2013年浙江普通高考文理科第一批成绩分段表 (一分一档表)
- 格式:doc
- 大小:61.00 KB
- 文档页数:4
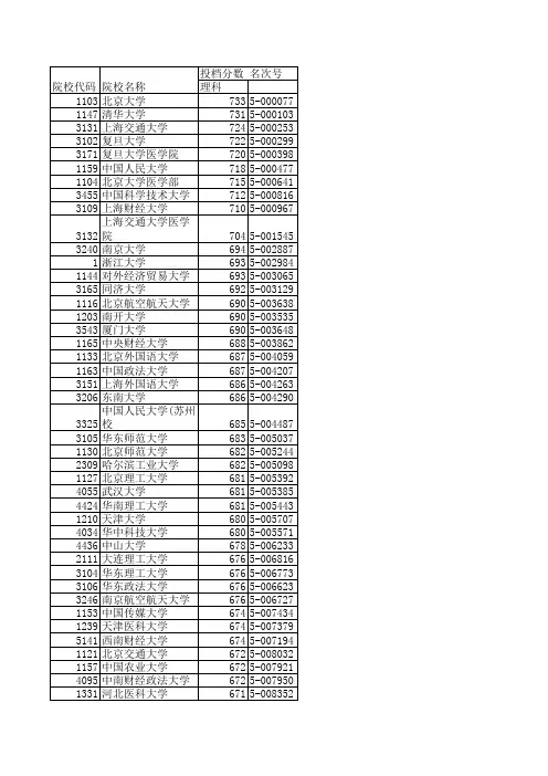
浙江省2013年文理科第一批首轮平行志愿投档分数线院校代码院校名称文科理科投档分数名次号投档分数名次号0001 浙江大学671 1-000768 693 5-002984 0003 浙江工业大学630 1-005727 640 5-021137 0004 浙江师范大学628 1-006054 631 5-025862 0005 宁波大学630 1-005678 630 5-026199 0006 杭州电子科技大学630 1-005673 629 5-026701 0007 浙江工商大学634 1-004873 632 5-025370 0008 浙江理工大学626 1-006363 630 5-026045 0009 温州医科大学639 1-004067 650 5-016189 0010 浙江海洋学院621 5-0312280011 浙江农林大学623 5-0300860012 浙江中医药大学645 1-003146 647 5-017664 0013 中国计量学院625 5-0290170014 浙江万里学院618 5-0329420015 浙江科技学院623 5-0303130016 浙江财经大学647 1-002852 659 5-012324 0017 嘉兴学院622 1-007390 621 5-0312300018 浙江大学城市学院625 5-0288430019 浙江大学宁波理工学院620 5-0317890020 杭州师范大学625 1-006559 626 5-028659 0021 湖州师范学院619 1-008047 620 5-031620 0022 绍兴文理学院622 1-007336 623 5-030286 0024 温州大学623 1-006984 624 5-029312 0027 浙江传媒学院623 1-007019 628 5-027446 0166 浙江财经大学(中外合642 1-003543 647 5-017807 0168 温州大学中美合作肯恩619 1-007927 617 5-033275 0180 浙江工业大学(中外合620 5-0317500182 宁波诺丁汉大学625 1-006725 636 5-022917 0183 杭州电子科技大学(中617 5-0334901103 北京大学709 1-000022 733 5-000077 1104 北京大学医学部715 5-0006411105 北京第二外国语学院658 1-001684 663 5-011199 1113 北京工业大学635 1-004661 656 5-013685 1116 北京航空航天大学665 1-001138 690 5-003638 1117 北京化工大学640 1-003943 651 5-015570 1121 北京交通大学660 1-001547 672 5-0080321123 北京科技大学650 1-002483 653 5-014982 1127 北京理工大学660 1-001498 681 5-005392 1128 北京林业大学645 1-003182 636 5-022904 1130 北京师范大学680 1-000403 682 5-005244 1132 北京体育大学631 1-005433 622 5-030857 1133 北京外国语大学674 1-000651 687 5-004059 1136 北京协和医学院635 5-0235631140 北京邮电大学624 5-0297231142 北京语言大学655 1-001960 655 5-014029 1143 北京中医药大学618 5-0331101144 对外经济贸易大学619 1-007849 693 5-003065 1146 华北电力大学(北京) 626 1-006521 661 5-011692 1147 清华大学707 1-000026 731 5-000103 1149 首都师范大学639 1-004043 618 5-032796 1151 首都医科大学665 5-0102631153 中国传媒大学664 1-001188 674 5-007434 1154 中国地质大学(北京) 620 1-007734 648 5-017337 1155 中国矿业大学(北京) 634 1-004842 648 5-017224 1157 中国农业大学647 1-002842 672 5-0079211159 中国人民大学693 1-000113 718 5-000477 1160 中国石油大学(北京) 622 1-007385 655 5-013891 1163 中国政法大学622 1-007339 687 5-004207 1165 中央财经大学629 1-005811 688 5-003862 1167 中央民族大学620 1-007633 662 5-011567 1171 北京邮电大学(宏福校669 5-0089201202 河北工业大学640 5-0212911203 南开大学669 1-000870 690 5-003535 1210 天津大学664 1-001228 680 5-005707 1239 天津医科大学674 5-0073791246 天津中医药大学639 5-0215321247 中国民航大学628 5-0274101311 东北大学秦皇岛分校640 5-0208511331 河北医科大学671 5-0083521334 华北电力大学(保定) 636 1-004464 653 5-014784 1342 石家庄铁道大学625 1-006703 623 5-029836 1349 燕山大学624 1-006882 628 5-027199 1404 山西大学623 1-007080 624 5-029795 1415 太原理工大学623 1-007037 638 5-0222561418 中北大学617 5-0334711502 内蒙古大学620 1-007818 626 5-028383 2108 大连海事大学645 1-003124 649 5-016505 2111 大连理工大学645 1-003076 676 5-006816 2117 大连医科大学651 5-0159002122 东北财经大学645 1-003189 647 5-017615 2124 东北大学638 1-004271 660 5-012044 2127 辽宁大学631 1-005343 637 5-022530 2155 沈阳农业大学620 5-0315392158 沈阳药科大学627 5-0281052161 中国医科大学649 5-0166512167 大连理工大学(盘锦校627 5-0279082210 长春理工大学619 1-007957 622 5-030358 2218 东北师范大学638 1-004115 640 5-021011 2220 吉林大学655 1-001957 662 5-011504 2242 延边大学623 1-007107 629 5-027029 2302 东北石油大学622 5-0304592303 东北林业大学623 1-006973 627 5-028137 2304 东北农业大学623 1-007004 625 5-0290432308 哈尔滨工程大学624 1-006736 650 5-016095 2309 哈尔滨工业大学650 1-002454 682 5-005098 2310 哈尔滨工业大学(威海) 664 5-0105302320 哈尔滨医科大学647 5-0177922332 黑龙江中医药大学633 5-0244963101 东华大学654 1-002047 660 5-012100 3102 复旦大学696 1-000073 722 5-000299 3104 华东理工大学653 1-002145 676 5-006773 3105 华东师范大学668 1-000935 683 5-005037 3106 华东政法大学662 1-001330 676 5-006623 3109 上海财经大学688 1-000202 710 5-000967 3112 上海大学656 1-001827 662 5-011325 3119 上海对外经贸大学638 1-004268 644 5-018942 3125 上海海事大学637 1-004348 632 5-025119 3127 上海海洋大学617 5-0334553131 上海交通大学698 1-000062 724 5-000253 3132 上海交通大学医学院704 5-0015453136 上海理工大学637 1-004401 650 5-016403 3151 上海外国语大学667 1-000997 686 5-0042633164 上海中医药大学617 5-0334913165 同济大学671 1-000790 692 5-003129 3166 上海交通大学医学院(648 5-0170813169 华东师范大学(少数民630 5-0265833171 复旦大学医学院720 5-0003983206 东南大学666 1-001055 686 5-004290 3209 河海大学648 1-002796 662 5-011281 3216 江南大学643 1-003383 655 5-013857 3220 江苏大学628 1-006009 635 5-023809 3240 南京大学682 1-000359 694 5-002887 3243 南京工业大学626 1-006441 631 5-025692 3246 南京航空航天大学654 1-002078 676 5-006727 3251 南京理工大学644 1-003277 670 5-008490 3256 南京农业大学636 1-004503 645 5-018602 3259 南京师范大学660 1-001479 662 5-011223 3267 南京信息工程大学623 1-007009 634 5-024373 3270 南京医科大学640 5-0210073281 苏州大学661 1-001470 670 5-008613 3297 西交利物浦大学623 1-007117 630 5-0262563315 中国矿业大学630 1-005610 645 5-018738 3316 中国药科大学658 1-001724 655 5-014010 3325 中国人民大学(苏州校662 1-001326 685 5-004487 3404 安徽大学643 1-003408 643 5-019502 3429 安徽医科大学651 5-0156453445 合肥工业大学625 1-006553 652 5-015177 3455 中国科学技术大学712 5-0008163457 合肥工业大学(宣城校638 5-0219713507 福建农林大学617 5-0333363517 福州大学647 1-002916 656 5-013540 3523 华侨大学626 1-006446 629 5-026889 3543 厦门大学670 1-000793 690 5-003648 3557 华侨大学(预科班)624 5-0298003607 江西财经大学636 1-004583 640 5-020772 3646 南昌大学636 1-004626 647 5-017639 3731 山东大学658 1-001666 669 5-008824 3732 山东大学威海分校651 1-002410 657 5-013177 3763 中国海洋大学653 1-002176 664 5-010587 3765 中国石油大学(华东) 645 5-0185444032 湖北中医药大学634 1-004818 635 5-023552 4034 华中科技大学661 1-001459 680 5-005571 4037 华中农业大学631 1-005421 633 5-024688 4039 华中师范大学650 1-002450 648 5-017183 4055 武汉大学667 1-000982 681 5-005385 4058 武汉工程大学619 5-0326024067 武汉科技大学628 5-0272534072 武汉理工大学637 1-004412 658 5-012806 4093 中国地质大学(武汉) 634 1-004846 647 5-017569 4095 中南财经政法大学662 1-001370 672 5-007950 4236 郑州大学631 1-005431 643 5-019530 4305 长沙理工大学623 5-0300534314 湖南大学656 1-001880 669 5-008918 4330 湖南科技大学619 5-0321334335 湖南农业大学617 5-0334394342 湖南师范大学632 1-005233 639 5-021555 4352 湖南中医药大学639 5-0216594358 南华大学618 5-0330654362 湘潭大学625 1-006675 627 5-0277804365 中南大学655 1-001990 670 5-008519 4366 中南林业科技大学622 5-0307544412 广东外语外贸大学650 1-002482 651 5-015870 4422 广州医科大学652 5-0153104423 广州中医药大学635 1-004731 642 5-020275 4424 华南理工大学654 1-002096 681 5-005443 4425 华南农业大学624 1-006931 625 5-028941 4426 华南师范大学643 1-003406 648 5-017274 4428 暨南大学638 1-004265 663 5-010952 4431 南方医科大学649 5-0164654433 汕头大学628 1-005944 643 5-019686 4436 中山大学668 1-000918 678 5-006233 4440 深圳大学639 1-004079 645 5-018665 4504 广西大学625 1-006681 630 5-026037 4517 广西医科大学645 5-0187654602 海南大学627 1-006307 634 5-024372 5005 西南大学642 1-003599 641 5-020357 5007 西南政法大学645 1-003166 656 5-013762 5011 重庆大学653 1-002198 664 5-0104845031 重庆医科大学649 5-0168095111 成都中医药大学641 1-003653 639 5-021382 5113 电子科技大学665 5-0101665120 四川大学655 1-001944 667 5-009635 5129 四川农业大学624 5-0296895141 西南财经大学659 1-001630 674 5-007194 5143 西南交通大学638 1-004211 653 5-014961 5150 电子科技大学(沙河校658 5-0129415210 贵州大学624 1-006741 630 5-026344 5314 云南大学629 1-005841 633 5-024784 6102 长安大学630 1-005712 644 5-018905 6105 陕西科技大学623 5-0298376108 陕西师范大学629 1-005934 631 5-025857 6116 西安电子科技大学627 1-006200 659 5-012349 6125 西安建筑科技大学622 1-007222 632 5-025209 6127 西安交通大学661 1-001407 619 5-032568 6139 西安外国语大学626 1-006429 642 5-020235 6144 西北大学619 1-008020 648 5-017311 6145 西北工业大学631 1-005474 665 5-0103106147 西北农林科技大学628 1-006078 637 5-022347 6204 兰州大学639 1-004023 652 5-015237 6301 青海大学621 5-0309446405 宁夏大学621 1-007576 626 5-028580 6501 石河子大学617 5-0337526504 新疆大学618 5-033156。
2013年普通高考理科成绩分段统计表时间:2013-6-22 22:39:07分数人数累计分数人数累计分数人数累计681分8 58 636分121 2427 591分452 14465 680分 6 64 635分111 2538 590分439 14904 679分8 72 634分132 2670 589分485 15389 678分 4 76 633分129 2799 588分478 15867 677分11 87 632分157 2956 587分496 16363 676分15 102 631分146 3102 586分465 16828 675分16 118 630分141 3243 585分471 17299 674分13 131 629分156 3399 584分552 17851 673分17 148 628分179 3578 583分497 18348 672分22 170 627分161 3739 582分491 18839 671分17 187 626分176 3915 581分547 19386 670分20 207 625分156 4071 580分551 19937 669分25 232 624分190 4261 579分532 20469 668分21 253 623分200 4461 578分599 21068 667分18 271 622分198 4659 577分597 21665 666分31 302 621分221 4880 576分557 22222 665分33 335 620分216 5096 575分611 22833 664分31 366 619分178 5274 574分595 23428 663分29 395 618分221 5495 573分639 24067 662分33 428 617分211 5706 572分661 24728 661分34 462 616分265 5971 571分627 25355 660分50 512 615分254 6225 570分636 25991 659分41 553 614分240 6465 569分638 26629658分46 599 613分264 6729 568分681 27310 657分58 657 612分260 6989 567分685 27995 656分43 700 611分297 7286 566分720 28715 655分57 757 610分302 7588 565分752 29467 654分64 821 609分285 7873 564分712 30179 653分55 876 608分295 8168 563分724 30903 652分63 939 607分328 8496 562分748 31651 651分73 1012 606分322 8818 561分694 32345 650分64 1076 605分306 9124 560分821 33166 649分75 1151 604分321 9445 559分753 33919 648分63 1214 603分331 9776 558分777 34696 647分75 1289 602分327 10103 557分795 35491 646分85 1374 601分342 10445 556分783 36274 645分78 1452 600分352 10797 555分823 37097 644分103 1555 599分373 11170 554分838 37935 643分105 1660 598分356 11526 553分805 38740 642分108 1768 597分376 11902 552分889 39629 641分82 1850 596分406 12308 551分804 40433 640分94 1944 595分399 12707 550分889 41322 639分116 2060 594分427 13134 549分845 42167 638分114 2174 593分433 13567 548分885 43052 637分132 2306 592分446 14013 547分970 44022 分数人数累计分数人数累计分数人数累计14196 546分955 44977 501分1118 93289 456分963714296 545分893 45870 500分1078 94367 455分994114393 544分969 46839 499分1157 95524 454分9745543分955 47794 498分1177 96701 453分95514581 542分1013 48807 497分1174 97875 452分922214683 541分945 49752 496分1132 99007 451分1019114774 540分997 50749 495分1133 100140 450分912314868 539分968 51717 494分1198 101338 449分93714960 538分1044 52761 493分1157 102495 448分929915051 537分999 53760 492分1160 103655 447分90115140 536分1030 54790 491分1112 104767 446分894415230 535分1020 55810 490分1162 105929 445分905915311 534分1015 56825 489分1145 107074 444分806515392 533分1013 57838 488分1135 108209 443分808315481 532分979 58817 487分1107 109316 442分889215568 531分1081 59898 486分1131 110447 441分870215657 530分1093 60991 485分1135 111582 440分8880 529分1081 62072 484分1138 112720 439分844 1574115823 528分1040 63112 483分1138 113858 438分825915903 527分1054 64166 482分1118 114976 437分796515989 526分1058 65224 481分1109 116085 436分860516072 525分980 66204 480分1057 117142 435分833816151 524分1120 67324 479分1130 118272 434分785316235 523分1104 68428 478分1091 119363 433分840316318 522分1099 69527 477分1076 120439 432分831416401 521分1113 70640 476分1055 121494 431分831516479 520分1151 71791 475分1093 122587 430分776116562 519分1071 72862 474分1097 123684 429分836716644 518分1196 74058 473分1063 124747 428分822916717 517分1109 75167 472分1056 125803 427分723216799 516分1090 76257 471分1084 126887 426分824616872 515分1107 77364 470分1042 127929 425分7317514分1124 78488 469分1061 128990 424分802917030 513分1156 79644 468分1009 129999 423分777617105 512分1129 80773 467分1031 131030 422分747317181 511分1147 81920 466分1064 132094 421分762517256 510分1100 83020 465分1025 133119 420分752717332 509分1140 84160 464分992 134111 419分761817409 508分1153 85313 463分1026 135137 418分771917481 507分1168 86481 462分1030 136167 417分719817556 506分1094 87575 461分958 137125 416分751917629 505分1139 88714 460分938 138063 415分729817706 504分1169 89883 459分984 139047 414分770817777 503分1131 91014 458分1002 140049 413分710817851 502分1157 92171 457分955 141004 412分7364分数人数累计分数人数累计分数人数累计23031 411分728 179242 366分514 207637 321分4769410分704 179946 365分548 208185 320分445423118 409分669 180615 364分604 208789 319分419323162 408分712 181327 363分551 209340 318分43723205 407分761 182088 362分482 209822 317分436623253 406分662 182750 361分572 210394 316分480623296 405分654 183404 360分528 210922 315分429523340 404分712 184116 359分560 211482 314分443823380 403分670 184786 358分582 212064 313分401923427 402分646 185432 357分523 212587 312分466523470 401分644 186076 356分537 213124 311分430523514 400分666 186742 355分542 213666 310分441623561 399分691 187433 354分522 214188 309分471723610 398分641 188074 353分490 214678 308分486323652 397分694 188768 352分507 215185 307分4192 396分666 189434 351分525 215710 306分422 2369423736 395分603 190037 350分534 216244 305分419323780 394分653 190690 349分498 216742 304分440323823 393分673 191363 348分558 217300 303分433623868 392分608 191971 347分491 217791 302分447323913 391分639 192610 346分518 218309 301分453623958 390分659 193269 345分526 218835 300分44424000 389分653 193922 344分490 219325 299分423324039 388分580 194502 343分539 219864 298分395824083 387分645 195147 342分502 220366 297分435324125 386分650 195797 341分514 220880 296分419224160 385分610 196407 340分470 221350 295分353524199 384分654 197061 339分510 221860 294分389424235 383分577 197638 338分433 222293 293分364824274 382分594 198232 337分519 222812 292分3919381分600 198832 336分460 223272 291分418724356 380分584 199416 335分473 223745 290分402924397 379分590 200006 334分469 224214 289分409824439 378分579 200585 333分496 224710 288分414224477 377分589 201174 332分463 225173 287分383524518 376分603 201777 331分501 225674 286分413824558 375分606 202383 330分435 226109 285分399724598 374分604 202987 329分470 226579 284分395224633 373分573 203560 328分444 227023 283分34824673 372分590 204150 327分464 227487 282分407724714 371分614 204764 326分480 227967 281分406324753 370分606 205370 325分467 228434 280分390324794 369分611 205981 324分445 228879 279分414724832 368分605 206586 323分493 229372 278分3763 367分537 207123 322分471 229843 277分383 24870分数人数累计分数人数累计分数人数累计27515 276分349 249055 231分267 264384 186分16227532 275分360 249415 230分327 264711 185分177727547 274分403 249818 229分272 264983 184分14327562 273分361 250179 228分306 265289 183分157727578 272分381 250560 227分288 265577 182分157427594 271分373 250933 226分285 265862 181分164827610 270分367 251300 225分267 266129 180分156427624 269分377 251677 224分277 266406 179分13627639 268分370 252047 223分272 266678 178分154427653 267分350 252397 222分269 266947 177分139327669 266分394 252791 221分283 267230 176分158127682 265分374 253165 220分270 267500 175分130127695 264分354 253519 219分266 267766 174分1334 263分369 253888 218分270 268036 173分129 2770827720 262分349 254237 217分258 268294 172分125827733 261分346 254583 216分245 268539 171分131927746 260分387 254970 215分257 268796 170分125427757 259分365 255335 214分260 269056 169分113727769 258分373 255708 213分237 269293 168分11327779 257分334 256042 212分249 269542 167分107727790 256分366 256408 211分261 269803 166分105227802 255分308 256716 210分245 270048 165分11827810 254分367 257083 209分256 270304 164分87727820 253分339 257422 208分239 270543 163分97427828 252分357 257779 207分249 270792 162分83727836 251分314 258093 206分229 271021 161分80727845 250分358 258451 205分200 271221 160分92927855 249分331 258782 204分252 271473 159分965248分320 259102 203分252 271725 158分76127870 247分338 259440 202分213 271938 157分75627879 246分288 259728 201分223 272161 156分86227886 245分327 260055 200分242 272403 155分69127893 244分330 260385 199分213 272616 154分74527900 243分378 260763 198分210 272826 153分70527906 242分304 261067 197分207 273033 152分63827913 241分329 261396 196分194 273227 151分66427919 240分288 261684 195分186 273413 150分5627925 239分342 262026 194分182 273595 149分66627932 238分303 262329 193分216 273811 148分70627937 237分303 262632 192分199 274010 147分47327943 236分294 262926 191分198 274208 146分63627949 235分285 263211 190分196 274404 145分606 234分306 263517 189分187 274591 144分48 2795427958 233分297 263814 188分204 274795 143分38227962 232分303 264117 187分193 274988 142分446分数人数累计分数人数累计分数人数累计28046 141分55 279681 96分 1 280379 10分 2428046 140分29 279710 95分 3 280382 9分 2628046 139分45 279755 94分 5 280387 6分 2828498 138分30 279785 92分 4 280391 0分45131 137分41 279826 91分 4 280395136分32 279858 89分 3 280398135分23 279881 88分 1 280399134分27 279908 87分 5 280404133分30 279938 86分 2 280406132分33 279971 85分 2 280408131分28 279999 84分 1 280409130分29 280028 83分 3 280412129分18 280046 82分 1 280413128分20 280066 81分 3 280416127分21 280087 80分 3 280419126分21 280108 78分 2 280421125分20 280128 77分 1 280422<,124分18 280146 75分 1 280423TD>123分16 280162 74分 3 280426 122分21 280183 73分 1 280427 121分16 280199 72分 1 280428 120分8 280207 71分 1 280429 119分16 280223 70分 4 280433 118分15 280238 69分 2 280435 117分14 280252 68分 3 280438 116分10 280262 65分 2 280440 115分11 280273 63分 2 280442 114分 6 280279 62分 1 280443 113分 6 280285 54分 1 280444 112分17 280302 51分 1 280445 111分 6 280308 47分 1 280446 110分8 280316 44分 1 280447 109分11 280327 42分 1 280448 108分 3 280330 41分 1 280449 107分 5 280335 39分 1 280450 106分10 280345 38分 1 280451 105分 4 280349 36分 1 280452 104分 5 280354 35分 1 280453 103分 5 280359 33分 1 280454 102分 3 280362 23分 1 280455 101分 3 280365 20分 2 280457 100分 5 280370 19分 1 280458 99分 3 280373 17分 2 280460 98分 2 280375 13分 1 280461 97分 3 280378 12分 1 280462。
13年浙江高考分数线
2013年浙江高考分数线公布!
今天,浙江省教育考试院公布了2013年高考分数线。
以下是各批次的分数线详细信息:
一本批次:理科530分,文科470分
二本批次:理科460分,文科410分
高职(专科)批次:理科320分,文科300分
这些分数线是根据统计得出的,表示进入相应批次大学的最低分数要求。
考生可以根据自己的实际成绩和意愿来选择志愿填报。
一本批次是最高批次,分数线相对较高,要求考生成绩优秀。
二本批次相对来说入学要求稍低一些,但也还是需要一定的成绩基础。
高职(专科)批次是专门面向职业教育和技术培训的学校,要求相对较低,适合那些对高中成绩不太理想但对于某些特定专业有兴趣的考生。
这些分数线只是参考,考生在填报志愿时还需要综合考虑其他因素,如自己的兴趣爱好、职业规划等。
希望同学们都能选择适合自己的专业和学校,顺利通过高考!。
累计分数人数累计分数人数累计525600分701292555分3389945 644分328599分721364554分35310298 643分331598分841448553分38010678 642分334597分1001548552分34211020 641分640596分851633551分38811408 640分949595分901723550分38211790 639分756594分1081831549分38712177 638分662593分951926548分40612583 637分163592分1092035547分39612979 636分972591分942129546分39813377 635分779590分1152244545分46213839 634分1089589分1152359544分41314252 633分11100588分1332492543分44814700 632分14114587分1222614542分44115141 631分5119586分982712541分45515596 630分14133585分1552867540分44216038 629分15148584分1583025539分44816486 628分15163583分1323157538分48416970 627分13176582分1353292537分49717467 626分11187581分1723464536分49717964 625分16203580分1773641535分48518449 624分19222579分1573798534分52118970 623分14236578分1473945533分50919479 622分18254577分1864131532分53520014 621分17271576分1914322531分54720561 620分33304575分1914513530分54521106 619分39343574分2344747529分55821664 618分28371573分2014948528分54722211 617分37408572分2295177527分59322804 616分31439571分2395416526分55823362 615分31470570分2435659525分58623948 614分33503569分2285887524分56324511 613分48551568分2396126523分60225113 612分41592567分2346360522分55325666 611分43635566分2486608521分60826274 610分43678565分2696877520分60026874 609分56734564分3087185519分60827482 608分49783563分2847469518分63028112 607分65848562分2657734517分63128743 606分44892561分2547988516分63929382 605分57949560分3478335515分61729999 604分601009559分2878622514分64730646 603分681077558分2978919513分60531251 602分721149557分3519270512分62331874 601分731222556分3379607511分60032474分数人数累计分数人数累计分数人数累计510分64633120465分65562763420分62890176 509分64533765464分64063403419分62990805 508分63234397463分62764030418分58291387 507分64035037462分62764657417分57591962506分64635683461分65665313416分58392545 505分63136314460分65465967415分58493129 504分69737011459分61966586414分58993718 503分64937660458分65467240413分58994307 502分63938299457分66167901412分58694893 501分67138970456分58368484411分59295485 500分68339653455分61369097410分55696041 499分62040273454分61669713409分59296633 498分65240925453分66570378408分63697269 497分70841633452分64071018407分62397892 496分66342296451分58371601406分60098492 495分69942995450分59072191405分59499086 494分64443639449分60872799404分60899694 493分65544294448分63573434403分649100343 492分67644970447分63274066402分585100928 491分70845678446分63074696401分639101567 490分65946337445分59175287400分563102130 489分64046977444分61375900399分600102730 488分66447641443分60276502398分623103353 487分65748298442分62777129397分631103984 486分65248950441分60877737396分597104581 485分67449624440分59978336395分657105238 484分69550319439分63378969394分592105830 483分66850987438分59979568393分569106399 482分64051627437分57280140392分596106995 481分71652343436分60580745391分587107582 480分67853021435分62281367390分567108149 479分67153692434分60781974389分573108722 478分66454356433分65182625388分567109289 477分60754963432分57983204387分637109926 476分66155624431分57183775386分577110503 475分65556279430分55184326385分607111110 474分64556924429分61984945384分604111714 473分67757601428分61085555383分585112299 472分67958280427分58186136382分572112871 471分63058910426分54386679381分639113510 470分64459554425分56887247380分637114147 469分66960223424分57887825379分654114801 468分63060853423分58788412378分592115393 467分62661479422分56888980377分572115965 466分62962108421分56889548376分599116564分数人数累计分数人数累计分数人数累计375分623117187330分660146209285分655175617 374分592117779329分685146894284分594176211 373分595118374328分632147526283分667176878 372分588118962327分655148181282分632177510 371分637119599326分658148839281分628178138 370分604120203325分673149512280分586178724 369分623120826324分664150176279分620179344 368分644121470323分694150870278分623179967 367分650122120322分659151529277分632180599366分662122782321分652152181276分630181229 365分663123445320分693152874275分631181860 364分624124069319分631153505274分593182453 363分642124711318分646154151273分571183024 362分647125358317分665154816272分575183599 361分636125994316分671155487271分618184217 360分613126607315分629156116270分584184801 359分662127269314分715156831269分588185389 358分610127879313分653157484268分603185992 357分660128539312分632158116267分591186583 356分657129196311分662158778266分614187197 355分651129847310分647159425265分597187794 354分660130507309分656160081264分606188400 353分629131136308分730160811263分553188953 352分695131831307分659161470262分600189553 351分677132508306分706162176261分552190105 350分603133111305分646162822260分593190698 349分696133807304分639163461259分596191294 348分610134417303分662164123258分539191833 347分655135072302分677164800257分606192439 346分629135701301分617165417256分526192965 345分659136360300分640166057255分539193504 344分665137025299分625166682254分558194062 343分667137692298分629167311253分561194623 342分623138315297分639167950252分567195190 341分596138911296分677168627251分545195735 340分670139581295分623169250250分500196235 339分632140213294分647169897249分548196783 338分692140905293分665170562248分579197362 337分658141563292分648171210247分546197908 336分670142233291分700171910246分518198426 335分658142891290分666172576245分542198968 334分653143544289分605173181244分510199478 333分679144223288分576173757243分527200005 332分669144892287分602174359242分479200484 331分657145549286分603174962241分496200980分数人数累计分数人数累计分数人数累计240分502201482195分254218814150分47225031 239分471201953194分222219036149分46225077 238分501202454193分242219278148分46225123 237分491202945192分260219538147分46225169 236分490203435191分249219787146分34225203 235分489203924190分249220036145分39225242 234分508204432189分213220249144分30225272 233分471204903188分222220471143分34225306 232分500205403187分208220679142分26225332 231分450205853186分196220875141分34225366 230分446206299185分203221078140分27225393 229分473206772184分207221285139分25225418 228分465207237183分196221481138分19225437 227分425207662182分195221676137分23225460226分434208096181分180221856136分20225480 225分435208531180分188222044135分23225503 224分436208967179分173222217134分23225526 223分421209388178分143222360133分14225540 222分411209799177分155222515132分17225557 221分422210221176分146222661131分21225578 220分413210634175分139222800130分14225592 219分394211028174分147222947129分14225606 218分389211417173分136223083128分11225617 217分374211791172分145223228127分11225628 216分389212180171分126223354126分17225645 215分394212574170分121223475125分14225659 214分387212961169分109223584124分14225673 213分324213285168分114223698123分10225683 212分376213661167分97223795122分8225691 211分355214016166分100223895121分10225701 210分344214360165分118224013120分5225706 209分324214684164分107224120119分17225723 208分335215019163分84224204118分8225731 207分329215348162分79224283117分4225735 206分310215658161分66224349116分9225744 205分317215975160分97224446115分4225748 204分336216311159分81224527114分9225757 203分268216579158分68224595113分6225763 202分305216884157分67224662112分7225770 201分296217180156分63224725111分6225776 200分290217470155分57224782110分9225785 199分276217746154分51224833109分3225788 198分266218012153分59224892108分6225794 197分280218292152分53224945107分6225800 196分268218560151分39224984106分5225805分数人数累计分数人数累计分数人数累计105分422580953分2225928104分622581552分1225929103分322581850分1225930102分222582049分2225932101分822582848分1225933100分622583446分122593499分622584045分222593698分222584243分122593797分322584542分122593896分122584641分122593995分522585139分122594094分122585238分122594193分522585737分122594292分422586136分122594391分322586435分122594490分322586733分222594689分222586932分122594788分522587431分122594887分122587527分122594986分122587626分1225950 85分322587925分2225952 84分422588323分1225953 83分122588421分2225955 82分322588720分2225957 81分222588919分2225959 80分422589318分1225960 79分222589516分3225963 78分222589715分3225966 77分222589913分1225967 76分122590012分4225971 75分222590210分1225972 74分12259038分1225973 73分12259043分1225974 72分12259050分4999230973 71分222590770分122590869分222591067分222591266分222591462分122591561分222591760分322592059分122592158分322592456分2225926。
科类分数段本段人数累计人数科类分数段本段人数累计人数科类分数段本段人数累计人数科类分数段本段人数累计人数理工≥722308308理工6902123650理工65837413031理工62656428709理工72149357理工6891793829理工65739213423理工62553529244理工72046403理工6881724001理工65643213855理工62455929803理工71947450理工6872144215理工65539014245理工62354530348理工71857507理工6862134428理工65443114676理工62256830916理工71753560理工6852124640理工65342115097理工62156131477理工71644604理工6842084848理工65243515532理工62056332040理工71544648理工6832175065理工65145815990理工61960432644理工71452700理工6822335298理工65042416414理工61857333217理工71368768理工6812465544理工64948016894理工61758133798理工71264832理工6802655809理工64848217376理工61660034398理工71166898理工6792366045理工64748117857理工61558934987理工71073971理工6782386283理工64650018357理工61455635543理工709811052理工6772836566理工64545218809理工61357036113理工7081001152理工6763176883理工64447719286理工61256136674理工707991251理工6752867169理工64350419790理工61158837262理工706881339理工6742927461理工64248520275理工61056437826理工7051141453理工6733357796理工64149520770理工60953038356理工704991552理工6722958091理工64053421304理工60857538931理工703981650理工6713198410理工63949021794理工60757739508理工7021261776理工6703008710理工63847122265理工60658840096理工7011241900理工6693439053理工63752322788理工60558940685理工7001142014理工6683519404理工63652623314理工60455441239理工6991302144理工6673479751理工63555923873理工60358341822理工6981222266理工66634610097理工63452524398理工60253642358理工6971462412理工66538010477理工63354824946理工60154742905理工6961572569理工66434810825理工63255925505理工60057543480理工6951662735理工66337411199理工63149626001理工59953244012理工6941732908理工66237211571理工63058426585理工59862344635理工6931603068理工66135311924理工62951227097理工59751945154理工6921993267理工66037012294理工62850327600理工6911713438理工65936312657理工62754528145科类分数段本段人数累计人数科类分数段本段人数累计人数科类分数段本段人数累计人数科类分数段本段人数累计人数文史≥684307307文史662811395文史6401433952文史6182148303文史68332339文史661811476文史6391404092文史6172208523文史68227366文史660841560文史6381794271文史6162398762文史68123389文史659871647文史6371744445文史6152419003文史68032421文史658881735文史6361854630文史6142509253文史67928449文史657871822文史6351624792文史6132549507文史67830479文史656811903文史6341854977文史6122519758文史67739518文史6551112014文史6331985175文史6112309988文史67634552文史6541232137文史6321665341文史61025210240文史67549601文史653962233文史6311825523文史60927010510文史67456657文史6521062339文史6302085731文史60824010750文史67339696文史6511082447文史6292115942文史60726511015文史67250746文史6501102557文史6281856127文史60625911274文史67144790文史6491282685文史6272146341文史60525211526文史67065855文史6481402825文史6261946535文史60423611762文史66962917文史6471072932文史6251926727文史60324612008文史66850967文史6461243056文史6242246951文史60222212230文史667591026文史6451453201文史6232347185文史60125112481文史666531079文史6441443345文史6222127397文史60024012721文史665671146文史6431803525文史6212227619文史59926712988文史664841230文史6421273652文史6202277846文史663841314文史6411573809文史6192438089。
理科高考各段分数各段人数累计人数累计% 698 1 1 0.001688 1 2 0.002684 1 3 0.002679 2 5 0.004675 1 6 0.005673 2 8 0.006672 1 9 0.007671 1 10 0.008667 3 13 0.01666 2 15 0.012665 5 20 0.015664 2 22 0.017663 1 23 0.018661 1 24 0.018660 2 26 0.02659 2 28 0.022658 1 29 0.022657 3 32 0.025656 5 37 0.028655 3 40 0.031654 2 42 0.032653 3 45 0.035652 1 46 0.035 651 4 50 0.038 650 4 54 0.042 649 6 60 0.046 648 5 65 0.05 647 3 68 0.052 646 2 70 0.054 645 7 77 0.059 644 3 80 0.061 643 7 87 0.067 642 4 91 0.07 641 5 96 0.074 640 3 99 0.076 639 3 102 0.078 638 7 109 0.084 637 11 120 0.092 636 6 126 0.097 635 12 138 0.106 634 6 144 0.111 633 7 151 0.116 632 6 157 0.121 631 7 164 0.126 630 10 174 0.134 629 14 188 0.144 628 9 197 0.151626 9 214 0.164 625 15 229 0.176 624 14 243 0.187 623 13 256 0.197 622 11 267 0.205 621 14 281 0.216 620 15 296 0.228 619 14 310 0.238 618 15 325 0.25 617 18 343 0.264 616 14 357 0.274 615 23 380 0.292 614 18 398 0.306 613 26 424 0.326 612 18 442 0.34 611 36 478 0.367 610 28 506 0.389 609 24 530 0.407 608 21 551 0.424 607 28 579 0.445 606 20 599 0.46 605 23 622 0.478 604 28 650 0.5 603 26 676 0.52601 33 738 0.567 600 34 772 0.593 599 35 807 0.62 598 30 837 0.643 597 23 860 0.661 596 25 885 0.68 595 35 920 0.707 594 31 951 0.731 593 29 980 0.753 592 41 1021 0.785 591 38 1059 0.814 590 48 1107 0.851 589 35 1142 0.878 588 31 1173 0.902 587 48 1221 0.938 586 56 1277 0.982 585 43 1320 1.015 584 49 1369 1.052 583 36 1405 1.08 582 54 1459 1.121 581 44 1503 1.155 580 54 1557 1.197 579 54 1611 1.238 578 44 1655 1.272577 51 1706 1.311 576 63 1769 1.36 575 64 1833 1.409 574 55 1888 1.451 573 45 1933 1.486 572 43 1976 1.519 571 57 2033 1.563 570 82 2115 1.626 569 71 2186 1.68 568 59 2245 1.726 567 58 2303 1.77 566 53 2356 1.811 565 75 2431 1.868 564 81 2512 1.931 563 69 2581 1.984 562 63 2644 2.032 561 79 2723 2.093 560 69 2792 2.146 559 83 2875 2.21 558 62 2937 2.257 557 70 3007 2.311 556 87 3094 2.378 555 88 3182 2.446 554 84 3266 2.51 553 74 3340 2.567551 85 3492 2.684 550 90 3582 2.753 549 89 3671 2.822 548 84 3755 2.886 547 88 3843 2.954 546 93 3936 3.025 545 102 4038 3.104 544 111 4149 3.189 543 97 4246 3.264 542 104 4350 3.343 541 81 4431 3.406 540 99 4530 3.482 539 117 4647 3.572 538 115 4762 3.66 537 117 4879 3.75 536 114 4993 3.838 535 115 5108 3.926 534 111 5219 4.011 533 119 5338 4.103 532 128 5466 4.201 531 103 5569 4.28 530 121 5690 4.373 529 128 5818 4.472 528 116 5934 4.561526 126 6193 4.76 525 118 6311 4.851 524 147 6458 4.964 523 138 6596 5.07 522 162 6758 5.194 521 130 6888 5.294 520 164 7052 5.42 519 136 7188 5.525 518 122 7310 5.619 517 147 7457 5.732 516 145 7602 5.843 515 137 7739 5.948 514 178 7917 6.085 513 153 8070 6.203 512 156 8226 6.323 511 155 8381 6.442 510 160 8541 6.565 509 181 8722 6.704 508 178 8900 6.841 507 170 9070 6.971 506 167 9237 7.1 505 180 9417 7.238 504 168 9585 7.367 503 140 9725 7.475502 162 9887 7.599 501 195 10082 7.749 500 201 10283 7.904 499 184 10467 8.045 498 175 10642 8.18 497 184 10826 8.321 496 202 11028 8.476 495 195 11223 8.626 494 212 11435 8.789 493 192 11627 8.937 492 196 11823 9.087 491 232 12055 9.266 490 210 12265 9.427 489 208 12473 9.587 488 202 12675 9.742 487 196 12871 9.893 486 229 13100 10.069 485 222 13322 10.239 484 222 13544 10.41 483 224 13768 10.582 482 206 13974 10.741 481 215 14189 10.906 480 204 14393 11.063 479 256 14649 11.259 478 263 14912 11.462477 240 15152 11.646476 232 15384 11.824475 248 15632 12.015各段分数各段人数累计人数累计% 474 251 15883 12.208473 257 16140 12.405472 233 16373 12.584471 252 16625 12.778470 265 16890 12.982469 246 17136 13.171468 255 17391 13.367467 254 17645 13.562466 266 17911 13.767465 266 18177 13.971464 277 18454 14.184463 258 18712 14.382462 248 18960 14.573461 299 19259 14.803460 283 19542 15.02459 298 19840 15.249458 274 20114 15.46457 302 20416 15.692456 321 20737 15.939455 269 21006 16.145454 283 21289 16.363 453 325 21614 16.613 452 302 21916 16.845 451 266 22182 17.049 450 295 22477 17.276 449 327 22804 17.527 448 309 23113 17.765 447 335 23448 18.022 446 301 23749 18.254 445 326 24075 18.504 444 317 24392 18.748 443 309 24701 18.985 442 317 25018 19.229 441 332 25350 19.484 440 358 25708 19.759 439 321 26029 20.006 438 347 26376 20.273 437 317 26693 20.517 436 360 27053 20.793 435 368 27421 21.076 434 355 27776 21.349 433 359 28135 21.625 432 393 28528 21.927 431 355 28883 22.2 430 359 29242 22.476429 358 29600 22.751 428 366 29966 23.032 427 374 30340 23.32 426 400 30740 23.627 425 372 31112 23.913 424 433 31545 24.246 423 402 31947 24.555 422 395 32342 24.858 421 391 32733 25.159 420 398 33131 25.465 419 396 33527 25.769 418 439 33966 26.107 417 435 34401 26.441 416 418 34819 26.762 415 414 35233 27.08 414 443 35676 27.421 413 450 36126 27.767 412 399 36525 28.073 411 456 36981 28.424 410 434 37415 28.758 409 448 37863 29.102 408 453 38316 29.45 407 435 38751 29.784 406 485 39236 30.157 405 441 39677 30.496404 468 40145 30.856 403 471 40616 31.218 402 485 41101 31.591 401 471 41572 31.953 400 484 42056 32.325 399 480 42536 32.694 398 471 43007 33.056 397 499 43506 33.439 396 510 44016 33.831 395 489 44505 34.207 394 488 44993 34.582 393 452 45445 34.929 392 479 45924 35.298 391 479 46403 35.666 390 514 46917 36.061 389 491 47408 36.438 388 479 47887 36.806 387 473 48360 37.17 386 535 48895 37.581 385 514 49409 37.976 384 506 49915 38.365 383 495 50410 38.746 382 526 50936 39.15 381 528 51464 39.556 380 507 51971 39.945379 500 52471 40.33 378 532 53003 40.739 377 522 53525 41.14 376 531 54056 41.548 375 477 54533 41.915 374 495 55028 42.295 373 495 55523 42.676 372 511 56034 43.068 371 570 56604 43.506 370 497 57101 43.888 369 503 57604 44.275 368 520 58124 44.675 367 472 58596 45.037 366 542 59138 45.454 365 521 59659 45.855 364 540 60199 46.27 363 543 60742 46.687 362 511 61253 47.08 361 531 61784 47.488 360 523 62307 47.89 359 541 62848 48.306 358 518 63366 48.704 357 450 63816 49.05 356 536 64352 49.462 355 553 64905 49.887354 526 65431 50.291 353 534 65965 50.701 352 492 66457 51.08 351 504 66961 51.467 350 529 67490 51.873 349 524 68014 52.276 348 521 68535 52.677 347 491 69026 53.054 346 501 69527 53.439 345 509 70036 53.83 344 520 70556 54.23 343 516 71072 54.627 342 520 71592 55.026 341 510 72102 55.418 340 544 72646 55.836 339 489 73135 56.212 338 499 73634 56.596 337 501 74135 56.981 336 479 74614 57.349 335 497 75111 57.731 334 515 75626 58.127 333 503 76129 58.514 332 495 76624 58.894 331 515 77139 59.29 330 475 77614 59.655329 522 78136 60.056 328 510 78646 60.448 327 492 79138 60.826 326 476 79614 61.192 325 510 80124 61.584 324 498 80622 61.967 323 481 81103 62.337 322 490 81593 62.713 321 534 82127 63.124 320 513 82640 63.518 319 490 83130 63.895 318 481 83611 64.264 317 482 84093 64.635 316 497 84590 65.017 315 488 85078 65.392 314 476 85554 65.758 313 481 86035 66.127 312 447 86482 66.471 311 514 86996 66.866 310 500 87496 67.25 309 457 87953 67.602 308 497 88450 67.984 307 488 88938 68.359 306 469 89407 68.719 305 489 89896 69.095304 469 90365 69.455 303 493 90858 69.834 302 501 91359 70.219 301 455 91814 70.569 300 501 92315 70.954 299 478 92793 71.322 298 459 93252 71.674 297 524 93776 72.077 296 442 94218 72.417 295 477 94695 72.784 294 456 95151 73.134 293 429 95580 73.464 292 444 96024 73.805 291 448 96472 74.149 290 460 96932 74.503 289 460 97392 74.856 288 422 97814 75.181 287 439 98253 75.518 286 460 98713 75.872 285 490 99203 76.248 284 445 99648 76.59 283 437 100085 76.926 282 443 100528 77.267 281 456 100984 77.617 280 435 101419 77.952278 442 102291 78.622277 426 102717 78.949276 392 103109 79.251275 427 103536 79.579各段分数各段人数累计人数累计% 274 430 103966 79.909273 393 104359 80.211272 420 104779 80.534271 421 105200 80.858270 411 105611 81.174269 438 106049 81.51268 397 106446 81.815267 415 106861 82.134266 415 107276 82.453265 380 107656 82.745264 387 108043 83.043263 373 108416 83.33262 418 108834 83.651261 395 109229 83.954260 358 109587 84.23259 358 109945 84.505258 352 110297 84.775257 396 110693 85.08255 400 111486 85.689 254 332 111818 85.944 253 376 112194 86.233 252 352 112546 86.504 251 367 112913 86.786 250 374 113287 87.074 249 361 113648 87.351 248 348 113996 87.618 247 374 114370 87.906 246 334 114704 88.163 245 353 115057 88.434 244 328 115385 88.686 243 356 115741 88.96 242 297 116038 89.188 241 300 116338 89.419 240 310 116648 89.657 239 319 116967 89.902 238 293 117260 90.127 237 312 117572 90.367 236 278 117850 90.581 235 305 118155 90.815 234 292 118447 91.04 233 285 118732 91.259 232 275 119007 91.47231 277 119284 91.683 230 290 119574 91.906 229 263 119837 92.108 228 250 120087 92.3 227 291 120378 92.524 226 268 120646 92.73 225 267 120913 92.935 224 263 121176 93.137 223 271 121447 93.345 222 248 121695 93.536 221 229 121924 93.712 220 214 122138 93.876 219 228 122366 94.052 218 246 122612 94.241 217 214 122826 94.405 216 233 123059 94.584 215 205 123264 94.742 214 201 123465 94.896 213 210 123675 95.058 212 186 123861 95.201 211 204 124065 95.358 210 187 124252 95.501 209 190 124442 95.647 208 186 124628 95.79 207 195 124823 95.94206 176 124999 96.075 205 177 125176 96.212 204 203 125379 96.368 203 158 125537 96.489 202 167 125704 96.617 201 144 125848 96.728 200 141 125989 96.836 199 129 126118 96.936 198 159 126277 97.058 197 125 126402 97.154 196 138 126540 97.26 195 130 126670 97.36 194 138 126808 97.466 193 114 126922 97.554 192 124 127046 97.649 191 108 127154 97.732 190 117 127271 97.822 189 118 127389 97.912 188 102 127491 97.991 187 99 127590 98.067 186 89 127679 98.135 185 80 127759 98.197 184 80 127839 98.258 183 62 127901 98.306 182 67 127968 98.357180 80 128116 98.471 179 59 128175 98.517 178 49 128224 98.554 177 50 128274 98.593 176 56 128330 98.636 175 49 128379 98.673 174 65 128444 98.723 173 43 128487 98.756 172 55 128542 98.799 171 37 128579 98.827 170 36 128615 98.855 169 40 128655 98.886 168 35 128690 98.912 167 20 128710 98.928 166 29 128739 98.95 165 39 128778 98.98 164 42 128820 99.012 163 28 128848 99.034 162 32 128880 99.058 161 24 128904 99.077 160 18 128922 99.091 159 21 128943 99.107 158 19 128962 99.121 157 18 128980 99.135155 17 129021 99.167 154 15 129036 99.178 153 14 129050 99.189 152 14 129064 99.2 151 14 129078 99.211 150 11 129089 99.219 149 6 129095 99.224 148 15 129110 99.235 147 8 129118 99.241 146 10 129128 99.249 145 10 129138 99.257 144 5 129143 99.261 143 7 129150 99.266 142 8 129158 99.272 141 11 129169 99.281 140 2 129171 99.282 139 7 129178 99.287 138 5 129183 99.291 137 2 129185 99.293 136 8 129193 99.299 135 7 129200 99.304 134 3 129203 99.307 133 5 129208 99.311 132 3 129211 99.313130 4 129219 99.319 129 3 129222 99.321 128 2 129224 99.323 127 1 129225 99.324 126 6 129231 99.328 125 1 129232 99.329 124 1 129233 99.33 123 2 129235 99.331 122 4 129239 99.334 121 5 129244 99.338 120 1 129245 99.339 119 2 129247 99.341 118 1 129248 99.341 117 1 129249 99.342 116 1 129250 99.343 114 2 129252 99.344 113 1 129253 99.345 112 5 129258 99.349 111 1 129259 99.35 107 2 129261 99.351 106 2 129263 99.353 105 4 129267 99.356 102 1 129268 99.357 100 3 129271 99.35998 2 129274 99.361 97 2 129276 99.363 95 1 129277 99.364 93 3 129280 99.366 92 1 129281 99.367 90 1 129282 99.367 89 1 129283 99.368 87 1 129284 99.369 85 2 129286 99.371 84 1 129287 99.371 80 1 129288 99.372 78 1 129289 99.373 77 1 129290 99.374 74 1 129291 99.374 69 1 129292 99.375 68 1 129293 99.376 67 1 129294 99.377 65 1 129295 99.377 59 2 129297 99.379 54 1 129298 99.38 48 1 129299 99.381 47 1 129300 99.381 43 1 129301 99.382 41 1 129302 99.38332 3 129306 99.386 30 3 129309 99.388 29 7 129316 99.394 28 23 129339 99.411 27 26 129365 99.431 26 24 129389 99.45 25 71 129460 99.504 24 35 129495 99.531 23 11 129506 99.54 22 10 129516 99.547 19 1 129517 99.548 18 1 129518 99.549 16 4 129522 99.552 15 4 129526 99.555 14 4 129530 99.558 13 2 129532 99.56 12 5 129537 99.563 11 10 129547 99.571 10 7 129554 99.576 9 6 129560 99.581 8 46 129606 99.616 7 40 129646 99.647 6 68 129714 99.699 5 122 129836 99.7933 19 129888 99.8332 10 129898 99.8411 1 129899 99.8420 206 130105 100文科高考各段分数各段人数累计人数累计% 685 1 1 0.001681 1 2 0.002679 1 3 0.003678 2 5 0.005674 1 6 0.006672 1 7 0.007671 1 8 0.008670 2 10 0.01669 1 11 0.011668 3 14 0.014667 1 15 0.015665 4 19 0.019664 6 25 0.024663 3 28 0.027662 2 30 0.029661 2 32 0.031659 1 33 0.032657 3 36 0.035655 3 39 0.038654 2 41 0.04各段分数各段人数累计人数累计% 653 1 42 0.041652 1 43 0.042651 2 45 0.044650 3 48 0.047649 3 51 0.05648 4 55 0.054647 6 61 0.06646 3 64 0.062645 3 67 0.065644 4 71 0.069643 3 74 0.072642 3 77 0.075641 7 84 0.082640 10 94 0.092639 3 97 0.095638 4 101 0.099637 3 104 0.102636 6 110 0.107634 6 121 0.118各段分数各段人数累计人数累计% 633 6 127 0.124632 4 131 0.128631 5 136 0.133630 5 141 0.138629 7 148 0.145628 10 158 0.154627 11 169 0.165626 7 176 0.172625 5 181 0.177624 7 188 0.184623 10 198 0.193622 11 209 0.204621 12 221 0.216620 12 233 0.228619 10 243 0.237618 15 258 0.252617 7 265 0.259616 15 280 0.273615 9 289 0.282614 15 304 0.297各段分数各段人数累计人数累计%612 11 325 0.317611 17 342 0.334610 7 349 0.341609 18 367 0.358608 13 380 0.371607 11 391 0.382606 14 405 0.395605 18 423 0.413604 21 444 0.434603 15 459 0.448602 22 481 0.47601 14 495 0.483600 15 510 0.498599 20 530 0.518598 20 550 0.537597 22 572 0.559596 24 596 0.582595 26 622 0.607594 24 646 0.631各段分数各段人数累计人数累计% 593 26 672 0.656592 24 696 0.68591 19 715 0.698590 22 737 0.72589 26 763 0.745588 29 792 0.773587 29 821 0.802586 36 857 0.837585 25 882 0.861584 31 913 0.891583 22 935 0.913582 29 964 0.941581 28 992 0.969580 25 1017 0.993579 32 1049 1.024578 40 1089 1.063577 37 1126 1.099576 39 1165 1.138575 37 1202 1.174574 40 1242 1.213各段分数各段人数累计人数累计% 573 41 1283 1.253572 44 1327 1.296571 39 1366 1.334570 46 1412 1.379569 40 1452 1.418568 37 1489 1.454566 45 1590 1.553565 55 1645 1.606564 52 1697 1.657563 49 1746 1.705562 59 1805 1.762561 44 1849 1.805560 50 1899 1.854559 44 1943 1.897558 66 2009 1.962557 56 2065 2.016556 49 2114 2.064555 73 2187 2.135554 57 2244 2.191各段分数各段人数累计人数累计% 553 52 2296 2.242552 62 2358 2.302551 60 2418 2.361550 78 2496 2.437549 74 2570 2.509548 76 2646 2.584547 77 2723 2.659546 83 2806 2.74545 82 2888 2.82543 64 3038 2.966542 68 3106 3.033541 75 3181 3.106540 78 3259 3.182539 68 3327 3.249538 71 3398 3.318537 69 3467 3.385536 88 3555 3.471535 93 3648 3.562534 80 3728 3.64各段分数各段人数累计人数累计% 533 89 3817 3.727532 102 3919 3.827531 95 4014 3.919530 87 4101 4.004529 94 4195 4.096528 113 4308 4.206527 92 4400 4.296526 98 4498 4.392525 130 4628 4.519524 108 4736 4.624523 120 4856 4.741522 117 4973 4.856521 106 5079 4.959520 123 5202 5.079519 135 5337 5.211518 136 5473 5.344517 134 5607 5.475516 144 5751 5.615515 129 5880 5.741514 128 6008 5.866各段分数各段人数累计人数累计% 513 150 6158 6.013512 152 6310 6.161511 151 6461 6.309510 165 6626 6.47509 148 6774 6.614508 157 6931 6.768507 153 7084 6.917506 178 7262 7.091505 145 7407 7.232504 155 7562 7.384503 161 7723 7.541502 187 7910 7.723501 142 8052 7.862500 181 8233 8.039499 185 8418 8.219498 161 8579 8.377497 198 8777 8.57496 184 8961 8.75495 202 9163 8.947494 182 9345 9.125各段分数各段人数累计人数累计% 493 206 9551 9.326492 198 9749 9.519491 230 9979 9.744490 230 10209 9.968489 244 10453 10.207488 213 10666 10.414487 205 10871 10.615486 228 11099 10.837485 222 11321 11.054484 266 11587 11.314483 242 11829 11.55482 220 12049 11.765481 241 12290 12480 246 12536 12.24479 243 12779 12.478478 260 13039 12.732477 259 13298 12.984476 275 13573 13.253475 255 13828 13.502 474 274 14102 13.769 各段分数各段人数累计人数累计%473 243 14345 14.007 472 268 14613 14.268 471 298 14911 14.559 470 299 15210 14.851 469 276 15486 15.121 468 329 15815 15.442 467 275 16090 15.711 466 279 16369 15.983 465 278 16647 16.254 464 335 16982 16.582 463 296 17278 16.871 462 281 17559 17.145 461 295 17854 17.433 460 327 18181 17.752 459 304 18485 18.049 458 346 18831 18.387 457 335 19166 18.714 456 304 19470 19.011455 335 19805 19.338 454 333 20138 19.663 453 329 20467 19.984 452 364 20831 20.34 451 358 21189 20.689 450 346 21535 21.027 449 386 21921 21.404 448 395 22316 21.79 447 411 22727 22.191 446 387 23114 22.569 445 337 23451 22.898 444 412 23863 23.3 443 384 24247 23.675 442 356 24603 24.023 441 367 24970 24.381 440 360 25330 24.733 439 411 25741 25.134 438 372 26113 25.497 437 396 26509 25.884 436 398 26907 26.273 435 366 27273 26.63 434 418 27691 27.038 433 360 28051 27.39432 437 28488 27.816 431 426 28914 28.232 430 442 29356 28.664 429 391 29747 29.046 428 418 30165 29.454 427 437 30602 29.88 426 424 31026 30.294 425 406 31432 30.691 424 434 31866 31.115 423 436 32302 31.54 422 461 32763 31.99 421 480 33243 32.459 420 457 33700 32.905 419 437 34137 33.332 418 441 34578 33.763 417 471 35049 34.223 416 504 35553 34.715 415 463 36016 35.167 414 457 36473 35.613 413 463 36936 36.065 412 451 37387 36.505 411 512 37899 37.005 410 425 38324 37.42409 446 38770 37.856 408 461 39231 38.306 407 441 39672 38.737 406 501 40173 39.226 405 546 40719 39.759 404 512 41231 40.259 403 510 41741 40.757 402 504 42245 41.249 401 481 42726 41.718 400 496 43222 42.203 399 478 43700 42.67 398 535 44235 43.192 397 473 44708 43.654 396 530 45238 44.171 395 514 45752 44.673 394 516 46268 45.177 393 564 46832 45.728 392 532 47364 46.247 391 557 47921 46.791 390 508 48429 47.287 389 542 48971 47.816 388 560 49531 48.363 387 518 50049 48.869386 518 50567 49.375 385 542 51109 49.904 384 555 51664 50.446 383 528 52192 50.961 382 544 52736 51.492 381 534 53270 52.014 380 513 53783 52.515 379 517 54300 53.02 378 548 54848 53.555 377 528 55376 54.07 376 571 55947 54.628 375 546 56493 55.161 374 578 57071 55.725 373 579 57650 56.291 372 547 58197 56.825 371 515 58712 57.328 370 545 59257 57.86 369 550 59807 58.397 368 524 60331 58.908 367 531 60862 59.427 366 546 61408 59.96 365 540 61948 60.487 364 519 62467 60.994363 528 62995 61.51 362 535 63530 62.032 361 571 64101 62.589 360 515 64616 63.092 359 548 65164 63.627 358 543 65707 64.158 357 546 66253 64.691 356 551 66804 65.229 355 543 67347 65.759 354 565 67912 66.311 353 510 68422 66.809 352 498 68920 67.295 351 523 69443 67.805 350 552 69995 68.344 349 511 70506 68.843 348 529 71035 69.36 347 521 71556 69.869 346 480 72036 70.337 345 487 72523 70.813 344 549 73072 71.349 343 500 73572 71.837 342 511 74083 72.336 341 471 74554 72.796340 490 75044 73.274 339 484 75528 73.747 338 491 76019 74.226 337 546 76565 74.76 336 470 77035 75.218 335 469 77504 75.676 334 463 77967 76.128 333 488 78455 76.605 332 471 78926 77.065 331 418 79344 77.473 330 426 79770 77.889 329 461 80231 78.339 328 422 80653 78.751 327 433 81086 79.174 326 434 81520 79.598 325 429 81949 80.017 324 435 82384 80.441 323 414 82798 80.846 322 418 83216 81.254 321 399 83615 81.643 320 395 84010 82.029 319 413 84423 82.432 318 396 84819 82.819317 380 85199 83.19 316 381 85580 83.562 315 432 86012 83.984 314 367 86379 84.342 313 364 86743 84.698 312 392 87135 85.08 311 353 87488 85.425 310 385 87873 85.801 309 326 88199 86.119 308 363 88562 86.474 307 334 88896 86.8 306 335 89231 87.127 305 325 89556 87.444 304 323 89879 87.76 303 291 90170 88.044 302 304 90474 88.341 301 338 90812 88.671 300 294 91106 88.958 299 310 91416 89.26 298 287 91703 89.541 297 285 91988 89.819 296 275 92263 90.087 295 229 92492 90.311294 254 92746 90.559各段分数各段人数累计人数累计% 293 259 93005 90.812292 246 93251 91.052291 231 93482 91.278290 230 93712 91.502289 234 93946 91.731288 230 94176 91.955287 224 94400 92.174286 208 94608 92.377285 201 94809 92.573284 204 95013 92.773283 216 95229 92.983282 177 95406 93.156281 184 95590 93.336280 167 95757 93.499279 186 95943 93.681278 190 96133 93.866277 169 96302 94.031276 147 96449 94.175275 183 96632 94.353274 128 96760 94.478各段分数各段人数累计人数累计% 273 148 96908 94.623272 139 97047 94.759271 132 97179 94.887270 155 97334 95.039269 147 97481 95.182268 130 97611 95.309267 108 97719 95.415266 141 97860 95.552265 122 97982 95.672264 126 98108 95.795263 98 98206 95.89262 111 98317 95.999261 119 98436 96.115260 96 98532 96.209259 89 98621 96.295258 100 98721 96.393257 86 98807 96.477256 94 98901 96.569255 85 98986 96.652254 67 99053 96.717各段分数各段人数累计人数累计% 253 85 99138 96.8252 77 99215 96.875251 83 99298 96.957250 83 99381 97.038249 60 99441 97.096248 61 99502 97.156247 63 99565 97.217246 57 99622 97.273245 53 99675 97.325244 70 99745 97.393243 54 99799 97.446242 60 99859 97.504241 58 99917 97.561240 52 99969 97.612239 44 100013 97.655238 48 100061 97.702237 44 100105 97.744236 42 100147 97.785235 48 100195 97.832234 37 100232 97.868各段分数各段人数累计人数累计% 233 56 100288 97.923232 29 100317 97.951231 34 100351 97.985230 36 100387 98.02229 36 100423 98.055228 25 100448 98.079227 33 100481 98.112225 34 100552 98.181224 34 100586 98.214223 30 100616 98.243222 24 100640 98.267221 26 100666 98.292220 25 100691 98.317219 23 100714 98.339218 27 100741 98.365217 23 100764 98.388216 21 100785 98.408215 20 100805 98.428214 29 100834 98.456各段分数各段人数累计人数累计% 213 27 100861 98.483212 19 100880 98.501211 16 100896 98.517210 25 100921 98.541209 17 100938 98.558208 17 100955 98.574207 16 100971 98.59206 16 100987 98.606205 13 101000 98.618204 9 101009 98.627202 12 101028 98.646201 20 101048 98.665200 6 101054 98.671199 14 101068 98.685198 8 101076 98.693197 13 101089 98.705196 8 101097 98.713195 7 101104 98.72194 13 101117 98.733各段分数各段人数累计人数累计% 193 4 101121 98.737192 3 101124 98.739191 9 101133 98.748190 15 101148 98.763189 10 101158 98.773188 9 101167 98.781187 9 101176 98.79186 7 101183 98.797185 4 101187 98.801184 5 101192 98.806183 6 101198 98.812182 9 101207 98.82181 9 101216 98.829179 2 101224 98.837178 5 101229 98.842177 4 101233 98.846176 6 101239 98.852175 4 101243 98.856174 7 101250 98.862各段分数各段人数累计人数累计% 173 9 101259 98.871172 6 101265 98.877171 7 101272 98.884170 4 101276 98.888169 4 101280 98.892168 4 101284 98.896167 6 101290 98.902166 4 101294 98.905165 2 101296 98.907164 6 101302 98.913163 5 101307 98.918162 4 101311 98.922161 3 101314 98.925160 6 101320 98.931159 2 101322 98.933158 3 101325 98.936156 1 101328 98.939154 5 101333 98.944153 2 101335 98.945各段分数各段人数累计人数累计% 152 2 101337 98.947151 7 101344 98.954150 5 101349 98.959148 2 101351 98.961147 1 101352 98.962145 7 101359 98.969144 2 101361 98.971143 4 101365 98.975142 1 101366 98.976141 1 101367 98.977140 1 101368 98.978139 2 101370 98.98137 1 101371 98.981136 2 101373 98.983135 1 101374 98.984134 1 101375 98.985133 1 101376 98.986132 2 101378 98.987131 1 101379 98.988各段分数各段人数累计人数累计% 129 3 101385 98.994128 1 101386 98.995127 2 101388 98.997125 2 101390 98.999124 1 101391 99123 2 101393 99.002121 1 101394 99.003120 2 101396 99.005118 1 101397 99.006115 2 101399 99.008113 1 101400 99.009111 1 101401 99.01110 1 101402 99.011109 4 101406 99.015108 1 101407 99.016104 1 101408 99.017103 2 101410 99.019102 1 101411 99.02101 1 101412 99.02197 2 101414 99.023各段分数各段人数累计人数累计% 94 2 101416 99.025。
2013年普通高考成绩分段统计表分数人数累计分数人数累计分数人数累计681分8 58 636分121 2427 591分452 14465 680分 6 64 635分111 2538 590分439 14904 679分8 72 634分132 2670 589分485 15389 678分 4 76 633分129 2799 588分478 15867 677分11 87 632分157 2956 587分496 16363 676分15 102 631分146 3102 586分465 16828 675分16 118 630分141 3243 585分471 17299 674分13 131 629分156 3399 584分552 17851 673分17 148 628分179 3578 583分497 18348 672分22 170 627分161 3739 582分491 18839 671分17 187 626分176 3915 581分547 19386 670分20 207 625分156 4071 580分551 19937 669分25 232 624分190 4261 579分532 20469 668分21 253 623分200 4461 578分599 21068 667分18 271 622分198 4659 577分597 21665 666分31 302 621分221 4880 576分557 22222 665分33 335 620分216 5096 575分611 22833 664分31 366 619分178 5274 574分595 23428 663分29 395 618分221 5495 573分639 24067 662分33 428 617分211 5706 572分661 24728 661分34 462 616分265 5971 571分627 25355 660分50 512 615分254 6225 570分636 25991 659分41 553 614分240 6465 569分638 26629658分46 599 613分264 6729 568分681 27310 657分58 657 612分260 6989 567分685 27995 656分43 700 611分297 7286 566分720 28715 655分57 757 610分302 7588 565分752 29467 654分64 821 609分285 7873 564分712 30179 653分55 876 608分295 8168 563分724 30903 652分63 939 607分328 8496 562分748 31651 651分73 1012 606分322 8818 561分694 32345 650分64 1076 605分306 9124 560分821 33166 649分75 1151 604分321 9445 559分753 33919 648分63 1214 603分331 9776 558分777 34696 647分75 1289 602分327 10103 557分795 35491 646分85 1374 601分342 10445 556分783 36274 645分78 1452 600分352 10797 555分823 37097 644分103 1555 599分373 11170 554分838 37935 643分105 1660 598分356 11526 553分805 38740 642分108 1768 597分376 11902 552分889 39629 641分82 1850 596分406 12308 551分804 40433 640分94 1944 595分399 12707 550分889 41322 639分116 2060 594分427 13134 549分845 42167 638分114 2174 593分433 13567 548分885 43052 637分132 2306 592分446 14013 547分970 44022 分数人数累计分数人数累计分数人数累计14196 546分955 44977 501分1118 93289 456分963714296 545分893 45870 500分1078 94367 455分994114393 544分969 46839 499分1157 95524 454分9745543分955 47794 498分1177 96701 453分95514581 542分1013 48807 497分1174 97875 452分922214683 541分945 49752 496分1132 99007 451分1019114774 540分997 50749 495分1133 100140 450分912314868 539分968 51717 494分1198 101338 449分93714960 538分1044 52761 493分1157 102495 448分929915051 537分999 53760 492分1160 103655 447分90115140 536分1030 54790 491分1112 104767 446分894415230 535分1020 55810 490分1162 105929 445分905915311 534分1015 56825 489分1145 107074 444分806515392 533分1013 57838 488分1135 108209 443分808315481 532分979 58817 487分1107 109316 442分889215568 531分1081 59898 486分1131 110447 441分870215657 530分1093 60991 485分1135 111582 440分8880 529分1081 62072 484分1138 112720 439分844 1574115823 528分1040 63112 483分1138 113858 438分825915903 527分1054 64166 482分1118 114976 437分796515989 526分1058 65224 481分1109 116085 436分860516072 525分980 66204 480分1057 117142 435分833816151 524分1120 67324 479分1130 118272 434分785316235 523分1104 68428 478分1091 119363 433分840316318 522分1099 69527 477分1076 120439 432分831416401 521分1113 70640 476分1055 121494 431分831516479 520分1151 71791 475分1093 122587 430分776116562 519分1071 72862 474分1097 123684 429分836716644 518分1196 74058 473分1063 124747 428分822916717 517分1109 75167 472分1056 125803 427分723216799 516分1090 76257 471分1084 126887 426分824616872 515分1107 77364 470分1042 127929 425分7317514分1124 78488 469分1061 128990 424分802917030 513分1156 79644 468分1009 129999 423分777617105 512分1129 80773 467分1031 131030 422分747317181 511分1147 81920 466分1064 132094 421分762517256 510分1100 83020 465分1025 133119 420分752717332 509分1140 84160 464分992 134111 419分761817409 508分1153 85313 463分1026 135137 418分771917481 507分1168 86481 462分1030 136167 417分719817556 506分1094 87575 461分958 137125 416分751917629 505分1139 88714 460分938 138063 415分729817706 504分1169 89883 459分984 139047 414分770817777 503分1131 91014 458分1002 140049 413分710817851 502分1157 92171 457分955 141004 412分7364分数人数累计分数人数累计分数人数累计23031 411分728 179242 366分514 207637 321分4769410分704 179946 365分548 208185 320分445423118 409分669 180615 364分604 208789 319分419323162 408分712 181327 363分551 209340 318分43723205 407分761 182088 362分482 209822 317分436623253 406分662 182750 361分572 210394 316分480623296 405分654 183404 360分528 210922 315分429523340 404分712 184116 359分560 211482 314分443823380 403分670 184786 358分582 212064 313分401923427 402分646 185432 357分523 212587 312分466523470 401分644 186076 356分537 213124 311分430523514 400分666 186742 355分542 213666 310分441623561 399分691 187433 354分522 214188 309分471723610 398分641 188074 353分490 214678 308分486323652 397分694 188768 352分507 215185 307分4192 396分666 189434 351分525 215710 306分422 2369423736 395分603 190037 350分534 216244 305分419323780 394分653 190690 349分498 216742 304分440323823 393分673 191363 348分558 217300 303分433623868 392分608 191971 347分491 217791 302分447323913 391分639 192610 346分518 218309 301分453623958 390分659 193269 345分526 218835 300分44424000 389分653 193922 344分490 219325 299分423324039 388分580 194502 343分539 219864 298分395824083 387分645 195147 342分502 220366 297分435324125 386分650 195797 341分514 220880 296分419224160 385分610 196407 340分470 221350 295分353524199 384分654 197061 339分510 221860 294分389424235 383分577 197638 338分433 222293 293分364824274 382分594 198232 337分519 222812 292分3919381分600 198832 336分460 223272 291分418724356 380分584 199416 335分473 223745 290分402924397 379分590 200006 334分469 224214 289分409824439 378分579 200585 333分496 224710 288分414224477 377分589 201174 332分463 225173 287分383524518 376分603 201777 331分501 225674 286分413824558 375分606 202383 330分435 226109 285分399724598 374分604 202987 329分470 226579 284分395224633 373分573 203560 328分444 227023 283分34824673 372分590 204150 327分464 227487 282分407724714 371分614 204764 326分480 227967 281分406324753 370分606 205370 325分467 228434 280分390324794 369分611 205981 324分445 228879 279分414724832 368分605 206586 323分493 229372 278分3763 367分537 207123 322分471 229843 277分383 24870分数人数累计分数人数累计分数人数累计27515 276分349 249055 231分267 264384 186分16227532 275分360 249415 230分327 264711 185分177727547 274分403 249818 229分272 264983 184分14327562 273分361 250179 228分306 265289 183分157727578 272分381 250560 227分288 265577 182分157427594 271分373 250933 226分285 265862 181分164827610 270分367 251300 225分267 266129 180分156427624 269分377 251677 224分277 266406 179分13627639 268分370 252047 223分272 266678 178分154427653 267分350 252397 222分269 266947 177分139327669 266分394 252791 221分283 267230 176分158127682 265分374 253165 220分270 267500 175分130127695 264分354 253519 219分266 267766 174分1334 263分369 253888 218分270 268036 173分129 2770827720 262分349 254237 217分258 268294 172分125827733 261分346 254583 216分245 268539 171分131927746 260分387 254970 215分257 268796 170分125427757 259分365 255335 214分260 269056 169分113727769 258分373 255708 213分237 269293 168分11327779 257分334 256042 212分249 269542 167分107727790 256分366 256408 211分261 269803 166分105227802 255分308 256716 210分245 270048 165分11827810 254分367 257083 209分256 270304 164分87727820 253分339 257422 208分239 270543 163分97427828 252分357 257779 207分249 270792 162分83727836 251分314 258093 206分229 271021 161分80727845 250分358 258451 205分200 271221 160分92927855 249分331 258782 204分252 271473 159分965248分320 259102 203分252 271725 158分76127870 247分338 259440 202分213 271938 157分75627879 246分288 259728 201分223 272161 156分86227886 245分327 260055 200分242 272403 155分69127893 244分330 260385 199分213 272616 154分74527900 243分378 260763 198分210 272826 153分70527906 242分304 261067 197分207 273033 152分63827913 241分329 261396 196分194 273227 151分66427919 240分288 261684 195分186 273413 150分5627925 239分342 262026 194分182 273595 149分66627932 238分303 262329 193分216 273811 148分70627937 237分303 262632 192分199 274010 147分47327943 236分294 262926 191分198 274208 146分63627949 235分285 263211 190分196 274404 145分606 234分306 263517 189分187 274591 144分48 2795427958 233分297 263814 188分204 274795 143分38227962 232分303 264117 187分193 274988 142分446分数人数累计分数人数累计分数人数累计28046 141分55 279681 96分 1 280379 10分 2428046 140分29 279710 95分 3 280382 9分 2628046 139分45 279755 94分 5 280387 6分 2828498 138分30 279785 92分 4 280391 0分45131 137分41 279826 91分 4 280395136分32 279858 89分 3 280398135分23 279881 88分 1 280399134分27 279908 87分 5 280404133分30 279938 86分 2 280406132分33 279971 85分 2 280408131分28 279999 84分 1 280409130分29 280028 83分 3 280412129分18 280046 82分 1 280413128分20 280066 81分 3 280416127分21 280087 80分 3 280419126分21 280108 78分 2 280421125分20 280128 77分 1 280422<,124分18 280146 75分 1 280423TD>123分16 280162 74分 3 280426 122分21 280183 73分 1 280427 121分16 280199 72分 1 280428 120分8 280207 71分 1 280429 119分16 280223 70分 4 280433 118分15 280238 69分 2 280435 117分14 280252 68分 3 280438 116分10 280262 65分 2 280440 115分11 280273 63分 2 280442 114分 6 280279 62分 1 280443 113分 6 280285 54分 1 280444 112分17 280302 51分 1 280445 111分 6 280308 47分 1 280446 110分8 280316 44分 1 280447 109分11 280327 42分 1 280448 108分 3 280330 41分 1 280449 107分 5 280335 39分 1 280450 106分10 280345 38分 1 280451 105分 4 280349 36分 1 280452 104分 5 280354 35分 1 280453 103分 5 280359 33分 1 280454 102分 3 280362 23分 1 280455 101分 3 280365 20分 2 280457 100分 5 280370 19分 1 280458 99分 3 280373 17分 2 280460 98分 2 280375 13分 1 280461 97分 3 280378 12分 1 280462。