浙江省2001-2013高考招生录取分数线
- 格式:doc
- 大小:132.00 KB
- 文档页数:2
1999年浙江高考人数统计表
全国1998-2012高考录取人数
1998年:录取108万人,报考人数为320万,录取率为34%
1999年:按当年统计,全国普通高校招生160万人,比1998年增加了52万人,增幅高达48%。
2000年:录取180万
2001年:录取260万人录取率首次突破50%
2002年:录取320万人
2003年:录取382万人
2004年:录取420万人
2005年:录取504万人考生867万
2006年:录取530万人考生880万
2007年:高校计划招生567万人,与30年前报考人数极其接近,但是录取比例约为2:1。
2008年:高考招生人数创新高,计划录取599万人,考生1050万。
录取比例57%。
2009年:全国普通高校招生报名人数约为1020万人,预计2009年高考的平均录取率将接近62%。
2010年:录取657万人考生957万。
录取比例69%。
2011年:录取675万人考生933万。
录取比例72%。
2012年:录取685万人考生915万。
录取比例75%。
2013年:考生912万(未统计报考后弃考人数)。
一一北京大学1104一1144对外经济贸易大学6415-00348291326715-003488786935-003065766825-003662856391146华北电力大学(北京)6295-00529979796335-013606406615-011692446615-00839064655清华大学6975-000126147347215-0001141287315-0001031147345-0001041377371149首都师范大学5795-01930329196225-018141296185-03279616195-025********1151首都医科大学5855-01708935306515-007728586655-010*********-010********1153中国传媒大学6185-00753568266535-007125606745-007434576645-007574676591154中国地质大学(北京)5905-01517640706285-015324356485-017337316405-015652436431155中国矿业大学(北京)5835-01770533186235-017361306485-017224316385-016470416051157中国农业大学6135-00879063896475-008713546725-007921556615-008441646541159中国人民大学6755-000611125377025-0005581097185-0004771017085-0008331117161160中国石油大学(北京)5955-01368445276345-013056416555-013891386445-013936476061163中国政法大学6425-00333192306585-005951656875-004207706825-003677856671165中央财经大学6205-00713170586685-003888756885-003862716815-003928846851167中央民族大学6025-01161752266395-011465466625-011567456515-011750546561171北京邮电大学(宏福校区)6005-0121365066445-009848516695-008920526555-010********1189中国科学院大学7125-0006461157261190中央财经大学(中外合作专业)6691191北京化工大学(中外合作专业)6241192中国传媒大学(中外合作专业)6411193北京交通大学(中外合作专业)6161194北京理工大学(中外合作专业)6621202河北工业大学5725-02199722306155-021*********-021*********-019417346361203南开大学6405-00360990496705-003539776905-003535736815-003847846841206天津财经大学6225-023********1210天津大学6315-00500081766645-004758716805-005707636755-00492278675一一2210长春理工大学5535-03070631115975-03035946225-03035856075-0311*******2218东北师范大学5565-0290656286105-023*********-021*********-03457636242220吉林大学5985-012768481206395-011331466625-011504456555-010********2242延边大学5565-0294316195995-029********-027*********-028********2245东北师范大学(中外合作专业)6142302东北石油大学5535-0307053155965-03089936225-03045956065-03183796142303东北林业大学5545-0300964545995-029********-028*********-027********2304东北农业大学5525-0311042255985-029********-029********-028********2308哈尔滨工程大学5825-01821032626245-017067316505-016095336445-01428747644哈尔滨工业大学6285-00551878956615-005213686825-005098656735-005386766622310哈尔滨工业大学(威海)5885-01586638956335-013324406645-010*********-010********2320哈尔滨医科大学5655-02498615386095-024*********-017792306165-026618196282323黑龙江大学5985-03602916152332黑龙江中医药大学5655-0251841566015-028********-024496163101东华大学5995-012364491806385-011715456605-012100436545-010********复旦大学6915-000225141407125-0002471197225-0002991057245-0002401277293104华东理工大学6255-006069752046585-005954656765-006773596695-006233726723105华东师范大学6335-00467883986645-004602716835-005037666785-004380816773106华东政法大学6265-00578676756555-006604626765-006623596715-005948746773109上海财经大学6655-001118115486865-001628937105-000967936935-002151966953112上海大学6035-011098533926395-011448466625-011325456585-009464616603119上海对外经贸大学6105-009374601186065-025*********-018942276505-012078536593125上海海事大学6325-025*********-025********3127上海海洋大学6175-03345506075-0311*******上海交通大学6845-000374134407125-0002661197245-0002531077265-000216129728一3132上海交通大学医学院6475-00270697176815-002120887045-001545877065-0009921097103136上海理工大学5915-01484141896285-015581356505-016403336455-013815486493151上海外国语大学6375-00402987396675-004171746865-004263696735-005487766793164上海中医药大学5855-01720435296285-015283356175-03349106435-014528466473165同济大学6425-003246921106725-003242796925-003129756865-003095896863166上海交通大学医学院(护理类)5805-01908530106115-023*********-017081313169华东师范大学(少数民族班)65955-0319*******-026583136305-020105333171复旦大学医学院7205-0003981037275-0001951307303206东南大学6355-004337851176685-003991756865-004290696775-004576806823209河海大学6105-009368601346465-009240536625-011281456565-009856596543216江南大学5865-016879362956285-015370356555-013857386475-012936506503220江苏大学5645-02561214526115-023*********-023*********-023********南京大学6455-00297595516755-002834826945-002887776875-002957906903243南京工业大学5685-02375018776115-023*********-025*********-022********3246南京航空航天大学6205-007038701636545-006893616765-006727596685-006674716693251南京理工大学6165-008109661896505-008077576705-008490536645-007794676653256南京农业大学5715-022660211466185-019985256455-018602286365-017584396413259南京师范大学5885-01606938606345-013261416625-011223456515-011621546573267南京信息工程大学5625-02659512586065-025*********-024*********-027********3270南京医科大学6235-00650873266615-005322686405-021*********-014911456673273南京邮电大学6175-026039206323281苏州大学6125-00899262566485-008396556705-008613536635-008031666633297西交利物浦大学5605-02732210656045-026975116305-026256136165-026544196223315中国矿业大学5685-023927181396175-020*********-018738286355-017809386253316中国药科大学5955-01370345766305-014851376555-014010386485-01282451652一3325中国人民大学(苏州校区)66595-005703666855-004487686725-005580756683327江南大学(中外合作专业)6415-015278446503328河海大学(中外合作专业)6333329苏州大学(中外合作专业)6103404安徽大学5715-02262721436165-020*********-019502266385-016515416403429安徽医科大学5875-01628537185935-03304406515-015645346585-009395616243445合肥工业大学5775-020155272276265-016131336525-015177356455-01391248638中国科学技术大学6675-001009117426965-0008281037125-000816957075-0009051107203457合肥工业大学(宣城校区)706005-029********-021*********-019777336353507福建农林大学6175-03333606035-03310666113517福州大学5955-01368145506345-012968416565-013540396505-012034536503523华侨大学5595-02772591226035-027*********-026889126145-027********3543厦门大学6415-00348791966705-003615776905-003648736835-003440866843557华侨大学(预科班)6245-02980073562厦门大学(中外合作专业)6655-007303686683607江西财经大学5655-02494715356175-020*********-020*********-019255346343646南昌大学5745-021090241136215-018504286475-017639306405-015860436413680南昌大学(中外合作办学专业)6315-019505346473731山东大学6195-007255691466525-007447596695-008824526675-006886706623732山东大学威海分校5835-01796233506305-014486376575-013177406505-012088536513763中国海洋大学6035-01127253786405-010*********-010*********-010********3765中国石油大学(华东)5695-02351619706195-019487266455-018544286365-017204396323777山东大学威海分校(中外合作专业)6385-016543416464032湖北中医药大学5685-02363718146045-026809116355-023*********-021********4034华中科技大学6315-004964812046625-005077696805-005571636765-00475079674一一一6102长安大学5675-024370171246155-021*********-018905276375-016969406106105陕西科技大学5545-0299464505985-03026356235-029********-030404126166108陕西师范大学5585-0282638206045-026752116315-025*********-025********6116西安电子科技大学5925-014464421656355-012788426595-012349426515-011753546526125西安建筑科技大学5685-02387518266045-026732116325-025*********-028********西安交通大学6335-004592831116665-004253736195-03256826735-005333766786139西安外国语大学5705-02290720156215-018544286425-020*********-019087356306144西北大学5775-02013427306245-017189316485-017311316395-016088426386145西北工业大学6045-01087454876425-010*********-010*********-009590606616147西北农林科技大学5595-0277529546085-024*********-022*********-020********6204兰州大学5835-01795833906285-015455356525-015237356485-012748516506301青海大学5535-0304183185985-03013056215-03094446075-0313*******6405宁夏大学5555-0299065135975-03047746265-028********-027********6409宁夏医科大学6196501石河子大学5525-0310482125935-03285606175-03375205975-03637906056504新疆大学5505-0322890225935-03299606185-03315615975-0365280605。
杭七中历年高考成绩篇一:杭州中考历年分数线语文闭卷120分钟120分按卷面得分数学闭卷100分钟120分按卷面得分英语闭卷(含听力) 100分钟120分按卷面得分科学闭卷120分钟180分按卷面得分思想品德、历史与社会开卷90分钟100分不计入总分,成绩按合格不合格评定体育三类共12项,可自主选择、多次反复参加测试30分每类一项最高得分之和满分总计570分历年的分数线: 2001年杭州中考分数线1杭二中461 2学军中学446 3杭高4414杭十四中5浙大附中436 6杭四中430 7杭师院附属中学4288长河高级中学4109杭七中40610杭十一中402 10二中分校40212杭九中39812西湖高中398 12 杭十中398 12长征中学39812源清中学39812长河高中择校班39818杭十一中择校班398 19杭九中择校班39019长征中学39019 西湖高中390 19杭十中择校班39019杭七中美术班39012002年杭州中考分数线1杭二中480分2杭高470分3学军中学467分4杭十四中458分5浙大附中449分5杭师院附属中学447分6 杭四中446分7长河高级中学431分8杭七中425分9杭十一中418分10二中分校412分11杭九中407分12 西湖高中406分12长征中学406分12杭十中406分12十一中择校(转载于: 小龙文档网:杭七中历年高考成绩)班406分12长河高中择校班406分17杭七中美术班为380分2003年杭州中考分数线1杭二中:4802学军中学:475 3杭高:4724杭十四中4645浙大附中4596杭师院附属三墩中学452 7杭四中4488长河高级中学435 9杭七中431 10杭十一中42511二中分校41812杭九中41113西湖高中:408 13长河高中择校班:408 15长征中学40715杭九中择校生班407 17杭十中405 17杭十一中择校生班40517十中择校班405 17长征中学择校班405 17西湖高中择校生班40523杭七中美术班:第一志愿385;第二志愿40022 源清中学:3982004年杭州中考分数线1杭二中488 2学军中学476 3杭高4754杭十四中4635浙大附中459 6杭四中4587杭师院附属三墩中学4548长河高级中学4389杭七中43410杭十一中428 11杭二中分校41812杭四中分校41713杭九中41314西湖高级中学412 15杭十一中择校班409216源清中学406 16杭十中406 16长征中学406 16长河择校班40616杭九中择校班406 16西湖高中择校班406 16长征中学择校班406 16杭十中择校班406 23杭七中美术班380 2005年杭州中考分数线1杭二中484 2学军中学4813杭高4774十四中4675浙大附中4576杭四中455 7杭师院附高4528长河高级中学449 9杭七中436 10杭十一中427 11西湖高级中学41812杭九中41413长征中学406 13长河高中择校生40615杭十中40515杭二中分校405 15杭四中分校405 15源清中学405 15绿城育华40515杭九中择校生40515杭十一中择校生405 15杭十中择校生40515西湖高中择校生405 15长征中学择校生40526杭七中美术班39127杭七中美术班择校3712006年杭州中考分数线1杭二中5162学军中学504 3杭高5044杭十四中4975浙大附中491 6杭四中489 7杭师院附高4848长河高级中学483 9杭七中472 10杭十一中464 11西湖高级中学46012杭九中45413杭四中分校444 14长征中学441 14长河高中择校生44114长征中学择校生班441 17杭十中438 17杭十中择校生438 19西湖高中择校生班436320杭二中分校436 20源清中学436 20绿城育华学校43620杭九中择校生436 20杭十一中择校生43620 夏衍中学436分26杭七中美术班436 26杭七中美术择校班4362007年杭州中考分数线1 学军中学5072 杭二中5063 杭高5004 杭十四中4915 浙大附中486 6 杭四中484 6 长河高中4848 师大附中4819 杭七中465 10 西湖高级中学460 11 杭十一中45912 杭九中45213 长河高中择校生447 14 杭四中分校44515 杭七中择校生44116 西湖高中择校生44117 长征中学44018 杭十中436 18绿城育华43618源清中学436 18杭二中分校436 18杭十中择校43618长征中学择校43618夏衍中学43618夏衍中学择校43618杭十一择校436 18杭九中择校436杭州第二中学503 杭州学军中学496 杭州高级中学494 杭州第十四中学484 杭州第四中学481 浙江大学附属中学479杭州长河高级中学普通班479 杭师大附属中学475 杭州第七中学460 杭州西湖高级中学458杭州长河高级中学择校班456 杭州西湖高中择校生班453 杭州第十一中学452 杭州第九中学普通班448 杭州第四中学分校4464杭州第十中学普通班443 杭州源清中学443 杭州绿城育华学校443 杭州长征中学普通班443普通中专五年制和“3+2”高职班最低录取控制分数线为300分,三年制普通中专(高职院校中专部)的最低录取控制分数线为200分;市区技工学校不划统一的最低录取控制分数线,由各招生学校根据本校招生计划和考生志愿,择优录取。
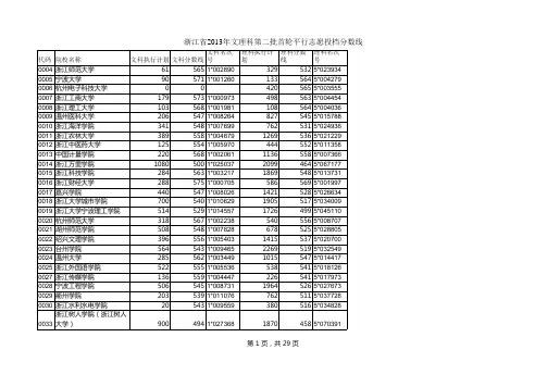
浙江省2013年文理科第一批首轮平行志愿投档分数线浙江省2013年文理科第一批首轮平行志愿投档分数线院校代码院校名称文科理科投档分数名次号投档分数名次号0001 浙江大学671 1-000768 693 5-0029840003 浙江工业大学630 1-005727 640 5-0211370004 浙江师范大学628 1-006054 631 5-0258620005 宁波大学630 1-005678 630 5-0261990006 杭州电子科技大学630 1-005673 629 5-0267010007 浙江工商大学634 1-004873 632 5-0253700008 浙江理工大学626 1-006363 630 5-0260450009 温州医科大学639 1-004067 650 5-0161890010 浙江海洋学院621 5-0312280011 浙江农林大学623 5-0300860012 浙江中医药大学645 1-003146 647 5-0176640013 中国计量学院625 5-0290170014 浙江万里学院618 5-0329420015 浙江科技学院623 5-0303130016 浙江财经大学647 1-002852 659 5-0123240017 嘉兴学院622 1-007390 621 5-0312300018 浙江大学城市学院625 5-0288430019 浙江大学宁波理工学院620 5-0317890020 杭州师范大学625 1-006559 626 5-0286590021 湖州师范学院619 1-008047 620 5-0316200022 绍兴文理学院622 1-007336 623 5-0302860024 温州大学623 1-006984 624 5-0293120027 浙江传媒学院623 1-007019 628 5-0274460166 浙江财经大学(中外合642 1-003543 6475-0178070168 温州大学中美合作肯恩619 1-007927 617 5-0332750180 浙江工业大学(中外合620 5-0317500182 宁波诺丁汉大学625 1-006725 636 5-0229170183 杭州电子科技大学(中617 5-0334901103 北京大学709 1-000022 733 5-0000771104 北京大学医学部715 5-0006411105 北京第二外国语学院658 1-001684 6635-0111991113 北京工业大学635 1-004661 656 5-0136851116 北京航空航天大学665 1-001138 690 5-0036381117 北京化工大学640 1-003943 651 5-0155701121 北京交通大学660 1-001547 672 5-0080321123 北京科技大学650 1-002483 653 5-0149821127 北京理工大学660 1-001498 681 5-0053921128 北京林业大学645 1-003182 636 5-0229041130 北京师范大学680 1-000403 682 5-0052441132 北京体育大学631 1-005433 622 5-0308571133 北京外国语大学674 1-000651 687 5-0040591136 北京协和医学院635 5-0235631140 北京邮电大学624 5-0297231142 北京语言大学655 1-001960 655 5-0140291143 北京中医药大学618 5-0331101144 对外经济贸易大学619 1-007849 693 5-0030651146 华北电力大学(北京) 626 1-006521 6615-0116921147 清华大学707 1-000026 731 5-0001031149 首都师范大学639 1-004043 618 5-0327961151 首都医科大学665 5-0102631153 中国传媒大学664 1-001188 674 5-0074341154 中国地质大学(北京) 620 1-007734 6485-0173371155 中国矿业大学(北京) 634 1-004842 6485-0172241157 中国农业大学647 1-002842 672 5-0079211159 中国人民大学693 1-000113 718 5-0004771160 中国石油大学(北京) 622 1-007385 6555-0138911163 中国政法大学622 1-007339 687 5-0042071165 中央财经大学629 1-005811 688 5-0038621167 中央民族大学620 1-007633 662 5-0115671171 北京邮电大学(宏福校669 5-0089201202 河北工业大学640 5-0212911203 南开大学669 1-000870 690 5-0035351210 天津大学664 1-001228 680 5-0057071239 天津医科大学674 5-0073791246 天津中医药大学639 5-0215321247 中国民航大学628 5-0274101311 东北大学秦皇岛分校640 5-0208511331 河北医科大学671 5-0083521334 华北电力大学(保定) 636 1-004464 6535-0147841342 石家庄铁道大学625 1-006703 623 5-0298361349 燕山大学624 1-006882 628 5-0271991404 山西大学623 1-007080 624 5-0297951415 太原理工大学623 1-007037 638 5-0222561418 中北大学617 5-0334711502 内蒙古大学620 1-007818 626 5-0283832108 大连海事大学645 1-003124 649 5-0165052111 大连理工大学645 1-003076 676 5-0068162117 大连医科大学651 5-0159002122 东北财经大学645 1-003189 647 5-0176152124 东北大学638 1-004271 660 5-0120442127 辽宁大学631 1-005343 637 5-0225302155 沈阳农业大学620 5-0315392158 沈阳药科大学627 5-0281052161 中国医科大学649 5-0166512167 大连理工大学(盘锦校627 5-0279082210 长春理工大学619 1-007957 622 5-0303582218 东北师范大学638 1-004115 640 5-0210112220 吉林大学655 1-001957 662 5-0115042242 延边大学623 1-007107 629 5-0270292302 东北石油大学622 5-0304592303 东北林业大学623 1-006973 627 5-0281372304 东北农业大学623 1-007004 625 5-0290432308 哈尔滨工程大学624 1-006736 650 5-0160952309 哈尔滨工业大学650 1-002454 682 5-0050982310 哈尔滨工业大学(威海) 664 5-0105302320 哈尔滨医科大学647 5-0177922332 黑龙江中医药大学633 5-0244963101 东华大学654 1-002047 660 5-0121003102 复旦大学696 1-000073 722 5-0002993104 华东理工大学653 1-002145 676 5-0067733105 华东师范大学668 1-000935 683 5-0050373106 华东政法大学662 1-001330 676 5-0066233109 上海财经大学688 1-000202 710 5-0009673112 上海大学656 1-001827 662 5-0113253119 上海对外经贸大学638 1-004268 644 5-0189423125 上海海事大学637 1-004348 632 5-0251193127 上海海洋大学617 5-0334553131 上海交通大学698 1-000062 724 5-0002533132 上海交通大学医学院704 5-0015453136 上海理工大学637 1-004401 650 5-0164033151 上海外国语大学667 1-000997 686 5-0042633164 上海中医药大学617 5-0334913165 同济大学671 1-000790 692 5-0031293166 上海交通大学医学院(648 5-0170813169 华东师范大学(少数民630 5-0265833171 复旦大学医学院720 5-0003983206 东南大学666 1-001055 686 5-0042903209 河海大学648 1-002796 662 5-0112813216 江南大学643 1-003383 655 5-0138573220 江苏大学628 1-006009 635 5-0238093240 南京大学682 1-000359 694 5-0028873243 南京工业大学626 1-006441 631 5-0256923246 南京航空航天大学654 1-002078 676 5-0067273251 南京理工大学644 1-003277 670 5-0084903256 南京农业大学636 1-004503 645 5-0186023259 南京师范大学660 1-001479 662 5-0112233267 南京信息工程大学623 1-007009 634 5-0243733270 南京医科大学640 5-0210073281 苏州大学661 1-001470 670 5-0086133297 西交利物浦大学623 1-007117 630 5-0262563315 中国矿业大学630 1-005610 645 5-0187383316 中国药科大学658 1-001724 655 5-0140103325 中国人民大学(苏州校662 1-001326 6855-0044873404 安徽大学643 1-003408 643 5-0195023429 安徽医科大学651 5-0156453445 合肥工业大学625 1-006553 652 5-0151773455 中国科学技术大学712 5-0008163457 合肥工业大学(宣城校638 5-0219713507 福建农林大学617 5-0333363517 福州大学647 1-002916 656 5-0135403523 华侨大学626 1-006446 629 5-0268893543 厦门大学670 1-000793 690 5-0036483557 华侨大学(预科班)624 5-0298003607 江西财经大学636 1-004583 640 5-0207723646 南昌大学636 1-004626 647 5-0176393731 山东大学658 1-001666 669 5-0088243732 山东大学威海分校651 1-002410 657 5-0131773763 中国海洋大学653 1-002176 664 5-0105873765 中国石油大学(华东) 645 5-0185444032 湖北中医药大学634 1-004818 635 5-0235524034 华中科技大学661 1-001459 680 5-0055714037 华中农业大学631 1-005421 633 5-0246884039 华中师范大学650 1-002450 648 5-0171834055 武汉大学667 1-000982 681 5-0053854058 武汉工程大学619 5-0326024067 武汉科技大学628 5-0272534072 武汉理工大学637 1-004412 658 5-0128064093 中国地质大学(武汉) 634 1-004846 6475-0175694095 中南财经政法大学662 1-001370 672 5-0079504236 郑州大学631 1-005431 643 5-0195304305 长沙理工大学623 5-0300534314 湖南大学656 1-001880 669 5-0089184330 湖南科技大学619 5-0321334335 湖南农业大学617 5-0334394342 湖南师范大学632 1-005233 639 5-0215554352 湖南中医药大学639 5-0216594358 南华大学618 5-0330654362 湘潭大学625 1-006675 627 5-0277804365 中南大学655 1-001990 670 5-0085194366 中南林业科技大学622 5-0307544412 广东外语外贸大学650 1-002482 651 5-0158704422 广州医科大学652 5-0153104423 广州中医药大学635 1-004731 642 5-0202754424 华南理工大学654 1-002096 681 5-0054434425 华南农业大学624 1-006931 625 5-0289414426 华南师范大学643 1-003406 648 5-0172744428 暨南大学638 1-004265 663 5-0109524431 南方医科大学649 5-0164654433 汕头大学628 1-005944 643 5-0196864436 中山大学668 1-000918 678 5-0062334440 深圳大学639 1-004079 645 5-0186654504 广西大学625 1-006681 630 5-0260374517 广西医科大学645 5-0187654602 海南大学627 1-006307 634 5-0243725005 西南大学642 1-003599 641 5-0203575007 西南政法大学645 1-003166 656 5-0137625011 重庆大学653 1-002198 664 5-0104845031 重庆医科大学649 5-0168095111 成都中医药大学641 1-003653 639 5-0213825113 电子科技大学665 5-0101665120 四川大学655 1-001944 667 5-0096355129 四川农业大学624 5-0296895141 西南财经大学659 1-001630 674 5-0071945143 西南交通大学638 1-004211 653 5-0149615150 电子科技大学(沙河校658 5-0129415210 贵州大学624 1-006741 630 5-0263445314 云南大学629 1-005841 633 5-0247846102 长安大学630 1-005712 644 5-0189056105 陕西科技大学623 5-0298376108 陕西师范大学629 1-005934 631 5-0258576116 西安电子科技大学627 1-006200 659 5-0123496125 西安建筑科技大学622 1-007222 632 5-0252096127 西安交通大学661 1-001407 619 5-0325686139 西安外国语大学626 1-006429 642 5-0202356144 西北大学619 1-008020 648 5-0173116145 西北工业大学631 1-005474 665 5-0103106147 西北农林科技大学628 1-006078 637 5-0223476204 兰州大学639 1-004023 652 5-0152376301 青海大学621 5-0309446405 宁夏大学621 1-007576 626 5-0285806501 石河子大学617 5-0337526504 新疆大学618 5-033156。
近⼏年各省⾼考本科录取率2012年省别⼀本(⼈数:万⼈)录取数⽐例(%)北京 10.03 20175 25.5天津 7.65 15057 19.7上海5.9 14955 20.51 (2012上海本科录取新⽣40019余⼈,本科录取率⾼达72.76%)青海 4.00 5070 12.7海南 5.78 6817 11.8浙江 34.85 33600 9.6宁夏 5.80 5483 9.5江苏 54.00 44442 8.2重庆 19.60 14951 7.6⿊龙江 23.00 17365 7.6⼭东 70.00 49684 7.1云南 22.00 15151 6.9陕西 40.50 26799 4.6福建 30.50 19419 6.4湖北 51.95 33069 6.4⼴东 6*4.40 40965 6.4贵州 24.00 14147 5.9江西 34.90 20052 5.7安徽 57.30 32424 5.7四川 50.00 25688 5.1⼴西 30.18 14712 4.9⼭西 37.10 17810 4.8湖南 50.70 23155 4.6河北 55.90 24637 4.4河南 95.90 33766 3.52012年⾼考⼀本录取率⽐较2013年⾼考在即,现将收集到的2012年⼀本录取情况贴在这⾥,也许对实现教育公平不⽆好处。
上海2012 ⾼考录取5.2万;其中提前招⽣⼤约0.9万本专科;考⽣总数5.9万;其中0.5-0.6万为出国放弃⾼考;结论如下:5.2/5.4=96.29%录取率2012各省市区⾼考报名⼈数与⼀本录取率统计表省市区按考⽣计⼀本录取率按同龄⼈⼝估算每万⼈进⼊⼀本⼈数考⽣数(万⼈)⼀本录取⼈数⼀本录取率(%)1994年出⽣⼈⼝⑴(万⼈)每万⼈进⼊⼀本⼈数北京7.34 18642 25.40 10.6 1759 四川+76.8 46527 6.06 198.0 235 重庆陕西37.5 42369 11.30 57.5 737 江西26.9 23978 8.91 78.4 306 吉林16.2 23035 14.22 34.7 664 宁夏 6.02 7854 13.05 10.0 785 ⼴西28.5 20200 7.09 81.4 248 内蒙古18.95 20964 11.06 40.2 521 ⽢肃29.6 18417 6.22 51.0 361 西藏 1.9 1259 6.63 6.0 210 福建25.7 30841 12.00 50.6 610 上海 5.9 12100 20.51 9.0 1344 ⼴东69.2 40000 5.78 125.7 318 ⼭东55 54026 9.82 90.2 599 浙江31.5 23700 7.52 56.8 417 河南80.5 47013 5.84 135.3 347 安徽50.6 45768 9.05 99.1 462 江苏47.4 44782 9.45 90.6 494 河北45.9 37358 8.14 92.7 403 ⿊龙江21 19500 9.29 50.7 385 湖南36.3 35489 9.78 86.4 411 湖北45.6 33525 7.35 95.8 350 ⼭西36.1 23136 6.41 52.3 442 云南21 23865 11.36 84.0 284贵州24.8 19637 7.92 77.6 253海南 5.5 7694 13.99 14.8 520辽宁25.9 31644 12.22 51.9 610天津 6.4 14647 22.89 10.1 1450青海 4.07 6000 14.74 10.7 561新疆15.47 21415 13.84 32.0 669全国904 795385 8.80 2121.2 3752013年全国⾼考⼀本录取已经结束,233⽹校⾼考站整理了2013年全国⾼考⼀本录取率汇总,供考⽣以及家长参考!(说明:数据仅供参考)排名省/市2013年⾼考⼈数⼀本计划录取⼈数(单位:万)录取率1 天津 6.3 1.5447 24.52%2 北京7.27 1.7686 24.33%3 上海 5.3 1.2 22.64%4 青海 3.6733 0.6837 18.61%5 ⼭东50.9 9.351 18.37%6 宁夏 5.87 1.001 17.05%7 吉林15.5 2.2435 14.47%8 福建25.5 3.6186 14.19%9 贵州24.78 3.4369 13.87%10 浙江31.3 4.1887 13.38%11 陕西36.65 4.8422 13.21%12 新疆15.87 2.05 12.92%13 云南23.6 3.0179 12.79%14 海南 5.6 0.6396 11.42%15 内蒙古19.3 2.163 11.21%16 ⽢肃28.3 2.9598 10.46%17 安徽51.1 5.1692 10.12%18 江苏45.1 4.5085 10.00%19 湖南37.3 3.5789 9.59%20 ⿊龙江20.8 1.9931 9.58%21 重庆23.5 2.195 9.34%22 江西27.43 2.4891 9.07%23 河北44.98 4.0602 9.03%24 湖北43.8 3.5923 8.20%25 ⼴西29.8 2.3 7.72%26 河南71.63 4.8655 6.79%27 ⼴东72.7 4.3092 5.93%28 ⼭西35.8 2.1091 5.89%29 辽宁25.4 1.4583 5.74%30 四川54 2.849 5.28%31 西藏 1.89 0.0904 4.78%。
2007年本科一批分数线理科5732008年本科一批分数线理科573院校最高分最低分院校最高分最低分2001北京大学7146590001北京大学705674 2203中国科学技术大学6686540116北京大学医学部677673 2187浙江大学6696530062中国科学技术大学675663 2007北京航空航天大学6706510045上海交通大学675662 2156南京大学6636510061浙江大学676661 2028中央财经大学6606440003清华大学711656 2036南开大学6606420005北京航空航天大学673656 2024北京外国语大学6636410030南开大学668652 2029对外经济贸易大学6576390052南京大学672651 2008北京理工大学6516360050上海财经大学668648 2411西安交通大学6596360043复旦大学676647 2002中国人民大学6686350031天津大学661643 2122哈尔滨工业大学6536350118上海交通大学医学院677642 2138同济大学6636300004北京交通大学654633 2290武汉大学6536290007北京科技大学652630 2292华中科技大学6576290018中央财经大学670628 2037天津大学6566250028中国政法大学664626 2159东南大学6556250014北京师范大学6646252674北京大学医学部6706250029华北电力大学(北京)655624 2004清华大学6706240076中山大学662623 2217厦门大学6556240088西北工业大学649623 2336中山大学6536222001山东大学657623 2150上海财经大学6536208009首都医科大学664621 2005北京交通大学6476198011北京第二外国语学院6356172678上海交通大学医学院6596180104中国石油大学(北京)652616 2081大连理工大学6436148028天津财经大学640616 2413西北工业大学6416138001北京工业大学639615 2009北京科技大学6486120085西南财经大学654614 2101东北财经大学6426110055南京理工大学643612 2160南京航空航天大学6486110087西安交通大学6636122696中国农业大学6116110105中国地质大学(北京)654612 2003清华大学7026102004中国海洋大学657612 2012北京化工大学6436098164上海大学633612 2241山东大学6626090046华东理工大学650611 2244中国海洋大学6496080089西安电子科技大学6476112103吉林大学6516072009中国石油大学(华东)644611 2137复旦大学6696070027中央民族大学644609 2161南京理工大学6336050041哈尔滨工程大学646609 2312中南财经政法大学6356050078华南理工大学644609 2319中南大学6446050082电子科技大学6496092390西南财经大学6416050013北京中医药大学662608 2034中国政法大学6536040035东北大学643608 2146华东师范大学6486040067华中科技大学661608 2362四川大学6486030069武汉理工大学633608 2019首都医科大学6496020093兰州大学630607 2030首都经济贸易大学6346020057河海大学6346062317湖南大学6316020103中国矿业大学(北京)626606 2051华北电力大学(保定)6316018042河北医科大学615606 2193温州医学院6076018093中国医科大学639606 2084东北大学6306008250江西财经大学621606 2087大连海事大学6356008165苏州大学636605 2143东华大学6306008433新疆医科大学619605 2207安徽医科大学6156000060中国药科大学634604 2092大连医科大学6265998013首都经济贸易大学651604 2041天津医科大学6415988696南方医科大学650604 2247中国石油大学(华东)6365980058江南大学627603 2365电子科技大学6375980080重庆大学644603 2168河海大学6285978003北京工商大学617603 2026北京语言大学6385968331广西医科大学609603 2158苏州大学6185968351重庆医科大学627603 2437兰州大学6255968058太原理工大学620602 2297中国地质大学(武汉)6255938151上海海事大学634602 2047天津财经大学6305928178南京师范大学617602 2142上海海事大学6335920056中国矿业大学634601 2357广西医科大学6065910081西南交通大学641601 2035华北电力大学(北京)6495900012北京林业大学642600 2091中国医科大学6415900090长安大学627600 2153华东政法大学6415908026天津外国语学院629600 2376重庆医科大学6245908401西安建筑科技大学633600 2017北京林业大学6285890032中国民航大学640599 2139上海交通大学6675890074湖南大学6425992204合肥工业大学6195890154哈尔滨工业大学(威海)6335992141上海理工大学6315888036河北工业大学617599 2175南京信息工程大学6235888132燕山大学617599 2500中国矿业大学(北京)6195888171江苏大学621599 2699哈尔滨工程大学5995888209安徽医科大学633599 2199浙江工商大学6085878236南昌大学618599 2239江西财经大学6085870017中国传媒大学6425982415西安电子科技大学6395870033华北电力大学(保定)638598 2702华东理工大学5875870084西南大学619598 2010北方工业大学6125868150上海理工大学625598 2129哈尔滨医科大学6155868204安徽大学616597 2202安徽大学6075868367西南政法大学6375972226南昌大学6175860063合肥工业大学626596 2169江南大学6225858188浙江工业大学6155962301武汉理工大学6235858236南昌大学(中外合作)596596 2023首都师范大学6175848398西北大学622596 2064太原理工大学6095840091西北农林科技大学621595 2163中国矿业大学6325848138哈尔滨医科大学621595 2173江苏大学6135848189浙江理工大学629595 2178南京农业大学6215842055山东大学威海分校619594 2363重庆大学6435848060山西医科大学601594 2474青岛大学6385848115东北电力大学6215942045天津外国语学院6185838164上海大学(中外合作)619594 2486扬州大学5965838273武汉科技大学611594 2039中国民航大学6265820006北京理工大学659593 2190浙江理工大学6005820053东南大学659593 2058石家庄铁道学院6035818069山西财经大学621593 2080辽宁大学6045818152上海电力学院623593 2155上海大学5905818166江苏科技大学607593 2435西北政法大学6065818172南京信息工程大学629593 2052河北工业大学6195808533扬州大学614593 2324湖南中医药大学5975800034大连理工大学651592 2695北京邮电大学6435802006山东科技大学625592 2707上海大学6125808095大连医科大学641592 2025北京第二外国语学院6345798167南京工业大学613592 2273郑州大学6245798621宁波大学611592 2378西南大学6095798079辽宁大学611591 2033中央民族大学6265788158上海对外贸易学院619591 2074山西财经大学6055788200浙江工商大学621591 2162江苏科技大学5975788343重庆邮电大学610591 2242山东大学5995788353成都中医药大学5915912245山东科技大学6145780009北京邮电大学(中外合作)6385902337暨南大学6035780059南京农业大学630590 2417西安建筑科技大学6245788002北方工业大学619590 2426西北农林科技大学6085788113延边大学608590 2450新疆医科大学5785788114长春理工大学614590 2679山东大学威海分校6255788384云南大学6135902018北京林业大学5775770068中国地质大学(武汉)627589 2107东北电力大学6115778371贵州大学6035892149上海外国语大学6485770011中国农业大学(中外合作)5955882302华中农业大学6255778023天津中医药大学607588 2303湖北中医学院5775778169南京邮电大学647588 2353广西大学5995778290湘潭大学606588 2400云南大学6035779399西交利物浦大学6045882502中国地质大学(北京)6235778054石家庄铁道学院612587 2703上海海事大学5985778203中国计量学院608587 2006北京工业大学6295768327广西大学6095872020北京中医药大学6325760035东北大学(中外合作)586586 2066山西医科大学6085760040哈尔滨工业大学663586 2076内蒙古大学6055760044同济大学670586 2095沈阳药科大学6025760054南京航空航天大学653586 2104延边大学5985760079四川大学644586 2144上海电力学院6195768097沈阳药科大学618586 2145上海中医药大学6225768170南京林业大学614586 2151上海财经大学5765768251郑州大学624586 2165南京工业大学6035768296湖南中医药大学617586 2167南京邮电大学6285760008北京化工大学648585 2201中国计量学院6115760009北京邮电大学661585 2291武汉大学5845760016北京语言大学643585 2517宁波大学5775760047东华大学628585 2013北京工商大学6085750077暨南大学616585 2015北京邮电大学6585758022天津医科大学633585 2123燕山大学6095758105东北财经大学658585 2124哈尔滨工程大学6375758402西安科技大学603585 2130黑龙江中医药大学5865750019对外经济贸易大学665584 2315湘潭大学5985750064厦门大学660584 2338华南理工大学6335750072中南财经政法大学650584 2339华南农业大学5935750092陕西师范大学608584 2412西安交通大学6515750117东北大学秦皇岛分校606584 2027中国传媒大学6415748010首都师范大学631584 2054河北医科大学5815748070内蒙古大学612584 2090沈阳农业大学5815748137东北农业大学590584 2094辽宁中医药大学6005748139黑龙江中医药大学587584 2127东北农业大学5755748224福州大学616584 2157南京大学5975748314华南师范大学610584 2171南京林业大学5985748431新疆大学600584 2218福州大学6075748631西安邮电学院608584 2279河南大学5975740015北京外国语大学667583 2293武汉科技大学6025740039东北师范大学605583 2304华中师范大学6215740049上海外国语大学659583 2306湖北大学5985742039青岛大学638583 2325湖南师范大学5995748057中北大学6075832373中国民用航空飞行学院6065748091沈阳农业大学589583 2377成都中医药大学5825748160华东政法大学641583 2671宁波诺丁汉大学6115748192温州医学院633583 2672西交利物浦大学6015748280湖北大学601583 2704上海电力学院5895740002中国人民大学675582 2016中国农业大学6545730011中国农业大学6585822021北京师范大学6565730023北京体育大学629582 2031北京体育大学6165730036大连海事大学640582 2042天津中医药大学6095730038吉林大学653582 2062中北大学6085730042东北林业大学6085822105长春理工大学5965730045上海交通大学(中外合作)6185822112东北师范大学6095730048华东师范大学646582 2128东北林业大学5925730065华侨大学604582 2140华东理工大学6475730066武汉大学663582 2152上海对外贸易学院6195730070华中农业大学628582 2179中国药科大学6345730071华中师范大学626582 2180南京师范大学6085730075中南大学6395822188浙江工业大学6065730083中国民用航空飞行学院6065822248青岛科技大学6145732010青岛科技大学616582 2251青岛理工大学6155732013青岛理工大学616582 2256山东农业大学6115732018山东农业大学643582 2259山东中医药大学6185732021山东中医药大学619582 2260山东师范大学6165732023山东师范大学627582 2262曲阜师范大学5975732025曲阜师范大学6015822342华南师范大学6085732056青岛大学(中外合作)604582 2364西南交通大学6425738096辽宁中医药大学5935822368重庆邮电大学6055738151上海海事大学(中外合作)5825822374四川农业大学5835738152上海电力学院 (中外合作)6085822391西南政法大学6065738156上海中医药大学614582 2393贵州大学6045738187杭州电子科技大学613582 2410西北大学6075738262河南大学598582 2419西安科技大学6035738297湖南师范大学600582 2424长安大学6185738309华南农业大学601582 2427陕西师范大学5965738312广州中医药大学5915822448新疆大学5885738349四川农业大学596582 2501中国石油大学(北京)6375738413西北政法大学614582 2516宁波大学5985739398宁波诺丁汉大学634582 2521西安邮电学院6025732536南方医科大学6325732676东北大学秦皇岛分校5915732677哈尔滨工业大学(威海)6255732701同济大学5925732710青岛大学5875732009年本科一批分数线理科573院校最高分最低分0003清华大学723686 0001北京大学714685 0043复旦大学685674 0045上海交通大学684670 0061浙江大学684670 0062中国科学技术大学684669 0052南京大学684666 0005北京航空航天大学681664 0002中国人民大学684663 0018中央财经大学676656 0006北京理工大学667655 0087西安交通大学682653 0009北京邮电大学667651 0031天津大学685651 0119上海交通大学医学院678651 0014北京师范大学666650 0030南开大学681644 0028中国政法大学667642 0004北京交通大学660640 0053东南大学664640 0007北京科技大学663638 0029华北电力大学(北京)660634 0050上海财经大学672632 2001山东大学668631 8022天津医科大学651631 0048华东师范大学655627 2005中国海洋大学657627 0046华东理工大学660624 0054南京航空航天大学667623 0104中国石油大学(北京)657623 8105东北财经大学656623 0078华南理工大学659622 0008北京化工大学650621 0017中国传媒大学667620 0033华北电力大学(保定)653620 0034大连理工大学671620 0079四川大学658620 0085西南财经大学654619 0049上海外国语大学661618 0075中南大学6636180036大连海事大学657617 8347重庆医科大学631616 0012北京林业大学649614 0055南京理工大学654614 0080重庆大学655614 0038吉林大学653613 0060中国药科大学647613 0093兰州大学634613 0103中国矿业大学(北京)632613 8095大连医科大学645613 8210安徽医科大学626613 0081西南交通大学643612 8250郑州大学634612 8549南京审计学院637612 8003北京工商大学660611 8042河北医科大学622611 8060山西医科大学614611 8157上海对外贸易学院640611 0074湖南大学647610 8168南京邮电大学634610 2010中国石油大学(华东)659609 0068中国地质大学(武汉)634608 8399西安建筑科技大学639608 0063合肥工业大学638607 8010首都师范大学626607 8130燕山大学623607 8136哈尔滨医科大学639607 8159华东政法大学652607 8224福州大学624607 0027中央民族大学640606 0118哈尔滨工业大学(威海)651606 8166南京工业大学619606 0072中南财经政法大学656605 2054山东大学威海分校635605 8093中国医科大学649605 8155上海中医药大学625605 8002北方工业大学621604 0047东华大学642603 8036河北工业大学619603 8396西北大学622603 0071华中师范大学629602 8187杭州电子科技大学622602 8411西北政法大学6196020064厦门大学676601 8026天津外国语学院640601 8079辽宁大学621601 8188浙江工业大学617601 8235南昌大学624601 8704南方医科大学653601 0040哈尔滨工业大学667600 0057河海大学651600 2040青岛大学645600 8023天津中医药大学618600 8113东北电力大学648599 0090长安大学647598 8163上海大学637598 8192温州医学院618598 8339重庆邮电大学629598 0039东北师范大学623597 0059南京农业大学623597 8629宁波大学626597 0077暨南大学628596 0084西南大学623596 8054石家庄铁道学院619596 8307汕头大学618596 8363西南政法大学633596 8367贵州大学614596 8380云南大学622596 8400西安科技大学608596 0056中国矿业大学633595 0070华中农业大学618595 8204中国计量学院620595 8328广西医科大学611595 0066武汉大学665594 0117东北大学秦皇岛分校616594 8097沈阳药科大学622594 8205安徽大学618594 8289湘潭大学609594 8311广州中医药大学628594 0011中国农业大学660593 8070内蒙古大学615593 8279湖北大学609593 8639西安邮电学院617593 0058江南大学629592 8001北京工业大学6385928011北京第二外国语学院646591 8137黑龙江中医药大学604591 8169南京林业大学623591 8261河南大学631591 9420宁波诺丁汉大学632591 0082电子科技大学649590 0089西安电子科技大学652590 8111延边大学617590 8177南京师范大学634590 8249江西财经大学631590 8296湖南师范大学609590 8433新疆医科大学617590 0069武汉理工大学636589 0083中国民用航空飞行学院620589 8171南京信息工程大学641589 8324广西大学613589 0042东北林业大学616588 8028天津财经大学644588 8151上海电力学院623588 8272武汉科技大学621588 8313华南师范大学602588 0013北京中医药大学657587 0016北京语言大学645587 0065华侨大学624587 0105中国地质大学(北京)649587 0116北京大学医学部685587 2014青岛理工大学629587 8057中北大学618587 8069山西财经大学627587 8295湖南中医药大学618587 9421西交利物浦大学619587 0015北京外国语大学664586 0019对外经济贸易大学668586 0023北京体育大学620586 0032中国民航大学651586 0035东北大学644586 0041哈尔滨工程大学648586 0044同济大学685586 0067华中科技大学672586 0076中山大学672586 0088西北工业大学656586 0091西北农林科技大学623586 0092陕西师范大学628586 0096石河子大学6135862007山东科技大学626586 2011青岛科技大学622586 2019山东农业大学633586 2022山东中医药大学622586 2024山东师范大学641586 2026曲阜师范大学617586 8009首都医科大学670586 8013首都经济贸易大学637586 8058太原理工大学628586 8091沈阳农业大学588586 8096辽宁中医药大学607586 8112长春理工大学611586 8135东北农业大学599586 8149上海理工大学628586 8150上海海事大学631586 8164苏州大学635586 8165江苏科技大学615586 8170江苏大学626586 8189浙江理工大学620586 8201浙江工商大学620586 8308华南农业大学6145868322海南大学612586 8345四川农业大学601586 8349成都中医药大学586586 8425青海大学609586 8428宁夏大学598586 8431新疆大学616586 8536扬州大学609586 9422北京师范大学-香港浸会大学联591586合国际学院2009年本科一批分数线理科573。
电子科技大学理科录取分数线(浙江)小编为方便您今年的报考工作,特意为您收集整理了2010年的高考录取分数线,更多更详细的高考资讯,尽在高考频道。
如果您有问题,可以随时联系我们。
我们新增了高考满分作文频道,欢迎您进入。
本页内容主要是电子科技大学在浙江地区的理科高考分数线资讯。
谢谢您的访问!最后,预祝各位考生在今年的高考中能够取得优异成绩。
电子科技大学在浙江地区理科录取分数线查看:2013浙江高考分数线浙江高考分数线电子科技大学录取分数线专题:全国历年高考理科分数线汇总全国历年高考文科分数线汇总平均分是指所有被录取考生的平均分数。
平均分,是考生当年进入高校所平均水平的体现。
比较几年的平均分,如果考生都能够处于这个位置,那该考生被录取的可能性在不发生特别意外的情况下是非常大的。
可以说,使用好平均分就能很好避免“大小年”的影响。
因此,我们在使用分数线时,应将最高分、最低分和平均分结合使用,并特别重视平均分的意义。
相对于平均分,录取线差更具参考价值,而且是高考填报志愿的重要参考依据,所谓录取线差是该院校当年平均录取分数与其在所在招生批次录取控制分数线的差值,中国教育在线建议考生用“录取线差”来分析。
由于每年高考模式不一、高考试卷难度有别,造成各个院校各年度的录取分数可能发生较大的变化。
但是通过大量的统计和分析,我们发现,对多数院校来说,尽管录取分数波动较大,但其录取线差一般波动不会太大。
所以应该逐年计算目标院校往年的录取线差:某年录取线差=当年平均录取分数-当年相应批次控制分数线下面以某重点大学在北京招生情况为例,计算录取线差如下:例:某重点大学(理工类)在北京2003——2008年录取情况简单线差法分析示例:平均录取线差=(62+70+69+69+64+58)/6=65很显然,根据往年的情况来看,报考此大学平均需要65分的线差,最高的年份需要70分的线差。
为保险起见,2009年报考该校还必须根据录取分数区间大小、录取人数在各分数段分布情况留出足够的保险空间,建议考生至少要留10分以上的余地。