2013年东南大学浙江高考录取分数线(文理)
- 格式:docx
- 大小:16.44 KB
- 文档页数:2
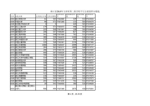
2013高校浙江投档线投档分数名次投档分数名次0001 浙江大学 671 1-000768 693 5-0029840003 浙江工业大学 630 1-005727 640 5-0211370004 浙江师范大学 628 1-006054 631 5-0258620005 宁波大学 630 1-005678 630 5-0261990006 杭州电子科技大学 630 1-005673 629 5-026701 0007 浙江工商大学 634 1-004873 632 5-0253700008 浙江理工大学 626 1-006363 630 5-0260450009 温州医科大学 639 1-004067 650 5-0161890010 浙江海洋学院 621 5-0312280011 浙江农林大学 623 5-0300860012 浙江中医药大学 645 1-003146 647 5-0176640013 中国计量学院 625 5-0290170014 浙江万里学院 618 5-0329420015 浙江科技学院 623 5-0303130016 浙江财经大学 647 1-002852 659 5-0123240017 嘉兴学院 622 1-007390 621 5-0312300018 浙江大学城市学院 625 5-0288430019 浙江大学宁波理工学院 620 5-0317890020 杭州师范大学 625 1-006559 626 5-0286590021 湖州师范学院 619 1-008047 620 5-0316200022 绍兴文理学院 622 1-007336 623 5-0302860024 温州大学 623 1-006984 624 5-0293120027 浙江传媒学院 623 1-007019 628 5-0274460166 浙江财经大学(中外合 642 1-003543 647 5-017807 0168 温州大学中美合作肯恩 619 1-007927 617 5-033275 0180 浙江工业大学(中外合 620 5-0317500182 宁波诺丁汉大学 625 1-006725 636 5-0229170183 杭州电子科技大学(中 617 5-0334901103 北京大学 709 1-000022 733 5-0000771104 北京大学医学部 715 5-0006411105 北京第二外国语学院 658 1-001684 663 5-011199 1113 北京工业大学 635 1-004661 656 5-0136851116 北京航空航天大学 665 1-001138 690 5-003638 1117 北京化工大学 640 1-003943 651 5-0155701121 北京交通大学 660 1-001547 672 5-0080321123 北京科技大学 650 1-002483 653 5-0149821127 北京理工大学 660 1-001498 681 5-0053921128 北京林业大学 645 1-003182 636 5-0229041130 北京师范大学 680 1-000403 682 5-0052441132 北京体育大学 631 1-005433 622 5-0308571133 北京外国语大学 674 1-000651 687 5-0040591136 北京协和医学院 635 5-0235631140 北京邮电大学 624 5-0297231142 北京语言大学 655 1-001960 655 5-0140291143 北京中医药大学 618 5-0331101144 对外经济贸易大学 619 1-007849 693 5-003065 1146 华北电力大学(北京) 626 1-006521 661 5-011692 1147 清华大学 707 1-000026 731 5-0001031149 首都师范大学 639 1-004043 618 5-0327961151 首都医科大学 665 5-0102631153 中国传媒大学 664 1-001188 674 5-0074341154 中国地质大学(北京) 620 1-007734 648 5-017337 1155 中国矿业大学(北京) 634 1-004842 648 5-017224 1157 中国农业大学 647 1-002842 672 5-0079211159 中国人民大学 693 1-000113 718 5-0004771160 中国石油大学(北京) 622 1-007385 655 5-013891 1163 中国政法大学 622 1-007339 687 5-0042071165 中央财经大学 629 1-005811 688 5-0038621167 中央民族大学 620 1-007633 662 5-0115671171 北京邮电大学(宏福校 669 5-0089201202 河北工业大学 640 5-0212911203 南开大学 669 1-000870 690 5-0035351210 天津大学 664 1-001228 680 5-0057071239 天津医科大学 674 5-0073791246 天津中医药大学 639 5-0215321247 中国民航大学 628 5-0274101311 东北大学秦皇岛分校 640 5-0208511331 河北医科大学 671 5-0083521334 华北电力大学(保定) 636 1-004464 653 5-014784 1342 石家庄铁道大学 625 1-006703 623 5-029836 1349 燕山大学 624 1-006882 628 5-0271991404 山西大学 623 1-007080 624 5-0297951415 太原理工大学 623 1-007037 638 5-0222561418 中北大学 617 5-0334711502 内蒙古大学 620 1-007818 626 5-0283832108 大连海事大学 645 1-003124 649 5-0165052111 大连理工大学 645 1-003076 676 5-0068162117 大连医科大学 651 5-0159002122 东北财经大学 645 1-003189 647 5-0176152124 东北大学 638 1-004271 660 5-0120442127 辽宁大学 631 1-005343 637 5-0225302155 沈阳农业大学 620 5-0315392158 沈阳药科大学 627 5-0281052161 中国医科大学 649 5-0166512167 大连理工大学(盘锦校 627 5-0279082210 长春理工大学 619 1-007957 622 5-030358 2218 东北师范大学 638 1-004115 640 5-021011 2220 吉林大学 655 1-001957 662 5-0115042242 延边大学 623 1-007107 629 5-0270292302 东北石油大学 622 5-0304592303 东北林业大学 623 1-006973 627 5-028137 2304 东北农业大学 623 1-007004 625 5-029043 2308 哈尔滨工程大学 624 1-006736 650 5-016095 2309 哈尔滨工业大学 650 1-002454 682 5-005098 2310 哈尔滨工业大学(威海) 664 5-0105302320 哈尔滨医科大学 647 5-0177922332 黑龙江中医药大学 633 5-0244963101 东华大学 654 1-002047 660 5-0121003102 复旦大学 696 1-000073 722 5-0002993104 华东理工大学 653 1-002145 676 5-006773 3105 华东师范大学 668 1-000935 683 5-005037 3106 华东政法大学 662 1-001330 676 5-006623 3109 上海财经大学 688 1-000202 710 5-000967 3112 上海大学 656 1-001827 662 5-0113253119 上海对外经贸大学 638 1-004268 644 5-018942 3125 上海海事大学 637 1-004348 632 5-025119 3127 上海海洋大学 617 5-0334553131 上海交通大学 698 1-000062 724 5-000253 3132 上海交通大学医学院 704 5-0015453136 上海理工大学 637 1-004401 650 5-016403 3151 上海外国语大学 667 1-000997 686 5-004263 3164 上海中医药大学 617 5-0334913165 同济大学 671 1-000790 692 5-0031293166 上海交通大学医学院( 648 5-0170813169 华东师范大学(少数民 630 5-0265833171 复旦大学医学院 720 5-0003983206 东南大学 666 1-001055 686 5-0042903209 河海大学 648 1-002796 662 5-0112813216 江南大学 643 1-003383 655 5-0138573220 江苏大学 628 1-006009 635 5-0238093240 南京大学 682 1-000359 694 5-0028873243 南京工业大学 626 1-006441 631 5-025692 3246 南京航空航天大学 654 1-002078 676 5-006727 3251 南京理工大学 644 1-003277 670 5-008490 3256 南京农业大学 636 1-004503 645 5-018602 3259 南京师范大学 660 1-001479 662 5-011223 3267 南京信息工程大学 623 1-007009 634 5-024373 3270 南京医科大学 640 5-0210073281 苏州大学 661 1-001470 670 5-0086133297 西交利物浦大学 623 1-007117 630 5-026256 3315 中国矿业大学 630 1-005610 645 5-0187383316 中国药科大学 658 1-001724 655 5-0140103325 中国人民大学(苏州校 662 1-001326 685 5-004487 3404 安徽大学 643 1-003408 643 5-0195023429 安徽医科大学 651 5-0156453445 合肥工业大学 625 1-006553 652 5-0151773455 中国科学技术大学 712 5-0008163457 合肥工业大学(宣城校 638 5-0219713507 福建农林大学 617 5-0333363517 福州大学 647 1-002916 656 5-0135403523 华侨大学 626 1-006446 629 5-0268893543 厦门大学 670 1-000793 690 5-0036483557 华侨大学(预科班) 624 5-0298003607 江西财经大学 636 1-004583 640 5-0207723646 南昌大学 636 1-004626 647 5-0176393731 山东大学 658 1-001666 669 5-0088243732 山东大学威海分校 651 1-002410 657 5-013177 3763 中国海洋大学 653 1-002176 664 5-0105873765 中国石油大学(华东) 645 5-0185444032 湖北中医药大学 634 1-004818 635 5-023552 4034 华中科技大学 661 1-001459 680 5-0055714037 华中农业大学 631 1-005421 633 5-0246884039 华中师范大学 650 1-002450 648 5-0171834055 武汉大学 667 1-000982 681 5-0053854058 武汉工程大学 619 5-0326024067 武汉科技大学 628 5-0272534072 武汉理工大学 637 1-004412 658 5-0128064093 中国地质大学(武汉) 634 1-004846 647 5-017569 4095 中南财经政法大学 662 1-001370 672 5-007950 4236 郑州大学 631 1-005431 643 5-0195304305 长沙理工大学 623 5-0300534314 湖南大学 656 1-001880 669 5-0089184330 湖南科技大学 619 5-0321334335 湖南农业大学 617 5-0334394342 湖南师范大学 632 1-005233 639 5-0215554352 湖南中医药大学 639 5-0216594358 南华大学 618 5-0330654362 湘潭大学 625 1-006675 627 5-0277804365 中南大学 655 1-001990 670 5-0085194366 中南林业科技大学 622 5-0307544412 广东外语外贸大学 650 1-002482 651 5-015870 4422 广州医科大学 652 5-0153104423 广州中医药大学 635 1-004731 642 5-0202754424 华南理工大学 654 1-002096 681 5-005443 4425 华南农业大学 624 1-006931 625 5-028941 4426 华南师范大学 643 1-003406 648 5-017274 4428 暨南大学 638 1-004265 663 5-0109524431 南方医科大学 649 5-0164654433 汕头大学 628 1-005944 643 5-0196864436 中山大学 668 1-000918 678 5-0062334440 深圳大学 639 1-004079 645 5-0186654504 广西大学 625 1-006681 630 5-0260374517 广西医科大学 645 5-0187654602 海南大学 627 1-006307 634 5-0243725005 西南大学 642 1-003599 641 5-0203575007 西南政法大学 645 1-003166 656 5-013762 5011 重庆大学 653 1-002198 664 5-0104845031 重庆医科大学 649 5-0168095111 成都中医药大学 641 1-003653 639 5-021382 5113 电子科技大学 665 5-0101665120 四川大学 655 1-001944 667 5-0096355129 四川农业大学 624 5-0296895141 西南财经大学 659 1-001630 674 5-007194 5143 西南交通大学 638 1-004211 653 5-014961 5150 电子科技大学(沙河校 658 5-0129415210 贵州大学 624 1-006741 630 5-0263445314 云南大学 629 1-005841 633 5-0247846102 长安大学 630 1-005712 644 5-0189056105 陕西科技大学 623 5-0298376108 陕西师范大学 629 1-005934 631 5-025857 6116 西安电子科技大学 627 1-006200 659 5-012349 6125 西安建筑科技大学 622 1-007222 632 5-025209 6127 西安交通大学 661 1-001407 619 5-032568 6139 西安外国语大学 626 1-006429 642 5-020235 6144 西北大学 619 1-008020 648 5-0173116145 西北工业大学 631 1-005474 665 5-010310 6147 西北农林科技大学 628 1-006078 637 5-022347 6204 兰州大学 639 1-004023 652 5-0152376301 青海大学 621 5-0309446405 宁夏大学 621 1-007576 626 5-0285806501 石河子大学 617 5-0337526504 新疆大学 618 5-033156。
1415华中师范大学5555558121126118 1790上海大学3436558118124114 1230北京科技大学2426557122127113 1565北京第二外国语学院2222557117130123 1155兰州大学5255556128124114 1173山东大学威海分校5051556123127118 1380北京林业大学1213556129119117 1445上海财经大学(较高收费)33556112123115 2090西北大学1818556116135120 2240南京审计学院5050556119131107 1335中国地质大学(北京)41555118124124 1390北京中医药大学1213554108127118 1520暨南大学2225554119128133 1855南京师范大学2022554129115123 1425西南大学3335553121118124 1220华北电力大学(北京)1515552111139108 1255东北大学2527552113116133 1960广东外语外贸大学3941552119103132 1250电子科技大学88551117126129 1295中国石油大学(北京)66551116125111 1515西北工业大学1414551113126126 1810华东政法大学5962551122126120 2500首都经济贸易大学1212551108135114 1190厦门大学(较高收费)1212550110133124 1275华东理工大学3438550109135122 1150江南大学2727549115115127 2230天津财经大学4346549118127130 2265南京财经大学3232549100123120 1340中国地质大学(武汉)2830548105119109 1550北京工商大学1012548109112120 2030西南政法大学7280548119128116 2335上海金融学院1010548106125131 1300中国石油大学(华东)2424547117143108 1315武汉理工大学3737547121128121 1395中国药科大学22547114132124 1805上海对外经贸大学3739546114122124 2925上海立信会计学院1212546118115134 1270河海大学1818545113129110 1915江西财经大学313354********* 1225北京化工大学1618544117111114 1285大连海事大学89544110124132 2620成都中医药大学33544104134115 1345中国矿业大学(北京)88543119117106 1420陕西师范大学6262543115122138 1965深圳大学33355421041251136000郑州大学739762542112109141 1405东北师范大学6872541120125108 1690辽宁大学8788541122117105 1885安徽大学2426541111125117 1895福州大学3239541115124108 2110西安外国语大学1212541118121106 2115西北政法大学323354111799132 1200华北电力大学(保定)66540110115128 1315武汉理工大学(较高收费)22540124105122 1360华中农业大学(较高收费)51540118116118 1370西北农林科技大学3638540115141105 1985华南师范大学1616540114110123 2080云南大学2525540115131128 2250天津外国语大学8587540116112123 2340汕头大学1516540114122133 1240长安大学192053911811697 1320西安电子科技大学1415539114121115 1360华中农业大学525653995126120 1840江苏大学2327539113117119 1935湖南师范大学5454539111118124 2205青岛大学1414539112125116 1325西南交通大学2424538109117119 1350中国矿业大学3436538106122112 1365南京农业大学4040538114121121 1795上海理工大学2931538115125111 1910南昌大学5053538114115121 2215中国民航大学89538104131128 2220武汉科技大学3032536112129110 2225首都师范大学1414536118122119 1835扬州大学1111535110108127 1880宁波大学1719535111124133 2105西安邮电大学77535116105117 2365太原理工大学1616535109112129 2385安徽财经大学3535535108117126 2750海南大学8282535104124122 2890重庆工商大学3236535109120110 2910四川外国语大学1212535113120121 2325华侨大学3737534118102137 2305贵州大学2021533115103116 2315南京邮电大学2526533110115109 2400北京物资学院1718533112122113 2850广州大学5960533115125103 2920山西财经大学1718533118115126 1180武汉大学(护理)44532116125113 1930湘潭大学84935321191141261975广州中医药大学3333532119125119 2255浙江理工大学2021532116126101 2395集美大学3032532111114111 2860上海海事大学222553212195128 1265合肥工业大学1212531115116118 1605天津医科大学6653111692124 2345宁波诺丁汉大学77531107105134 2405天津师范大学8183531115110121 3240天津商业大学3737531107114125 1385东北林业大学3436530106121118 1635燕山大学1819530117111115 2380北京信息科技大学101053012397119 2885华东交通大学22530107109124 1500哈尔滨工程大学1414529114113114 1860南京信息工程大学2727529114121125 2390上海师范大学129133529125132114 2550北京联合大学89529115107121 2780山东科技大学1818529115121114 2280北京建筑大学33528114119115 2320北方工业大学1011528111125114 1760东北农业大学353952********* 1845南京工业大学99527112117101 2755宁夏大学2525527116121119 3175北京印刷学院34527110107121 6080河南财经政法大学560588527110133110 1805上海对外经贸大学(较高收44526117119112 2210湖北大学4346526113103116 2450成都理工大学22526118115115 2505南京林业大学1617526122132123 2575浙江师范大学2424526110121116 1680内蒙古大学1213525120108114 2270江苏科技大学1313525113117118 2275青岛科技大学2020525108113114 2390上海师范大学(较高收费)1010525106135121 6005河南大学11271184525123111109 1740延边大学2126524123123113 2095陕西科技大学1011524115107114 2410青岛理工大学2020524112129111 2415浙江工业大学151552412495119 2525天津工业大学3436524109110106 2615湖南中医药大学353952412391120 2805西安理工大学1012524111108113 2865重庆交通大学1921524117112113 6080河南财经政法大学(较高收3030524123121103 9919上海戏剧学院44524107901181235北京邮电大学131652********* 1375中国农业大学(较高收费)55523114117114 1660山西大学4346523111126107 1970华南农业大学2427523112104119 2125青海大学1011523120120105 2290中国计量学院1516523113126103 2310南方医科大学4446523103123111 2565南通大学161652310612694 2800中南林业科技大学5662523116115119 2035重庆邮电大学1620522123120110 2330西安工业大学101152211789119 2425湖南科技大学4348522110113114 2535西安科技大学68522109119113 2875上海海洋大学1416522113101111 6085河南科技大学115121522110130103 1640石家庄铁道大学151552********* 1765哈尔滨医科大学32521113121109 2100西安建筑科技大学910521107111129 2295南华大学2123521104116128 2300长沙理工大学2326521117112126 6100河南理工大学2733521115101124 1189西交利物浦大学3636520119104108 2510西南科技大学1616520115114124 2875上海海洋大学(较高收费)33520113129101 4205福建师范大学4216520115111119 1103中南民族大学9791519105112116 1415华中师范大学(较高收费)9451911111098 1505南京航空航天大学1313519111105128 1695辽宁工程技术大学3527519103114113 1710沈阳农业大学1819519108113117 1745长春理工大学188519101122104 2120新疆大学1712519107111106 2130石河子大学5045519107122103 2285沈阳建筑大学1010519120104128 2350大连民族学院109519114117118 2530中北大学89519110119111 2785河北大学4524519114122107 2790辽宁石油化工大学1415519113108113 2795沈阳工业大学2730519114112106 2880常州大学85519118129122 4055杭州师范大学4544519106123108 5035重庆理工大学56519109135100 6010河南农业大学4548519113122103 6015河南中医学院10085519104109109 6030河南师范大学303319519113981211270 1360 1385 2895 6080 6080 2125 2295 2405 2425 2575 2880 3240 1970 2420 2520 2785 2875 2900 2435 2790 2800 2935 3200 5005 1695 1170 1375 1760 50351405 3175 1325 2130 2350 2355 2375 2120 2390 1190 1910 4020 1103 1350 1415 1490 1695 1880 1970 2865 2875 4055 4205 6015 6030 6100 6105 4195 1710 4700 6010 9919。
浙江省2013年文理科第一批首轮平行志愿投档分数线院校代码院校名称文科理科投档分数名次号投档分数名次号0001 浙江大学671 1-000768 693 5-002984 0003 浙江工业大学630 1-005727 640 5-021137 0004 浙江师范大学628 1-006054 631 5-025862 0005 宁波大学630 1-005678 630 5-026199 0006 杭州电子科技大学630 1-005673 629 5-026701 0007 浙江工商大学634 1-004873 632 5-025370 0008 浙江理工大学626 1-006363 630 5-026045 0009 温州医科大学639 1-004067 650 5-016189 0010 浙江海洋学院621 5-0312280011 浙江农林大学623 5-0300860012 浙江中医药大学645 1-003146 647 5-017664 0013 中国计量学院625 5-0290170014 浙江万里学院618 5-0329420015 浙江科技学院623 5-0303130016 浙江财经大学647 1-002852 659 5-012324 0017 嘉兴学院622 1-007390 621 5-0312300018 浙江大学城市学院625 5-0288430019 浙江大学宁波理工学院620 5-0317890020 杭州师范大学625 1-006559 626 5-028659 0021 湖州师范学院619 1-008047 620 5-031620 0022 绍兴文理学院622 1-007336 623 5-030286 0024 温州大学623 1-006984 624 5-029312 0027 浙江传媒学院623 1-007019 628 5-027446 0166 浙江财经大学(中外合642 1-003543 647 5-017807 0168 温州大学中美合作肯恩619 1-007927 617 5-033275 0180 浙江工业大学(中外合620 5-0317500182 宁波诺丁汉大学625 1-006725 636 5-022917 0183 杭州电子科技大学(中617 5-0334901103 北京大学709 1-000022 733 5-000077 1104 北京大学医学部715 5-0006411105 北京第二外国语学院658 1-001684 663 5-011199 1113 北京工业大学635 1-004661 656 5-013685 1116 北京航空航天大学665 1-001138 690 5-003638 1117 北京化工大学640 1-003943 651 5-015570 1121 北京交通大学660 1-001547 672 5-0080321123 北京科技大学650 1-002483 653 5-014982 1127 北京理工大学660 1-001498 681 5-005392 1128 北京林业大学645 1-003182 636 5-022904 1130 北京师范大学680 1-000403 682 5-005244 1132 北京体育大学631 1-005433 622 5-030857 1133 北京外国语大学674 1-000651 687 5-004059 1136 北京协和医学院635 5-0235631140 北京邮电大学624 5-0297231142 北京语言大学655 1-001960 655 5-014029 1143 北京中医药大学618 5-0331101144 对外经济贸易大学619 1-007849 693 5-003065 1146 华北电力大学(北京) 626 1-006521 661 5-011692 1147 清华大学707 1-000026 731 5-000103 1149 首都师范大学639 1-004043 618 5-032796 1151 首都医科大学665 5-0102631153 中国传媒大学664 1-001188 674 5-007434 1154 中国地质大学(北京) 620 1-007734 648 5-017337 1155 中国矿业大学(北京) 634 1-004842 648 5-017224 1157 中国农业大学647 1-002842 672 5-0079211159 中国人民大学693 1-000113 718 5-000477 1160 中国石油大学(北京) 622 1-007385 655 5-013891 1163 中国政法大学622 1-007339 687 5-004207 1165 中央财经大学629 1-005811 688 5-003862 1167 中央民族大学620 1-007633 662 5-011567 1171 北京邮电大学(宏福校669 5-0089201202 河北工业大学640 5-0212911203 南开大学669 1-000870 690 5-003535 1210 天津大学664 1-001228 680 5-005707 1239 天津医科大学674 5-0073791246 天津中医药大学639 5-0215321247 中国民航大学628 5-0274101311 东北大学秦皇岛分校640 5-0208511331 河北医科大学671 5-0083521334 华北电力大学(保定) 636 1-004464 653 5-014784 1342 石家庄铁道大学625 1-006703 623 5-029836 1349 燕山大学624 1-006882 628 5-027199 1404 山西大学623 1-007080 624 5-029795 1415 太原理工大学623 1-007037 638 5-0222561418 中北大学617 5-0334711502 内蒙古大学620 1-007818 626 5-028383 2108 大连海事大学645 1-003124 649 5-016505 2111 大连理工大学645 1-003076 676 5-006816 2117 大连医科大学651 5-0159002122 东北财经大学645 1-003189 647 5-017615 2124 东北大学638 1-004271 660 5-012044 2127 辽宁大学631 1-005343 637 5-022530 2155 沈阳农业大学620 5-0315392158 沈阳药科大学627 5-0281052161 中国医科大学649 5-0166512167 大连理工大学(盘锦校627 5-0279082210 长春理工大学619 1-007957 622 5-030358 2218 东北师范大学638 1-004115 640 5-021011 2220 吉林大学655 1-001957 662 5-011504 2242 延边大学623 1-007107 629 5-027029 2302 东北石油大学622 5-0304592303 东北林业大学623 1-006973 627 5-028137 2304 东北农业大学623 1-007004 625 5-0290432308 哈尔滨工程大学624 1-006736 650 5-016095 2309 哈尔滨工业大学650 1-002454 682 5-005098 2310 哈尔滨工业大学(威海) 664 5-0105302320 哈尔滨医科大学647 5-0177922332 黑龙江中医药大学633 5-0244963101 东华大学654 1-002047 660 5-012100 3102 复旦大学696 1-000073 722 5-000299 3104 华东理工大学653 1-002145 676 5-006773 3105 华东师范大学668 1-000935 683 5-005037 3106 华东政法大学662 1-001330 676 5-006623 3109 上海财经大学688 1-000202 710 5-000967 3112 上海大学656 1-001827 662 5-011325 3119 上海对外经贸大学638 1-004268 644 5-018942 3125 上海海事大学637 1-004348 632 5-025119 3127 上海海洋大学617 5-0334553131 上海交通大学698 1-000062 724 5-000253 3132 上海交通大学医学院704 5-0015453136 上海理工大学637 1-004401 650 5-016403 3151 上海外国语大学667 1-000997 686 5-0042633164 上海中医药大学617 5-0334913165 同济大学671 1-000790 692 5-003129 3166 上海交通大学医学院(648 5-0170813169 华东师范大学(少数民630 5-0265833171 复旦大学医学院720 5-0003983206 东南大学666 1-001055 686 5-004290 3209 河海大学648 1-002796 662 5-011281 3216 江南大学643 1-003383 655 5-013857 3220 江苏大学628 1-006009 635 5-023809 3240 南京大学682 1-000359 694 5-002887 3243 南京工业大学626 1-006441 631 5-025692 3246 南京航空航天大学654 1-002078 676 5-006727 3251 南京理工大学644 1-003277 670 5-008490 3256 南京农业大学636 1-004503 645 5-018602 3259 南京师范大学660 1-001479 662 5-011223 3267 南京信息工程大学623 1-007009 634 5-024373 3270 南京医科大学640 5-0210073281 苏州大学661 1-001470 670 5-008613 3297 西交利物浦大学623 1-007117 630 5-0262563315 中国矿业大学630 1-005610 645 5-018738 3316 中国药科大学658 1-001724 655 5-014010 3325 中国人民大学(苏州校662 1-001326 685 5-004487 3404 安徽大学643 1-003408 643 5-019502 3429 安徽医科大学651 5-0156453445 合肥工业大学625 1-006553 652 5-015177 3455 中国科学技术大学712 5-0008163457 合肥工业大学(宣城校638 5-0219713507 福建农林大学617 5-0333363517 福州大学647 1-002916 656 5-013540 3523 华侨大学626 1-006446 629 5-026889 3543 厦门大学670 1-000793 690 5-003648 3557 华侨大学(预科班)624 5-0298003607 江西财经大学636 1-004583 640 5-020772 3646 南昌大学636 1-004626 647 5-017639 3731 山东大学658 1-001666 669 5-008824 3732 山东大学威海分校651 1-002410 657 5-013177 3763 中国海洋大学653 1-002176 664 5-010587 3765 中国石油大学(华东) 645 5-0185444032 湖北中医药大学634 1-004818 635 5-023552 4034 华中科技大学661 1-001459 680 5-005571 4037 华中农业大学631 1-005421 633 5-024688 4039 华中师范大学650 1-002450 648 5-017183 4055 武汉大学667 1-000982 681 5-005385 4058 武汉工程大学619 5-0326024067 武汉科技大学628 5-0272534072 武汉理工大学637 1-004412 658 5-012806 4093 中国地质大学(武汉) 634 1-004846 647 5-017569 4095 中南财经政法大学662 1-001370 672 5-007950 4236 郑州大学631 1-005431 643 5-019530 4305 长沙理工大学623 5-0300534314 湖南大学656 1-001880 669 5-008918 4330 湖南科技大学619 5-0321334335 湖南农业大学617 5-0334394342 湖南师范大学632 1-005233 639 5-021555 4352 湖南中医药大学639 5-0216594358 南华大学618 5-0330654362 湘潭大学625 1-006675 627 5-0277804365 中南大学655 1-001990 670 5-008519 4366 中南林业科技大学622 5-0307544412 广东外语外贸大学650 1-002482 651 5-015870 4422 广州医科大学652 5-0153104423 广州中医药大学635 1-004731 642 5-020275 4424 华南理工大学654 1-002096 681 5-005443 4425 华南农业大学624 1-006931 625 5-028941 4426 华南师范大学643 1-003406 648 5-017274 4428 暨南大学638 1-004265 663 5-010952 4431 南方医科大学649 5-0164654433 汕头大学628 1-005944 643 5-019686 4436 中山大学668 1-000918 678 5-006233 4440 深圳大学639 1-004079 645 5-018665 4504 广西大学625 1-006681 630 5-026037 4517 广西医科大学645 5-0187654602 海南大学627 1-006307 634 5-024372 5005 西南大学642 1-003599 641 5-020357 5007 西南政法大学645 1-003166 656 5-013762 5011 重庆大学653 1-002198 664 5-0104845031 重庆医科大学649 5-0168095111 成都中医药大学641 1-003653 639 5-021382 5113 电子科技大学665 5-0101665120 四川大学655 1-001944 667 5-009635 5129 四川农业大学624 5-0296895141 西南财经大学659 1-001630 674 5-007194 5143 西南交通大学638 1-004211 653 5-014961 5150 电子科技大学(沙河校658 5-0129415210 贵州大学624 1-006741 630 5-026344 5314 云南大学629 1-005841 633 5-024784 6102 长安大学630 1-005712 644 5-018905 6105 陕西科技大学623 5-0298376108 陕西师范大学629 1-005934 631 5-025857 6116 西安电子科技大学627 1-006200 659 5-012349 6125 西安建筑科技大学622 1-007222 632 5-025209 6127 西安交通大学661 1-001407 619 5-032568 6139 西安外国语大学626 1-006429 642 5-020235 6144 西北大学619 1-008020 648 5-017311 6145 西北工业大学631 1-005474 665 5-0103106147 西北农林科技大学628 1-006078 637 5-022347 6204 兰州大学639 1-004023 652 5-015237 6301 青海大学621 5-0309446405 宁夏大学621 1-007576 626 5-028580 6501 石河子大学617 5-0337526504 新疆大学618 5-033156。
浙江省2013高考分数线
浙江省2013高考分数线公布
昨天,浙江省教育考试院公布了2013年浙江省高考分数线。
据统计,全省报考的考生人数为XX人,其中参加文理科考试的人数分别为XX人和XX人。
浙江省2013高考文理科分数线分别为:
文科本科:XX分
文科提前批A段:XX分
文科提前批B段:XX分
理科本科:XX分
理科提前批:XX分
各个地区的高考分数线也有所不同。
据了解,杭州地区的分数线较高,而温州地区的分数线较低。
浙江省2013高考文理科分数线公布后,不少考生和家长纷纷表示,相比往年,今年的分数线有所上升,竞争压力也更大。
据教育专家分析,今年高考分数线的上升与高考改革有一定的关系。
近年来,高考改革力求提高考试的公平性和科学性,使分数线更贴近考生的实际水平。
根据浙江省教育考试院的规定,分数线以上的考生可以报考本省的高校,而分数线以下的考生则需要参加提前批、专科批次或艺术类、体育类院校的招生考试。
浙江省教育考试院相关负责人表示,分数线仅供考生参考,实际录取情况还要根据高校的具体招生计划和考生的综合素质进行综合评定。
今年的高考分数线公布引发了广泛关注。
无论分数线如何,希望广大考生和家长能够理性对待,认真备考,积极应对高考挑战,为自己的理想和未来努力奋斗。
科类分数段本段人数累计人数科类分数段本段人数累计人数科类分数段本段人数累计人数科类分数段本段人数累计人数理工≥722308308理工6902123650理工65837413031理工62656428709理工72149357理工6891793829理工65739213423理工62553529244理工72046403理工6881724001理工65643213855理工62455929803理工71947450理工6872144215理工65539014245理工62354530348理工71857507理工6862134428理工65443114676理工62256830916理工71753560理工6852124640理工65342115097理工62156131477理工71644604理工6842084848理工65243515532理工62056332040理工71544648理工6832175065理工65145815990理工61960432644理工71452700理工6822335298理工65042416414理工61857333217理工71368768理工6812465544理工64948016894理工61758133798理工71264832理工6802655809理工64848217376理工61660034398理工71166898理工6792366045理工64748117857理工61558934987理工71073971理工6782386283理工64650018357理工61455635543理工709811052理工6772836566理工64545218809理工61357036113理工7081001152理工6763176883理工64447719286理工61256136674理工707991251理工6752867169理工64350419790理工61158837262理工706881339理工6742927461理工64248520275理工61056437826理工7051141453理工6733357796理工64149520770理工60953038356理工704991552理工6722958091理工64053421304理工60857538931理工703981650理工6713198410理工63949021794理工60757739508理工7021261776理工6703008710理工63847122265理工60658840096理工7011241900理工6693439053理工63752322788理工60558940685理工7001142014理工6683519404理工63652623314理工60455441239理工6991302144理工6673479751理工63555923873理工60358341822理工6981222266理工66634610097理工63452524398理工60253642358理工6971462412理工66538010477理工63354824946理工60154742905理工6961572569理工66434810825理工63255925505理工60057543480理工6951662735理工66337411199理工63149626001理工59953244012理工6941732908理工66237211571理工63058426585理工59862344635理工6931603068理工66135311924理工62951227097理工59751945154理工6921993267理工66037012294理工62850327600理工6911713438理工65936312657理工62754528145科类分数段本段人数累计人数科类分数段本段人数累计人数科类分数段本段人数累计人数科类分数段本段人数累计人数文史≥684307307文史662811395文史6401433952文史6182148303文史68332339文史661811476文史6391404092文史6172208523文史68227366文史660841560文史6381794271文史6162398762文史68123389文史659871647文史6371744445文史6152419003文史68032421文史658881735文史6361854630文史6142509253文史67928449文史657871822文史6351624792文史6132549507文史67830479文史656811903文史6341854977文史6122519758文史67739518文史6551112014文史6331985175文史6112309988文史67634552文史6541232137文史6321665341文史61025210240文史67549601文史653962233文史6311825523文史60927010510文史67456657文史6521062339文史6302085731文史60824010750文史67339696文史6511082447文史6292115942文史60726511015文史67250746文史6501102557文史6281856127文史60625911274文史67144790文史6491282685文史6272146341文史60525211526文史67065855文史6481402825文史6261946535文史60423611762文史66962917文史6471072932文史6251926727文史60324612008文史66850967文史6461243056文史6242246951文史60222212230文史667591026文史6451453201文史6232347185文史60125112481文史666531079文史6441443345文史6222127397文史60024012721文史665671146文史6431803525文史6212227619文史59926712988文史664841230文史6421273652文史6202277846文史663841314文史6411573809文史6192438089。
2013浙江省高考分数线一、引言2013年的浙江省高考分数线是学生们关注的焦点话题之一。
高考作为中国教育体制中的重要环节,直接决定了考生是否能够进入理想的大学。
因此,了解2013年浙江省高考分数线对于考生及其家长来说十分重要。
本文将详细介绍2013年浙江省普通高考、艺术类高考和体育类高考的分数线,以帮助考生做好准备。
二、2013年浙江省普通高考分数线2013年浙江省普通高考分数线是考生们最关心的话题之一。
普通高考是绝大多数考生参加的高考形式,是他们进入普通高等院校的主要途径。
根据浙江省教育考试院公布的数据,2013年浙江省普通高考的文科和理科分数线分别如下:1. 文科分数线2013年浙江省文科高考分数线为:一本线437分,二本线382分,三本线(高职专科分数线)288分。
根据考试成绩,学生可以按照分数线的要求,选择报考相应的大学或院校。
2. 理科分数线2013年浙江省理科高考分数线为:一本线443分,二本线368分,三本线(高职专科分数线)293分。
理科生可以根据这些分数线的要求,选择适合自己的院校或专业。
三、2013年浙江省艺术类高考分数线除了普通高考外,艺术类高考在浙江省也具有一定的影响力。
艺术类高考是为了培养艺术类人才而设立的,对于有艺术天赋的学生来说是一次施展才华的机会。
根据浙江省教育考试院的数据,2013年浙江省艺术类高考的分数线如下:1. 本科普通类2013年浙江省艺术类普通类高考本科线为:音乐类373分、美术类441分、设计类325分。
考生可以根据自己的艺术特长和成绩选择适合自己的专业。
2. 专科普通类2013年浙江省艺术类普通类高考专科线为:音乐类294分、美术类383分、设计类267分。
考生可以根据自己的兴趣和成绩选择相应的专科院校。
四、2013年浙江省体育类高考分数线体育类高考是为了培养体育类人才而设立的高考形式。
根据浙江省教育考试院公布的数据,2013年浙江省体育类高考的分数线如下:1. 本科普通类2013年浙江省体育类普通类高考本科线为:足球类406分、篮球类369分、田径类350分。