2012级数理统计课程设计题目(最终)
- 格式:doc
- 大小:58.50 KB
- 文档页数:3
哈工大 2012年秋季学期概率论与数理统计 试题一、填空题(每小题3分,共5小题,满分15分)1.设事件A 、B 相互独立,事件B 、C 互不相容,事件A 与C 不能同时发生,且()()0.5P A P B ==,()0.2P C =,则事件A ,B 和C 中仅C 发生或仅C 不发生的概率为__________ .2.设随机变量X 服从参数为2的指数分布, 则21e X Y-=-的概率密度为()Y f y =______ ____.3.设随机变量X 的概率密度为21e ,0()20, 0xx x f x x -⎧>⎪=⎨⎪≤⎩,利用契比雪夫不等式估计概率≥<<)51(X P ______.4.已知铝的概率密度2~(,)X N μσ,测量了9次,得 2.705x =,0.029s =,在置信度0.95下,μ的置信区间为______ ____.5.设二维随机变量(,)X Y 服从区域{(,)|01,02}G x y x y =≤≤≤≤上的均匀分布,令),min(Y X Z =,),max(Y X W =, 则)1(≥+W Z P = .(0.0250.050.050.025(8)23060,(8)18595,(9) 1.8331,(9) 2.2622t t t t =⋅=⋅==()1.960.975Φ=,()1.6450.95Φ=)二、选择题(每小题3分,共5小题,满分15分)(每小题给出的四个选项中,只有一个是符合题目要求的,把所选项的字母填在题后的括号内)1.设0()1, 0()1, ()()P A P B P B A P B <<<<=,则与上式不等价的是(A )A 与B 不相容. (B )()()P B A P B A =.(C ))()(A P B A P =. (D ))()(A P B A P =. 【 】2.设总体X 服从参数为λ的泊松分布,12,,,n X X X 是来自X 的样本,X 为样本均值,则 (A )1EX λ=,21DX n λ=. (B ),λ=X E n X D λ=. (C ),nX E λ=2n X D λ=. (D ),λ=X E λn X D 1=. 【 】 3.设随机变量X 的概率密度为2, 01()0, x x f x <<⎧=⎨⎩其他,则)2(DX EX X P ≥-等于(A)99-. (B)69+. (C )928-6. (D)69-. 【 】 4.如下四个函数,能作为随机变量X 概率密度函数的是(A )⎪⎩⎪⎨⎧≤>+=0,00,11)(2x x x x f . (B )0,157(),1116160, 1x f x x x x <-⎧⎪⎪=+-≤<⎨⎪≥⎪⎩.(C )1()e ,.2xf x x -=∈R . (D )1e ,0()0,0x x f x x -⎧->=⎨≤⎩ . 【 】5.设12,,,n X X X 为来自总体2~(,)X N μσ的一个样本,统计量2)(1μ-=X Sn Y 其中X 为样本均值,2S 为样本方差,则 【 】 (A )2~(1)Y x n -(B )~(1)Y t n -(C )~(1,1)Y F n - (D )~(1,1)Y F n -.三、(8分)假设某段时间内来到百货公司的顾客数服从参数为λ的Poisson 分布,而在百货公司里每个顾客购买电视机的概率均为p ,且顾客之间是否购买电视机相互独立,试求=A “该段时间内百货公司售出k 台电视机”的概率(假设每顾客至多购买一台电视机)。
一:题目8.高考单科成绩与公共基础课、专业基础课、专业选修成绩的相关性分析;公共基础课、专业基础课、专业选修课的分类在辅导员处查找。
二:题目分析依照题意,咱们要分析高科单科成绩与公共基础课、专业基础课、专业选修成绩的相关性,就需找一个统计量,它能反映出它们之间的相关程度。
假设高考单科成绩:语文,数学,英语,综合和公共基础课,专业基础课和专业选修课均是持续型变量,而且它们各自的散布是某个散布族中的一个。
而关于持续性的变量,最经常使用的是描述变量间取值线性相关的样本Pearson 相关系数。
设变量,x y 的样本量为n 的观测值为11(,),(,)n n x y x y …,,那么样本Pearson 相关系数(coefficient of correlation )为()()(,)niix x y y r r x y --==∑且r 介于-1与1之间,r 的绝对值越大,表示x ,y 取值间的线性联系越强。
三:变量说明x1: 高考语文成绩x2: 高考数学成绩x3: 高考英语成绩x4: 高考综合成绩y1:所有公共基础课总成绩y2: 所有专业基础课总成绩y3: 所有专业选修课总成绩Ex: 观测值x(x1,x2,x3,x4)的均值Ey: 观测值y(y1,y2,y3)的均值cov: 观测值x与y之间的协方差r为相关系数矩阵且r(j,k)为xj与yk之间的相关系数(j=1,2,3,4;k=1,2,3)四:缺失值处置对数据缺失特点的描述,最重要的是要考察数据的缺失值机制。
数据的缺失值机制包括三种:完全随机缺失(Missing Completely At Random, MCAR)、随机缺失(Missing At Random, MAR)与非随机缺失(Not Missing At Random, NMAR)。
若是数据缺失的概率既不依托于观测值也不依托于缺失值,那么数据缺失状态属于MCAR;若是数据缺失的概率仅仅依托于观测值,那么数据缺失状态属于MAR;而若是数据缺失的概率既依托于观测值又依托于缺失值,那么数据缺失状态属于NMAR,这种缺失状态又被称为不可轻忽缺失。
浙江省2012年1月高等教育自学考试概率论与数理统计(经管类)试题课程代码:04183一、单项选择题(本大题共10小题,每小题2分,共20分)在每小题列出的四个备选项中只有一个是符合题目要求的,请将其代码填写在题后的括号内。
错选、多选或未选均无分。
1.已知P(A)=0.75, P(B)=0.25, 则事件A与B的关系是( )A.互相独立B.互逆C.A BD.不能确定2.对于任意二事件A、B, 有P(A-B)=( )A.P(A)-P(B)B.P(A)-P(B) + P(AB)C.P(A)-P(AB)D.P(A) + P(B)-P(A B)3.设每次试验成功率为p(0<p<1),则在3次重复试验中至少成功一次的概率为( )A.(1-p)3B.1-p3C.1-(1-p)3D.(1-p)3+p(1-p)2+p2(1-p)4.设x1与x2为取自总体X的简单随机样本, T=23x1+kx2. 若T是E(X)的无偏估计, 则k等于( )A.19B.13C.12D.15.已知随机变量X服从区间(1, a)上的均匀分布, 若概率P{X<2a3}=12, 则a 等于( )A.2B.3C.4D.56.设两个随机变量X与Y相互独立且同分布:P(X =-1) = P(Y =-1) =0.5, P(X =1) = P(Y =1) =0.5,则下列各式中成立的是( )A.P(X =Y) = 0.5B.P(X =Y) = 1C.P(X +Y = 0) = 0.25D.P(XY = 1) = 0.257.设随机变量X服从正态分布N(μ,σ2), 则随着σ增大, 概率P{|X-μ|<σ}( )04183# 概率论与数理统计(经管类)试题第1 页(共4 页)04183# 概率论与数理统计(经管类)试题 第 2 页(共 4 页)A.增减不定B.单调增大C.单调减少D.保持不变8.设随机变量X 和Y 都服从标准正态分布, 则必有 ( ) A.X 2 和 Y 2都服从χ2分布 B.X + Y 服从正态分布 C.X 2 + Y 2服从χ2分布D.X 2/ Y 2服从F 分布9.对于任意两个随机变量X 和Y , 若E(XY) = E(X) E(Y), 则 ( ) A.D(XY) = D(X)D(Y) B.D(X + Y) = D(X)+D(Y) C.X 和Y 独立D.X 和Y 不独立10.设随机变量X 服从正态分布N(0,1), 对给定的α(0<α<1), 数u α满足P{X >u α}=α.若P{|X| <x} =α, 则x 等于( ) A.2u αB.12uα-C.12u α-D.12u α-二、填空题(本大题共15小题,每小题2分,共30分) 请在每小题的空格中填上正确答案。
课设要求:1. 用R语言编写程序.2. 理论方法先写出来,并附上程序. 程序中用注释详细的写出每一步的产生思路. 其中题目5供4人选择、其余题目分别供3人选择。
注意同一个题目的三到四个人之间可以讨论, 但是不允许抄袭. 不能完全一致, 按自己想法独立完成.3. 利用第二周第三周搜集资料, 完成课设. 第四周课设答辩, 具体时间另行通知. 答辩时每组选出一名代表汇报即可.4. 答辩之后需要上交学生的课设实验报告, 程序源代码, 还有答辩2012级数理统计课程设计题目1. 已知两样本A:79.98 80.04 80.02 80.04 80.03 80.03 80.04 79.97 80.05 80.03 80.02 80.00 80.02B:80.02 79.94 79.98 79.97 79.97 80.03 79.95 79.97计算两样本的T 统计量。
2. 建立一个R 文件,在文件中输入变量)3,2,1('=x ,)6,5,4('=y ,并作以下运算(1) 计算e y x z ++=2,其中)1,1,1('=e ; (2) 计算x 与y 的内积; (3) 计算x 与y 的外积.3. 已知有5名学生的数据,如表1所示,用数据框的形式输入数据.4. 编写一个R 程序(函数),输入一个整数n ,如果n<=0,则终止运算,并输出一句话:“要求输入一个正整数”;否则,如果n 是偶数,则将n 除2,并赋给n ;否则,将3n+1赋给n 。
不断循环,直到n=1,才停止计算,并输出一句话:“运算成功”。
5. 某单位对100名女生测定血清总蛋白含量(g/L ),数据如下:74.3 78.8 68.8 78.0 70.4 80.5 80.5 69.7 71.2 73.5 79.5 75.6 75.0 78.8 72.0 72.0 72.0 74.3 71.2 72.0 75.0 73.5 78.8 74.3 75.8 65.0 74.3 71.2 69.7 68.0 73.5 75.0 72.0 64.3 75.8 80.3 69.7 74.3 73.5 73.5 75.8 75.8 68.8 76.5 70.4 71.2 81.2 75.0 70.4 68.0 70.4 72.0 76.5 74.3 76.5 77.6 67.3 72.0 75.0 74.3 73.5 79.5 73.5 74.7 65.0 76.5 81.6 75.4 72.7 72.7 67.2 76.5 72.7 70.4 77.2 68.8 67.3 67.3 67.3 72.7 75.8 73.5 75.0 73.5 73.5 73.5 72.7 81.6 70.3 74.3 73.5 79.5 70.4 76.5 72.7 77.2 84.3 75.0 76.5 70.4计算均值、方差、标准差、极差、标准误差、变异系数、偏度、峰度。
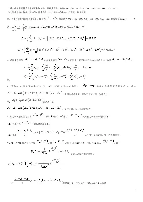
1、从一批机器零件毛坯中随机抽取8件,测得其重量(单位:kg)为:230,243,185,240,228,196,246,200。
(1)写出总体,样本,样本值,样本容量;(2)求样本的均值,方差及二阶原点距。
答:总体为该批机器零件重量ξ,样本为,样本值为230,243,185,240,228,196,246,200,样本容量为n=8;(2)2、若样本观察值的频数分别为,试写出计算平均值和样本方差的公式(这里)。
答:3、设总体X服从两点分布B(1,p),其中p是未知参数,是来自总体的简单随机样本。
指出之中哪些是统计量,哪些不是统计量,为什么?答:都是统计量不是统计量,因p是未知参数。
4、设总体X服从正态分布,其中已知,未知,是来自总体的简单随机样本。
(1)写出样本的联合密度函数;(2)指出之中哪些是统计量,哪些不是统计量。
答:(1)因为X服从正态分布,而是取自总体X的样本,所以有Xi服从,即故样本的联合密度函数为。
(2)都是统计量,因为它们均不包含任何未知参数,而不是统计量。
设是取自正态总体的一个容量为2的样本,试证下列三个估计量都是μ的无偏估计量:,并指出其中哪一个估计量更有效。
答:由于EX1=μ,Dx2=1,且X1,x2独立,故有E(32X1+31x2)=32μ+31μ=μ,D(32X1+31x2)=94+91=95E(41X1+43x2)=41μ+43μ=μ, D(41X1+43x2)=161+169=85E(21X1+21x2)=21μ+21μ=μ, D(21X1+21x2)=41+41=21故它们均为μ的无偏估计,又由于1/2<5/9<5/8,所以第三个估计量的方差最小。
2、设总体X服从,和为样本均值和样本修正方差,又有服从,且与相互独立,试求统计量服从什么分布。
答:以为打字难所以=,=由服从,服从,服从,服从,又由服从自由度为n-1的-分布,注意t分布的定义服从自由度为n-1的t-分布。
一:2χ拟合检验法 问题:用手枪对100个靶各打10发,只记录命中或不命中。
射击结果列表如下:命中数i x 0 1 2 3 4 5 6 7 8 910频数i f0 2 4 10 22 26 18 12 4 2 0在显著性水平05.0=α下用2χ拟合优度检验命中数是否服从正态分布。
解:设)(x F 为命中数的分布,作出原假设)},({)(:20σμN x F H ∈首先把区间[0,10]分为7个小区间:[0,2],(2,3],(3,4],(4,5],(5,6],(6,7],(7,10] 用2σμ和的最优估计即极大似然估计求出它们的值:51001029422100111=⨯+⨯++⨯+⨯+⨯==∑= nfx x i ii64.2}0)510(2)59(0)50{(1001)(122211122=⨯-+⨯-++⨯-⨯=-=∑=∧ i i i f x x n σ 所以 62481.1=∧σ假设了0H 成立,也就知道命中数服从正态分布)62481.1,5(2N 下,我们可以计算出每个小区间的各种理论值,从而算出统计量2χ的值:区间 a i ,a i 1频数n i标准化区间u i ,u i 1pinpin np i2n n p i2n p i0,2 6 ,1.850.03215683.215687.75245 2.41083 2,3 10 1.85,1.23 0.07719187.71918 5.202150.6739253,422 1.23,0.620.1582815.82838.0932 2.40669 4,5 26 0.62,0 0.23237123.23717.633560.3285075,6180,0.620.23237123.237127.4273 1.18032 6,7120.62,1.230.1582815.82814.65380.9258167,1061.23,0.10934910.934924.3528 2.22708合计1001.100.10.1532从上面计算得出2χ的观测值为10.1532。
2012概率论与数理统计试卷答案内暨南⼤学考试试卷答案⼀、选择题(共10⼩题,每⼩题2分,共20分,请将答案写在答题框内)1.设A 、B 、C 为三个事件,则事件“A 、B 、C 中恰有两个发⽣”可表⽰为( C ).A .AB AC BC ++; B. A B C ++; C. ABC ABC ABC ++; D. ABC 2.. 设在 Bernoulli 试验中,每次试验成功的概率为)10(<C. 3(1)p -;D. )1()1()1(223p p p p p -+-+-. 3. 设12,,,,n ηηη是相互独⽴且具有相同分布的随机变量序列, 若 1n E η=,⽅差存在, (1,2,),n = 则1lim ||3ni n i n P n η→∞=??-<=∑( B ). A. 0; B. 1; C.1;3 D. 12. 4. 设随机变量X 的概率密度为 33,()0,0x e x x x ?-?>=?≤?, 则⽅差D(X)= ( D )A. 9;B. 3;C. 13;D. 19.5. 设随机变量X 的概率密度函数)1(1)(2x x f +=π,则X Y 3=的概率密度函数为( B ). A .)1(12y +π B .)9(32y +π C .)9(92y +πD .)9(272y +π6. 设()~1,X N σ2,且(13)0.7P X -<<=,则()=-<1X P ( A ) A .0.15B. 0.30C. 0.45D. 0.67.设)2,3(~2N X ,则=<<}51{X P ( B )(设220()d x xx x -Φ=?). A .00(5)(1)Φ-Φ B .02(1)1Φ- C .011()122Φ- D .0051()()448.设总体2~(,)X N µσ,其中µ未知,1234,,,x x x x 为来⾃总体X 的⼀个样本,则以下关于的µ四个⽆偏估计:1?µ=),(414321x x x x +++4321252515151?x x x x +++=µ 4321361626261?x x x x +++=µ,4321471737271?x x x x +++=µ中,哪⼀个最有效?( A ) A .1?µ; B .2?µ; C .3?µ; D .4?µ 9. 设),,,(21n X X X 为总体2(2,3)N 的⼀个样本,X 为样本均值, S 为样本标准差, 则下列结论中正确的是 ( D ).~()X t n ; B. 211()~(,1)9ni i X X F n =-∑;~(0,1)XN; D. 2211(2)~()9niiX nχ=-∑.10. 在假设检验中,记H为原假设,则犯第⼀类错误指的是( C ).A.H正确,接受H不正确,拒绝H;C.H正确,拒绝H; D.H不正确,接受H⼆、填空题(共9⼩题, 每空3分, 共30分, 请将答案写在答题框内)1. 假设12,A A是两个相互独⽴的事件, 若11239(),(),1010P A P AA=+=则2()P A=67.0,122(~BX,则它的概率函数()P X k=在k= 55 取得最⼤值. 3.若,1()25,()4,,2X YD X D Yρ===则()D X Y-=19 .4.设X,Y的联合分布律为且X,Y相互独⽴,则α= 29,=β19.5. 设2(),(),E X D xµσ==由切⽐雪夫不等式知{}-<<+≥3/4.6. 设An是n次独⽴试验中事件A发⽣的次数,p是事件A在每次试验中发⽣的概率,则lim0}nP→∞≤= 0.5 .7. 若随机变量,ξη相互独⽴, 且~(1,1),Nξ-~(2,4),Nη则23~ξη-(8,40)N-.8. 若随机变量~(,)F F m n , 则1~F(,)F n m . 9. 设总体ξ的分布密度为 ,0(0)(;)0,0,x e x x x θθθ?θ-?≥>=?本, 测得观测值分别为12,,,(0,1,2,,)n i x x x x i n >=, 则参数θ的最⼤似然估计为1xθ∧=.三、计算题(共 5 ⼩题,每⼩题9分,共45分)1. 甲罐中有⼀个⽩球,⼆个⿊球,⼄罐中有⼀个⽩球,四个⿊球,现掷⼀枚均匀的硬币,如果得正⾯就从甲罐中任取⼀球,如果得反⾯就从⼄罐中任取⼀球,若已知取的球是⽩球,试求此球是甲罐中取出的概率。
2012年10月真题讲解一、前言学员朋友们,你们好!现在,对《全国2012年10月高等教育自学考试概率论与数理统计(经管类)试题》进行必要的分析,并详细解答,供学员朋友们学习和应试参考。
三点建议:一是在听取本次串讲前,请对课本内容进行一次较全面的复习,以便取得最佳的听课效果;二是在听取本次串讲前,务必将本套试题独立地做一遍,以便了解试题考察的知识点,与以及个人对课程全部内容的掌握情况,有重点的听取本次串讲;三是,在听取串讲的过程中,对重点、难点的题目,应该反复多听几遍,探求解题规律,提高解题能力。
一点说明:本次串讲所使用的课本是2006年8月第一版。
二、考点分析1.总体印象对本套试题的总体印象是:内容比较常规,有的题目比较新鲜,个别题目难度稍大。
内容比较常规:① 概率分数偏高,共74分;统计分数只占26分,与今年7月的考题基本相同,以往考题的分数分布情况稍有不同;② 除《回归分析》仅占2分外,对课本中其他各章内容都有涉及;③几乎每道题都可以在课本上找到出处。
如果粗略的把题目难度划分为易、中、难三个等级,本套试题容易的题目约占24分,中等题目约占60分,稍偏难题目约占16分,包括计算量比较大额题目。
2.考点分布按照以往的分类方法:事件与概率约18分,一维随机变量(包括数字特征)约22分,二维随机变量(包括数字特征)约30分,大数定律4分,统计量及其分布6分,参数估计6分,假设检验12分,回归分析2分。
考点分布的柱状图如下三、试题详解选择题部分一、单项选择题(本大题共10小题,每小题2分,共20分)在每小题列出的四个备选项中只有一个是符合题目要求的,请将其选出并将“答题纸”的相应代码涂黑。
错涂、多涂或未涂均无分。
1.已知事件A,B,A∪B的概率分别为0.5,0.4,0.6,则P(A)=A.0.1B.0.2C.0.3D.0.5[答疑编号918150101]【答案】B【解析】因为,所以,而,所以,即;又由集合的加法公式P(AB)=P(A)+P(B)-P(A∪B)=0.5+0.4-0.6=0.3,所以=0.5-0.3=0.2,故选择B.[快解] 用Venn图可以很快得到答案:【提示】1. 本题涉及集合的运算性质:(i)交换律:A∪B=B∪A,AB=BA;(ii)结合律:(A∪B)∪C=A∪(B∪C),(AB)C=A(BC);(iii)分配律:(A∪B)∩C=(A∩C)∪(B∩C),(A∩B)∪C=(A∪C)∩(B∪C);(iv)摩根律(对偶律),.2.本题涉及互不相容事件的概念和性质:若事件A与B不能同时发生,称事件A与B互不相容或互斥,可表示为A∩B=,且P(A∪B)=P(A)+P(B).3.本题略难,如果考试时遇到本试题的情况,可先跳过此题,有剩余时间再考虑。
重庆大学概率论与数理统计课程试卷2012 ~2013 学年 第 二 学期开课学院: 数统学院 课程号:10029830 考试日期:考试方式:考试时间: 120分钟分位数:220.0050.975(39)20,(39)58.12χχ==,0.975 1.96u =,(2.68)0.9963,(1.79)0.9633Φ=Φ=,0.025(35) 2.0301t =一、填空题(每空3分,共42分)1.已知()0.3P A =,()0.4P B =,()0.5P AB =,则()P B A B ⋃= 0.25 。
2.从一副扑克牌(52张)中任取3张(不重复),则取出的3张牌中至少有2张花色相同的概率为 0.602 。
3.从1到9的9个整数中有放回地随机取3次,每次取一个数,则取出的3个数之积能被10整除的概率为 0.214 。
4.一个有5个选项的考题,其中只有一个选择是正确的。
假定应 考人知道正确答案的概率为p 。
如果他最后选对了,则他确实知道答案的概率为541pp +。
5.重复抛一颗骰子5次得到点数为6 的次数记为X ,则(3)P X >= 13/3888 。
6.设X 服从泊松分布,且(1)(2)P X P X ===,则(4)P X ==0.0902 。
7.设圆的直径X 服从区间(0,1)上的均匀分布,则圆的面积Y 的密度函数为1//4()0 ,Y y f y elseπ⎧<<⎪=⎨⎪⎩。
8.已知(,)(1,9;0,16;0.5) ,32X Y X Y N Z -=+ 且,则Z 的密度函数21()36z Z f --(z )。
9.设总体2(,)X N μσ ,其中2σ已知,从该总体中抽取容量为40n = 的样本1,240,,X X X ,则()222110.5 1.453nii P X X n σσ=⎧⎫≤-≤⎨⎬⎩⎭∑= 0.97。
10.设1,210,,X X X 是来自总体2(0,)X N σ 的样本,则Y =服从 t(8) 。
成绩中国矿业大学2012级硕士研究生课程考试试卷考试科目:数理统计考试时间:2012年12月研究生姓名:学号:所在学院:任课教师:中国矿业大学研究生院培养管理处印制1题号一二三四五六七总分得分阅卷人可能用到的一些数值:χ2 0.05(5)=11.07;χ20.05(6)=12.59;χ20.025(24)=39.36;χ20.975(24)=12.40;t0.025(10)=2.228;t0.025(11)=2.201;t0.025(12)=2.179;t0.025(24)=2.064;t0.025(25)=2.060; F0.01(2,6)=10.92,F0.01(3,6)=9.78.一:名词解释(5×4′)(1):χ2分布(2):t分布(3):F分布(4):参数估计(5):假设检验二:(10分)在某班级中,随机抽取25名同学测量其身高,算得平均身高为170cm,标准差为12cm.假设所测身高近似服从正态分布,求该班学生平均身高µ和身高标准差σ的置信度为0.95置信区间.2三:(15分)设炮弹着落点(x,y)离目标(原点)的距离为z=√x2+y2,若设x和y为独立同分布的随机变量,其共同分布为N(0,σ2),可得z的分布密度为:p(z)=zσ2exp{−z22σ2},z>0,这个分布称为瑞利分布.(1):设z1,z2,···,z n为来自上述瑞利分布的一个样本,求σ2的极大似然估计,证明它是σ2的无偏估计;(2):求瑞利分布中σ2的费希尔信息量I(σ2).3四:(10分)将一颗骰子掷120次,得如下数据:出现点数123456观察次数161927172318试问这颗骰子是否是均匀,对称(取α=0.05)?五:(15分)下表给出了12个父亲和他们长子的身高分别为(x i,y i),(i=1,2, (12)单位:英寸,这样一组观察值:父亲的身高x656367646862706668676971儿子的身高y686668656966686571676870已知:¯x=200/3,∑12i=1x2i=53418,∑12i=1x i y i=54107.(1):求y对x的线性回归方程;(2):用t检验去检验线性回归方程是否显著?(显著性水平α=0.05);(3):求当儿子身高x=65.5时,父亲身高y的置信度为95%置信区间.4六:(15分)为提高某种合金钢的强度,需要同时考察碳(C)及钛(Ti)的含量对强度的影响,以便选取合理的成分组合使强度达到最大.在试验中分别取因素A(C含量%)3个水平,因素B(Ti含量%)4个水平,在组合水平(Ai,Bj),(i=1,2,3,j=1,2,3,4)条件下各炼一炉钢,测得其强度数据见下表:B水平与A水平B1(3.3)B2(3.4)B3(3.5)B4(3.6)A1(0.03)63.163.965.666.8A2(0.04)65.166.467.869.0A3(0.05)67.271.071.973.5试问:碳与钛的含量对合金钢的强度是否有显著影响(α=0.01)?已知总离差平方和为Q T=113.29,因素A的离差平方和为Q A=74.91.5七:(15分)证明下述结论:已知χ2(n )分布的概率密度函数为:f (y )=12n/2Γ(n/2)y n/2−1e −y/2,y >0;f (y )=0,y ≤0其中,Γ(α)=∫+∞x α−1e −x dx (α>0)是Γ(伽马)函数.(1):设F (x )为连续型随机变量X 的分布函数,则Y =F (x )∼U (0,1);(2):设X 1,···,X n 是连续型随机变量X 的n 次观察值,F (x )是X 的分布函数,则−2∑n i =1ln F (x i )∼χ2(2n ).6。
海南大学2012-2013学年第二学期试卷科目:《概率论与数理统计》试题(A 卷)考试说明:本课程为闭卷考试,答案一律答在后面的答题纸上,答在其它地方无效,可携带 计算器 。
一、选择题(每题3分,共15分,选择正确答案的编号,将答案写在答题纸上)1、设,,A B C 为三个事件,则,,A B C 中不多于一个发生可表示为(a ) (A) AB BC AC ; (B )A B C ; (C )AB BC AC ; (D )A B C .2、设A 与B 是两个事件,则下列关系正确的是( b ).(A )()A B B A -=; (B )()AB A B A +-=; (C )()A B B A -=; (D )()ABA B A -=. 3、设随机变量~(0,1)X N ,~(2,1)Y N ,且X 与Y 相互独立,则21Z X Y =++服从(d )(A) ~(2,5)Y N ; (B )~(3,4)Y N ; (C )~(2,4)Y N ; (D )~(3,5)Y N .4、设~(),X t n 则2X 服从( 略 )分布(A) 2()n χ; (B )(1,)F n ; (C )(,1)F n ; (D )(1,1)F n -. 5、设随机变量X 与Y 相互独立,则下列结论不正确的是 ( d )(A) (,)0Cov X Y =; (B )X 与Y 不相关;(C )()()()D X Y D X D Y -=+; (D ()()()D XY D X D Y =.二、填空题(每题3分,共15分,将答案写在答题纸上)1、设,A B 是两事件,()0.2P A =,若B A ⊃,则()P A B =0.8 .2、袋中有3个白球,6个黑球,它们除颜色不同外,其他没有差别,每次从中任取一个,则第7次取到白球的概率为__1/3___.3、假设2~(1)X χ,~(2,9)Y N ,且X 与Y 相互独立,则()D X Y +=_10_____.4、设随机变量~(10,0.4)X B ,则根据切比雪夫不等式有{}()2P X E X -≥≤__0.1____.5、设~(0,3)X N ,~(0,6)Y U ,0.5XY ρ=,则(2)D X Y -=12______.三、计算题(每题10分,共70分,将答案写在答题纸上)(注意:答题时要列出详细运算步骤并计算出中间运算数值和最终计算结果)1、一道选择题有4个答案,其中仅有1个正确,假设一名学生知道正确答案的概率为14. (1)求该学生答对的概率;1/4(2)若已知该学生答对了,求他确实知道答案的概率.知啊到答案事件设为A 不知道答案事件设为B 玩呗时间组 设学生答对的事件为C 1/42、某射手有3发子弹,射一次命中的概率为13,如果命中了就停止射击,否则一直射到子弹用尽. 设X 表示耗用的子弹数.试求:(1)X 的分布律; (2)分布函数()F x ; (3)至少需要耗用2发子弹的概率.3、设连续型随机变量X 的概率密度为,01()2,120,Ax x f x x x ≤<⎧⎪=-≤<⎨⎪⎩其他试求:(1)系数A ;(2)分布函数()F x ;(3){0.4 1.2}P X <<.4、设二维随机变量(,)X Y 的密度函数为8,01(,)0,xy x y f x y ≤≤≤⎧=⎨⎩其他 (1)求X 和Y 的边缘密度;(2)判断X 和Y 是否独立,并说明理由.5、已知二元离散型随机变量(,)X Y 的联合概率分布如下表所示:试求()E X ,()E Y ,()D X ,()D Y ,及X 与Y 的相关系数XY ρ.6、 设总体X 服从参数为λ泊松分布,即{}!x P Xx e x λλ-==,0,1,2,.x =12,,,n X X X 是X的样本,求λ的矩估计量和极大似然估计量.7、设某次考试的学生成绩2~(,)X N μσ,其中已知10σ=分. 现从中随机抽取25名学生的成绩,得其平均成绩为72分. 问在显著性水平0.05α=下,是否可以认为此次考试中考生的平均成绩为75分?(注:计算中可能用到0.0251.96u=)。
课设要求:
1. 用R语言编写程序.
2. 理论方法先写出来,并附上程序. 程序中用注释详细的写出每一步的产生思路. 其中题目5供4人选择、其余题目分别供3人选择。
注意同一个题目的三到四个人之间可以讨论, 但是不允许抄袭. 不能完全一致, 按自己想法独立完成.
3. 利用第二周第三周搜集资料, 完成课设. 第四周课设答辩, 具体时间另行通知. 答辩时每组选出一名代表汇报即可.
4. 答辩之后需要上交学生的课设实验报告, 程序源代码, 还有答辩
2012级数理统计课程设计题目
1. 已知两样本
A:79.98 80.04 80.02 80.04 80.03 80.03 80.04 79.97 80.05 80.03 80.02 80.00 80.02
B:80.02 79.94 79.98 79.97 79.97 80.03 79.95 79.97
计算两样本的T 统计量。
2. 建立一个R 文件,在文件中输入变量)3,2,1('=x ,)6,5,4('=y ,并作以下运算
(1) 计算e y x z ++=2,其中)1,1,1('=e ; (2) 计算x 与y 的内积; (3) 计算x 与y 的外积.
3. 已知有5名学生的数据,如表1所示,用数据框的形式输入数据.
4. 编写一个R 程序(函数),输入一个整数n ,如果n<=0,则终止运算,并输出一句话:“要
求输入一个正整数”;否则,如果n 是偶数,则将n 除2,并赋给n ;否则,将3n+1赋给n 。
不断循环,直到n=1,才停止计算,并输出一句话:“运算成功”。
5. 某单位对100名女生测定血清总蛋白含量(g/L ),数据如下:
74.3 78.8 68.8 78.0 70.4 80.5 80.5 69.7 71.2 73.5 79.5 75.6 75.0 78.8 72.0 72.0 72.0 74.3 71.2 72.0 75.0 73.5 78.8 74.3 75.8 65.0 74.3 71.2 69.7 68.0 73.5 75.0 72.0 64.3 75.8 80.3 69.7 74.3 73.5 73.5 75.8 75.8 68.8 76.5 70.4 71.2 81.2 75.0 70.4 68.0 70.4 72.0 76.5 74.3 76.5 77.6 67.3 72.0 75.0 74.3 73.5 79.5 73.5 74.7 65.0 76.5 81.6 75.4 72.7 72.7 67.2 76.5 72.7 70.4 77.2 68.8 67.3 67.3 67.3 72.7 75.8 73.5 75.0 73.5 73.5 73.5 72.7 81.6 70.3 74.3 73.5 79.5 70.4 76.5 72.7 77.2 84.3 75.0 76.5 70.4
计算均值、方差、标准差、极差、标准误差、变异系数、偏度、峰度。
6. 绘出5题数据的直方图、密度估计曲线图、经验分布图和QQ 图,并将密度估计曲线与
正态密度曲线相比较,将经验分布曲线于正态分布曲线相比较(其中正态曲线的均值和
标准差取5题计算出的值)
7.绘出5题数据的茎叶图、箱线图,并计算五数总括。
8.某校测得19名学生的四项指标,性别、年龄、身高(cm)和体重(磅),具体数据由表
2所示
表2: 学生身高、体重的数据
学号姓名性别年龄身高体重
02 Becka F 13 65.3 98.0
03 Gail F 14 64.3 90.0
04 Karen F 12 56.3 77.0
05 Kathy F 12 59.8 84.5
06 Mary F 15 66.5 112.0
07 Sandy F 11 51.3 50.5
08 Sharon F 15 62.5 112.5
09 Tammy F 14 62.8 102.5
10 Alfred M 14 69.0 112.5
11 Duke M 14 63.5 102.5
12 Guido M 15 67.0 133.0
13 James M 12 57.3 83.0
14 Jeffery M 13 62.5 84.0
15 John M 12 59.0 99.5
16 Philip M 16 72.0 150.0
17 Robert M 12 64.8 128.0
(1)绘制出体重对于身高的散点图;
(2)绘出不同性别情况下,体重与身高的散点图;
(3)绘出不同年龄段的体重与身高的散点图;
(4)绘制出不同性别与不同年龄段的体重与身高的散点图。