.76449 1.6227 -630.0189621580.5 1.3269144.07323.190.76853 1.6208 -620.020*******.8 1.4021144.92323.660.77255 1.6191 -610.021*******.1 1.4807145.77324.140.77656 1.6173 -600.022*******.3 1.5627146.62324.610.78055 1.6156 -590.023*******.6 1.6483147.47325.090.78453 1.614 -580.025*******.9 1.7375148.32325.570.78849 1.6123 -570.0268191564.1 1.8306149.17326.050.79245 1.6107 -560.028*******.4 1.9276150.03326.520.79639 1.6092 -550.029*******.6 2.0285150.883270.80031 1.6076 -540.0316331555.8 2.1336151.74327.480.80422 1.6061 -530.0333841553.1 2.243152.6327.960.80812 1.6047 -520.0352131550.3 2.3567153.46328.440.81201 1.6032 -510.037121547.5 2.4749154.32328.910.81588 1.6018 -500.039111544.7 2.5978155.18329.390.81974 1.6004 -490.0411841541.9 2.7254156.04329.870.82359 1.5991 -480.0433451539.1 2.8578156.9330.350.82743 1.5978 -470.0455961536.3 2.9952157.77330.830.83126 1.5965 -460.0479391533.5 3.1378158.63331.310.83507 1.5952 -450.0503771530.7 3.2856159.5331.790.83887 1.594 -440.0529131527.9 3.4388160.37332.260.84266 1.5928 -430.0555491525.1 3.5975161.24332.740.84644 1.5916 -420.0582881522.2 3.7619162.11333.220.85021 1.5905 -410.0611331519.4 3.9321162.98333.70.85397 1.5893 -400.0640871516.5 4.1082163.86334.180.85772 1.5882 -390.0671531513.7 4.2904164.73334.650.86145 1.5872 -380.0703331510.8 4.4788165.61335.130.86518 1.5861 -370.0736311508 4.6736166.49335.610.86889 1.5851 -360.0770491505.1 4.8748167.36336.090.87259 1.5841 -350.0805911502.2 5.0828168.24336.560.87629 1.5831 -340.0842591499.3 5.2976169.13337.040.87997 1.5821 -330.0880571496.4 5.5193170.01337.520.88364 1.5812 -320.0919881493.5 5.7482170.89337.990.88731 1.5802 -310.0960551490.6 5.9843171.78338.470.89096 1.5793 -300.100261487.7 6.2279172.67338.940.89461 1.5784温度绝对压力密度密度比焓比焓比熵比熵t pρ′ρ″h′h″s′s″℃MPa kg/m3kg/m3kJ/kg kJ/kg kJ/kg·K kJ/kg·K -290.104611484.8 6.4791173.55339.410.89824 1.5776 -280.10911481.9 6.7381174.44339.890.90187 1.5767 -270.113751478.97.0049175.34340.360.90548 1.5759 -260.1185414767.2799176.23340.830.90909 1.5751 -250.1234914737.5631177.12341.30.91269 1.5743 -240.12861470.17.8548178.02341.780.91627 1.5735 -230.133881467.18.1551178.92342.250.91985 1.5728 -220.139311464.18.4641179.81342.720.92343 1.572 -210.144921461.18.7821180.71343.190.92699 1.5713 -200.15071458.19.1093181.62343.650.93054 1.5706 -190.156661455.19.4457182.52344.120.93409 1.5699 -180.162791452.19.7917183.42344.590.93763 1.5693 -170.169111449.110.147184.33345.050.94115 1.5686 -160.175621446.110.513185.24345.520.94468 1.568 -150.182********.889186.15345.980.94819 1.5673 -140.1892144011.274187.06346.440.95169 1.5667 -130.196291436.911.671187.97346.910.95519 1.5661 -120.203581433.812.078188.89347.370.95868 1.5655 -110.211081430.712.496189.81347.830.96216 1.565 -100.218781427.612.925190.72348.290.96564 1.5644 -90.22671424.513.365191.64348.740.96911 1.5638 -80.234831421.413.817192.56349.20.97257 1.5633 -70.243181418.314.281193.49349.660.97602 1.5628 -60.251761415.114.756194.41350.110.97947 1.5623 -50.26057141215.244195.34350.560.9829 1.5618 -40.26961408.815.744196.27351.010.98634 1.5613 -30.278881405.716.257197.2351.460.98976 1.5608 -20.288391402.516.782198.13351.910.99318 1.5603 -10.298141399.317.321199.06352.360.99659 1.5599 00.308151396.117.873200352.811 1.5594 10.31841392.818.438200.94353.25 1.0034 1.559 20.328911389.619.018201.88353.69 1.0068 1.5586 30.339681386.419.611202.82354.13 1.0102 1.5581 40.350711383.120.219203.76354.57 1.0136 1.5577 50.362011379.820.842204.71355.01 1.0169 1.5573 60.373581376.521.479205.65355.45 1.0203 1.5569温度绝对压力密度密度比焓比焓比熵比熵t pρ′ρ″h′h″s′s″℃MPa kg/m3kg/m3kJ/kg kJ/kg kJ/kg·K kJ/kg·K 70.385431373.222.132206.6355.88 1.0237 1.5565 80.397561369.922.8207.56356.32 1.027 1.5561 90.409971366.623.484208.51356.75 1.0304 1.5558 100.422671363.224.184209.46357.18 1.0337 1.5554 110.435661359.924.9210.42357.61 1.0371 1.555 120.448951356.525.633211.38358.03 1.0404 1.5547 130.462531353.126.383212.34358.45 1.0437 1.5544 140.476431349.727.15213.31358.88 1.0471 1.554 150.490631346.327.935214.27359.3 1.0504 1.5537 160.505141342.828.737215.24359.71 1.0537 1.5533 170.519971339.429.558216.21360.13 1.057 1.553 180.535131335.930.398217.18360.54 1.0603 1.5527 190.550611332.431.257218.16360.95 1.0636 1.5524 200.566421328.932.135219.14361.36 1.0669 1.5521 210.582561325.333.032220.12361.77 1.0702 1.5518 220.599051321.833.95221.1362.17 1.0735 1.5515 230.615871318.234.888222.08362.57 1.0768 1.5512 240.633051314.635.848223.07362.97 1.0801 1.5509 250.65057131136.828224.06363.37 1.0834 1.5506 260.668461307.437.83225.05363.76 1.0866 1.5503 270.68671303.838.855226.05364.15 1.0899 1.55 280.705311300.139.902227.04364.54 1.0932 1.5498 290.72431296.440.972228.04364.93 1.0964 1.5495 300.743651292.742.066229.04365.31 1.0997 1.5492 310.76339128943.184230.05365.69 1.103 1.5489 320.78351285.244.326231.06366.07 1.1062 1.5487 330.804011281.445.494232.07366.44 1.1095 1.5484 340.824911277.646.687233.08366.81 1.1127 1.5481 350.846211273.847.906234.1367.18 1.116 1.5478 360.867911269.949.152235.12367.54 1.1192 1.5476 370.890021266.150.426236.14367.9 1.1225 1.5473 380.912531262.251.727237.16368.26 1.1257 1.547 390.935471258.253.057238.19368.61 1.1289 1.5468 400.958821254.354.416239.22368.96 1.1322 1.5465 410.98261250.355.805240.25369.31 1.1354 1.5462 42 1.00681246.357.224241.29369.65 1.1387 1.5459温度绝对压力密度密度比焓比焓比熵比熵t pρ′ρ″h′h″s′s″℃MPa kg/m3kg/m3kJ/kg kJ/kg kJ/kg·K kJ/kg·K43 1.03151242.258.675242.33369.99 1.1419 1.545744 1.05661238.160.158243.38370.33 1.1451 1.545445 1.0821123461.673244.42370.66 1.1484 1.545146 1.10811229.963.222245.47370.98 1.1516 1.544847 1.13451225.764.806246.53371.3 1.1548 1.544648 1.16141221.566.424247.59371.62 1.158 1.544349 1.18881217.368.079248.65371.94 1.1613 1.54450 1.2166121369.771249.71372.24 1.1645 1.543751 1.24491208.771.501250.78372.55 1.1677 1.543452 1.27371204.473.27251.85372.85 1.171 1.543153 1.303120075.08252.93373.14 1.1742 1.542854 1.33271195.676.93254.01373.43 1.1774 1.542555 1.3631191.178.823255.1373.72 1.1807 1.542156 1.39381186.680.759256.18373.99 1.1839 1.541857 1.4251182.182.741257.28374.27 1.1871 1.541558 1.45681177.584.768258.38374.53 1.1904 1.541159 1.48911172.886.843259.48374.79 1.1936 1.540860 1.52191168.188.966260.58375.05 1.1969 1.540461 1.55531163.491.141261.7375.3 1.2001 1.540162 1.58921158.693.367262.81375.54 1.2033 1.539763 1.62361153.895.647263.93375.78 1.2066 1.539364 1.65861148.997.982265.06376 1.2099 1.538965 1.69411144100.37266.19376.23 1.2131 1.538566 1.73021139102.83267.33376.44 1.2164 1.538167 1.76681133.9105.34268.47376.65 1.2197 1.537768 1.80411128.8107.92269.62376.84 1.2229 1.537269 1.84191123.6110.56270.78377.04 1.2262 1.536870 1.88021118.3113.27271.94377.22 1.2295 1.536371 1.91921113116.05273.11377.39 1.2328 1.535872 1.95871107.6118.91274.28377.55 1.2361 1.535373 1.99891102.1121.84275.46377.71 1.2394 1.534874 2.03971096.6124.86276.65377.85 1.2427 1.534375 2.08111090.9127.95277.84377.99 1.2461 1.533776 2.12311085.2131.14279.05378.11 1.2494 1.533177 2.16571079.4134.41280.26378.22 1.2527 1.532578 2.2091073.5137.78281.48378.32 1.2561 1.5319温度绝对压力密度密度比焓比焓比熵比熵t pρ′ρ″h′h″s′s″℃MPa kg/m3kg/m3kJ/kg kJ/kg kJ/kg·K kJ/kg·K79 2.25291067.5141.25282.7378.41 1.2595 1.531380 2.29751061.4144.82283.94378.48 1.2629 1.530681 2.34271055.2148.51285.19378.55 1.2663 1.529982 2.38861048.8152.3286.44378.59 1.2697 1.529283 2.43521042.4156.23287.71378.63 1.2731 1.528484 2.48241035.8160.28288.99378.64 1.2766 1.527685 2.53041029.1164.46290.27378.64 1.2801 1.526886 2.5791022.2168.8291.58378.62 1.2835 1.525987 2.62841015.2173.28292.89378.59 1.2871 1.52588 2.67841008177.93294.21378.53 1.2906 1.524189 2.72931000.7182.75295.55378.45 1.2942 1.523190 2.7808993.15187.77296.91378.35 1.2978 1.52291 2.8331985.42192.98298.28378.23 1.3014 1.520992 2.8862977.48198.41299.67378.08 1.305 1.519893 2.94969.31204.08301.08377.9 1.3087 1.518694 2.9947960.89210302.5377.69 1.3125 1.517395 3.0501952.2216.21303.95377.45 1.3163 1.515996 3.1064943.23222.72305.42377.17 1.3201 1.514497 3.1634933.93229.57306.92376.85 1.324 1.512998 3.2214924.29236.8308.44376.48 1.3279 1.511299 3.2802914.25244.45309.99376.07 1.3319 1.5095 100 3.3399903.78252.58311.58375.6 1.336 1.5076附表2:R13饱和液体及蒸汽热力性质表R13饱和液体及蒸汽热力性质表温度绝对压力密度密度比焓比焓比熵比熵t pρ′ρ″h′h″s′s″℃MPa kg/m3kg/m3kJ/kg kJ/kg kJ/kg·K kJ/kg·K -1000.033241590.7 2.4603100.77258.710.55984 1.472 -990.035551587.1 2.6186101.64259.130.5648 1.4691 -980.0379861583.4 2.7848102.5259.540.56973 1.4664 -970.0405541579.7 2.9591103.36259.960.57465 1.4636 -960.0432591576.1 3.1419104.23260.370.57954 1.4609 -950.0461051572.4 3.3334105.1260.790.58441 1.4583 -940.0490991568.7 3.5339105.97261.20.58926 1.4558 -930.0522451565 3.7437106.84261.610.59409 1.4532 -920.0555491561.2 3.9631107.71262.020.5989 1.4508 -910.0590161557.5 4.1923108.58262.430.60369 1.4484 -900.0626521553.8 4.4318109.45262.850.60846 1.446 -890.0664631550 4.6817110.33263.260.61322 1.4437 -880.0704541546.3 4.9424111.21263.670.61796 1.4414 -870.0746311542.5 5.2142112.08264.080.62268 1.4392 -860.0789991538.7 5.4975112.97264.480.62738 1.437 -850.0835661534.9 5.7925113.85264.890.63206 1.4348 -840.0883371531.1 6.0996114.73265.30.63673 1.4328 -830.0933181527.3 6.4191115.62265.70.64138 1.4307 -820.0985151523.4 6.7514116.5266.110.64602 1.4287 -810.103941519.67.0968117.39266.510.65064 1.4267 -800.109581515.77.4557118.28266.920.65525 1.4248 -790.115471511.97.8283119.18267.320.65984 1.4229 -780.121615088.2151120.07267.720.66441 1.421 -770.127971504.18.6165120.97268.120.66897 1.4192 -760.13461500.19.0327121.87268.520.67352 1.4174 -750.141491496.29.4643122.77268.920.67805 1.4156 -740.148651492.39.9115123.67269.320.68257 1.4139 -730.156091488.310.375124.57269.710.68708 1.4122 -720.163811484.310.854125.48270.110.69157 1.4106 -710.171821480.311.351126.39270.50.69605 1.409 -700.180121476.311.865127.3270.90.70052 1.4074 -690.188731472.312.396128.22271.290.70498 1.4058 -680.197641468.312.946129.13271.680.70942 1.4043 -670.206881464.213.514130.05272.060.71386 1.4027 -660.216441460.114.101130.97272.450.71828 1.4013 -650.226331456.114.708131.89272.840.72269 1.3998 -640.23656145215.334132.82273.220.72709 1.3984 -630.247141447.815.981133.74273.60.73148 1.397 -620.258071443.716.648134.68273.980.73586 1.3956 -610.269371439.517.337135.61274.360.74023 1.3943 -600.281031435.318.047136.54274.740.74459 1.3929 -590.293071431.118.78137.48275.110.74894 1.3916 -580.305491426.919.536138.42275.490.75328 1.3903温度绝对压力密度密度比焓比焓比熵比熵t pρ′ρ″h′h″s′s″℃MPa kg/m3kg/m3kJ/kg kJ/kg kJ/kg·K kJ/kg·K -570.318311422.720.315139.37275.860.75762 1.3891 -560.331521418.421.117140.31276.230.76194 1.3878 -550.345151414.121.945141.26276.590.76626 1.3866 -540.359181409.822.797142.21276.960.77056 1.3854 -530.373641405.523.674143.17277.320.77486 1.3842 -520.388531401.124.578144.12277.680.77916 1.3831 -510.403861396.725.509145.09278.040.78344 1.3819 -500.419641392.326.466146.05278.40.78772 1.3808 -490.435871387.927.452147.02278.750.79199 1.3797 -480.452561383.428.467147.99279.10.79626 1.3786 -470.46972137929.51148.96279.450.80052 1.3775 -460.487361374.430.584149.94279.80.80477 1.3765 -450.505491369.931.689150.92280.140.80902 1.3754 -440.524111365.332.825151.9280.480.81326 1.3744 -430.543241360.833.993152.89280.820.8175 1.3733 -420.562871356.135.194153.88281.150.82173 1.3723 -410.583031351.536.429154.87281.480.82596 1.3713 -400.603711346.837.698155.87281.810.83018 1.3703 -390.624931342.139.003156.87282.140.8344 1.3694 -380.646691337.340.345157.88282.460.83862 1.3684 -370.669011332.541.723158.89282.780.84283 1.3674 -360.691891327.743.14159.9283.090.84704 1.3665 -350.715341322.944.596160.92283.40.85124 1.3656 -340.73936131846.093161.94283.710.85545 1.3646 -330.76398131347.631162.97284.010.85965 1.3637 -320.789191308.149.211164284.310.86385 1.3628 -310.81501130350.835165.03284.60.86805 1.3618 -300.84144129852.504166.07284.890.87225 1.3609 -290.868491292.954.218167.11285.180.87645 1.36 -280.896171287.855.98168.16285.460.88064 1.3591 -270.92451282.657.791169.21285.740.88484 1.3582 -260.953471277.359.652170.27286.010.88904 1.3573 -250.98311272.161.565171.33286.270.89323 1.3564 -24 1.01341266.763.53172.4286.530.89743 1.3555 -23 1.04441261.465.551173.48286.790.90163 1.3546 -22 1.07611255.967.628174.55287.040.90584 1.3537 -21 1.10841250.469.763175.64287.280.91004 1.3528 -20 1.14151244.971.959176.73287.520.91425 1.3519 -19 1.17531239.374.217177.82287.750.91846 1.351 -18 1.20981233.676.539178.93287.980.92268 1.3501 -17 1.2451227.978.928180.03288.190.9269 1.3492 -16 1.2811222.181.385181.15288.40.93112 1.3482 -15 1.31781216.283.914182.27288.610.93536 1.3473 -14 1.35531210.386.517183.39288.80.93959 1.3463温度绝对压力密度密度比焓比焓比熵比熵t pρ′ρ″h′h″s′s″℃MPa kg/m3kg/m3kJ/kg kJ/kg kJ/kg·K kJ/kg·K -13 1.39361204.389.196184.53288.990.94384 1.3454 -12 1.43261198.291.955185.67289.170.94809 1.3444 -11 1.4725119294.797186.82289.340.95235 1.3434 -10 1.51321185.897.725187.97289.50.95662 1.3424 -9 1.55471179.5100.74189.13289.650.9609 1.3414 -8 1.5971173.1103.85190.31289.790.96518 1.3404 -7 1.64021166.6107.06191.49289.930.96949 1.3394 -6 1.68421159.9110.37192.67290.050.9738 1.3383 -5 1.72911153.2113.79193.87290.160.97812 1.3372 -4 1.77491146.4117.32195.08290.250.98247 1.3361 -3 1.82161139.5120.96196.29290.340.98682 1.335 -2 1.86911132.4124.73197.52290.410.9912 1.3338 -1 1.91761125.3128.63198.75290.470.99559 1.33260 1.9671118132.66200290.511 1.33141 2.01741110.5136.84201.26290.54 1.0044 1.33012 2.06871102.9141.17202.53290.55 1.0089 1.32883 2.1211095.2145.66203.81290.55 1.0134 1.32754 2.17421087.3150.32205.11290.52 1.0179 1.32615 2.22851079.2155.16206.42290.48 1.0224 1.32466 2.28381070.9160.2207.74290.42 1.027 1.32327 2.34011062.5165.44209.08290.33 1.0316 1.32168 2.39741053.8170.92210.44290.22 1.0362 1.329 2.45591044.9176.63211.82290.09 1.0409 1.318310 2.51541035.7182.6213.21289.92 1.0457 1.316611 2.5761026.2188.85214.63289.73 1.0504 1.314712 2.63771016.5195.42216.07289.5 1.0553 1.312813 2.70061006.4202.33217.53289.24 1.0602 1.310814 2.7646995.94209.61219.02288.94 1.0652 1.308715 2.8299985.08217.3220.54288.59 1.0702 1.306416 2.8963973.76225.47222.09288.2 1.0754 1.30417 2.9641961.92234.16223.69287.75 1.0806 1.301418 3.033949.49243.46225.32287.24 1.086 1.298719 3.1033936.36253.46227286.66 1.0915 1.295720 3.175922.43264.28228.75285.99 1.0972 1.292521 3.248907.52276.08230.56285.22 1.1031 1.288922 3.3225891.41289.09232.45284.33 1.1092 1.28523 3.3984873.79303.61234.45283.29 1.1157 1.280624 3.476854.2320.13236.59282.06 1.1226 1.275625 3.5552831.86339.42238.92280.55 1.1301 1.269826 3.6361805.41362.87241.54278.64 1.1386 1.2626附表3:R22饱和液体及蒸汽热力性质表R22饱和液体及蒸汽热力性质表温度绝对压力密度密度比焓比焓比熵比熵t pρ′ρ″h′h″s′s″℃MPa kg/m3kg/m3kJ/kg kJ/kg kJ/kg·K kJ/kg·K -1000.00201021571.30.1209890.705358.970.50502 2.0543 -990.00220531568.70.1319891.767359.450.51113 2.0482 -980.002416315660.143892.828359.940.5172 2.0422 -970.00264431563.40.156593.889360.430.52324 2.0364 -960.00289031560.80.1701394.95360.910.52925 2.0306 -950.00315561558.10.1847396.011361.40.53522 2.0249 -940.00344121555.50.2003797.073361.890.54116 2.0194 -930.00374841552.80.2170998.134362.380.54707 2.0139 -920.00407861550.20.2349699.195362.870.55294 2.0085 -910.0044331547.50.25403100.26363.360.55878 2.0032 -900.0048131544.90.27437101.32363.850.56459 1.998 -890.00522021542.20.29603102.38364.340.57037 1.9929 -880.0056561539.60.3191103.44364.830.57612 1.9879 -870.00612191536.90.34362104.5365.330.58183 1.983 -860.00661971534.30.36968105.56365.820.58752 1.9781 -850.00715091531.60.39734106.63366.310.59318 1.9734 -840.00771741528.90.42669107.69366.80.5988 1.9687 -830.00832091526.20.45778108.75367.30.6044 1.9641 -820.00896321523.60.49071109.81367.790.60997 1.9596 -810.00964651520.90.52555110.87368.280.61551 1.9551 -800.010*******.20.56238111.94368.770.62102 1.9508 -790.0111431515.50.60129113369.270.62651 1.9465 -780.0119611512.80.64237114.06369.760.63197 1.9422 -770.0128281510.10.6857115.13370.250.6374 1.9381 -760.0137461507.40.73138116.19370.750.64281 1.934 -750.0147191504.70.77949117.25371.240.64819 1.93 -740.01574715020.83013118.32371.730.65354 1.926 -730.0168331499.30.8834119.38372.220.65887 1.9221 -720.0179811496.60.93939120.45372.720.66417 1.9183 -710.0191921493.90.99822121.51373.210.66945 1.9145 -700.020*******.2 1.06122.58373.70.67471 1.9108 -690.021*******.4 1.1248123.64374.190.67994 1.9072 -680.023*******.7 1.1927124.71374.680.68515 1.9036 -670.024******* 1.2639125.78375.170.69033 1.9001 -660.0262941480.2 1.3384126.85375.660.69549 1.8966 -650.027*******.5 1.4165127.91376.150.70063 1.8932 -640.029*******.7 1.4981128.98376.640.70575 1.8899 -630.0314971472 1.5834130.05377.130.71084 1.8866 -620.0334051469.2 1.6726131.12377.620.71592 1.8833 -610.0354071466.4 1.7657132.19378.110.72097 1.8801 -600.0375051463.7 1.8629133.27378.590.726 1.877 -590.0397021460.9 1.9643134.34379.080.73101 1.8739 -580.0420021458.1 2.07135.41379.560.73601 1.8708温度绝对压力密度密度比焓比焓比熵比熵t pρ′ρ″h′h″s′s″℃MPa kg/m3kg/m3kJ/kg kJ/kg kJ/kg·K kJ/kg·K -570.0444081455.3 2.1802136.48380.050.74098 1.8678 -560.0469241452.5 2.295137.56380.530.74593 1.8649 -550.0495531449.7 2.4145138.63381.020.75086 1.8619 -540.0522991446.9 2.5389139.71381.50.75578 1.8591 -530.0551671444.1 2.6683140.79381.980.76067 1.8562 -520.0581581441.3 2.8028141.87382.460.76555 1.8535 -510.0612781438.4 2.9426142.95382.940.77041 1.8507 -500.064531435.6 3.0879144.03383.420.77525 1.848 -490.0679191432.8 3.2387145.11383.890.78007 1.8454 -480.0714481429.9 3.3953146.19384.370.78488 1.8428 -470.0751211427 3.5578147.27384.840.78967 1.8402 -460.0789431424.2 3.7262148.36385.320.79444 1.8376 -450.0829171421.3 3.9009149.44385.790.79919 1.8351 -440.0870491418.4 4.082150.53386.260.80393 1.8327 -430.0913411415.5 4.2696151.62386.730.80866 1.8302 -420.09581412.6 4.4638152.7387.20.81336 1.8278 -410.100431409.7 4.6649153.8387.660.81806 1.8255 -400.105231406.8 4.873154.89388.130.82274 1.8231 -390.110211403.9 5.0883155.98388.590.8274 1.8208 -380.115381401 5.3109157.07389.060.83205 1.8186 -370.120731398 5.5411158.17389.520.83668 1.8163 -360.126281395.1 5.779159.27389.970.8413 1.8141 -350.132031392.1 6.0247160.37390.430.84591 1.812 -340.137971389.1 6.2786161.47390.890.8505 1.8098 -330.144131386.2 6.5407162.57391.340.85508 1.8077 -320.15051383.2 6.8113163.67391.790.85964 1.8056 -310.157081380.27.0905164.78392.240.86419 1.8036 -300.163891377.27.3785165.88392.690.86873 1.8015 -290.170921374.27.6756166.99393.140.87326 1.7995 -280.178191371.17.9819168.1393.580.87777 1.7975 -270.185691368.18.2976169.21394.030.88228 1.7956 -260.1934413658.623170.33394.470.88677 1.7937 -250.2014313628.9582171.44394.90.89125 1.7918 -240.209681358.99.3035172.56395.340.89571 1.7899 -230.218191355.89.6591173.68395.770.90017 1.788 -220.226961352.710.025174.8396.210.90462 1.7862 -210.2361349.610.402175.92396.640.90905 1.7844 -200.245311346.510.79177.04397.060.91347 1.7826 -190.254911343.411.189178.17397.490.91789 1.7808 -180.264791340.311.599179.3397.910.92229 1.7791 -170.274961337.112.021180.43398.330.92668 1.7774 -160.28543133412.455181.56398.750.93107 1.7757 -150.29621330.812.901182.7399.160.93544 1.774 -140.307281327.613.359183.83399.570.9398 1.7723温度绝对压力密度密度比焓比焓比熵比熵t pρ′ρ″h′h″s′s″℃MPa kg/m3kg/m3kJ/kg kJ/kg kJ/kg·K kJ/kg·K -130.318671324.413.83184.97399.980.94416 1.7706 -120.330381321.214.314186.11400.390.9485 1.769 -110.34242131814.811187.26400.80.95284 1.7674 -100.354791314.715.322188.4401.20.95717 1.7658 -90.367491311.515.846189.55401.60.96149 1.7642 -80.380541308.216.384190.7401.990.9658 1.7627 -70.393941304.916.937191.86402.380.9701 1.7611 -60.407691301.617.504193.01402.770.97439 1.7596 -50.42181298.318.086194.17403.160.97868 1.7581 -40.43628129518.683195.33403.550.98296 1.7566 -30.451131291.619.296196.49403.930.98723 1.7551 -20.466361288.319.924197.66404.30.99149 1.7536 -10.481981284.920.569198.83404.680.99575 1.752100.497991281.521.229200405.051 1.750710.514391278.121.907201.17405.42 1.0042 1.749220.53121274.722.602202.35405.78 1.0085 1.747830.548421271.323.314203.53406.14 1.0127 1.746440.566051267.824.044204.71406.5 1.0169 1.74550.584111264.324.792205.9406.85 1.0212 1.743660.602591260.825.559207.09407.2 1.0254 1.742270.621511257.326.345208.28407.54 1.0296 1.740980.640881253.827.15209.47407.89 1.0338 1.739590.660681250.327.975210.67408.22 1.038 1.7381100.680951246.728.82211.87408.56 1.0422 1.7368 110.701671243.129.685213.07408.89 1.0463 1.7355 120.722861239.530.572214.28409.21 1.0505 1.7341 130.744531235.931.48215.49409.53 1.0547 1.7328 140.766681232.232.41216.7409.85 1.0589 1.7315 150.789311228.633.362217.92410.16 1.063 1.7302 160.812441224.934.337219.14410.47 1.0672 1.7289 170.836071221.235.336220.36410.78 1.0714 1.7276 180.86021217.436.358221.59411.07 1.0755 1.7263 190.884851213.737.405222.82411.37 1.0797 1.725 200.910021209.938.477224.06411.66 1.0838 1.7238 210.935721206.139.575225.3411.94 1.088 1.7225 220.961951202.340.698226.54412.22 1.0921 1.7212 230.988721198.441.849227.78412.5 1.0962 1.719924 1.0161194.643.027229.04412.77 1.1004 1.718725 1.04391190.744.232230.29413.03 1.1045 1.717426 1.07241186.745.467231.55413.29 1.1086 1.716227 1.10141182.846.73232.81413.54 1.1128 1.714928 1.13091178.848.024234.08413.79 1.1169 1.713629 1.16111174.849.349235.35414.03 1.121 1.712430 1.19191170.750.705236.62414.26 1.1252 1.7111温度绝对压力密度密度比焓比焓比熵比熵t pρ′ρ″h′h″s′s″℃MPa kg/m3kg/m3kJ/kg kJ/kg kJ/kg·K kJ/kg·K31 1.22321166.752.093237.9414.49 1.1293 1.709932 1.25521162.653.515239.19414.71 1.1334 1.708633 1.28781158.454.971240.48414.93 1.1375 1.707434 1.3211154.356.461241.77415.14 1.1417 1.706135 1.35481150.157.988243.07415.34 1.1458 1.704836 1.38921145.859.551244.38415.54 1.1499 1.703637 1.42431141.661.152245.69415.72 1.1541 1.702338 1.46011137.362.792247415.91 1.1582 1.70139 1.49651132.964.472248.32416.08 1.1623 1.699840 1.53361128.566.193249.65416.25 1.1665 1.698541 1.57131124.167.956250.98416.4 1.1706 1.697242 1.60981119.669.762252.32416.55 1.1747 1.695943 1.64891115.171.614253.66416.7 1.1789 1.694644 1.68871110.673.511255.01416.83 1.183 1.693345 1.7292110675.457256.36416.95 1.1872 1.691946 1.77041101.477.451257.73417.07 1.1913 1.690647 1.81241096.779.496259.1417.18 1.1955 1.689348 1.85511091.981.593260.47417.27 1.1997 1.687949 1.89851087.183.745261.85417.36 1.2038 1.686650 1.94271082.385.952263.25417.44 1.208 1.685251 1.98761077.488.217264.64417.5 1.2122 1.683852 2.03331072.490.542266.05417.56 1.2164 1.682453 2.07981067.492.929267.46417.6 1.2206 1.68154 2.1271062.395.381268.89417.63 1.2248 1.679555 2.17511057.297.899270.32417.65 1.2291 1.678156 2.22391052100.49271.76417.66 1.2333 1.676657 2.27361046.7103.15273.21417.65 1.2376 1.675158 2.3241041.3105.88274.66417.63 1.2418 1.673659 2.37531035.9108.7276.13417.6 1.2461 1.67260 2.42751030.4111.59277.61417.55 1.2504 1.670561 2.48051024.8114.57279.1417.49 1.2547 1.668962 2.53431019.1117.64280.6417.41 1.2591 1.667263 2.58911013.3120.81282.12417.31 1.2634 1.665664 2.64471007.4124.07283.64417.2 1.2678 1.663965 2.70121001.4127.43285.18417.06 1.2722 1.662266 2.7586995.34130.9286.74416.91 1.2766 1.660467 2.8169989.13134.49288.3416.74 1.281 1.658668 2.8761982.8138.19289.88416.55 1.2855 1.656869 2.9363976.34142.02291.48416.33 1.29 1.654970 2.9974969.74145.99293.1416.09 1.2945 1.652971 3.0595962.99150.1294.73415.83 1.2991 1.65172 3.1225956.1154.36296.38415.54 1.3037 1.648973 3.1866949.03158.78298.05415.22 1.3083 1.646874 3.2516941.79163.38299.74414.87 1.313 1.6446温度绝对压力密度密度比焓比焓比熵比熵t pρ′ρ″h′h″s′s″℃MPa kg/m3kg/m3kJ/kg kJ/kg kJ/kg·K kJ/kg·K75 3.3177934.36168.16301.46414.49 1.3177 1.642476 3.3848926.72173.14303.2414.08 1.3225 1.640177 3.4529918.86178.33304.96413.62 1.3273 1.637778 3.5222910.76183.76306.76413.13 1.3322 1.635279 3.5924902.39189.44308.58412.6 1.3372 1.632680 3.6638893.74195.4310.44412.01 1.3423 1.629981 3.7363884.76201.67312.34411.38 1.3474 1.62782 3.8099875.43208.28314.27410.68 1.3526 1.624183 3.8847865.7215.26316.25409.93 1.3579 1.62184 3.9606855.52222.67318.29409.1 1.3634 1.617785 4.0378844.83230.56320.38408.19 1.369 1.614286 4.1161833.55239322.54407.18 1.3747 1.610487 4.1957821.59248.09324.77406.07 1.3807 1.606488 4.2766808.81257.94327.09404.83 1.3869 1.602189 4.3588795.06268.72329.52403.45 1.3933 1.597490 4.4423780.11280.63332.09401.87 1.4001 1.592291 4.5272763.63294334.82400.05 1.4073 1.586492 4.6136745.11309.33337.77397.92 1.4151 1.579893 4.7015723.72327.48341.04395.33 1.4237 1.57294 4.7911697.78350.19344.8392.02 1.4336 1.5622附表4:R134a饱和液体及蒸汽热力性质表R134a饱和液体及蒸汽热力性质表温度绝对压力密度密度比焓比焓比熵比熵t pρ′ρ″h′h″s′s″℃MPa kg/m3kg/m3kJ/kg kJ/kg kJ/kg·K kJ/kg·K -1000.00055941582.40.03969475.362336.850.4354 1.9456 -990.000622221579.70.04390176.547337.440.44222 1.9403 -980.000691091577.10.04848777.731338.020.449 1.9351 -970.00076651574.50.05347778.916338.610.45575 1.93 -960.000848951571.80.05890280.102339.190.46246 1.925 -950.000938991569.10.0647981.288339.780.46913 1.9201 -940.00103721566.50.07117482.474340.380.47578 1.9154 -930.00114411563.80.07808783.661340.970.48238 1.9107 -920.00126051561.20.08556384.849341.560.48896 1.9061 -910.00138691558.50.0936486.037342.160.4955 1.9016 -900.00152411555.80.1023687.226342.760.50201 1.8972 -890.00167281553.20.1117588.415343.360.50848 1.8929 -880.00183381550.50.1218689.606343.960.51493 1.8887 -870.00200791547.80.1327490.797344.560.52134 1.8846 -860.0021961545.10.1444391.989345.170.52773 1.8805 -850.0023991542.50.1569793.182345.770.53409 1.8766 -840.00261781539.80.1704294.376346.380.54041 1.8727 -830.00285351537.10.1848295.57346.990.54671 1.8689 -820.0031071534.40.2002396.766347.60.55298 1.8652 -810.00337941531.70.216797.963348.210.55923 1.8616 -800.003671915290.2342999.161348.830.56544 1.858 -790.00398561526.30.25306100.36349.440.57163 1.8546 -780.00432171523.60.27307101.56350.060.5778 1.8512 -770.00468161520.90.29438102.76350.670.58393 1.8478 -760.00506651518.20.31705103.96351.290.59004 1.8446 -750.00547771515.50.34116105.17351.910.59613 1.8414 -740.00591681512.80.36677106.37352.530.60219 1.8382 -730.00638511510.10.39395107.58353.150.60823 1.8352 -720.00688431507.30.42278108.78353.770.61424 1.8322 -710.00741581504.60.45333109.99354.40.62023 1.8293 -700.00798141501.90.48568111.2355.020.62619 1.8264 -690.00858261499.10.51991112.41355.650.63214 1.8236 -680.00922131496.40.5561113.62356.270.63806 1.8209 -670.00989921493.70.59433114.83356.90.64395 1.8182 -660.010*******.90.6347116.05357.530.64983 1.8155 -650.011381488.20.67728117.26358.160.65568 1.813 -640.0121871485.40.72218118.48358.790.66151 1.8105 -630.0130411482.60.76947119.7359.420.66732 1.808 -620.0139441479.90.81927120.92360.050.67311 1.8056 -610.0148991477.10.87167122.14360.680.67887 1.8033 -600.0159061474.30.92676123.36361.310.68462 1.801 -590.016971471.60.98465124.59361.940.69035 1.7987 -580.0180911468.8 1.0454125.81362.580.69605 1.7965。
制冷剂概述制冷剂又称制冷工质,在南方一些地区俗称雪种。
它是在制冷系统中不断循环并通过其本身的状态变化以实现制冷的工作物质。
制冷剂在蒸发器内吸收被冷却介质(水或空气等)的热量而汽化,在冷凝器中将热量传递给周围空气或水而冷凝。
它的性质直接关系到制冷装置的制冷效果、经济性、安全性及运行管理,因而对制冷剂性质要求的了解是不容忽视的。
[编辑本段]对制冷剂性质的要求(1)具有优良的热力学特性,以便能在给定的温度区域内运行时有较高的循环效率。
具体要求为:临界温度高于冷凝温度、与冷凝温度对应的饱和压力不要太高、标准沸点较低、流体比热容小、绝热指数低、单位容积制热量较大等。
(2)具有优良的热物理性能具体要求为:较高的传热系数、较低的粘度及较小的密度。
(3)具有良好的化学稳定性要求工质在高温下具有良好的化学稳定性,保证在最高工作温度下工质不发生分解。
(4)与润滑油有良好互溶性(5)安全性工质应无毒、无刺激性、无燃烧性及爆炸性。
(6)有良好的电气绝缘性(7)经济性要求工质低廉,易于获得。
(8)环保性要求工质的臭氧消耗潜能值(ODP)与全球变暖潜能值(GWP)尽可能小,以减小对大气臭氧层的破坏及引起全球气候变暖。
[编辑本段]制冷剂的一般分类根据制冷剂常温下在冷凝器中冷凝时饱和压力Pk和正常蒸发温度T0的高低,一般分为三大类:1.低压高温制冷剂冷凝压力Pk≤2~3㎏/㎝(绝对),T0>0℃如R11(CFCl3),其T0=23.7℃。
这类制冷剂适用于空调系统的离心式制冷压缩机中。
通常30℃时,Pk≤3.06 ㎏/㎝。
2.中压中温制冷剂冷凝压力Pk<20 ㎏/㎝(绝对),0℃>T0>-60℃。
如R717、R12、R22等,这类制冷剂一般用于普通单级压缩和双级压缩的活塞式制冷压缩机中。
3.高压低温制冷剂冷凝压力Pk≥20 ㎏/㎝(绝对),T0≤-70℃。
如R13(CF3Cl)、R14(CF4)、二氧化碳、乙烷、乙烯等,这类制冷剂适用于复迭式制冷装置的低温部分或-70℃以下的低温装置中。
绝压温度(h f)(h fg)(h g)(v g)(s f)(s fg)(s g)(c v)(c p)粘度(k)系数bar°C kJ/kg kJ/kg kJ/kg kg/m3m3/kg kJ/kg K kJ/kg K kJ/kg K kJ/kg K kJ/kg K m/s Pa s0.12550.25210.422381.252591.670.08411.89580.7077.3638.070 1.443 1.920443.917 1.06E-05 1.32520.9963 0.1351.05213.742379.342593.080.08711.46520.7177.3398.057 1.444 1.921444.423 1.06E-05 1.32510.9961 0.1452.56220.072375.692595.750.09410.69380.7377.2948.031 1.446 1.924445.384 1.07E-05 1.32490.9960 0.1553.98226.022372.252598.260.10010.02260.7557.2528.007 1.448 1.926446.283 1.07E-05 1.32480.9958 0.1655.33231.642368.992600.630.1069.43300.7727.2127.984 1.449 1.929447.129 1.08E-05 1.32460.9956 0.1756.60236.972365.902602.870.1128.91090.7887.1757.963 1.451 1.931447.926 1.08E-05 1.32440.9954 0.1857.81242.042362.962605.000.1188.44520.8047.1407.943 1.453 1.933448.681 1.09E-05 1.32430.9952 0.1958.97246.872360.152607.020.1258.02720.8187.1067.925 1.454 1.935449.399 1.09E-05 1.32410.9950 0.260.07251.502357.462608.950.1317.64990.8327.0757.907 1.456 1.937450.082 1.09E-05 1.32400.9948 0.2161.13255.932354.872610.800.1377.30750.8457.0457.890 1.457 1.939450.734 1.10E-05 1.32380.9947 0.2262.15260.182352.392612.570.143 6.99540.8587.0167.874 1.458 1.941451.357 1.10E-05 1.32370.9945 0.2363.13264.272350.002614.270.149 6.70960.870 6.9887.859 1.460 1.943451.955 1.10E-05 1.32360.9943 0.2464.07268.222347.692615.910.155 6.44700.882 6.9627.844 1.461 1.945452.529 1.11E-05 1.32340.9942 0.2564.98272.032345.462617.480.161 6.20480.893 6.9377.830 1.462 1.947453.081 1.11E-05 1.32330.9940 0.2665.86275.712343.302619.000.167 5.98070.904 6.9127.816 1.464 1.949453.613 1.11E-05 1.32320.9939 0.2766.71279.272341.202620.480.173 5.77270.915 6.8897.803 1.465 1.951454.126 1.12E-05 1.32310.9937 0.2867.54282.732339.172621.900.179 5.57920.925 6.8667.791 1.466 1.953454.622 1.12E-05 1.32300.9935 0.2968.34286.082337.202623.280.185 5.39860.935 6.8447.779 1.467 1.954455.101 1.12E-05 1.32280.9934 0.369.11289.332335.282624.610.191 5.22980.944 6.8237.767 1.469 1.956455.565 1.12E-05 1.32270.9932 0.3169.87292.502333.412625.910.197 5.07150.953 6.8037.756 1.470 1.958456.015 1.13E-05 1.32260.9931 0.3270.60295.582331.592627.170.203 4.92280.962 6.7837.745 1.471 1.960456.452 1.13E-05 1.32250.9929 0.3371.32298.582329.822628.400.209 4.78280.971 6.7637.735 1.472 1.961456.875 1.13E-05 1.32240.9928 0.3472.02301.502328.092629.590.215 4.65090.980 6.7457.724 1.473 1.963457.287 1.13E-05 1.32230.9926 0.3572.70304.352326.402630.750.221 4.52630.988 6.7277.714 1.474 1.964457.688 1.13E-05 1.32220.9925 0.3673.36307.142324.752631.890.227 4.40830.996 6.7097.705 1.475 1.966458.078 1.14E-05 1.32210.9923 0.3774.01309.862323.132632.990.233 4.2966 1.004 6.6927.695 1.476 1.968458.458 1.14E-05 1.32200.9922 0.3874.65312.522321.552634.070.239 4.1906 1.011 6.6757.686 1.477 1.969458.828 1.14E-05 1.32190.9921 0.3975.27315.122320.002635.120.245 4.0899 1.019 6.6597.677 1.478 1.971459.190 1.14E-05 1.32180.9919 0.475.88317.672318.482636.150.250 3.9940 1.026 6.6437.669 1.479 1.972459.543 1.15E-05 1.32170.9918 0.4176.47320.162317.002637.160.256 3.9027 1.033 6.6277.660 1.480 1.974459.887 1.15E-05 1.32160.9916 0.4277.05322.612315.542638.150.262 3.8156 1.040 6.6127.652 1.481 1.975460.224 1.15E-05 1.32150.9915 0.4377.63325.002314.112639.110.268 3.7324 1.047 6.5977.644 1.482 1.977460.553 1.15E-05 1.32150.9914绝压温度(h f)(h fg)(h g)(v g)(s f)(s fg)(s g)(c v)(c p)粘度(k)系数bar°C kJ/kg kJ/kg kJ/kg kg/m3m3/kg kJ/kg K kJ/kg K kJ/kg K kJ/kg K kJ/kg K m/s Pa s0.4478.19327.352312.702640.050.274 3.6529 1.054 6.5837.636 1.483 1.978460.875 1.15E-05 1.32140.9912 0.4578.74329.662311.322640.980.280 3.5769 1.060 6.5687.629 1.484 1.979461.190 1.15E-05 1.32130.9911 0.4679.28331.922309.972641.890.285 3.5040 1.067 6.5547.621 1.485 1.981461.499 1.16E-05 1.32120.9910 0.4779.80334.142308.642642.780.291 3.4341 1.073 6.5417.614 1.486 1.982461.801 1.16E-05 1.32110.9908 0.4880.33336.322307.332643.650.297 3.3671 1.079 6.5287.607 1.487 1.984462.097 1.16E-05 1.32100.9907 0.4980.84338.472306.042644.510.303 3.3027 1.085 6.5147.600 1.488 1.985462.387 1.16E-05 1.32100.9906 0.581.34340.582304.772645.350.309 3.2409 1.091 6.5027.593 1.489 1.986462.672 1.16E-05 1.32090.9905 0.685.95359.942293.072653.010.366 2.7324 1.145 6.3867.531 1.497 1.999465.255 1.18E-05 1.32010.9892 0.789.96376.782282.812659.60.423 2.3654 1.192 6.2877.479 1.505 2.011467.455 1.19E-05 1.31950.9880 0.893.51391.742273.632665.370.479 2.0876 1.233 6.2017.434 1.512 2.022469.370 1.20E-05 1.31890.9869 0.996.71405.242265.292670.530.535 1.8698 1.270 6.1257.394 1.519 2.033471.066 1.22E-05 1.31830.9858 199.63417.552257.632675.180.590 1.6943 1.303 6.0567.359 1.525 2.043472.587 1.23E-05 1.31780.9848 1.1102.32428.892250.532679.420.645 1.5498 1.333 5.9947.327 1.531 2.052473.965 1.23E-05 1.31730.9838 1.2104.81439.422243.892683.310.700 1.4287 1.361 5.9377.298 1.537 2.062475.225 1.24E-05 1.31680.9828 1.3107.14449.252237.662686.920.754 1.3256 1.387 5.8847.271 1.543 2.071476.384 1.25E-05 1.31640.9819 1.4109.32458.492231.772690.270.809 1.2368 1.411 5.8357.246 1.548 2.079477.457 1.26E-05 1.31600.9810 1.5111.38467.212226.192693.40.862 1.1595 1.434 5.7897.223 1.553 2.088478.455 1.27E-05 1.31560.9801 1.6113.33475.472220.872696.340.916 1.0916 1.455 5.7467.202 1.558 2.096479.388 1.27E-05 1.31520.9792 1.7115.18483.322215.792699.110.970 1.0314 1.475 5.7067.181 1.563 2.104480.264 1.28E-05 1.31480.9783 1.8116.94490.812210.922701.73 1.0230.9777 1.495 5.6687.162 1.568 2.112481.088 1.28E-05 1.31450.9775 1.9118.63497.972206.252704.22 1.0760.9294 1.513 5.6317.144 1.572 2.119481.866 1.29E-05 1.31410.9766 2120.24504.842201.742706.58 1.1290.8859 1.530 5.5977.127 1.577 2.127482.603 1.30E-05 1.31380.9758 2.1121.79511.432197.42708.83 1.1820.8463 1.547 5.5647.111 1.581 2.134483.302 1.30E-05 1.31350.9750 2.2123.28517.782193.22710.97 1.2340.8102 1.563 5.5327.095 1.585 2.141483.967 1.31E-05 1.31320.9742 2.3124.72523.902189.132713.03 1.2870.7772 1.579 5.5027.081 1.589 2.148484.601 1.31E-05 1.31290.9735 2.4126.10529.812185.192714.99 1.3390.7468 1.593 5.4737.067 1.593 2.155485.206 1.32E-05 1.31260.9727 2.5127.44535.522181.362716.88 1.3910.7188 1.608 5.4457.053 1.597 2.162485.785 1.32E-05 1.31230.9720 2.6128.74541.062177.642718.7 1.4430.6929 1.621 5.4187.040 1.601 2.169486.339 1.33E-05 1.31200.9712 2.7130.00546.432174.012720.44 1.4950.6688 1.635 5.3937.027 1.605 2.176486.871 1.33E-05 1.31170.9705 2.8131.22551.652170.482722.12 1.5470.6464 1.648 5.3687.015 1.609 2.182487.382 1.33E-05 1.31150.9698 2.9132.40556.712167.032723.75 1.5990.6254 1.660 5.3437.003 1.613 2.189487.873 1.34E-05 1.31120.9690 3133.56561.652163.672725.31 1.6510.6059 1.672 5.320 6.992 1.616 2.195488.346 1.34E-05 1.31090.9683绝压温度(h f)(h fg)(h g)(v g)(s f)(s fg)(s g)(c v)(c p)粘度(k)系数bar°C kJ/kg kJ/kg kJ/kg kg/m3m3/kg kJ/kg K kJ/kg K kJ/kg K kJ/kg K kJ/kg K m/s Pa s3.1134.68566.452160.382726.83 1.7020.5875 1.6845.2976.981 1.620 2.201488.801 1.35E-05 1.31070.9676 3.2135.77571.132157.162728.29 1.7540.5703 1.695 5.275 6.971 1.624 2.208489.241 1.35E-05 1.31040.9669 3.3136.84575.702154.012729.71 1.8050.5540 1.707 5.254 6.960 1.627 2.214489.666 1.35E-05 1.31020.9663 3.4137.88580.162150.932731.09 1.8560.5387 1.717 5.233 6.950 1.631 2.220490.076 1.36E-05 1.31000.9656 3.5138.89584.522147.912732.42 1.9070.5243 1.728 5.213 6.941 1.634 2.226490.473 1.36E-05 1.30970.9649 3.6139.88588.782144.942733.72 1.9590.5106 1.738 5.193 6.931 1.638 2.232490.857 1.36E-05 1.30950.9642 3.7140.85592.942142.032734.98 2.0100.4976 1.748 5.174 6.922 1.641 2.238491.229 1.37E-05 1.30930.9636 3.8141.80597.032139.172736.2 2.0610.4853 1.758 5.155 6.913 1.644 2.244491.589 1.37E-05 1.30910.9629 3.9142.73601.022136.372737.39 2.1120.4736 1.768 5.137 6.905 1.647 2.250491.939 1.37E-05 1.30880.9623 4143.64604.942133.612738.55 2.1620.4625 1.777 5.119 6.896 1.651 2.256492.279 1.38E-05 1.30860.9617 4.1144.54608.782130.892739.67 2.2130.4518 1.786 5.102 6.888 1.654 2.262492.608 1.38E-05 1.30840.9610 4.2145.41612.552128.222740.77 2.2640.4417 1.795 5.085 6.880 1.657 2.267492.928 1.38E-05 1.30820.9604 4.3146.27616.252125.592741.84 2.3150.4321 1.804 5.068 6.872 1.660 2.273493.240 1.39E-05 1.30800.9598 4.4147.11619.882123.012742.89 2.3650.4228 1.813 5.052 6.864 1.663 2.279493.543 1.39E-05 1.30780.9591 4.5147.94623.452120.462743.9 2.4160.4140 1.821 5.036 6.857 1.666 2.284493.837 1.39E-05 1.30760.9585 4.6148.75626.962117.942744.9 2.4660.4055 1.829 5.020 6.849 1.670 2.290494.124 1.39E-05 1.30740.9579 4.7149.55630.412115.462745.87 2.5170.3974 1.838 5.005 6.842 1.673 2.296494.404 1.40E-05 1.30720.9573 4.8150.34633.802113.022746.82 2.5670.3896 1.846 4.990 6.835 1.676 2.301494.676 1.40E-05 1.30710.9567 4.9151.11637.132110.612747.74 2.6170.3821 1.853 4.975 6.828 1.679 2.307494.941 1.40E-05 1.30690.9561 5151.87640.422108.232748.65 2.6680.3749 1.861 4.960 6.821 1.682 2.312495.200 1.41E-05 1.30670.9555 5.1152.61643.652105.892749.54 2.7180.3679 1.869 4.946 6.815 1.684 2.317495.452 1.41E-05 1.30650.9549 5.2153.35646.842103.572750.4 2.7680.3613 1.876 4.932 6.808 1.687 2.323495.698 1.41E-05 1.30630.9544 5.3154.08649.972101.282751.25 2.8180.3548 1.883 4.918 6.802 1.690 2.328495.938 1.41E-05 1.30620.9538 5.4154.79653.072099.022752.08 2.8680.3486 1.891 4.905 6.796 1.693 2.333496.173 1.42E-05 1.30600.9532 5.5155.49656.112096.782752.9 2.9180.3426 1.898 4.892 6.789 1.696 2.339496.402 1.42E-05 1.30580.9526 5.6156.19659.122094.572753.69 2.9690.3369 1.905 4.879 6.783 1.699 2.344496.626 1.42E-05 1.30560.9521 5.7156.87662.082092.392754.47 3.0190.3313 1.912 4.866 6.777 1.702 2.349496.845 1.42E-05 1.30550.9515 5.8157.54665.012090.232755.24 3.0680.3259 1.918 4.853 6.772 1.704 2.354497.059 1.43E-05 1.30530.9509 5.9158.21667.892088.092755.99 3.1180.3207 1.925 4.841 6.766 1.707 2.360497.268 1.43E-05 1.30510.9504 6158.86670.742085.982756.72 3.1680.3156 1.932 4.829 6.760 1.710 2.365497.472 1.43E-05 1.30500.9498 6.1159.51673.552083.892757.44 3.2180.3107 1.938 4.816 6.755 1.713 2.370497.672 1.43E-05 1.30480.9493 6.2160.15676.332081.822758.15 3.2680.3060 1.944 4.805 6.749 1.715 2.375497.868 1.43E-05 1.30470.9487绝压温度(h f)(h fg)(h g)(v g)(s f)(s fg)(s g)(c v)(c p)粘度(k)系数bar°C kJ/kg kJ/kg kJ/kg kg/m3m3/kg kJ/kg K kJ/kg K kJ/kg K kJ/kg K kJ/kg K m/s Pa s6.3160.78679.072079.772758.84 3.3180.3014 1.951 4.793 6.744 1.718 2.380498.059 1.44E-05 1.30450.9482 6.4161.40681.782077.742759.52 3.3680.2970 1.957 4.781 6.738 1.721 2.385498.246 1.44E-05 1.30430.9476 6.5162.02684.462075.732760.19 3.4170.2926 1.963 4.770 6.733 1.723 2.390498.430 1.44E-05 1.30420.9471 6.6162.62687.102073.742760.85 3.4670.2884 1.969 4.759 6.728 1.726 2.395498.610 1.44E-05 1.30400.9465 6.7163.22689.722071.772761.49 3.5170.2844 1.975 4.748 6.723 1.729 2.400498.785 1.44E-05 1.30390.9460 6.8163.82692.302069.822762.13 3.5660.2804 1.981 4.737 6.718 1.731 2.405498.958 1.45E-05 1.30370.9455 6.9164.40694.862067.892762.75 3.6160.2766 1.987 4.726 6.713 1.734 2.410499.127 1.45E-05 1.30360.9449 7164.98697.392065.972763.36 3.6660.2728 1.993 4.715 6.708 1.736 2.415499.292 1.45E-05 1.30350.9444 7.1165.56699.892064.072763.96 3.7150.2692 1.998 4.705 6.703 1.739 2.420499.454 1.45E-05 1.30330.9439 7.2166.12702.362062.192764.55 3.7650.2656 2.004 4.695 6.698 1.742 2.425499.613 1.45E-05 1.30320.9434 7.3166.68704.812060.322765.13 3.8140.2622 2.009 4.684 6.694 1.744 2.430499.769 1.46E-05 1.30300.9428 7.4167.24707.232058.472765.7 3.8640.2588 2.015 4.674 6.689 1.747 2.435499.922 1.46E-05 1.30290.9423 7.5167.79709.632056.632766.26 3.9130.2555 2.020 4.664 6.685 1.749 2.440500.071 1.46E-05 1.30270.9418 7.6168.33712.002054.812766.81 3.9630.2524 2.026 4.654 6.680 1.752 2.445500.218 1.46E-05 1.30260.9413 7.7168.87714.3520532767.35 4.0120.2492 2.031 4.645 6.676 1.754 2.449500.362 1.46E-05 1.30250.9408 7.8169.40716.682051.212767.89 4.0610.2462 2.036 4.635 6.671 1.757 2.454500.504 1.47E-05 1.30230.9403 7.9169.92718.982049.432768.41 4.1110.2433 2.041 4.625 6.667 1.759 2.459500.643 1.47E-05 1.30220.9398 8170.44721.262047.672768.93 4.1600.2404 2.046 4.616 6.663 1.762 2.464500.779 1.47E-05 1.30210.9393 8.1170.96723.522045.912769.43 4.2100.2376 2.052 4.607 6.658 1.764 2.469500.912 1.47E-05 1.30190.9388 8.2171.47725.762044.172769.93 4.2590.2348 2.057 4.598 6.654 1.766 2.473501.043 1.47E-05 1.30180.9383 8.3171.98727.982042.452770.43 4.3080.2321 2.062 4.588 6.650 1.769 2.478501.172 1.47E-05 1.30170.9378 8.4172.48730.182040.742770.91 4.3580.2295 2.066 4.579 6.646 1.771 2.483501.298 1.48E-05 1.30160.9373 8.5172.97732.352039.032771.39 4.4070.2269 2.071 4.571 6.642 1.774 2.488501.422 1.48E-05 1.30140.9368 8.6173.47734.512037.352771.86 4.4560.2244 2.076 4.562 6.638 1.776 2.492501.544 1.48E-05 1.30130.9363 8.7173.95736.652035.672772.32 4.5050.2220 2.081 4.553 6.634 1.778 2.497501.663 1.48E-05 1.30120.9358 8.8174.44738.7720342772.78 4.5550.2196 2.086 4.544 6.630 1.781 2.502501.780 1.48E-05 1.30110.9353 8.9174.91740.882032.352773.22 4.6040.2172 2.090 4.536 6.626 1.783 2.506501.896 1.48E-05 1.30090.9348 9175.39742.962030.72773.67 4.6530.2149 2.095 4.527 6.622 1.785 2.511502.009 1.49E-05 1.30080.9344 9.1175.86745.032029.072774.1 4.7020.2127 2.099 4.519 6.618 1.788 2.516502.120 1.49E-05 1.30070.9339 9.2176.33747.082027.452774.53 4.7510.2105 2.104 4.511 6.615 1.790 2.520502.229 1.49E-05 1.30060.9334 9.3176.79749.122025.842774.95 4.8010.2083 2.109 4.502 6.611 1.792 2.525502.336 1.49E-05 1.30050.9329 9.4177.25751.132024.242775.37 4.8500.2062 2.113 4.494 6.607 1.795 2.529502.442 1.49E-05 1.30030.9324绝压温度(h f)(h fg)(h g)(v g)(s f)(s fg)(s g)(c v)(c p)粘度(k)系数bar°C kJ/kg kJ/kg kJ/kg kg/m3m3/kg kJ/kg K kJ/kg K kJ/kg K kJ/kg K kJ/kg K m/s Pa s9.5177.70753.142022.642775.78 4.8990.2041 2.117 4.486 6.604 1.797 2.534502.545 1.49E-05 1.30020.9320 9.6178.15755.122021.062776.18 4.9480.2021 2.122 4.478 6.600 1.799 2.539502.647 1.50E-05 1.30010.9315 9.7178.60757.092019.492776.58 4.9970.2001 2.126 4.470 6.597 1.802 2.543502.747 1.50E-05 1.30000.9310 9.8179.04759.052017.932776.98 5.0460.1982 2.130 4.463 6.593 1.804 2.548502.845 1.50E-05 1.29990.9306 9.9179.48760.992016.382777.36 5.0950.1963 2.135 4.455 6.589 1.806 2.552502.941 1.50E-05 1.29980.9301 10179.92762.912014.832777.75 5.1440.1944 2.139 4.447 6.586 1.808 2.557503.036 1.50E-05 1.29970.9296 10.1180.35764.832013.32778.12 5.1940.1925 2.143 4.439 6.583 1.811 2.561503.129 1.50E-05 1.29950.9292 10.2180.78766.722011.772778.49 5.2430.1907 2.147 4.432 6.579 1.813 2.566503.220 1.51E-05 1.29940.9287 10.3181.21768.612010.252778.86 5.2920.1890 2.151 4.424 6.576 1.815 2.570503.310 1.51E-05 1.29930.9282 10.4181.63770.482008.742779.22 5.3410.1872 2.155 4.417 6.572 1.817 2.575503.399 1.51E-05 1.29920.9278 10.5182.05772.332007.242779.58 5.3900.1855 2.160 4.410 6.569 1.820 2.579503.486 1.51E-05 1.29910.9273 10.6182.46774.172005.752779.93 5.4390.1839 2.164 4.402 6.566 1.822 2.584503.571 1.51E-05 1.29900.9269 10.7182.88776.002004.272780.27 5.4880.1822 2.168 4.395 6.563 1.824 2.588503.655 1.51E-05 1.29890.9264 10.8183.29777.822002.792780.61 5.5370.1806 2.171 4.388 6.559 1.826 2.593503.737 1.51E-05 1.29880.9259 10.9183.70779.632001.322780.95 5.5860.1790 2.175 4.381 6.556 1.828 2.597503.818 1.52E-05 1.29870.9255 11184.10781.421999.862781.28 5.6350.1775 2.179 4.374 6.553 1.830 2.602503.898 1.52E-05 1.29860.9250 11.1184.50783.201998.412781.61 5.6840.1759 2.183 4.367 6.550 1.833 2.606503.976 1.52E-05 1.29850.9246 11.2184.90784.971996.972781.93 5.7330.1744 2.187 4.360 6.547 1.835 2.611504.053 1.52E-05 1.29840.9241 11.3185.30786.731995.532782.25 5.7820.1730 2.191 4.353 6.544 1.837 2.615504.129 1.52E-05 1.29830.9237 11.4185.69788.471994.12782.57 5.8310.1715 2.195 4.346 6.541 1.839 2.620504.203 1.52E-05 1.29820.9233 11.5186.08790.201992.672782.88 5.8800.1701 2.198 4.339 6.538 1.841 2.624504.276 1.52E-05 1.29810.9228 11.6186.47791.931991.262783.18 5.9290.1687 2.202 4.332 6.534 1.843 2.628504.348 1.52E-05 1.29800.9224 11.7186.86793.641989.852783.49 5.9780.1673 2.206 4.326 6.531 1.845 2.633504.419 1.53E-05 1.29790.9219 11.8187.24795.341988.452783.78 6.0270.1659 2.209 4.319 6.529 1.848 2.637504.488 1.53E-05 1.29780.9215 11.9187.62797.031987.052784.08 6.0760.1646 2.213 4.312 6.526 1.850 2.642504.556 1.53E-05 1.29770.9210 12188.00798.711985.662784.37 6.1250.1633 2.217 4.306 6.523 1.852 2.646504.623 1.53E-05 1.29760.9206 12.1188.37800.381984.282784.66 6.1740.1620 2.220 4.299 6.520 1.854 2.650504.689 1.53E-05 1.29750.9202 12.2188.74802.041982.92784.94 6.2220.1607 2.224 4.293 6.517 1.856 2.655504.754 1.53E-05 1.29740.9197 12.3189.11803.691981.532785.22 6.2710.1595 2.227 4.287 6.514 1.858 2.659504.817 1.53E-05 1.29730.9193 12.4189.48805.331980.172785.49 6.3200.1582 2.231 4.280 6.511 1.860 2.663504.880 1.54E-05 1.29720.9189 12.5189.85806.961978.812785.77 6.3690.1570 2.234 4.274 6.508 1.862 2.668504.941 1.54E-05 1.29710.9184 12.6190.21808.581977.462786.03 6.4180.1558 2.238 4.268 6.506 1.864 2.672505.002 1.54E-05 1.29700.9180绝压温度(h f)(h fg)(h g)(v g)(s f)(s fg)(s g)(c v)(c p)粘度(k)系数bar°C kJ/kg kJ/kg kJ/kg kg/m3m3/kg kJ/kg K kJ/kg K kJ/kg K kJ/kg K kJ/kg K m/s Pa s12.7190.57810.191976.112786.3 6.4670.1546 2.241 4.261 6.503 1.866 2.676505.061 1.54E-05 1.29690.9176 12.8190.93811.791974.772786.56 6.5160.1535 2.245 4.255 6.500 1.868 2.681505.120 1.54E-05 1.29680.9172 12.9191.29813.381973.442786.82 6.5650.1523 2.248 4.249 6.497 1.870 2.685505.177 1.54E-05 1.29670.9167 13191.64814.961972.112787.07 6.6140.1512 2.252 4.243 6.495 1.873 2.689505.233 1.54E-05 1.29660.9163 13.1192.00816.541970.792787.33 6.6630.1501 2.255 4.237 6.492 1.875 2.694505.289 1.54E-05 1.29660.9159 13.2192.35818.101969.472787.57 6.7120.1490 2.258 4.231 6.489 1.877 2.698505.343 1.54E-05 1.29650.9155 13.3192.70819.661968.162787.82 6.7610.1479 2.262 4.225 6.487 1.879 2.702505.396 1.55E-05 1.29640.9150 13.4193.04821.211966.862788.06 6.8090.1469 2.265 4.219 6.484 1.881 2.707505.449 1.55E-05 1.29630.9146 13.5193.39822.741965.562788.3 6.8580.1458 2.268 4.213 6.481 1.883 2.711505.501 1.55E-05 1.29620.9142 13.6193.73824.281964.262788.54 6.9070.1448 2.271 4.207 6.479 1.885 2.715505.551 1.55E-05 1.29610.9138 13.7194.07825.801962.972788.77 6.9560.1438 2.275 4.201 6.476 1.887 2.719505.601 1.55E-05 1.29600.9134 13.8194.41827.311961.6927897.0050.1428 2.278 4.196 6.473 1.889 2.724505.650 1.55E-05 1.29590.9129 13.9194.74828.821960.412789.237.0540.1418 2.281 4.190 6.471 1.891 2.728505.698 1.55E-05 1.29590.9125 14195.08830.321959.132789.457.1030.1408 2.284 4.184 6.468 1.893 2.732505.745 1.55E-05 1.29580.9121 14.1195.41831.811957.862789.677.1520.1398 2.287 4.178 6.466 1.895 2.736505.791 1.56E-05 1.29570.9117 14.2195.74833.291956.62789.897.2010.1389 2.291 4.173 6.463 1.897 2.741505.837 1.56E-05 1.29560.9113 14.3196.07834.771955.342790.17.2500.1379 2.294 4.167 6.461 1.899 2.745505.881 1.56E-05 1.29550.9109 14.4196.40836.241954.082790.327.2980.1370 2.297 4.162 6.458 1.901 2.749505.925 1.56E-05 1.29540.9105 14.5196.72837.701952.832790.537.3470.1361 2.300 4.156 6.456 1.903 2.753505.968 1.56E-05 1.29540.9100 14.6197.05839.151951.592790.747.3960.1352 2.303 4.151 6.453 1.905 2.758506.011 1.56E-05 1.29530.9096 14.7197.37840.591950.352790.947.4450.1343 2.306 4.145 6.451 1.906 2.762506.052 1.56E-05 1.29520.9092 14.8197.69842.031949.112791.147.4940.1334 2.309 4.140 6.449 1.908 2.766506.093 1.56E-05 1.29510.9088 14.9198.01843.461947.882791.347.5430.1326 2.312 4.134 6.446 1.910 2.770506.133 1.56E-05 1.29500.9084 15198.33844.891946.652791.547.5920.1317 2.315 4.129 6.444 1.912 2.775506.172 1.57E-05 1.29500.9080 15.1198.64846.311945.432791.737.6410.1309 2.318 4.123 6.441 1.914 2.779506.210 1.57E-05 1.29490.9076 15.2198.96847.721944.212791.937.6900.1300 2.321 4.118 6.439 1.916 2.783506.248 1.57E-05 1.29480.9072 15.3199.27849.1219432792.127.7390.1292 2.324 4.113 6.437 1.918 2.787506.285 1.57E-05 1.29470.9068 15.4199.58850.521941.792792.37.7870.1284 2.327 4.108 6.434 1.920 2.791506.321 1.57E-05 1.29460.9064 15.5199.89851.911940.582792.497.8360.1276 2.330 4.102 6.432 1.922 2.796506.357 1.57E-05 1.29460.9060 15.6200.20853.291939.382792.677.8850.1268 2.333 4.097 6.430 1.924 2.800506.392 1.57E-05 1.29450.9056 15.7200.50854.671938.182792.857.9340.1260 2.336 4.092 6.428 1.926 2.804506.426 1.57E-05 1.29440.9052 15.8200.81856.041936.992793.037.9830.1253 2.338 4.087 6.425 1.928 2.808506.459 1.57E-05 1.29430.9048绝压温度(h f)(h fg)(h g)(v g)(s f)(s fg)(s g)(c v)(c p)粘度(k)系数bar°C kJ/kg kJ/kg kJ/kg kg/m3m3/kg kJ/kg K kJ/kg K kJ/kg K kJ/kg K kJ/kg K m/s Pa s15.9201.11857.411935.82793.218.0320.1245 2.341 4.082 6.423 1.930 2.812506.492 1.58E-05 1.29430.9044 16201.41858.771934.612793.388.0810.1237 2.344 4.077 6.421 1.931 2.816506.524 1.58E-05 1.29420.9040 16.1201.71860.121933.432793.558.1300.1230 2.347 4.072 6.419 1.933 2.821506.556 1.58E-05 1.29410.9036 16.2202.01861.471932.252793.728.1790.1223 2.350 4.067 6.416 1.935 2.825506.587 1.58E-05 1.29400.9032 16.3202.31862.811931.082793.898.2280.1215 2.353 4.062 6.414 1.937 2.829506.617 1.58E-05 1.29400.9028 16.4202.60864.141929.912794.058.2770.1208 2.355 4.057 6.412 1.939 2.833506.647 1.58E-05 1.29390.9024 16.5202.90865.471928.742794.228.3260.1201 2.358 4.052 6.410 1.941 2.837506.676 1.58E-05 1.29380.9020 16.6203.19866.801927.582794.388.3750.1194 2.361 4.047 6.408 1.943 2.841506.704 1.58E-05 1.29370.9017 16.7203.48868.111926.422794.548.4230.1187 2.364 4.042 6.405 1.945 2.846506.732 1.58E-05 1.29370.9013 16.8203.77869.421925.272794.698.4720.1180 2.366 4.037 6.403 1.947 2.850506.759 1.58E-05 1.29360.9009 16.9204.06870.731924.122794.858.5210.1174 2.369 4.032 6.401 1.948 2.854506.786 1.59E-05 1.29350.9005 17204.35872.031922.9727958.5700.1167 2.372 4.027 6.399 1.950 2.858506.812 1.59E-05 1.29350.9001 17.1204.63873.331921.822795.158.6190.1160 2.374 4.022 6.397 1.952 2.862506.837 1.59E-05 1.29340.8997 17.2204.92874.621920.682795.38.6680.1154 2.377 4.018 6.395 1.954 2.866506.862 1.59E-05 1.29330.8993 17.3205.20875.901919.552795.458.7170.1147 2.380 4.013 6.393 1.956 2.870506.886 1.59E-05 1.29330.8989 17.4205.48877.181918.412795.598.7660.1141 2.382 4.008 6.391 1.958 2.875506.910 1.59E-05 1.29320.8986 17.5205.76878.451917.282795.738.8150.1134 2.385 4.003 6.388 1.959 2.879506.933 1.59E-05 1.29310.8982 17.6206.04879.721916.162795.888.8640.1128 2.388 3.999 6.386 1.961 2.883506.956 1.59E-05 1.29310.8978 17.7206.32880.981915.032796.028.9130.1122 2.390 3.994 6.384 1.963 2.887506.978 1.59E-05 1.29300.8974 17.8206.60882.241913.912796.158.9620.1116 2.393 3.989 6.382 1.965 2.891507.000 1.59E-05 1.29290.8970 17.9206.88883.501912.792796.299.0110.1110 2.395 3.985 6.380 1.967 2.895507.021 1.60E-05 1.29290.8966 18207.15884.741911.682796.429.0600.1104 2.398 3.980 6.378 1.969 2.899507.041 1.60E-05 1.29280.8963 18.1207.43885.991910.572796.559.1090.1098 2.401 3.976 6.376 1.970 2.903507.061 1.60E-05 1.29270.8959 18.2207.70887.221909.462796.689.1580.1092 2.403 3.971 6.374 1.972 2.907507.081 1.60E-05 1.29270.8955 18.3207.97888.461908.362796.819.2070.1086 2.406 3.966 6.372 1.974 2.911507.100 1.60E-05 1.29260.8951 18.4208.24889.691907.262796.949.2560.1080 2.408 3.962 6.370 1.976 2.916507.118 1.60E-05 1.29250.8947 18.5208.51890.911906.162797.079.3050.1075 2.411 3.957 6.368 1.978 2.920507.136 1.60E-05 1.29250.8944 18.6208.78892.131905.062797.199.3540.1069 2.413 3.953 6.366 1.979 2.924507.154 1.60E-05 1.29240.8940 18.7209.04893.341903.972797.319.4030.1063 2.416 3.949 6.364 1.981 2.928507.171 1.60E-05 1.29230.8936 18.8209.31894.551902.882797.439.4520.1058 2.418 3.944 6.362 1.983 2.932507.187 1.60E-05 1.29230.8932 18.9209.57895.761901.792797.559.5010.1052 2.421 3.940 6.360 1.985 2.936507.203 1.60E-05 1.29220.8929 19209.84896.961900.712797.679.5500.1047 2.423 3.935 6.358 1.987 2.940507.219 1.61E-05 1.29220.8925绝压温度(h f)(h fg)(h g)(v g)(s f)(s fg)(s g)(c v)(c p)粘度(k)系数bar°C kJ/kg kJ/kg kJ/kg kg/m3m3/kg kJ/kg K kJ/kg K kJ/kg K kJ/kg K kJ/kg K m/s Pa s19.1210.10898.151899.632797.789.5990.1042 2.426 3.931 6.357 1.988 2.944507.234 1.61E-05 1.29210.8921 19.2210.36899.341898.552797.99.6490.1036 2.428 3.927 6.355 1.990 2.948507.249 1.61E-05 1.29200.8917 19.3210.62900.531897.482798.019.6980.1031 2.430 3.922 6.353 1.992 2.952507.263 1.61E-05 1.29200.8914 19.4210.88901.711896.412798.129.7470.1026 2.433 3.918 6.351 1.994 2.956507.277 1.61E-05 1.29190.8910 19.5211.14902.891895.342798.239.7960.1021 2.435 3.914 6.349 1.995 2.960507.290 1.61E-05 1.29180.8906 19.6211.40904.071894.272798.349.8450.1016 2.438 3.909 6.347 1.997 2.965507.303 1.61E-05 1.29180.8903 19.7211.65905.241893.212798.449.8940.1011 2.440 3.905 6.345 1.999 2.969507.316 1.61E-05 1.29170.8899 19.8211.91906.401892.152798.559.9430.1006 2.442 3.901 6.343 2.001 2.973507.328 1.61E-05 1.29170.8895 19.9212.16907.561891.092798.659.9920.1001 2.445 3.897 6.341 2.002 2.977507.339 1.61E-05 1.29160.8892 20212.42908.721890.032798.7510.0410.0996 2.447 3.892 6.340 2.004 2.981507.350 1.61E-05 1.29160.8888 20.5213.67914.451884.82799.2410.2870.0972 2.459 3.872 6.331 2.013 3.001507.400 1.62E-05 1.29130.8870 21214.90920.071879.622799.6910.5330.0949 2.470 3.851 6.322 2.022 3.021507.439 1.62E-05 1.29100.8851 21.5216.10925.611874.512800.1110.7790.0928 2.481 3.831 6.313 2.030 3.041507.469 1.63E-05 1.29070.8833 22217.29931.051869.452800.511.0250.0907 2.492 3.812 6.304 2.039 3.062507.490 1.63E-05 1.29050.8816 22.5218.45936.411864.462800.8611.2720.0887 2.503 3.793 6.296 2.047 3.082507.503 1.64E-05 1.29020.8798 23219.60941.681859.512801.1911.5190.0868 2.514 3.774 6.288 2.055 3.102507.507 1.64E-05 1.29000.8780 23.5220.72946.871854.622801.4911.7660.0850 2.524 3.755 6.280 2.064 3.122507.502 1.64E-05 1.28980.8763 24221.83951.991849.772801.7712.0130.0832 2.534 3.737 6.272 2.072 3.142507.491 1.65E-05 1.28950.8746 24.5222.92957.041844.982802.0112.2600.0816 2.545 3.719 6.264 2.080 3.162507.472 1.65E-05 1.28930.8728 25223.99962.011840.232802.2412.5080.0799 2.554 3.702 6.256 2.088 3.182507.446 1.66E-05 1.28910.8711 25.5225.05966.911835.532802.4412.7560.0784 2.564 3.684 6.249 2.096 3.202507.413 1.66E-05 1.28890.8694 26226.09971.751830.872802.6213.0040.0769 2.574 3.667 6.241 2.104 3.222507.373 1.66E-05 1.28870.8677 26.5227.11976.521826.252802.7713.2530.0755 2.583 3.651 6.234 2.112 3.242507.328 1.67E-05 1.28850.8661 27228.12981.241821.672802.913.5020.0741 2.592 3.634 6.227 2.120 3.262507.276 1.67E-05 1.28840.8644 27.5229.11985.891817.132803.0213.7510.0727 2.602 3.618 6.220 2.128 3.282507.218 1.67E-05 1.28820.8627 28230.10990.481812.632803.1114.0000.0714 2.611 3.602 6.213 2.136 3.301507.155 1.68E-05 1.28800.8611 28.5231.06995.021808.162803.1814.2500.0702 2.620 3.586 6.206 2.143 3.321507.086 1.68E-05 1.28790.8595 29232.02999.511803.732803.2414.5000.0690 2.628 3.571 6.199 2.151 3.341507.013 1.68E-05 1.28770.8578 29.5232.961003.941799.332803.2814.7500.0678 2.637 3.555 6.192 2.159 3.361506.934 1.69E-05 1.28760.8562 30233.891008.321794.972803.315.0010.0667 2.645 3.540 6.186 2.166 3.381506.850 1.69E-05 1.28750.8546 30.5234.811012.661790.642803.315.2520.0656 2.654 3.525 6.179 2.174 3.401506.761 1.69E-05 1.28740.8530 31235.721016.941786.342803.2815.5040.0645 2.662 3.510 6.173 2.181 3.421506.668 1.70E-05 1.28720.8514绝压温度(h f)(h fg)(h g)(v g)(s f)(s fg)(s g)(c v)(c p)粘度(k)系数bar°C kJ/kg kJ/kg kJ/kg kg/m3m3/kg kJ/kg K kJ/kg K kJ/kg K kJ/kg K kJ/kg K m/s Pa s31.5236.611021.181782.072803.2515.7550.0635 2.670 3.496 6.166 2.189 3.441506.570 1.70E-05 1.28710.8498 32237.501025.381777.832803.2116.0070.0625 2.679 3.482 6.160 2.196 3.461506.468 1.70E-05 1.28700.8482 32.5238.371029.531773.622803.1516.2600.0615 2.687 3.467 6.154 2.204 3.481506.362 1.71E-05 1.28690.8467 33239.241033.641769.442803.0716.5130.0606 2.694 3.453 6.148 2.211 3.501506.252 1.71E-05 1.28690.8451 33.5240.091037.701765.282802.9816.7660.0596 2.702 3.439 6.142 2.218 3.521506.138 1.71E-05 1.28680.8435 34240.941041.731761.152802.8817.0190.0588 2.710 3.426 6.136 2.226 3.541506.020 1.72E-05 1.28670.8420 34.5241.771045.711757.042802.7617.2730.0579 2.718 3.412 6.130 2.233 3.561505.898 1.72E-05 1.28670.8405 35242.601049.661752.962802.6317.5270.0571 2.725 3.399 6.124 2.240 3.581505.773 1.72E-05 1.28660.8389 35.5243.411053.581748.912802.4817.7820.0562 2.733 3.386 6.118 2.247 3.601505.644 1.72E-05 1.28660.8374 36244.221057.451744.872802.3318.0370.0554 2.740 3.373 6.113 2.254 3.621505.511 1.73E-05 1.28650.8359 36.5245.021061.291740.862802.1618.2930.0547 2.747 3.360 6.107 2.261 3.641505.376 1.73E-05 1.28650.8344 37245.811065.101736.882801.9818.5480.0539 2.754 3.347 6.101 2.268 3.661505.237 1.73E-05 1.28650.8329 37.5246.591068.871732.912801.7818.8050.0532 2.762 3.334 6.096 2.275 3.682505.094 1.74E-05 1.28650.8314 38247.371072.611728.972801.5819.0610.0525 2.769 3.322 6.090 2.282 3.702504.949 1.74E-05 1.28650.8299 38.5248.141076.321725.052801.3619.3180.0518 2.776 3.309 6.085 2.289 3.722504.801 1.74E-05 1.28650.8284 39248.901079.991721.142801.1419.5760.0511 2.783 3.297 6.080 2.296 3.742504.650 1.75E-05 1.28650.8269 39.5249.651083.641717.262800.919.8340.0504 2.789 3.285 6.074 2.303 3.763504.496 1.75E-05 1.28650.8254 40250.391087.261713.392800.6520.0920.0498 2.796 3.273 6.069 2.310 3.783504.339 1.75E-05 1.28650.8239 40.5251.131090.841709.552800.3920.3510.0491 2.803 3.261 6.064 2.317 3.804504.179 1.75E-05 1.28650.8225 41251.861094.401705.722800.1220.6100.0485 2.810 3.249 6.059 2.323 3.824504.017 1.76E-05 1.28660.8210 41.2252.151095.821704.22800.0120.7140.0483 2.812 3.244 6.057 2.326 3.832503.951 1.76E-05 1.28660.8204 41.25252.221096.171703.822799.9920.7400.0482 2.813 3.243 6.056 2.327 3.834503.935 1.76E-05 1.28660.8203 41.3252.301096.521703.432799.9620.7660.0482 2.814 3.242 6.056 2.328 3.836503.918 1.76E-05 1.28660.8201 41.35252.371096.881703.052799.9320.7920.0481 2.814 3.241 6.055 2.328 3.838503.902 1.76E-05 1.28660.8200 41.5252.581097.931701.912799.8520.8700.0479 2.816 3.237 6.053 2.330 3.844503.852 1.76E-05 1.28660.8195 42253.301101.441698.122799.5621.1300.0473 2.823 3.226 6.048 2.337 3.865503.684 1.76E-05 1.28670.8181 42.5254.011104.911694.352799.2621.3900.0468 2.829 3.214 6.043 2.344 3.886503.514 1.76E-05 1.28670.8166 43254.721108.361690.592798.9521.6510.0462 2.836 3.203 6.038 2.350 3.906503.342 1.77E-05 1.28680.8152 43.5255.421111.791686.852798.6421.9130.0456 2.842 3.191 6.033 2.357 3.927503.167 1.77E-05 1.28690.8138 44256.111115.191683.122798.3122.1750.0451 2.848 3.180 6.029 2.364 3.948502.990 1.77E-05 1.28700.8123 44.5256.791118.571679.412797.9822.4370.0446 2.855 3.169 6.024 2.370 3.968502.810 1.78E-05 1.28710.8109 45257.471121.921675.722797.6422.7000.0441 2.861 3.158 6.019 2.377 3.989502.629 1.78E-05 1.28720.8095。
制冷剂氨(R717)与氟利昂(R22)应用中的比较制冷剂又称制冷工质,是制冷循环的工作介质,利用制冷剂的相变来传递热量,既制冷剂在蒸发器中汽化时吸热,在冷凝器中凝结时放热。
当前能用作制冷剂的物质有80多种,最常用的是氨、氟里昂类、水和少数碳氢化合物等。
1987年9月在加拿大的蒙特利尔室召开了专门性的国际会议,并签署了《关于消耗臭氧层的蒙特利尔协议书》,于1989年1月1日起生效,对氟里昂在的R11、R12、R113、R114、R115、R502及R22等CFC类的生产进行限制。
1990年6月在伦敦召开了该议定书缔约国的第二次会议,增加了对全部CFC、四氯化碳(CCL4)和甲基氯仿(C2H3CL3)生产的限制,要求缔约国中的发达国家在2000年完全停止生产以上物质,发展中国家可推迟到2010年。
另外对过渡性物质HCFC提出了2020年后的控制日程表。
HCFC中的R123和R134a是R12和R22的替代品。
氨(NH3)被认为是一种效率最高的天然制冷剂。
它是一种今天仍在使用的“原始”制冷剂,价格低廉,对大气臭氧层无破坏作用,故目前仍被广泛采用。
氟利昂(R22)对大气臭氧层有轻微破坏作用,并产生温室效应。
它是第二批被列入限用与禁用的制冷剂之一。
我国将在2040年1月1日起禁止生产和使用。
R22没有直接的替代物。
不同制冷剂将替代R22的不同应用需要。
一、制冷剂效率在制冷剂的所有性质中,效率最让人误解和滥用。
对多数人来说,效率即“为了得到一个固定的制冷量,我提供了多少能量或者是我花了多少钱?”。
COP=可用制冷效果/外部能量输入系统效率越高,获得同样制冷量所需的能量越少。
问题是效率是系统而非制冷剂的性质!制冷系统的效率由许多因素决定,其中许多和制冷剂无关。
这些因素包括电机效率、压缩机效率(全负荷和部分负荷)、换热器设计、材料选择和运行工况等。
制冷剂对系统效率当然也会产生多方面的影响,包括流动性质(被泵送的容易程度)、换热性质、音速及其他。
专题一液氨制冷库环境风险评价拟建工程的冷库使用液氨进行制冷,液氨属于危险化学品,储存过程中存在环境风险。
1、氨的性质简介氨,制冷剂代号R717,是一种理想的制冷工质,具有良好的热力学性质。
在限制和禁止使用CFC物质的形势下,氨由于对臭氧层无破坏作用,使用较广泛。
氨(NH3)为无色、有剌激性辛辣味恶臭的气体,分子量17.03。
比重0.597。
沸点―33.33℃。
溶点―77.7℃。
爆炸极限为15.7%~27%(容积)。
急性毒性:LD50350mg/kg(大鼠经口);LC501390mg/m3,4小时,(大鼠吸入)。
氨在常温下加压易液化,称为液氨,接触液氨可引起严重冻伤。
与水形成氨水(NH3+H2O=NH3·H2O),呈弱碱性。
氨水极不稳定,遇热后分解,1%水溶液PH 值为11.7。
浓氨水含氨28%~29%。
氨在常态下呈气体,比空气轻,易逸出,具有强烈的刺激性和腐蚀性,故易造成急性中毒和灼伤。
液氨毒理性质见表1。
表1 液氨特性一览表2、风险识别本项目所用制冷剂氨不属于剧毒物质和一般毒物(属低毒类);氨属火灾、爆炸危险物质;根据重大危险源辩识(GB18218-2000)中规定,项目全部冷库使用氨的数量约10t,不超过临界量,不构成重大危险源。
制冷是一个封闭的系统,制冷工质在系统中藉助压缩机械能输送流动,完成制冷循环。
对照《爆炸和火灾危险环境电力装置设计规范》(GB50058-92)规范标准,氨制冷系统属于第二级释放源,制冷装置在正常运行时不会释放易燃物质;即使释放也是在压缩机、氨泵的轴封处和阀门、法蓝、管件接头等密封处偶尔的、短时的发生。
第二级释放源存在的区域,可划为2区。
2区的概念是在正常运行时不可能出现爆炸性气体混合物的环境。
正常运行是指正常的开车、运转、停车,易燃物质产品的装卸,密闭容器盖的开闭,安全阀、排放阀、以及所有工厂设备都在其设计参数范围内工作的状态。
但规范第2.2.5条又说:“当通风良好时,应降低爆炸危险区域等级”;规范第2.2.2条还同时规定:“易燃物质可能出现的最高浓度不超过爆炸下限的10%”,可划为非爆炸危险区。