六西格玛黑带考试的各章考试重点
- 格式:pdf
- 大小:117.56 KB
- 文档页数:7
六西格玛黑带考试各章节考点汇总该文档的说明:汇总了书上重点章节,通过本内容的复习可以找出重点内容并加以学习。
第一章六西格玛管理概论1.1 六西格玛管理的发展1.1.1 质量概念的演进和质量管理的发展1.质量概念的演进质量:一组固有特性满足要求的程度。
(ISO9000:2015)(1)质量概念中主体的演进质量概念中的主体是指“什么的质量”。
⏹产品的质量。
包括性能、可信性等实物质量。
⏹产品和服务的质量。
扩展到包括准时交付、周期时间等服务质量。
⏹产品、服务和过程的质量。
过程质量涉及5M1E,质量体现Q(实物质量)、C(成本)、D(交付)、E(环境)、S(安全)的综合质量。
⏹产品、服务、过程和体系的质量。
体系质量即管理系统的质量。
(2)质量概念中客体的演进质量概念中的客体是指“满足什么要求的质量”。
⏹符合性质量。
满足标准或规范要求。
⏹适用性质量。
满足顾客要求的程度,关键看对顾客是否适用。
⏹顾客及相关方综合满意的质量。
大质量概念,综合满足顾客、股东、员工、供应商及合作伙伴、社会等利益相关方(也称为五大利益相关方)的程度。
2.质量管理的发展经历了质量检验、统计质量控制、全面质量管理三大历史阶段。
(1)质量检验阶段。
(二战以前)三权分立:设计+制造+检验聚焦于产品质量。
代表人物:F.W.泰勒(科学管理之父)。
工人自检、工长监督检查、检验员专检。
两个问题:⏹事后检验,死后验尸;⏹全数检验,成本太高。
(2)统计质量控制(SQC)阶段(20世纪40-50年代)数理统计方法与质量管理结合,过程控制,形成了质量的预防性控制与事后检验相结合的管理方式。
代表人物:休哈特(W.A.Shewhart):统计过程控制(SPC)道奇(H.F.Dodge)、罗米格(H.G.Romig):抽样检验。
(3)全面质量管理(TQC)阶段(1960-)全员、全企业、全过程和多样化的方法。
代表人物:费根堡姆、朱兰、戴明、克劳士比、石川馨等。
费根堡姆(Feigenbaum)61年出版的《全面质量管理》:全面质量管理是为了能在最经济的水平上并考虑到充分满足顾客需求的条件下进行市场研究、设计、生产和服务,把企业各部门的研制质量、维持质量和提高质量的活动构成一体的有效体系。
《六西格玛管理》知识要点孙肃清整理序言:为帮助大家学习和掌握六西格玛管理知识,加深对六西格玛管理知识的认识,从容应对考试。
以红书《六西格玛管理》为基础,适当参照蓝书《六西格玛管理统计指南-MINITAB使用指南》,编撰了这篇《知识要点》。
所谓要点,即:主要的知识点,重要的概念、公式和方法、可能的考点以及重难点。
希望能对大家有所裨益。
特别需要提醒的是:第一至第四章、第九第十章的多选题会多一些,而历次考试丢分较多的往往是多选题。
第一章六西格玛管理概论1.1 六西格玛管理的发展1.1.1 质量概念的演进和质量管理的发展1.质量概念的演进质量:一组固有特性满足要求的程度。
(ISO9000:2005)(1)质量概念中主体的演进质量概念中的主体是指“什么的质量”。
⏹产品的质量。
包括性能、可信性等实物质量。
⏹产品和服务的质量。
扩展到包括准时交付、周期时间等服务质量。
⏹产品、服务和过程的质量。
过程质量涉及5M1E,质量体现Q(实物质量)、C(成本)、D(交付)、E(环境)、S(安全)的综合质量。
⏹产品、服务、过程和体系的质量。
体系质量即管理系统的质量。
(2)质量概念中客体的演进质量概念中的客体是指“满足什么要求的质量”。
⏹符合性质量。
满足标准或规范要求。
⏹适用性质量。
满足顾客要求的程度,关键看对顾客是否适用。
⏹顾客及相关方综合满意的质量。
大质量概念,综合满足顾客、股东、员工、供应商及合作伙伴、社会等利益相关方(也称为五大利益相关方)的程度。
2.质量管理的发展经历了质量检验、统计质量控制、全面质量管理三大历史阶段。
(1)质量检验阶段。
(二战以前)三权分立:设计+制造+检验聚焦于产品质量。
代表人物:F.W.泰勒(科学管理之父)。
工人自检、工长监督检查、检验员专检。
两个问题:⏹事后检验,死后验尸;⏹全数检验,成本太高。
(2)统计质量控制(SQC)阶段(20世纪40-50年代)数理统计方法与质量管理结合,过程控制,形成了质量的预防性控制与事后检验相结合的管理方式。
重庆6sigma黑带培训考试知识大纲I. 重庆六西格玛在全企业的展开A. 组织的价值观1. 6sigma价值观理解6sigma的组织价值和它的理念、目标和定义。
2. 业务系统和过程理解和区别业务系统和过程之间的相互关系。
3. 过程输入、输出和反馈描述过程的输入、输出和反馈对整个系统的影响。
B. 领导能力1.领导理解在6sigma推进过程中领导的角色(例如资源、组织架构)。
2.六西格玛角色和责任理解6sigma黑带、六西格玛黑带大师、6sigma绿带、六西格玛倡导者、6sigma执行领导者和过程所有者等角色。
C. 组织的目标理解关键驱动因素;理解关键度量指标/平衡记分卡。
1.把项目与组织目标相联系描述项目选择过程,包括知道何时使用6sigma改进方法(DMAIC),而不是使用其他的解决问题的工具,并且确保项目与组织目标相联系。
2.风险分析描述战略型风险分析的目的和益处,如SWOT、情景策划,包括在一个项目或过程中优化的要素可能导致对整个系统产生不利影响。
3.闭环评价和知识管理对达到目标的6sigma项目进行文件化,将获得的经验和教训进行管理,以便识别新的机会。
D. 6sigma与质量管理发展史了解六西格玛中使用的持续改进工具的起源(如戴明、朱兰、休哈特、石川馨、田口等)。
II. 过程管理A. 过程与职能的视角1.过程要素理解过程的组成部分和界线。
(分析)2.所有者和相关方识别过程的所有者,内部和外部顾客及其他相关方。
(分析)3. 6sigma项目管理与益处理解6sigma管理项目与使项目给经营带来最大利益之间的区别。
(分析)4.项目测量建立关键绩效度量指标和适宜的项目文档。
(分析)1.识别顾客细分顾客使之适合于每一特定的项目;列出每一细分的顾客中受项目影响的顾客;展示一个六西格玛项目如何影响内部和外部顾客;认识到顾客忠诚度对组织财务绩效的影响。
(分析)2.收集顾客数据运用多种方法收集顾客的反馈(调查、焦点小组、访问、观察等)并且理解每一种方法的优劣势;知晓使调查、访问和其他反馈工具有效的关键要素;审查问题清单以确保完整性(避免偏差、模糊不清等)。
六西格玛黑带考试经验分享及考题分布1.关于考试节奏:本人参加了2022年度9月4日的黑带考试,考试时间3小时,下午14:00-17:00。
考试形式为全机考,计算机自带计算器,考场提供草稿纸,需要自带水性笔。
通常答题时间需要控制2小时30分钟内,最后30分钟为检查时间。
2.题型:74道单选,10到填空题,36道多选(多选,少选不得分,总计120题,满分120分,80分及以上通过考试。
3.复习:中国质量协会红宝书《六西格玛管理》必备,书需要看2-3遍。
第1遍看完书后做书后模拟题,第2遍看完后做2套真题,第3遍看完再做2套真题。
这里划重点,六西格玛考试历年真题的重复考题在20%以上,遇到做过得真题就是送分,建议大家多多积累学习真题。
4.考题分布:各个章节的分数分布大致如下,每年每个章节的考点和分布都会有微小变化。
近两年来看,DOE章节内容较多,可以根据真题归纳分析不同章节重点题型,做到举一反三。
2011年六西格玛黑带考试真题及答案解析一 . 单选题(每题1分,总计84分)1.实施六西格玛管理最重要的目的在于:( )A.培养一批黑带,使他们成为统计学专家B.使企业的所有绩效指标都达到六西格玛质量水平C.建立超越ISO9000的质量管理体系目标展开。
在目标展开的过程中,要在财务和非财务、领先的和滞后的指标等各方面做出考虑,常使用的工具是:( )A.SWOT分析 B.力场分析 C.平衡计分卡 D.FMEA解析:红皮书 27页,答案C 。
平衡计分卡是战略部署的重要方法。
这个平衡的指标体系包含四套指标:财务,顾客,内部过程,学习及成长。
4.某医院为了减少门诊病人的诊疗时间,拟设立一个精益六西格玛项目,该项目涉及挂号、诊断、检查、治疗、取药等多个部门和科室。
关于项目团队构成,下述陈述中正确的是:A.该项目属于跨部门的项目,需要由院级领导牵头,各相关部门和科室人员参与B.如果项目成员中不同部门人员太多,协调会很困难,由任何一个独立部门完成即可C.为了保证不受这些相关部门利益的影响,最好安排与病人排队无关的部门人员参与D.团队来源于哪些部门不重要,关键是团队成员必须是精益六西格玛专家解析:答案A 。
六西格玛⿊带考试知识要点1《六西格玛管理》知识要点孙肃清整理序⾔:为帮助⼤家学习和掌握六西格玛管理知识,加深对六西格玛管理知识的认识,从容应对考试。
以红书《六西格玛管理》为基础,适当参照蓝书《六西格玛管理统计指南-MINITAB使⽤指南》,编撰了这篇《知识要点》。
所谓要点,即:主要的知识点,重要的概念、公式和⽅法、可能的考点以及重难点。
希望能对⼤家有所裨益。
特别需要提醒的是:第⼀⾄第四章、第九第⼗章的多选题会多⼀些,⽽历次考试丢分较多的往往是多选题。
第⼀章六西格玛管理概论1.1 六西格玛管理的发展1.1.1 质量概念的演进和质量管理的发展1.质量概念的演进质量:⼀组固有特性满⾜要求的程度。
(ISO9000:2005)(1)质量概念中主体的演进质量概念中的主体是指“什么的质量”。
产品的质量。
包括性能、可信性等实物质量。
产品和服务的质量。
扩展到包括准时交付、周期时间等服务质量。
产品、服务和过程的质量。
过程质量涉及5M1E,质量体现Q(实物质量)、C(成本)、D(交付)、E(环境)、S(安全)的综合质量。
产品、服务、过程和体系的质量。
体系质量即管理系统的质量。
(2)质量概念中客体的演进质量概念中的客体是指“满⾜什么要求的质量”。
符合性质量。
满⾜标准或规范要求。
适⽤性质量。
满⾜顾客要求的程度,关键看对顾客是否适⽤。
顾客及相关⽅综合满意的质量。
⼤质量概念,综合满⾜顾客、股东、员⼯、供应商及合作伙伴、社会等利益相关⽅(也称为五⼤利益相关⽅)的程度。
2.质量管理的发展经历了质量检验、统计质量控制、全⾯质量管理三⼤历史阶段。
(1)质量检验阶段。
(⼆战以前)三权分⽴:设计+制造+检验聚焦于产品质量。
代表⼈物:F.W.泰勒(科学管理之⽗)。
⼯⼈⾃检、⼯长监督检查、检验员专检。
两个问题:事后检验,死后验⼫;全数检验,成本太⾼。
(2)统计质量控制(SQC)阶段(20世纪40-50年代)数理统计⽅法与质量管理结合,过程控制,形成了质量的预防性控制与事后检验相结合的管理⽅式。
《六西格玛管理》知识要点孙肃清整理序言:为帮助大家学习和掌握六西格玛管理知识,加深对六西格玛管理知识的认识,从容应对考试。
以红书《六西格玛管理》为基础,适当参照蓝书《六西格玛管理统计指南-MINITAB使用指南》,编撰了这篇《知识要点》。
所谓要点,即:主要的知识点,重要的概念、公式和方法、可能的考点以及重难点。
希望能对大家有所裨益。
特别需要提醒的是:第一至第四章、第九第十章的多选题会多一些,而历次考试丢分较多的往往是多选题。
第一章六西格玛管理概论1.1 六西格玛管理的发展1.1.1 质量概念的演进和质量管理的发展1.质量概念的演进质量:一组固有特性满足要求的程度。
(ISO9000:2005)(1)质量概念中主体的演进质量概念中的主体是指“什么的质量”。
⏹产品的质量。
包括性能、可信性等实物质量。
⏹产品和服务的质量。
扩展到包括准时交付、周期时间等服务质量。
⏹产品、服务和过程的质量。
过程质量涉及5M1E,质量体现Q(实物质量)、C(成本)、D(交付)、E(环境)、S(安全)的综合质量。
⏹产品、服务、过程和体系的质量。
体系质量即管理系统的质量。
(2)质量概念中客体的演进质量概念中的客体是指“满足什么要求的质量”。
⏹符合性质量。
满足标准或规范要求。
⏹适用性质量。
满足顾客要求的程度,关键看对顾客是否适用。
⏹顾客及相关方综合满意的质量。
大质量概念,综合满足顾客、股东、员工、供应商及合作伙伴、社会等利益相关方(也称为五大利益相关方)的程度。
2.质量管理的发展经历了质量检验、统计质量控制、全面质量管理三大历史阶段。
(1)质量检验阶段。
(二战以前)三权分立:设计+制造+检验聚焦于产品质量。
代表人物:F.W.泰勒(科学管理之父)。
工人自检、工长监督检查、检验员专检。
两个问题:⏹事后检验,死后验尸;⏹全数检验,成本太高。
(2)统计质量控制(SQC)阶段(20世纪40-50年代)数理统计方法与质量管理结合,过程控制,形成了质量的预防性控制与事后检验相结合的管理方式。
1.协助倡导者、企业高层领导筛选对企业来说至关重要的六西格玛项目,选择合适的人员,并在项目进行中培训和指导,主要是下述哪个角色的职责:A.绿带(GB)B.黑带(BB)C.资深黑带(MBB)D.业务负责人2.对某项目实行风险分析,琳决定预期的收益(或损失),并得到以下四种不相交的可能结果:结果A显示有34,000元的收益,并有0.25的发生概率结果B显示有120,000元的收益,并有0.40的发生概率结果C显示有40,000元的损失,并有0.10的发生概率结果D显示有100,000元的收益,并有0.25的发生概率则预期的收益(或损失)是:A.130,000元B.520,000元C.85,500元D.77,500元8.在六西格玛项目实施过程中,团队运用头脑风暴法时遇到了这样的问题:一些成员对另一些成员提出的想法表示异议,由此大家争论了起来。
这时,作为团队负责人,你应该:A.保持沉默,让大家继续争论B.请团队中的权威人士发言,就大家的争论做出评判C.制止争论,将各方的想法记录下来D.采用投票法,按多数人的意见形成决议10.在选定了六西格玛项目后,要编写项目特许任务书,一个特许项目任务书不应包括以下哪项内容:A.项目问题描述B.改进机会描述C.改进目标D.问题主要影响因素18.指数加权移动平均控制图(EWMA)适用于下列哪种场合:A.探测均值持续的较小漂移B.探测均值较大的漂移C.自相关过程D.探测均值较大的偏移和平滑数据19.己知过程能力指数Cp=1.5,Cpk=1.4,Ppk=0.8,首先应该采取下列哪种措施:A.调整过程均值,使其接近公差中心B.调整公差限,使公差范围增大C.因Cp与Cpk近似相等,且都大于1.33,无需采取任何措施D.判定过程稳定性有问题,找出影响稳定的因素并消除,保持稳定过程,使其处于受控状态22.对离散型测量系统研究时,可以对名义值数据进行属性一致性分析,通常采用Kappa系数来表征结果的一致性,请问Kappa=O表明了什么?A.观测到的评价结果一致性很好B.观测到的评价结果的一致性可能与随机猜测的一致性相同C.观测到的评价结果比随机猜测的一致性耍稍好些D.观测到的评价结果无法判断是否具有一致性24.据统计某打字员每页的平均差错数为2个,假定差错的出现是随机的。
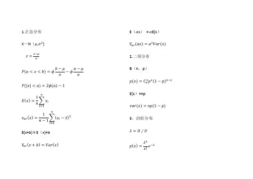
1.正态分布X~N(μ,σ2)z=x−μσP(a<x<b)=ϕb−μσ−ϕa−μσP(|x|<a)=2ϕ(a)−1E(x)=1n∑x ini=1v ar(x)=1n−1∑(x i−x̅)2ni=1E(x+b) = E(x)+bV ar(x+b)=Var(x)E(a x)= a E(x)V ar(ax)=a2Var(x) 2.二项分布B(n,p)p(x)=C n x p x(1−p)n−x E(x)=npvar(x)=np(1−p) 3。
泊松分布λ=D∕Up(x)=λxx!ⅇ−λE (x)=var(x )= λ 4.超几何分布X ~H (n ,N ,M ) n,样本量;N ,批量; M,批不合格品数;x,样本不合格数 p (x )=C N−M n−x C mx C Nn / p (x )=C N N−x C NME (x )=nMNvar (x )=n (N −n )N −1M N (1−MN )5.均匀分布 X ~U(a,b)p (x )=1b −a ,a <x <bE (x )=a +b2var (x )=(b −a )2126。
指数分布 x~E (λ)p (X≤x )=1−ⅇ−λx E (x )=1λvar (x )=1λ27。
C p=% PV⁄% P T⁄8.C pkA=C pA−ΔA3σAΔA=μA−μ09。
10。
p(d)=ϕ(3C pk−6C p)+ϕ(−3C pk) 11.分辨力Unit 测量值最小间距⋃nⅈt≤m i n(6σ10,UsL−LsL10)n dc=⌊1.41∗σpσms⌋=⌊√2σp2σmS2⌋12。
P图控制限UCL=p̅+3√p̅(1−p̅)√nLCL=p̅−3√p̅(1−p̅)√n13.C图控制限UCL=C+3√c̅LCL=014。
过程分布中心/偏移量2|M−μ|T=1−C pkC pM:均值;μ:规格中心15.二项分布概率C nx =n!(n −x )!P (x )=C n x p x (1−p)n−x16。
2017年六西格玛管理黑带考试知识要点红皮书整理序言:为帮助大家学习和掌握六西格玛管理知识,加深对六西格玛管理知识的认识,从容应对考试。
以红书《六西格玛管理》为基础,适当参照蓝书《六西格玛管理统计指南-MINITAB使用指南》,编撰了这篇《知识要点》。
所谓要点,即:主要的知识点,重要的概念、公式和方法、可能的考点以及重难点。
希望能对大家有所裨益。
特别需要提醒的是:第一至第四章、第九第十章的多选题会多一些,而历次考试丢分较多的往往是多选题。
第一章六西格玛管理概论1.1 六西格玛管理的发展1.1.1 质量概念的演进和质量管理的发展1.质量概念的演进质量:一组固有特性满足要求的程度。
(ISO9000:2005)(1)质量概念中主体的演进质量概念中的主体是指“什么的质量”。
⏹产品的质量。
包括性能、可信性等实物质量。
⏹产品和服务的质量。
扩展到包括准时交付、周期时间等服务质量。
⏹产品、服务和过程的质量。
过程质量涉及5M1E,质量体现Q(实物质量)、C(成本)、D(交付)、E(环境)、S(安全)的综合质量。
⏹产品、服务、过程和体系的质量。
体系质量即管理系统的质量。
(2)质量概念中客体的演进质量概念中的客体是指“满足什么要求的质量”。
⏹符合性质量。
满足标准或规范要求。
⏹适用性质量。
满足顾客要求的程度,关键看对顾客是否适用。
⏹顾客及相关方综合满意的质量。
大质量概念,综合满足顾客、股东、员工、供应商及合作伙伴、社会等利益相关方(也称为五大利益相关方)的程度。
2.质量管理的发展经历了质量检验、统计质量控制、全面质量管理三大历史阶段。
(1)质量检验阶段。
(二战以前)三权分立:设计+制造+检验聚焦于产品质量。
代表人物:F.W.泰勒(科学管理之父)。
工人自检、工长监督检查、检验员专检。
两个问题:⏹事后检验,死后验尸;⏹全数检验,成本太高。
(2)统计质量控制(SQC)阶段(20世纪40-50年代)数理统计方法与质量管理结合,过程控制,形成了质量的预防性控制与事后检验相结合的管理方式。
6 Sigma BB认证考试第一部分(30% )30 题1. 确定项目选择及项目优先级是下列哪个角色的责任A. 黑带B. 黑带大师C. 绿带D. 倡导者2. 某一产品规格为 0.40 +/- 0.02, 平均值是 0.36 和标准差 0.015, 请算出超出上下规格线的百分比 ?A 9.12 %B 31.69 %C 90.88 %D 84.27 %3. 在定义阶段结束时,下述哪些内容应当得以确定?1、项目目标2、项目预期的财务收益3、项目所涉及的主要过程4、项目团队成员A. 1;B. 1 和4;C. 2 和3;D. 1、2、3 和44. 在测量系统分析时,我们知道总变异等于测量系统的变异加上样本的变异,其中测量系统的变异又是由以下哪一对变异造成的?A. 系统方差和偏倚B. 噪声系统和重复性C. 操作员的变异和仪器的变异D. 重复性的变异和再现性的变异5. 在钳工车间自动钻孔的过程中,取30 个钻孔结果分析,其中心位置与规定中心点在水平方向的偏差值的平均值为1 微米,标准差为8 微米。
测量系统进行分析后发现重复性(Repeatability )标准差为3 微米,再现性(Reproducibility )标准差为4 微米。
从精确度/ 过程波动的角度来分析,可以得到结论:A. 本测量系统从精确度/过程波动比(R&R%) 来说是完全合格的B. 本测量系统从精确度/过程波动比(R&R%) 来说是勉强合格的C. 本测量系统从精确度/过程波动比(R&R%) 来说是不合格的D. 上述数据不能得到精确度/过程波动比(R&R%), 从而无法判断6.以下哪个不是DOE的目的 ?A. 筛选输入变量B. 筛选输出变量C. 优化输出变量D,确定输入变量的设定范围7. 对一个正态分布而言,在平均值两边各三个标准差(standard deviations)的范围内大约会包含总体的多少比例?A. 47%B. 68%C. 95%D.99%8. 对于一个稳定的分布为正态的生产过程,计算出它的工序能力指数Cp =1.65,Cpk =0.92 。
六西格玛黑带考试经验分享及考题分布1.关于考试节奏:本人参加了2022年度9月4日的黑带考试,考试时间3小时,下午14:00-17:00。
考试形式为全机考,计算机自带计算器,考场提供草稿纸,需要自带水性笔。
通常答题时间需要控制2小时30分钟内,最后30分钟为检查时间。
2.题型:74道单选,10到填空题,36道多选(多选,少选不得分,总计120题,满分120分,80分及以上通过考试。
3.复习:中国质量协会红宝书《六西格玛管理》必备,书需要看2-3遍。
第1遍看完书后做书后模拟题,第2遍看完后做2套真题,第3遍看完再做2套真题。
这里划重点,六西格玛考试历年真题的重复考题在20%以上,遇到做过得真题就是送分,建议大家多多积累学习真题。
4.考题分布:各个章节的分数分布大致如下,每年每个章节的考点和分布都会有微小变化。
近两年来看,DOE章节内容较多,可以根据真题归纳分析不同章节重点题型,做到举一反三。
一、单选题(84分)六西格玛黑带考试真题-2015年1. 试验设计是质量改进的有效工具,最早基于农业试验提出方差分析与试验设计理论的是:A .休哈特(W.A.Shewhart )B .道奇和罗米格(H.F.Dodge and H.G.Romig )C .费希尔(R.A.Fisher )D .戴明(R.E.Deming )解析:红皮书 第5页有说明,A 创立了S P C 理论以及PD C A 循环,B 发表了 抽样2. 在六西格玛推进过程中,黑带的主要角色是: A .带领团队使用六西格玛方法完成项目 B .合理分配资源 C .确定公司发展战略 D .核算六西格玛项目收益 解析: 红皮书31页有职责说明,B 是倡导者的角色,C 是高层领导角色, D 属于财务要做的 。
答案A3. 在对老产品改型的六西格玛设计(DMADV )项目中,测量阶段的主要工作是:A. 测量产品新设计的关键质量特性(CTQ )B. 基于关键质量特性(CTQ )确定测量对象C. 识别顾客需求D. 确定新过程能力 解析; 红皮书38页,图表中内容, 答案B4. SWOT 分析是战略策划的基础性分析工具。
1.正态分布X~N(μ,σ2)z=x−μσP(a<x<b)=ϕb−μσ−ϕa−μσP(|x|<a)=2ϕ(a)−1E(x)=1n∑x ini=1v ar(x)=1n−1∑(x i−x̅)2ni=1E(x+b) = E(x)+bV ar(x+b)=Var(x)E(a x) = a E(x)V ar(ax)=a2Var(x)2.二项分布B(n,p)p(x)=C n x p x(1−p)n−x E(x)=npvar(x)=np(1−p)3.泊松分布页脚内容8λ=D∕Up(x)=λxx!ⅇ−λE(x)=var(x)= λ4.超几何分布X~H(n,N,M) n,样本量;N,批量;M,批不合格品数;x,样本不合格数p(x)=C N−Mn−x CmxC N n/ p(x)=C NN−xC N ME(x)=nMNvar(x)=n(N−n)N−1MN(1−MN)5.均匀分布X~U(a,b)p(x)=1b−a,a<x<bE(x)=a+b2页脚内容8var(x)=(b−a)2126.指数分布x~E(λ)p(X≤x)=1−ⅇ−λxE(x)=1var(x)=1λ27.C p=%PV⁄% P T⁄8.C pkAAΔA=μA−μ09.2pkpm k)(1σμ-+=MCCpm=C页脚内容810.p(d)=ϕ(3C pk−6C p)+ϕ(−3C pk)11.分辨力Unit 测量值最小间距⋃nⅈt≤m i n(6σ10,UsL−LsL10)n dc=⌊1.41∗σpms⌋=⌊√2σp2m S2⌋12.P图控制限UCL=p̅+3√p̅(1−p̅)√nLCL=p̅−3√p̅(1−p̅)√n13.C图控制限UCL=C+3√c̅LCL=014.过程分布中心/偏移量2|M−μ|T=1−C pkC p页脚内容8页脚内容8M :均值;μ:规格中心15.二项分布概率C nx =n!() P (x )=C n x p x (1−p )n−x16.决定系数/相关系数R 2=ss A ss TR a ⅆj2=1−SS E ∗(n −1)SS T ∗(n −m )n :样本数 m :自变量数17.卡方分布期望值=(行和*列和)/总和χ2=∑(f 0−f e)2egj=1f 0:观测值 f e :期望值18.T值t=x̅−μσ√n ⁄19.中心值 M。
6西格玛黑带考试试题6西格玛黑带考试试题在当今竞争激烈的商业环境中,企业需要不断提高效率和质量,以保持竞争优势。
为了实现这一目标,许多企业开始采用6西格玛方法论来改善业务流程和减少缺陷。
6西格玛黑带考试是评估个人对6西格玛方法论的理解和应用能力的一种方式。
本文将介绍一些典型的6西格玛黑带考试试题,帮助读者更好地了解这一考试的内容和要求。
第一部分:基础知识1. 什么是6西格玛方法论?2. 请简要解释DMAIC(定义、测量、分析、改进、控制)方法的每个步骤。
3. 请列举一些常用的质量工具和技术,用于解决业务流程中的问题。
第二部分:统计学知识1. 什么是正态分布?请解释正态分布的主要特征。
2. 请解释假设检验的概念和步骤。
3. 什么是ANOVA(方差分析)?请简要解释ANOVA的作用和应用领域。
第三部分:数据分析1. 请解释测量系统分析(MSA)的概念和目的。
2. 什么是回归分析?请简要解释回归分析的原理和应用。
3. 请解释因果图的概念和作用。
第四部分:过程改进1. 请解释流程能力指数(Cp)和过程能力指数(Cpk)的概念和计算方法。
2. 请解释控制图的概念和作用。
3. 请解释散点图的概念和应用。
第五部分:项目管理1. 请解释项目管理的概念和重要性。
2. 什么是Gantt图?请简要解释Gantt图的作用和使用方法。
3. 请解释风险管理的概念和步骤。
第六部分:团队领导1. 请解释团队动力学的概念和影响因素。
2. 什么是冲突管理?请简要解释冲突管理的原则和技巧。
3. 请解释有效沟通的概念和要素。
通过回答这些试题,考生可以展示他们对6西格玛方法论的理解和应用能力。
这些试题涵盖了6西格玛的基础知识、统计学知识、数据分析、过程改进、项目管理和团队领导等方面。
通过考试,考生将被评估他们在这些领域的知识和技能,以及他们在实际项目中应用这些知识和技能的能力。
总结起来,6西格玛黑带考试试题涵盖了广泛的主题,要求考生具备扎实的理论知识和实践经验。
六西格玛黑带考试的各章考试重点。
第一章 六西格玛管理概论
重点:
1、质量管理发展的三个阶段;
2、质量大师的贡献
3、戴明14点
4、朱兰质量管理三部曲
5、田口四大技术、QLF概念、设计三阶段、
6、六西格玛起源
7、SWOT分析
8、平衡记分卡的四个维度
9、倡导者、资深黑带、黑带、绿带等的职责
10、DMAIC各阶段的任务
11、六西格玛方法可以解决哪些问题
12、乔杜里的DFSS流程
第二章 六西格玛与过程管理
1、过程的输入与输出
2、过程相关方
3、价值链、过程类别
4、项目管理的作用
5、内、外部顾客的区分
6、卡诺质量模型:三种质量 会区分、会判断
7、常用顾客调查方法 书面邮件 电话调查 专人访
问 焦点小组--优缺点
8、亲和图法的实施步骤
9、关键顾客要求转化工具--QFD
10、数据类型--离散、连续
11、会计算DPU、DPMO
12、FTY、RTY会计算---注意与DPMO的联系
13、水平方法的应用范围和步骤
14、会计算六西格玛项目的财务收益--重点降低成本、不合格率
15、会计算内部收益率IRR、投资回报率ROI
16、传统质量成本与现代质量成本、不良质量成本的概念及构成
17、不良质量成本科目P62-63
例题
1、生产某产品有4道工序,初检合格率FTY为80%,产品在该工序的缺陷机会数为400,求该工序的DPMO
2、(多选)顾客需求包括
a、顾客及潜在顾客的需求
b、法规及安全标准需求
c、竞争对手的顾客需求
d、供货商的需求
3、单位数和缺陷数[D]不变,只增加机会数[O]将可能导致
A.DPMO分子增大从而使西格玛水平提高
B.DPMO分子增大从而使西格玛水平降低
C.DPMO分母增大从而使西格玛水平提高
D.DPMO分母增大从而使西格玛水平降低
4、(多选)卡诺[KANO]模型中提到的质量要素有:
A 理所当然质量
B 一元质量
C 魅力质量
D 不应该质量
5、企业欲制定一个5年的企业发展战略规划,他们选择了水平对比法(Ben chmarking)来评定加工和制造能力。
此时,他们选择的对比对象(标竿企业)应是:
A 国内外同行业加工制造能力最强的企业
B 同行业小型加工企业
C 发展中国家同行业的企业
D 日本和东南亚的同行业企业
第三章 六西格玛项目管理
1、项目选择原则
2、平衡记分卡的四个维度及包含内容-会判断
3、项目PPI计算
4、SMART原则
5、项目选择应该注意哪些问题?
6、立项表要素
7、项目规划工具--甘特图、网络计划
8、达克曼项目团队发展四个阶段
9、团队工具-4个
10、风险管理的三个步骤
11、新7种工具--重点网络图-关键路径
第四章 界定
1、过程的SIPOC图
2、利益相关方包括哪些?
3、界定阶段常用的工具
4、项目目标度量的三种类型及度量指标
5、立项表问题陈述注意点
第五章 测量
1、流程图
2、因果图与因果矩阵
3、PFMEA
4、理解并熟练掌握0-1分布、二项分布、泊松分布、超几何分布的均值、方差、标准差计算
5、中心极限定理
6、常见的统计量
7、抽样分布
8、描述性统计方法
9、箱线图中的五个统计量
我今天将总结的48个复习要点全部放出。
先说说我的建议点:
1、对于分析阶段和改进阶段,大家一定要学习、消化书上的例题――特别是假设检验和DOE 部分
2、要掌握非参数检验部分的内容,特别是符号检验的大、小样本情形下的均值、样本差计算。
3、把二项式,泊松分布的公式临考前记下来,什么问题都没了。
而且基本上不会超过3题概率题,如果你是弱项,可以放弃,别太伤脑筋!
1、指数加权移动平均控制图(EWMA)适用于哪些场合?
2、会根据给出的Cp、Cpk、Ppk值,制定措施
3、偏态分布平均值与中位数的关系
4、离散型MSA的Kappa系数的意义
5、重复性、再现性的理解,不同情况下对测量系统的改进方案
6、描述行统计量的意义及应用。
如:样本中位数、样本极差、
标准差等
7、据Cp、Cpk、Ppk判断过程能力
8、MSA中准确性、精确性、稳定性的理解
9、会根据茎叶图确定中位数
10、因果矩阵重要度计算及排位
2、11、会根据描述行统计综合图,判定过程度能力充分与否
12、符号检验、单样本WILCOXON符号检验、MANN-WHITNEY检验
的应用场合
13、计算样本容量的方法――单样本比率检验
14、各种假设检验的适用条件
15、会分析描述行统计图并得出结论
16、双样本T检验的MTB结果分析
17、多元回归中因子的选择(根据软件结果)
18、会计算回归方程中的S、R-sq(调整)
19、会根据ANOVA信息表,计算F值或MS值
20、会按给出的条件确定抽样方案
3、21、列联表要掌握
22、回归方程的系数问题
23、假设检验中会确定原假设和备择假设
24、会根据样本观测值确定样本中某个值的秩
25、会确定DOE的试验点
26、根据给出的DOE方案确定试验类型
27、会选择生成元
28、会分析RSM的结果
29、会判定分辨度
30、会分析中心复合DOE的MTB结果,把握R2(adj)与R2的关
系
4、31、会判断CCC、CCI、CCF、BB设计的应用情况
32、对于编码设计要会计算实际值
33、会分析全模型的MTB结果
34、会确定主效应
35、会正确选用控制图
36、掌握各种控制图选择样本数量的基本原则
37、当控制图中取样数量变化时,一、二类风险的变化
38、控制图的判异与判稳
39、会计算节拍时间
40、掌握SMED、看板、防错、标准工作的内容及应用
5、41、会计算设备的时间开动率
42、掌握望目特征、望小特征、望大特征的损失函数的意义
43、掌握TRIZ的40项原则
44、田口三次设计
45、掌握OEE、DFM、并行工程的概念
46、掌握DOE中模型诊断地内容
47、掌握QFD、FMEA的作用及相关计算
48、掌握DFSS的流程。