08级中南大学数理统计试题及答案
- 格式:doc
- 大小:2.00 MB
- 文档页数:7
08年7月高等教育自学考试概率论与数理统计(经管类)试题答案一、单项选择题(本大题共10小题,每小题2分,共20分)1.设随机事件A 与B 互不相容,2.0)(=A P ,4.0)(=B P ,则=)|(A B P ( A ) A .0 B .0.2 C .0.4 D .1A .0.1B .0.4C .0.9D .1A .)()()(B P A P B A P += B .)()(1)(B P A P B A P -=C .)()()(B P AP B A P =D .1)(=B A PA .0.002B .0.04C .0.08D .0.1045.已知随机变量X 的分布函数为⎪⎪⎪⎩⎪⎪⎪⎨⎧≥<≤<≤=3131321021)(x x x x F ,则==}1{X P ( A )A .61B .21C .32 D .16.已知X ,Y 的联合概率分布为),(y x F 为其联合分布函数,则=⎪⎭⎫⎝⎛31,0F ( D )A .0B .1 C .1 D .1 7.设二维随机变量),(Y X 的联合概率密度为⎩⎨⎧>>=+-其它0,0),()(y x e y x f y x ,则=≥}{Y X P ( B )A .1 B .1 C .2 D .3A . 1-B .0C .1D .2n 21切比雪夫不等式为( B ) A .22}|{|εσεμnn X P ≥<-B .221}|{|εσεμn X P -≥<-C .221}|{|σεμn X P -≤≥-D .22}|{|σεμn X P ≤≥-10.设总体X ~),(2σμN ,2σ未知,X 为样本均值,∑=-=i i nX X n S 122)(1,∑=--=ni i X X n S 122)(11,检验假设00:μμ=H 时采用的统计量是( C ) A .nX Z /0σμ-=B .nS X T n /0μ-=C .nS X T /0μ-=D .nX T /0σμ-=11.一口袋装有3只红球,2只黑球,今从中任意取出2只球,则这两只恰为一红一黑的概率是________________.______________.则在[]T ,0内至少有一辆汽车通过的概率为________________.16.设随机变量),(Y X 的联合分布为则=α________________.17.设随机变量),(Y X 的概率密度为⎩⎨⎧=其他),(y x f ,则X 的边缘概率密度=)(x f________________.所围成的三角形区域,则),(Y X 的概率密度=),(y x f ________________.19.设X ~)1,0(N ,Y ~⎪⎭⎫⎝⎛21,16B ,且两随机变量相互独立,则=+)2(Y X D________________.20.设随机变量X ~)1,0(U ,用切比雪夫不等式估计≤⎭⎬⎫⎩⎨⎧≥-31|21|X P ________________.21.设n X X X ,,,21 是来自总体),(2σμN 的样本,则∑⎪⎫⎛-ni X μ~________(标出参数). 量为5的简单随机样本,则λ的矩估计值为________________.23.由来自正态总体X ~)9.0,(μN 、容量为9的简单随机样本,得样本均值为5,则未知参数μ的置信度为0.95的置信区间是____________.(96.1025.0=u ,645.105.0=u )24.设总体X 服从正态分布),(1σμN ,总体Y 服从正态分布),(2σμN ,n X X X ,,,21 和m Y Y Y ,,,21 分别是来自总体X 和Y 的简单随机样本,则=⎥⎥⎥⎥⎦⎤⎢⎢⎢⎢⎣⎡-+-+-∑∑==2)()(1122m n Y Y X X E n i m i i i ________________.i i xx xy 则y 对x 的线性回归方程为________________.26.某商店有100台相同型号的冰箱待售,其中60台是甲厂生产的,25台是乙厂生产的,15台是丙厂生产的,已知这三个厂生产的冰箱质量不同,它们的不合格率依次为0.1、0.4、0.2,现有一位顾客从这批冰箱中随机地取了一台,试求:(1)该顾客取到一台合格冰箱的概率;(2)顾客开箱测试后发现冰箱不合格,试问这台冰箱来自甲厂的概率是多大? 解:记=i A {取到第i 个厂的产品},3,2,1=i ,=B {取到合格品},则所求概率为 (1))|()()|()()|()()(332211A B P A P A B P A P A B P A P B P ++=100818.0100156.0100259.010060=⨯+⨯+⨯=; (2)1961008111.010060)()|()()|(111=-⨯==B P A B P A P B A P . 27.设随机变量X 只取非负整数值,其概率为1)1(}{++==k ka a k X P ,其中12-=a ,试求)(X E 及)(X D .解:记a ax +=1,则212-=x ,112122}{---===k k x x x k X P , ,2,1,0=k , 2)1(1112001=-='⎪⎭⎫ ⎝⎛-='⎪⎪⎭⎫ ⎝⎛=∑∑∞+=∞+=-x x x kx k k k k , 2)1(1120010012=-='⎪⎭⎫ ⎝⎛-='⎪⎪⎭⎫ ⎝⎛='⎪⎪⎭⎫ ⎝⎛='⎪⎪⎭⎫ ⎝⎛=∑∑∑∑∞+=∞+=-∞+=∞+=-x x x x x kx x kx x k k k k k k k k k , 122212212)(01-=⋅-=-=∑+∞=-k k kx X E ,122212212)(0122-=⋅-=-=∑+∞=-k k x k X E , 22)12(12)()()(222-=-+-=-=X E X E X D . 四、综合题(本大题共2小题,每小题12分,共24分)28.甲在上班路上所需的时间(单位:分)X ~)100,50(N .已知上班时间为早晨8时,他每天7时出门,试求:(1)甲迟到的概率;(2)某周(以五天计)甲最多迟到一次的概率.(0.8413Φ(1)=,0.9750Φ(1.96)=,0.9938Φ(2.5)=)解:(1)所求概率为1587.08413.01)1(11050601}60{=-=Φ-=⎪⎭⎫ ⎝⎛-Φ-=>X P ;(2)用Y 表示五天中迟到的次数,则Y ~)1587.0,5(B ,所求概率为1675.0)8413.0()1587.0()8413.0()1587.0(}1{}0{}1{41155005≈+==+==≤C C Y P Y P Y P .29.2008年北京奥运会即将召开,某射击队有甲、乙两个射手,他们的射击技术由下表给出.其中X 表示甲射击环数,Y 表示乙射击环数,试讨论派遣哪个射手参赛比较合理?解:94.0102.094.08)(=⨯+⨯+⨯=X E ,91.0108.091.08)(=⨯+⨯+⨯=Y E ,8.814.0102.094.08)(2222=⨯+⨯+⨯=X E ,2.811.0108.091.08)(222=⨯+⨯+⨯=Y E , 8.098.81)()()(222=-=-=X E X E X D ,2.092.81)()()(222=-=-=Y E Y E Y D .)()(Y E X E =,)()(Y D X D >,派遣射手乙参赛比较合理.五、应用题(本大题共1小题,10分)30.设某商场的日营业额为X 万元,已知在正常情况下X 服从正态分布)2.0,864.3(N ,十一黄金周的前五天营业额分别为:4.28、4.40、4.42、4.35、4.37(万元).假设标准差不变,问十一黄金周是否显著增加了商场的营业额.(取01.0=α,32.201.0=u ,58.2005.0=u ) 解:864.3:0≤μH ,864.3:1>μH .选用统计量nx u /00σμ-=.已知864.30=μ,2.02=σ,5=n ,01.0=α,32.201.0==u u α,算得364.4=x ,ασμu nx u =>=-=-=32.25.25/2.0864.3364.4/00,拒绝0H 而接受1H ,即认为营业额显著增加了.本资料由广州自考网收集整理,更多自考资料请登录下载考试必看:自考一次通过的秘诀!。
(一) 单选题1. 某流水生产线有前后衔接的五道工序。
某日各工序产品的合格率分别为95%、92%、90%、85%、80%,则整个流水生产线每道工序产品的平均合格率( )。
(A)88.40%(B)90%(C)88.24%(D)89.12%参考答案: (C)2. 数组8,4,6,2,10,15的中位数是( )。
(A) 6(B) 2 (C) 7 (D) 4参考答案: (C)3. 数组72,76,77,78,80,81,81,84,84,85,87的极差是( )。
(A) 12(B) 13 (C) 14 (D) 15参考答案: (D)4. 必然事件的概率为( )。
(A) 0(B) 0.5 (C) 1 (D) 100参考答案: (C)5. 偏态系数的变动范围为( )。
(A)[0,1](B)[-1,1](C)[-3,3](D)[-2,2]参考答案: (C)6. 犯“弃真”与“取伪”错误的概率的关系是( )。
(A) 此大彼小(B) 同样大小 (C) 之和为1 (D) 没关系参考答案: (A)7. 假设检验的基本依据( )。
(A) 小概率原理(B) 反证法原理 (C) 归纳法原理 (D) 演绎法原理参考答案: (A)8. 某生产班组每人的日生产量如表,则该班组工人平均日生产量( )。
(A) 15(B) 16 (C) 17 (D) 16.5参考答案: (B)9. 总体方差已知,关于均值的检验是( )。
(A) 检验(B) 检验 (C) 检验 (D)检验参考答案: (A)10.对于任意两个事件,有( )。
(A )(B )(C )(D )参考答案: (A)11. ( )是计算平均指标最基本、最常用的方法。
(A)算术平均数(B)几何平均数(C)调和平均数(D)综合平均数参考答案:(A)12. 有概率作保证的估计方法是( )。
(A)点估计(B)区间估计(C)矩估计(D)参数估计参考答案:(B)13. 次数分布曲线为正态曲线时偏度为( )。
1---○---○------○---○---……… 评卷密封线…………… 密封线内不要答题,密封线外不准填写考生信息,违者考试成绩按0分处理…………… 评卷密封…………中南大学考试试卷2008级(第一学期)期终考试试卷(2009年1月7日,10:10—12:00)时间110分钟2008~2009学年第一学期《微积分A 》课程88学时,5.5学分,闭卷,总分100分,平时成绩占30%一、填空题(本题共5小题,每题3分,共15分)1.已知212)1(lim2334-=-++++∞→x x bx x a x ,则a = ,b = .2.设)2008()2)(1(---=x x x x y ,则)2009(y = .3.dxxx x ⎰++421)1(= .4.设)(x f 是以周期为6的周期函数,且在一个周期内的表达式为)33(,1)(2<≤-++=x x xx f ,则其Fourier 级数的系数3b = .5.点)3,4,2(--到平面0322=++-z y x 的距离为 .二、选择题(本题共5小题,每小题3分,共15分)→x 11211---x e x x ∞22.设函数)(x f 在),(b a 内连续,则必有( ).(A ))(x f 为),(b a 内的有界函数;(B ))(x f 在),(b a 内必有最大值和最小值; (C )若0)(lim,0)(lim<>-→+→x f x f b x a x ,则)(x f =0至少有一根;(D ))(x f 必取得介于)(a f 和)(b f 之间的任何值.3.积分dx tx f t I t s)(0⎰=与( )有关. (A )x t s ,,(B )t s ,(C )t x ,(D )s4.广义积分()收敛.(A )dx xx ⎰∞+2ln (B )dx x x ⎰∞+2ln 1(C )dxx x ⎰∞+22)(ln 1(D )dxxx ⎰∞+2ln 15.设∑∞=1n n u ,∑∞=1n n v 均为正项级数,下列结论正确的是().(A )若),2,1(1 =≥+n u u n n 且0lim =∞→n n u ,则∑∞=1n n u 收敛(B ) 若0lim ≠=∞→k u n n pn ,则当1>p 时,∑∞=1n n u 收敛,1≤p 时∑∞=1n n u 发散(C )若+∞=∞→nn n v u lim,且∑∞=1n n v 收敛,则∑∞=1n n u 发散(D )若0lim=∞→nn n v u ,且∑∞=1n n v 发散,则∑∞=1n n u 发散3三、求解下列各题(每小题7分,共28分)1.设()(1)f x x x =-,11<<-x ,求()f x 的极值点和拐点.2.设⎩⎨⎧+=+=tt y t t x 6arctan 3,求22dx y d 。
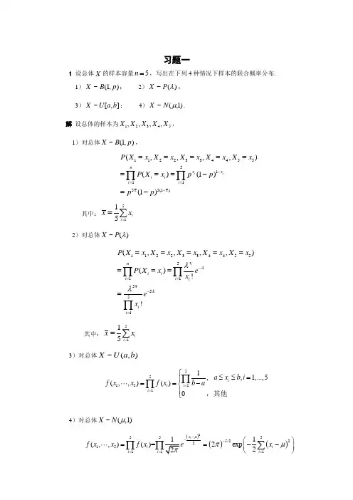
习题一1 设总体X 的样本容量5=n ,写出在下列4种情况下样本的联合概率分布. 1)),1(~p B X ; 2))(~λP X ; 3)],[~b a U X ; 4))1,(~μN X .解 设总体的样本为12345,,,,X X X X X , 1)对总体~(1,)X B p ,1122334455511155(1)(,,,,)()(1)(1)i inx x i i i i x x P X x X x X x X x X x P X x p p p p -==-========-=-∏∏其中:5115ii x x ==∑2)对总体~()X P λ11223344555115551(,,,,)()!!ixni i i i i xi i P X x X x X x X x X x P X x e x e x λλλλ-==-==========∏∏∏其中:5115ii x x ==∑3)对总体~(,)X U a b5511511,,1,...,5 (,,)()0i i i i a x b i f x x f x b a ==⎧≤≤=⎪==-⎨⎪⎩∏∏,其他4)对总体~(,1) X N μ()()()25555/222151111 (,,)()=2exp 2i x i i i i i f x x f x x μπμ---===⎛⎫==-- ⎪⎝⎭∑∏2 为了研究玻璃产品在集装箱托运过程中的损坏情况,现随机抽取20个集装箱检查其产品损坏的件数,记录结果为:1,1,1,1,2,0,0,1,3,1,0,0,2,4,0,3,1,4,0,2,写出样本频率分布、经验分布函数并画出图形.解 设(=0,1,2,3,4)i i 代表各箱检查中抽到的产品损坏件数,由题意可统计出如下的样本频率分布表1.1:经验分布函数的定义式为:()()()(1)10,(),,=1,2,,1,1,n k k k x x kF x x x x k n n x x +<⎧⎪⎪≤<-⎨⎪≥⎪⎩,据此得出样本分布函数:200,00.3,010.65,12()0.8,230.9,341,4x x x F x x x x <⎧⎪≤<⎪⎪≤<⎨≤<⎪⎪≤<⎪≥⎩图1.1 经验分布函数x()n F x3 某地区测量了95位男性成年人身高,得数据(单位:cm)如下:试画出身高直方图,它是否近似服从某个正态分布密度函数的图形.解图1.2 数据直方图它近似服从均值为172,方差为5.64的正态分布,即(172,5.64)N .4 设总体X 的方差为4,均值为μ,现抽取容量为100的样本,试确定常数k ,使得满足9.0)(=<-k X P μ.解 ()- 5P X k P k μ⎫⎪<=<⎪⎭()()555 P k X k μ=-<-<因k 较大,由中心极限定理(0,1)X N : ()()()-55P X k k k μ<≈Φ-Φ-(5)(1(5))k k =Φ--Φ()2510.9k =Φ-=所以:()50.95k Φ=查表得:5 1.65k =,0.33k ∴=.5 从总体2~(52,6.3)X N 中抽取容量为36的样本,求样本均值落在50.8到53.8之间的概率.解 ()50.853.8 1.1429 1.7143X P X P ⎛⎫<<=-<< ⎪⎝⎭(0,1) 6.3X U N =()()50.853.8 1.1429 1.7143(1.7143)( 1.14290.9564(10.8729)0.8293P X P U ∴<<=-<<=Φ-Φ-=--=)6 从总体~(20,3)X N 中分别抽取容量为10与15的两个独立的样本,求它们的均值之差的绝对值大于0.3的概率.解 设两个独立的样本分别为:110,,X X 与115,,Y Y ,其对应的样本均值为:X 和Y .由题意知:X 和Y 相互独立,且:3~(20,)10X N ,3~(20,)15Y N(0.3)1(0.3)P X Y P X Y ->=--≤1P =-~(0,0.5)~(0,1)(0.3)22(0.4243)0.6744X Y N X YN P X Y -->=-Φ=7 设110,,X X 是总体~(0,4)X N 的样本,试确定C ,使得1021()0.05ii P XC =>=∑.解 因~(0,4)i X N ,则~(0,1)2iX N ,且各样本相互独立,则有: 10122~(10)2i i X χ=⎛⎫⎪⎝⎭∑所以:10102211()()144iii i CP XC P X ==>=>∑∑1021110.0544i i c P X =⎛⎫=-≤= ⎪⎝⎭∑102110.9544i i c P X =⎛⎫≤= ⎪⎝⎭∑查卡方分位数表:c/4=18.31,则c=73.24.8 设总体X 具有连续的分布函数()X F x ,1,,n X X 是来自总体X 的样本,且i EX μ=,定义随机变量:1,,1,2,,0,i i i X Y i n X μμ>==≤⎧⎨⎩试确定统计量∑=ni i Y 1的分布.解 由已知条件得:~(1,)i Y B p ,其中1()X p F μ=-.因为i X 互相独立,所以i Y 也互相独立,再根据二项分布的可加性,有1~(,)nii YB n p =∑,1()X p F μ=-.9 设1,,n X X 是来自总体X 的样本,试求2,,EX DX ES 。
2008年中南大学数学建模暑假培训第一次练习题(共四题每队选作一题,2008年8月6日交并作报告)第一题:垃圾填埋场的优化设计问题某市平均日产生活垃圾约为1000立方米(以压缩后体积计),现欲建一垃圾填埋场,将垃圾挖坑后填埋,再在表面覆盖一米厚的土层以恢复植被。
现在需要就建场预算中涉及购置设备及征用土地问题作出决策。
考虑挖坑及填埋设备的购置和土地征用中的经济问题,市政当局希望给出花钱最少的预算。
现已知下列情形:1.挖出不用的土方可被建筑工程使用,无须处理,但须运上地面,并须留出填埋覆盖用土。
2.每套挖掘及填埋机械需购置费用150万元,使用寿命十年。
3.填埋场预计使用五十年。
4.压缩后的垃圾由汽车直接抛入垃圾填坑中,无须作功。
5.现征地费用为20万元/亩,根据统计资料知,此前三年地价涨幅为平均10% /年。
6.机械使用柴油,效率为30%。
在平地作业时,将一立方土移动一米需作功100KJ,但随挖掘深度加大,每增加一米深度,其效率在原有基础上下降10%。
7.当前银行贷款年利率为5%,存款利率为3%。
8.填埋后的场地将用于公益(如建立公园、绿地等)。
问题:1、试按市政当局要求,建立数学模型,为该项目计算出最佳的挖掘深度,评价模型优缺点;2、作出征购土地,购买机械的方案及预算。
第二题:运输问题某运输公司为10个客户配送货物,假定提货点就在客户1所在的位置,从第i 个客户到第j 个客户的路线距离(单位公里)用下面矩阵中的(,)i j (,1,,10)i j =L 位置上的数表示(其中∞表示两个客户之间无直接的路线到达)。
123456789101050402530502500303550603300153050256044015045305520406552515450601030556503030600255535730501025030456086025203055300109204015254502010352010452060300∞∞∞∞⎡⎢∞∞∞∞⎢⎢∞∞∞⎢∞⎢⎢∞∞⎢∞∞⎢⎢∞∞⎢∞∞⎢∞∞∞∞∞⎣⎤⎥⎥⎥⎥⎥⎥⎥⎥⎥⎥⎥⎢⎥⎢⎥⎢⎥⎦3、 运送员在给第二个客户卸货完成的时候,临时接到新的调度通知,让他先给客户10送货,已知送给客户10的货已在运送员的车上,请帮运送员设计一个到客户10的尽可能短的行使路线(假定上述矩阵中给出了所有可能的路线选择)。
上海立信会计学院2009~2010学年第二学期2008级本科《概率论与数理统计》期终考试试卷(A )(本场考试属闭卷考试,考试时间120分钟,可使用计算器) 共8页学院 班级 学号 姓名一、单项选择题(每题2分,共10分)在每小题列出的四个选项中只有一个选项是符合题目要求的,请将正确选项前的字母填在题后的括号内。
1.对于事件设B A ,,下列命题正确的是 ( ) A .若B A ,互不相容,则A 与B 也互不相容 B .若B A ,相容,则A 与B 也相容C .若B A ,互不相容,且概率都大于零,则A 与B 也相互独立D .若B A ,相互独立,则A 与B 也相互独立2.将一枚骰子掷两次,记21X X 、分别第一、第二掷出的点数。
记:}10{21=+=X X A ,}{21X X B <=。
则=)|(A B P ( )A .31 B .41 C .52 D .65 3.设随机变量X 与Y 均服从正态分布,)2,(~2μN X ,)5,(~2μN Y ,记}2{1-≤=μX P p ,}5{2+≥=μY P p ,则 ( )A .对任何实数μ,都有21p p =B .对任何实数μ,都有21p p <C .只对μ的个别值才有21p p =D .对任何实数μ,都有21p p > 4.设随机变量21,X X 独立,且21}1{}0{====i i X P X P (2,1=i ),那么下列结论正确的是 ( )A .21X X =B .1}{21==X X PC .21}{21==X X P D .以上都不正确 5.设21,X X 取自正态总体)2,(μN 的容量为2的样本,下列四个无偏估计中较优的是( )A .2114341ˆX X +=μB .2122121ˆX X +=μC .21332ˆX X +=μD .2147374ˆX X +=μ 二、填空题(每题2分,共10分)1.设B A ,为随机事件,5.0)(=A P ,6.0)(=B P ,8.0)|(=A B P ,则=)(B A P2.设离散型随机变量X 的分布列为kA k X P )2/1(}{==( ,2,1=k ),则常数=A3.设X 的概率密度为21)(x ex f -=π,则=)(X D4.已知随机变量X 的密度为⎩⎨⎧<<=其它010)(x x a x f ,则=a5.设随机变量X 和Y 相互独立且都服从正态分布)3,0(2N ,而91,,X X 和91,,Y Y 分别是来自总体X 和Y 简单随机样本,则统计量292191YY X X U ++++=服从 分布。
课程代码为04183的概率论与数理统计-试题及答案(2007年4月、7月、10月) 2008年1月高等教育自学考试全国统一命题考试概率论与数理统计(经管类) 试卷课程代码 4183一、单项选择题(本大题共10小题,每小题2分,共20分)在每小题列出的四个备选项中只有一个是符合题目要求的,请将其代码填写在题后的括号内。
错选、多选或未选均无分。
1.设事件A 与B 相互独立,且P(A)>0,P(B)>0,则下列等式成立的是( )A.AB=φB.P(A B )=P(A)P(B )C.P(B)=1-P(A)D.P(B |A )=0 2.设A 、B 、C 为三事件,则事件C B A =( )A.A C BB.A B CC.( A B )CD.( A B )C3. 设随机变量X 的取值范围是(-1,1),以下函数可作为X 的概率密度的是( )4.设随机变量X~N(1,4),Φ(1)=8413.0,Φ(0)=0.5,则事件{1≤X ≤3}的概率为( )A.0.1385B.0.2413C.0.2934D.0.34135.设随机变量(X ,Y )的联合概率密度为f(x,y)=则A=( ) A.21 B.1 C.23 D.2 6.Y X0 5 041 61 2 31 41则P{XY=0}=( ) A. 41 B.125 C.43 D.17.设X~B (10,31),则E (X )=( ) A.31 B.1C.310 D. 10 8.设X~N (1,23),则下列选项中,不成立...的是( ) A.E (X )=1B.D (X )=3C.P (X=1)=0D.P (X<1)=0.59.设且P(A)=0.8,1000021X ,,X ,X 相互独立,令Y=则由中心极限定理知Y 近似服从的分布是( )A.N(0,1)B.N(8000,40)C.N(1600,8000)D.N(8000,1600)二、填空题(本大题共15小题,每小题2分,共30分)请在每小题的空格中填上正确答案。
数理统计答案数理统计是应用数学理论和方法来研究统计现象的一门学科。
它是一种在实践中广泛使用的数据分析技术。
在现代学术和研究领域,数理统计是一个至关重要的工具,可以帮助我们了解事物的统计特性。
在本文中,我们将探讨一些数理统计问题的答案。
1. 为什么我们需要数理统计?数理统计可以帮助我们了解自然现象中具有统计特性的数据。
例如,我们可以使用数学模型来预测市场走势、判断新药疗效等。
此外,数理统计还可以让我们更好地理解历史事件、病毒传播和生态系统等。
2. 数理统计中的中心极限定理是什么?中心极限定理是数理统计中一个重要的定理,它指出:无论原始样本的分布如何,随着样本数量的增加,样本均值的分布将逐渐趋近于一个指定分布(一般为正态分布)。
这个定理为许多统计推断提供了理论基础。
3. 什么是假设检验?假设检验是一种统计推断技术,它用于检验关于总体参数的假设。
在假设检验中,我们首先提出一个假设,然后收集数据,据此判断我们的假设是否得到支持。
如果我们的样本数据不能反驳假设,则我们将接受假设。
否则,我们将拒绝假设并得出一个新的结论。
4. 实验设计中的正交实验设计是什么?正交实验设计是一种实验设计方法,它可以帮助我们通过尽可能少的实验次数来得出最有利的结论。
在正交实验设计中,对于每个因素,我们选择几个可能的水平。
然后我们选取一组水平的组合,进行一系列实验,以分析不同水平的因素如何影响结果。
通过对结果进行统计分析,我们可以得出最佳水平的组合,并用最少的试验次数确定最优解。
以上是一些数理统计问题的答案。
数理统计在统计推断、实验设计和大数据分析等领域都有广泛的应用,对于我们的日常生活和经济发展都有着重要的意义。
中南大学网络教育课程考试复习题及参考答案统计学原理一、选择题 :1. 当 4 4 时,次数分布曲线为 [ ] A. 正态峰度 B. 平顶峰度 C. 尖顶峰度 D. 无法判断 2. 不属于估计量优劣标准的是 [ ] A. 无偏性 B. 一致性 C. 有效性 D. 同质性 3. 下列标志中属于质量指标的有[ ] A. 总产量 B. 播种面积 C. 亩产量 D. 总产值 4. 下列标志中属于品质标志的有 [ ] A. 年龄 B. 学历 C. 体重 D. 性别5. 某公司 2006 年 8 月销售额为 10 万元,此指标属于 [ ] A. 时点指标 B. 质量指标 C. 实物指标 D. 相对指标6. 某生产小组四名工人的日产量分别为 20 件、 21 件、 18 件、 24 件,这四个数值是 [ ] A. 指标 B. 标志 C. 变量 D. 标志值7. 研究某市职工家庭生活状况,总体是[ ] A. 该市职工家庭户数 B. 该市全部居民住户 C. 该市全部职工 D. 该市全部居民 E. 该市全部职工家庭8. 检查某种机械零件的直径,结果尺寸大都不相同,这种情况在统计学中称为 [ ] A. 变量 B. 变异 C. 标志 D. 标志表现 E. 可变标志9. 在组距数列中,用组中值作为组内变量值的代表值,是因为[ ] A. 组中值比组平均数准确 B. 组中值就是组内各变量值的平均数C. 组中值计算容易D. 不可能得到组平均数10. 统计分组的关键是[ ] A. 确定分组标志 B. 编制分配数列 C. 确定组数 D. 确定组距 11. 在相对指标中,计算结果一定小于 100%的有[ ] A. 比较相对指标 B. 比例相对指标 C. 结构相对指标 D. 强度相对指标12. 已知不同等级苹果的销售额和销售单价,计算苹果综合平均售价,用( ) 计算。
[ ] A. 简单算术平均数 B. 加权算术平均数C. 调和算术平均数D. 几何平均数13. 从全及总体中抽出来进行调查的那部分单位所组成的整体叫[ ] A. 总体 B. 样本 C. 样本单位 D. 抽样总体 E. 样本容量 14.( 甲 ) 对专业工龄不到一年的两个工作班进行工时测定,以便确定这些工人制造某种零件的时间消耗; ( 乙 ) 为测定车间工时损失,对车间各班每隔3 班抽 1 班工人进行调查。
第一章 随机事件和概率一. 填空题1. 设A, B, C 为三个事件, 且=−=∪∪=∪)(,97.0)(,9.0)(C AB P C B A P B A P 则____. 解.)(1)(1)()()()(ABC P AB P ABC P AB P ABC AB P C AB P +−−=−=−=−=)(C B A P ∪∪-)(B A P ∪= 0.97-0.9 = 0.072. 设10件产品中有4件不合格品, 从中任取两件, 已知所取两件产品中有一件是不合格品, 另一件也是不合格品的概率为_______.解. , }{合格品二件产品中有一件是不=A }{二件都是不合格品=B 511)()()()()|(2102621024=−===c c c c A P B P A P AB P A B P 注意: = }{合格品二件产品中有一件是不}{不合格品二件产品中恰有一件是 + }{二件都是不合格品所以; B AB B A =⊃,}{二件都是合格品=A 3. 随机地向半圆a x ax y (202−<<为正常数)内掷一点, 点落在半圆内任何区域的概率与区域的面积成正比, 则原点和该点的连线与x 轴的夹角小于4π的概率为______.解. 假设落点(X, Y)为二维随机变量, D 为半圆. 则 121)),((2==∈a kD Y X P π, k 为比例系数. 所以22ak π= 假设D 1 = {D 中落点和原点连线与x 轴夹角小于4π的区域}πππ121)2141(2)),((22211+=+=×=∈a a a D k D Y X P 的面积. 4. 设随机事件A, B 及其和事件A ∪B 的概率分别是0.4, 0.3, 0.6, 若B 表示B 的对立事件, 则积事件B A 的概率)(B A P = ______.解. =+−+=)()()()(B A P B P A P AB P 0.4 + 0.3-0.6 = 0.1 3.01.04.0)()()(=−=−=AB P A P B A P .5. 某市有50%住户订日报, 有65%住户订晚报, 有85%住户至少订这两种报纸中的一种, 则同时订这两种报纸的住户的百分比是________. 解. 假设A = {订日报}, B = {订晚报}, C = A + B. 由已知 P(A) = 0.5, P(B) = 0.65, P(C) = 0.85.所以 P(AB) = P(A) + P(B)-P(A + B) = 0.5 + 0.65-0.85 = 0.3.6. 三台机器相互独立运转, 设第一, 第二, 第三台机器不发生故障的概率依次为0.9, 0.8, 0.7, 则这三台机器中至少有一台发生故障的概率________. 解. 设A i 事件表示第i 台机器运转不发生故障(i = 1, 2, 3). 则 P(A 1) = 0.9, P(A 2) = 0.8, P(A 3) = 0.7,)()()(1)(1)()(321321321321A P A P A P A A A P A A A P A A A P −=−==++ =1-0.9×0.8×0.7=0.496.7. 电路由元件A 与两个并联元件B, C 串联而成, 若A, B, C 损坏与否相互独立, 且它们损坏的概率依次为0.3, 0.2, 0.1, 则电路断路的概率是________. 解. 假设事件A, B, C 表示元件A, B, C 完好.P(A) = 0.7, P(B) = 0.8, P(C) = 0.9. 事件线路完好 = A(B + C) = AB + AC.P(A(B + C) ) = P(AB + AC) = P(AB)+P(AC)-P(ABC) = P(A)P(B) + P(A)P(C)-P(A)P(B)P(C) = 0.7×0.8 +0.7×0.9-0.7×0.8×0.9 = 0.686. 所以 P(电路断路) = 1-0.686 = 0.314.8. 甲乙两人投篮, 命中率分别为0.7, 0.6, 每人投三次, 则甲比乙进球多的概率______. 解. 设X 表示甲进球数, Y 表示乙进球数.P(甲比乙进球多) = P(X = 3, Y = 2) +P(X = 3, Y = 1) + P(X = 3, Y = 0) + P(X = 2, Y = 1) +P(X = 2, Y = 0) + P(X = 1, Y = 0) = P(X = 3)P(Y = 2) +P(X = 3)P(Y = 1) + P(X = 3)P(Y = 0) + P(X = 2)P(Y = 1) +P(X = 2)P(Y = 0) + P(X = 1)P(Y = 0)=+⋅⋅⋅21336.04.07.0c +⋅⋅⋅6.04.07.02233c 334.07.0⋅++⋅⋅⋅⋅⋅2132134.06.07.03.0c c +⋅⋅⋅32134.07.03.0c 32134.03.07.0⋅⋅⋅c = 0.148176 + 0.098784 +0.021952 + 0.127008 + 0.028224 + 0.012096= 0.43624.9. 三人独立破译一密码, 他们能单独译出的概率分别为41,31,51, 则此密码被译出的概率_____.解. 设A, B, C 表示事件甲, 乙, 丙单独译出密码., 则41)(,31)(,51)(===C P B P A P . P(A + B + C) = P(A) + P(B) + P(C)-P(AB)-P(AC)-P(BC) + P(ABC)= P(A) + P(B) + P(C)-P(A)P(B)-P(A)P(C)-P(B)P(C) + P(A)P(B)P(C) =53413151413141513151413151=⋅⋅+⋅−⋅−⋅−++.二.单项选择题.1. 以A 表示“甲种产品畅销, 乙种产品滞销”, 则对立事件A 为(A) “甲种产品滞销, 乙种产品畅销” (B) “甲、乙产品均畅销”(C) “甲种产品滞销” (D) “甲产品滞销或乙产品畅销” 解. (D)是答案.2. 设A, B, C 是三个事件, 与事件A 互斥的事件是(A) C A B A + (B) )(C B A + (C) ABC (D) C B A ++ 解. ==++C B A A )C B A A(φ, 所以(D)是答案. 3. 设A, B 是任意二个事件, 则(A) P(A ∪B)P(AB)≥P(A)P(B) (B) P(A ∪B)P(AB)≤P(A)P(B) (C) P(A -B)P(B -A)≤P(A)P(B)-P(AB) (D)41)()(≥−−A B P B A P . 解. P(A + B)P(AB)-P(A)P(B) = (P(A) + P(B)-P(AB))P(AB)-P(A)P(B) =-P(A)(P(B)-P(AB)) + P(AB)(P(B)-P(AB) =-(P(B)-P(AB))(P(A)-P(AB)) =-P(B -A)P(A -B) ≤ 0 所以(B)是答案 .4. 事件A 与B 相互独立的充要条件为(A) A + B = Ω (B) P(AB) = P(A)P(B) (C) AB = φ (D) P(A + B) = P(A) + P(B) 解. (B)是答案.5. 设A, B 为二个事件, 且P(AB) = 0, 则 (A) A, B 互斥 (B) AB 是不可能事件 (C) AB 未必是不可能事件 (D) P(A) = 0或P(B) = 0. 解. 概率理论中 P(A) = 0不能推出A 为不可能事件(证明超出大纲要求). 所以(C)是答案.6. 设A, B 为任意二个事件, 且A ⊂B, P(B) > 0, 则下列选项必然成立的是 (A) P(A) < P(A|B) (B) P(A) ≤ P(A|B) (C) P(A) > P(A|B) (C) P(A) ≥ P(A|B) 解. )()()()()()|(A P B P A P B P AB P B A P ≥==(当B = Ω时等式成立). (B)是答案.7. 已知 0 < P(B) < 1, 且P[(A 1 + A 2)|B] = P(A 1|B) + P(A 2|B), 则下列选项必然成立的是 (A))B |P(A )B |P(A ]B |)A P[(A 2121+=+ (B) P(A 1B +A 2B) = P(A 1B) +P(A 2B)(C) P(A 1 +A 2) = P(A 1|B) +P(A 2|B)(D) P(B) = P(A 1)P(B|A 1) + P(A 2)P(B|A 2)解. 由P[(A 1 + A 2)|B] = P(A 1|B) + P(A 2|B)得到)()()()()(])[(2121B P B A P B P B A P B P B A A P +=+, 所以P(A 1B +A 2B) = P(A 1B) +P(A 2B). (B)是答案.三. 计算题1. 某厂生产的产品次品率为0.05, 每100个产品为一批, 抽查产品质量时, 在每批中任取一半来检查, 如果发现次品不多于1个, 则这批产品可以认为合格的, 求一批产品被认为是合格的概率.解. P(该批产品合格) = P(全部正品) + P(恰有1个次品)=2794.050100154995*********=+c cc c c2. 书架上按任意次序摆着15本教科书, 其中有5本是数学书, 从中随机地抽取3本, 至少有一本是数学书的概率.解. 假设A={至少有一本数学书}. A ={没有数学书}P(A ) =9124315310=c c , P(A) = 1-P(A ) = 91673. 全年级100名学生中有男生80名, 来自北京的20名中有男生12名. 免修英语的40名学生中有男生32名, 求出下列概率: i. 碰到男生情况不是北京男生的概率;ii. 碰到北京来的学生情况下是一名男生的概率; iii. 碰到北京男生的概率;iv. 碰到非北京学生情况下是一名女生的概率; v. 碰到免修英语的男生的概率.解. 学生情况: 男生 女生 北京 12 8 免修英语 32 8 总数 80 20i. P(不是北京|男生) =20178068=ii. P(男生|北京学生) =532012=iii. P(北京男生) =10012iv. P(女生|非北京学生) =8012v. P(免修英语男生) =100324. 袋中有12个球, 其中9个是新的, 第一次比赛时从中取3个, 比赛后任放回袋中, 第二次比赛再从袋中任取3个球, 求: i. 第二次取出的球都是新球的概率;ii. 又已知第二次取出的球都是新球, 第一次取到的都是新球的概率.解. i. 设B i 表示第一次比赛抽到i 个新球(i = 0, 1, 2, 3). A 表示第二次比赛都是新球. 于是312339)(c c c B P i i i −=, 31239)|(c c B A P i i −=)()(1)()|()()(3603393713293823193933092312323123933930c c c c c c c c c c c c c c c c c B A P B P A P i i i i i i i +++===∑∑=−−=146.0484007056)201843533656398411()220(12==××+××+××+××=ii. 215484007056)220(20184)()()|()|(2333=××==A P B P B A P A B P5. 设甲、乙两袋, 甲袋中有n 个白球, m 个红球, 乙袋中有N 个白球, M 个红球, 今从甲袋中任取一只放入乙袋, 再从乙袋中任取一球, 问取到白球的概率. 解. 球的情况: 白球 红球 甲袋 n m 乙袋 N M 假设 A = {先从甲袋中任取一球为白球} B = {先从甲袋中任取一球为红球} C = {再从乙袋中任取一球为白球} P(C) = P(C|A)P(A) + P(C|B)P(B)nm mM N N m n n M N N +⋅++++⋅+++=111 ))(1()1(n m M N NmN n +++++=第二章 随机变量及其分布一. 填空题1. 设随机变量X ~B(2, p), Y ~B(3, p), 若P(X ≥ 1) =95, 则P(Y ≥ 1) = _________. 解. 94951)1(1)0(=−=≥−==X P X P 94)1(2=−p , 31=p 2719321)0(1)1(3=⎟⎠⎞⎜⎝⎛−==−=≥Y P Y P2. 已知随机变量X 只能取-1, 0, 1, 2四个数值, 其相应的概率依次为cc c c 162,85,43,21, 则c = ______. 解. 2,16321628543211==+++=c cc c c c 3. 用随机变量X 的分布函数F(x)表示下述概率:P(X ≤ a) = ________. P(X = a) = ________. P(X > a) = ________. P(x 1 < X ≤ x 2) = ________.解. P(X ≤ a) = F(a) P(X = a) = P(X ≤ a)-P(X < a) = F(a)-F(a -0) P(X >a)=1-F(a) P(x 1 < X ≤ x 2) = F(x 2)-F(x 1)4. 设k 在(0, 5)上服从均匀分布, 则有实根的概率为_____.02442=+++k kx x 解. k 的分布密度为⎪⎩⎪⎨⎧=051)(k f其它50≤≤k P{有实根} = P{} 02442=+++k kx x 03216162≥−−k k = P{k ≤-1或k ≥ 2} =535152=∫dk 5. 已知2}{,}{kbk Y P k a k X P =−===(k = 1, 2, 3), X 与Y 独立, 则a = ____, b = ____, 联合概率分布_____, Z = X + Y 的概率分布为_____. 解. 116,132==++a a a a . 4936,194==++b b b b(X, Y)的联合分布为Z = X + Y -2 -1 0 1 2 P24α 66α 251α 126α 72αab = 216α, 5391=α α249)3()1()3,1()2(==−===−===−=abY P X P Y X P Z P α66)2,1()3,2()1(=−==+−===−=Y X P Y X P Z Pα251)1,1()2,2()3,3()0(=−==+−==+−====Y X P Y X P Y X P Z P α126)2,3()1,2()1(=−==+−====Y X P Y X P Z P α723)1()3()1,3()2(==−===−====abY P X P Y X P Z P6. 已知(X, Y)联合密度为 ⎩⎨⎧+=0)sin(),(y x c y x ϕ其它4,0π≤≤y x , 则c = ______, Y 的边缘概率密度=)(y Y ϕ______.解.12,1)sin(4/04/0+==+∫∫c dxdy y x c ππ所以⎩⎨⎧++=0)sin()12(),(y x y x ϕ 其它4,0π≤≤y x当 40π≤≤y 时))4cos()(cos 12()sin()12(),()(4y y dx y x dx y x y Y +−+=++==∫∫∞+∞−πϕϕπ所以⎪⎩⎪⎨⎧+−+=0))4cos()(cos 12()(y y y Y πϕ 其它40π≤≤y7. 设平面区域D 由曲线2,1,01e x x y xy ====及直线围成, 二维随机变量(X, Y)在D 上服从均匀分布, 则(X, Y)关于X 的边缘密度在x = 2处的值为_______. 解. D 的面积 =2121=∫e dx x. 所以二维随机变量(X, Y)的密度为: ⎪⎩⎪⎨⎧=021),(y x ϕ其它D y x ∈),(下面求X 的边沿密度:当x < 1或x > e 2时0)(=x X ϕ当1 ≤ x ≤ e 2时∫∫===∞+∞−x X x dy dy y x x 102121),()(ϕϕ, 所以41)2(=X ϕ. 8. 若X 1, X 2, …, X n 是正态总体N(μ, σ2)的一组简单随机样本, 则)(121n X X X nX +++="服从______. 解. 独立正态分布随机变量的线性函数服从正态分布.μ==⎟⎠⎞⎜⎝⎛∑∑==n i i n i i X E n X n E 11)(11, nX D nX n D ni in i i 2121)(11σ==⎟⎠⎞⎜⎝⎛∑∑==所以 ),(~2nN X σμ9. 如果(X, Y)的联合分布用下列表格给出,且X解.213161)1(,181)3(,91)2(,31)2(=+==+==+==++==Y P Y P Y P X P βαβα 132)3()2()1(=++==+=+=βαY P Y P Y P⎪⎪⎩⎪⎪⎨⎧+++=======+++=======)181)(31()3()2()3,2()91)(31()2()2()2,2(ββαβαβααY P X P Y X P Y P X P Y X P两式相除得βαβα=++18191, 解得 βα2=, 92,91==αβ.10. 设(X, Y)的联合分布律为则 i. Z = X + Y 的分布律 ______. ii. V = X -Y 的分布律______. iii. U= X 2 + Y -2的分布律_______. 解.X + Y -3 -2 -1 -3/2 -1/2 1 3 P1/12 1/12 3/12 2/12 1/12 2/12 2/12X -Y-1 0 1 3/2 5/2 3 5P 3/12 1/12 1/12 1/12 2/12 2/12 2/12X 2 + Y -2 -15/4 -3 -11/4 -2 -1 5 7P2/12 1/12 1/12 1/12 3/12 2/12 2/12二. 单项选择题1. 如下四个函数哪个是随机变量X 的分布函数(A)⎪⎪⎩⎪⎪⎨⎧=221)(x F , (B) 0022≥<≤−−<x x x ⎪⎩⎪⎨⎧=1sin 0)(x x F ππ≥<≤<x x x 00(C) , (D) ⎪⎩⎪⎨⎧=1sin 0)(x x F 2/2/00ππ≥<≤<x x x ⎪⎪⎩⎪⎪⎨⎧+=1310)(x x F 212100≥<≤<x x x解. (A)不满足F(+∞) = 1, 排除(A); (B)不满足单增, 排除(B); (D)不满足F(1/2 + 0) = F(1/2), 排除(D); (C)是答案. 2. 是随机变量X 的概率分布, 则λ, c 一定满足),4,2,0(!/)("===−k k ec k X P k λλ(A) λ > 0 (B) c > 0 (C) c λ > 0 (D) c > 0, 且 λ > 0 解. 因为, 所以c > 0. 而k 为偶数, 所以λ可以为负.所以(B)是答案.),4,2,0(!/)("===−k k ec k X P k λλ3. X ~N(1, 1), 概率密度为ϕ(x), 则(A) (B)5.0)0()0(=≥=≤X P X p ),(),()(+∞−∞∈−=x x x ϕϕ (C) (D) 5.0)1()1(=≥=≤X P X p ),(),(1)(+∞−∞∈−−=x x F x F 解. 因为E(X) = μ = 1, 所以5.0)1()1(=≥=≤X P X p . (C)是答案.4. X, Y 相互独立, 且都服从区间[0, 1]上的均匀分布, 则服从区间或区域上的均匀分布的随机变量是 (A) (X, Y) (B) X + Y (C) X 2 (D) X -Y解. X ~⎩⎨⎧=01)(x ϕ其它10≤≤x , Y ~ ⎩⎨⎧=01)(y ϕ其它10≤≤y . 所以 (X, Y)~⎩⎨⎧=01),(y x ϕ其它1,0≤≤y x .所以(A)是答案.5. 设函数⎪⎪⎩⎪⎪⎨⎧=120)(xx F 则1100>≤<≤x x x (A) F(x)是随机变量X 的分布函数. (B) 不是分布函数.(C) 离散型分布函数. (D)连续型分布函数.解. 因为不满足F(1 + 0) = F(1), 所以F(x)不是分布函数, (B)是答案.6. 设X, Y 是相互独立的两个随机变量, 它们的分布函数为, 则Z = max(X, Y)的分布函数是)(),(y F x F Y X (A) = max{} (B) = max{} )(z F Z )(),(z F z F Y X )(z F Z |)(||,)(|z F z F Y X (C) = (D) 都不是)(z F Z )()(z F z F Y X解. }{}),{max()()(z Y z X P z Y X P z Z P z F Z ≤≤=≤=≤=且 )()()()(z F z F z Y P z X P Y X =≤≤因为独立. (C)是答案.7. 设X, Y 是相互独立的两个随机变量, 其分布函数分别为, 则Z = min(X, Y)的分布函数是)(),(y F x F Y X (A) = (B) =)(z F Z )(z F X )(z F Z )(z F Y (C) = min{} (D) = 1-[1-][1-] )(z F Z )(),(z F z F Y X )(z F Z )(z F X )(z F Y 解. }{1}),{min(1)(1)()(z Y z X P z Y X P z Z P z Z P z F Z >>−=>−=>−=≤=且 )](1)][(1[1)](1)][(1[1z F z F z Y P z X P Y X −−−=≤−≤−−因为独立 (D)是答案.8. 设X 的密度函数为)(x ϕ, 而,)1(1)(2x x +=πϕ 则Y = 2X 的概率密度是(A))41(12y +π (B) )4(22y +π (C) )1(12y +π (D) y arctan 1π解. 2()2(}2{)()(yF y X P y X P y Y P y F X Y =≤=≤=≤= )4(2)2(112121)2()2()]([)(22''y y y y F y F y X X Y Y +=⎟⎠⎞⎜⎝⎛+⋅=⋅=⎟⎠⎞⎜⎝⎛==ππϕϕ (B)是答案.9. 设随机变量(X, Y)的联合分布函数为⎩⎨⎧=+−0),()(y x e y x ϕ其它0,0>>y x , 则2YX Z +=的分布密度是(A) ⎪⎩⎪⎨⎧=+−021)()(y x Z e Z ϕ 其它0,0>>y x (B) ⎪⎩⎪⎨⎧=+−0)(2y x Z e z ϕ 其它0,0>>y x(C) (D) ⎩⎨⎧=−04)(2z Z ze Z ϕ00≤>z z ⎪⎩⎪⎨⎧=−021)(zZ eZ ϕ 00≤>z z 解. 2YX Z +=是一维随机变量, 密度函数是一元函数, 排除(A), (B).21210=∫∞+−dz e z , 所以(D)不是答案. (C)是答案. 注: 排除法做单项选择题是经常使用而且很有效的方法. 该题也可直接计算Z 的密度:当z < 0时0)(=z F Z当z ≥ 0时∫∫≤+=≤+=≤+=≤=zy x Z dxdy y x z Y X P z YX P z Z P z F 2),()2()2()()(ϕ=12222020+−−=⎥⎦⎤⎢⎣⎡−−−−−∫∫z z z xz y x e ze dx dy e e , (C)是答案.==)()('z F z ZZ ϕ⎩⎨⎧−042z ze 00≤>z z 10. 设两个相互独立的随机变量X 和 Y 分别服从正态分布N(0, 1)和N(1, 1), 则下列结论正确的是(A) P{X + Y ≤ 0} = 1/2 (B) P{X + Y ≤ 1} = 1/2 (C) P{X -Y ≤ 0} = 1/2 (D) P{X -Y ≤ 1} = 1/2解. 因为X 和 Y 分别服从正态分布N(0, 1)和N(1, 1), 且X 和 Y 相互独立, 所以 X + Y ~ N(1, 2), X -Y ~ N(-1, 2) 于是P{X + Y ≤ 1} = 1/2, (B)是答案.11. 设随机变量X 服从指数分布, 则Y = min{X, 2}的分布函数是(A) 是连续函数 (B) 至少有两个间断点 (C) 是阶梯函数 (D) 恰好有一个间断点 解. 分布函数:))2,(min(1))2,(min()()(y X P y X P y Y P y F Y >−=≤=≤= 当y ≥ 2时101))2,(min(1)(=−=>−=y X P y F Y 当0 ≤ y < 2时)2,(1))2,(min(1)(y y X y X P y F Y >>−=>−=ye y X P y X P λ−−=≤=>−=1)()(1当y < 0时)2,(1))2,(min(1)(y y X y X P y F Y >>−=>−= 0)()(1=≤=>−=y X P y X P于是 只有y = 2一个间断点, (D)是答案.⎪⎩⎪⎨⎧−=−011)(y Y e y F λ0202<<≤≥y y y三. 计算题1. 某射手有5发子弹, 射击一次的命中率为0.9, 如果他命中目标就停止射击, 不命中就一直到用完5发子弹, 求所用子弹数X 的分布密度. 解. 假设X 表示所用子弹数. X = 1, 2, 3, 4, 5.P(X = i) = P(前i -1次不中, 第i 次命中) = , i = 1, 2, 3, 4.9.0)1.0(1⋅−i 当i = 5时, 只要前四次不中, 无论第五次中与不中, 都要结束射击(因为只有五发子弹). 所以 P(X = 5) = . 于是分布律为 4)1.0(X1 2 3 4 5p 0.9 0.09 0.009 0.0009 0.00012. 设一批产品中有10件正品, 3件次品, 现一件一件地随机取出, 分别求出在下列各情形中直到取得正品为止所需次数X 的分布密度.i. 每次取出的产品不放回; ii. 每次取出的产品经检验后放回, 再抽取; iii. 每次取出一件产品后总以一件正品放回, 再抽取.解. 假设A i 表示第i 次取出正品(i = 1, 2, 3, …) i.13)()1(1===A P X P 1331210)()|()()2(11212⋅====A P A A P A A P X P1331221110)()|()|()()3(11223321⋅⋅====A P A A P A A P A A A P X P1331221111)()|()|()|()4(1122334⋅⋅⋅===A P A A P A A P A A P XPii. 每次抽取后将原产品放回1310133)()()()()(11111−−−⎟⎠⎞⎜⎝⎛====k k k k k A P A P A P A A A p k X P "", (k = 1, 2, …)iii. 每次抽取后总以一个正品放回X 1 2 3 4p1310 1311133⋅ 1312132133⋅⋅ 1331321311⋅⋅⋅ 1310)()1(1===A P X P 1331311)()|()()2(11212⋅====A P A A P A A P X P1331321312)()|()|()()3(112123321⋅⋅====A P A A P A A A P A A A P X P 1331321311)()|()|()|()4(1121231234⋅⋅⋅===A P A A P A A A P A A A A P X P3. 随机变量X 的密度为⎪⎩⎪⎨⎧−=01)(2x cx ϕ其它1||<x , 求: i. 常数c; ii. X 落在21,21(−内的概率. 解. πππϕ1,22|arcsin 21)(110112====−==∫∫−∞+∞−c c c x c dx xc dx x3162|arcsin 211))2/1,2/1((2/102/12/12=⋅==−=−∈∫−ππππx x dx X P 4. 随机变量X 分布密度为i. 2102)(x x −⎪⎩⎪⎨⎧=πϕ , ii. 其它1||<x ⎪⎩⎪⎨⎧−=02)(x x x ϕ其它2110≤≤<≤x x求i., ii 的分布函数F(x).解. i. 当x ≤ 1时∫∫∞−∞−===x xdt dt t x F 00)()(ϕ当-1< x < 1时 ∫∫∞−−++−=−==x x x x xdt t dt t x F 21arcsin 1112)()(212πππϕ 当x ≥ 1时 ∫∫∞−−=−==x dt t dt t x F 112)()(112πϕ所以 ⎪⎪⎩⎪⎪⎨⎧++−=121arcsin 110)(2x x xx F ππ 1111≥<<−−≤x x xii. 当x < 0时∫∫∞−∞−===x xdt dt t x F 00)()(ϕ当0 ≤ x < 1时 ∫∫∞−===x xx tdt dt t x F 2)()(2ϕ当1 ≤ x < 2时 122)2()()(2110−+−=−+==∫∫∫∞−x x dt t tdt dt t x F x xϕ当2 ≤ x 时1)2()()(211∫∫∫∞−=−+==x dt t tdt dt t x F ϕ所以 ⎪⎪⎪⎩⎪⎪⎪⎨⎧−+−=112220)(22x x x x F 221100≥<≤<≤<x x x x5. 设测量从某地到某一目标的距离时带有的随机误差X 具有分布密度函数⎟⎟⎠⎞⎜⎜⎝⎛−−=3200)20(exp 2401)(2x x πϕ, -∞ < x < +∞ 试求: i. 测量误差的绝对值不超过30的概率;ii. 接连独立测量三次, 至少有一次误差的绝对值不超过30的概率.解. 因为⎟⎟⎠⎞⎜⎜⎝⎛−−=3200)20(exp 2401)(2x x πϕ, -∞ < x < +∞, 所以X ~N(20, 402). i. {}⎭⎬⎫⎩⎨⎧<−<−=<<−=<25.0402025.13030)30|(|X P X P X P )25.1()25.0(−Φ−Φ=1)25.1()25.0()25.1(1()25.0(−Φ+Φ=Φ−−Φ= = 0.4931.18944.05987.0−+=(其中Φ(x)为N(0, 1)的分布函数)ii. P(至少有一次误差的绝对值不超过30) = 1-P(三次误差的绝对值都超过30) = 88.012.01)4931.0(13=−=−6. 设电子元件的寿命X 具有密度为⎪⎩⎪⎨⎧=0100)(2x x ϕ100100≤<x x 问在150小时内, i. 三只元件中没有一只损坏的概率是多少? ii. 三只电子元件全损坏的概率是多少? iii. 只有一个电子元件损坏的概率是多少?解. X 的密度⎪⎩⎪⎨⎧=0100)(2x x ϕ100100≤<x x . 所以 31100)150(1501002==<∫dx x X P . 令p = P(X ≥ 150) = 1-31= 32.i. P(150小时内三只元件没有一只损坏) =2783=p ii. P(150小时内三只元件全部损坏) =271)1(3=−piii. P(150小时内三只元件只有一只损坏) =943231213=⎟⎠⎞⎜⎝⎛⎟⎠⎞⎜⎝⎛c7. 对圆片直径进行测量, 其值在[5, 6]上服从均匀分布, 求圆片面积的概率分布. 解. 直径D 的分布密度为⎩⎨⎧=01)(d ϕ其它65≤≤d假设42D X π=, X 的分布函数为F(x).)()()(2x D P x X P x F ≤=≤=π当x ≤ 0时, F(x) = 0 当x > 0时⎭⎬⎫⎩⎨⎧≤≤−=≤=≤=πππx D xP x D P x X P x F 44)()()(2 当时即425,54ππ<<x xF(x) = 0 当时即πππ925,645≤≤≤≤x x⎭⎬⎫⎩⎨⎧≤≤−=≤=≤=πππx D xP x D P x X P x F 44)()()(2=54145−=∫ππxdt x当 x > 9π时1)()(65===∫∫∞−dt dt t x F x ϕ所以 ⎪⎪⎩⎪⎪⎨⎧−=1540)(πxx F ππππ99425425>≤≤<x x x 密度⎪⎩⎪⎨⎧==01)(')(x x F x πϕ 其它ππ9425≤≤x 8. 已知X 服从参数 p = 0.6的0-1分布在X = 0, X = 1下, 关于Y 的条件分布分别为表1、表2所示表1 表2Y 1 2 3 Y 1 2 3 P(Y|X = 0)41 21 41 P(Y|X = 1) 21 61 31求(X, Y)的联合概率分布, 以及在Y ≠ 1时, 关于X 的条件分布.解. X 的分布律为X 0 1 p 0.4 0.6(X, Y)3.05321)1()1|1()1,1(=⋅=======X P X Y P Y X P 1.05361)1()1|2()2,1(=⋅=======X P X Y P Y X P2.05331)1()1|3()3,1(=⋅=======X P X Y P Y X P1.05241)0()0|1()1,0(=⋅=======X P X Y P Y X P2.05221)0()0|2()2,0(=⋅=======X P X Y P Y X P1.05241)0()0|3()3,0(=⋅=======X P X Y P Y X P所以Y 的分布律为Y1 2 3 p0.4 0.3 0.35.06.03.0)1()1,0()1|0(==≠≠==≠=Y P Y X P Y X P5.06.03.0)1()1,1()1|1(==≠≠==≠=Y P Y X P Y X P所以X|Y ≠ 1 0 1 p0.5 0.59. 设随机变量X 与Y 相互独立, 并在区间[0, 9]上服从均匀分布, 求随机变量YXZ =的分布密度.解. X ~⎪⎩⎪⎨⎧=091)(x X ϕ其它90≤≤x , Y ~⎪⎩⎪⎨⎧=091)(x Y ϕ 其它90≤≤y 因为X, Y 相互独立, 所以(X, Y)联合密度为(X, Y)~⎪⎩⎪⎨⎧=0811),(y x ϕ 其它9,0≤≤y x , )()()(z X Y P z Z P z F Z ≤=≤=当 z ≤ 0时当 0 < z < 1时0)(=z F Z z z dxdy Xz Y P z X Y P z Z P z F D Z 219928181)()()()(1=⋅⋅==≤=≤=≤=∫∫当z ≥ 1时∫∫=≤=≤=≤=2811)()()()(D Z dxdy Xz Y P z X Y P z Z P z F zz 211)992181(811−=⋅−⋅=所以 ⎪⎪⎩⎪⎪⎨⎧==2'21210)()(zz F z Z Z ϕ 1100≥<<≤z z z 10. 设(X, Y)的密度为⎩⎨⎧−−=0)1(24),(y x y y x ϕ其它1,0,0<+>>y x y x 求: i.21|(),|(),(=x y x y x X ϕϕϕ, ii. )21|(),|(),(=y x y x y Y ϕϕϕ 解.i.∫∞+∞−=dy y x x X ),()(ϕϕ当x ≤ 0 或 x ≥ 1时0),()(==∫∞+∞−dy y x x X ϕϕ当0 < x < 1时310)1(4)1(24),()(x dy y x y dy y x x x X −=−−==∫∫−∞+∞−ϕϕ所以 ⎩⎨⎧−=0)1(4)(3x x X ϕ其它10<<x所以 ⎪⎩⎪⎨⎧−−−==0)1()1(6)(),()|(3x y x y x y x x y X ϕϕϕ 其它1,0,0<+>>y x y x 所以 ⎩⎨⎧−==0)21(24)21|(y y x y ϕ 其它210<<yii.∫∞+∞−=dx y x y Y ),()(ϕϕ当y ≤ 0 或 y ≥ 1时0),()(==∫∞+∞−dx y x y Y ϕϕ当0 < y < 1时210)1(12)1(24),()(y y dx y x y dx y x y y Y −=−−==∫∫−∞+∞−ϕϕ所以 ⎩⎨⎧−=0)1(12)(2y y y Y ϕ其它10<<y所以 ⎪⎩⎪⎨⎧−−−==0)1()1(2)(),()|(2y y x y y x y x Y ϕϕϕ其它1,0,0<+>>y x y x 所以 ⎩⎨⎧−==0)21(4)21|(x y x ϕ 其它210<<x第三章 随机变量的数字特征一. 填空题1. 设随机变量X 与Y 相互独立, D(X) = 2, D(Y) = 4, D(2X -Y) = _______. 解. D(2X -Y) = 4D(X) + D(Y) = 122. 已知随机变量X ~N(-3, 1), Y ~N(2, 1 ), 且X 与Y 相互独立, Z = X -2Y + 7, 则Z ~____. 解. 因为Z = X -2Y + 7, 所以Z 服从正态分布. E(Z) = E(X)-2E(Y) + 7 = 0. D(Z) = D(X -2Y + 7) = D(X) + 4D(Y) = 1+4 = 5. 所以Z ~N(0, 5)3. 投掷n 枚骰子, 则出现点数之和的数学期望______. 解. 假设X i 表示第i 颗骰子的点数(i = 1, 2, …, n). 则 E(X i ) = 27616612611=⋅++⋅+⋅" (i= 1, 2, …, n) 又设, 则∑==ni iXX 127)()()(11nX E X E X E ni in i i===∑∑== 4. 设离散型随机变量X 的取值是在两次独立试验中事件A 发生的次数, 如果在这些试验中事件发生的概率相同, 并且已知E(X) = 0.9, 则D(X) = ______. 解. , 所以E(X) = 0.9 = 2p. p = 0.45, q = 0.55 ),2(~p B X D(X) = 2pq = 2×0.45×0.55 = 0.495.5. 设随机变量X 在区间[-1, 2]上服从均匀分布, 随机变量 , 则方差D(Y) = _______.⎪⎩⎪⎨⎧−=101Y 000<=>X X X 解. X ~⎪⎩⎪⎨⎧=031)(x ϕ 其它21≤≤−xY 的分布律为Y 1 0 -1 p2/3 0 1/3因为 3231)0()1(20==>==∫dx X P Y P0)0()0(====X P Y P 3131)0()1(01==<=−=∫−dx X P Y P 于是 313132)(=−=Y E , 13132)(2=+=Y E , 98)]([)()(22=−=Y E Y E Y D6. 若随机变量X 1, X 2, X 3相互独立, 且服从相同的两点分布, 则服从⎟⎟⎠⎞⎜⎜⎝⎛2.08.010∑==31i i X X_______分布, E(X) = _______, D(X) = ________.解. X 服从B(3, 0.2). 所以E(X) = 3p = 3×0.2= 0.6, D(X) = 3pq = 3×0.2×0.8 = 0.487. 设X 和Y 是两个相互独立的随机变量, 且X ~N(0, 1), Y 在[-1, 1]上服从均匀分布, 则= _______.),cov(Y X 解. 因为X 和Y 是两个相互独立的随机变量, 所以= 0.),cov(Y X 8. 设X 和Y 是两个相互独立的随机变量, 其概率密度分别为:⎩⎨⎧=02)(x x ϕ其它10≤≤x ,, 则E(XY) = ________.⎩⎨⎧=−−0)()5(y e y ϕ其它5>y 解. 322)()(10=⋅==∫∫∞+∞−xdx x dx x x X E ϕ 6)()(5)5(=⋅==∫∫∞+−−∞+∞−dy e y dy y y Y E y ϕ因为X 和Y 是两个相互独立的随机变量, 所以E(XY) = E(X)E(Y) = 49. 若随机变量X 1, X 2, X 3相互独立, 其中X 1在[0, 6]服从均匀分布, X 2服从正态分布N(0, 22), X 3服从参数λ = 3的泊松分布, 记Y = X 1-2X 2 + 3X 3, 则D(Y) = ______. 解. )(9)(4)()32()(321321X D X D X D X X X D Y D ++=+−==4639441262=×+×+二. 单项选择题1. 设随机变量X 和Y 独立同分布, 记U = X -Y , V = X + Y , 则U 和V 必然 (A) 不独立 (B) 独立 (C) 相关系数不为零 (D) 相关系数为零 解. 因为X 和Y 同分布, 所以E(U) = E(X)-E(Y) = 0, E(U)E(V) = 0. .0)()()(22=−=Y E X E UV E 所以 cov(X,Y) = E(UV)-E(U)E(V) = 0. (D)是答案. 2. 已知X 和Y 的联合分布如下表所示, 则有(A) X 与Y 不独立 (B) X 与Y 独立 (C) X 与Y 不相关 (D) X 与Y 彼此独立且相关 解. P(X = 0) = 0.4, P(Y = 0) = 0.3.0.1 = P(X = 0, Y= 0) ≠ P(X = 0)×P(Y = 0). (A)是答案.3. 设离散型随机变量X 可能取值为: x 1 = 1, x 2 = 2, x 3 = 3, 且E(X) = 2.3, E(X 2) = 5.9, 则x 1, x 2,x 3所对应的概率为(A) p 1 = 0.1, p 2 = 0.2, p 3 = 0.7 (B) p 1 = 0.2, p 2 = 0.3, p 3 = 0.5 (C) p 1 = 0.3, p 2 = 0.5, p 3 = 0.2 (D) p 1 = 0.2, p 2 = 0.5, p 3 = 0.3解. 3.223)1(32)(212121332211=−−=−−++=++=p p p p p p p x p x p x X E7.0221=+p p 9.5)1(94)(21213232221212=−−++=++=p p p p p x p x p x X E1.35821=+p p 解得 p 1= 0.2, p 2 = 0.3, p 3 = 0.5. (B)是答案. 4. 现有10张奖券, 其中8张为2元, 2张为5元, 今每人从中随机地无放回地抽取3张, 则此人抽得奖券的金额的数学期望 (A) 6 (B) 12 (C) 7.8 (D) 9解. 假设X 表示随机地无放回地抽取3张, 抽得奖券的金额. X 的分布律为X 6 9 12 p7/15 7/15 1/15157)()6(31038====c c P X P 三张都是二元157),()9(3101228====c c c P X P 一张五元二张二元151),()9(3102218====c c c P X P 二张五元一张二元8.71511215791576)(=⋅+⋅+⋅=X E . (C)是答案. 5. 设随机变量X 和Y 服从正态分布, X ~N(μ, 42), Y ~N(μ, 52), 记P 1 =P{X ≤ μ-4}, P 2 = P{Y ≥μ + 5}, 则(A) 对任何μ, 都有P 1 = P 2 (B) 对任何实数μ, 都有P 1 < P 2(C) 只有μ的个别值, 才有P 1 = P 2 (D) 对任何实数μ, 都有P 1 > P 2解. P 1 = {X ≤ μ-4} =)1(1)1(14Φ−=−Φ=⎭⎬⎫⎩⎨⎧−≤−μX PP 2 = {Y ≥ μ + 5} =)1(115115Φ−=⎭⎬⎫⎩⎨⎧≤−−=⎭⎬⎫⎩⎨⎧≥−μμY P Y P(其中Φ(x)为N(0, 1)的分布函数). 所以(A)是答案.6. 随机变量ξ = X + Y 与η = X -Y 不相关的充分必要条件为(A) E(X) = E(Y) (B) E(X 2)-E 2(X) = E(Y 2)-E 2(Y) (C) E(X 2) = E(Y 2) (D) E(X 2) + E 2(X) = E(Y 2) + E 2(Y) 解. cov(ξ, η) = E(ξη)-E(ξ)E(η)E(ξη) = )()()])([(22Y E X E Y X Y X E −=−+ E(ξ)E(η) = [E(X)+E(Y)][E(X)-E(Y)] = )()(22Y E X E −所以(B)是答案.三. 计算题1. 设X 的分布律为1)1()(++==k ka a k X P , k = 0, 1, 2, …, a > 0, 试求E(X), D(X).解. ∑∑∑∞=+∞=+∞=⎟⎠⎞⎜⎝⎛+=+===1111011)1()()(k k k k k k a a k a a ka k X kP X E令 22'2'1211201)1(1)(x x x x x x x kx x kxx f k k k k k k −=⎟⎠⎞⎜⎝⎛−=⎟⎠⎞⎜⎝⎛===∑∑∑∞=∞=−∞=+ 2222)11()1(1(a aa a a a a f =+−+=+, 所以a a a X E =⋅=21)(.∑∑∑∞=+∞=+∞=+−+=+===11112022)1()11()1()()(k k kk k k k a a k k a a k k X P k X E ∑∑∑∞=∞=+∞=+−+++=+−++=11111)1()1(11)1()1()1(k k kk k k k k k a a a k k a a a k a a k k 令 3''2''1111)1(21)1()1()(x x x x x x x kx k x kxk x f k k k k k k−=⎟⎟⎠⎞⎜⎜⎝⎛−=⎟⎠⎞⎜⎝⎛=+=+=∑∑∑∞=+∞=−∞= 23)1(2)11(121(a a a a a aa a f +=+−+=+,所以2222)1(211)(a a a a a a X E +=−+⋅+=.222222)]([)()(a a a a a X E X E X D +=−+=−=.2. 设随机变量X 具有概率密度为⎪⎩⎪⎨⎧=0cos 2)(2x x πϕ 其它2||π≤x , 求E(X), D(X).解. 0cos 2)()(222===∫∫−∞+∞−πππϕxdx xdx x x X E∫−=−=222222cos 2)]([)()(πππxdx x X E X E X D211222cos 1222202−=+=∫πππdx x x 3. 设随机变量X 和Y 的联合概率分布为(X, Y)(0, 0)(0, 1)(1, 0)(1, 1)(2, 0)(2, 1)P(X=x, Y=y) 0.10 0.15 0.25 0.20 0.15 0.15求⎥⎦⎤⎢⎣⎡+2)(sin Y X E π. 解. 2)(sinY X +π的分布律为 sin π(X + Y)/20 1 -1 p0.45 0.40 0.1525.015.0)1(40.0145.002)(sin =×−+×+×=⎥⎦⎤⎢⎣⎡+Y X E π 4. 一汽车沿一街道行驶需要通过三个设有红绿信号灯路口, 每个信号灯为红或绿与其它信号灯为红或绿相互独立, 且红绿两种信号显示的时间相等, 以X 表示该汽车首次遇到红灯前已通过的路口的个数, 求: i. X 的概率分布, ii. ⎟⎠⎞⎜⎝⎛+XE 11 解. 假设X 为该汽车首次遇到红灯已通过的路口数X 0 1 2 3 p1/2 1/22 1/23 1/23P(X = 0) = P{第一个路口为红灯} =21P(X = 1) = P{第一个路口为绿灯, 第二个路口为红灯} =2212121=⋅ P(X = 0) = P{第一,二路口为绿灯, 第三个路口为红灯} =321P(X = 0) = P{第一, 二, 三路口为绿灯} =3219667214121312121211111332=⋅+⋅+⋅+⋅=⎟⎠⎞⎜⎝⎛+X E 5. 设(X, Y)的分布密度⎩⎨⎧=+−04),()(22y xxye y x ϕ其它,0>>y x求)(22Y X E +.解. ∫∫∫∫>>+−∞+∞−∞+∞−+=+=+00)(222222224),()(y x y xdxdy xye y x dxdy y x y x Y X E ϕ434sin cos 02202πθθθπ=⋅⋅⋅⋅=∫∫∞+−rdr e r r d r 6. 在长为l 的线段上任选两点, 求两点间距离的数学期望与方差.解. 假设X, Y 为线段上的两点. 则它们都服从[0, l ]上的均匀分布, 且它们相互独立.X ~⎪⎩⎪⎨⎧=01)(l x ϕ, Y ~其它l x ≤≤0⎪⎩⎪⎨⎧=01)(l y ϕ 其它l y ≤≤0 (X, Y)的联合分布为⎪⎩⎪⎨⎧=01)(2l x ϕ其它l y x ≤≤,0. 又设Z = |X -Y|, D 1={(x, y): x > y, 0 ≤x, y ≤ l }, D 2={(x, y): x ≤ y, 0 ≤ x, y ≤ l } ∫∫∫∫∫∫−+−=−=∞+∞−∞+∞−21221)(1)(),(||)(D D dxdy l x y dxdy l y x dxdy y x y x Z E ϕ ∫∫∫∫−+−=l ylxdy dx x y l dx dy y x l 02002])([1])([13212122022ldy y ldx x ll l =+=∫∫6)(1),()()(2002222l dxdy y x ldxdy y x y x Z E ly lx =−=−=∫∫∫∫∞+∞−∞+∞−≤≤≤≤ϕ 1896)]([)()(22222l l l Z E Z E Z D =−=−=7. 设随机变量X 的分布密度为)(,21)(||+∞<<−∞=−−x e x x μϕ, 求E(X), D(X). 解. ∫∫∫∞+∞−−∞+∞−−−∞+∞−+−===dt e t x t dx e x dx x x X E t x ||||)(2121)()(μμϕμ=∫∞+∞−−dt te t ||21+μμμ==∫∫∞+−∞+∞−−0||21dt e dt e t t∫∫∫∞+∞−−∞+∞−−−∞+∞−+−===dt e t x t dx e x dx x x X E t x ||2||222)(2121)()(μμϕμ=∫+∞+−02dt e t t 2022μμμ+==∫∫∞+−∞+−dt e dt e t t 所以22)]([)()(2222=−+=−=μμX E X E X D8. 设(X, Y)的联合密度为⎪⎩⎪⎨⎧=01),(πϕy x , 求E(X), D(Y), ρ(X, Y).其它122≤+y x 解. 01),()(122===∫∫∫∫+∞∞−+∞∞−≤+y x xdxdy dxdy y x x X E πϕ01),()(122===∫∫∫∫+∞∞−+∞∞−≤+y x ydxdy dxdy y x y Y E πϕ41cos 11),()(20132122222====∫∫∫∫∫∫∞+∞−∞+∞−≤+πθθππϕdr r d dxdy x dxdy y x x X E y x 41sin 11),()(20132122222====∫∫∫∫∫∫∞+∞−∞+∞−≤+πθθππϕdr r d dxdy y dxdy y x y Y E y x 01),()(122===∫∫∫∫∞+∞−∞+∞−≤+y x xydxdy dxdy y x xy XY E πϕ41)]([)()(22=−=X E X E X D , 41)]([)()(22=−=Y E Y E Y D0)()()()()(=−=Y D X D Y E X E XY E XY ρ.9. 假设一部机器在一天内发生故障的概率为0.2, 机器发生故障时全天停止工作. 若一周5个工作日里无故障, 可获利润10万元, 发生一次故障仍可获利润5万元; 发生二次故障所获利润0元; 发生三次或三次以上故障就要亏损2万元. 求一周内期望利润是多少? 解. 假设X 表示一周内发生故障的天数. 则X ~B(5, 0.8),33.0)8.0()0(5===X P 41.0)8.0(2.05)1(4=××==X P , 20.0)8.0(2.0)2(3225=××==c X P 06.020.041.033.01)3(=−−−=≥X P又设Y 为该企业的利润, Y 的分布律为Y 10 5 0 -2p 0.33 0.41 0.20 0.06E(Y) = 10×0.33 + 5×0.41 + 0×0.20 + (-2)×0.06 = 5.23(万元)10. 两台相互独立的自动记录仪, 每台无故障工作的时间服从参数为5的指数分布; 若先开动其中的一台, 当其发生故障时停用而另一台自行开动. 试求两台记录仪无故障工作的总时间T 的概率密度、数学期望和方差.)(t f 解. 假设X 、Y 分别表示第一、二台记录仪的无故障工作时间, 则X 、Y 的密度函数如下:⎩⎨⎧<≥=−05)(~,5x x e x f Y X xX 、Y 相互独立, 且 T = X + Y .X 、Y 的联合密度:⎩⎨⎧≥≥=+−,00,0,25),()(5y x e y x f y x 关于T 的分布函数:∫∫≤+=≤+=≤=ty x T dxdy y x f t Y X P t T P t F ),(}{}{)( 当 时0<t∫∫∫∫≤+≤+===≤+=≤=ty x ty x T dxdy dxdy y x f t Y X P t T P t F 00),(}{}{)( 当 时0≥t∫∫∫∫≥≥≤++−≤+==≤+=≤=0,0)(525),(}{}{)(y x t y x y x ty x T dxdy edxdy y x f t Y X P t T P t Ft t tx t y x xt y tx te e dx e e dy e dx e 550055050551|)(525−−−−−−−−−−=−==∫∫∫所以 ⎩⎨⎧<≥−−=−−0,00,51)(55t t te e t F t t T 所以T 的概率密度: ⎩⎨⎧<≥==−0,00,25)]'([)(5t t e t t F t f t T T 所以 ∫∫∞+∞−∞+−===5225)()(052dt e t dt t f t T E t T 所以∫∫∞+∞−∞+−=−=−=−=25225425)52()()]([)()(0532222dt e t dt t f t T E T E T D tT。
中南大学网络教育课程考试复习题及参考答案统计学原理一、选择题:1.当44=β时,次数分布曲线为[]A.正态峰度 B.平顶峰度 C.尖顶峰度 D.无法判断2.不属于估计量优劣标准的是[]A.无偏性 B.一致性 C.有效性 D.同质性3.下列标志中属于质量指标的有[]A.总产量 B.播种面积 C.亩产量 D.总产值4.下列标志中属于品质标志的有[]A.年龄 B.学历 C.体重 D.性别5.某公司2006年8月销售额为10万元,此指标属于[]A.时点指标 B.质量指标 C.实物指标 D.相对指标6.某生产小组四名工人的日产量分别为20件、21件、18件、24件,这四个数值是[]A.指标 B.标志 C.变量 D.标志值7.研究某市职工家庭生活状况,总体是[]A.该市职工家庭户数B.该市全部居民住户C.该市全部职工D.该市全部居民E.该市全部职工家庭8.检查某种机械零件的直径,结果尺寸大都不相同,这种情况在统计学中称为[]A.变量 B.变异 C.标志 D.标志表现 E.可变标志9.在组距数列中,用组中值作为组内变量值的代表值,是因为[]A.组中值比组平均数准确B.组中值就是组内各变量值的平均数C.组中值计算容易D.不可能得到组平均数10.统计分组的关键是[]A.确定分组标志 B.编制分配数列 C.确定组数 D.确定组距11.在相对指标中,计算结果一定小于100%的有[]A.比较相对指标 B.比例相对指标 C.结构相对指标 D.强度相对指标12.已知不同等级苹果的销售额和销售单价,计算苹果综合平均售价,用()计算。
[]A.简单算术平均数B.加权算术平均数C.调和算术平均数D.几何平均数13.从全及总体中抽出来进行调查的那部分单位所组成的整体叫[]A.总体B.样本C.样本单位D.抽样总体E.样本容量14.(甲)对专业工龄不到一年的两个工作班进行工时测定,以便确定这些工人制造某种零件的时间消耗;(乙)为测定车间工时损失,对车间各班每隔3班抽1班工人进行调查。
山西财经大学2010—2011 学年第一学期期末数理统计(B)课程试卷1、本卷考试形式为闭卷,考试时间为两小时。
2、考生不得将装订成册的试卷拆散,不得将试卷或答题卡带出考场。
3、考生只允许在密封线以外答题,答在密封线以内的将不予评分。
4、考生答题时一律使用蓝色、黑色钢笔或圆珠笔(制图、制表等除外)。
5、考生禁止携带手机、耳麦等通讯器材。
否则,视为作弊。
6、可以使用无存贮功能的计算器。
一、填空题(共10小题,每题2分,共计20分)二、选择题(共10小题,每题2分,共计20分)三、计算题(共2小题,每题10分,共计20分)四、应用题(共3小题,每题10分,共计30分)五、证明题(共1小题,每题10分,共计10分)一、填空题(共10小题,每题2分,共计20分)1、在总体)16,5(~N X 中随机地抽取一个容量为36的样本,则均值X 落在4与6之间的概率为 ;2、设71,,X X 为总体)5.0,0(~2N X 的一个样本,则=>∑=)4(712i i X P;3、设321,,x x x 是总体)2,(~μN X 的简单随机样本,1ˆμ, 2ˆμ是总体参数μ的两个估计量,且1ˆμ=321414121x x x ++,2ˆμ=321313131x x x ++,其中较有效的估计量是_________.4、从总体中随机抽取样本容量为n 的样本,用样本均值∑==ni i X nX 11来估计总体均值μ,则X 是μ的 估计量。
5、设总体X 服从几何分布 ,2,1,)1(}{1=-==-k p p k X P k ,其中10<<p , n x x x ,,,21 是来自X 的样本值,则未知参数p 的矩估计为__________6、已知),(~2σμN X ,但2σ未知,要对总体均值μ是否显著性大于0μ进行假设检验,令0100:,:μμμμ>≤H H ,抽取样本量n =15,则其检验的统计量为 。
----------------------------------------说明:本试卷总分100分,全试卷共 页,完成答卷时间2小时。
----------------------------------------一、填空题(本大题共 9 题,每题 3 分,共 27 分).1.已知3.0)(=A P , 6.0)(=+B A P ,那么①、若A 与B 互不相容,则=)(B P ,②、若A 与B 相互独立,则=)(B P ( ),③、若B A ⊂,则=)(B P 。
2.设随机变量X ~),,(n p k B k n k k n q p C --=)1(。
则X 最可能发生的次数是 ,当p很小、n 很大时,有近似公式),,(n p k B λλ-≈e k k!,其中≈λ 。
3.设)(x F 是随机变量X 的分布函数,若)()()(a F b F b X a p -=ππ,则==)(b X p 。
4.已知随机变量X 的概率分布是Nak X p ==)(,N k 2,,2,1Λ=。
则a = 。
5.设随机变量X 是参数为λ的泊松分布,且)2()1(===X p X p ,则EX= ,DX= 。
6.总体X 的一个样本为7,3,5,2,8。
则X = ,=2S ,SX= 。
7.设n X X X ,,,21Λ是正态总体X~),(2σμN 的样本,2,S X 分别是其样本均数和样本方差,其中2σ未知。
则μ的置信度为α-1的置信区间的长度为 。
8.单因素试验方差分析中,总离差平方和A e SS SS SS +=,其中e SS 称为 ,A SS 称为 9.总体X 与Y 的样本相关系数为yyxx xy l l l r =,则xy l 的计算公式xy l = 。
xx l 的计算公式xx l = 。
yy l 的计算公式yy l = 。
二、单项选择题(本大题共 11 题,每题 3 分,共 33分)每一小题有4个答案,其中只有一个答案是对的,请选出正确的答案填入下列表中。
中南大学考试试卷2009——2010学年第一学期 (2010.1) 时间:100分钟 《数理统计II 》 课程 24学时 1.5 学分 考试形式:闭卷专业年级:2008级(第三学期) 总分:100分一、填空题(本题15分,每题3分)1、总体)3,20(~N X 的容量分别为10,15的两独立样本均值差~Y X -________;2、设1621,...,,X X X 为取自总体)5.0,0(~2N X 的一个样本,若已知0.32)16(201.0=χ,则}8{1612∑=≥i i X P =有问题_;3、设总体),(~2σμN X ,若μ和2σ均未知,n 为样本容量,总体均值μ的置信水平为α-1的置信区间为),(λλ+-X X ,则λ的值为________;4、设n X X X ,...,,21为取自总体),(~2σμN X 的一个样本,对于给定的显著性水平α,已知关于2σ检验的拒绝域为χ2≤)1(21--n αχ,则相应的备择假设1H 为________; 5、设总体),(~2σμN X ,2σ已知,在显著性水平0.05下,检验假设00:μμ≥H ,01:μμ<H ,拒绝域是________。
1、)210(,N ;2、0.01;3、n S n t )1(2-α; 4、202σσ<; 5、05.0z z -≤。
二、选择题(本题15分,每题3分)1、设321,,X X X 是取自总体X 的一个样本,α是未知参数,以下函数是统计量的为( )。
(A ))(321X X X ++α (B )321X X X ++ (C )3211X X X α(D )231)(31α-∑=i i X 2、设n X X X ,...,,21为取自总体),(~2σμN X 的样本,X 为样本均值,212)(1X X n S i n i n -=∑=,则服从自由度为1-n 的t 分布的统计量为( )。
(A )σμ)-X n ( (B )nS X n )(μ- (C )σμ)--X n (1 (D )n S X n )(1μ--3、设n X X X ,,,21 是来自总体的样本,2)(σ=X D 存在, 212)(11X X n S i n i --=∑=, 则( )。
(A )2S 是2σ的矩估计 (B )2S 是2σ的极大似然估计(C )2S 是2σ的无偏估计和相合估计(D )2S 作为2σ的估计其优良性与分布有关 4、设总体),(~),,(~222211σμσμN Y N X 相互独立,样本容量分别为21,n n ,样本方差分别为2221,S S ,在显著性水平α下,检验2221122210:,:σσσσ<≥H H 的拒绝域为( )。
(A ))1,1(122122--≥n n F s s α (B ))1,1(12212122--≥-n n F s s α (C ))1,1(212122--≤n n F s s α (D ))1,1(21212122--≤-n n F s s α5、设总体),(~2σμN X ,2σ已知,μ未知,n x x x ,,,21 是来自总体的样本观察值,已知μ的置信水平为0.95的置信区间为(4.71,5.69),则取显著性水平05.0=α时,检验假设0.5:,0.5:10≠=μμH H 的结果是( )。
(A )不能确定 (B )接受0H (C )拒绝0H (D )条件不足无法检验1、B ;2、D ;3、C ;4、A ;5、B.三、(本题14分) 设随机变量X 的概率密度为:⎪⎩⎪⎨⎧<<=其他θθx x x f 0,0,2)(2,其中未知 参数0>θ,n X X ,,1 是来自X 的样本,求(1)θ的矩估计;(2)θ的极大似然估计。
解:(1) θθθ322)()(022===⎰⎰∞+∞-x d x x d x f x X E , 令θ32)ˆ(==X XE ,得X 23ˆ=θ为参数θ的矩估计量。
(2)似然函数为:),,2,1(,022),(1212n i x x x x L i ni i n n n i i i =<<==∏∏==θθθθ,, 而)(θL 是θ的单调减少函数,所以θ的极大似然估计量为},,,max{ˆ21nX X X =θ。
(1)检验假设H 0:σ2=1,H 1:σ2≠1; 取统计量:2022)1(σχs n -=;拒绝域为:χ2≤)9()1(2975.0221χχα=--n =2.70或χ2≥2025.022)1(χχα=-n =19.023, 经计算:96.1212.19)1(22022=⨯=-=σχs n ,由于)023.19,700.2(96.122∈=χ2, 故接受H 0,即可以认为排出的污水中动植物油浓度的方差为σ2=1。
(2)检验假设101010≠'='μμ:,:H H ; 取统计量:10/10S X t -=~ )9(2αt ; 拒绝域为2622.2)9(025.0=≥t t ;1028.210/2.1108.10=-=t <2.2622 ,所以接受0H ', 即可以认为排出的污水中动植物油的平均浓度是10(mg/L )。
综上,认为工厂生产正常。
七、(本题10分)设4321,,,X X X X 为取自总体)4,(~2μN X 的样本,对假设检验问题5:,5:10≠=μμH H ,(1)在显著性水平0.05下求拒绝域;(2)若μ=6,求上述检验所犯的第二类错误的概率β。
解:(1) 拒绝域为96.1254/45025.0=≥-=-=z x x z ; (2)由(1)解得接受域为(1.08,8.92),当μ=6时,接受0H 的概率为921.02608.12692.8}92.808.1{=⎪⎭⎫ ⎝⎛-Φ-⎪⎭⎫⎝⎛-Φ=<<=X P β。
八、(本题8分)设随机变量X 服从自由度为),(n m 的F 分布,(1)证明:随机变量X 1服从 自由度为),(m n 的F 分布;(2)若n m =,且05.0}{=>αX P ,求}1{α>X P 的值。
证明:因为),(~n m F X ,由F 分布的定义可令n V m U X //=,其中)(~),(~22n V m U χχ,U 与V 相互独立,所以),(~//1m n F mU n V X =。
当n m =时,X 与X 1服从自由度为),(n n 的F 分布,故有=>}{αX P }1{α>X P , 从而 95.005.01}{1}1{1}1{}1{=-=>-=>-=<=>ααααX P X P X P X P 。
中南大学考试试卷参考答案2009——2010学年第一学期(2010.1) 时间:100分钟《数理统计II 》 课程 24 学时 1.5 学分 考试形式:闭卷一、填空题(本题15分,每题3分)1、)210(,N ;2、0.01;3、n S n t )1(2-α; 4、202σσ<; 5、05.0z z -≤。
二、选择题(本题15分,每题3分)1、B ;2、D ;3、C ;4、A ;5、B.三、(本题14分)解:(1) θθθ322)()(022===⎰⎰∞+∞-x d x x d x f x X E , 令θ32)ˆ(==X XE ,得X 23ˆ=θ为参数θ的矩估计量。
(2)似然函数为:),,2,1(,022),(1212n i x x x x L i ni i n n n i i i =<<==∏∏==θθθθ,, 而)(θL 是θ的单调减少函数,所以θ的极大似然估计量为},,,max{ˆ21nX X X =θ。
四、(本题14分)解:(1)2σ的置信水平为0.95的置信区间为⎪⎪⎭⎫ ⎝⎛)9(18,)9(182975.02025.0χχ,即为(0.9462,6.6667); (2)⎪⎪⎭⎫ ⎝⎛32σX D =2222222)]1([11σχσσσ==⎪⎪⎭⎫ ⎝⎛D X D ; 由于2322σσ=⎪⎪⎭⎫ ⎝⎛X D 是2σ的单调减少函数,置信区间为⎪⎪⎭⎫ ⎝⎛222,2σσ, 即为(0.3000,2.1137)。
五、(本题10分)解:(1) ,1)2(2,1)2(222αχθαχθαα-=⎪⎭⎪⎬⎫⎪⎩⎪⎨⎧>∴-=⎭⎬⎫⎩⎨⎧<n X n P n X n P 即θ的单侧置信下限为)2(22n X n αχθ=;(2)706.3764585.425010162=⨯⨯=θ。
六、(本题14分)解:(1)检验假设H 0:σ2=1,H 1:σ2≠1; 取统计量:2022)1(σχs n -=;拒绝域为:χ2≤)9()1(2975.0221χχα=--n =2.70或χ2≥2025.022)1(χχα=-n =19.023, 经计算:96.1212.19)1(22022=⨯=-=σχs n ,由于)023.19,700.2(96.122∈=χ2, 故接受H 0,即可以认为排出的污水中动植物油浓度的方差为σ2=1。
(2)检验假设101010≠'='μμ:,:H H ; 取统计量:10/10S X t -=~ )9(2αt ; 拒绝域为2622.2)9(025.0=≥t t ;1028.210/2.1108.10=-=t <2.2622 ,所以接受0H ', 即可以认为排出的污水中动植物油的平均浓度是10(mg/L )。
综上,认为工厂生产正常。
七、(本题10分)解:(1) 拒绝域为96.1254/45025.0=≥-=-=z x x z ; (2)由(1)解得接受域为(1.08,8.92),当μ=6时,接受0H 的概率为921.02608.12692.8}92.808.1{=⎪⎭⎫ ⎝⎛-Φ-⎪⎭⎫⎝⎛-Φ=<<=X P β。
八、(本题8分)证明:因为),(~n m F X ,由F 分布的定义可令n V m U X //=,其中)(~),(~22n V m U χχ,U 与V 相互独立,所以),(~//1m n F mU n V X =。
当n m =时,X 与X 1服从自由度为),(n n 的F 分布,故有=>}{αX P }1{α>X P , 从而 95.005.01}{1}1{1}1{}1{=-=>-=>-=<=>ααααX P X P X P X P 。