2015年—2020年南开大学全日制硕士研究生报考录取人数统计表
- 格式:pdf
- 大小:159.51 KB
- 文档页数:29
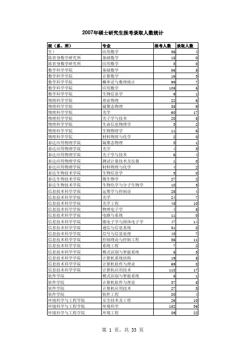
2007年硕士研究生报考录取人数统计
注:
1、统计人数只包含统考类考生人数,不含推荐免试生数
2、个别专业录取人数大于报考人数是调剂的原因
2008年硕士研究生报考录取人数统计
注:
1、统计人数只包含统考类考生人数,不含推荐免试生数
2、个别专业录取人数大于报考人数是调剂的原因
2009年硕士研究生报考录取人数统计
注:
1、统计人数只包含统考类考生人数,不含推荐免试生数
2、个别专业录取人数大于报考人数是调剂的原因
2010年硕士研究生报考录取人数统计
注:
1、统计人数只包含统考类考生人数,不含推荐免试生数
2、个别专业录取人数大于报考人数是调剂的原因
注:
1、统计人数只包含统考类考生人数,不含推荐免试生数
2、个别专业录取人数大于报考人数是调剂的原因
注:
1、统计人数只包含统考类考生人数,不含推荐免试生数
2、个别专业录取人数大于报考人数是调剂的原因
注:
1、统计人数只包含统考类考生人数,不含推荐免试生数
2、个别专业录取人数大于报考人数是调剂的原因。
2015年南开大学中国现当文学考研复试线录取情况专业课的复习和应考有着与公共课不同的策略和技巧,虽然每个考生的专业不同,但是在总体上都有一个既定的规律可以探寻。
以下就是针对考研专业课的一些十分重要的复习方法和技巧。
一、专业课考试的方法论对于报考本专业的考生来说,由于已经有了本科阶段的专业基础和知识储备,相对会比较容易进入状态。
但是,这类考生最容易产生轻敌的心理,因此也需要对该学科能有一个清楚的认识,做到知己知彼。
跨专业考研或者对考研所考科目较为陌生的同学,则应该快速建立起对这一学科的认知构架,第一轮下来能够把握该学科的宏观层面与整体构成,这对接下来具体而丰富地掌握各个部分、各个层面的知识具有全局和方向性的意义。
做到这一点的好处是节约时间,尽快进入一个陌生领域并找到状态。
很多初入陌生学科的同学会经常把注意力放在细枝末节上,往往是浪费了很多时间还未找到该学科的核心,同时缺乏对该学科的整体认识。
考生编号拟录取专业初试总分复试成绩加权成绩备注100555333307617中国现当代文学3848980.46100555333304743中国现当代文学3798879.46骨干100555333316221中国现当代文学3659479.3100555333308855中国现当代文学3678978.08100555333311518中国现当代文学3718577.44100555333312222中国现当代文学3708276.4100555333316920中国现当代文学3598776.36100555333306149中国现当代文学3678175.68100555333307709中国现当代文学3757575100555333310550中国现当代文学3647874.36100555333313931中国现当代文学3687172.82100555333307360中国现当代文学3627372.58100555333307711中国现当代文学3626770.78其实考研不一定要天天都埋头苦干或者从早到晚一直看书,关键的是复习效率。
2007年硕士研究生报考录取人数统计
注:
1、统计人数只包含统考类考生人数,不含推荐免试生数
2、个别专业录取人数大于报考人数是调剂的原因
2008年硕士研究生报考录取人数统计
注:
1、统计人数只包含统考类考生人数,不含推荐免试生数
2、个别专业录取人数大于报考人数是调剂的原因
2009年硕士研究生报考录取人数统计
注:
1、统计人数只包含统考类考生人数,不含推荐免试生数
2、个别专业录取人数大于报考人数是调剂的原因
2010年硕士研究生报考录取人数统计
注:
1、统计人数只包含统考类考生人数,不含推荐免试生数
2、个别专业录取人数大于报考人数是调剂的原因
注:
1、统计人数只包含统考类考生人数,不含推荐免试生数
2、个别专业录取人数大于报考人数是调剂的原因
注:
1、统计人数只包含统考类考生人数,不含推荐免试生数
2、个别专业录取人数大于报考人数是调剂的原因
注:
1、统计人数只包含统考类考生人数,不含推荐免试生数
2、个别专业录取人数大于报考人数是调剂的原因
注:
1、统计人数只包含统考类考生人数,不含推荐免试生数
2、个别专业录取人数大于报考人数是调剂的原因
注:
1、统计人数只包含统考类考生人数,不含推荐免试生数
2、个别专业录取人数大于报考人数是调剂的原因。
2020南开大学MPAcc录取名单成绩分析南开大学1985年6月,根据国家经济建设的需要,受国家审计署的委托,在我国首批设立审计专业并于当年开始招收本科生。
1987年5月南开大学会计学系正式复建,同年被原国家教委批准为会计学专业硕士学位授权点。
1997年起在企业管理专业博士点下设财务管理方向,招收会计学方向的博士研究生。
2003年会计学系被教育部批准为会计学专业博士学位授权点,正式招收会计学专业的博士研究生。
2004年经国务院学位委员会批准成为首批举办会计硕士专业学位教育的单位之一。
南开大学2020年会计硕士(MPAcc)较2019招生情况基本相符,全日制非全统一划线,全日制230以下0人录取,合计149人陪跑。
相比天津大学陪跑人数没那么多。
全日制非全均只招收往届生,均不提供宿舍。
这也许是近三年招生情况基本稳定的原因。
2020复试线较2019年200分上涨5分。
南开大学商学院MPAcc2020年复试线205/120/55.全日制计划招生:30人实际拟录取:30人学费学制:6.6万/2.5年复试录详情分析:南开大学2020MPAcc全日制复试录取情况分析分数段复试人数录取人数录取率250分以上8562.5%240-249分301550%230-239分441022.7%205-230分14900合计23130合计231人复试拟录取30人,复录比1:7.7拟录取最高分259分、最低分230分、平均分242分非全日制计划招生:80人实际拟录取:80人学费学制:10.8万/2.5年复试录取详情分析:南开大学2020MPAcc非全日制复试录取统计分析分数段复试人数录取人数录取率240分以上77100% 230-239分1212100% 220-229分302789.7% 210-209分282175% 205-209分211361.9%合计9880合计98人复试拟录取80人,复录比1:1.225拟录取最高分247分、最低分205分、平均分222分附2020mpacc复试录取成绩公示全日制:非全日制:。
2006年硕士研究生报考录取人数统计
注:
1、统计人数只包含统考类考生人数,不含推荐免试生数
2、个别专业录取人数大于报考人数是调剂的原因
2007年硕士研究生报考录取人数统计
注:
1、统计人数只包含统考类考生人数,不含推荐免试生数
2、个别专业录取人数大于报考人数是调剂的原因
2008年硕士研究生报考录取人数统计
注:
1、统计人数只包含统考类考生人数,不含推荐免试生数
2、个别专业录取人数大于报考人数是调剂的原因
2009年硕士研究生报考录取人数统计
注:
1、统计人数只包含统考类考生人数,不含推荐免试生数
2、个别专业录取人数大于报考人数是调剂的原因
2010年硕士研究生报考录取人数统计
注:
1、统计人数只包含统考类考生人数,不含推荐免试生数
2、个别专业录取人数大于报考人数是调剂的原因。
2007年硕士研究生报考录取人数统计
注:
1、统计人数只包含统考类考生人数,不含推荐免试生数
2、个别专业录取人数大于报考人数是调剂的原因
2008年硕士研究生报考录取人数统计
注:
1、统计人数只包含统考类考生人数,不含推荐免试生数
2、个别专业录取人数大于报考人数是调剂的原因
2009年硕士研究生报考录取人数统计
注:
1、统计人数只包含统考类考生人数,不含推荐免试生数
2、个别专业录取人数大于报考人数是调剂的原因
2010年硕士研究生报考录取人数统计
注:
1、统计人数只包含统考类考生人数,不含推荐免试生数
2、个别专业录取人数大于报考人数是调剂的原因
注:
1、统计人数只包含统考类考生人数,不含推荐免试生数
2、个别专业录取人数大于报考人数是调剂的原因
注:
1、统计人数只包含统考类考生人数,不含推荐免试生数
2、个别专业录取人数大于报考人数是调剂的原因
注:
1、统计人数只包含统考类考生人数,不含推荐免试生数
2、个别专业录取人数大于报考人数是调剂的原因
注:
1、统计人数只包含统考类考生人数,不含推荐免试生数
2、个别专业录取人数大于报考人数是调剂的原因
注:
1、统计人数只包含统考类考生人数,不含推荐免试生数
2、个别专业录取人数大于报考人数是调剂的原因
注:
1、统计人数只包含统考类考生人数,不含推荐免试生数
2、个别专业录取人数大于报考人数是调剂的原因。
2007-2012年硕士研究生报考录取人数统计2007年硕士研究生报考录取人数统计院(系、所)专业报考人数录取人数信息技术科学学院运筹学与控制论254信息技术科学学院光学247信息技术科学学院光学工程4510信息技术科学学院物理电子学45信息技术科学学院电路与系统110信息技术科学学院微电子学与固体电子学4714信息技术科学学院通信与信息系统518信息技术科学学院信号与信息处理437信息技术科学学院控制理论与控制工程3611信息技术科学学院系统工程72信息技术科学学院模式识别与智能系统53信息技术科学学院计算机系统结构195信息技术科学学院计算机软件与理论698信息技术科学学院计算机应用技术118172008年硕士研究生报考录取人数统计院(系、所)专业报考人数录取人数信息技术科学学院运筹学与控制论101信息技术科学学院光学82信息技术科学学院光学工程5316信息技术科学学院物理电子学124【育明教育】中国考研考博专业课辅导第一品牌育明教育官方网站:1信息技术科学学院电路与系统122信息技术科学学院微电子学与固体电子学4614信息技术科学学院电磁场与微波技术03信息技术科学学院通信与信息系统519信息技术科学学院信号与信息处理379信息技术科学学院控制理论与控制工程379信息技术科学学院检测技术与自动化装置20信息技术科学学院系统工程41信息技术科学学院模式识别与智能系统51信息技术科学学院计算机系统结构2610信息技术科学学院计算机软件与理论4717信息技术科学学院计算机应用技术99282009年硕士研究生报考录取人数统计院(系、所)专业报考人数录取人数信息技术科学学院运筹学与控制论121信息技术科学学院光学101信息技术科学学院光学工程5320信息技术科学学院物理电子学131信息技术科学学院电路与系统161信息技术科学学院微电子学与固体电子学5511信息技术科学学院电磁场与微波技术11信息技术科学学院通信与信息系统6316信息技术科学学院信号与信息处理236信息技术科学学院控制理论与控制工程337信息技术科学学院检测技术与自动化装置40【育明教育】中国考研考博专业课辅导第一品牌育明教育官方网站:2信息技术科学学院系统工程21信息技术科学学院模式识别与智能系统51信息技术科学学院计算机系统结构332信息技术科学学院计算机软件与理论567信息技术科学学院计算机应用技术137272010年硕士研究生报考录取人数统计院(系、所)专业报考人数录取人数信息技术科学学院电磁场与微波技术52信息技术科学学院电路与系统285信息技术科学学院电子与通信工程311信息技术科学学院光学24信息技术科学学院光学工程6918信息技术科学学院计算机技术38信息技术科学学院计算机软件与理论1047信息技术科学学院计算机系统结构395信息技术科学学院计算机应用技术20125信息技术科学学院检测技术与自动化装置72信息技术科学学院控制工程46信息技术科学学院控制理论与控制工程4710信息技术科学学院模式识别与智能系统102信息技术科学学院软件工程02信息技术科学学院通信与信息系统8617信息技术科学学院微电子学与固体电子学6217信息技术科学学院物理电子学154信息技术科学学院系统工程21【育明教育】中国考研考博专业课辅导第一品牌育明教育官方网站:3信息技术科学学院信号与信息处理4910信息技术科学学院运筹学与控制论1532011年硕士研究生报考录取人数统计院(系、所)专业报考人数录取人数信息技术科学学院电磁场与微波技术23信息技术科学学院电路与系统297信息技术科学学院电子与通信工程108信息技术科学学院光学41信息技术科学学院光学工程7927信息技术科学学院光学工程(专业学位)5信息技术科学学院计算机技术107信息技术科学学院计算机软件与理论8112信息技术科学学院计算机系统结构4810信息技术科学学院计算机应用技术21429信息技术科学学院检测技术与自动化装置12信息技术科学学院控制工程34信息技术科学学院控制理论与控制工程4510信息技术科学学院模式识别与智能系统84信息技术科学学院通信与信息系统9325信息技术科学学院微电子学与固体电子学6512信息技术科学学院物理电子学142信息技术科学学院系统工程42信息技术科学学院信号与信息处理306信息技术科学学院运筹学与控制论124【育明教育】中国考研考博专业课辅导第一品牌育明教育官方网站:42012年硕士研究生报考录取人数统计院(系、所)专业报考人数录取人数信息技术科学学院电磁场与微波技术60信息技术科学学院电路与系统375信息技术科学学院电子与通信工程2714信息技术科学学院光学33信息技术科学学院光学工程7120信息技术科学学院光学工程26信息技术科学学院计算机技术155信息技术科学学院计算机软件与理论11413信息技术科学学院计算机系统结构565信息技术科学学院计算机应用技术29426信息技术科学学院检测技术与自动化装置51信息技术科学学院控制工程79信息技术科学学院控制理论与控制工程6012信息技术科学学院模式识别与智能系统95信息技术科学学院通信与信息系统16225信息技术科学学院微电子学与固体电子学8725信息技术科学学院物理电子学103信息技术科学学院系统工程41信息技术科学学院信号与信息处理295信息技术科学学院运筹学与控制论137注:1、统计人数只包含统考类考生人数,不含推荐免试生数2、个别专业录取人数大于报考人数是调剂的原因【育明教育】中国考研考博专业课辅导第一品牌育明教育官方网站:52014年有多名学员以优异成绩考上南开大学的行政管理,环境工程,传播学,金融学,翻译硕士等各个专业,可以说这些专业是我们育明教育的王牌专业,希望广大学子能够来育明实地查看,加入我们的辅导课程,你会发现在这里复习考研将会是你事半功倍,复习效果更上一层楼!针对以上信息,有任何疑问或希望来育明教育进行实地了解的考生们,可以联系我们南开大学的首席咨询师林老师,扣扣为2831464870,祝各位考研成功!【育明教育】中国考研考博专业课辅导第一品牌育明教育官方网站:6【育明教育】中国考研考博专业课辅导第一品牌育明教育官方网站:72015年育明教育考研攻略一、《育明教育:五阶段考研复习攻略》把考研作为一种娱乐,而不是被娱乐。
南开大学信息学科历年硕士研究生报考录取人数统计2007年硕士研究生报考录取人数统计院(系、所)专业报考人数录取人数原信息技术科学学院运筹学与控制论254原信息技术科学学院光学247原信息技术科学学院光学工程4510原信息技术科学学院物理电子学45原信息技术科学学院电路与系统110原信息技术科学学院微电子学与固体电子学4714原信息技术科学学院通信与信息系统518原信息技术科学学院信号与信息处理437原信息技术科学学院控制理论与控制工程3611原信息技术科学学院系统工程72原信息技术科学学院模式识别与智能系统53原信息技术科学学院计算机系统结构195原信息技术科学学院计算机软件与理论698原信息技术科学学院计算机应用技术11817软件学院模式识别与智能系统51软件学院计算机软件与理论375软件学院计算机应用技术273软件学院软件工程804注:1、统计人数只包含统考类考生人数,不含推荐免试生数2、个别专业录取人数大于报考人数是调剂的原因【育明教育】中国考研考博专业课辅导第一品牌育明教育官方网站:12008年硕士研究生报考录取人数统计院(系、所)专业报考人数录取人数原信息技术科学学院运筹学与控制论101原信息技术科学学院光学82原信息技术科学学院光学工程5316原信息技术科学学院物理电子学124原信息技术科学学院电路与系统122原信息技术科学学院微电子学与固体电子学4614原信息技术科学学院电磁场与微波技术03原信息技术科学学院通信与信息系统519原信息技术科学学院信号与信息处理379原信息技术科学学院控制理论与控制工程379原信息技术科学学院检测技术与自动化装置20原信息技术科学学院系统工程41原信息技术科学学院模式识别与智能系统51原信息技术科学学院计算机系统结构2610原信息技术科学学院计算机软件与理论4717原信息技术科学学院计算机应用技术9928软件学院计算机软件与理论289软件学院计算机应用技术217软件学院软件工程599注:1、统计人数只包含统考类考生人数,不含推荐免试生数2、个别专业录取人数大于报考人数是调剂的原因【育明教育】中国考研考博专业课辅导第一品牌育明教育官方网站:22009年硕士研究生报考录取人数统计院(系、所)专业报考人数录取人数原信息技术科学学院运筹学与控制论121原信息技术科学学院光学101原信息技术科学学院光学工程5320原信息技术科学学院物理电子学131原信息技术科学学院电路与系统161原信息技术科学学院微电子学与固体电子学5511原信息技术科学学院电磁场与微波技术11原信息技术科学学院通信与信息系统6316原信息技术科学学院信号与信息处理236原信息技术科学学院控制理论与控制工程337原信息技术科学学院检测技术与自动化装置40原信息技术科学学院系统工程21原信息技术科学学院模式识别与智能系统51原信息技术科学学院计算机系统结构332原信息技术科学学院计算机软件与理论567原信息技术科学学院计算机应用技术13727软件学院计算机软件与理论327软件学院计算机应用技术384软件学院软件工程332注:1、统计人数只包含统考类考生人数,不含推荐免试生数2、个别专业录取人数大于报考人数是调剂的原因【育明教育】中国考研考博专业课辅导第一品牌育明教育官方网站:32010年硕士研究生报考录取人数统计院(系、所)专业报考人数录取人数原信息技术科学学院电磁场与微波技术52原信息技术科学学院电路与系统285原信息技术科学学院电子与通信工程311原信息技术科学学院光学24原信息技术科学学院光学工程6918原信息技术科学学院计算机技术38原信息技术科学学院计算机软件与理论1047原信息技术科学学院计算机系统结构395原信息技术科学学院计算机应用技术20125原信息技术科学学院检测技术与自动化装置72原信息技术科学学院控制工程46原信息技术科学学院控制理论与控制工程4710原信息技术科学学院模式识别与智能系统102原信息技术科学学院软件工程02原信息技术科学学院通信与信息系统8617原信息技术科学学院微电子学与固体电子学6217原信息技术科学学院物理电子学154原信息技术科学学院系统工程21原信息技术科学学院信号与信息处理4910原信息技术科学学院运筹学与控制论153软件学院计算机软件与理论361软件学院计算机应用技术392软件学院软件工程176注:【育明教育】中国考研考博专业课辅导第一品牌育明教育官方网站:41、统计人数只包含统考类考生人数,不含推荐免试生数2、个别专业录取人数大于报考人数是调剂的原因2011年硕士研究生报考录取人数统计院(系、所)专业报考人数录取人数原信息技术科学学院电磁场与微波技术23原信息技术科学学院电路与系统297原信息技术科学学院电子与通信工程108原信息技术科学学院光学41原信息技术科学学院光学工程7927原信息技术科学学院光学工程(专业学位)5原信息技术科学学院计算机技术107原信息技术科学学院计算机软件与理论8112原信息技术科学学院计算机系统结构4810原信息技术科学学院计算机应用技术21429原信息技术科学学院检测技术与自动化装置12原信息技术科学学院控制工程34原信息技术科学学院控制理论与控制工程4510原信息技术科学学院模式识别与智能系统84原信息技术科学学院通信与信息系统9325原信息技术科学学院微电子学与固体电子学6512原信息技术科学学院物理电子学142原信息技术科学学院系统工程42原信息技术科学学院信号与信息处理306原信息技术科学学院运筹学与控制论124软件学院计算机软件与理论497【育明教育】中国考研考博专业课辅导第一品牌育明教育官方网站:5软件学院计算机应用技术412软件学院软件工程61注:1、统计人数只包含统考类考生人数,不含推荐免试生数2、个别专业录取人数大于报考人数是调剂的原因2012年硕士研究生报考录取人数统计院(系、所)专业报考人数录取人数原信息技术科学学院电磁场与微波技术60原信息技术科学学院电路与系统375原信息技术科学学院电子与通信工程2714原信息技术科学学院光学33原信息技术科学学院光学工程7120原信息技术科学学院光学工程(专业学位)26原信息技术科学学院计算机技术155原信息技术科学学院计算机软件与理论11413原信息技术科学学院计算机系统结构565原信息技术科学学院计算机应用技术29426原信息技术科学学院检测技术与自动化装置51原信息技术科学学院控制工程79原信息技术科学学院控制理论与控制工程6012原信息技术科学学院模式识别与智能系统95原信息技术科学学院通信与信息系统16225【育明教育】中国考研考博专业课辅导第一品牌育明教育官方网站:6原信息技术科学学院微电子学与固体电子学8725原信息技术科学学院物理电子学103原信息技术科学学院系统工程41原信息技术科学学院信号与信息处理295原信息技术科学学院运筹学与控制论137软件学院计算机软件与理论340软件学院计算机应用技术374软件学院软件工程87软件学院软件工程(专业学位)1111注:1、统计人数只包含统考类考生人数,不含推荐免试生数2、个别专业录取人数大于报考人数是调剂的原因2013年硕士研究生报考录取人数统计院(系、所)专业报考人数录取人数电子信息与光电工程学院电磁场与微波技术50电子信息与光电工程学院电路与系统329电子信息与光电工程学院电子与通信工程4614电子信息与光电工程学院光学80电子信息与光电工程学院光学工程11024电子信息与光电工程学院光学工程(专业学位)92计算机与控制工程学院计算机技术2515【育明教育】中国考研考博专业课辅导第一品牌育明教育官方网站:7计算机与控制工程学院计算机科学与技术21636计算机与控制工程学院控制工程199计算机与控制工程学院控制科学与工程10436电子信息与光电工程学院通信与信息系统16724电子信息与光电工程学院微电子学与固体电子学699电子信息与光电工程学院物理电子学61电子信息与光电工程学院信号与信息处理364计算机与控制工程学院运筹学与控制论238软件学院计算机科学与技术191软件学院软件工程306软件学院软件工程(专业学位)356注:1、统计人数只包含统考类考生人数,不含推荐免试生数2、个别专业录取人数大于报考人数是调剂的原因2014年有多名学员以优异成绩考上南开大学的行政管理,环境工程,传播学,金融学,翻译硕士等各个专业,可以说这些专业是我们育明教育的王牌专业,希望广大学子能够来育明实地查看,加入我们的辅导课程,你会发现在这里复习考研将会是你事半功倍,复习效果更上一层楼!针对以上信息,有任何疑问或希望来育明教育进行实地了解的考生们,可以联系我们南开大学的首席咨询师林老师,扣扣为2831464870,祝各位考研成功!【育明教育】中国考研考博专业课辅导第一品牌育明教育官方网站:8【育明教育】中国考研考博专业课辅导第一品牌育明教育官方网站:92015年育明教育考研攻略一、《育明教育:五阶段考研复习攻略》把考研作为一种娱乐,而不是被娱乐。
2006年硕士研究生报考录取人数统计
注:
1、统计人数只包含统考类考生人数,不含推荐免试生数
2、个别专业录取人数大于报考人数是调剂的原因
2007年硕士研究生报考录取人数统计
注:
1、统计人数只包含统考类考生人数,不含推荐免试生数
2、个别专业录取人数大于报考人数是调剂的原因
2008年硕士研究生报考录取人数统计
注:
1、统计人数只包含统考类考生人数,不含推荐免试生数
2、个别专业录取人数大于报考人数是调剂的原因
2009年硕士研究生报考录取人数统计
注:
1、统计人数只包含统考类考生人数,不含推荐免试生数
2、个别专业录取人数大于报考人数是调剂的原因。
注:
1、统计人数只包含统考类考生人数,不含推荐免试生数
2、个别专业录取人数大于报考人数是调剂的原因
注:
1、统计人数只包含统考类考生人数,不含推荐免试生数
2、个别专业录取人数大于报考人数是调剂的原因
注:
1、统计人数只包含统考类考生人数,不含推荐免试生数
2、个别专业录取人数大于报考人数是调剂的原因
注:
1、统计人数只包含统考类考生人数,不含推荐免试生数
2、个别专业录取人数大于报考人数是调剂的原因
注:
1、统计人数只包含统考类考生人数,不含推荐免试生数
2、个别专业录取人数大于报考人数是调剂的原因。
【育明教育】中国考研考博专业课辅导第一品牌育明教育官方网站: 12012年硕士研究生报考录取人数统计院(系、所)专业报考人数录取人数组合数学研究中心应用数学147陈省身数学研究所概率论与数理统计43陈省身数学研究所基础数学171陈省身数学研究所理论物理10数学学院★生物信息学10数学学院概率论与数理统计413数学学院基础数学274数学学院计算数学153数学学院应用数学537数学学院应用统计3313数学学院统计学120物理科学学院★光子学与光子技术81物理科学学院★生命信息物理学54物理科学学院材料物理与化学136物理科学学院测试计量技术及仪器92物理科学学院光学5513物理科学学院理论物理3410物理科学学院粒子物理与原子核物理20物理科学学院凝聚态物理4618泰达应用物理学院凝聚态物理03泰达应用物理学院★光子学与光子技术10泰达应用物理学院光学20泰达生物技术学院★生物信息学21泰达生物技术学院生物化学与分子生物学75泰达生物技术学院微生物学155信息技术科学学院电磁场与微波技术60信息技术科学学院电路与系统375信息技术科学学院电子与通信工程2714信息技术科学学院光学33信息技术科学学院光学工程7120信息技术科学学院光学工程(专业学位)26信息技术科学学院计算机技术155【育明教育】中国考研考博专业课辅导第一品牌育明教育官方网站: 2信息技术科学学院计算机软件与理论11413信息技术科学学院计算机系统结构565信息技术科学学院计算机应用技术29426信息技术科学学院检测技术与自动化装置51信息技术科学学院控制工程79信息技术科学学院控制理论与控制工程6012信息技术科学学院模式识别与智能系统95信息技术科学学院通信与信息系统16225信息技术科学学院微电子学与固体电子学8725信息技术科学学院物理电子学103信息技术科学学院系统工程41信息技术科学学院信号与信息处理295信息技术科学学院运筹学与控制论137软件学院计算机软件与理论340软件学院计算机应用技术374软件学院软件工程87软件学院软件工程(专业学位)1111环境科学与工程学院★环境管理与经济649环境科学与工程学院安全科学与工程264环境科学与工程学院环境工程13023环境科学与工程学院环境工程(专业学位)1929环境科学与工程学院环境科学14133环境科学与工程学院生态学31化学学院★化学生物学60化学学院★精细化学品化学30化学学院材料工程127化学学院材料物理与化学469化学学院材料学134化学学院分析化学877化学学院高分子化学与物理9416化学学院化学工程211【育明教育】中国考研考博专业课辅导第一品牌育明教育官方网站: 3化学学院农药学164化学学院无机化学8124化学学院物理化学5215化学学院应用化学151化学学院有机化学29872化学学院植物病理学21生命科学学院★生物信息学112生命科学学院动物学2313生命科学学院高分子化学与物理135生命科学学院生态学186生命科学学院生物工程1125生命科学学院生物化学与分子生物学33371生命科学学院微生物学22122生命科学学院细胞生物学13614生命科学学院遗传学378生命科学学院植物学409药学院生药学93药学院微生物与生化药学185药学院药物化学18139药学院制药工程114医学院病理学与病理生理学20医学院儿科学80医学院儿科学(专业学位)20医学院耳鼻咽喉科学11医学院妇产科学71医学院妇产科学(专业学位)30医学院急诊医学21医学院口腔临床医学134医学院临床检验诊断学71医学院麻醉学50医学院免疫学10医学院内科学314医学院内科学(专业学位)228医学院全科医学01医学院生理学714医学院生物医学工程10医学院外科学317医学院外科学(专业学位)145【育明教育】中国考研考博专业课辅导第一品牌育明教育官方网站: 4医学院眼科学40医学院影像医学与核医学160医学院影像医学与核医学30医学院肿瘤学102医学院肿瘤学(专业学位)31汉语言文化学院汉语国际教育15219汉语言文化学院汉语言文字学70汉语言文化学院语言学及应用语言学13613文学院★比较语言学20文学院★高级应用语言文学102文学院★文艺评论与创作112文学院比较文学与世界文学953文学院出版30文学院传播学1006文学院汉语言文字学685文学院美术学555文学院设计学877文学院文艺学343文学院新闻学865文学院新闻与传播3922文学院艺术设计08文学院艺术学理论40文学院语言学及应用语言学1683文学院中国古代文学2028文学院中国古典文献学102文学院中国现当代文学1387文学院中国少数民族语言文学20历史学院考古学422历史学院世界史9315历史学院文物与博物馆614历史学院中国史25130哲学院科学技术哲学62哲学院伦理学60哲学院逻辑学218哲学院马克思主义哲学296哲学院美学63哲学院外国哲学154【育明教育】中国考研考博专业课辅导第一品牌育明教育官方网站: 5哲学院中国哲学398哲学院宗教学41外国语学院俄语语言文学196外国语学院日语语言文学597外国语学院外国语言学及应用语言学467外国语学院英语笔译6851外国语学院英语口译11817外国语学院英语语言文学36019法学院法律(法学)7216法学院法律(非法学)34049法学院法律史134法学院法学理论562法学院国际法学4113法学院环境与资源保护法学253法学院经济法学495法学院民商法学775法学院诉讼法学324法学院宪法学与行政法学526法学院刑法学686周恩来政府管理学院公共管理27663周恩来政府管理学院国际关系495周恩来政府管理学院国际政治80周恩来政府管理学院基础心理学170周恩来政府管理学院民族学81周恩来政府管理学院人口学11周恩来政府管理学院人类学52周恩来政府管理学院社会保障924周恩来政府管理学院社会工作2816周恩来政府管理学院社会学717周恩来政府管理学外交学121【育明教育】中国考研考博专业课辅导第一品牌育明教育官方网站: 6院周恩来政府管理学院行政管理21119周恩来政府管理学院应用心理4218周恩来政府管理学院应用心理学1628周恩来政府管理学院政治学理论7010周恩来政府管理学院中外政治制度51马克思主义教育学院国外马克思主义研究23马克思主义教育学院军事思想305马克思主义教育学院科学社会主义与国际共产主义运动62马克思主义教育学院马克思主义发展史113马克思主义教育学院马克思主义基本原理123马克思主义教育学院马克思主义哲学51马克思主义教育学院马克思主义中国化研究133马克思主义教育学院思想政治教育708马克思主义教育学院中共党史294马克思主义教育学院中国近现代史基本问题研究174经济学院★保险学392经济学院★金融工程952经济学院★精算学19612经济学院保险1024经济学院国际商务2139经济学院金融15763经济学院税务819经济学院产业经济学13320经济学院西方经济学9712经济学院经济史62经济学院财政学809【育明教育】中国考研考博专业课辅导第一品牌育明教育官方网站: 7经济学院区域经济学17713经济学院国际贸易学1102经济学院金融学70967经济学院经济思想史40经济学院世界经济57277经济学院劳动经济学392经济学院人口、资源与环境经济学91经济学院数量经济学739经济学院统计学231经济学院政治经济学260商学院★公司治理7610商学院★人力资源管理663商学院档案学323商学院工程管理14725商学院管理科学与工程899商学院会计29155商学院会计学26315商学院技术经济及管理112商学院企业管理35440商学院情报学335商学院图书馆学284商学院图书情报8314旅游与服务学院旅游管理679旅游与服务学院旅游管理3718高等教育研究所比较教育学60高等教育研究所高等教育学192高等教育研究所教育经济与管理228高等教育研究所教育史10高等教育研究所教育学原理163高等教育研究所职业技术教育学50经济与社会发展研究院★物流学394经济与社会发展研究院产业经济学679经济与社会发展研究院区域经济学263经济与社会发展研究院物流工程29日本研究院国际政治234日本研究院世界经济211日本研究院世界史344注:1、统计人数只包含统考类考生人数,不含推荐免试生数2、个别专业录取人数大于报考人数是调剂的原因2014年有多名学员以优异成绩考上南开大学的行政管理,环境工程,传播学,金融学,翻译硕士等各个专业,可以说这些专业是我们育明教育的王牌专业,希望广大学子能够来育明实地查看,加入我们的辅导课程,你会发现在这里复习考研将会是你事半功倍,复习效果更上一层楼!针对以上信息,有任何疑问或希望来育明教育进行实地了解的考生们,可以联系我们南开大学的首席咨询师林老师,扣扣为2831464870,祝各位考研成功!【育明教育】中国考研考博专业课辅导第一品牌育明教育官方网站:8【育明教育】中国考研考博专业课辅导第一品牌育明教育官方网站:92015年育明教育考研攻略一、《育明教育:五阶段考研复习攻略》把考研作为一种娱乐,而不是被娱乐。
南开大学硕士研究生报考录取人数统计表XX
年X年
注:
1、统计人数只包含统考类考生人数,不含举荐免试生数
2、个别专业录用人数大于报考人数是调剂的缘故
2008年硕士研究生报考录用人数统计
注:
1、统计人数只包含统考类考生人数,不含举荐免试生数
2、个别专业录用人数大于报考人数是调剂的缘故
2009年硕士研究生报考录用人数统计
注:
1、统计人数只包含统考类考生人数,不含举荐免试生数
2、个别专业录用人数大于报考人数是调剂的缘故
2010年硕士研究生报考录用人数统计
注:
1、统计人数只包含统考类考生人数,不含举荐免试生数
2、个别专业录用人数大于报考人数是调剂的缘故
注:
1、统计人数只包含统考类考生人数,不含举荐免试生数
2、个别专业录用人数大于报考人数是调剂的缘故
注:
1、统计人数只包含统考类考生人数,不含举荐免试生数
2、个别专业录用人数大于报考人数是调剂的缘故。
南开大学考研复习各专业报录比分析
最新的报录比还未完全统计出来,但可以先从2014年南开大学周恩来政府管理学院各专业的报录情况看出一定规律。
每年公共管理专业报考人数最多,录取人数也是最多的,行政管理专业报录比例大概为1:16,政治学理论的报录比例大概约为12:100,相对而言,应用心理专业竞争性相对较弱。
2014年硕士研究生报考录取人数统计
院(系、所) 专业 报考人
数
录取人
数
周恩来政府管理学院 ★公共政策 6 0 周恩来政府管理学院 公共管理 353 109 周恩来政府管理学院 国际关系 33 18 周恩来政府管理学院 国际政治 7 1 周恩来政府管理学院 基础心理学 17 2 周恩来政府管理学院 民族学 4 1 周恩来政府管理学院 人口学 1 0 周恩来政府管理学院 人类学 6 2 周恩来政府管理学院 社会保障 72 9 周恩来政府管理学院 社会工作 174 23 周恩来政府管理学院 社会学 76 9 周恩来政府管理学院 外交学 5 0 周恩来政府管理学院 行政管理 164 10 周恩来政府管理学院 应用心理 86 18 周恩来政府管理学院 应用心理学 84 9 周恩来政府管理学院 政治学理论 73 9 周恩来政府管理学院 中外政治制度 5 0
人口学、人类学、外交学以及中外政治制度比较偏冷门,报考人数较少,录取人数也较少,有些专业录取人数为0,考生在选择专业的时候应根据自己的实际情况进行选择。