信号与系统第二章答案
- 格式:doc
- 大小:435.50 KB
- 文档页数:5
第2章 线性时不变连续系统的时域分析2.1 学习要求(1)会建立描述系统激励与响应关系的微分方程;(2)深刻理解系统的完全响应可分解为:零输入响应与零状态响应,自由响应与强迫响应,瞬态响应与稳态响应;(3)深刻理解系统的零输入线性与零状态线性,并根据关系求解相关的响应; (4)会根据系统微分方程和初始条件求解上述几种响应; (5)深刻理解单位冲激响应的意义,并会求解;(6)深刻理解系统起始状态与初始状态的区别,会根据系统微分方程和输入判断0时刻的跳变情况; (7)理解卷积运算在信号与系统中的物理意义和运算规律,会计算信号的卷积。
; 2.2 本章重点(1)系统(电子、机械)数学模型(微分方程)的建立; (2)用时域经典法求系统的响应; (3)系统的单位冲激响应及其求解;(4)卷积的定义、性质及运算,特别是()t δ函数形式与其它信号的卷积; (5)利用零输入线性与零状态线性,求解系统的响应。
2.3 本章的知识结构2.4 本章的内容摘要2.4.1系统微分方程的建立电阻:)(1)(t v Rt i R R =电感:dtt di L t v L L )()(= )(d )(1)(0t i v Lt i L tL L +=⎰∞-ττ 电容:dtt dv C t i C C )()(= ⎰+=tt L C C t i i Ct v 0)(d )(1)(0ττ 2.4.2 系统微分方程的求解 齐次解和特解。
齐次解为满足齐次方程t n t t h e c e c e c t y 32121)(λλλ+⋅⋅⋅++=当特征根有重根时,如1λ有k 重根,则响应于1λ的重根部分将有k 项,形如t k t k t k t k h e c te c e t c e t c t y 111112211)(λλλλ++⋅⋅⋅++=--- 当特征根有一对单复根,即bi a +=2,1λ,则微分方程的齐次解bt e c bt e c t y at at h sin cos )(21+= 当特征根有一对m 重复根,即共有m 重ib a ±=2,1λ的复根,则微分方程的齐次解bt e t c bt te c bt c t y at m m at h cos cos cos )(121-+⋅⋅⋅++= bt e t d bt te d bt e d at m m at at sin sin sin 121-+⋅⋅⋅+++ 特解的函数形式与激励函数的形式有关。
习 题 一 第一章习题解答基本练习题1-1 解 (a) 基频 =0f GCD (15,6)=3 Hz 。
因此,公共周期3110==f T s 。
(b) )30cos 10(cos 5.0)20cos()10cos()(t t t t t f ππππ+==基频 =0f GCD (5, 15)=5 Hz 。
因此,公共周期5110==f T s 。
(c) 由于两个分量的频率1ω=10π rad/s 、1ω=20 rad/s 的比值是无理数,因此无法找出公共周期。
所以是非周期的。
(d) 两个分量是同频率的,基频 =0f 1/π Hz 。
因此,公共周期π==01f T s 。
1-2 解 (a) 波形如图1-2(a)所示。
显然是功率信号。
t d t f TP T TT ⎰-∞→=2)(21lim16163611lim 22110=⎥⎦⎤⎢⎣⎡++=⎰⎰⎰∞→t d t d t d T T T W(b) 波形如图1.2(b)所示。
显然是能量信号。
3716112=⨯+⨯=E J (c) 能量信号 1.0101)(lim101025=-===⎰⎰∞∞---∞→T t ttT e dt edt eE J(d) 功率信号,显然有 1=P W1-3 解 周期T=7 ,一个周期的能量为 5624316=⨯+⨯=E J 信号的功率为 8756===T E P W 1-5 解 (a) )(4)2()23(2t tt δδ=+; (b) )5.2(5.0)5.2(5.0)25(5.733-=-=----t e t e t et tδδδ(c) )2(23)2()3sin()2()32sin(πδπδπππδπ+-=++-=++t t t t 题解图1-2(a) 21题解图1-2(b) 21(d) )3()3()(1)2(-=----t e t t et δδε。
1-6 解 (a) 5)3()94()3()4(2-=+-=+-⎰⎰∞∞-∞∞-dt t dt t t δδ(b) 0)4()4(632=+-⎰-dt t t δ(c) 2)]2(2)4(10[)]42(2)4()[6(63632=+++-=+++-⎰⎰--dt t t dt t t t δδδδ(d)3)3(3)(3sin )(1010=⋅=⎰⎰∞-∞-dt t Sa t dt ttt δδ。
第二章 连续时间系统的时域分析1.已知连续时间信号1()e ()t f t u t -=和2()e ()t f t u t =-,求卷积积分12()()()f t f t f t =*,并画出()f t 的波形图。
解:1212()()()()()f t f t f t f t f d τττ∞-∞=*=-⎰反褶1()f τ得1()f τ-,右移t 得11[()]()f t f t ττ--=-,作出2()f τ图形及不同t 取值的1()f t τ-图形,由此可得:当0t ≤时,21()e e ee e 2ttt tt f t d d τττττ---∞-∞===⎰⎰当0t ≥时,0021()e e e e e 2t t t f t d d τττττ----∞-∞===⎰⎰综上,||111()e ()e ()e 222t t t f t u t u t --=-+=()f t 是个双边指数函数。
讨论:当1()f t 、2()f t 为普通函数(不含有()t δ、()t δ'等)时,卷积结果()f t 是一个连续函数,且()f t 非零取值区间的左边界为1()f t 、2()f t 左边界之和,右边界为1()f t 、2()f t 右边界之和,也就是说,()f t 的时宽为1()f t 、2()f t 时宽之和。
τttt2.计算题图2(a )所示函数)(1t f 和)(2t f 的卷积积分)()()(21t f t f t f *=,并画出)(t f 的图形。
解法一:图解法1212()()()()()f t f t f t f t f d τττ∞-∞=*=-⎰其中1()f t τ-的波形见题图2(b),由此可得: 当10t +≤,即1t ≤-时,()0f t = 当011t ≤+≤,即10t -≤≤时,120()2(1)t f t d t ττ+==+⎰当11t +≥但10t -≤,即01t ≤≤时,1()21f t d ττ==⎰当011t ≤-≤,即12t ≤≤时,121()21(1)t f t d t ττ-==--⎰当11t -≥,即2t ≥时,()0f t =综上,220,1,2(1),10()1,011(1),12t t t t f t t t t ≤-≥⎧⎪+-≤≤⎪=⎨≤≤⎪⎪--≤≤⎩ ()f t 波形见题图2(c)。
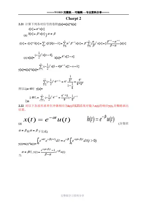
Charpt 22.21 计算下列各对信号的卷积y[n]=x[n]*h[n]:(a):][][][][n u n h n u n x nn βα==}βα≠∑∑∑--===-==++==-kn n nk nk k n kn kn u n u n u k n h k x n h n x n y ][][][)(][][][][*][][1100αβαββαββα(c):x[n]=],4[)21(--n u n h[n]=]2[4n u n-y[n]=x[n]*h[n]=∑∞-∞=-+---k k n kk n u k u ]2[4]4[)21(所以1)n<6时 y[n]=∑∞+=-=-=-434)(8*948118144)21(k n n k n k2)n ∑∞-=---=-=≥22)81(98*44)21(,6n k n n k n k 时2.22 对以下各波形求单位冲激相应为h(t)的LTI 系统对输入x(t)的响应y(t),并概略画出结果。
(a))()(t u e t x tα-= )()(t u e t h tβ-= (分别在βα≠和βα=下完成)y(t)=x(t)*h(t)=⎰⎰>=------t t t t t d eed e e 00)()()0(τττβαβτβατ当)(1)(,)(t u e e t y t t ββααββα-----=≠时当)()(,t u te t y tαβα-==时(c)x(t)和h(t)如图P2.22(a)所示。
)(*)()(*)()(t x t h t h t x t y ==when t<1 y(t)=0; when))cos(1(2)sin(2)(,311t d t y t t ππττ+==<≤⎰-when⎰-+-==<≤23)1))(cos(2()sin(2)(,53t t d t y t ππττ2.23 设h(t)是如图P2.23(a)所示的三角脉冲,x(t)为图P2.23(b)所示的单位冲击串,即∑+∞-∞=-=k kT t t x )()(δ对下列T 值,求出并画出y(t)=x(t)*h(t): (a)T=4 (b)T=2 (c) T=3/2 (4)T=1 解答:因为)()(*)(ττδ-=-t x t t x ,据此可得(b) T=4时,y(t)=x(t)*h(t)=∑∞-∞=-k k t x )4(,如图(a)(c) T=2时,y(t)=∑∞-∞=-k k t x )2(,如图(b)(d) T=3/2时,y(t)=∑∞-∞=-k k t x )23(如图(c) (e) T=1时,y(t)=∑∞-∞==-k k t x 1)(,如图(d)2.27定义一个连续时间信号v(t)下面的面积为 A v =⎰+∞∞-dtt v )(证明:若y(t)=x(t)*h(t),则Ay=AxAh因为y(t)=x(t)*h(t)=⎰+∞∞--τττd t h x )()(Ay=⎰⎰⎰∞+∞-+∞∞-∞+∞--=dtd t h x dt t y τττ)()()(=⎰⎰+∞∞-+∞∞-=-hx A A dt t h d x *)()(τττ2.28 下面均为离散时间LTI 系统的单位冲击响应,试判定每一个系统是否是因果和/或稳定的,陈述理由(a) h[n]=][)51(n u n因果,稳定。
习题二2.1信号cos()t e wt σ可以表示为 st e 与 *s t e 之和,其中 s jw σ=+,*s jw σ=-, 粗略画出下列信号的波形,并在s 平面标出其频率位置。
(1)()cos(3)x t t =(2)3()cos(3)t x t e t -=(3)2()cos(3)t x t e t =(4)2()t x t e -=(5)3()t x t e =(6)()5x t =x (t )50t2.2粗略画出下列信号。
(1)()(3)(5)x t u t u t =---012345tx (t )1(2)()(3)(5)x t u t u t =-+-(3)2(){(3)(5)}x t t u t u t =--- x (t )902535t(4)()2(3)(5)(7)x t u t u t u t =-----2.3简化下列表达式(1)2sin ()()2t x t t t δ=+=0 (2)2()()9jw x jw ωδω+=+=2()9δω (3) ()()2sin 22()14t x t t t πδ⎧⎫-⎨⎬⎩⎭=-+=-1(1)5t δ- (4) sin()()()kw x t w wδ==k ()w δ 2.4 求下列积分(1)()()()x t x t d δτττ+∞-∞=-⎰=()()x t d δττ+∞-∞⎰=x(t) (2) ()()()x t x t d τδττ+∞-∞=-⎰=()()()x t t d x t δττ+∞-∞-=⎰ (3) 313()(23)sin()(23)sin()()222x t t t dt t dt t dt δπδπδ+∞+∞+∞-∞-∞-∞=-=-=--⎰⎰⎰=-12(4) ()()()1jwt x t t e dt t dt δδ+∞+∞-∞-∞===⎰⎰(5) ()(2)(3)(1)(3)(1)x t x t t dt x t dt x δδ+∞+∞-∞-∞=--=--=-⎰⎰(6) ()()()()t tjw x t e d d u t τδττδττ-∞-∞===⎰⎰(7) 3()(1)cos[(3)]sin[(3)]|0t x t t w t dt w w t δ+∞=-∞'=--=-=⎰(8)()(2)cos[(2)]cos[(2)](2)t tx t t w t dt w t d t δδ-∞-∞'=--=--=⎰⎰cos[(2)](2)|(2)cos[(2)]tt w t t t d w t δδ-∞-∞-----⎰1(2)sin[(2)]1tw t w t dt δ-∞=----=⎰2.5(1)求信号2()()t x t e u t -=的偶部与奇部2()()t x t e u t -=-偶部 {}{}2211()()(){()()}22t t Ev x t x t x t e u t e u t -=+-=+- 奇部{}{}2211{()}()()()()22t t Od x t x t x t e u t e u t -=--=--(2)2401|()|4t E x t dt e dt +∞+∞-∞-∞===⎰⎰ 总能量422220111|||()()|2448t t t E Ev dt e u t e u t dt e dt -+∞+∞+∞-∞-∞-∞==+-=⨯⨯=⎰⎰⎰偶部能量 422220111|||()()|2448t t t E Od dt e u t e u t dt e dt -+∞+∞+∞-∞-∞-∞==--=⨯⨯=⎰⎰⎰奇部能量 (3)由第二问可以得出信号的总能量等于其奇部与偶部能量之和。
第二章部分习题参考答案2-6 试求下列各函数1()f t 与2()f t 之卷积。
121212(-)01(1) ()() ()() (0) ()()()(-) ()(-)11(1) 0(2) ()t tt t tt t f t u t f t e u t f t f t f f t d u eu t d e e d e e e t f t ααταατααταατττττττααδ-+∞-∞+∞---∞--==>*===⋅=⋅=-≥=⎰⎰⎰,解:,2121212() ()cos(45)()()()cos[()45] cos(45)(3) ()(1)[()(1)] ()(1)(2) ()()t f t t f t f t t d t f t t u t u t f t u t u t f t f t ωδτωττω+∞-∞=+*=-+=+=+--=---*⎰,解:,解:ττ222221211211()(-1)(-1)-2(-2)(-2)(-1)(-1)-(-2)(-2)2211-(-2)(-2)(-3)(-3)-(-2)(-2)(-3)(-3)22()*()()1,()0123, (1-)(1)21(1)--(12ttf t t u t t u t t u t t u t t u t t u t t u t t u t f t f t f t t f t t t dt t ft t t t τττ=+++=<=<<+=+-=++⎰222-112222212111)-222123, (1-)(1)-221()2(1)-2(1-)(-1)211121---152223, ()*()0.t t t t t t d t f t t t t t t t t t t t f t f t ττττ-+=<<+=+=+++=+++=++>=⎰121221--(4) cos , (1)-(-1)()*()()(-) [(1)-(-1)][cos(-)] cos[(1)]-cos[(-1)]f t t f t t t f t f t f f t d t t t d t t ωδδτττδδωττωω+∞∞+∞∞==+==+⋅=+⎰⎰ -212-212--2-220(5) ()(), ()sin ()()()*()()sin(-)(-) sin(-)sin t t ttt tf t e u t f t t u t f t f t f t e u t u t d e t d ee d τττττττττ+∞∞==⋅==⋅⋅⋅=⋅=⋅⎰⎰⎰-12-(-)--0022-(-)-33-2-3(6) ()2[()-(-3)], ()4()-(-2)0, ()0.02,()2488-825, 88()8(-)5, ()0.t tt t t tt t t t t f t e u t u t f t u t u t t f t t f t e d e e e t ft ed ef t e e e t f t ττττττ-==<=<<==⋅=<<===>=⎰⎰2-8 求阶跃响应为32()(21)()t t s t e e u t --=-+的LTI (线性时不变)系统对输入()()t x t e u t =的响应。
第2章 习 题2-1 求下列齐次微分方程在给定起始状态条件下的零输入响应(1)0)(2)(3)(22=++t y t y dt d t y dt d ;给定:2)0(,3)0(==--y dt dy ; (2)0)(4)(22=+t y t y dt d ;给定:1)0(,1)0(==--y dtd y ;(3)0)(2)(2)(22=++t y t y dt d t y dt d ;给定:2)0(,1)0(==--y dt dy ; (4)0)()(2)(22=++t y t y dt d t y dt d ;给定:2)0(,1)0(==--y dtdy ; (5)0)()(2)(2233=++t y dt d t y dt d t y dt d ;给定:2)0(,1)0(,1)0(22===---y dt d y dt d y 。
(6)0)(4)(22=+t y dt d t y dt d ;给定:2)0(,1)0(==--y dtdy 。
解:(1)微分方程的特征方程为:2320λλ++=,解得特征根:121, 2.λλ=-=- 因此该方程的齐次解为:2()t th y t Ae Be --=+.由(0)3,(0)2dy y dt--==得:3,2 2.A B A B +=--=解得:8, 5.A B ==- 所以此齐次方程的零输入响应为:2()85tty t e e--=-.(2)微分方程的特征方程为:240λ+=,解得特征根:1,22i λ=±.因此该方程的齐次解为:()cos(2)sin(2)h y t A t B t =+.由(0)1,(0)1d y y dx --==得:1A =,21B =,解得:11,2A B ==. 所以此齐次方程的零输入响应为:1()cos(2)sin(2)2y t t t =+.(3)微分方程的特征方程为:2220λλ++=,解得特征根:1,21i λ=-± 因此该方程的齐次解为:()(cos()sin())th y t e A t B t -=+.由(0)1,(0)2dy y dx--==得:1,2,A B A =-= 解得:1,3A B ==.所以齐次方程的零输入响应为:()(cos()3sin())ty t e t t -=+.(4)微分方程的特征方程为:2210λλ++=,解得二重根:1,21λ=-.因此该方程的齐次解为:()()th y t At B e -=+. 由(0)1,(0)2dy y dx--==得:1,2,B A B =-=解得:3, 1.A B == 所以该方程的零输入响应为:()(31)ty t t e -=+.(5)微分方程的特征方程为:3220λλλ++=,解得特征根: 1,21λ=-,30λ=. 因此该方程的齐次解为:()()th y t A Bt C e -=++.由22(0)1,(0)1,(0)2d d y y y dx dt---===得:1,1,22A C B C C B +=-=-=. 解得:5,3,4A B C ==-=-.所以方程的零输入响应为:()5(34)ty t t e -=-+.(6)微分方程的特征方程为:240λλ+=,解得特征根:120,4λλ==-. 因此该方程的齐次解为:4()th y t A Be -=+.由(0)1,(0)2d y y dx --==得:1,42A B B +=-=.解得:31,22A B ==-. 所以此齐次方程的零输入响应为:431()22ty t e -=-.2-2 已知系统的微分方程和激励信号,求系统的零状态响应。
2.1 选择题(每小题可能有一个或几个正确答案,将正确的题号填入( )内) 1.系统微分方程式),()(),(2)(2)(t u t x t x t y dtt dy ==+若 34)0(=-y ,解得完全响应y (t )=)0(,1312≥+-t e t 当 则零输入响应分量为——————————— ( C )(A )t e 231- (B )21133t e --(C )t e 234- (D )12+--t e2.已知)()(),()(21t u e t f t u t f at -==,可以求得=)(*)(21t f t f —————(C ) (A )1-at e - (B )at e - (C ))1(1at e a-- (D )at e a-13.线性系统响应满足以下规律————————————( A 、D ) (A )若起始状态为零,则零输入响应为零。
(B )若起始状态为零,则零状态响应为零。
(C )若系统的零状态响应为零,则强迫响应也为零。
(D )若激励信号为零,零输入响应就是自由响应。
4.若系统的起始状态为0,在x (t )的激励下,所得的响应为———( D ) (A )强迫响应;(B )稳态响应;(C )暂态响应;(D )零状态响应。
5.设]3[]1[2][][---+=n n n n x δδδ和]1[2]1[2][-++=n n n h δδ,][*][][n h n x n y =,求=]0[y ( B )A. 0B. 4C. ][n δD. ∞6. 已知一离散LTI 系统的脉冲响应h[n]= δ[n]+2δ[n-1]-3δ[n-2],则该系统的单位阶跃响应S[n]等于(B )A. δ[n ]+δ[n-1]-5δ[n-2]+ 3δ[n-3]B.δ[n]+3δ[n-1]C.δ[n]D. δ[n]+ δ[n-1]-2δ[n-2] 7. LTI 连续时间系统输入为(),0at e u t a ->,冲击响应为h(t)=u(t), 则输出为( c ) A . ()11ate a--; B .()()11ate t a δ--; C .()()11ate u t a --; D . ()()11ate t aδ---。
第一章自测题答案1.已知)()4()(2t u t t f +=,则)(''t f =(t)4δ2u(t)'+ 2.2(2)1()t t d t t δ∞-∞+⋅+-=⎰3=-⋅+⎰∞∞-dt t t t )1()2(2δ。
3.=-⎰∞∞-dt t t e tj )(0δωoj ωet 。
4.试画出下列各函数式表示的信号图形: (1)0 ),()(001>-=t t t u t f(2))]4()([3cos )(2--=t u t u t t f π在0到4区间内的6个周期的余弦波,余弦波的周期为2/3。
(3)][sin )(3t u t f π=5.已知f (t )的波形如图1.1所示,求f (2-t )与f (6-2t )的表达式,并画出波形。
答:函数表达式:f(2-t) = [u(t)-u(t-1)]+2[u(t-1)-u(t-2)] f(6-2t)=[u(t-2)-u(t-2.5)]+2[u(t-2.5)-u(t-3)]6.信号f (5-3t )的波形如图1.2所示,试画出f (t )的波形。
答:f(5-3t)左移5/3得到f(-3t),然后再扩展3倍得到f(-t),最后反褶可得到f(t)7.对于下述的系统,输入为e (t ), 输出为r (t ),T [e (t )]表示系统对e (t )的响应,试判定下述系统是否为: (1) 线性系统;(2)非时变系统;(3)因果系统;(4)稳定系统:(a) r (t )=T [e (t )]=e (t -2)线性、非时变、因果、稳定系统 (b) r (t )=T [e (t )]=e (-t )线性、时变、非因果、稳定系统 (c) r (t )=T [e (t )]=e (t )cos t 线性、时变、因果、稳定系统 (d) r (t )=T [e (t )]=a e (t )非线性、时不变、因果、稳定系统9. 一线性非时变系统,当输入为单位阶跃信号u (t )时,输出r (t )为 )1()()(t u t u e t r t --+=-,试求该系统对图1.3所示输入e (t )的响应。
信号与系统第三版郑君里课后习题答案第一章习题参考解1,判刑下列信号的类型解:()sin[()];y t A x t = 连续、模拟、周期、功率型信号 。
()()tt y t x e d τττ--∞=⎰ 连续、模拟、非周期、功率型信号。
()(2y n x n =) 离散、模拟、非周期、功率型信号。
()()y n nx n = 离散、模拟、非周期、功率型信号。
1-6,示意画出下列各信号的波形,并判断其类型。
(1) 0()sin()x t A t ωθ=+ 连续、模拟、周期、功率型(2) ()tx t Ae -= 连续、模拟、非周期、只是一个函数,不是物理量。
(3) ()cos 0t x t e t t -=≥ 连续、模拟、非周期、能量型 (4) ()2112,x t t t =+-≤≤ 连续、模拟、非周期、能量型(5) 4()(),0.5kx k k =≥ 离散、模拟、非周期、能量型 (6) 0().j kx k eΩ= 离散、模拟、周期、功率型()sin[()];()()()(2);()()tt y t A x t y t x ed y n x n y n nx n τττ--∞====⎰1-6题,1-4图。
t=-pi:1/200:pi;y1=1.5*sin(2*t+pi/6);subplot(4,1,1),plot(t,y1),title('1.5sin(2*t+pi/6)'),gridy2=2*exp(-t);subplot(4,1,2),plot(t,y2),title('2exp(-t)'),gridt1=0:1/200:2*pi;y3=10*exp(-t1).*cos(2*pi*t1);subplot(4,1,3),plot(t1,y3),title('10exp(-t1)cos(2*pi*t1)'),grid t2=-1:1/200:2;y4=2*t2+1;subplot(4,1,4),plot(t2,y4),title('2x+1'),grid习题1-6 5-6题 n=0:pi/10:2*pi; y=(0.8).^n;subplot(4,1,1),stem(n,y,'fill '),title('(0.8)^n'),grid n1=0:pi/24:2*pi;y1=cos(2*pi*n1);y2=sin(2*pi*n1);subplot(4,1,2),stem3(y1,y2,n1,'fill '),title('exp[2*pi*n1'),grid subplot(4,1,4),stem(n1,sin(2*pi*n1),'fill '),title('sin2pin1'),grid subplot(4,1,3),stem(n1,cos(2*pi*n1),'fill'),title('cos2pin1)'),grid1-8,判断下列系统的类型。
第一章自测题答案1.已知)()4()(2t u t t f +=,则)(''t f =(t)4δ2u(t)'+ 2.2(2)1()t t d t t δ∞-∞+⋅+-=⎰3=-⋅+⎰∞∞-dt t t t )1()2(2δ。
3.=-⎰∞∞-dt t t e tj )(0δωoj ωet 。
4.试画出下列各函数式表示的信号图形: (1)0 ),()(001>-=t t t u t f(2))]4()([3cos )(2--=t u t u t t f π在0到4区间内的6个周期的余弦波,余弦波的周期为2/3。
(3)][sin )(3t u t f π=5.已知f (t )的波形如图1.1所示,求f (2-t )与f (6-2t )的表达式,并画出波形。
答:函数表达式:f(2-t) = [u(t)-u(t-1)]+2[u(t-1)-u(t-2)] f(6-2t)=[u(t-2)-u(t-2.5)]+2[u(t-2.5)-u(t-3)]6.信号f (5-3t )的波形如图1.2所示,试画出f (t )的波形。
答:f(5-3t)左移5/3得到f(-3t),然后再扩展3倍得到f(-t),最后反褶可得到f(t)7.对于下述的系统,输入为e (t ), 输出为r (t ),T [e (t )]表示系统对e (t )的响应,试判定下述系统是否为: (1) 线性系统;(2)非时变系统;(3)因果系统;(4)稳定系统:(a) r (t )=T [e (t )]=e (t -2)线性、非时变、因果、稳定系统 (b) r (t )=T [e (t )]=e (-t )线性、时变、非因果、稳定系统 (c) r (t )=T [e (t )]=e (t )cos t 线性、时变、因果、稳定系统 (d) r (t )=T [e (t )]=a e (t )非线性、时不变、因果、稳定系统9. 一线性非时变系统,当输入为单位阶跃信号u (t )时,输出r (t )为 )1()()(t u t u e t r t --+=-,试求该系统对图1.3所示输入e (t )的响应。
2-1 绘出下列各时间函数的波形图。
(1)1()(1)f t tu t =- (2)
2()[()(1)](1)
f t t u t u t u t =--+-
(3)3()(1)[()(1)]f t t u t u t =---- (4)4()[(2)(3)]f t t u t u t =--- (5)5()(2)[(2)(3)]f t t u t u t =---- (6)6()()2(1)(2)f t u t u t u t =--+-
解:
2-5 已知()f t 波形如图题2-5所示,试画出下列信号的波形图。
t
图 题2-5
(3)3()(36)
f t f t =+
(5)51
1()3
6f t f t ⎛⎫=
-- ⎪
⎝⎭
解:
t
t
2-6 已知()f t 波形如图题2-6所示,试画出下列信号的波形图。
图 题2-6
(4)4()(2)(2)f t f t u t =-- (6)6()(1)[()(2)]f t f t u t u t =---
解:
2-7 计算下列各式。
(1)
0()()
f t t t δ+
(2)00()()d f t t t t t
δ∞
-∞
+-⎰
(3)2
4
e (3)d t
t t
δ-+⎰
(4)0
e
sin (1)d t
t t t
δ∞
-+⎰ (5)
d [
e ()]
d t
t t
δ- (6)0()()d f t t t t
δ∞
-∞
-⎰
(7)0()()d f t t t t
δ∞
-∞
-⎰
(8)00()d 2t t t u t t δ∞
-∞
⎛⎫--
⎪⎝
⎭
⎰
(9)00()(2)d t t u t t t
δ∞
-∞
--⎰
(10)(e )(2)d t
t t t
δ∞
-∞
++⎰
(11)(sin )d 6t t t t
δ∞
-∞
π⎛
⎫+- ⎪⎝⎭⎰
(12)
j 0e
[()()]d t
t t t t
Ωδδ∞
--∞
--⎰
解:(1) 原式0()()f t t δ=
(2)原式)2()()(0000t f dt t t t t f =-+=
⎰
+∞
∞
-δ
(3)原式2
3
3
4
(3)e t dt e
δ---=
+=⎰
(4)原式1
sin(1)(1)0
((1))e t dt t δδ+∞
-=-+=+⎰
不在积分区间内
(5)原式)()](['
t t e dt
d δδ==
(6)原式)()()0(00t f dt t t f -=-=⎰+∞
∞-δ (7)原式00(0)()()f t t dt f t δ+∞-∞
=
-=⎰
(8)原式⎩⎨
⎧><==--=⎰∞
+∞-0
1
00
)2()2()(000
00t t t u dt t t u t t δ
(9)原式⎩⎨
⎧<>=-=--=⎰∞
+∞-0
1
00
)()2()(000000t t t u dt t t u t t δ
(10)原式2
2
(2)(2)2e
t dt e
δ+∞---∞
=-+=-⎰
(11)原式1(
sin
)()6
6
6
6
2
t dt π
π
π
π
δ+∞-∞
=+-
=
+
⎰
(12)原式0
0[()()]1j t j t e t e
t t dt e
δδ+∞-Ω-Ω-∞
=
--=-⎰
2-8 画出图题2-8所示各信号的偶分量和奇分量的波形。
图 题2-8
解:(b)
(c)
2-12 已知
()e ()t
f t u t -=,求()f t '的表达式,并画出()f t '的波形图。
解:'
()()()t
t
f t e t e u t δ--=-
()()t
t e u t δ-=-
2-13 已知
()f t 的波形如图题
2-13所示,求()f t '和
()
f t '',并分别画出
()
f t '和
()f t ''的波形图。
图 题2-13
解:'22()()()()()22E E
f t u t u t u t u t ττττ⎡⎤⎡
⎤=+----⎢⎥⎢⎥⎣⎦
⎣⎦
2()2()()22E u t u t u t τττ⎡⎤
=
+-+-⎢⎥⎣⎦
''
2()()2()()22E f t t t t ττδδδτ⎡⎤=
+-+-⎢⎥⎣⎦
2-14 对下列函数进行积分运算:
()d t
f ττ
-∞
⎰
,并画出积分后的波形图。
(1)1()(1)(3)f t u t u t =--- (2)2()(1)f t t δ=- (3)3()sin ()f t tu t =π 解:1
(1)
1
3
()(1)(3)t
t
f t u d u d ττττ-=
---⎰
⎰
(1)(3)(1)(1)(3)(3)1
3
t
t u t u t t u t t u t τ
τ
=---=-----
(2)
2
(1)
()(1)f t u t -=-
(3)
3
(1)
1
1
()sin cos (1cos )
t t f t d t πττπτ
ππ
π
--=
=
=
-⎰。