2017-2018年江西省九江一中高一上学期期末数学试卷与答案Word版
- 格式:doc
- 大小:587.02 KB
- 文档页数:17
江西省九江第一中学2016—2017学年高一上学期期末考试数学试卷一、选择题(12分×5=60分)1.设集合<2},集合<,则中所含整数的个数为( ) A .4 B .3C .2D .12.下列函数中,既是奇函数又在区间上单调递增的函数为( )A. B. C. D. 3.设,,,则,,的大小关系是( )A. B. C. D.4.已知是两条不同直线,是三个不同平面,下列命题中正确的是( )A .B .C .D .5.两条直线,互相垂直,则的值是A .3B .C . 或3D .0 或 36.若函数是R 上的单调函数,则实数的取值范围是( )A. B. C. D.7.已知,,为直角三角形中的三边长,为斜边长,若点在直线上,则的最小值为( )A .2B .3C .4D .98.如图,在棱长为4的正四面体A -BCD 中,M 是BC 的中点,点P 在线段AM 上运动(P 不与A ,M 重合),过点P 作直线l ⊥平面ABC ,l 与平面BCD 交于点Q ,给出下列命题: ①BC ⊥平面AMD ;②Q 点一定在直线DM 上; ③VC -AMD =4 2.其中正确命题的序号是( ).x x M ≤-=4|{x x N 3|{=}91N M 0,+∞()1y x -=ln y x =||y x =3y x =8.012.1og a =8.017.0og b =8.02.1=c a b c a b c <<b a c <<a c b <<c a b <<,m n ,,αβγ,,αγβγαβ⊥⊥若则‖,,m m αβαβ若则‖‖‖,,m n m n αα若则‖‖‖,,m n m n αα⊥⊥若则‖3)1(:1=++y a ax l 2)23()1(:2=-++y a x a l a 1-1-⎩⎨⎧≥-<+-=)0()24()0()(2x a x a ax x x f xa )2,0[)2,23(]2,1[]1,0[a b c c ),(n m M 03:=++c by ax l 22n m +A .①②B .①③C .②③D .①②③9.已知圆与圆相外切, 为正实数,则的最大值为 ( )A.B.C. D.10.已知函数是定义在上的偶函数,且在上单调递减,若,则不等式解集为( )A .B . C. D .11.一个三棱锥的三视图是三个直角三角形,如图所示,则该三棱锥的外接球表面积为( )A .29πB .30π C.29π2 D .216π12.已知幂函数在上单调递增,函数,时,总存在使得,则的取值范围是( )A .B .C .D . 二、填空题(4分×5=20分) 13.函数的定义域为 .1)2()(:221=-++y a x C 4)2()(:222=-+-y b x C ,a bab 9432()f x R (]0-,∞()10f -=()210f x ->()()6,01,3- ()(),01,-∞+∞ ()(),13,-∞+∞ ()(),13,-∞-+∞2422)1()(+--=m mx m x f ()0,+∞t x g x-=2)()6,1[1∈∀x )6,1[2∈x ()()12f x g x =t ∅128≤≥t t 或128<>t t 或128t ≤≤()lg(5)=+-f x x14.点A(1,a,0)和点B(1-a,2,1)的距离的最小值为________.15.三条直线围成一个三角形,则的取值范围是 . 16. 已知函数,则关于的方程的实根个数构成的集合为 .三、解答题(10分+12分×5=70分)17.集合,,,全集为R. (1)求;(2)若,求实数的取值范围.18.在四棱锥中,底面是边长为的菱形,,面,,分别为,的中点.(1)求证:面; (2)求点到面的距离.12110230,50l x y l x y l xmy +-=-+=--=:,::m 52log (1)(1)()(2)2(1)x x f x x x ⎧-<=⎨--+≥⎩x 1(2)f x a x+-=(]2,3A =()1,3B =[),C m =+∞()R C A B ()A B C ≠∅ m P ABCD -ABCD 260BAD ∠=PA ⊥ABCD PA =E F BC PA //BF PDE C PDE19.已知函数 (1) 用函数单调性的定义证明在区间上为增函数 (2) 解不等式:20.已知圆M 上一点A (1,-1)关于直线的对称点仍在圆M 上,直线截得圆M (1)求圆M 的方程;(2)设P 是直线上的动点,是圆M 的两条切线,为切点,求四边形PEMF 面积的最小值.()4f x x x=+()x f [)2,+∞()()2247f x x f -+≤y x =10x y +-=1420x y ++=PE PF 、E F 、21. 如图甲,在平面四边形ABCD 中,已知∠A =45°,∠C =90°,∠ADC =105°,AB =BD ,现将四边形ABCD 沿BD 折起,使平面ABD ⊥平面BDC (如图乙),设点E 、F 分别为棱AC 、AD 的中点.(1)求证:DC ⊥平面ABC ;(2)设CD =1,求三棱锥A ﹣BFE 的体积.22.已知函数,,.(1)当时,判断函数在上的单调性及零点个数;(2)若关于的方程有两个不相等实数根,求实数的取值范围.112()log x x f x -+=()31g x ax a =+-()()()h x f x g x =+1a =()h x (1,)+∞x 2()log ()f x g x =a参考答案一、选择题(12分×5=60分) 1.C 2.D 3. A 4.D 5.C 6.B 7. D 8. A 9.B 10. B 11. A 12.D二、填空题(4分×5=20分) 13. (2,5) 14.15. 16.三、解答题(10分+12分×5=70分) 17.解:(1),(2)18.解(1)如图所示,取中点,连结,,∵,分别为,的中点,∴可证得,,∴四边形是平行四边形,∴,又∵平面,平面,∴ 面; (2)∵,1,4,2m ≠--{}2,3,4,5,6,8(]1,23m ≤PD G GF GE E F BC PA //FG BE FG BE =BFGE //BF EG EG ⊂PDE BF ⊄PDE //BF PDE P CDE C PDE V V --=∴19.解: (1) 略(2) , 所以20.解 (1)圆M 的方程为(x -1)2+(y -1)2=4.(2) |PM |min =得|PE |min=.知四边形PEMF 面积的最小值为4. 21.解:(1)证明:在图甲中,∵AB =BD ,且∠A =45°, ∴∠ADB =45°,∠ABC =90°即AB ⊥BD . 在图乙中,∵平面ABD ⊥平面BDC ,且平面ABD ∩平面BDC =BD , ∴AB ⊥底面BDC ,∴AB ⊥CD .又∠DCB =90°, ∴DC ⊥BC ,且AB ∩BC =B ,∴DC ⊥平面ABC . (2 22.解:(1)在上为增函数,, 所以有一个零点.(2) 方程化简为,画图可知, 解得的取值范围是.11213372CDE CDE PDE PDE S PA S PA S h h S ∆∆∆∆⨯⨯=⨯⇒===2242x x -+≥2247x x -+≤[]1,3x ⇒∈-(1,)+∞22(1.1) 3.3log 210,(2)6log 30h h =-<=->2()log ()f x g x =2(31)(1)x x a -=-+24a->a 1(,0)2-。
九江一中2017-2018学年上学期第二次月考高一数学试卷命题人:高一数学备课组 审题人:高一数学备课组第Ⅰ卷一、选择题:本大题共12小题,每小题5分,在每小题给出的四个选项中,只有一项是符合题目要求的。
1.设集合{}1,2,3A =,则A 的子集个数为A 。
7 B. 8 C. 3 D 。
42.函数()12xf x ⎛⎫= ⎪⎝⎭在区间[]2,2-上的最小值是 A 。
14 B 。
14-C. 4D. -43.已知函数()211a f x axb +=++是幂函数,则=a b +A 。
2 B. 1 C 。
12 D.04.函数()()213log 4f x x x =-的单调递增区间为A.(),2-∞ B 。
()2,+∞ C 。
(),0-∞ D. ()4,+∞5.已知函数()[]24,,4f x x x x m =-+∈的值域是[]0,4,则实数m 的取值范围是A.(),0-∞ B.[]0,2 C 。
(]0,2 D 。
[]2,46.已知lg lg 0a b +=,则函数xy a =与函数log b y x =-的图象可能是 A 。
B 。
C 。
D 。
7.正方体1111ABCD A B C D -中,则异面直线1AB 与1BC 所成的角是A .30°B . 45°C . 60°D .90° 8.如图所示,在正方体1111ABCD A BC D -中, ,E F 分别是111,AA C D 的中点,G 是正方形11BCC B 的中心,则四边形AGFE在该正方体的各面上的投影不可能是A 。
三角形B 。
等腰三角形C 。
四边形 D. 正方形9.已知,,l m n 表示两条不同的直线,,,αβγ表示三个不同的平面,给出下列四个命题: ①m αβ⋂=, n α⊂, n m ⊥,则αβ⊥; ②m α⊥, n β⊥, m n ⊥,则αβ⊥ ③//,,//m n n m βααβ⊥⇒⊥;④若,,,//,l m n l αββγγαγ⋂=⋂=⋂=,则//.m n 其中正确的命题个数有( )个A 。
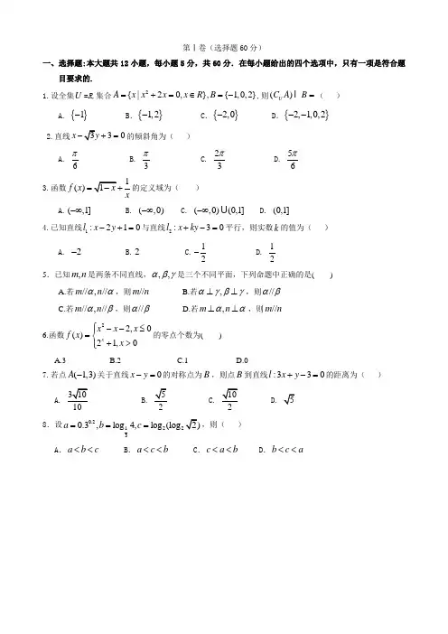
第Ⅰ卷(选择题60分)一、选择题:本大题共12小题,每小题5分,共60分.在每小题给出的四个选项中,只有一项是符合题目要求的.1.设全集U =R ,集合2{|20,},{1,0,2}A x x x x R B =+=∈=-,则()U C A B =I ( )A. {}1- B .{}1,2- C .{}2,0- D .{}2,1,0,2--2.直线30x -+=的倾斜角为( ) A. 6πB. 3πC. 23πD. 56π3.函数1()f x x =的定义域为( )A.(,1]-∞B. (,0)-∞C. (,0)(0,1]-∞UD. (0,1]4.已知直线1:210l x y -+=与直线2:30l x ky +-=平行,则实数k 的值为( )A. 2-B.2C.12- D. 125.已知,m n 是两条不同直线,,,αβγ是三个不同平面,下列命题中正确的是( )A.若//,//m n αα,则//m nB.若,αγβγ⊥⊥,则//αβC.若//,//m n αβ,则//αβD.若,m n αα⊥⊥,则//m n6.函数22,0()21,0x x x x f x x ⎧--≤⎪=⎨+>⎪⎩的零点个数为( ) A.3 B.2 C.1 D.07.若点(1,3)A -关于直线0x y -=的对称点为B ,则点B 到直线:330l x y +-=的距离为()A. 10B. 2C. 28.设0.212230.3,log 4,log (log a b c ===,则( )A .a b c <<B .a c b <<C .c a b <<D .b c a <<9.一个几何体的三视图如图所示,其左视图是等边三角形,该几何体的侧面中面积最大的侧面的面积等于( )76C. 2310.若函数2()log (2)a f x x ax =-+在区间(0,1]上单调递减,则实数a 的取值范围是( )A. [2,3)B.(2,3)C.[2,)+∞D. (2,)+∞11.如图,在四棱锥P ABCD -中PA ⊥底面ABCD ,四边形ABCD 为正方形,E 为CD 中点,F 为PA 中点,且2PA AB ==.则三棱锥P BEF -的体积为( ) A. 13 B. 23 C. 43 D. 2 12.定义在(2,2)-上的函数()f x 满足()(),(2)()f x f x f x f x -=--=,且(1,0)x ∈-时, 1()22x f x =+,则()0f x x +<的解集为( ) A.(2,1)(1,2)--U B. (2,1)(0,1)--U C.(1,0)(1,2)-U D.(1,0)(0,1)-U第Ⅱ卷(非选择题90分) 二、填空题:本大题共4小题,每小题5分,共20分.13. 已知函数320()20x x x f x x -≥⎧=⎨<⎩ ,则((1))f f -= . 14.已知直线y x b =+与圆:222x y +=相交,则实数b 的取值范围是 .FEPDC B A15. 如图,在四面体ABCD 中,ABD ACD BDC ∠=∠=∠90=o ,ABC ∆为等边三角形,2BD CD ==,则四面体ABCD 外接球的表面积等于 .16.设函数2()||()f x x x x a a R =+-∈,若()f x 的最小值小于1-,则a 的取值范围是 .三、解答题:本大题共6小题,共70分.解答应写出文字说明,证明过程或演算步骤.17 .(本小题满分10分)已知直线1:0l x y -=和直线2:230l x y +-=的交点为P ,若直线l 过点P 且与直线20x y -+=垂直,求直线l 的方程.18.(本小题满分12分)已知函数2()lg[(1)]()f x x a x a a R =+++∈.(1)当0a =时,求函数()f x 在区间[1,4]上的值域;(2)当2a =-时,解不等式()1f x <.19.(本小题满分12分) A CBD已知三棱柱111ABC A B C -中,1AA ⊥平面,ABC BA AC ⊥,12AB AA AC ===,M 为AC 中点.(1)证明:直线1//B C 平面1A BM ;(2)求异面直线1B C 与1A B 所成角.20.(本小题满分12分)已知圆E 经过13(1,0),(0,1),(,2M N P -三点. (1)求圆E 的方程;(2)若过点(2,2)C 作圆E 的两条切线,切点分别是,A B ,求直线AB 的方程.21.(本小题满分12分)已知二次函数2()f x ax bx c =++满足:(0)2,(2017)(2019)f f f =-=,函数()f x 的最小值为1.(1)求函数()f x 的解析式;(2)若关于x 的方程04)(2)]([2=++x mf x f (R m ∈)有4个不同根,求m 的取值范围.22.(本小题满分12分) 已知函数21()f x x ax x =-+(a 为常数). (1)若1()()g x f x x=-,求函数()g x 在区间[1,)+∞上的最小值(用字母a 表示); (2)若不等式2()0f x x +≥在区间[1,)+∞上恒成立,求实数a 的取值范围.。
2017-2018学年江西省高一(上)期末数学试卷一、选择题(本大题共12小题,共60.0分)1.设全集U={x∈N*|x≤6},A={1,2},B={2,3,4},则A∩(∁U B)=()A. 1B.C.D.2.已知幂函数f(x)=x a的图象经过(2,),则f(4)=()A. B. 2 C. D. 83.下列各组函数表示同一函数的是()A. ,B. ,C. ,D. ,4.直线-=1的倾斜角的大小为()A. B. C. D.5.已知m,n是两条不同直线,α,β是两个不同平面,则下列命题正确的是()A. 若,垂直于同一平面,则与平行B. 若m,n平行于同一平面,则m与n平行C. 若,不平行,则在内不存在与平行的直线D. 若m,n不平行,则m与n不可能垂直于同一平面6.a=3,b=2-3,c=log25,则三个数的大小顺序()A. B. C. D.7.如图所示为一个几何体的三视图,则该几何体的表面积为()A.B.C.D.8.已知函数f(x)是定义在R上的偶函数,且当x≥0时,f(x)=ln(x+1),则函数f(x)的大致图象为()A. B.C. D.9.若函数y=log2(kx2+4kx+5)的定义域为R,则k的取值范围()A. B.C. D.10.已知a>1,k≠0,函数f(x)=,若函数g(x)=f(x)-k有两个零点,则实数k的取值范围是()A. B. C. D.11.已知集合A={(x,y)|=2},集合B={(x,y)|ax-y-2=0},且A∩B=∅,则a=()A. 2B.C. 和2D. 和212.已知函数f(x)=2x+-3,g(x)=kx+3,若存在x1∈[2,3],对任意的x2∈[-1,2],使得f(x1)<g(x2),则实数k的取值范围是()A. B. C. D.二、填空题(本大题共4小题,共18.0分)13.计算:+log2×log32-3=______.14.一个正四棱台斜高是12cm,侧棱的长是13cm,侧面积是720cm2,则它的高是______.15.若正三棱锥的三个侧面两两垂直,侧棱长为a,顶点都在一个球面上,则该球的半径为______.16.下列说法中,正确的是______(填上所有符合条件的序号)①y=e-x在R上为增函数②任取x>0,均有3x>2x③函数y=f(x)的图象与直线x=a可能有两个交点④y=2|x|的最小值为1;⑤与y=3x的图象关于直线y=x对称的函数为y=log3x.三、解答题(本大题共6小题,共72.0分)17.已知集合A={x|-2≤x≤5},B={x|m+1≤x≤2m-1}.若A B=A,求实数m的取值范围.18.菱形ABCD中,A(-4,7),C(2,-3),BC边所在直线过点P(3,-1).求:(1)AD边所在直线的方程;(2)对角线BD所在直线的方程.19.已知函数f(x)=x2+2ax+3a+2.(1)若函数f(x)的值域为[0,+∞),求a的值;(2)若函数f(x)的函数值均为非负实数,求g(a)=2-a|a+3|的取值范围.20.如图,在正三棱柱ABC-A1B1C1,底面△ABC的边长AB=1,侧棱长为,P是A1B1的中点,E、F分别是AC,BC,PC的中点.(1)求FG与BB1所成角的大小;(2)求证:平面EFG∥平面ABB1A1.21.如图,四边形ABCD是圆柱OO′的轴截面,点P在圆柱OO′的底面圆周上,圆柱OO′的底面圆的半径OA=1,侧面积为2π,∠AOP=60°.(1)求证:PB⊥平面APD;(2)是否存在点G在PD上,使得AG⊥BD;并说明理由.(3)求三棱锥D-AGB的体积.22.已知函数f(x)=log a(a>0且a≠1).(1)求f(x)的定义域;(2)当0<a<1时,判断f(x)在(2,+∞)的单惆性;(3)是否存在实数a,使得当f(x)的定义域为[m,n]时,值域为[1+log a n,1+1og a m],若存在,求出实数a的范围;若不存在,请说明理由.答案和解析1.【答案】B【解析】解:U={1,2,3,4,5,6};∴∁U B={1,5,6};∴A∩(∁U B)={1}.故选:B.可解出集合U,然后进行交集、补集的运算即可.考查描述法、列举法的定义,以及补集和交集的运算.2.【答案】B【解析】解:因为幂函数y=f(x)的图象经过点(2,),所以幂函数的解析式为:f(x)=,则f(4)==2.故选:B.求出幂函数的解析式,然后求解f(4)的值.本题考查幂函数的解析式的求法,函数值的求法,考查计算能力.3.【答案】C【解析】解:A.的定义域为R,的定义域为[0,+∞),定义域不同,不是同一函数;B.f(x)=x+1的定义域为R,的定义域为{x|x≠1},定义域不同,不是同一函数;C.f(x)=x的定义域为R,的定义域为R,定义域和解析式都相同,是同一函数;D.的定义域为[2,+∞),的定义域为(-∞,-2][2,+∞),定义域不同,不是同一函数.故选:C.通过求定义域可判断选项A,B,D的两函数都不是同一函数,从而A,B,D都错误,只能选C.考查函数的定义,判断两函数是否为同一函数的方法:看定义域和解析式是否都相同.4.【答案】B【解析】解:设此直线的倾斜角为θ,θ∈[0°,180°),由直线-=1化为:y=x-3.∵tanθ=,∴θ=60°.故选:B.设此直线的倾斜角为θ,θ∈[0°,180°),由直线-=1化为:y=x-3.可得tanθ=,即可得出.本题考查了直线的倾斜角与斜率之间的关系、三角函数求值,考查了推理能力与计算能力,属于基础题.5.【答案】D【解析】解:对于A,若α,β垂直于同一平面,则α与β不一定平行,例如墙角的三个平面;故A错误;对于B,若m,n平行于同一平面,则m与n平行.相交或者异面;故B错误;对于C,若α,β不平行,则在α内存在无数条与β平行的直线;故C错误;对于D,若m,n不平行,则m与n不可能垂直于同一平面;假设两条直线同时垂直同一个平面,则这两条在平行;故D正确;故选:D.利用面面垂直、线面平行的性质定理和判定定理对选项分别分析解答.本题考查了空间线面关系的判断;用到了面面垂直、线面平行的性质定理和判定定理.6.【答案】A【解析】解:a=3∈(1,2),b=2-3∈(0,1),c=log25>2,则三个数的大小顺序为c>a>b.故选:A.利用指数函数、对数函数的单调性即可得出.本题考查了指数函数、对数函数的单调性,考查了推理能力与计算能力,属于基础题.7.【答案】C【解析】解:根据三视图可得该几何体是有一个圆柱挖去两个圆柱所得,作出几何体的直观图(如图),则该几何体的表面积为S=2×π×1×2+π×12+2×2×2=8+6π.故选:C.根据三视图可得该几何体是有一个圆柱挖去两个圆柱所得,作出几何体的直观图,观察截去几何体的结构特征,代入数据计算.本题考查了常见几何体的三视图和结构特征,属于基础题.8.【答案】C【解析】解:先作出当x≥0时,f(x)=ln(x+1)的图象,显然图象经过点(0,0),且在(0,+∞)上缓慢增长.再把此图象关于y轴对称,可得函数f(x)在R上的大致图象,如图C所示,故选:C.根据当x≥0时,f(x)=ln(x+1)的图象经过点(0,0),且函数在(0,+∞)上缓慢增长.再根据此图象关于y轴对称,可得函数f(x)在R上的大致图象.本题主要考查函数的图象特征,偶函数的性质,属于中档题.9.【答案】B【解析】解:由题意得:kx2+4kx+5>0在R恒成立,k=0时,成立,k≠0时,,解得:0<k<,综上,k∈[0,),故选:B.根据二次函数的性质以及对数函数的定义求出k的范围即可.本题考查了二次函数的性质,考查对数函数的性质以及分类讨论思想,是一道基础题.10.【答案】A【解析】解:a>1,k≠0,函数f(x)=,若函数g(x)=f(x)-k有两个零点,可得x>0时1-kx=k成立,即有x=>0,解得0<k<1;由x≤0时,a x=k∈(0,1],综上可得k的范围为(0,1).故选:A.令g(x)=0,即f(x)=k,运用指数函数的单调性和一次方程的解法,解不等式可得所求范围.本题考查函数的零点个数问题解法,考查指数函数的单调性和不等式的解法,考查运算能力和推理能力,属于基础题.11.【答案】D【解析】解:①集合A={(x,y)|=2},由于直线=2不经过点(2,3),所以(2,3)∉A.集合B={(x,y)|ax-y-2=0},且A∩B=∅,∴(2,3)∈B,可得2a-3-2=0,解得a=.②)直线=2化为:y=2x-1,与直线ax-y-2=0平行时,满足A∩B=∅,∴a=2.综上可得:a=2或.故选:D.①集合A={(x,y)|=2},由于直线=2不经过点(2,3),所以(2,3)∉A.根据A∩B=∅,可得(2,3)∈B,解得a.②)直线=2化为:y=2x-1,与直线ax-y-2=0平行时,满足A∩B=∅,可得a.本题考查了直线方程、集合运算性质、分类讨论方法,考查了推理能力与计算能力,属于基础题.12.【答案】A【解析】解:对于f(x)=2x+-3,令t=2x,∵x∈[2,3],∴t∈[4,8],则函数f(x)=h(t)=在[4,8]上为增函数,∴f(x)min=h(t)min=h(4)=2;由存在x1∈[2,3],对任意的x2∈[-1,2],使得f(x1)<g(x2),得f(x)min<g(x)min.当k>0时,g(x)=kx+3,在x∈[-1,2]为增函数,∴g(x)min=f(-1)=3-k,由3-k>2,解得0<k<1;当k<0时,g(x)=kx+3,在x∈[-1,2]为减函数,∴g(x)min=f(2)=2k+3,∴2k+3>2,解得-<k<0;当k=0时,g(x)=3,3>2成立.综上,实数k的取值范围是(0,1)(-,0){0}=(-,1).故选:A.分别求出函数f(x)与g(x)在定义域中的最小值,把问题转化为g(x)min>f(x)min求解.本题考查函数恒成立问题,考查数学转化思想方法,体现了分类讨论的数学思想方法,是中档题.13.【答案】-1【解析】解:原式=-2+log2 3×log3 2-=-1,故答案为:-1.根据根式、对数和有理指数幂的运算性质可得.本题考查了对数的运算性质.属基础题.14.【答案】【解析】解:如图,在△GMC中,GC=13,GM=12,可得CM=5,设GF=x,则,得x=10,∴在△PQN中,QN=5,PN=12,可得PQ=,即四棱台的高为,故答案为:.作出图形,利用侧棱,斜高可得上下底边长之差,再利用侧面积列方程得到底边长,最后利用直角三角形求高.此题考查了四棱台侧棱,斜高,底边,高之间的关系,难度不大.15.【答案】【解析】解:如图,正三棱锥P-ABC的三条侧棱PA,PB,PC两两互相垂直,侧棱长PA=PB=PC=a,补形为正方体,则其外接球的半径为.故答案为:.由三棱锥的三条侧棱两两垂直,把该三棱锥补形为正方体,该正方体的外接球就是三棱锥的外接球,利用正方体的对角线长公式算出球的半径即可.本题考查多面体外接球半径的求法,训练了分割补形法,考查长方体的对角线长公式,属于中档题.16.【答案】②④⑤【解析】解:对于①,y=e-x在R上为减函数,故①错;对于②,任取x>0,均有3x>2x,故②正确;对于③,函数y=f(x)的图象与直线x=a最多有一个交点,故③错;对于④,y=2|x|,由|x|≥0,可得y≥1,可得y的最小值为1,此时x=0,故④正确;对于⑤,与y=3x的图象关于直线y=x对称的函数为y=log3x,故⑤正确.故答案为:②④⑤.由指数函数的单调性,可判断①;由幂函数的单调性可判断②;由函数的定义可判断③;由绝对值的意义和指数函数的单调性可判断④;由指数函数和对数函数互为反函数,可判断⑤.本题考查函数的单调性和最值,以及对称性,考查运算能力,属于基础题.17.【答案】解:若A B=A,则B⊆A,分两种情况考虑:(i)若B不为空集,可得m+1≤2m-1,解得:m≥2,∵B⊆A,∵A={x|-2≤x≤5},B={x|m+1<x<2m-1},∴m+1≥-2,且2m-1≤5,解得:-3≤m≤3,此时m的范围为2≤m≤3;(ii)若B为空集,符合题意,可得m+1>2m-1,解得:m<2,综上,实数m的范围为(-∞,3].【解析】若A B=A,则B⊆A,分两种情况考虑:当集合B不为空集时和集合B为空集时,分别解出不等式的解集得到m的范围,综合讨论结果可得所有满足题意的m范围.本题考查的知识点是集合的包含关系判断及应用,难度不大,属于基础题.18.【答案】解:(1)k BC==2,∵AD∥BC,∴k AD=2------------(2分)∴直线AD方程为y-7=2(x+4),即2x-y+15=0----------(5分)(2)k AC==----------------(6分)∵菱形对角线互相垂直,∴BD⊥AC,∴k BD=-----------(8分)而AC中点(-1,2),也是BD的中点,--------(9分)∴直线BD的方程为y-2=(x+1),即3x-5y+13=0.---------(12分)【解析】(1)利用相互平行的直线斜率相等、点斜式即可得出.(2)利用相互垂直的直线斜率之间的关系、中点坐标公式即可得出本题考查了相互平行的直线斜率相等、点斜式、相互垂直的直线斜率之间的关系、中点坐标公式、菱形的性质,考查了推理能力与计算能力,属于基础题19.【答案】解:(1)∵函数的值域为[0,+∞),∴△ ,解得:a=-,或a=2-------(5分)(2)∵对一切实数函数值均为非负,∴△ ,解得:-≤a≤2-------(7分)∴a+3>0,∴g(a)=2-a|a+3|=2-a(a+3)=-(a+)2+------(9分)∵二次函数g(a)在[-,2]上单调递减,∴g(2)=-8≤g(a)≤g(-)=∴g(a)的值域为[-8,].-------(12分)【解析】(1)若函数f(x)的值域为[0,+∞),则△=0,解得a的值;(2)若函数f(x)的函数值均为非负实数,则△≤0,进而可得函数的g(a)的值域.本题考查的知识点是二次函数的图象和性质,熟练掌握二次函数的图象和性质,是解答的关键.20.【答案】(1)解:连接PB,∵G,F分别是PC,BC的中点,∴GF∥BP,∴PB与BB1所成角即为FG与BB1所成角.在Rt△PB1B中,由,,可得 ∠ ,∴FG与BB1所成角的大小为30°;(2)证明:由(1)可得,直线FG∥平面ABB1A1,∵E是AC的中点,∴EF∥AB,∵AB⊂平面ABB1A1,EF⊄平面ABB1A1,∴EF∥平面ABB1A1,∵EF与FG相交,EF⊂平面EFG,GF⊂平面EFG,∴平面EFG∥平面ABB1A1.【解析】(1)连接PB,可得GF∥BP,则PB与BB1所成角即为FG与BB1所成角.然后求解三角形得答案;(2)由(1)可得,直线FG∥平面ABB1A1,再证明EF∥AB,由面面平行的判定可得平面EFG∥平面ABB1A1.本题考查平面与平面平行的判定,考查空间想象能力与思维能力,训练了异面直线所成角的求法,是中档题.21.【答案】(1)证明:∵AB为圆O的直径,∴PB⊥PA,∵AD⊥平面PAB,∴PB⊥AD,又PA∩AD=A,∴PB⊥平面APD;(2)解:存在.当点G是PD中点时,AG⊥BD.事实上,由题意可知,2π×1×AD=2π,解得AD=1.由∠AOP=60°,可得△AOP为等边三角形,得到AP=OA=1.在Rt△PAD中,∵AD=AP,G是PD的中点,则AG⊥PD.由(1)得PB⊥AG,PD∩PB=P,∴AG⊥平面PBD,则AG⊥BD;(3),在Rt△APB中,∵AB=2,AP=1,∴PB=,∴△ .∴.【解析】(1)由AB为圆O的直径,可得PB⊥PA,再由AD⊥平面PAB,得PB⊥AD,然后利用线面垂直的判定可得PB⊥平面APD;(2)存在,当点G是PD中点时,AG⊥BD.由侧面积公式求得AD=1,进一步得到AD=AP,由G是PD的中点,可得AG⊥PD,再由(1)得PB⊥AG,由线面垂直的判定可得AG⊥平面PBD,则AG⊥BD;(3)直接利用等积法求三棱锥D-AGB的体积.本题考查空间中直线与直线,直线与平面间位置关系的判定,考查空间想象能力与思维能力,训练了利用等积法求多面体的体积,是中档题.22.【答案】解:(1)由>0,得x<-2或x>2.∴f(x)的定义域为(-∞,-2)(2,+∞);(2)令t(x)==1-,t(x)在(2,+∞)上为增函数,又0<a<1,∴f(x)在(2,+∞)上为减函数;(3)假设存在这样的实数a,使得当f(x)的定义域为[m,n]时,值域为[1+log a n,1+1og a m],由m<n且1+log a n,1+1og a m,即m<n⇒1+log a n,1+1og a m,可得0<a<1.t(x)=1-在(2,+∞)上为增函数,又∵0<a<1,∴f(x)在(2,+∞)上为减函数,∴ ,∴,即在(2,+∞)上有两个互异实根,令g(x)=ax2+(2a-1)x+2,则△ >>>,解得0<a<.又∵0<a<1,故存在这样的实数a∈(0,)符合题意.【解析】(1)由对数式的真数大于0求解函数的定义域;(2)利用分离常数法判断真数t(x)=的单调性,再由复合函数的单调性得答案;(3)把f(x)的定义域为[m,n]时值域为[1+log a n,1+1og a m]转化为f(x)在(2,+∞)上为减函数,进一步得到在(2,+∞)上有两个互异实根,令g(x)=ax2+(2a-1)x+2,转化为关于a的不等式组求解.本题考查函数的定义域及其求法,考查复合函数单调性的求法,考查数学转化思想方法,是中档题.。
九江一中2017-2018学年上学期期末考试高一化学试卷注意事项:1.本试卷分第Ⅰ卷(选择题)和第Ⅱ卷(非选择题)两部分,共100分,答题时间90分钟。
答题前,考生务必将自己的姓名、考生号填写在答题卡上。
2.第Ⅰ卷(选择题)答案必须使用2B铅笔填涂;第Ⅱ卷(非选择题)必须将答案写在答题卡上,写在本试卷上无效。
3.考试结束,将答题卡交回,试卷由个人妥善保管。
可能用到的相对原子质量:H:1 C:12 N:14 O:16 Mg:24 Al:27S:32 Fe:56 Cu:64 Br:80 Pb:207第Ⅰ卷(选择题共48分)一、选择题(本题共16小题,每小题3分,共48分。
每小题只有一个选项符合题意)1.下列描述不涉及...化学变化的是( )A. 铁粉作袋装食品的抗氧化剂B.利用渗析实验除去淀粉溶液中的NaC1C. 氢氟酸作普通玻璃的刻蚀剂D. 二氧化硫作纸浆的漂白剂2.有关Na2CO3和NaHCO3的叙述中正确的是( )A. 相同质量的Na2CO3和NaHCO3与足量盐酸作用时,产生的气体质量相同B. Na2CO3比NaHCO3热稳定性强C. Na2CO3和NaHCO3均可与澄清石灰水反应D. Na2CO3和NaHCO3均不可与NaOH溶液反应3.下列说法正确的是()A.在标准状况下,22.4L水所含分子数目为N A B.11.2L HCl气体其物质的量为0.5mol C.9克Al转变成Al3+时,失去电子数目为N A D.标况时28g氮气所含氮原子数为N A 4.下列说法正确的是( )A. SiO2是酸性氧化物,它不溶于水也不溶于任何酸B. SiO2制造玻璃的主要原料之一,它在常温下不能与NaOH溶液反应C. 因高温时SiO2与Na2CO3反应放出CO2,所以H2SiO3酸性比H2CO3强D. SiO2是用于制备太阳能电池芯片材料的重要原料5.下列反应的离子方程正确的是()A. 钠与水反应:Na+2H2O=Na++2OH﹣+H2↑B. FeCl3溶液中加入足量的氨水:Fe3++3OH﹣=Fe (OH)3↓C. 钠与CuSO4溶液反应:2Na+Cu2+=Cu+2Na+D. 用小苏打治疗胃酸过多:HCO3﹣+H+=CO2↑+H2O6.下列装置所示的实验中,能达到实验目的是()A. 分离碘和酒精B. 除去Cl2中的HClC. 实验室制氨气D. 排水法收集NO7.常温常压下,等质量的CH4、CO2、O2、SO2分别吹出四个气球,其中气体为CH4的是()A. AB. BC. CD. D8.下列说法正确的是()A. Cl2、SO2均能使品红溶液褪色,说明二者均有氧化性B. 分别充满HCl、NH3的烧瓶倒置于水中后液面均迅速上升,说明二者均易溶于水C. Fe与稀HNO3、稀H2SO4反应均有气泡产生,说明Fe与两种酸均发生置换反应D. 常温下,铜片和铁片放入浓硫酸中,均无明显变化,原因是在浓硫酸中发生钝化9.有NaCl、MgCl2 、FeCl2 、FeCl3 、AlCl3 五种溶液,只用一种试剂可鉴别它们的是( ) A. NaOH溶液 B. 盐酸 C. 氨水 D. AgNO3 溶液10.某无色稀溶液与铝作用放出H2,则下列离子在该溶液中可能大量共存的是( )A. NH4+、Cu2+、SO42-、NO3-B. K+、Na +、Cl-、Mg2+C. Na+、K+、HCO3-、NO3-D. K+、Ca2+、NH4+、CO32-11.欲将混合液中Al3+、Cu2+、Ba2+、Ag+逐一沉淀出来加以分离,加入试剂①Cl-②SO③OH-④CO2⑤CO的正确顺序是()A. ①②③④B. ③⑤①②C. ②①③⑤D. ①⑤③②12.离子方程式BaCO3 + 2H+ = CO2↑+ H2O + Ba2+ 中的H+ 不能代表的物质是()①HCl ②H2SO4③HNO3④NaHSO4⑤CH3COOHA. ②④⑤B. ④⑤C. ①③D. ⑤13.两个体积相同的密闭容器一个盛有HCl气体,另一个盛有H2和Cl2的混合气体,在同温同压下,两个容器内的气体一定具有相同的()①质量②密度③分子总数④原子总数⑤质子总数A. ③④B. ①②③C. ①②③④⑤D. ①④⑤14.将一定体积CO2气体通入到一定浓度的NaOH溶液中,向反应后溶液中滴加相关试剂,下列结论正确的是:()A.逐滴滴加盐酸溶液,立即产生气泡,则生成物只含有NaHCO3B.逐滴滴加盐酸溶液,开始无气泡产生,则生成物可能含有Na2CO3C.加入BaCl2溶液,有白色沉淀,则可确定CO2和NaOH反应的离子方程式:CO2+2OH-==CO2-3+H2OD.加入MgCl2溶液,有白色沉淀,则反应中NaOH溶液过量。
江西省九江市2017-2018学年高一上学期第一次阶段联考数学试题一、选择越(木大题共12小题,共60分)1.己知集合{{},1,,A B m A B A === ,则m 等于 A.0 B.3 C.0或3 D.1或32.己知集合{{}2(),1,,()R M x f x N y y x x R C M N ====+∈= 则 A. [0,2] B. (0,2] C. (-∞,2) D.( -∞,2]3. M = {x |0≤x ≤2},N = {y |0≤y ≤3},给出下列四个图形,其中能表示从集合M 到华合N 的函数关系的有( )A. 0个B.1个C.2个D.3个 4.己知函数y = f (x )定义域是[-2.3],则y = f (2x -1)的定义域是( )1.(,4]2A - .[1,4]B - 1.[,2]2C - .[5,5]D -5.下面四组函数中:f (x )与g(x )表示同一个函数的是.(),()A f x x g x == 22.()2,()x B f x x g x x==2.(),()C f x x g x ==.(),()D f x x g x ==6.己知集合A={0,l ,2},则满足A ∩ B=B 的集合B 有 ( )个 A. 4 . B. 6 C. 8 D. 167.在同一直坐标系中,一次函数y =ax +1与二次函数y =x 2十a 的图像可能是8.已知f (x )=(x - a )(x - b )一2(a <b ),并且α、β是方程f (x )=0的两根(α<β),则实数a 、b. α、β的大小关系可能是(. )A. a<α<b<βB. a<α<β<bC. a<α<b<βD. a<α<β<b 9.已知(1)232x f x -=+,且f (m ) =6,则m 等于( )1.4A -1.4B 3.2C 3.2D - 10.如果函数f (x ) =mx 2十(m -1)x +1在区间( -∞,1]上为减函数,则m 的取值范围1.[0,)3A 1.(0,]3B 1.(0,)3C 1.[0,]3D11.已知函数25,(1)()(1)x ax x f x a x x ⎧---≤⎪=⎨>⎪⎩满足对任意实数12x x ≠,都有2121()()0f x f x x x ->-成立,则α的取值范围是.30A a -≤< .2B a ≤- .32C a -≤≤- .0D a <12.若函数f (x )满足对任意的[,]()x n m n m ∈<, 都有()nf x km k≤≤ 成立,则称函数f (x )在区间[n , m ](n <ni )上是“被K 约束的”,若函数f (x )=x 2-ax +a 2在区间1[,]a a(a >0)上是“被2约束的”,则实数a 的取值范围是A .(1,2]BCD二、填空题(本大题共4少题,共25分) 13.若函数22,0()1,0x x f x x x +>⎧=⎨-<⎩,则((2)________f f -= 14·已知函数()f x 满足12()()3f x f x x+=,则函()f x 的解析式_________15.已知集合{}{}2,A x x B x x a =≤=≥,如果A B R = ,.那么a 的取值范围是_____· 16.某网店统计了连续三天售出商品的种类情况;第一天售出19种商品,第二天售出13 种商品,第三天售出18种商品;前两天都售出的商品有3种,后两天都售出的商品有4 种,则该网店①第一天售出但第二天未售出的商品_______种 ②这三天售出的商品最少有_________种 三、解答题(本大题共6小题,共70分) 17.(本小题满分10分)已知全集为R, 集合{}{}02,31.M x x N x x x =<≤=<->或, 求:(1) M N (2) R R C M C N (3) ()R C M N18.(12 J 分) 2()24f x x x =-+ (1)若[2,2]-,求其值域 (2)计算(2)()f x f x --的值 (3)比较1212()()()22f x f x x xf ++与的大小关系19.(12分)、(1) 画出2()28f x x x =--的图像;(要求有顶点,对称轴.与坐标轴的交点)(2)讨论f (x )的图像与直线y =k 的交点个数.(不用分析论证,直检写出结里即可)20..(12分)已知函数2()4,[2,4]f x x mx x =+-∈ (1)求的数的最小()g m (2)若()10g m =.求m 的值.21.(本小题满分12分)若集合{}{}2260,0A x x x B x x x a =+-==++=且B A ⊆,求实数a 的取值范围。
2017-2018学年江西省高一(上)期末数学试卷(文科)一、选择题(本大题共12小题,共60.0分)1.集合A={x|-2<x<2},B={x|-1≤x<3},那么A∪B=()A. {x|−2<x<3}B. {x|1≤x<2}C. {x|−2<x≤1}D. {x|2<x<3}2.下列四组函数中,表示同一函数的是()A. f(x)=|x|,g(x)=2B. f(x)=lg x2,g(x)=2lg xC. f(x)=x2−1x−1,g(x)=x+1D. f(x)=⋅,g(x)= x2−13.在下列函数中,图象的一部分如图所示的是()A. y=2sin(4x+π6)B. y=−2sin(2x−π3)C. y=2cos(2x−π6)D. y=−2cos(2x−π3)4.函数f(x)=ln x+x3-9的零点所在的区间为()A. (0,1)B. (1,2)C. (2,3)D. (3,4)5.若tanα<0,且sinα>cosα,则α在()A. 第一象限B. 第二象限C. 第三象限D. 第四象限6.边长为5,7,8的三角形的最大角与最小角的和是()A. 90∘B. 120∘C. 135∘D. 150∘7.已知A=B=R,x∈A,y∈B,f:x→y=ax+b是从A到B的映射,若1和8的原象分别是3和10,则5在f下的象是()A. 3B. 4C. 5D. 68.已知|a|=3,|b|=4,且(a+k b)⊥(a-k b),则k等于()A. ±43B. ±34C. ±35D. ±459.奇函数f(x)在(-∞,0)上单调递增,若f(-1)=0,则不等式f(x)<0的解集是()A. (−∞,−1)∪(0,1)B. (−∞,−1)(∪1,+∞)C. (−1,0)∪(0,1)D. (−1,0)∪(1,+∞)10.已知函数f(x)=cosωx(x∈R,ω>0)的最小正周期为π,为了得到函数g(x)=sin(ωx+π4)的图象,只要将y=f(x)的图象()A. 向左平移π8个单位长度 B. 向右平移π8个单位长度C. 向左平移π4个单位长度 D. 向右平移π4个单位长度11. 设点O 在△ABC 的内部,且有OA +2OB +3OC =0,则△ABC 的面积与△AOC 的面积的比为( )A. 2B. 32C. 3D. 5312. 已知函数f (x )=|log 2x |,0<x <2sin (π4x ),2≤x ≤10,若存在实数x 1,x 2,x 3,x 4满足f (x 1)=f (x 2)=f (x 3)=f (x 4),且x 1<x 2<x 3<x 4,则(x 3−1)⋅(x 4−1)x 1⋅x 2的取值范围是( )A. (20,32)B. (9,21)C. (8,24)D. (15,25)二、填空题(本大题共4小题,共20.0分)13. 已知函数f (x )=x 2-m 是定义在区间[-3-m ,m 2-m ]上的奇函数,则f (m )=______.14. 若扇形OAB 的面积是1cm 2,它的周长是4cm ,则该扇形圆心角的弧度数为______. 15. tanα=12,求sinα−3cosαsinα+cosα=______.16. 函数f (x +2)= lg (−x ),(x <0)tanx ,(x≥0),则f (π4+2)•f (-98)等于______. 三、解答题(本大题共6小题,共70.0分)17. 化简或求值:(1)(0.064)−13−(−78)0+(8116)14+|-0.01|12;(2)lg500+lg 85−12lg 64+50(lg2+lg5)218. 设f (x )=2 3sin (π-x )sin x -(sin x -cos x )2.(Ⅰ)求f (x )的单调递增区间;(Ⅱ)把y =f (x )的图象上所有点的横坐标伸长到原来的2倍(纵坐标不变),再把得到的图象向左平移π3个单位,得到函数y =g (x )的图象,求g (π6)的值.19. 已知△ABC 的角A 、B 、C 所对的边分别是a 、b 、c ,设向量m=(a ,b ),n =(sin A ,cos B ),P =(1,1). (I )若m∥n ,求角B 的大小: (Ⅱ)若m •p =4,边长c =2,角c =π3求△ABC 的面积.20.某企业甲将经营状态良好的某种消费品专卖店以58万元的优惠价转让给企业乙,约定乙用经营该店的利润偿还转让费(不计息).已知经营该店的固定成本为6.8万元/月,该消费品的进价为16元/件,月销量q(万件)与售价p(元/件)的关系如图.(1)写出销量q与售价p的函数关系式;(2)当售价p定为多少时,月利润最多?(3)企业乙最早可望在经营该专卖店几个月后还清转让费?21.已知定义在R上的单调减函数f(x)是奇函数,当x>0时,f(x)=x3−2x.(1)求f(0).(2)当x<0时,求f(x)的解析式.(3)若对任意的t∈R,不等式f(t2-2t)+f(2t2-k)<0恒成立,求实数k的取值范围.22.已知函数f(x)=(12)x,函数g(x)=log12x.(1)若g(mx2+2x+m)的定义域为R,求实数m的取值范围;(2)当x∈[-1,1]时,求函数y=[f(x)]2-2af(x)+3的最小值h(a);(3)是否存在非负实数m、n,使得函数y=log12f(x2)的定义域为[m,n],值域为[2m,2n],若存在,求出m、n的值;若不存在,则说明理由.答案和解析1.【答案】A【解析】解:把集合A和集合B中的解集表示在数轴上,如图所示,则A∪B={x|-2<x<3}故选:A.把两个集合的解集表示在数轴上,可得集合A与B的并集.此题考查学生理解并集的定义掌握并集的运算法则,灵活运用数形结合的数学思想解决数学问题,是一道基础题.2.【答案】A【解析】解:对于A,∵g(x)=,f(x)=|x|,∴两函数为同一函数;对于B,函数f(x)的定义域为{x|x≠0},而函数g(x)的定义域为{x|x>0},两函数定义域不同,∴两函数为不同函数;对于C,函数f(x)的定义域为{x|x≠1},而函数g(x)的定义域为R,两函数定义域不同,∴两函数为不同函数;对于D,函数f(x)的定义域为{x|x>1},而函数g(x)的定义域为{x|x<-1或x >1},两函数定义域不同,∴两函数为不同函数.故选:A.利用定义域相同,对应关系相同的函数为同一函数逐一核对四个选项即可得到答案.本题考查了判断两个函数是否为同一函数的方法,对于两个函数,只要定义域相同,对应关系相同,两函数即为同一函数,是基础题.3.【答案】C【解析】解:由题意可知,A=2,T=,所以ω=2,因为函数图象过(-,0),所以0=sin(-+φ),所以φ=所以函数的解析式为:y=2sin(2x+)即y=,故选:C.根据函数的图象,求出函数的周期,确定ω,求出A,根据图象过(-,0)求出φ,即可得到函数的解析式.本题考查正弦函数平移变换和最小正周期的求法、根据图象求函数解析式.考查学生的看图能力.4.【答案】C【解析】解:由于函数f(x)=lnx+x3-9在(0,+∞)上是增函数,f(2)=ln2-1<0,f(3)=ln3+18>0,故函数f(x)=lnx+x3-9在区间(2,3)上有唯一的零点,故选:C.根据函数f(x)在(0,+∞)上是增函数,f(2)<0,f(3)>0,可得函数f(x)在区间(2,3)上有唯一的零点.本题主要考查函数的单调性,函数零点的判定定理,属于基础题.5.【答案】B【解析】解:∵tanα<0,∴α在第2或4象限.∵sinα>cosα,∴α在第2象限.故选:B.利用各象限三角函数值的符号判断即可.本题考查各象限三角函数值的符号,考查转化思想与运算能力,属于基本知识的考查.6.【答案】B【解析】解:根据三角形角边关系可得,最大角与最小角所对的边的长分别为8与5,设长为7的边所对的角为θ,则最大角与最小角的和是180°-θ,有余弦定理可得,cosθ==,易得θ=60°,则最大角与最小角的和是180°-θ=120°,故选:B.设长为7的边所对的角为θ,根据余弦定理可得cosθ的值,进而可得θ的大小,则由三角形内角和定理可得最大角与最小角的和是180°-θ,即可得答案.本题考查余弦定理的运用,解本题时注意与三角形内角和定理结合分析题意.7.【答案】A【解析】解:A=B=R,x∈A,y∈B,f:x→y=ax+b是从A到B的映射,又1和8的原象分别是3和10,∴,解得:,即f:x→y=x-25在f下的象可得f(5)=1×5-2=3,故选:A.A=B=R,x∈A,y∈B,f:x→y=ax+b是从A到B的映射,1和8的原象分别是3和10,可以根据象与原像的关系满足f(x)=ax+b,列出不等式求出a,b的值,进而得到答案.此题主要考查映射的定义及其应用,注意象与原象的对应关系,此题是一道基础题;8.【答案】B【解析】解:∵∴即∴9-16k2=0解得k=故选:B.利用向量垂直的充要条件:数量积为0;再利用向量的平方等于向量模的平方列出方程解得.本题考查向量垂直的充要条件及向量模的平方等于向量的平方.9.【答案】A【解析】解:根据题意,可作出函数图象:∴不等式f(x)<0的解集是(-∞,-1)∪(0,1)故选:A.根据题目条件,画出一个函数图象,再观察即得结果.本题主要考查函数的图象和性质,作为选择题,可灵活地选择方法,提高学习效率,培养能力.10.【答案】B【解析】解:∵函数f(x)=cosωx(x∈R,ω>0)的最小正周期为π,∴由得ω=2,∴函数f(x)=cos2x,g(x)=sin(2x+)∴要得到函数g(x)=sin(2x+)的图象,由于sin(2x+)=cos(2x+-)=cos(2x-),得到函数g(x)=cos(2x-)即可,∴需要把函数f(x)=cos2x图象向右平移个单位长度,故选B.根据最小正周期为π,可以求出ω的值,然后再利用图象平移求解.本题考查了余弦型函数的性质、诱导公式及图象变换,关键是用诱导公式把两个函数的名称化成一致的.11.【答案】C【解析】解:分别取AC、BC的中点D、E,∵,∴,即2=-4,∴O是DE的一个三等分点,∴=3,故选:C.根据,变形得∴,利用向量加法的平行四边形法则可得2=-4,从而确定点O的位置,进而求得△ABC 的面积与△AOC 的面积的比.此题是个基础题.考查向量在几何中的应用,以及向量加法的平行四边形法则和向量共线定理等基础知识,同时考查学生灵活应用知识分析解决问题的能力和计算能力.12.【答案】B【解析】解:函数的图象如图所示,∵f(x1)=f(x2),∴-log2x1=log2x2,∴log2x1x2=0,∴x1x2=1,∵f(x3)=f(x4),∴x3+x4=12,2<x3<x4<10∴=x3x4-(x3+x4)+1=x3x4-11,∵2<x3<x4<10∴的取值范围是(9,21).故选:B.画出函数f(x)的图象,确定x1x2=1,x3+x4=12,2<x3<x4<10,由此可得则的取值范围.本小题主要考查分段函数的解析式求法及其图象的作法、函数的值域的应用、函数与方程的综合运用等基础知识,考查运算求解能力,考查数形结合思想、化归与转化思想,属于中档题.13.【答案】-1【解析】解:由已知必有m2-m=3+m,即m2-2m-3=0,∴m=3,或m=-1;当m=3时,函数即f(x)=x-1,而x∈[-6,6],∴f(x)在x=0处无意义,故舍去.当m=-1时,函数即f(x)=x3,此时x∈[-2,2],∴f(m)=f(-1)=(-1)3=-1.综上可得,f(m)=-1,故答案为-1.由于奇函数的定义域必然关于原点对称,可得m2-m=3+m,求出m的值,代入条件检验可得结论.本题主要考查函数的奇偶性的判断,利用了奇函数的定义域必然关于原点对称,属于基础题.14.【答案】2【解析】解:设该扇形圆心角的弧度数是α,半径为r,根据题意,有,解可得,α=2,r=1,故答案为:2.设该扇形圆心角的弧度数是α,半径为r,由扇形的面积与弧长公式,可得关系式,求解可得答案.本题考查弧度制下,扇形的面积及弧长公式的运用,注意与角度制下的公式的区别与联系.15.【答案】-53【解析】解:∵tanα=,∴===-.故答案为:-所求式子分子分母同时除以cosα,利用同角三角函数间的基本关系弦化切后,将tanα的值代入计算即可求出值.此题考查了同角三角函数基本关系的应用,以及同角三角函数间的基本关系,熟练掌握基本关系是解本题的关键.16.【答案】2【解析】解:∵∴==1×2=2故答案为:2求分段函数的函数值,先判断出所属于的范围,将它们代入各段的解析式求出值.解决分段函数的问题,应该分段解决,然后再将各段的结果求并集,属于基础题.17.【答案】解:(1)(0.064)−1−(−78)0+(8116)1+|-0.01|12=(0.43)−13-1+(32)4×1+(0.12)12=5 2−1+32+110=31 10;(2)lg500+lg85−12lg64+50(lg2+lg5)2=lg(5×100)+lg8−lg5−12lg26+50=2+lg5+3lg2-lg5-3lg2+50=52.【解析】(1)直接利用有理指数幂的运算性质化简求值;(2)利用对数的运算性质化简求值.本题考查有理指数幂的运算性质及对数的运算性质,是基础的计算题.18.【答案】解:(Ⅰ)∵f(x)=23sin(π-x)sin x-(sin x-cos x)2=23sin2x-1+sin2x=23•1−cos2x2-1+sin2x=sin2x-3cos2x+3-1=2sin(2x-π3)+3-1,令2kπ-π2≤2x-π3≤2kπ+π2,求得kπ-π12≤x≤kπ+5π12,可得函数的增区间为[kπ-π12,kπ+5π12],k∈Z.(Ⅱ)把y=f(x)的图象上所有点的横坐标伸长到原来的2倍(纵坐标不变),可得y=2sin(x-π3)+3-1的图象;再把得到的图象向左平移π3个单位,得到函数y=g(x)=2sin x+3-1的图象,∴g(π6)=2sinπ6+3-1=3.【解析】(Ⅰ)利用三角恒等变换化简f(x)的解析式,再利用正弦函数的单调性,求得函数的增区间.(Ⅱ)利用函数y=Asin(ωx+φ)的图象变换规律,求得g(x)的解析式,从而求得g()的值.本题主要考查三角恒等变换,正弦函数的单调性,函数y=Asin(ωx+φ)的图象变换规律,求函数的值,属于基础题.19.【答案】解:(I)∵m ∥n,∴a cos B=b sin A,(2分)根据正弦定理得:2R sin A cos B=2R sin B sin A(4分)∴cos B=sin B,即tan B=1,又B∈(0,π),∴B=π4;(8分)(Ⅱ)由m•p=4得:a+b=4,(8分)由余弦定理可知:4=a2+b2-2ab cosπ3=a2+b2-ab=(a+b)2-3ab,于是ab=4,(12分)∴S△ABC=12ab sin C=3.(13分)【解析】(I)根据平面向量平行时满足的条件,得到一个关系式,利用正弦定理化简即可求出tanB的值,由B的范围,利用特殊角的三角函数值即可求出B的度数;(Ⅱ)根据平面向量的数量积的运算法则化简•=4,得到a+b的值,然后由c及cosC的值,利用余弦定理表示出c2,变形后把a+b的值代入即可求出ab 的值,然后由ab及sinC的值,利用三角形的面积公式即可求出△ABC的面积.此题考查学生掌握平面向量数量积的运算法则,灵活运用正弦、余弦定理化简求值,是一道中档题.20.【答案】解:(1)q=−14p+7,16≤p≤20−15p+6,20<p≤25;(2)设月利润为W(万元),则W=(p-16)q-6.8=(−14p+7)(p−16)−6.8,16≤p≤20(−15p+6)(p−16)−6.8,20<p≤25当16≤p≤20,W=-14(p-22)2+2.2,当p=20时,W max=1.2;当20<p≤25,W=-15(p-23)2+3,当p=23时,W max=3.∴当售价定为23元/件时,月利润最多为3万元;(3)设最早n个月后还清转让费,则3n≥58,即n≥583,∵n∈N*,∴n=20,∴企业乙最早可望20个月后还清转让费.【解析】(1)由已知图象直接求出销量q与售价p的函数关系式;(2)分段写出月利润为W(万元),利用配方法分段求出最大值,则月利润最大值可求;(3)由(2)中求得的最大月利润乘以n,再由利润大于转让费求得n值.本题考查简单的数学建模思想方法,考查函数解析式的求法,训练了利用配方法求二次函数的最值,是中档题.21.【答案】解(1)∵定义在R上的函数f(x)是奇函数,∴f(0)=0;(2)当x<0时,-x>0,∴f(-x)=-x3−2−x.又∵函数f(x)是奇函数,∴f(x)=-f(-x)∴f(x)=x3+2−x.故当x<0时,f(x)=x3+2−x.(3)由不等式f(t2-2t)+f(2t2-k)<0得:f(t2-2t)<-f(2t2-k)∵f(x)是奇函数,∴f(t2-2t)<f(k-2t2)又∵f(x)在R上是减函数,∴t2-2t>k-2t2即对任意t∈R不等式3t2-2t>k恒成立,令g(t)=3t2-2t=3(t-13)2-13−13∴k<−13.故实数k的取值范围为(−∞,−13).【解析】(1)根据定义在R上的函数f(x)是奇函数,∴f(0)=0;(2)当x>0时,f(x)=.那么x<0时,-x>0,即可求解;(3)利用奇函数和单调性脱去“f”,转化为二次函数问题求解即可.本题考查的是函数奇偶性和单调性的应用,恒成立问题转化思想.22.【答案】解:(1)∵g(x)=log1x,∴y=g(mx2+2x+m)=log1(mx2+2x+m),令u=mx2+2x+m,则y=log12u,当m=0时,u=2x,y=log122x的定义域为(0,+∞),不满足题意;当m≠0时,若y=log1u的定义域为R,则△=4−4m2<0m>0,解得m>1,综上所述,m>1 …(4分)(2)y=[f(x)]2−2af(x)+3=(12)2x−2a(12)x+3=[(12)x]2−2a(12)x+3,x∈[-1,1],令t=(12)x,则t∈[12,2],y=t2-2at+3,t∈[12,2]∵函数y=t2-2at+3的图象是开口朝上,且以t=a为对称轴的抛物线,故当a<12时,t=12时, (a)=y min=134−a;当12≤a≤2时,t=a时, (a)=y min=3−a2;当a>2时,t=2时,h(a)=y min=7-4a.综上所述, (a)=134−a,a<123−a2,12≤a≤27−4a,a>2…(10分)(3)y=log1f(x2)=log1(12)x2=x2,假设存在,由题意,知n2=2nm2=2m解得n=2m=0,∴存在m=0,n=2,使得函数y=log12f(x2)的定义域为[0,2],值域为[0,4]…(12分)【解析】(1)若的定义域为R,则真数大于0恒成立,结合二次函数的图象和性质,分类讨论满足条件的实数m的取值范围,综合讨论结果,可得答案;(2)令,则函数y=[f(x)]2-2af(x)+3可化为:y=t2-2at+3,,结合二次函数的图象和性质,分类讨论各种情况下h(a)的表达式,综合讨论结果,可得答案;(3)假设存在,由题意,知解得答案.本题考查的知识点是对数函数的图象和性质,熟练掌握对数函数的图象和性质,是解答的关键.。
九江一中2017-2018学年上学期期末考试高一数学试卷一、选择题:本题共12小题,每小题5分,共60分.在每小题给出的四个选项中,只有一项是符合题目要求的•1. 已知集合-■ - :, 2—」人,那么"等于()A. B. C. D.【答案】A【解析】.1 :.:「”_「:二:二■.匚::'I : - P= ,选 A. 2. 若直线- 与直线垂直,则的倾斜角为()3A. -B.C. 3D. 1【答案】B【解析】因为直线:-—.:-!与直线垂直,所以i.M : I 〔!■;.n II ■■ ■■ ■ i:、,选B3. 已知.1J ' ■■: 二-=产,则o;的大小关系是()A. a < c < bB. b < a < cC. a < b < cD. b < c < a【答案】B【解析I 一二'■". ' ;•、,选B4. 函数=^ 的单调减区间为()I 1 1A. ()B. ()C.D.【答案】D【解析】由题意得> ::'•:.::-.,即单调减区间为」■--,选D25. 函数有几个零点()A. 3个B. 2 个C. 1 个D. 0 个【答案】C【解析】做)在(-皿)上单调递增,fif(-l) = | > 0,f(-2) = <0 '所以函数f(x)二3X- log2(-X)有且仅有一个零点・选G6.设n ,1是两条不同的直线, ,■是两个不同的平面,下列说法正确的是()A. 若Um riB. 若二丄,则 III 门C.若:”’,门 口,^9:1 :…D. 若:ii : ,,;_:•,则:.「-!:•【答案】B【解析】若山,则:|■■或:】:,I 】异面;若:::丄,则厂J 若i 门‘;,则n ,'i 位置关系不定;若丄,则.位置关系不定,选 B7.已知一个几何体的三视图如图所示,则这个几何体的体积是()【解析】几何体为一个圆柱去掉一个内接圆锥,所以体积为B. 8.三棱锥「-d ,八1二面 W ,「’ — Z I ■■' J. ;■ ■■则该三棱锥外接球的 表面积为( )A. d.iB. :C. ■■■D.【答案】C【解析】将三棱锥补成一个长方体,长宽高为 2,2,\,,则该三棱锥外接球的直径为长方体对角线长,即 %•:•;〉•=1、 「i ,选 C.点睛:空间几何体与球接、切问题的求解方法(1)求解球与棱柱、棱锥的接、切问题时,一般过球心及接、切点作截面,把空间问题转化为平面图形与圆的接、切Mm 憎10【答案】B问题,再利用平面几何知识寻找几何中元素间的关系求解.⑵ 若球面上四点构成的三条线段”.F2K:两两互相垂直,且-般把有关元素“补形”成为一个球内接长方体,利用,;' = :「::厂• J求解.9. 若函数在上是单调递增函数,则的取值范围为()|-x + 2ax-3x < IA. J •八B.C.D. |【答案】Ba-1 >】【解析】由题意得,日Ml =>2 < a < 3 ,选B,a-l > -J + 2a-3点睛:已知函数的单调性确定参数的值或范围要注意以下两点:(1)若函数在区间I' -|上单调,则该函数在此区间的任意子区间上也是单调的;(2)分段函数的单调性,除注意各段的单调性外,还要注意衔接点的取值;(3)复合函数的单调性,不仅要注意内外函数单调性对应关系,而且要注意内外函数对应自变量取值范围10. 已知点『:—-;.-「,直线I 1!.>: - :I •与线段.相交,则直线的斜率.的取值范围是()A. I-.或卜B. -仆—丨C. - -1D. I A 4【答案】A【解析】由题意得;】二."二:I I:]:TI 二4或m直线的斜率•- - hl,所以⑴-或“,即山宫二或::1,选A.11. 已知圆:厂【打=勺,点F为直线' 1上一动点,过点F向圆引两条切线,-为切点,则直线-经过定点()A. B. C. D.【答案】C【解析】设冃.「-阮」':,则切点弦AB方程为所以由: f-n•匸得,经过定点,选C点睛:圜的切线问题・一般利用圆心到切线距离等于半径进行求解' —般有圆/ = r在点(叱旳)处切线方程为噺+ y o y = r2;圆中切点弦问题■可得根据两圆位置关系求解,一般有过点(叱旳所作圆x2 + v2 = r 两条切线的切点弦方程为心+ yoy = r212. 已知函数,若关于的方程:I七有个不同根,则实数的取值范围是()U(-oo, -2)c. C2.聖]D.(一卩-2)U(2.十g)6【解析】令i.忙;:.一匸.:;,由图可知,i.:h I」有两个大于零且不大于6的不等的实b[尹伽) 的、根,因此-=「:、,选C.A = b -4>0 6【3 百-6b+ 1 <0点睛:已知函数有零点求参数取值范围常用的方法和思路(1) 直接法:直接根据题设条件构建关于参数的不等式,再通过解不等式确定参数范围;(2) 分离参数法:先将参数分离,转化成求函数值域问题加以解决;(3) 数形结合法:先对解析式变形,在同一平面直角坐标系中,画出函数的图象,然后数形结合求解.二、填空题:本题共4小题,每小题5分,共20分.L13. 计算: E = .64 + lg4 + 21g5 -----------------------------【答案】61【解析】=14. 如图,已知正方体:'■ i' I 'i的棱长为2,上是棱I'1 :的中点,则异面直线“与所成角的余弦值为_______ •【答案】5【解析】L为异面直线与所成角,所以(2<2r -屈-7? 価cosZEAC = ------------- 菩―=—2 x 2^2 K^/5 515. 已知二次函数::誉=打:.:,:,:;.有最小值,且nm,若在区间|匕丨|上不单调,则n】的取值范围为______________ .【答案】2 4【解析】由题意得:-.::| 川 | 汀 ':〔?■、:■::■: ■:,L>' --x ■■:所以J:i 21'- ■.1 - _■ :i 、,对称轴为=因为在区间丄】⑴I上不单调,所以.一⑴ .J ' . in .点睛:二次函数的图象,主要有以下三个要点(1)开口(2)对称轴(3)特殊点(如与坐标轴的交点,顶点等)从这三方面入手,能准确地判断出二次函数的图象,进而研究二次函数性质16. 设点是函数:■- -'l-.的图象上的任意一点,点. :•,则尺:的最小值【答案】..【解析】函数I ■. I厂为半圆.丨厂'- ,点.在直线-■ ■■■■■ 上所以•.的最小值为圆心到直线距离减去半径,即下「丨上I点睛:与圆有关的最值问题的常见类型及解题策略⑴与圆有关的长度或距离的最值问题的解法•一般根据长度或距离的几何意义,利用圆的几何性质数形结合求解.(2) 与圆上点•有关代数式的最值的常见类型及解法•①形如型的最值问题,可转化x-a为过点I卜和点!.:的直线的斜率的最值问题;②形如.r. Z型的最值问题,可转化为动直线的截距的最值问题;③形如型的最值问题,可转化为动点到定点的距离平方的最值问题.三、解答题:共70分.解答应写出文字说明,证明过程或演算步骤•第17〜21题为必考题,每个试题考生都必须作答• 22、23题为选考题,考生根据要求作答17. 已知集合:;!:,全集| .⑵ 若.m. - ?,求实数的取值范围.【答案】(1)=1(2)【解析】试题分析:(1)先解不等式得 B,再根据数轴求 ,最后根据数轴求交集(2)由数轴得一成立的条件,解不等式可得实数的取值范围•试题解析:(1) ■ = : ■. ■/ '■ ..■ :' ■ I u ' ■ ' ' I ' 1;■- - ' [0,5](1(1,7) = (1,5]f =PI v 1(2)-门 匚 -■- -18. 设直线V • —「一订,I •严起 (1) 若直线,,交于同一点,求•的值; (2) 若直线与直线关于直线对称,求直线的方程【答案】(1) . (2)【解析】试题分析: (1)先求, 交点,再代入 即得.的值;(2)直线必过, 交点,再 在直线取一点A 求其关于直线 对称点B ,则B 在直线上,最后根据两点式求直线的方程试题解析:(1…•■-)(2)取A (1,0 )其关于直线 对称点B (x,y )12 ——I 5l:y-1 = -------- (x-0)^ 7x 十 y_ 1 =0一0519.已知圆 经过三… 两点,且圆心 在 轴上.(1) 圆的方程;(2) 若直线 汀厂,且与圆 交于点,,且以线段.为直径的圆经过坐标原点,求直线的方 程•【答案】(1):(2),. : ! 1或:一;‘-】-■_.【解析】试题分析:(1)先求PQ 中垂线方程,与 轴交点得圆心,再根据圆心到 P 点距离得半 径,最后写出圆的标准方程 (2)先设直线斜截式方程y = x 十b ,则OA 垂直OB 利用坐标表示, 再联立直y-0 1 ----- X —=—] x-1 ----- 2X + ]V-------- 2 x-+2 = 0 2 21 5125线方程与圆方程,结合韦达定理代入化简可得b,即得直线的方程.试题解析:(1 )设圆心,则J C ' 、-二 r,则:圆方程:「...+ -;(2)由于£讥,设,?- .一b,则线段.的中垂线(过圆心)为:L-sb+ I则线段•中点[,以线段.为直径的圆半径x y i y=^- ,则以线段.为直径的圆方程为:2 ^2 2b+ 1 2b- 1 (b-1)2、斗舌上- ,过原点,2 2 2b +1 , b- 1 (b-1)2卄,十、则■■,则■■■-,2 2 2所以直线I 、T . !门或…L;'.20. 如图,在直三棱柱W中,〔二-三二,点一为棱的中点.⑴求证:.―豆I ■'⑵若叮u = m,匕一_:求三棱锥r 7"'的体积.【答案】(1)见解析;(2)'3【解析】试题分析:(1)先根据等腰三角形性质得•垂直,即•垂直AB再根据直三棱柱性质得垂直AB,最后根据线面垂直判定定理得结论( 2)因为色三垂直面,所以根据锥体体积公式得三棱锥- 三二的体积,最后由等体积得三棱锥的体积. 试题解析:(1)因为.农:-兰:,点:为棱的中点,所以1■■- !■'“■- - I'-I-在直三棱柱ABC - AjB1C1中,Cq -L 面.山‘C】丄AB »'■ AB 丄面CCjM(2)在直三棱柱中,面二.1 1 1 B A1C1C1 3 23比⑴一, 2不所以:点睛:垂直、平行关系证明中应用转化与化归思想的常见类型(1) 证明线面、面面平行,需转化为证明线线平行(2) 证明线面垂直,需转化为证明线线垂直(3) 证明线线垂直,需转化为证明线面垂直21. 已知函数i!' ;—1__\ 「.■-, <100(1 )当3 -时,求函数h "的值域;(2)若函数;./ - .■':?:;-的最小值记为求I「:,的最大值.【答案】(1) (2) 4【解析】试题分析:(1)根据对数运算法则化简,并根据二次函数对称轴与定义区间位置关系求值域(2)根据二次函数对称轴与定义区间位置关系分类讨论最小值取法,再根据分段函数性质求最大值试题解析:(1 ):•:;-.:「:.:.::' .「:' | -“ 1(2) iz—.八一二7, ■ :l l令:一I八:三_'.,则工飞以-■■■ - - .■■■①当时,■■■ - >=■ 1■-②当::1 时,i「、:. J 士 : ■;1 -'■:「:③当:!I 时,乂:| 「---'f 2 日十7a < - 2所以^ : ,所以川密-1 4 - 4aa > ]22. 已知幕函数「-心二的图象过点和• •(1)求.的值;(2)求函数‘:=匚―在区间|,二讨上的值域•【答案】(1)2;(2)-【解析】试题分析:(1)根据幕函数过点(9,3 )确定解析式,再求4对应函数值,得m( 2)先求幕函数在区间上的值域,再根据指数函数单调性得值域1试题解析:(1H! : 4 4" ■(2 )■- _ ……:■■ C | .■: - .■■!23. 已知幕函数的图象过点和• •(1)求.的值;(2)求函数八:'■ . -|J,A:在区间I 上的值域.【答案】(1)64;(2)一256【解析】试题分析:(1)根据幕函数过点(2,8 )确定解析式,再求4对应函数值,得m( 2)先求幕函数在区间-l "I上的值域,再根据指数函数单调性得值域试题解析:(1)H\;f ::'" / :< ■: / - . i.- : •广:门1 s1 _! 1 (2 )…引■■: ■ P -I /-I f 引一::1...^ --I-11-- 10 -。
九江一中2017-2018学年上学期期末考试高一数学试卷注意事项:1.本试卷分第Ⅰ卷(选择题)和第Ⅱ卷(非选择题)两部分,共150分,答题时间120分钟。
答题前,考生务必将自己的姓名、考生号填写在答题卡上.2. 第Ⅰ卷(选择题)答案必须使用2B 铅笔填涂;第Ⅱ卷(非选择题)必须将答案卸载答题卡上,写在本试卷上无效.3. 考试结束,将答题卡交回,试卷由个人妥善保管.一、选择题:本题共12小题,每小题5分,共60分.在每小题给出的四个选项中,只有一项是符合题目要求的.1.已知集合()(){|220}A x N x x =∈+-<, {}1,2B =,那么A B ⋃等于A. {}0,1,2B. {}2,1C. {}2D. {}12.若直线4y x =+与直线l 垂直,则l 的倾斜角为( ) A. 30 B. 60 C. 120 D. 1503.已知330.2,log 0.2a b ==,0.23c =,则,,a b c 的大小关系是A. a c b <<B. b a c <<C. a b c <<D. b c a << 4.函数()f x =()223log x x -的单调减区间为A. (1,2∞-) B. (1,12) C. 1[,)2∞+ D. (1,)∞+5.函数()()23log xf x x =--有几个零点( )A. 3个B. 2个C. 1个D. 0个 6.设m ,n 是两条不同的直线,α,β是两个不同的平面,下列说法正确的是( )A. 若//m α, n α⊆,则//m nB. 若m α⊥, n α⊥,则//m nC. 若//m α, //n α,则//n mD. 若m α⊂, αβ⊥,则m β⊥7.已知一个几何体的三视图如图所示,则这个几何体的体积是( )A.503π B. 403π C. 203π D. 103π 8.三棱锥P ABC -,PA ABC ⊥平面 ,AC BC ⊥,2,AC BC ==PA =A. 4πB. 8πC. 16πD. 64π9.若函数()2(1) 12 3 1x a x f x x ax x ⎧-≥=⎨-+-<⎩在R 上是单调递增函数,则a 的取值范围为( )A. (1,)+∞B. (2,3]C. (2,)+∞D. [1,2)10.已知点()()2,3,2,2A B ---,直线:10l mx y m +--=与线段AB 相交,则直线l 的斜率k 的取值范围是( )A. 1k ≥或4k ≤-B. 41k -≤≤C. 1k <-D. 14k -≤≤11.已知圆C : 229x y +=,点P 为直线290x y +-=上一动点,过点P 向圆C 引两条切线,PA PB , ,A B 为切点,则直线AB 经过定点( ) A. ()4,8 B. ()2,4 C. ()1,2 D . ()9,0 12.已知函数()()2ln 0660x x f x x x x ⎧-<⎪=⎨-+≥⎪⎩,,,若关于x 的方程()()210fx bf x -+=有8个不同根,则实数b 的取值范围是( )A. 1724⎛⎤ ⎥⎝⎦, B. ()17224⎛⎤⋃-∞- ⎥⎝⎦,, C. 372]6(, D. ()()22-∞-⋃+∞,, 二、填空题:本题共4小题,每小题5分,共20分. 13.计算: 1364lg42lg5++=_______________.14.如图,已知正方体1111ABCD A B C D -的棱长为2,E 是棱1D D 的中点,则异面直线AE 与11AC 所成角的余弦值为_____. 15.已知二次函数()2f x ax bx c =++有最小值,且()()()11f x f f x -=+俯视图主视图1若()f x 在区间[]2,1m m +上不单调,则m 的取值范围为_____________.16.设点P 是函数y =点()(),3Q a a a R -∈,则PQ的最小值为__________.三、解答题:共70分. 解答应写出文字说明,证明过程或演算步骤. 第17~21题为必考题,每个试题考生都必须作答. 22、23题为选考题,考生根据要求作答.17.(本小题共12分)已知集合{|32}A x a x a =-≤≤+,2{|870}B x x x =-+≥,全集U =R .(1)当3a =时,求()C U A B ⋂;(2)若A B R ⋃=,求实数a 的取值范围.18.(本小题共12分)设直线1: 10l x y +-=, 2:220l x y -+=, 3:360l x my +-=. (1)若直线1l , 2l , 3l 交于同一点,求m 的值; (2)若直线l 与直线1l 关于直线2l 对称,求直线l 的方程.19.(本小题共12分)已知圆C 经过(3,3)P --,Q(2,2)两点,且圆心C 在x 轴上. (1)圆C 的方程;(2)若直线//l PQ ,且l 与圆C 交于点A ,B ,且以线段AB 为直径的圆经过坐标原点,求直线l 的方程.20.(本小题共12分)如图,在直三棱柱111ABC A B C -中, AC BC =,点M 为棱11A B 的中点.(1)求证: 1AB CC M ⊥平面;(2)若12AC BC CC ===,120ACB ∠= ,求三棱锥111A C B B -的体积.21.(本小题共12分)已知函数()()2 lg 2lg 10+3f x x a x -=,(1)当1a =时,求函数()f x 的值域;(2)若函数()y f x =的最小值记为()m a ,求()m a 的最大值.1A 1选做题:共10分.请考生在第22、23题中任选一题作答. 如果多做,则按所做的第一题计分.22.已知幂函数()y f x =的图象过点()4,m 和()9,3.(1)求m 的值;(2)求函数()()2f xg x =在区间[]16,36上的值域.23.已知幂函数()y f x =的图象过点()4,m 和()2,8. (1)求m 的值;(2在区间[]1,2-上的值域.九江一中2017-2018学年上学期期末考试高一数学答案一、选择题1-6ABBDCB 712B C B A C C- 第11题解析:设(9-2,)P b b ,则直线AB l :(92)9b x by -+=,即(2)99b y x x -+=, 所以定点201992y x x x y -==⎧⎧⇒⎨⎨==⎩⎩第12题解析:令()t f x =,则210t bt -+=. 方程()()210f x bf x -+=有8个不同根,则方程210t bt -+=的两根12,(0,6]t t ∈, 且12t t ≠,令2()1g t t bt =-+,二、填空题 13. 614.15.16.第16三、解答题17. (1)(1,5] (2)5a ≥18. (1)6m = (2)710x y +-=19. (1)22(1)13x y ++= (2)+40x y -=或30x y --=解析:(1)设圆心(,0)C c ,则222(3)9(2)4R c c =++=-+,则21,13c R =-= 圆C 方程:22(1)13x y ++=;(2)由于//l PQ ,设 l y x b =+:,则线段AB 的中垂线(过圆心C )为:10x y ++=,则线段AB 中点121012 b x x y b y y x b +⎧=-⎪⎧⎪⇒⎨⎨++==+-⎩⎪=⎪⎩,以线段AB 为直径的圆半径2222(1)()131322AB b r -==-=-,则以线段AB 为直径的圆方程为: 2211()((1)13)222b b x y b +---++-=,过原点,则2211(0)(0(1)132)22b b b +---++-=,则43b =-或, 所以直线 l :+40x y -=或30x y --= 20(1)证明:略;(221(1)[0,9] (2)4解析:(2)()2lg 2lg 23f x x a x a -=-+,令lg t x =,[2,1]t ∈-,则2()()223f x g t t at a ==--+ ①当2a <-时,min ()(2)27f x g a =-=+ ②当21a -≤≤时,2min ()()23f x g a a a ==--+ ③当1a >时,min ()(1)44f x g a ==-所以227 2()2 3 2 1 44 1a a m a a a a a a +<-⎧⎪=--+-≤≤⎨⎪->⎩,所以max ()4m a =选做题22(1)2;(2)[16,64]. 23.(1)64;(2。
2017-2018学年度第一学期八县(市)一中期末联考高中一年数学科试卷参考答案13.3114. (1,2,3) 15. 422=+y x 16. π8 三、解答题(17)(本题满分10分) 解:(1)三棱柱ABC-A 1B 1C 1中,因为11//CC AA 所以C BC 1∠为异面直线1AA 与1BC 所成的角………………2分 因为四边形BB 1C 1C 为正方形 所以︒=∠451C BC ,即异面直线1AA 与1BC 所成角的大小为︒45…………………4分 (2)因为1CC ⊥底面ABC ,ABC AC 平面⊂所以AC CC ⊥1,…………………………………………………………………………5分 又因为AC⊥BC ,C CC BC =1所以C C BB AC 11平面⊥,………………………………………………………………7分 所以1BC AC ⊥,又因为四边形BB 1C 1C 为正方形,所以11BC C B ⊥,又1BC AC ⊥,C AC C B = 1…………………………………9分 所以BC 1⊥平面AB 1C………………………………………………………………………10分 (18)(本题满分12分) 解:(1)因为△ABC 是以AB 为底边的等腰三角形,AB CE ⊥所以E 为AB 的中点,所以)3,2(E ……………………2分 因为1-=AB k ,所以1=CE k …………………………4分 所以直线CE :23-=-x y ,即01=+-y x所以AB 边上的高CE 所在直线的方程为01=+-y x ;…6分(2)⎩⎨⎧=+-=+-06201y x y x ,解得⎩⎨⎧==54y x 是,所以)5,4(C …7分所以直线AC :141454--=--x y ,即0113=+-y x …………………………………9分 又因为)3,0(D ,所以点D 到直线AC 的距离510102==d ………………………10分 又10=AC ………………………11分所以110*510*2121==*=∆d AC S ACD ………………………12分 19.(本题满分12分)解:(1)当O 为AD 中点时,有POB CD 平面//,理由如下:………1分 因为O 为AD 中点时,BC AD AD BC 2,//=,所以CD OD CD OD =且,//,所以四边形OBCD 为平行四边形,………………3分 所以CD BO //,又PBO CD PBO BO 平面平面⊄⊂, 所以POB CD 平面//………………………………5分 (2)证明:因为在PAD ∆中,2,2===AD PD PA ,所以222AD PD PA =+,所以PD PA ⊥………………………………6分因为侧面PAD ⊥底面ABCD , AD ABCD PAD =平面平面 ,AD AB ⊥, 所以PAD A 平面⊥B ,………………………………8分 又PAD PD 平面⊂所以D A P B ⊥,又PD PA ⊥,A PA AB = 所以PAB PD 平面⊥………………………………10分 又因为PCD PD 平面⊂所以PCD PAB 平面平面⊥………………………………12分20.(本题满分12分) 解:(1) 2522)1(=+=a f ,∴a=1 ………………………………2分 (2) 任取120x x <<,则11121()()(2)2x x f x f x -=+221(2)2x x -+21121222(22)22x x x x x x -=-+⋅121212(21)(22)2x x x x x x ++-=- . ………………………………5分120,x x << 12122x x ∴<<,1221x x +> ,∴ 12()()0f x f x -< ∴ 12()()f x f x <,∴f (x )在(0,+∞)上是增函数. ………………………………8分(3) 17(0)2,(2)4f f ==,5(1)2f -= ,()f x 在[-1,0]为减函数,在[0,2]为增函数, ∴()f x 的值域为[2,174] ………………………………12分 21.(本题满分12分) (Ⅰ)法一:连接AC ,设,ACBD O =四边形ABCD 为矩形,则O 为AC 的中点. …………2分在ASC ∆中,E 为AS 的中点,,//OE SC ∴………………………………4分又⊂OE 平面BDE ,⊄SC 平面BDE ,//SC ∴平面BDE .………………………………6分法二:如图,将三菱锥ABCD S -补形为三菱柱DCP ABS - 取DP 的中点F ,连接,,,FS FE FC∴ES DF // 四边形DESF 为平行四边形,.//DE FS ∴.//BE CF ∴又DE ⊂平面,BDE FS ⊄平面,BDE//FS ∴平面.BDE ………………………………2分//EF BC ,∴四边形BCFE 为平行四边形,//CF BE ∴ ,又因为BE ⊂平面,BDE CF ⊄平面BDE ,//CF ∴平面BDE , ………………………………4分⊂=FS F CF FS , 平面⊂CF SCF ,平面,SCF∴平面//BDE 平面.SCF又⊂SC 平面,SCF//SC ∴平面.BDE ………………………………6分(Ⅱ)法一:AB BC ⊥ 且,,B SB AB SB BC =⊥⊥∴BC 平面SAB ,又⊥∴AD AD BC ,//平面.SAB ………………………………8分//SC 平面BDE ,∴点C 与点S 到平面BDE 的距离相等.SBE D BD E S BD E C V V V ---==∴在ABC ∆中,,32,2===AB SB SA.313221=⨯⨯=∴∆ABS S E 为AS 中点,.2321==∴∆∆ABS BES S S ………………………………10分 又点D 到平面BES 的距离为.AD11333D BES BES V S AD -∆∴=⋅==,23=∴-BDE C V 即三菱锥BDE C -的体积为.23………………………………12分法二:过E 作,AB EH ⊥垂足为.H,,,BC AB BC SB AB SB B ⊥⊥=⊥∴BC 平面,ABS⊂EH 平面,ABS,BC EH ⊥∴又,,B BC AB AB EH =⊥⊥∴EH 平面.ABCD ………………………………9分在SAB ∆中,取AB 中点M ,连接SM ,则AB SM ⊥,1=∴SM,2121,21//==∴SM EH SM EH ,3332321=⨯⨯=∆BCD S.2321333131=⨯⨯=⋅==∴∆--EH S V V BCD BCD E BDE C所以三棱锥BCE C -的体积为.23………………………………12分 22(本题满分12分) 解:(1)圆C 的标准方程为3)2(22=-+y x ………………………………1分 ⅰ当直线l 的斜率不存在时,直线l 的方程为1-=x ,此时22=AB 满足题意;………………………………2分ⅱ当直线l 的斜率存在时,设直线l 的方程为)1(1+=+x k y ,即01=-+-k y kx 因为22=AB ,所以圆心C 到直线l 的距离123=-=d ………………………3分所以,1132=+-=k k d ,解得34=k ,………………………………4分 则直线l 的方程为0134=+-y x所以所求直线l 的方程为1-=x 或0134=+-y x ………………………………5分(2)设),(00y x P ,32-=PC PT ,因为PM PT =,所以20202020)1()1(3)2(+++=--+y x y x ………………………………6分化简得016200=++y x ,所以点),(00y x P 在直线0162=++y x ………………………………7分 当PT 取得最小值时,即PM 取得最小值,即为点)1,1(--M 到直线0162=++y x 的距离,………………………8分 此时直线PM 垂直于直线0162=++y x ,所以直线PM 的方程为0426=+-y x ,即023=+-y x ………………………10分由⎩⎨⎧=+-=++0230162y x y x ,解得⎪⎪⎩⎪⎪⎨⎧=-=2012013y x , 所以点P 的坐标为)201,2013(-………………………………12分。
九江一中2017-2018学年高三第一次月考数学(文科)试卷满分:150分 时间:120分钟第Ⅰ卷(选择题60分)一、选择题:本大题共12小题,每小题5分,共60分.在每小题给出的四个选项中,只有一项是符合题目要求的.1已知复数21iz i-=+,则z 所对应的点在复平面内所在的象限是( ) A.第一象限 B.第二象限 C.第三象限 D.第四象限2 {}2|450A x x x =--≤,{}|||2B x x =≤,则AB = ( )A.[]2,5-B.[2,2]-C.[]1,2-D. [2,1]-- 3 已知向量(2,1),(1,2)a b ==,则,a b 夹角的余弦值是( )A.35 B.45 C.34 D.124函数()f x )A. 5[,]66ππB. [,6]6πC. 5[,6]6πD.[0,]6π5在锐角ABC △中,角C B A ,,所对的边分别为a b c ,,,若sin A =,2a =,cos +cos =2cos c B b C a B ,则b 的值为( )A.4 C.4 D.46已知函数sin 3y x πω⎛⎫=+⎪⎝⎭向右平移3π个单位后,所得的图像与原函数图像关于x 轴对称,则ω的最小正值为( )A .1B .2C .52 D .37已知点E 是ABC ∆所在平面内一点,且1123AE AB AC =+,则ABE ABCSS ∆∆=( ) A.12 B. 13 C. 23 D.148已知等差数列{}n a 的前n 项的为n S ,若32,12n n S S ==,则=n S 4( ) A .16 B .18 C .20 D .229若函数2()sin sin 2f x x x x πωωω⎛⎫=++⎪⎝⎭(0ω>)的最小正周期为π,则()f x 在区间203,π⎡⎤⎢⎥⎣⎦上的值域为( )A .3[0]2,B .13[]22,- C .1[1]2,- D .31[]22,-10设定义在R 上的偶函数()y f x =,满足对任意t ∈R 都有()(2)f t f t =-,且[0,1]x ∈ 时,()2()ln e f x x =-+,则(2017)f 的值等于( )A.ln(e 1)-+B.ln(4e)-+C.1-D.1ln(e )4-+11已知,,A B C三点在曲线y 上,其横坐标依次为1,,4(14)m m <<,当ABC ∆ 的面积最大时,m 的值为 ( )A .94B .32C .52D . 3 12已知,,A B C 是单位圆上互不相同的三点,且满足||||AB AC =,则AB AC ⋅的最小值为( )A .14-B .12-C .34- D .1-第Ⅱ卷(非选择题90分)本卷包括必考题和选考题两部分.第13-21题为必考题,每个试题考生都必须作答.第22-24题为选考题,学生根据要求作答.二、填空题:本大题共4小题,每小题5分,共20分.13已知函数2log ,1()24,1xx x f x x ->⎧=⎨+≤⎩,则1(())2f f = 14已知向量a ,b 的夹角为120,且||2a =,||1b =, 2a b += 15已知11sin(),sin()23αβαβ+=-=,那么5tan )tan log (αβ的值是 . 16若函数()sin f x x a x =+在R 上为单调递增,则实数a 的取值范围为____ 三、解答题:本大题共6小题,共70分.解答应写出文字说明,证明过程或演算步骤.17(本小题满分12分)在ABC ∆中,角,,A B C 所对的边分别为,,a b c ,已知2cos()cos a b A C c C++= (Ⅰ)求角C 的大小,(Ⅱ)若2c =,求ABC ∆面积的最大值.18(本小题满分12分)已知数列{}n a 各项均为正数,其前n 项和为n S ,且11,a =12n nnaa S +=,*n N ∈(Ⅰ)求数列{}n a 的通项公式; (Ⅱ)求数列{}2na n ⋅的前n 项和nT .19.(本小题满分12分)中石化集团通过与安哥拉国家石油公司合作,获得了安哥拉深海油田区块的开采权,集团在某些区块随机初步勘探了部分口井,取得了地质资料.进入全面勘探时期后,集团按网络点来布置井位进行全面勘探.由于勘探一口井的费用很高,如果新设计的井位与原有井位重合或接近,便利用旧井的地质资料,不必打这口新井.以节约勘探费用.勘探初期数据资料见下表:(I )1~6号旧井位置线性分布,借助前5组数据求得回归直线方程为 6.5y x a =+,求a ,并估计y 的预报值;(II )现准备勘探新井7(1,25),若通过1、3、5、7号井计算出的,b a $$的值与(I )中,b a 的值差不超过10%,则使用位置最接近的已有旧井()61,y ,否则在新位置打开,请判断可否使用旧井?(442121212122111,,94,945ni ii i i i ni i i xi x y nx yb a y bx x x y xn =----===-==-==-∑∑∑∑$$$)(III )设出油量与勘探深度的比值k 不低于20的勘探并称为优质井,那么在原有的出油量不低于50L 的井中任意勘察3口井,求恰有2口是优质井的概率.20.(本小题满分12分)如图,已知椭圆:C 22221(0)x y a b a b +=>>,离心率e =,00(,)M x y 是椭圆上的任一点,从原点O 向圆M :()()22002x x y y -+-=作两条切线,分别交椭圆于点,P Q .(Ⅰ)若过点(0,),(,0)b a -(Ⅱ)在(Ⅰ)的条件下,若直线,OP OQ 的斜率存在,并记为12,k k .试问12k k 是否为定值?若是,求出该值;若不是,说明理由.21.(本小题满分12分)已知函数221()ln ,(),,2f x x mxg x mx x m R =-=+∈令()()()F x f x g x =+.(Ⅰ)当12m =时,求函数()f x 的单调区间及极值; (Ⅱ)若关于x 的不等式()1F x mx ≤-恒成立,求整数..m 的最小值.四 请考生在第22-23题中任选一题作答,如果多做,则按所做的第一题计分. 22.(本小题满分10分)选修44-:坐标系与参数方程已知曲线C 的极坐标方程是2π4cos()103ρρθ---=.以极点为平面直角坐标系的原点,极轴为x 轴的正半轴建立平面直角坐标系,直线l的参数方程是cos ()sin x t t y t αα=⎧⎪⎨=⎪⎩为参数.(Ⅰ)将曲线C 的极坐标方程化为直角坐标方程;(Ⅱ)若直线l 与曲线C 相交于A 、B两点,且||AB =,求直线的倾斜角α的值.23.(本小题满分10分)选修45-:不等式选讲 已知函数()3 2.f x x x =--+(Ⅰ)若不等式()1f x m ≥-有解,求实数m 的最小值M ;(Ⅱ)在(1)的条件下,若正数,a b 满足3a b M +=-,证明:313b a+≥解:(1)由2π4cos()103ρρθ---=得圆C的方程为22(1)(5x y -+=……………………………………………4分 (2)将cos sin x t y t αα=⎧⎪⎨=⎪⎩代入圆的方程得22(cos 1)(sin )5t t αα-+=…………5分化简得22cos 40t t α--=……………………………………………………………6分设A B 、两点对应的参数分别为12t t 、,则12122cos 4t t t t α+=⎧⎨=-⎩………………………7分所以12||||AB t t =-===……………………8分所以24cos 2α=,cos α=,π3π44αα==或…………………………………10分23.解:(Ⅰ)因为()()32325x x x x --+≤--+=所以15m -≤,解得46m -≤≤,故4M =- ----------5分(Ⅱ)由(Ⅰ)得34a b +=所以()311311933344ab a b b a b a ba ⎛⎫⎛⎫+=⨯+⨯+=⨯+++ ⎪ ⎪⎝⎭⎝⎭1634⎛⎫≥= ⎪ ⎪⎝⎭,当且仅当9a b b a =即32a b ==时等号成立17解析 1,(1)22n n n a n T n +==-+18.(1)∵A+C=π﹣B ,即cos (A+C )=﹣cosB , ∴由正弦定理化简已知等式得:=,整理得:2sinAcosC+sinBcosC=﹣sinCcosB ,即﹣2sinAcosC=sinBcosC+cosBsinC=sin (B+C )=sinA , ∵sinA≠0, ∴cosC=﹣, ∵C 为三角形内角,∴C=;(Ⅱ)∵c=2,cosC=﹣,∴由余弦定理得:c2=a2+b2﹣2abcosC,即4=a2+b2+ab≥2ab+ab=3ab,∴ab≤,(当且仅当a=b时成立),∵S=absinC=ab≤,∴当a=b时,△ABC面积最大为,此时a=b=,则当a=b=时,△ABC的面积最大为.解:解:(Ⅰ)因为离心率2e =,所以2c a =,而222c a b =- ……1分所以22212a b a -=,即222a b = ①……2分设经过点(0,),(,0)b a -的直线方程为1x ya b+=- 即0bx ay ab --==22222a b a b =+② ……3分由①②得2263a b ⎧=⎪⎨=⎪⎩……5分所以椭圆的方程为22163x y += ……6分(Ⅱ)解:因为直线12:,:OP y k x OQ y k x ==, 与圆M 相切,由直线和圆相切的条件: d r =,==……7分平方整理,可得222101000(2)220k x k x y y -++-=,222202000(2)220k x k x y y -++-=,……9分所以12,k k 是方程2220000(22)220k x kx y y -++-=的两个不相等的实数根,20122022y k k x -=-,因为点00(,)R x y2013y +=,即22200013(1)362x y x =-=-,所以212201231222x k k x -+==--为定值;所以整数m 的最小值为2.……12分法二(Ⅱ)由()1F x mx ≤-恒成立知22(ln 1)(0)2x x m x x x++≥>+恒成立……7分 令22(ln 1)()(0)2x x h x x x x++=>+,则'222(1)(2ln )()(2)x x x h x x x -++=+……9分令()2ln x x x ϕ=+,因为11()ln 4022ϕ=-<,(1)10ϕ=>,则()x ϕ为增函数 故存在01(,1)2x ∈,使0()0x ϕ=,即002ln 0x x +=……10分当012x x <<时,'()0h x >,()h x 为增函数 当0x x <时,'()0h x <,()h x 为减函数……11分所以00max 020002ln 221()()2x x h x h x x x x ++===+,而01(,1)2x ∈,所以01(1,2)x ∈ 所以整数m 的最小值为2.PE DCBA。
5.方茴说:“那时候我们不说爱,爱是多么遥远、多么沉重的字眼啊。
我们只说喜欢,就算喜欢也是偷偷摸摸的。
”6.方茴说:“我觉得之所以说相见不如怀念,是因为相见只能让人在现实面前无奈地哀悼伤痛,而怀念却可以把已经注定的谎言变成童话。
”7.在村头有一截巨大的雷击木,直径十几米,此时主干上唯一的柳条已经在朝霞中掩去了莹光,变得普普通通了。
8.这些孩子都很活泼与好动,即便吃饭时也都不太老实,不少人抱着陶碗从自家出来,凑到了一起。
9.石村周围草木丰茂,猛兽众多,可守着大山,村人的食物相对来说却算不上丰盛,只是一些粗麦饼、野果以及孩子们碗中少量的肉食。
1.“噢,居然有土龙肉,给我一块!”江西九江市高一上学期期末数学试卷一.选择题:本大共12小题,每小题5分,共60分;在每小题的四个选项中只有一个是正确的;。
1、下列各式正确的是 ( B )A 、{}210x x ⊆≤B 、{}{}210x x ⊆≤C 、{}10x x ∅∈≤D 、{}10x x ∅⊂≤2、已知(){}(){},21,,3A x y y x B x y y x ==+==+,则A B = ( B ) A 、B B 、(){}2,5 C 、∅ D 、{}2,53、直线0133=+-x y 的倾斜角是 ( A ) A 、6π B 、 3π C 、4π D 、65π4、 设,αβ是两个不同的平面,l 是一条直线,以下命题正确的是 ( C ) A.若,l βαα⊥⊥,则l ∥βB.若//,//l l βα,则α∥βC.若,//l ααβ⊥,则l β⊥ D.若//,l ααβ⊥,则l β⊥ 5、8.函数2()ln f x x x=-的零点所在的大致区间是( C ) A .(1,2) B .(e ,3) C .(2,e ) D .(e,+∞)6、图1是偶函数()y f x =的局部图象,根据图象 所给信息,下列结论正确的是( C ) A .(1)(2)0f f --> B .(1)(2)0f f --= C .(1)(2)0f f --< D .(1)(2)0f f -+<7、已知函数1)f x x =-,则函数()f x 的表达式为图15.方茴说:“那时候我们不说爱,爱是多么遥远、多么沉重的字眼啊。
绝密★启用前江西省九江一中2018-2019学年高一上学期期末考试数学试题考试时间:120分钟 总分:150分注意事项:1 本试卷分第Ⅰ卷(选择题)和第Ⅱ卷(非选择题)两部分,共150分,答题时间120分钟。
答题前,考生务必将自己的姓名、考生号填写在答题卡上.2 第Ⅰ卷(选择题)答案必须使用2B 铅笔填涂:第Ⅱ卷(非选择题)必须将答案写在答题卡上,写在本试卷上无效.3 考试结束,将答题卡交回,试卷由个人妥善保管.第Ⅰ卷(选择题60分)一、选择题:本大题共12小题,每小题5分,共60分.在每小题给出的四个选项中,只有一项是符合题目要求的.1.设全集U =R ,集合2{|20,},{1,0,2}A x x x x R B =+=∈=-,则()U C A B =( ) A. {}1- B .{}1,2- C .{}2,0- D .{}2,1,0,2--2.直线30x +=的倾斜角为( ) A. 6π B. 3π C. 23π D. 56π3.函数1()f x x =的定义域为( ) A.(,1]-∞ B. (,0)-∞ C. (,0)(0,1]-∞ D. (0,1]4.已知直线1:210l x y -+=与直线2:30l x ky +-=平行,则实数k 的值为( )A. 2-B.2C.12-D. 125.已知,m n 是两条不同直线,,,αβγ是三个不同平面,下列命题中正确的是( )A.若//,//m n αα,则//m nB.若,αγβγ⊥⊥,则//αβC.若//,//m n αβ,则//αβD.若,m n αα⊥⊥,则//m n6.函数22,0()21,0x x x x f x x ⎧--≤⎪=⎨+>⎪⎩的零点个数为( ) A.3 B.2 C.1 D.07.若点(1,3)A -关于直线0x y -=的对称点为B ,则点B 到直线:330l x y +-=的距离为( )A. 10B. 2C. 28.设0.212230.3,log 4,log (log a b c ===,则( )A .a b c <<B .a c b <<C .c a b <<D .b c a <<9.一个几何体的三视图如图所示,其左视图是等边三角形,该几何体的侧面中面积最大的侧面的面积等于( )C. 210.若函数2()log (2)a f x x ax =-+在区间(0,1]上单调递减,则实数a 的取值范围是( )A. [2,3)B.(2,3)C.[2,)+∞D. (2,)+∞11.如图,在四棱锥P ABCD -中PA ⊥底面A B C D ,四边形ABCD 为正方形,E 为CD 中点,F 为PA 中点,且2PA AB ==.则三棱锥P BEF -的体积为( ) A. 13 B. 23 C. 43 D. 212.定义在(2,2)-上的函数()f x 满足()(),(2)()f x f x f x f x -=--=,且(1,0)x ∈-时,1()22x f x =+,则()0f x x +<的解集为( ) A.(2,1)(1,2)-- B. (2,1)(0,1)-- C.(1,0)(1,2)- D.(1,0)(0,1)-第Ⅱ卷(非选择题90分)二、填空题:本大题共4小题,每小题5分,共20分.俯视图 FEPDC B A。
江西省2017—2018学年高一数学上学期期末考试试卷(一)(考试时间120分钟满分150分)一、单项选择题:本大题共14小题,每小题5分,共60分,在每小题给出的四个选项中,只有一项符合题目要求.1.如果集合A={x|x>﹣1},那么()A.0⊆A B.{0}∈A C.∅∈A D.{0}⊆A2.已知向量=(3,1),=(2k﹣1,k),⊥,则k的值是()A.﹣1 B.C.﹣ D.3.化简等于()A.B.C.3 D.14.下列函数中,在(0,π)上单调递增的是()A.y=sin(﹣x) B.y=cos(﹣x) C.y=tan D.y=tan2x5.若函数f(x)=lnx+2x﹣3,则f(x)的零点所在区间是()A.(0,1) B.(1,2) C.(2,3) D.(3,4)6.设sinα=﹣,cosα=,那么下列的点在角α的终边上的是()A.(﹣3,4)B.(﹣4,3)C.(4,﹣3)D.(3,4)7.函数y=sin2(x+)+cos2(x﹣)﹣1是()A.周期为2π的偶函数B.周期为2π的奇函数C.周期为π的偶函数D.周期为π的奇函数8.“龟兔赛跑”讲述了这样的故事:领先的兔子看着慢慢爬行的乌龟,骄傲起来,睡了一觉,当它醒来时,发现乌龟快到终点了,于是急忙追赶,但为时已晚,乌龟还是先到达了终点…,用S1、S2分别表示乌龟和兔子所行的路程,t为时间,则下图与故事情节相吻合的是()A.B.C.D.9.函数f(x)=的定义域为()A.[1,2)∪(2,+∞)B.(1,+∞)C.[1,2) D.[1,+∞)10.若幂函数f(x)=x m﹣1在(0,+∞)上是增函数,则()A.m>1 B.m<1 C.m=1 D.不能确定11.已知,满足:||=3,||=2,||=4,|﹣|=()A.B.C.3 D.12.已知f(x)是定义在R上的奇函数,则f(0)=()A.0 B.1 C.﹣1 D.不存在13.要得到函数y=cos2x的图象,只需把函数y=cos(2x﹣)的图象()A.向左平移个长度单位B.向右平移个长度单位C.向右平移个长度单位D.向左平移个长度单位14.已知f(x)是偶函数,它在[0,+∞)上是减函数,若f(lgx)>f(1),则x的取值范围是()A.B.C.D.(0,1)∪(10,+∞)二、填空题(本大题共5小题,每小题4分,共20分)15.已知点A(2,4),向量,且,则点B的坐标为.16.已知函数f(x)=则f(2)=.17.函数的定义域是,单调递减区间是.18.函数y=Asin(ωx+ϕ)(A>0,0<φ<π)在一个周期内的图象如图,此函数的解析式为.19.有下列命题:①函数f(﹣x+2)与y=f(x﹣2)的图象关于y轴对称②若函数f(x)=e x,则对任意的x1,x2∈R,都有③若函数f(x)=log a|x|(a>0,a≠1)在(0,+∞)上单调递增,则f(﹣2)>f(a+1)④若函数f(x+2013)=x2﹣2x﹣1(x∈R),则函数的最小值为﹣2其中正确的序号是.三、解答题(6大题,共70分.解答须写出必要的文字说明.证明过程及演算步骤)20.已知全集U={x|1<x<7},A={x|2≤x<5},B={x|3x﹣7≥8﹣2x}求A∩B及∁U A.21.已知集合A={x|x2﹣4=0},集合B={x|ax﹣2=0},若B⊆A,求实数a的取值集合.22.已知函数f(x)=.(1)求f(﹣4),f(3),f[f(﹣2)]的值;(2)若f(a)=0,求a的值.23.已知函数y=4cos2x+4sinxcosx﹣2,(x∈R).(1)求函数的最小正周期;(2)求函数的最大值及其相对应的x值;(3)写出函数的单调增区间.24.已知=(2sinx,m),=(sinx+cosx,1),函数f(x)=•(x∈R),若f(x)的最大值为.(1)求m的值;(2)若将f(x)的图象向左平移n(n>0)个单位后,关于y轴对称,求n的最小值.25.已知,,当k为何值时,(1)与垂直?(2)与平行?平行时它们是同向还是反向?26.已知函数f(x)=x2+2ax+2,x∈[﹣5,5].(Ⅰ)当a=﹣1时,求函数f(x)的最大值和最小值;(Ⅱ)求实数a的取值范围,使y=f(x)在区间[﹣5,5]上是单调函数.27.已知函数f(x)=log a(a>0,a≠1,m≠1)是奇函数.(1)求实数m的值;(2)判断函数f(x)在(1,+∞)上的单调性,并给出证明;(3)当x∈(n,a﹣2)时,函数f(x)的值域是(1,+∞),求实数n与a的值.参考答案一、单项选择题:1.D2.B3.A4.C.5.B.6.C.7.D.8.B.9.A 10.A.11.D.12.A.13.A.14.B.二、填空题15.答案为(8,12).16.答案为0.17.答案为:(﹣∞,0)∪(2,+∞);(2,+∞).18.答案为:y=2sin(2x+)19.答案为:②④.三、解答题20.解:∵全集U={x|1<x<7},A={x|2≤x<5},B={x|3x﹣7≥8﹣2x}={x|x≥3}∵A∩B={x|2≤x<5}∩{x|x≥3}={x|3≤x<5},C U A={x|1<x<2或5≤x<7}.21.解:x2﹣4=0⇒x=±2,则A={2,﹣2},若B⊆A,则B可能的情况有B=∅,B={2}或B={﹣2},若B=∅,ax﹣2=0无解,此时a=0,若B={2},ax﹣2=0的解为x=2,有2a﹣2=0,解可得a=1,若B={﹣2},ax﹣2=0的解为x=﹣2,有﹣2a﹣2=0,解可得a=﹣1,综合可得a的值为1,﹣1,0;则实数a的取值集合为{1,﹣1,0}.22.解:(1)函数f(x)=.f(﹣4)=﹣4+2=﹣2,f(3)=6,f[f(﹣2)]=f(0)=0.(2)函数f(x)=.f(a)=0,a+2=0,解得a=0.23.解:(1)∵y=4cos2x+4sinxcosx﹣2=2(1+cos2x)+2sn2x﹣2=2sin2x+2cos2x=4(sin2x+cos2x)=4sin(2x+),∴其最小正周期T==π;(2)当2x+=2kπ+(k∈Z),即x=kπ+(k∈Z)时,y max=4;(3)由2kπ﹣≤2x+≤2kπ+(k∈Z),得﹣+kπ≤x≤+kπ(k∈Z),∴函数y=4cos2x+4sinxcosx﹣2的单调增区间为[﹣+kπ, +kπ](k∈Z).24.解:(1)f(x)==2sin2x+2sinxcosx+m=1﹣cos2x+sin2x+m=sin(2x﹣)+m+1∵f(x)的最大值为,而sin(2x﹣)最大值是,m+1是常数∴m+1=0,m=﹣1(2)由(1)知,f(x)=sin(2x﹣),将其图象向左平移n个单位,对应函数为y=sin[2(x+n)﹣]平移后函数图象关于y轴对称,则该函数为偶函数,表达式的一般形式是y=sin(2x++kπ)(k∈Z)要使n取最小正数,则对应函数为y=sin(2x+),此时n=25.解:k=(1,2)﹣3(﹣3,2)=(10,﹣4)(1),得=10(k﹣3)﹣4(2k+2)=2k ﹣38=0,k=19(2),得﹣4(k﹣3)=10(2k+2),k=﹣此时k(10,﹣4),所以方向相反.26.解:(Ⅰ)a=﹣1,f(x)=x2﹣2x+2=(x﹣1)2+1;∵x∈[﹣5,5];∴x=1时,f(x)取最小值1;x=﹣5时,f(x)取最大值37;(Ⅱ)f(x)的对称轴为x=﹣a;∵f(x)在[﹣5,5]上是单调函数;∴﹣a≤﹣5,或﹣a≥5;∴实数a的取值范围为(﹣∞,﹣5]∪[5,+∞).27.解:(1)由已知条件得f(﹣x)+f(x)=0对定义域中的x均成立.所以,即,即m2x2﹣1=x2﹣1对定义域中的x均成立.所以m2=1,即m=1(舍去)或m=﹣1.(2)由(1)得,设,当x1>x2>1时,,所以t1<t2.当a>1时,log a t1<log a t2,即f(x1)<f(x2).所以当a>1时,f(x)在(1,+∞)上是减函数.同理当0<a<1时,f(x)在(1,+∞)上是增函数.(3)因为函数f(x)的定义域为(﹣∞,﹣1)∪(1,+∞),所以①:n<a﹣2<﹣1,0<a<1.所以f(x)在(n,a﹣2)为增函数,要使值域为(1,+∞),则(无解)②:1<n<a﹣2,所以a>3.所以f(x)在(n,a﹣2)为减函数,要使f(x)的值域为(1,+∞),则,所以,n=1.。
2017-2018学年度九江一中高一第一次月考数学试卷第I 卷(选择题)一、选择题(本大题共12小题,每小题5分,在每小题给出的四个选项中,只有一项是符合题目要求的.)1.已知I ={0,1,2,3,4,5,6,7,8,9},M ={1,2,4,5},N ={0,3,5,7},则()I C M N =( )A .{5,7}B .{6,8,9}C .{4,6,7}D .{1,3,5,6,8}2.集合{}2320A x x x =-+={}06,B x x x N =<<∈,则满足A C B ⊆⊆的集合C 的个数为( )A .6B .2C .8D .4 3.下列对应是集合A 到集合B 的映射的是( )A .A N = .+=NB .3:-→x x fB .{}平面内的圆=A .{}平面内的三角形=B .作圆的内接三角形:f C .{}20≤≤=x x A .{}60≤≤=y y B .x y x f 21:=→ D .{}0,14A =, .{}2,1,0,1,2B =-- .中的数开平方A f :4.函数y =的单调增区间是( )A.(,2]-∞-B.[5,2]--C.[2,)-+∞D.[2,1]-5.已知集合{}20,,58A m m m =-+且2A ∈,则实数m 的值为( )A .2B .3C .3或2D .0,3,26.在函数 ([2,2])y x x =∈-的图像上有一点(,)P t t ,此函数的图像与x 轴、直线2x =-及=x t 围成的图形(如图阴影部分)的 面积为S ,则S 与t 的函数关系图像可表示为 ( )7.一元二次方程0122=-+-m mx x 的两个实数根分别是21,x x ,且221214x x +=,则m 的值是( )A .6B .-2C .-6D .6或-28.设函数⎪⎩⎪⎨⎧=≠-+=1,11,12)(x x x x x f 则1234031()()()()2016201620162016f f f f ++++ 的值为( )A .2016B .2015C .4031D .40329.已知函数247y x x =-+在闭区间[1,]m -上有最大值12,最小值3,则m 的取值范围是( )A . C .(-∞,5] D .10.若函数2(1)3,1()4,1a x ax a x f x ax x ⎧++-≥=⎨+<⎩是R 上的减函数,则实数a 的取值范围是( )A .0a <B .1a <-C .21a -≤≤-D .312a -≤≤- 11.设A 是整数集的一个非空子集,对于A k ∈,如果1,1k A k A -∉+∉,那么k 是A 的一个“孤立元”给定{}1,2,3,4,5,6A =,则A 的所有子集中,全是“孤立元”的集合的个数为( )A .13B .20C .17D .1912.已知函数2()+2f x ax x a =+,()+2g x x =,若对于任意实数, ()x f x 与)(x g 至少有一个为正数,则实数a 的取值范围是 ( ) A .112a <≤ B .415a <≤ C .45a > D .1a >第II 卷(非选择题)二、填空题(本大题共4小题,每小题5分)13.设集合{}22A x x =-≤<,{}B x x a =≤,若A B ≠∅ ,则实数a 的取值范围为________.14.若函数()f x 的定义域是[1,2]-,则函数()(2)f x f x +-的定义域为________.15.函数24 1 0() 1 0x x x f x x ⎧++≥=⎨<⎩,则满足不等式2(5)(42)f x x f x -<-的x 的取值范围是 ______16.设集合[0,1)A =,[1,2]B =,函数()1, ()22, x x Af x x x B +∈⎧=⎨-∈⎩,若0x A ∈,且[]0()f f x A ∈,则0x 的取值范围是__________三、解答题(本大题共6小题,共70分.解答应写出必要的文字说明、证明过程及演算步骤.) 17.(本小题10分)已知全集{}2150U x N x +=∈-<,{}1,3,5,7A =,{}27120B x x x =-+=(1)求A B ,A B ;(2)求U A C B (),U U C A C B ()().18. (本小题10分)已知()f x 是一次函数,且单调递减,若[()]94f f x x =+ (1)求()f x 的解析式;(2)当0x ≥时,1)()f x =,求g()x 的解析式,并指出其定义域.19. (本小题12分)已知A B R ==,对应关系212f x x x a→++:,如果按对应关系f 能建立集合A 到集合B 的映射, (1)求实数a 的取值范围; (2)若B 中的元素15在A 中有两个原像,求实数a 的取值范围.20. (本小题12分)已知集合{}1A x ax =<,B x y ⎧==⎨⎩(1)当12a =时,求A B ; (2)若B A ⊆,求实数a 的取值范围.21. (本小题12分)已知函数()f x 满足以下两个条件:①对任意实数,a b 都有()()()2f a b f a f b ab +=++;②对任意实数x 恒有2()f x x x ≥-.(1)若(0)=(1)f f ,求(1)f 和(2)f 的值; (2)证明:()f x 在1[,)2+∞上单调递增.22. (本小题14分已知2()4f x x x =- (1)画出()f x 的图像并写出其单调区间;(2)若方程()= f x t 有4个不等实根12341234,,, ( )x x x x x x x x <<<,记24()h t x x =+,求()h t 的解析式,并指出其定义域;(3)若()g x 在定义域内存在区间[,]m n ,使得()g x 在区间[,]m n 上的值域为[2,2]m n ,则称[,]m n 为()g x 的倍值区间. 在条件(2)下,若()()2k t h t a =+在定义域内存在倍值区间,求a 的范围.1-6 BCCDBB 7-12 BCDDBC13. 2a ≥- 14. [0,2] 15. (1,2)- 16. 1(,1)217. (1){}=3A B ,{}=1,3,4,57A B ,;(2){}=1,5,7U A C B (),{}=2,6U U C A C B ()(). 18. (1)()32f x x =--;(2)2g()=36 5 (1)x x x x ---≥- 19. (1)1a >;(2)16a << 20. (1)[2,2)-;(2)11(,)24- 21. (1)(1)0f =,(2)2f =22. (1)增区间[2,0]-和[2,+)∞;减区间,2]-∞-(和[0,2](2)()h t =t (4,0)∈-(3)由于()2k t a =在定义域t (4,0)∈-内递增,所以()2()2k m mk n n =⎧⎨=⎩,所以方程()22h t a t =+=即22(21)40t a t a -++-=在 (4,0)-内有两个不同的根,则)4,417(--∈a。
2017-2018学年江西省九江一中高三(上)段考数学试卷(文科)一、选择题(本大题共12小题,每题5分,共60分.在下列各题的四个选项中,只有一个选项是符合题目要求的.)1.已知复数z=(i是虚数单位),则z在复平面上对应的点在()A.第一象限 B.第二象限 C.第三象限 D.第四象限2.集合A={x|x≤2,x∈R},B={y|y=x2,x∈R},则A∩B=()A.{x|﹣2≤x≤2}B.{x|x≥2} C.{x|0≤x≤2}D.∅3.《聊斋志异》中有这样一首诗:“挑水砍柴不堪苦,请归但求穿墙术.得诀自诩无所阻,额上坟起终不悟.”在这里,我们称形如以下形式的等式具有“穿墙术”:2=,3=,4=,5=则按照以上规律,若8=具有“穿墙术”,则n=()A.7 B.35 C.48 D.634.y=sin+cos在[π,2π]上的最小值是()A.2 B.1 C.﹣1 D.﹣25.f(x)对于任意实数x满足条件f(x+2)=,若f(1)=﹣5,则f(f(5))=()A.﹣5 B. C.D.56.已知函数f(x)的导函数为f′(x),且满足f(x)=2xf′(e)+lnx,则f′(e)=()A.1 B.﹣1 C.﹣e﹣1D.﹣e7.如果sin(α﹣)=,那么cos(α+)=()A.B.﹣C.﹣D.8.已知函数f(x)=mx2﹣2x+lnx在定义域内是增函数,则实数m的取值范围是()A.[﹣1,1] B.[﹣1,+∞)C.[1,+∞)D.(﹣∞,1]9.已知不等式|x﹣m|<1成立的一个充分非必要条件是<x<,则实数m的取值范围是()A.B.C.D.10.方程2x•x2=1的实数解的个数为()A.0 B.1 C.2 D.311.已知函数f(x)=log2(x2﹣ax+3a)在[2,+∞)上是增函数,则a的取值范围是()A.(﹣∞,4]B.(﹣∞,2]C.(﹣4,4] D.(﹣4,2]12.设定义域为R的函数f(x)=,若关于x的方程2f2(x)﹣(2a+3)f(x)+3a=0有五个不同的实数解,则a的取值范围是()A.(0,1)B. C.(1,2)D.二、填空题(本大题共4个小题,每小题5分,共20分.)13.若f(x)是一次函数,且f[f(x)]=4x﹣1,则f(x)=.14.函数y=+lgcosx的定义域为.15.已知f(x)为R上增函数,且对任意x∈R,都有f[f(x)﹣3x]=4,则f(2)=.16.定义在R上的函数f(x)满足:当sinx≤cosx时,f(x)=cosx,当sinx>cosx时,f (x)=sinx,给出以下结论:①f(x)的最小值为﹣1;②f(x)是周期函数;③当且仅当x=2kπ(k∈Z)时,f(x)取最小值;④当且仅当2kπ﹣<x<(2k+1)π(k∈Z)时,f(x)>0;⑤f(x)的图象上相邻最低点的距离是2π.其中正确的结论序号是.三、解答题(本大题共6个小题,满分60分,解答应写出必要的文字说明证明过程或演算步骤.)17.某企业为了解下属某部门对本企业职工的服务情况,随机访问50名职工,根据这50名职工对该部门的评分,绘制频率分布直方图(如图所示),其中样本数据分组区间为[40,50],[50,60],…,[80,90],[90,100](1)求频率分布图中a的值;(2)估计该企业的职工对该部门评分不低于80的概率;(3)从评分在[40,60]的受访职工中,随机抽取2人,求此2人评分都在[40,50]的概率.18.若△ABC的内角A,B,C所对的边分别为a,b,c,且满足asinB﹣bcosA=0(1)求A;(2)当a=,b=2时,求△ABC的面积.19.S n为数列{a n}的前n项和.已知a n>0,a n2+a n=2S n+2.(I)求{a n}的通项公式;(II)设b n=,求数列{b n}的前n项和T n.20.已知抛物线C:y2=2px(p>0),抛物线的焦点为F,过点F的直线交C于A,B两点,线段AB的垂直平分线交x轴于点R.(I)若对数函数y=lgx图象经过点F,求抛物线C方程;(II)恒为定值吗?如果是,求出该值,如果不是,说明理由.21.已知函数f(x)=(ax2+bx+c)e x在[0,1]上单调递减且满足f(0)=1,f(1)=0.(1)求a取值范围;(2)设g(x)=f(x)﹣f′(x),求g(x)在[0,1]上的最大值和最小值.四、选做题:(请在第22-23题中任选一题作答哈~如果多做,则按所做的第一题计分,本题满分10分)22.在直角坐标系xOy中,直线l的参数方程为(t为参数),以原点为极点,x轴正半轴为极轴建立极坐标系,⊙C的极坐标方程为ρ=2sinθ.(Ⅰ)写出⊙C的直角坐标方程;(Ⅱ)P为直线l上一动点,当P到圆心C的距离最小时,求P的直角坐标.23.若函数f(x)=|x﹣1|+2|x﹣a|.(I)当a=1时,解不等式f(x)<5;(II)f(x)的最小值为5,求实数a的值.2016-2017学年江西省九江一中高三(上)段考数学试卷(文科)参考答案与试题解析一、选择题(本大题共12小题,每题5分,共60分.在下列各题的四个选项中,只有一个选项是符合题目要求的.)1.已知复数z=(i是虚数单位),则z在复平面上对应的点在()A.第一象限 B.第二象限 C.第三象限 D.第四象限【考点】复数的代数表示法及其几何意义.【分析】利用两个复数代数形式的乘除法,虚数单位i的幂运算性质,化简复数z,找出此复数在复平面内对应点的坐标.【解答】解:复数z====﹣+i,在复平面内对应点为(﹣,),此点位于第二象限,故选B,2.集合A={x|x≤2,x∈R},B={y|y=x2,x∈R},则A∩B=()A.{x|﹣2≤x≤2}B.{x|x≥2} C.{x|0≤x≤2}D.∅【考点】交集及其运算.【分析】求出B中y的范围确定出B,找出A与B的交集即可.【解答】解:由B中y=x2≥0,得到B={y|y≥0},∵A={x|x≤2},∴A∩B={x|0≤x≤2},故选:C.3.《聊斋志异》中有这样一首诗:“挑水砍柴不堪苦,请归但求穿墙术.得诀自诩无所阻,额上坟起终不悟.”在这里,我们称形如以下形式的等式具有“穿墙术”:2=,3=,4=,5=则按照以上规律,若8=具有“穿墙术”,则n=()A.7 B.35 C.48 D.63【考点】归纳推理.【分析】观察所告诉的式子,找到其中的规律,问题得以解决.【解答】解2=2==,3=3=,4=4=,5=5=则按照以上规律8=,可得n=82﹣1=63,故选:D.4.y=sin+cos在[π,2π]上的最小值是()A.2 B.1 C.﹣1 D.﹣2【考点】两角和与差的正弦函数;正弦函数的图象.【分析】利用两角和的正弦函数公式化简已知可得y=2sin(+),依题意结合x的范围,求出+的范围,利用正弦函数的图象求得最小值即可得解.【解答】解:y=sin+cos=2(sin+cos)=2sin(+),∵x∈[π,2π],∴∈[,π], +∈[,],∴sin(+)∈[﹣,],可得:y=2sin(+)∈[﹣1,].∴y=sin+cos在[π,2π]上的最小值是﹣1.故选:C.5.f(x)对于任意实数x满足条件f(x+2)=,若f(1)=﹣5,则f(f(5))=()A.﹣5 B. C.D.5【考点】函数的周期性.【分析】先通过f(x+2)=可推断函数f(x)是以4为周期的函数.进而可求得f(5)=f(1),f(﹣5)=f(﹣1);根据f(x+2)=可求得f(﹣1)=,进而可求得f (f(5)).【解答】解:∵f(x+2)=∴f(x+2+2)==f(x)∴f(x)是以4为周期的函数∴f(5)=f(1+4)=f(1)=﹣5f(f(5))=f(﹣5)=f(﹣5+4)=f(﹣1)又∵f(﹣1)===﹣∴f(f(5))=﹣故选B6.已知函数f(x)的导函数为f′(x),且满足f(x)=2xf′(e)+lnx,则f′(e)=()A.1 B.﹣1 C.﹣e﹣1D.﹣e【考点】导数的运算.【分析】首先对等式两边求导得到关于f'(e)的等式解之.【解答】解:由关系式f(x)=2xf′(e)+lnx,两边求导得f'(x)=2f'(x)+,令x=e得f'(e)=2f'(e)+e﹣1,所以f'(e)=﹣e﹣1;故选:C.7.如果sin(α﹣)=,那么cos(α+)=()A.B.﹣C.﹣D.【考点】运用诱导公式化简求值.【分析】由条件利用诱导公式化简所给式子的值,可得结果.【解答】解:∵sin(α﹣)=,那么cos(α+)=﹣sin[(α+)﹣]=﹣sin(α﹣)=﹣,故选:B.8.已知函数f(x)=mx2﹣2x+lnx在定义域内是增函数,则实数m的取值范围是()A.[﹣1,1] B.[﹣1,+∞)C.[1,+∞)D.(﹣∞,1]【考点】利用导数研究函数的单调性.【分析】函数f(x)是增函数⇔f′(x)=mx+﹣2≥0⇔m≥﹣都成立,利用导数即可得出.【解答】解:∵函数f(x)=mx2+lnx﹣2x在定义域(x>0)内是增函数,∴f′(x)=mx+﹣2≥0,化为m≥﹣.令g(x)=﹣,g′(x)=﹣+=﹣,解g′(x)>0,得0<x<1;解g′(x)<0,得x>1.因此当x=1时,g(x)取得最大值,g(1)=1.∴m≥1.故实数m的取值范围是[1,+∞),故选:C.9.已知不等式|x﹣m|<1成立的一个充分非必要条件是<x<,则实数m的取值范围是()A.B.C.D.【考点】必要条件、充分条件与充要条件的判断.【分析】根据不等式的性质以及充分条件和必要条件的定义即可得到结论.【解答】解:不等式|x﹣m|<1等价为m﹣1<x<m+1,∵不等式|x﹣m|<1成立的一个充分非必要条件是<x<,∴,即,解得,故选:B10.方程2x•x2=1的实数解的个数为()A.0 B.1 C.2 D.3【考点】根的存在性及根的个数判断.【分析】令f(x)=2x•x2﹣1,求出f(x)的单调性和极值,根据极值的大小判断f(x)的零点个数.【解答】解:令f(x)=2x•x2﹣1,则f′(x)=x•2x(2+x•ln2),令f′(x)=0得x=0或x=﹣.当x<﹣或x>0时,f′(x)>0,当﹣<x<0时,f′(x)<0,∴f(x)在(﹣∞,﹣)上是增函数,在(﹣,0)上是减函数,在(0,+∞)上是增函数.∴当x=﹣时,f(x)取得极大值f(﹣)=﹣1>0,当x=0时,f(x)取得极小值f(0)=﹣1<0,∴f(x)有三个零点,即2x•x2=1有3个根.故选D.11.已知函数f(x)=log2(x2﹣ax+3a)在[2,+∞)上是增函数,则a的取值范围是()A.(﹣∞,4]B.(﹣∞,2]C.(﹣4,4] D.(﹣4,2]【考点】复合函数的单调性;二次函数的性质;对数函数的单调区间.【分析】若函数f(x)=log2(x2﹣ax+3a)在[2,+∞)上是增函数,则x2﹣ax+3a>0且f (2)>0,根据二次函数的单调性,我们可得到关于a的不等式,解不等式即可得到a的取值范围.【解答】解:若函数f(x)=log2(x2﹣ax+3a)在[2,+∞)上是增函数,则当x∈[2,+∞)时,x2﹣ax+3a>0且函数f(x)=x2﹣ax+3a为增函数即,f(2)=4+a>0解得﹣4<a≤4故选C12.设定义域为R的函数f(x)=,若关于x的方程2f2(x)﹣(2a+3)f(x)+3a=0有五个不同的实数解,则a的取值范围是()A.(0,1)B. C.(1,2)D.【考点】根的存在性及根的个数判断.【分析】作出f(x)的图象,利用换元法结合一元二次函数的图象和性质即可.【解答】解:作出f(x)的图象如图:设t=f(x),则方程等价为2t2﹣(2a+3)t+3a=0,由图象可知,若关于x的方程2f2(x)﹣(2a+3)f(x)+3a=0有五个不同的实数解,∴即要求对应于f(x)等于某个常数有3个不同实数解,∴故先根据题意作出f(x)的简图:由图可知,只有当f(x)=a时,它有三个根.所以有:1<a<2 ①.再根据2f2(x)﹣(2a+3)f(x)+3a=0有两个不等实根,则判别式△=(2a+3)2﹣4×2×3a>0,解得a≠,故1<a<或<x<2,故选:D.二、填空题(本大题共4个小题,每小题5分,共20分.)13.若f(x)是一次函数,且f[f(x)]=4x﹣1,则f(x)=f(x)=2x﹣或﹣2x+1.【考点】函数解析式的求解及常用方法.【分析】利用待定系数法求解该函数的解析式是解决本题的关键.结合着复合函数表达式的求解,根据多项式相等即对应各项的系数相等得出关于一次项系数和常数项的方程组,通过方程思想求解出该函数的解析式.【解答】解:设f(x)=kx+b(k≠0),则f[f(x)]=f(kx+b)=k(kx+b)+b=k2x+kb+b=4x﹣1,根据多项式相等得出,解得或.因此所求的函数解析式为:f(x)=2x﹣或﹣2x+1.故答案为:f(x)=2x﹣或﹣2x+1.14.函数y=+lgcosx的定义域为(﹣,).【考点】函数的定义域及其求法.【分析】根据二次根式以及对数函数的性质得到关于x的不等式组,解出即可.【解答】解:由题意得:,即,解得:﹣<x<,故答案为:(﹣,).15.已知f(x)为R上增函数,且对任意x∈R,都有f[f(x)﹣3x]=4,则f(2)=10.【考点】函数单调性的性质.【分析】因为f(x)是R上的增函数,所以若f(x)﹣3x不是常数,则f[f(x)﹣3x]便不是常数.而已知f[f(x)﹣3x]=4,所以f(x)﹣3x是常数,设f(x)﹣3x=m,所以f(m)=4,f(x)=3x+m,所以f(m)=3m+m=4,容易知道该方程有唯一解,m=1,所以f(x)=3x+1,所以便可求出f(2).【解答】解:根据题意得,f(x)﹣3x为常数,设f(x)﹣3x=m,则f(m)=4,f(x)=3x+m;∴3m+m=4,易知该方程有唯一解,m=1;∴f(x)=3x+1;∴f(2)=10;故答案为:10.16.定义在R上的函数f(x)满足:当sinx≤cosx时,f(x)=cosx,当sinx>cosx时,f (x)=sinx,给出以下结论:①f(x)的最小值为﹣1;②f(x)是周期函数;③当且仅当x=2kπ(k∈Z)时,f(x)取最小值;④当且仅当2kπ﹣<x<(2k+1)π(k∈Z)时,f(x)>0;⑤f(x)的图象上相邻最低点的距离是2π.其中正确的结论序号是②④⑤.【考点】命题的真假判断与应用;分段函数的应用.【分析】根据题意,做出函数在一个周期上的图象,观察函数的图象,分别求解函数的周期,最值及取得最值的条件分别进行验证即可.【解答】解:做出正弦函数y=sinx与y=cosx在一个周期上的图象如下图,取函数的最大值观察函数的图象可得函数的最小值为﹣,故①错误观察图象可知函数以2π为周期的周期函数,故②正确;当且仅当x=2kπ(k∈Z)时,f(x)取最大值;所以③错误;当且仅当2kπ﹣<x<(2k+1)π(k∈Z)时,f(x)>0,故④正确;由图象可知相邻的最低点的距离为一个周期即2π,故⑤正确故答案为:②④⑤.三、解答题(本大题共6个小题,满分60分,解答应写出必要的文字说明证明过程或演算步骤.)17.某企业为了解下属某部门对本企业职工的服务情况,随机访问50名职工,根据这50名职工对该部门的评分,绘制频率分布直方图(如图所示),其中样本数据分组区间为[40,50],[50,60],…,[80,90],[90,100](1)求频率分布图中a的值;(2)估计该企业的职工对该部门评分不低于80的概率;(3)从评分在[40,60]的受访职工中,随机抽取2人,求此2人评分都在[40,50]的概率.【考点】频率分布直方图.【分析】(1)利用频率分布直方图中的信息,所有矩形的面积和为1,得到a;(2)对该部门评分不低于80的即为90和100,的求出频率,估计概率;(3)求出评分在[40,60]的受访职工和评分都在[40,50]的人数,随机抽取2人,列举法求出所有可能,利用古典概型公式解答.【解答】解:(1)因为(0.004+a+0.018+0.022×2+0.028)×10=1,解得a=0.006;(2)由已知的频率分布直方图可知,50名受访职工评分不低于80的频率为(0.022+0.018)×10=0.4,所以该企业职工对该部门评分不低于80的概率的估计值为0.4;(3)受访职工中评分在[50,60)的有:50×0.006×10=3(人),记为A1,A2,A3;受访职工评分在[40,50)的有:50×0.004×10=2(人),记为B1,B2.从这5名受访职工中随机抽取2人,所有可能的结果共有10种,分别是{A1,A2},{A1,A3},{A1,B1},{A1,B2},{A2,A3},{A2,B1},{A2,B2},{A3,B1},{A3,B2},{B1,B2},又因为所抽取2人的评分都在[40,50)的结果有1种,即{B1,B2},故所求的概率为P=.18.若△ABC的内角A,B,C所对的边分别为a,b,c,且满足asinB﹣bcosA=0(1)求A;(2)当a=,b=2时,求△ABC的面积.【考点】正弦定理;余弦定理.【分析】(1)由正弦定理化简已知可得,又sinB≠0,从而可求tanA,由于0<A<π,即可解得A的值.(2)由余弦定理解得c2﹣2c﹣3=0,结合c>0,即可求c,利用三角形面积公式即可得解.【解答】解:(1)因为,由正弦定理,得,又sinB ≠0,从而,由于0<A <π,所以.(2)由余弦定理,得a 2=b 2+c 2﹣2bccosA ,而,,得7=4+c 2﹣2c ,即c 2﹣2c ﹣3=0因为c >0,所以c=3,故△ABC 面积为.19.S n 为数列{a n }的前n 项和.已知a n >0,a n 2+a n =2S n +2. (I )求{a n }的通项公式; (II )设b n =,求数列{b n }的前n 项和T n .【考点】数列的求和;数列递推式. 【分析】(I )利用递推关系转化为等差数列,即可得出. (II )利用“裂项求和”方法即可得出.【解答】解:(I )∵a n >0,a n 2+a n =2S n +2.∴n=1时, =2a 1+2,解得a 1=2.n ≥2时,=2a n ﹣1+2,可得﹣()=2a n ,化为:(a n +a n ﹣1)(a n ﹣a n ﹣1﹣1)=0,∴a n ﹣a n ﹣1=1, ∴数列{a n }为等差数列,公差为1. ∴a n =2+(n ﹣1)=n +1.(II )b n ===2,∴数列{b n }的前n 项和T n =2++…+=2=.20.已知抛物线C :y 2=2px (p >0),抛物线的焦点为F ,过点F 的直线交C 于A ,B 两点,线段AB 的垂直平分线交x 轴于点R .(I )若对数函数y=lgx 图象经过点F ,求抛物线C 方程; (II )恒为定值吗?如果是,求出该值,如果不是,说明理由.【考点】抛物线的简单性质. 【分析】(Ⅰ)由对数函数y=lgx 图象经过点F 求出F 的纵坐标,得到p ,则抛物线方程可求;(Ⅱ)由题意可知,直线AB 的斜率存在,设AB 所在直线方程为y=k (x ﹣1),联立直线方程和抛物线方程,由抛物线弦长公式求得|AB |,求出B 的横坐标,再由焦半径公式求得|BF |,作商后可知不是定值.【解答】解:(Ⅰ)由对数函数y=lgx 图象经过点F ,可得F (1,0),∴,即p=2,则抛物线C的方程为y2=4x;(Ⅱ)如图,由题意可知,直线AB的斜率存在,设AB所在直线方程为y=k(x﹣1),联立,得k2x2﹣(2k2+4)x+k2=0.设A(x1,y1),B(x2,y2),则,x1x2=1.∴|AB|=,由x1x2=1,得,∴,解得:.∴|BF|==.则==,不是定值.21.已知函数f(x)=(ax2+bx+c)e x在[0,1]上单调递减且满足f(0)=1,f(1)=0.(1)求a取值范围;(2)设g(x)=f(x)﹣f′(x),求g(x)在[0,1]上的最大值和最小值.【考点】利用导数求闭区间上函数的最值;利用导数研究函数的单调性.【分析】(1)由题意,函数f(x)=(ax2+bx+c)e x在[0,1]上单调递减且满足f(0)=1,f(1)=0,可求出函数的导数,将函数在[0,1]上单调递减转化为导数在[0,1]上的函数值恒小于等于0,再结合f(0)=1,f(1)=0这两个方程即可求得a取值范围;(2)由题设条件,先给出g(x)=f(x)﹣f′(x)的解析式,求出导函数,g′(x)=(﹣2ax ﹣a+1)e x,由于参数a的影响,函数在[0,1]上的单调性不同,结合(1)的结论及g′(x)可得.(i)当a=0时;(ii)当a=1时;(iii)当0<a<1时,分三类对函数的单调性进行讨论,确定并求出函数的最值【解答】解:(1)由f(0)=1,f(1)=0得c=1,a+b=﹣1,则f(x)=[ax2﹣(a+1)x+1]e x,∴f′(x)=[ax2+(a﹣1)x﹣a]e x,由题意函数f(x)=(ax2+bx+c)e x在[0,1]上单调递减可得对于任意的x∈(0,1),都有f′(x)≤0当a>0时,因为二次函数y=ax2+(a﹣1)x﹣a图象开口向上,而f′(0)=﹣a<0,所以只需要f′(1)=(a﹣1)e≤0,即a≤1,故有0<a≤1;当a=1时,对于任意的x∈(0,1),都有f′(x)=(x2﹣1)e x<0,函数符合条件;当a=0时,对于任意的x∈(0,1),都有f′(x)=﹣xe x<0,函数符合条件;当a<0时,因f′(0)=﹣a>0函数不符合条件;综上知,a的取值范围是0≤a≤1(2)因为g(x)=f(x)﹣f′(x)=(ax2﹣(a+1)x+1)e x﹣[ax2+(a﹣1)x﹣a]e x=(﹣2ax+a+1)e x,g′(x)=(﹣2ax﹣a+1)e x,(i)当a=0时,g′(x)=e x>0,g(x)在[0,1]上的最小值是g(0)=1,最大值是g(1)=e(ii)当a=1时,对于任意x∈(0,1)有g′(x)=﹣2xe x<0,则有g(x)在[0,1]上的最小值是g(1)=0,最大值是g(0)=2;(iii)当0<a<1时,由g′(x)=0得x=>0,①若,即0<a≤时,g(x)在[0,1]上是增函数,所以g(x)在[0,1]上最大值是g(1)=(1﹣a)e,最小值是g(0)=1+a;②若,即<a<1时,g(x)在x=取得最大值g()=2a,在x=0或x=1时取到最小值,而g(0)=1+a,g(1)=(1﹣a)e,则令g(0)=1+a≤g(1)=(1﹣a)e可得<a≤;令g(0)=1+a≥g(1)=(1﹣a)e可得≤a<1综上,当<a≤时,g(x)在x=0取到最小值g(0)=1+a,当≤a<1时,g(x)在x=1取到最小值g(1)=(1﹣a)e四、选做题:(请在第22-23题中任选一题作答哈~如果多做,则按所做的第一题计分,本题满分10分)22.在直角坐标系xOy中,直线l的参数方程为(t为参数),以原点为极点,x轴正半轴为极轴建立极坐标系,⊙C的极坐标方程为ρ=2sinθ.(Ⅰ)写出⊙C的直角坐标方程;(Ⅱ)P为直线l上一动点,当P到圆心C的距离最小时,求P的直角坐标.【考点】点的极坐标和直角坐标的互化.【分析】(I)由⊙C的极坐标方程为ρ=2sinθ.化为ρ2=2,把代入即可得出;.(II)设P,又C.利用两点之间的距离公式可得|PC|=,再利用二次函数的性质即可得出.【解答】解:(I)由⊙C的极坐标方程为ρ=2sinθ.∴ρ2=2,化为x2+y2=,配方为=3.(II)设P,又C.∴|PC|==≥2,因此当t=0时,|PC|取得最小值2.此时P(3,0).23.若函数f(x)=|x﹣1|+2|x﹣a|.(I)当a=1时,解不等式f(x)<5;(II)f(x)的最小值为5,求实数a的值.【考点】绝对值不等式的解法.【分析】(I)当a=1时,函数f(x)=3|x﹣1|,由f(x)<5,可得①,或②,分别求得①、②的解集,再取并集,即得所求.(II)当a=1时,f(x)=3|x﹣1|,它的最小值为0,不满足f(x)的最小值为5;再分当a <1时、当a>1时两种情况,利用单调性求得f(x)的最小值,再根据f(x)的最小值为5,求得a的值.(I)当a=1时,函数f(x)=|x﹣1|+2|x﹣1|=3|x﹣1|,由f(x)<5,可得【解答】解:①,或②,解①求得1<x<,解②求得﹣<x≤1,综上可得,不等式f(x)<5的解集为{x|﹣<x<}.(II)当a=1时,f(x)=3|x﹣1|,它的最小值为0,不满足f(x)的最小值为5.当a<1时,f(x)=,故当x=a时,函数f(x)取得最小值为f(a)=|a﹣1|=1﹣a,由1﹣a=5,求得a=﹣4.当a>1时,f(x)=,故当x=a时,函数f(x)取得最小值为f(a)=|a﹣1|=1﹣a,由1﹣a=5,求得a=﹣4(舍去).综上可得,a=﹣4.2016年11月10日。
2017-2018学年江西省九江一中高一(上)期中数学试卷一、选择题:本大题共12小题,每小题5分,共60分.在每小题给出的四个选项中,只有一项是符合题目要求的.1.(5分)已知集合U={1,2,3,4},集合A={1,3,4},B={2,4},那么集合(∁U A)∩B=()A.{2}B.{4}C.{1,3}D.{2,4}2.(5分)函数f(x)=a x﹣1﹣1(a>0且a≠1)的图象必经过定点()A.(0,﹣1)B.(1,﹣1)C.(﹣1,0)D.(1,0)3.(5分)函数f(x)=的定义域为()A.(﹣1,1]B.(﹣1,0)∪(0,1]C.(﹣1,1)D.(﹣1,0)∪(0,1)4.(5分)设集合A=R,集合B={y|y>0},下列对应关系中是从集合A到集合B 的映射的是()A.x→y=|x|B.x→y=C. D.5.(5分)下列函数中,既是奇函数又在(0,+∞)上为增函数的是()A.B.C.y=﹣x2D.y=lg2x6.(5分)如图所示的三个对数函数的图象,则下列选项正确的是()A.0<c<b<1<a B.0<b<c<1<a C.1<b<c<a D.1<c<b<a7.(5分)方程|lgx|+x﹣2=0的解的个数是()A.0个 B.1个 C.2个 D.3个8.(5分)已知,则a,b,c的大小关系为()A.a<c<b B.b<c<a C.b<a<c D.a<b<c9.(5分)若实数a,b满足3a=4b=12,则=()A.B.C.D.110.(5分)若函数在区间(﹣∞,1]上为单调递减函数,则实数a的取值范围是()A.(2,+∞)B.[2,+∞)C.[2,3) D.[2,3]11.(5分)已知定义在R上的函数f(x)满足对任意x∈R,有,且f(x)的图象关于直线x=1对称,当x∈[﹣1,1]时,f(x)=x+1,则f(6)=()A.1 B.2 C.3 D.412.(5分)已知函数f(x)的定义域为R,对任意x1<x2,有f(x1)﹣f(x2)<x1﹣x2,且f(3)=4,则不等式f(2x﹣1)>2x的解集为()A.(2,+∞)B.(1,+∞)C.(0,+∞)D.(﹣1,+∞)二、填空题:本大题共4小题,每小题5分,共20分.13.(5分)log23•log35•log58=.14.(5分)设函数f(x)=,则f(﹣2)+f(log212)=.15.(5分)若函数在区间(﹣∞,1]内有意义,则实数a的取值范围是16.(5分)用min{a,b,c}表示a,b,c三个数中的最小值,设f(x)={3x,x+2,8﹣x},则f(x)的最大值是.三、解答题:本大题共5小题,共70分.解答应写出文字说明,证明过程或演算步骤.17.(12分)已知集合A={x|x<0或x>1},集合B={y|y=mx+1,﹣1≤x≤2},(1)当m=1时,求A∩B;(2)若A∪B=R,求m的取值范围.18.(12分)已知函数(a,b∈R)是定义在R上的奇函数;(1)求实数a的值,并求函数f(x)的值域;(2)判断函数f(x)的单调性,并用定义证明.19.(12分)已知二次函数f(x)满足:f(0)=f(2)=0,且方程f(x)+2x=0有两个相等的实数根;(1)求函数f(x)的解析式;(2)若x∈[0,a],求函数g(x)=|f(x)|的最大值g(a)20.(12分)已知函数.(1)求函数f(x)的定义域,并判断函数f(x)的奇偶性;(2)当x∈[2,4]时,不等式恒成立,求实数m的取值范围.21.(12分)已知函数,(1)若方程f(x)=m对任意的实数a都有3个不同实数根,求实数m的取值范围;(2)当a=2时,是否存在实数p,q(p≠q),使得f(x)在[p,q]上的值域为,若存在求出p,q;若不存在,请说明理由.请考生在第22-23题中任选一题作答,如果多做,则按所做的第一题计分. 22.(10分)已知函数f(x)=4x﹣2x(1)求不等式f(x)≥2的解集,(2)求函数f(x)的单调递增区间.23.已知函数(1)解不等式f(x)≥2;(2)求函数f(x)的单调递增区间.2017-2018学年江西省九江一中高一(上)期中数学试卷参考答案与试题解析一、选择题:本大题共12小题,每小题5分,共60分.在每小题给出的四个选项中,只有一项是符合题目要求的.1.(5分)已知集合U={1,2,3,4},集合A={1,3,4},B={2,4},那么集合(∁U A)∩B=()A.{2}B.{4}C.{1,3}D.{2,4}【解答】解:集合U={1,2,3,4},集合A={1,3,4},B={2,4},∴∁U A={2},∴(∁U A)∩B={2}.故选:A.2.(5分)函数f(x)=a x﹣1﹣1(a>0且a≠1)的图象必经过定点()A.(0,﹣1)B.(1,﹣1)C.(﹣1,0)D.(1,0)【解答】解:令x﹣1=0,解得x=1,此时y=a0﹣1=0,故得(1,0)此点与底数a的取值无关,故函数y=a x﹣1﹣1(a>0且a≠1)的图象必经过定点(1,0)故选:D.3.(5分)函数f(x)=的定义域为()A.(﹣1,1]B.(﹣1,0)∪(0,1]C.(﹣1,1)D.(﹣1,0)∪(0,1)【解答】解:要使原函数有意义,则,解得:﹣1<x≤1,且x≠0.∴函数f(x)=的定义域为(﹣1,0)∪(0,1].故选:B.4.(5分)设集合A=R,集合B={y|y>0},下列对应关系中是从集合A到集合B 的映射的是()A.x→y=|x|B.x→y=C. D.【解答】解:∵|0|=0,而0∉R+,集合A中的元素0在集合B中没有像,故选项A 不是映射.对于选项B,集合A中的元素1在集合B中没有像,故选项B不是映射.对于选项C,集合A中的所有元素在集合B中都有唯一的像和它对应,故选项C 是映射.对于选项D,由于函数的定义域不是R,故选项D不是映射.故选:C.5.(5分)下列函数中,既是奇函数又在(0,+∞)上为增函数的是()A.B.C.y=﹣x2D.y=lg2x【解答】解:函数是奇函数,但在(0,1)是减函数,不满足条件;函数是非奇非偶函数,不满足条件;函数y=﹣x2是偶函数,不满足条件;函数y=lg2x=(lg2)x是奇函数,且在(0,+∞)上为增函数,满足条件;故选:D.6.(5分)如图所示的三个对数函数的图象,则下列选项正确的是()A.0<c<b<1<a B.0<b<c<1<a C.1<b<c<a D.1<c<b<a【解答】解:由y=log a x的图象可得a>1,由y=log b x和y=log c x的图象可得0<b<1,0<c<1,又x>1时,y=log c x的图象比y=log b x靠近x轴,可得c<b,即有0<c<b<1<a.故选:A.7.(5分)方程|lgx|+x﹣2=0的解的个数是()A.0个 B.1个 C.2个 D.3个【解答】解:方程|lgx|+x﹣2=0的解的个数,即为y=|lgx|的图象与直线y=2﹣x的交点个数,作出y=|lgx|的图象与直线y=2﹣x,可得它们有两个交点,则原方程的解有两个,故选:C.8.(5分)已知,则a,b,c的大小关系为()A.a<c<b B.b<c<a C.b<a<c D.a<b<c【解答】解:∵y=为增函数,故a<c,∵y=4x为增函数,故b<a,故b<a<c,故选:C.9.(5分)若实数a,b满足3a=4b=12,则=()A.B.C.D.1【解答】解:3a=4b=12,即有a=log312,b=log412,则==log123+log124=log1212=1.故选:D.10.(5分)若函数在区间(﹣∞,1]上为单调递减函数,则实数a的取值范围是()A.(2,+∞)B.[2,+∞)C.[2,3) D.[2,3]【解答】解:∵函数在区间(﹣∞,1]上为单调递减函数,∴a>1时,y=x2﹣ax+2在(﹣∞,1]上为单调递减函数,且x2﹣ax+2>0在(﹣∞,1)上恒成立,∴需y=x2﹣ax+2在(﹣∞,1]上的最小值1﹣a+2=3﹣a>0,且对称轴x=a≥1,∴2≤a<3;0<a<1时,y=x2﹣ax+2在(﹣∞,1]上为单调递增函数,不成立.综上可得a的范围是[2,3).故选:C.11.(5分)已知定义在R上的函数f(x)满足对任意x∈R,有,且f(x)的图象关于直线x=1对称,当x∈[﹣1,1]时,f(x)=x+1,则f(6)=()A.1 B.2 C.3 D.4【解答】解:∵f(x+2)=,∴f(x+4)==f(x),∴f(x)的周期T=4.∴f(6)=f(2),又f(x)的图象关于直线x=1对称,∴f(2)=f(0)=1.故选:A.12.(5分)已知函数f(x)的定义域为R,对任意x1<x2,有f(x1)﹣f(x2)<x1﹣x2,且f(3)=4,则不等式f(2x﹣1)>2x的解集为()A.(2,+∞)B.(1,+∞)C.(0,+∞)D.(﹣1,+∞)【解答】解:∵函数f(x)的定义域为R,对任意x1<x2,有f(x1)﹣f(x2)<x1﹣x2,即>0,故函数R(x)=f(x)﹣x是R上的增函数,f(2x﹣1)>2x,即f(2x﹣1)﹣(2x﹣1)>1,即R(2x﹣1)>1,而R(3)=f(3)﹣3=1,故R(2x﹣1)>R(3),故2x﹣1>3,解得:x>2,故选:A.二、填空题:本大题共4小题,每小题5分,共20分.13.(5分)log23•log35•log58=3.【解答】解:log23•log35•log58=.故答案为:3.14.(5分)设函数f(x)=,则f(﹣2)+f(log212)=9.【解答】解:由函数f(x)=,可得f(﹣2)+f(log212)=(1+log24 )+=(1+2)+=3+6=9,故答案为:9.15.(5分)若函数在区间(﹣∞,1]内有意义,则实数a的取值范围是a≥﹣【解答】解:函数在区间(﹣∞,1]内有意义,可得1+a•3x≥0在(﹣∞,1]恒成立,即有﹣a≤3﹣x在(﹣∞,1]恒成立,由x≤1,即﹣x≥﹣1,可得3﹣x≥,即有﹣a≤,可得a≥﹣.故答案为:a≥﹣.16.(5分)用min{a,b,c}表示a,b,c三个数中的最小值,设f(x)={3x,x+2,8﹣x},则f(x)的最大值是5.【解答】解:画出y=3x,y=x+2,y=8﹣x的图象,结合函数的图象可得,当x+2=8﹣x,即x=3时,有最大值,f(x)的最大值在x=3时取得为5,故答案为:5三、解答题:本大题共5小题,共70分.解答应写出文字说明,证明过程或演算步骤.17.(12分)已知集合A={x|x<0或x>1},集合B={y|y=mx+1,﹣1≤x≤2},(1)当m=1时,求A∩B;(2)若A∪B=R,求m的取值范围.【解答】解:(1)当m=1时,B={y|y=x+1,﹣1≤x≤2}=[0,3],A={x|x<0或x>1}=(﹣∞,0)∪(1,+∞),故A∩B=(1,3](2)∵A={x|x<0或x>1}=(﹣∞,0)∪(1,+∞),当m<0时,集合B={y|y=mx+1,﹣1≤x≤2}=[2m+1,﹣m+1],若A∪B=R,则2m+1≤0,且﹣m+1≥1,解得:m≤﹣,当m=0时,集合B={y|y=mx+1,﹣1≤x≤2}={1}不满足条件;当m>0时,集合B={y|y=mx+1,﹣1≤x≤2}=[﹣m+1,2m+1],若A∪B=R,则2m+1≥1,且﹣m+1≤0,解得:m≥1,综上可得:m≤﹣,或m≥1.18.(12分)已知函数(a,b∈R)是定义在R上的奇函数;(1)求实数a的值,并求函数f(x)的值域;(2)判断函数f(x)的单调性,并用定义证明.【解答】解:(1)f(x)的定义域为R,且为奇函数,∴f(0)=0,∴a=1,此时,满足f(﹣x)=﹣f(x),故a=1,∵=1﹣,∈(0,2),故1﹣∈(﹣1,1),所以函数f(x)的值域为(﹣1,1);(2)由(1)得:=1﹣,所以f(x)为增函数证明:任取x1、x2∈R,设x1<x2,∵f(x1)﹣f(x2)=(1﹣)﹣(1﹣)=2(﹣)=,∵x1<x2∴<0,又>0,>0,∴f(x1)﹣f(x2)<0,∴f(x1)<f(x2).∴f(x)在其定义域R上是增函数.19.(12分)已知二次函数f(x)满足:f(0)=f(2)=0,且方程f(x)+2x=0有两个相等的实数根;(1)求函数f(x)的解析式;(2)若x∈[0,a],求函数g(x)=|f(x)|的最大值g(a)【解答】解:(1)设f(x)=ax2+bx+c,由f(2)=f(0)=0可知,4a+2b+c=0,c=0,又f(x)=2x有两个相等实根,故(b﹣2)2﹣4ac=0,可解得a=﹣1,b=2,c=0,故f(x)的解析式为:f(x)=﹣x2+2x;(2)g(x)=|f(x)|=,当0≤a<1,g(x)=﹣x2+2x=﹣(x﹣1)2+1,g(x)max=g(a)=﹣a2+2a,当1≤a≤2时,g(x)=﹣x2+2x=﹣(x﹣1)2+1,g(x)max=g(1)=1当a>2时,g(x)=x2﹣2x=(x﹣1)2﹣1,g(x)max=g(a)=a2﹣2a,综上所述g(a)=.20.(12分)已知函数.(1)求函数f(x)的定义域,并判断函数f(x)的奇偶性;(2)当x∈[2,4]时,不等式恒成立,求实数m的取值范围.【解答】解:(1)由>0,解得x<﹣1或x>1,∴定义域为(﹣∞,﹣1)∪(1,+∞),,∴f(x)是奇函数;(2)由x∈[2,4]时,不等式恒成立,∴>>0恒成立,∵x∈[2,4],∴m>在x∈[2,4]上恒成立,令g(x)=,x∈[2,4],令x+1=t,则x=t﹣1(3≤t≤5),即有y==t++5,由t++5的导数为1﹣>0在[3,5]恒成立,可得函数y=t++5在[3,5]递增,当t=5即m=4时,函数y取得最大值.则m>.21.(12分)已知函数,(1)若方程f(x)=m对任意的实数a都有3个不同实数根,求实数m的取值范围;(2)当a=2时,是否存在实数p,q(p≠q),使得f(x)在[p,q]上的值域为,若存在求出p,q;若不存在,请说明理由.【解答】解:(1)由x≥0时,f(x)=2x﹣x2=﹣(x﹣1)2+1,x=1时,取得最大值1,方程f(x)=m对任意的实数a都有3个不同实数根,当a=0时,x<0时,f(x)=x2,可得0<m<1时,原方程有3个不同实数根;当a<0时,0<m<1有一个负根和两个正根,符合题意;当a>0时,0<m<1有一个负根和两个正根,符合题意.综上可得,实数m的取值范围为(0,1);(2)当a=2时,f(x)=,作出f(x)的图象,假设存在实数p,q(p≠q),使得f(x)在[p,q]上的值域为.可得x>0时,≤1,即q>p≥1,可得区间[p,q]为减区间,则有f(p)=,f(q)=,即有2p﹣p2=,2q﹣q2=,可得方程2x2﹣x3﹣1=0有两个大于等于1的正根,由(2x2﹣2)+(1﹣x3)=0化为(x﹣1)(x2﹣x﹣1)=0,解得x=1,x=(舍去),即有p=1.q=成立;同理x<0时,由对称性可得存在p=﹣,q=﹣1成立.综上可得,存在p,q,且为p=1.q=;或p=﹣,q=﹣1.请考生在第22-23题中任选一题作答,如果多做,则按所做的第一题计分. 22.(10分)已知函数f(x)=4x﹣2x(1)求不等式f(x)≥2的解集,(2)求函数f(x)的单调递增区间.【解答】解:(1)f(x)≥2,即为4x﹣2x≥2,可得(2x﹣2)(2x+1)≥0,由2x>0,可得2x﹣2≥0,解得x≥1,则f(x)≥2的解集为{x|x≥1};(2)令t=2x,则y=t2﹣t,由y=t2﹣t在t∈(﹣∞,)递减,在t∈(,+∞)递增,且t=2x在R上递增,由2x>,解得x>﹣1,则函数f(x)的单调递增区间为(﹣1,+∞).23.已知函数(1)解不等式f(x)≥2;(2)求函数f(x)的单调递增区间.【解答】解:(1)令t=log2x,则y==t2﹣t,由t2﹣t≥2得:t≤﹣1,或t≥2,故0<x≤,或x≥4;即不等式f(x)≥2的解集为:{x|<x≤,或x≥4};(2)y=t2﹣t,在(﹣∞,]上为减函数,在[,+∞)上为增函数,t=log2x为增函数,当x∈(0,]时,t∈(﹣∞,],x∈[,+∞)时,t∈[,+∞),故函数f(x)的单调递增区间为[,+∞).。
2017-2018学年江西省九江一中高一(上)期末数学试卷一、选择题:本题共12小题,每小题5分,共60分.在每小题给出的四个选项中,只有一项是符合题目要求的.1.(5分)已知集合A={x∈N|(x+2)(x﹣2)<0},B={1,2},那么A∪B等于()A.{0,1,2}B.{2,1}C.{2}D.{1}2.(5分)若直线与直线l垂直,则l的倾斜角为()A.30°B.60°C.120°D.150°3.(5分)已知a=0.23,b=log30.2,c=30.2,则a,b,c的大小关系是()A.a<c<b B.b<a<c C.a<b<c D.b<c<a 4.(5分)函数f(x)=的单调减区间为()A.()B.()C.D.(1,+∞)5.(5分)函数f(x)=3x﹣log2(﹣x)有几个零点()A.3个B.2个C.1个D.0个6.(5分)设m,n是两条不同的直线,α,β是两个不同的平面,下列说法正确的是()A.若m∥α,n⊆α,则m∥n B.若m⊥α,n⊥α,则m∥nC.若m∥α,n∥α,则n∥m D.若m⊂α,α⊥β,则m⊥β7.(5分)已知一个几何体的三视图如图所示,则这个几何体的体积是()A.B.C.D.8.(5分)三棱锥P﹣ABC,PA⊥平面ABC,AC⊥BC,AC=BC=2,,则该三棱锥外接球的表面积为()A.4πB.8πC.16πD.64π9.(5分)若函数在R上是单调递增函数,则a的取值范围为()A.(1,+∞)B.(2,3]C.(2,+∞)D.[1,2)10.(5分)已知点A(2,﹣3),B(﹣2,﹣2),直线l:mx+y﹣m﹣1=0与线段AB相交,则直线l的斜率k的取值范围是()A.k≥1或k≤﹣4B.﹣4≤k≤1C.k<﹣1D.﹣1≤k≤4 11.(5分)已知圆C:x2+y2=9,点P为直线x+2y﹣9=0上一动点,过点P向圆C 引两条切线PA,PB,A,B为切点,则直线AB经过定点()A.(4,8)B.(2,4)C.(1,2)D.(9,0)12.(5分)已知函数,若关于x的方程f2(x)﹣bf (x)+1=0有8个不同根,则实数b的取值范围是()A.B.C.D.(﹣∞,﹣2)∪(2,+∞)二、填空题:本题共4小题,每小题5分,共20分.13.(5分)计算:=.14.(5分)如图,已知正方体ABCD﹣A1B1C1D1的棱长为2,E是棱D1D的中点,则异面直线AE与A1C1所成角的余弦值为.15.(5分)已知二次函数f(x)=ax2+bx+c有最小值,且f(1﹣x)=f(1)+f(x)若f(x)在区间[2m,m+1]上不单调,则m的取值范围为.16.(5分)设点P是函数的图象上的任意一点,点Q(a,a﹣3)(a∈R),则|PQ|的最小值为.三、解答题:共70分.解答应写出文字说明,证明过程或演算步骤.第17~21题为必考题,每个试题考生都必须作答.22、23题为选考题,考生根据要求作答. 17.(12分)已知集合A={x|3﹣a≤x≤2+a},B={x|x2﹣8x+7≥0},全集U=R.(1)当a=3时,求A∩(∁U B);(2)若A∪B=R,求实数a的取值范围.18.(12分)设直线l1:x+y﹣1=0,l2:x﹣2y+2=0,l3:3x+my﹣6=0.(1)若直线l1,l2,l3交于同一点,求m的值;(2)若直线l与直线l1关于直线l2对称,求直线l的方程.19.(12分)已知圆C经过P(﹣3,﹣3),Q(2,2)两点,且圆心C在x轴上.(1)圆C的方程;(2)若直线l∥PQ,且l与圆C交于点A,B,且以线段AB为直径的圆经过坐标原点,求直线l的方程.20.(12分)如图,在直三棱柱ABC﹣A1B1C1中,AC=BC,点M为棱A1B1的中点.(1)求证:AB⊥平面CC1M;(2)若AC=BC=CC1=2,∠ACB=120°,求三棱锥A1﹣C1B1B的体积.21.(12分)已知函数f(x)=lg2x﹣2alg(10x)+3,.(1)当a=1时,求函数f(x)的值域;(2)若函数y=f(x)的最小值记为m(a),求m(a)的最大值.选做题:共10分.请考生在第22、23题中任选一题作答.如果多做,则按所做的第一题计分.22.(10分)已知幂函数y=f(x)的图象过点(4,m)和(9,3).(1)求m的值;(2)求函数g(x)=2f(x)在区间[16,36]上的值域.23.已知幂函数y=f(x)的图象过点(4,m)和(2,8).(1)求m的值;(2)求函数在区间[﹣1,2]上的值域.2017-2018学年江西省九江一中高一(上)期末数学试卷参考答案与试题解析一、选择题:本题共12小题,每小题5分,共60分.在每小题给出的四个选项中,只有一项是符合题目要求的.1.(5分)已知集合A={x∈N|(x+2)(x﹣2)<0},B={1,2},那么A∪B等于()A.{0,1,2}B.{2,1}C.{2}D.{1}【解答】解:∵集合A={x∈N|(x+2)(x﹣2)<0}={x∈N|﹣2<x<2}={0,1},B={1,2},∴A∪B={0,1,2}.故选:A.2.(5分)若直线与直线l垂直,则l的倾斜角为()A.30°B.60°C.120°D.150°【解答】解:∵直线与直线l垂直,直线直线的斜率k=﹣,∴直线l的斜率k′=,∴直线l的倾斜角为α=60°.故选:B.3.(5分)已知a=0.23,b=log30.2,c=30.2,则a,b,c的大小关系是()A.a<c<b B.b<a<c C.a<b<c D.b<c<a【解答】解:∵0<a=0.23<0.20=1,b=log30.2<log31=0,c=30.2>30=1,∴b<a<c.故选:B.4.(5分)函数f(x)=的单调减区间为()A.()B.()C.D.(1,+∞)【解答】解:令t=x2﹣x>0,求得x<0,或x>1,故函数的定义域为{x|x<0,或x>1},本题即求t在{x|x<0,或x>1}内的增区间.利用二次函数的性质可得t在{x|x<0,或x>1}内的增区间为(1,+∞),即函数f(x)=的单调减区间为(1,+∞),故选:D.5.(5分)函数f(x)=3x﹣log2(﹣x)有几个零点()A.3个B.2个C.1个D.0个【解答】解:在同一坐标系中画出函数y=3x和函数y=log2(﹣x)的图象,如下图所示:由图可知:函数y=3x和函数y=log2(﹣x)的图象有且只有一个交点,即数f(x)=3x﹣log2(﹣x)有且只有一个零点,故选:C.6.(5分)设m,n是两条不同的直线,α,β是两个不同的平面,下列说法正确的是()A.若m∥α,n⊆α,则m∥n B.若m⊥α,n⊥α,则m∥nC.若m∥α,n∥α,则n∥m D.若m⊂α,α⊥β,则m⊥β【解答】解:由m,n是两条不同的直线,α,β是两个不同的平面,知:在A中,若m∥α,n⊆α,则m与n平行或异面,故A错误;在B中,若m⊥α,n⊥α,则由线面垂直的性质定理得m∥n,故B正确;在C中,若m∥α,n∥α,则n与m相交、平行或异面,故C错误;在D中,若m⊂α,α⊥β,则m与β相交、平行或m⊂β,故D错误.故选:B.7.(5分)已知一个几何体的三视图如图所示,则这个几何体的体积是()A.B.C.D.【解答】解:由三视图知:几何体是圆柱挖去一个同底等高的圆锥,且圆锥与圆柱的底面半径为2,高都为5,∴几何体的体积V=π×22×5﹣π×22×5=.故选:B.8.(5分)三棱锥P﹣ABC,PA⊥平面ABC,AC⊥BC,AC=BC=2,,则该三棱锥外接球的表面积为()A.4πB.8πC.16πD.64π【解答】解:∵三棱锥P﹣ABC,PA⊥平面ABC,AC⊥BC,AC=BC=2,,∴以AC、BC、PA为棱构造长方体,则这个长方体的外接球就是该三棱锥外接球,∴该三棱锥外接球半径R===2,∴该三棱锥外接球的表面积S=4π×22=16π.故选:C.9.(5分)若函数在R上是单调递增函数,则a的取值范围为()A.(1,+∞)B.(2,3]C.(2,+∞)D.[1,2)【解答】解:∵函数,在R上是单调递增的函数,∴解得2<a≤3.故a的取值范围是(2,3].故选:B.10.(5分)已知点A(2,﹣3),B(﹣2,﹣2),直线l:mx+y﹣m﹣1=0与线段AB相交,则直线l的斜率k的取值范围是()A.k≥1或k≤﹣4B.﹣4≤k≤1C.k<﹣1D.﹣1≤k≤4【解答】解:直线l:mx+y﹣m﹣1=0过定点P(1,1),如图,∵,,∴直线l:mx+y﹣m﹣1=0与线段AB相交,则直线l的斜率k的取值范围是k≥1或k≤﹣4.故选:A.11.(5分)已知圆C:x2+y2=9,点P为直线x+2y﹣9=0上一动点,过点P向圆C 引两条切线PA,PB,A,B为切点,则直线AB经过定点()A.(4,8)B.(2,4)C.(1,2)D.(9,0)【解答】解:设P(9﹣2b,b),则以OP为直径的圆的方程为,①又圆C:x2+y2=9,②①﹣②可得直线l AB:(9﹣2b)x+by=9,即b(y﹣2x)+9x=9,联立,解得.∴直线AB经过定点(1,2).故选:C.12.(5分)已知函数,若关于x的方程f2(x)﹣bf (x)+1=0有8个不同根,则实数b的取值范围是()A.B.C.D.(﹣∞,﹣2)∪(2,+∞)【解答】解:令t=f(x),则t2﹣bt+1=0.方程f2(x)﹣bf(x)+1=0有8个不同根,则方程t2﹣bt+1=0的两根t1,t2∈(0,6],且t1≠t2,令g(t)=t2﹣bt+1,所以.故选:C.二、填空题:本题共4小题,每小题5分,共20分.13.(5分)计算:=6.【解答】解:=4+lg100=4+2=6.故答案为:6.14.(5分)如图,已知正方体ABCD﹣A1B1C1D1的棱长为2,E是棱D1D的中点,则异面直线AE与A1C1所成角的余弦值为.【解答】解:连结AC、CE,∵正方体ABCD﹣A1B1C1D1的棱长为2,E是棱D1D的中点,∴A1C1∥AC,∴∠EAC是异面直线AE与A1C1所成角(或所成角的补角),AE=CE==,AC==2,∴异面直线AE与A1C1所成角的余弦值:cos∠EAC===.故答案为:.15.(5分)已知二次函数f(x)=ax2+bx+c有最小值,且f(1﹣x)=f(1)+f(x)若f(x)在区间[2m,m+1]上不单调,则m的取值范围为.【解答】解:f(x)=ax2+bx+c有最小值,可得a>0,f(1﹣x)=f(1)+f(x),即a(1﹣x)2+b(1﹣x)+c=ax2+bx+2c+a+b可得:c=0,b=﹣a.∵[2m,m+1]上不单调,即2m<m+1,且2m<<m+1,∴,解得:,故答案为:.16.(5分)设点P是函数的图象上的任意一点,点Q(a,a﹣3)(a∈R),则|PQ|的最小值为.【解答】解:函数是以(1,0)为圆心半径为1的半圆:如图;点Q(a,a﹣3)(a∈R),在直线x﹣y﹣3=0上,则|PQ|的最小值为:圆心到直线的距离减去半径,可知,故答案为:.三、解答题:共70分.解答应写出文字说明,证明过程或演算步骤.第17~21题为必考题,每个试题考生都必须作答.22、23题为选考题,考生根据要求作答. 17.(12分)已知集合A={x|3﹣a≤x≤2+a},B={x|x2﹣8x+7≥0},全集U=R.(1)当a=3时,求A∩(∁U B);(2)若A∪B=R,求实数a的取值范围.【解答】解:(1)∵a=3时,集合A={x|0≤x≤5},B={x|x2﹣8x+7≥0}={x|x≤1或x≥7},全集U=R.∴C U B={x|1<x<7},∴A∩(∁U B)={x|1<x≤5}.(2)∵集合A={x|3﹣a≤x≤2+a},B={x|x2﹣8x+7≥0}={x|x≤1或x≥7},A∪B=R,∴,解得a≥5,∴实数a的取值范围是[5,+∞).18.(12分)设直线l1:x+y﹣1=0,l2:x﹣2y+2=0,l3:3x+my﹣6=0.(1)若直线l1,l2,l3交于同一点,求m的值;(2)若直线l与直线l1关于直线l2对称,求直线l的方程.【解答】解:(1)直线l1:x+y﹣1=0,l2:x﹣2y+2=0,求解l1,l2的交点坐标为(0,1),带入l3,可得m﹣6=0,即m=6;(2)由直线l1:x+y﹣1=0,l2:x﹣2y+2=0,可得l1,l2的交点坐标为(0,1),设直线l的方程为y﹣1=kx.即kx﹣y+1=0直线l2对上任取点坐标为(2,2)到直线l和直线l1的距离相等,即解得:k=﹣1或﹣7.∴直线l的方程为:7x﹣y+1=0.19.(12分)已知圆C经过P(﹣3,﹣3),Q(2,2)两点,且圆心C在x轴上.(1)圆C的方程;(2)若直线l∥PQ,且l与圆C交于点A,B,且以线段AB为直径的圆经过坐标原点,求直线l的方程.【解答】解:(1)设圆心C(c,0),则R2=(c+3)2+9=(c﹣2)2+4,解得:c=﹣1,R2=13.∴圆C方程:(x+1)2+y2=13;(2)∵P(﹣3,﹣3),Q(2,2),∴k PQ=1,由l∥PQ,设l:y=x+b,则线段AB的中垂线(过圆心C)为:x+y+1=0,联立,解得AB中点(),则以线段AB为直径的圆的半径满足:,则以线段AB为直径的圆方程为:,∵该圆过原点,∴,解得:b=4或﹣3,∴直线l:x﹣y+4=0或x﹣y﹣3=0.20.(12分)如图,在直三棱柱ABC﹣A1B1C1中,AC=BC,点M为棱A1B1的中点.(1)求证:AB⊥平面CC1M;(2)若AC=BC=CC1=2,∠ACB=120°,求三棱锥A1﹣C1B1B的体积.【解答】证明:(1)∵在直三棱柱ABC﹣A1B1C1中,AC=BC,点M为棱A1B1的中点.∴AA1⊥C1M,A1B1⊥C1M,∵AA1∩A1B1=A1,∴AB⊥平面CC1M.(2)∵AC=BC=CC1=2,∠ACB=120°,∴C1M===1,==2,∴三棱锥A1﹣C1B1B的体积:====.21.(12分)已知函数f(x)=lg2x﹣2alg(10x)+3,.(1)当a=1时,求函数f(x)的值域;(2)若函数y=f(x)的最小值记为m(a),求m(a)的最大值.【解答】解:(1)函数y=f(x)=lg2x﹣2lg(10x)+3,x∈[,10],可得f(x)=lg2x﹣2lgx+1=(lgx﹣1)2,令t=lgx,t∈[﹣2,1],则y=(t﹣1)2,t∈[﹣2,1],可得函数y的最小值为0,最大值为9,可得f(x)的值域为[0,9];(2)函数f(x)=lg2x﹣2alg(10x)+3,x∈[,10],令t=lgx,t∈[﹣2,1],则f(x)=g(t)=t2﹣2at﹣2a+3,对称轴为t=a,①当a<﹣2时,g(t)在[﹣2,1]递增,可得f(x)min=g(﹣2)=2a+7,②当﹣2≤a≤1时,,③当a>1时,g(t)在[﹣2,1]递减,可得f(x)min=g(1)=4﹣4a.所以当a<﹣2时,可得m(a)<3;当﹣2≤a≤1时,m(a)∈[0,4];当a>1时,m(a)<0.所以m(a)max=4.选做题:共10分.请考生在第22、23题中任选一题作答.如果多做,则按所做的第一题计分.22.(10分)已知幂函数y=f(x)的图象过点(4,m)和(9,3).(1)求m的值;(2)求函数g(x)=2f(x)在区间[16,36]上的值域.【解答】解:(1)设幂函数y=f(x)=xα,α为实数,其图象过点(4,m)和(9,3),∴9α=3,解得α=,∴f(x)=,∴m=f(4)==2,即m的值是2;(2)由题意知,x∈[16,36]时,f(x)=∈[4,6],∴g(x)=2f(x)∈[16,64],∴g(x)的值域是[16,64].23.已知幂函数y=f(x)的图象过点(4,m)和(2,8).(1)求m的值;(2)求函数在区间[﹣1,2]上的值域.【解答】解:(1)设幂函数y=f(x)=xα,α为实数,其图象过点(4,m)和(2,8),∴2α=8,解得α=3,∴f(x)=x3,∴m=f(4)=43=64,即m的值是64;(2)由题意知,x∈[﹣1,2]时,f(x)=x3∈[﹣1,8],∴g(x)=∈[,2],赠送—高中数学知识点【1.3.1】单调性与最大(小)值(1)函数的单调性函数的性质定义图象判定方法函数的单调性如果对于属于定义域I内某个区间上的任意两个自变量的值x1、x2,当x.1.< .x.2.时,都有f(x...1.)<f(x.....2.).,那么就说f(x)在这个区间上是增函数....x1x2y=f(X)xyf(x )1f(x )2o(1)利用定义(2)利用已知函数的单调性(3)利用函数图象(在某个区间图象上升为增)(4)利用复合函数如果对于属于定义域I 内某个区间上的任意两个自变量的值x 1、x 2,当x .1.< .x .2.时,都有f(x ...1.)>f(x .....2.).,那么就说f(x)在这个区间上是减函数.... y=f(X)yx ox x 2f(x )f(x )211(1)利用定义(2)利用已知函数的单调性(3)利用函数图象(在某个区间图 象下降为减)(4)利用复合函数②在公共定义域内,两个增函数的和是增函数,两个减函数的和是减函数,增函数减去一个减函数为增函数,减函数减去一个增函数为减函数.③对于复合函数[()]y f g x =,令()u g x =,若()y f u =为增,()u g x =为增,则[()]y f g x =为增;若()y f u =为减,()u g x =为减,则[()]y f g x =为增;若()y f u =为增,()u g x =为减,则[()]y f g x =为减;若()y f u =为减,()u g x =为增,则[()]y f g x =为减. (2)打“√”函数()(0)af x x a x=+>的图象与性质 ()f x 分别在(,]a -∞-、[,)a +∞上为增函数,分别在[,0)a -、]a 上为减函数.(3)最大(小)值定义①一般地,设函数()y f x =的定义域为I ,如果存在实数M 满足:(1)对于任意的x I ∈,都有()f x M ≤; (2)存在0x I ∈,使得0()f x M =.那么,我们称M 是函数()f x 的最大值,记作max ()f x M =.②一般地,设函数()y f x =的定义域为I ,如果存在实数m 满足:(1)对于任意的x I ∈,都有()f x m ≥;(2)存在0x I ∈,使得0()f x m =.那么,我们称m 是函数()f x 的最小值,记作max ()f x m =.【1.3.2】奇偶性(4)函数的奇偶性①定义及判定方法yxo函数的 性 质定义图象 判定方法 函数的 奇偶性如果对于函数f(x)定义域内任意一个x ,都有f(..-.x)=...-.f(x ...).,那么函数f(x)叫做奇函数....(1)利用定义(要先判断定义域是否关于原点对称) (2)利用图象(图象关于原点对称) 如果对于函数f(x)定义域内任意一个x ,都有f(..-.x)=...f(x)....,那么函数f(x)叫做偶函数....(1)利用定义(要先判断定义域是否关于原点对称) (2)利用图象(图象关于y 轴对称) ②若函数()f x 为奇函数,且在0x =处有定义,则(0)0f =.③奇函数在y 轴两侧相对称的区间增减性相同,偶函数在y 轴两侧相对称的区间增减性相反.④在公共定义域内,两个偶函数(或奇函数)的和(或差)仍是偶函数(或奇函数),两个偶函数(或奇函数)的积(或商)是偶函数,一个偶函数与一个奇函数的积(或商)是奇函数.∴g (x )的值域是[,2].。