山西省晋中市2019年高一下学期数学期中考试试卷C卷
- 格式:doc
- 大小:398.00 KB
- 文档页数:10
2019学年山西省太原市高一下学期阶段性测评(期中考试)数学试卷【含答案及解析】姓名___________ 班级____________ 分数__________一、选择题1. 已知向量,,且,则()A. 4B. 3C. 2D. 12. 若为第三象限角,则()A. B. C. D.3. 终边在直线上的角的集合是()A. B.C. D.4. 已知,,,则()A. B. C. D.5. 已知四边形为平行四边形,,,则()A. B. C. D.6. 已知函数,则()A. 函数的图象关于点对称B. 函数的图象关于直线对称C. 函数的图象向右平移个单位后关于原点对称D. 函数的图象向右平移个单位后关于直线对称7. 下列说法不正确的是()A. ,为不共线向量,若,则B. 若,为平面内两个不相等向量,则平面内任意向量都可以表示为C. 若,,则与不一定共线D.8. 若,则()A. B. C. D.9. 函数的图象向右平移个单位,纵坐标不变,横坐标变为原来的2倍,再向上平移2个单位,得到,则()A. B.C. D.10. ()A. B. C. D. 111. 如图,在中,为的中点,过的直线交、所在直线于、,若,,则()A. 2B.C. 1D. 312. 已知函数,则的值域为()A. B. C. D.二、填空题13. __________ .14. 若,,则 __________ .三、选择题15. 若,,,则 __________ .四、填空题16. 如图,视一条河的两岸为两条平行直线,河宽500m,一艘船从河的一岸处出发到河对岸,已知船的速度为,水流速率为,当行驶航程最短时,所用的时间为 __________ min.五、解答题17. 已知向量, .(1)若,求;(2)若,求向量在方向上的投影(其中是与的夹角)18. 已知: .(1)化简;(2)若为第四象限角,且,求 .19. 函数(,,)的部分图象如图所示.(1)求的解析式;(2)求函数在上的单调递增区间及其在上的值域.20. (A)已知平行四边形中,,,为的中点, .(1)求的长;(2)设,为线段、上的动点,且,求的最小值.(B)已知平行四边形中,,,为的中点, .(1)求的长;(2)设为线段上的动点(不包含端点),求的最小值,以及此时点的位置.21. (A)已知,,,且函数的最小正周期为 .(1)求的值;(2)若,,,,求的值.(B)已知,,,且函数的最小正周期为 .(1)求的解析式;(2)若关于的方程,在内有两个不同的解,,求证: .参考答案及解析第1题【答案】第2题【答案】第3题【答案】第4题【答案】第5题【答案】第6题【答案】第7题【答案】第8题【答案】第9题【答案】第10题【答案】第11题【答案】第12题【答案】第13题【答案】第14题【答案】第15题【答案】第16题【答案】第17题【答案】第18题【答案】第19题【答案】第20题【答案】第21题【答案】。
2019-2020学年晋中市平遥中学高一下学期期中数学试卷一、单选题(本大题共12小题,共60.0分) 1. 下列结论中正确的是( )A. 小于90°的角是锐角B. 第二象限的角是钝角C. 相等的角终边一定相同D. 终边相同的角一定相等2. 设x ,y ∈R ,向量a ⃗ =(x,−1),b ⃗ =(1,y),c ⃗ (4,−2),且a ⃗ //c ⃗ ,b ⃗ ⊥c ⃗ ,则|a ⃗ −b ⃗ |=(A. √5B. √10C. 2√5D. 103. 已知cos(π6+x)=13,则cos(5π6−x)的值为( )A. 13B. −13C. −2√23 D. 2√234. 下列四个命题中,正确的个数是( )①命题“∃x ∈R ,x 2−x >0”的否定是“∀x ∈R ,x 2−x <0”;②命题“若a >b ,则2a >2b −1”的否命题为“若a ≤b ,则2a ≤2b −1”; ③“命题p ∨q 为真”是“命题p ∧q 为真”的充分不必要条件;④在公差为d 的等差数列{a n }中,a 1=2,a 1,a 3,a 4成等比数列,则公差d 为−12.A. 0B. 1C. 2D. 35. △ABC 中,a =√2,b =√62,sinB =√22,则符合条件的三角形有( )A. 1个B. 2个C. 3个D. 4个6. 如图,已知点是边长为1的等边的中心,则等于( )A.B.C.D.7. 已知向量a ⃗ =(3,4),b ⃗ =(2,−1),如果向量a⃗ +x b ⃗ 与−b ⃗ 垂直,则x 的值为( ) A. −25B. 233C. 323D. 28. 已知函数f(x)=sin 4x −cos 4x ,则f(x)( )A. 关于x 轴对称B. 关于y 轴对称C. 关于原点对称D. 关于x =π4对称9.给出以下几个命题,其中是真命题的个数为()①若f(x)是定义在[−1,1]上的偶函数,且在[−1,0]上是增函数,θ∈(π4,π2),则f(sinθ)>f(cosθ);②若锐角α、β满足cosα>sinβ,则α+β<π2;③在△ABC中,“A>B”是“cosA<cosB”成立的充要条件;④要得到函数y=sin(x2−π4)的图象,只需将y=sin x2的图象向右平移π4个单位.A. 1B. 2C. 3D. 410.函数y=sin2x的图象向右平移个单位,得到的图象关于直线对称,则的最小值为A. B. C. D.11.把函数f(x)=2√3sinxcosx+cos2x的图像先向右平移π6个单位,得到函数g(x)的图像,再将g(x)的图像上的所有点的横坐标变成原来的12,得到函数ℎ(x)的图像,则下列说法正确的是()A. 函数的最小正周期为2πB. (5π6,0)是函数ℎ(x)图像的一个对称中心C. 函数ℎ(x)图像的一条对称轴方程为x=π6D. 函数ℎ(x)在区间[−π6,π3]上单调递增12.已知命题p:∀x∈R,x2+2x−3<0,则命题p的否定¬p为()A. ∃x0∈R,x02+2x0−3≥0B. ∀x∈R,x2+2x−3≥0C. ∃x0∈R,x02+2x0−3<0D. ∀x∈R,x2+2x−3<0二、单空题(本大题共4小题,共20.0分)13.给出以下四个命题:①若cosαcosβ=1,则sin(α+β)=0;②已知直线x=m与函数f(x)=sinx,g(x)=sin(π2−x)的图象分别交于点M,N,则|MN|的最大值为√2;③若数列a n=n2+λn(n∈N+)为单调递增数列,则λ取值范围是λ<−2;④已知数列a n 的通项a n =32n−11,其前n 项和为S n ,则使S n >0的n 的最小值为12. 其中正确命题的序号为______ .14. 已知O 为坐标原点,点A(5,−4),点M(x,y)为平面区域{x +y ≥2x <1y ≤2内的一个动点,则OA ⃗⃗⃗⃗⃗ ⋅OM⃗⃗⃗⃗⃗⃗⃗ 的取值范围是______ . 15. 对下列命题:①直线y =a 与函数f(x)=tan(2x −π6)的图象相交,则相邻两交点的距离为π2; ②点(π3,0)是函数f(x)=tan(2x −π6)的图象的一个对称中心;③函数y =cos(ωx −π4)(ω>0)在(π2,π)上单调递减,则ω的取值范围为[12,54];④函数g(x)=2sin(2x +φ)(0<φ<2π),若g(x)≤|g(π12)|对∀x ∈R 恒成立,则φ=π3. 其中所有正确命题的序号为 .16. 已知△ABC 的面积为360,点P 是三角形所在平面内一点,且AP ⃗⃗⃗⃗⃗ =14AB ⃗⃗⃗⃗⃗ +14AC ⃗⃗⃗⃗⃗ ,则△PAB 的面积为______ .三、解答题(本大题共6小题,共70.0分) 17. 已知函数f(x)=sinxcosx +√3cos 2x.(Ⅰ)求f(π3)的值;(Ⅱ)求f(x)在区间[0,π2]上的最大值. 18. 已知点和向量a⃗ =(2,3) (1)若向量与向量a ⃗ 同向,且|AB⃗⃗⃗⃗⃗ |=2√13,求点B 的坐标; (2)若向量a ⃗ 与向量b ⃗ =(−3,k)的夹角是钝角,求实数k 的取值范围.19. 已知函数f(x)=sinωx ⋅cosωx +√3cos 2ωx −√32(ω>0),直线x =x 1,x =x 2是y =f(x)图象的任意两条对称轴,且|x 1−x 2|的最小值为π4. (1)求f(x)的表达式; (2)若函数y =f(x)−m 在[π4,3π8]上有两个零点,求实数m 的取值范围.20. 已知△ABC 的面积为2,且满足0<AB ⃗⃗⃗⃗⃗ ⋅AC ⃗⃗⃗⃗⃗ ≤4,设AB ⃗⃗⃗⃗⃗ 和AC⃗⃗⃗⃗⃗ 的夹角为θ (1)求tanθ的取值范围(2)求函数f(θ)=2sin 2(π4+θ)−√3cos2θ的最值.21.已知向量a⃗=3i−j,b⃗ =2i+j,其中i,j是互相垂直的单位向量.(1)求向量a⃗在向量b⃗ 方向上的投影;(2)设向量m⃗⃗⃗ =a⃗−b⃗ ,n⃗=λa⃗+b⃗ ,若m⃗⃗⃗ ⊥n⃗,求实数λ的值.22.已知π2<α<π,tanα−cotα=−83(1)求tanα的值;(2)求sin(2α−π2)的值.【答案与解析】1.答案:C解析:本题考查象限角与轴线角的关系,终边相同的角的关系,属于基础题.利用终边相同的角,象限角的定义,利用反例判断选项即可.解:小于90°的角是锐角,显然不正确,例如−30°<90°,但是它不是锐角;第二象限的角是钝角,不正确,例如−210°是第二象限的角,但是不是钝角;相等的角终边一定相同,是正确的.终边相同的角一定相等,例如0°与360°终边相同,角不相等.故选C.2.答案:B解析:解:∵向量a⃗=(x,−1),b⃗ =(1,y),c⃗(4,−2),且a⃗//c⃗,b⃗ ⊥c⃗,∴−4+2x=0,4−2y=0.解得x=2,y=2.∴a⃗−b⃗ =(2,−1)−(1,2)=(1,−3),∴|a⃗−b⃗ |=√12+32=√10.故选:B.利用向量共线定理、向量垂直与数量积的关系即可得出.本题考查了向量共线定理、向量垂直与数量积的关系,属于基础题.3.答案:B解析:解:由cos(5π6−x)=cos(π−π6−x)=−cos(π6+x)∵cos(π6+x)=13,∴cos(5π6−x)=−13.故选B.根据诱导公式化简可求值.本题主要考查了诱导公式的化解能力.属于基本知识的考查.4.答案:B解析:解:对于①,命题“∃x∈R,x2−x>0”的否定是“∀x∈R,x2−x≤0”,故错误;对于②,命题“若a>b,则2a>2b−1”的否命题为“若a≤b,则2a≤2b−1”,正确;对于③,“命题p∨q为真”是“命题p∧q为真”的必要不充分条件,故错误;对于④,在公差为d的等差数列{a n}中,a1=2,a1,a3,a4成等比数列,则公差d为−12或0,故错误.故选:B.①,“>0”的否定是“≤0”;②,命题的否命题要条件和结论同时否定;③,“命题p∨q为真”,则“命题p∧q不一定为真”;④,a1=2,a1,a3,a4成等比数列,则公差d为−12或0.本题考查了命题的真假判定,属于基础题.5.答案:B解析:解:asinB=√2⋅√22=1,而1<b=√62<√2,所以有两个解,故选:B.利用三角形的边角关系,根据图象确定有2个解.考查判断三角形的个数问题,基础题.6.答案:D解析:解析:的夹角为,,=7.答案:A解析:解:∵向量a⃗=(3,4),b⃗ =(2,−1),∴a⃗+x b⃗ =(3+2x,4−x),∵向量a⃗+x b⃗ 与−b⃗ 垂直,∴−2(3+2x)+(4−x)=0,解得x=−25,故选A.先求出向量a⃗+x b⃗ 与−b⃗ 的坐标,再由两个向量垂直的坐标等价条件,列出方程求出x的值.本题考查了两个向量垂直的性质应用,两个向量坐标形式的运算,主要利用数量积为零进行运算.8.答案:B解析:解:∵函数f(x)=sin4x−cos4x=(sin2x−cos2x)⋅(sin2x+cos2x)=−cos2x,故f(x)为偶函数,故它的图象关于y轴对称,故选:B.利用二倍角公式化简函数的解析式,再根据三角函数的图象的对称性,得出结论.本题主要考查二倍角公式,三角函数的图象的对称性,属于基础题.9.答案:B解析:解:对于①,若f(x)是定义在[−1,1]上的偶函数,且在[−1,0]上是增函数,则f(x)是[0,1]上的减函数,由θ∈(π4,π2),得1>sinθ>cosθ>0,则f(sinθ)<f(cosθ).故①为假命题;对于②,若锐角α、β满足cosα>sinβ,即sin(π2−α)>sinβ,即π2−α>β,则α+β<π2.故②为真命题;对于③,在△ABC中,∵A,B∈(0°,180°),又余弦函数在(0°,180°)内单调递减,∴A>B⇔cosA<cosB.故命题③为真命题;对于④,要得到函数y=sin(x2−π4)的图象,即y=sin12(x−π2),只需将y=sin x2的图象向右平移π2个单位.故命题④为假命题.∴真命题的个数是2个.故选:B.由偶函数的图象关于y轴对称,再结合(π4,π2)上正弦值和余弦值的大小关系判断①;根据正弦函数的单调性,结合诱导公式,可以判断②的真假;由三角形内角的范围结合余弦函数的单调性判断③;直接由函数图象的平移判断④.本题考查命题的真假判断与应用,考查三角函数的性质,是中档题.10.答案:A解析:试题分析:令,则,且其图象恰好关于对称,∴或,∴或又,∴的最小值为,故选A.考点:正弦型函数的图象和性质11.答案:C解析:解:f(x)=2√3sinxcosx +cos2x =√3sin2x +cos2x =2sin(2x +π6).f(x)向右平移π6个单位,得到函数g(x)=2sin[2(x −π6)+π6]=2sin(2x −π6); 将g(x)的图像上的所有点的横坐标变成原来的12,得函数ℎ(x)=2sin(4x −π6). ℎ(x)的最小正周期T =2π4=π2,故A 错误; ℎ(5π6)=2sin(4×5π6−π6)=2sin7π6=−2sin π6=−12,故B 错误;ℎ(π6)=2sin π2=2,故x =π6是对称轴,故C 正确;当x ∈[−π6,π3]时,4x −π6∈[−5π6,7π6],y =sinx 在此区间上先减后增再减,故D 错误.故选:C .先将f(x)进行化简,然后结合图像的变换规律,求出g(x)的解析式,最后利用三角函数的图像与性质求解.本题主要是考查三角函数式的化简,三角函数图像的变换规律以及性质,属于中档题.12.答案:A解析:解:因为全称命题的否定是特称命题,所以命题p :∀x ∈R ,x 2+2x −3<0,则命题p 的否定¬p 为:∃x 0∈R ,x 02+2x 0−3≥0.故选:A .直接利用全称命题的否定是特称命题写出结果即可.本题考查命题的否定.特称命题与全称命题的否定关系,基本知识的考查.13.答案:①②解析:解:①若cosαcosβ=1,则α、β两角的同时在x 轴正半轴或者在负半轴上,故sin(α+β)=0,此命题正确;②已知直线x =m 与函数f(x)=sinx,g(x)=sin(π2−x)的图象分别交于点M ,N ,则|MN|的最大值为√2,由于|MN|=|f(x)−g(x)|=|sinx −cosx|=|√2sin(x −π4)|≤√2,此命题正确;③若数列a n =n 2+λn(n ∈N +)为单调递增数列,则λ取值范围是λ<−2,由二次函数的性质及数列的特征得−λ2<32,即λ>−3,故此命题不对;④已知数列a n 的通项a n =32n−11,其前n 项和为S n ,则使S n >0的n 的最小值为12,数列前十一项的值分别为−13,−37,−35,− 1,−3,3,1,35,37 ,13,311,故S 11>0,使S n >0的n 的最小值为11,此命题错误.故答案为①②①若cosαcosβ=1,可知,α、β两角的同时在x 轴正半轴或者在负半轴上,有此则可得sin(α+β)=0; ②已知直线x =m 与函数f(x)=sinx,g(x)=sin(π2−x)的图象分别交于点M ,N ,则|MN|的最大值为√2,f(x)−g(x)的最大值即为|MN|的最大值,验证即可;③若数列a n =n 2+λn(n ∈N +)为单调递增数列,则λ取值范围是λ<−2,由二次函数的性质及数列的离散性特征转化出参数所满足的不等式即可;④已知数列a n 的通项a n =32n−11,其前n 项和为S n ,则使S n >0的n 的最小值为12,研究数列的前11项的值即可得出结论.本题考查数列与函数的关系,数列的最值,三角函数的最值等,涉及到的知识点较多,判断较繁. 14.答案:[−8,1)解析:本题考查了线性规划的简单应用问题,也考查了平面向量数量积的应用问题,是中档题.画出满足条件的平面区域,将三个角点的坐标分别代入平面向量数量积公式,从而求出取值范围.解:画出约束条件{x +y ≥2x <1y ≤2表示的平面区域,如图所示;将平面区域的三个顶点坐标分别代入计算平面向量数量,可得B(1,2),C(1,1),D(0,2);∴当x =1,y =1时,OA ⃗⃗⃗⃗⃗ ⋅OM⃗⃗⃗⃗⃗⃗⃗ =5×1+(−4)×1=1, 当x =1,y =2时,OA ⃗⃗⃗⃗⃗ ⋅OM⃗⃗⃗⃗⃗⃗⃗ =5×1+(−4)×2=−3, 当x =0,y =2时,OA ⃗⃗⃗⃗⃗ ⋅OM⃗⃗⃗⃗⃗⃗⃗ =5×0+(−4)×2=−8; ∴OA⃗⃗⃗⃗⃗ ⋅OM ⃗⃗⃗⃗⃗⃗⃗ 的取值范围是[−8,1). 故答案为:[−8,1).15.答案:①②③解析:本题考查命题的真假判断与应用,考查三角函数的图象与性质,是中档题.求出函数f(x)=tan(2x −π6)的周期判断①;由x =π3时,2×π3−π6=π2,其正切值不存在判断②;利用复合函数的单调性判断③;由函数的最值判断④.解:∵函数f(x)=tan(2x −π6)的周期为T =π2,则若直线y =a 与函数f(x)=tan(2x −π6)的图象相交,则相邻两交点的距离为π2,故①正确;当x =π3时,2×π3−π6=π2,其正切值不存在,∴点(π3,0)是函数f(x)=tan(2x −π6)的图象的一个对称中心,故②正确;由2kπ≤ωx −π4≤π+2kπ,k ∈Z ,得2kπω+π4ω≤x ≤5π4ω+2kπω,取k =0,得π4ω≤x ≤5π4ω,由y =cos(ωx −π4)(ω>0)在(π2,π)上单调递减,得{π4ω≤π25π4ω≥π,解得12≤ω≤54,故③正确; 函数g(x)=2sin(2x +φ)(0<φ<2π),若g(x)≤|g(π12)|对∀x ∈R 恒成立,则当x =π12时函数求得最值,即2×π12+φ=π2+kπ,即φ=π3+kπ,k ∈Z ,又0<φ<2π,∴φ=π3或4π3,故④错误. ∴所有正确命题的序号为①②③.故答案为:①②③.16.答案:90解析:解:取AB 的中点D ,AC 的中点E ,则P 为DE 的中点,∵△ABC 的面积为360,∴△PAB 的面积=△ADE 的面积=14×360=90.故答案为90.取AB 的中点D ,AC 的中点E ,则P 为DE 的中点,利用相似比,可得结论.本题考查向量知识的运用,考查三角形面积比,考查学生分析解决问题的能力,属于基础题.17.答案:解:∵f(x)=sinxcosx +√3cos 2x =12sin2x +√3(1+cos2x)2, =12sin2x +√32cos2x +√32, =sin(2x +13π)+√32, (I)f(π3)=√32, (II)∵0≤x ≤12π,∴13π≤2x +13π≤4π3,结合正弦函数的性质可知,当2x +13π=12π即x =π12时,函数取得最大值1+√32.解析:(I)结合二倍角,辅助角公式对已知进行化简,然后直接代入即可求解.(II)结合正弦函数的性质即可求解.本题主要考查了二倍角公式,辅助角公式在三角函数化简中的应用及正弦函数性质的简单应用,属于基础试题.18.答案:解:(1)设B(x,y),则AB ⃗⃗⃗⃗⃗ =(x −1,y +2),若向量AB ⃗⃗⃗⃗⃗ 与向量a⃗ 同向,则有3(x −1)=2(y +2), 若|AB⃗⃗⃗⃗⃗ |=2√13,则(x −1)2+(y +2)2=52, 解可得{x =5y =4或{x =−3y =−8, 当{x =−3y =−8时,AB ⃗⃗⃗⃗⃗ =(−4,−6),与向量a ⃗ 反向,不合题意,舍去; 当{x =5y =4时,AB ⃗⃗⃗⃗⃗ =(4,6),与向量a ⃗ 同向,符合题意. 则B 的坐标为(5,4);(2)若向量a ⃗ 与向量b ⃗ =(−3,k)的夹角是钝角,则有a ⃗ ·b ⃗ =−6+3k <0且2k +9≠0,解得k <2且k ≠−92,故k 的取值范围是(−∞,−92)∪(−92,2).解析:本题考查向量数量积的应用,考查运算求解能力,是基础题.(1)设B(x,y),易得向量AB⃗⃗⃗⃗⃗ 的坐标,分析可得3(x −1)=2(y +2)且(x −1)2+(y +2)2=52,解可得x 、y 的值,验证向量AB⃗⃗⃗⃗⃗ 与向量a ⃗ 是否同向,即可得答案; (2)根据题意,由向量数量积的计算公式可得a ⃗ ⋅b ⃗ =−6+3k <0且2k +9≠0,求解即得k 的取值范围.19.答案:解:(1)f(x)=sinωx ⋅cosωx +√3cos 2ωx −√32=12sin2ωx +√3×1+cos2ωx 2−√32 =12sin2ωx +√32cos2ωx =sin(2ωx +π3),∴由直线x =x 1,x =x 2是y =f(x)图象的任意两条对称轴,且|x 1−x 2|的最小值为π4,可得函数的最小正周期T =2×π4=π2.则T =2π2ω=πω=π2,∴ω=2,∴f(x)=sin(4x +π3); (2)函数y =f(x)−m 在[π4,3π8]上有两个零点,即方程f(x)−m =0有两个不同实数根, 作y =f(x)在[π4,3π8]上的图象如图:由图可知,要使函数y =f(x)−m 在[π4,3π8]上有两个零点,则实数m 的取值范围是(−1,−√32].解析:(1)利用三角恒等变换化简f(x)的解析式,再利用正弦函数的周期性求得ω,可得函数的解析式;(2)作出函数y =f(x)在[π4,3π8]上的图象,数形结合得答案.本题考查三角函数中的恒等变换应用,考查了y =Asin(ωx +φ)型函数的图象和性质,考查函数零点的判定,体现了数形结合的解题思想方法,是中档题.20.答案:解:(1)由题意可得AB⃗⃗⃗⃗⃗ ⋅AC ⃗⃗⃗⃗⃗ =cbcosθ, ∵△ABC 的面积为2,∴12bcsinθ=2,变形可得cb =4sinθ,∴AB ⃗⃗⃗⃗⃗ ⋅AC ⃗⃗⃗⃗⃗ =cbcosθ=4cosθsinθ=4tanθ, 由0<AB ⃗⃗⃗⃗⃗ ⋅AC ⃗⃗⃗⃗⃗ ≤4,可得0<4tanθ≤4, 解得tanθ≥1;(2)化简可得f(θ)=2sin 2(π4+θ)−√3cos2θ=2×1−cos(π2+2θ)2−√3cos2θ=1+sin2θ−√3cos2θ=1+2sin(2θ−π3), 由(1)知tanθ≥1,又∵0<θ<π,∴θ∈[π4,π2),所以2θ−π3∈[π6,2π3),∴sin(2θ−π3)∈[12,1],∴1+2sin(2θ−π3)∈[2,3],∴f(θ)的取值范围为:[2,3].解析:(1)由数量积和三角形的面积公式可得tanθ的范围;(2)化简可得f(θ)=1+2sin(2θ−π3),由θ的范围和三角函数公式可得答案.本题考查两角和与差的三角函数公式,涉及向量的数量积和三角函数的值域,属中档题.21.答案:解:根据题意得,∣a⃗∣=√10,∣b⃗ ∣=√5,a⃗⋅b⃗ =5,(1)向量a⃗在b⃗ 方向上的投影为√10√10×√5=√5;(2)∵m⃗⃗⃗ ⋅n⃗=0,∴λa⃗2+(1−λ)a⃗⋅b⃗ −b⃗ 2=0,∴10λ+5(1−λ)−5=0,∴λ=0.解析:(1)运用向量投影的概念可解决此问题;(2)运用向量垂直的充要条件可解决此问题.本题考查平面向量数量积的性质及运算的简单应用.22.答案:解:(1)由于π2<α<π,tanα−cotα=−83,则有3tan2α+8tanα−3=0,解得tanα=13或tanα=−3,∵π2<α<π,∴tanα=−3;(2)sin(2α−π2)=−cos2α=−(cos2α−sin2α)=sin2α−cos2αsin2α+cos2α=tan2α−1tan2α+1=9−19+1=45.解析:(1)运用同角的倒数关系,解方程,即可得到;(2)运用诱导公式和二倍角的余弦公式及同角的平方关系和商数关系,计算即可得到.本题考查同角的平方关系和商数关系、倒数关系及诱导公式、二倍角的余弦公式,考查运算能力,属于基础题.。
2019学年高一数学第二学期期中考试题一、选择题(本大题共12小题,每小题5分,共60分.在每小题给出的四个选项中,只有一项是符合题目要求的.请将答案涂在答题卷的答题卡上)1.在△ABC 中,已知B=45°,则角A 的值为,,23==b a A.60°或120° B.120° C.60° D.30°或150°2.下图是由哪个平面图形旋转得到的3.设向量且则实数的值是()(),,,x x 41==∥x A. B. C. D.02-22±4.已知幂函数过点则的值为()x f (),,22()9f A. B. C. D.311365.函数的定义域是()()x x x f ++-=1lg 11A. B.()1-∞-,()∞+,1C. D.()()∞+-,,111 ()∞+∞-,6.下列四个命题中错误的是A.若直线互相平行,则直线确定一个平面b a 、b a 、B.若四点不共面,则这四点中任意三点都不共线C.若两条直线没有公共点,则这两条直线是异面直线D.两条异面直线不可能垂直于同一个平面7.如图,在△OAB 中,C 是AB 上一点,且CB=2AC ,设则(用表示),===8.△ABC 的斜二侧道观图如图所示,则△ABC 的面积为A. B. C. D.221229.设是两条不同的直线,是两个不同的平面,n m 、βα、A.若则 B.若则,∥,αn n m ⊥α⊥m ,,∥αββ⊥m α⊥m C.若则 D.若则,,,αββ⊥⊥⊥n n m α⊥m ,,,αββ⊥⊥⊥n n m α⊥m 10.一个球的表面积是16π,那么这个球的体积为A. B. C. D.π316π332π16π2411.如图,在正方体 中,M 、N 分别是、CD 的中点,则异面直线AM 与所成的角''''-D C B A ABCD 'BB N D '是A.30°B.45°C.60°D.90°12.定义在R 上的奇函数满足且在上则()x f ()()x f x f 12-=+()10,(),x x f 3=()=54log 3f A. B. C. D.233223-32-二、填空题(本大题共4小题,共20.0分)13.计算:_______.=++5lg 24lg 643114.已知则______.,π5325sin =⎪⎭⎫ ⎝⎛+α()=α2cos 15.已知则_______.,2tan =θ=+-θθθθcos sin cos sin 516.如图,在直角三角形ABC 中,AB=2,∠B=60°,AD⊥BC,垂足为D ,则的值为__.AD AB ⋅三、解答题(本大题共6小题,共70分)17.在△ABC 中,分别是角A 、B 、C 的对边,且c b a 、、.301052︒=︒==C A c ,,(1)求的值;b (2)求△ABC 的面积.18.如图,在正方体中,E 、F 分别为棱AD 、AB 的中点.1111D C B A ABCD -(1)求证:EF∥平面;11D CB (2)求证:⊥平面11D B ;11C CAA (3)求证:平面⊥平面11C CAA .11D CB19.(1)已知向量求与垂直的单位向量的坐标;(),,48=a a(2)且向量与的夹角为120°.,1a b 20.如图,已知AF⊥面ABCD ,四边形ABEF 为矩形,四边形ABCD 为直角梯形,∠DAB=90°,AB∥CD, AD=AF=CD=1,AB=2.(1)求证:AC⊥平面BCE ;(2)求三棱锥的体积.BCF E -21.已知向量函数()(),,,x x x x sin 21cos 2sin 21sin 3+=-=().x f ⋅=(1)求的增区间和最大值;()x f (2)若△ABC 的内角A 、B 、C 的对边分别为且满足,求的值.c b a 、、B AA B a b cos 2sin cos sin 3-==,()B f 22.海南沿海某次超强台风过后,当地人民积极恢复生产,焊接工王师傅每天都很忙碌,一天他遇到了一个难题:如图所示,有一块扇形钢板,半径为1米,圆心角施工要求按图中所画的那样,在钢板OPQ 上,π3=θ裁下一块平行四边形钢板ABOC ,要求使裁下的钢板面积最大,请你帮助王师傳解决此问题:连接OA ,设∠AOP=过A 作AH⊥OP,垂足为H.,α(1)求线段BH 的长度(用来表示);α(2)求平行四边形ABOC 面积的表达式(用来表示);α(3)为使平行四边形ABOC 面积最大,等于何值?最大面积是多少?α。
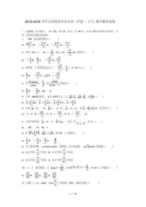
2015-2016学年山西省晋中市太谷二中高一(下)期中数学试卷一、选择题(本大题共12小题,每小题5分,共60分.在每小题给出的四个选项中,只有一项是符合题目要求的)1.﹣300°化成弧度制为()A. B. C. D.2.如果cos(π﹣A)=﹣,那么sin(+A)的值是()A. B. C. D.3.如果角θ的终边经过点(﹣),则tanθ=()A. B.﹣C. D.4.若=﹣,则的值是()A. B.﹣C.2D.﹣25.已知ABCD为矩形,E是DC的中点,且=, =,则=()A. B. C. D.6.已知=(5,﹣2),=(﹣4,3),=(x,y),若﹣2+2=0,则等于()A.(1,4)B.(,4)C.(﹣,4)D.(﹣,﹣4)7.已知平面向量=(3,1),,且,则x=()A.﹣3B.﹣1C.3D.18.若,,则实数λ的值是()A. B. C. D.﹣9.为了得到函数y=sin3x+cos3x的图象,可以将函数y=cos3x的图象()A.向右平移个单位B.向左平移个单位C.向右平移个单位D.向左平移个单位10.α,β都是锐角,且,,则sinβ的值是()A. B. C. D.11.函数f(x)=2sin(2x+)的周期、振幅、初相分别是()A.,2, B.π,﹣2,﹣C.π,2, D.2π,2,12.已知不等式对于任意的恒成立,则实数m的取值范围是()A. B. C. D..二、填空题(本大题共4小题,每小题5分,共20分)13.已知||=3,||=5, =12,则在方向上的投影为.14.函数y=Asin(ωx+φ)(A>0,ω>0,0<φ<π)在一个周期内的图象如图,此函数的解析式为.15.若cos(α+β)=,cos(α﹣β)=,则tanαtanβ=.16.给出下列五个命题:①x=是函数y=2sin(2x﹣)的一条对称轴;②函数y=tanx的图象关于点(,0)对称;③正弦函数在第一象限为增函数④函数y=cos(x﹣)的一个单调增区间是(﹣)以上四个命题中正确的有(填写正确命题前面的序号)三、解答题(17题10分,其余每题12分,共70分.解答应写文字说明,证明过程或演算步骤)17.计算:sin50°(1+tan10°).18.已知sinα=2cosα,求:(1)(2)sin2α+2sinαcosα﹣cos2α19.已知||=4,||=3,(2﹣3)?(2+)=61,(1)求的值;(2)求与的夹角θ;(3)求||的值.20.已知向量=(cos x,sin x),=(cos,﹣sin),且x∈[﹣,](1)求?及|+|;(2)若f(x)=?﹣|+|,求f(x)的最大值和最小值.21.已知函数y=sin2x+sin2x+3cos2x,求(1)函数的最小值及此时的x的集合.(2)函数的单调减区间.22.如图,在平面直角坐标系xOy中,以Ox轴为始边作两个锐角α,β,它们的终边分别交单位圆于A,B两点.已知A,B两点的横坐标分别是,.(1)求tan(α+β)的值;(2)求α+2β的值.2015-2016学年山西省晋中市太谷二中高一(下)期中数学试卷参考答案与试题解析一、选择题(本大题共12小题,每小题5分,共60分.在每小题给出的四个选项中,只有一项是符合题目要求的)1.﹣300°化成弧度制为()A. B. C. D.【考点】弧度与角度的互化.【分析】根据角度和弧度之间的关系进行转化即可.【解答】解:∵180°=π弧度,∴﹣300°=﹣300×=,故选:C2.如果cos(π﹣A)=﹣,那么sin(+A)的值是()A. B. C. D.【考点】运用诱导公式化简求值;同角三角函数基本关系的运用.【分析】由已知利用诱导公式可求cosA,进而利用诱导公式即可化简求值.【解答】解:∵cos(π﹣A)=﹣cosA=﹣,可得:cosA=,∴sin(+A)=cosA=.故选:B.3.如果角θ的终边经过点(﹣),则tanθ=()A. B.﹣C. D.【考点】任意角的三角函数的定义.【分析】由于角θ的终边经过点(﹣),可得 x=﹣,y=,由此求得tanθ=的值.【解答】解:∵角θ的终边经过点(﹣),且点(﹣)是角θ的终边和单位圆的交点,∴x=﹣,y=,∴tanθ==﹣,故选 D.4.若=﹣,则的值是()A. B.﹣C.2D.﹣2【考点】同角三角函数基本关系的运用.【分析】原式分子分母同乘以sinx+1,化简后代入已知即可求值.【解答】解:∵=﹣,∴===﹣=.故选:A.5.已知ABCD为矩形,E是DC的中点,且=, =,则=()A. B. C. D.【考点】向量加减法的应用.【分析】由向量加减的三角形法则把向量朝已知向量转化即可得到答案.【解答】解: ==()﹣=()﹣==,故选B.6.已知=(5,﹣2),=(﹣4,3),=(x,y),若﹣2+2=0,则等于()A.(1,4)B.(,4)C.(﹣,4)D.(﹣,﹣4)【考点】平面向量的坐标运算.【分析】直接利用向量的坐标运算求解即可.【解答】解: =(5,﹣2),=(﹣4,3),=(x,y),若﹣2+2,可得: =(2﹣)=(﹣8﹣5,6+2)=(﹣,4).故选:C.7.已知平面向量=(3,1),,且,则x=()A.﹣3B.﹣1C.3D.1【考点】平面向量数量积的运算.【分析】由便可得到,进行数量积的坐标运算即可求出x.【解答】解:∵;∴;∴x=1.故选:D.8.若,,则实数λ的值是()A. B. C. D.﹣【考点】向量数乘的运算及其几何意义.【分析】由题意得,结合图示可得所以.【解答】解:由题意得,结合图示可得所以.故选D.9.为了得到函数y=sin3x+cos3x的图象,可以将函数y=cos3x的图象()A.向右平移个单位B.向左平移个单位C.向右平移个单位D.向左平移个单位【考点】函数y=Asin(ωx+φ)的图象变换.【分析】利用两角和与差的三角函数化简已知函数为一个角的一个三角函数的形式,然后利用平移原则判断选项即可.【解答】解:函数y=sin3x+cos3x=,故只需将函数y=cos3x的图象向右平移个单位,得到y==的图象.故选:C.10.α,β都是锐角,且,,则sinβ的值是()A. B. C. D.【考点】角的变换、收缩变换;同角三角函数间的基本关系;两角和与差的正弦函数.【分析】将β化为(α+β)﹣α,再利用两角和与差三角函数公式计算即可.【解答】解:α,β都是锐角,∴α+β∈(0,π),∵∴cosα===,∵∴sin(α+β)===∴sinβ=sin[(α+β)﹣α]=sin(α+β)cosα﹣cos(α+β)sinα==故选C.11.函数f(x)=2sin(2x+)的周期、振幅、初相分别是()A.,2, B.π,﹣2,﹣C.π,2, D.2π,2,【考点】三角函数的周期性及其求法.【分析】根据函数y=Asin(ωx+φ)的周期、振幅、初相,得出结论.【解答】解:函数f(x)=2sin(2x+)的周期为=π,振幅为2,初相为,故选:C.12.已知不等式对于任意的恒成立,则实数m的取值范围是()A. B. C. D..【考点】三角函数的最值.【分析】利用根据二倍角公式和两角和公式对函数解析式化简整理,确定m的不等式关系,进而利用x的范围和正弦函数的性质确定的范围,进而求得m的范围.【解答】解:,=,∴,∵,∴,∴,∴.故选A二、填空题(本大题共4小题,每小题5分,共20分)13.已知||=3,||=5, =12,则在方向上的投影为.【考点】平面向量数量积的含义与物理意义.【分析】本题是对投影的概念的考查,一个向量在另一个向量上的射影是这个向量的模乘以两个向量夹角的余弦,而题目若用数量积做条件,则等于两个向量的数量积除以另一个向量的模.【解答】解:∵.故答案为:.14.函数y=Asin(ωx+φ)(A>0,ω>0,0<φ<π)在一个周期内的图象如图,此函数的解析式为y=2sin(2x+).【考点】正弦函数的图象.【分析】根据三角函数的图象求出A,ω和φ的值,即可得到结论.【解答】解:由图象知A=2,函数的周期T=2?[﹣(﹣)]=2×=π,即T==π,即ω=2,此时y=2sin(2x+φ),当x=﹣时,f(﹣)=2sin(﹣×2+φ)=2,即sin(φ﹣)=1,则φ﹣=+2kπ,即φ=+2kπ,∵0<φ<π,∴当k=0时,φ=,则,故答案为:y=2sin(2x+)15.若cos(α+β)=,cos(α﹣β)=,则tanαtanβ=.【考点】两角和与差的余弦函数;弦切互化.【分析】先由两角和与差的公式展开,得到α,β的正余弦的方程组,两者联立解出两角正弦的积与两角余弦的积,再由商数关系求出两角正切的乘积.【解答】解:由已知,,∴cosαcosβ=,sinαsinβ=∴故应填16.给出下列五个命题:①x=是函数y=2sin(2x﹣)的一条对称轴;②函数y=tanx的图象关于点(,0)对称;③正弦函数在第一象限为增函数④函数y=cos(x﹣)的一个单调增区间是(﹣)以上四个命题中正确的有①②(填写正确命题前面的序号)【考点】命题的真假判断与应用.【分析】①将x=代入,判断函数是否取最值,进而可判断①的真假;②求出正切函数的对称中心坐标,进行判断,③根据三角函数的单调性进行判断,④求出x﹣的范围,根据三角函数的单调性进行判断.【解答】解:①当x=,则2×﹣=﹣=,此时函数y=2sin(2x﹣)=2sin=2为函数的最大值,则x=是函数y=2sin(2x﹣)的一条对称轴,正确②函数y=tanx的图象关于点(,0)对称,当k=1时,对称中心为(,0)对称;故②正确,③x=和x=是第一象限的角,满足>但sin=sin,则正弦函数在第一象限为增函数,错误,故③错误,④当﹣<x<时,﹣<x﹣<,此时函数y=cos(x﹣)不单调,故④错误,故答案为:①②三、解答题(17题10分,其余每题12分,共70分.解答应写文字说明,证明过程或演算步骤)17.计算:sin50°(1+tan10°).【考点】三角函数的化简求值.【分析】首先,将正切化简为弦,然后,结合辅助角公式和诱导公式进行化简即可.【解答】解:sin50°(1+tan10°)=sin50°(1+)=====1.18.已知sinα=2cosα,求:(1)(2)sin2α+2sinαcosα﹣cos2α【考点】同角三角函数基本关系的运用.【分析】由条件求得tanα的值,再利用同角三角函数的基本关系,求得要求式子的值.【解答】解:(1)∵sinα=2cosα,∴tanα=2,∴===﹣.(2)sin2α+2sinαcosα﹣cos2α====.19.已知||=4,||=3,(2﹣3)?(2+)=61,(1)求的值;(2)求与的夹角θ;(3)求||的值.【考点】平面向量数量积的运算.【分析】(1)由(2﹣3)?(2+)=61,利用向量的运算法则,计算化简即可.(2)利用向量夹角公式计算.(3)利用(2)的结论和数量积运算性质即可得出.【解答】解:(1)由(2﹣3)?(2+)=61,得4﹣4﹣3=61将||=4,||=3,代入,整理得=﹣6(2)cosθ===﹣,又0≤θ≤π,所以θ=.(3)|+|===.20.已知向量=(cos x,sin x),=(cos,﹣sin),且x∈[﹣,](1)求?及|+|;(2)若f(x)=?﹣|+|,求f(x)的最大值和最小值.【考点】三角函数的最值;向量的模;平面向量数量积的运算.【分析】(1)由数量积的坐标运算结合两角和的余弦求?;由向量的坐标加法运算求+,然后利用模的公式求模;(2)把(1)中的结果代入f(x)=?﹣|+|,整理后利用配方法结合x的范围得答案.【解答】解:(1)∵=(cos x,sin x),=(cos,﹣sin),∴?=cos?cos﹣sin x?sin=cos2x.|+|=|(cos x,sin x)+(cos,﹣sin)|=|()|===2cosx(x∈[﹣,]);(2)∵?=cos2x,|+|=2cosx,∴f(x)=?﹣|+|=cos2x﹣2cosx=2cos2x﹣2cosx﹣1.令t=cosx,∵x∈[﹣,],∴t∈[].∴y=f(x)=.∴当t=,即x=时,y有最小值为;当t=1,即x=0时,y有最大值为.21.已知函数y=sin2x+sin2x+3cos2x,求(1)函数的最小值及此时的x的集合.(2)函数的单调减区间.【考点】三角函数中的恒等变换应用.【分析】(1)利用三角函数中的恒等变换可求得f(x)=sin(2x+)+2,利用正弦函数的性质即可求得函数的最小值及此时的x的集合;(2)解不等式组2kπ+≤2x+≤2kπ+(k∈Z)即可求得该函数的单调减区间.【解答】解:(1)∵y=sin2x+sin2x+3cos2x=sin2x+cos2x+2=sin(2x+)+2,∴当2x+=2kπ﹣(k∈Z),即x=kπ﹣(k∈Z)时,f(x)取得最小值2﹣,即f(x)min=2﹣,x的集合为{x|x=kπ﹣,k∈Z}.(2)由2kπ+≤2x+≤2kπ+(k∈Z)得:+kπ≤x≤+kπ(k∈Z),∴该函数的单调减区间为[+kπ,+kπ](k∈Z).22.如图,在平面直角坐标系xOy中,以Ox轴为始边作两个锐角α,β,它们的终边分别交单位圆于A,B两点.已知A,B两点的横坐标分别是,.(1)求tan(α+β)的值;(2)求α+2β的值.【考点】两角和与差的正切函数.【分析】(1)先由已知条件得;再求sinα、sinβ进而求出tanα、tanβ;最后利用tan(α+β)=解之.(2)利用第一问把tan(α+2β)转化为tan[(α+β)+β]求之,再根据α+2β的范围确定角的值.【解答】解:(1)由已知条件即三角函数的定义可知,因为α为锐角,则sinα>0,从而同理可得,因此.所以tan(α+β)=;(2)tan(α+2β)=tan[(α+β)+β]=,又,故,所以由tan(α+2β)=﹣1得.。
山西高一高中数学期中考试班级:___________ 姓名:___________ 分数:___________一、选择题1.下列符号判断正确的是()A.B.C.D.2.设向量满足,则()A.B.C.D.3.已知向量,若为实数,,则()A.2B.1C.D.4.在中,,若点满足,则()A.B.C.D.5.边长为的正三角形中,设,则等于()A.0B.1C.3D.-36.要得到函数的图象,只需将函数的图象()A.向右平移个单位长度B.向左平移个单位长度C.向右平移个单位长度D.向左平移个单位长度7.已知,且,那么等于()A.B.C.D.8.已知非零向量与满足,且,则为()A.等边三角形B.直角三角形C.等腰三角形D.三边均不相等的三角形9.函数的单调增区间是()A.B.C.D.10.已知函数,在曲线与直线的交点中,若相邻交点距离的最小值为,则的最小正周期为()A.B.C.D.11.的值是()A.B.C.D.12.已知点,,,,则向量在方向上的投影为()A.B.C.D.二、填空题1.已知,则__________.2.已知直角梯形中,是腰上的动点,则的最小值为__________.3.已知向量与的夹角为,且,若,且则实数的值为__________.4.如果的三个内角的余弦值分别等于的三个内角的正弦值,则下列结论正确的是__________.①和都是锐角三角形②和都是钝角三角形③是钝角三角形,是锐角三角形④是锐角三角形,是钝角三角形三、解答题1.设两个非零向量与不共线.(1)若,求证:三点共线(2)试确定实数,使和反向共线.2.已知向量,设函数.(Ⅰ)求的最小正周期.(Ⅱ)求在上的最大值和最小值.3.已知向量,函数,且的图像过点和点. (1)求的值;(2)将的图像向左平移个单位后得到函数的图像,若图像上各最高点到点(0,3)的距离的最小值为1,求的单调递增区间.4.已知函数的最小正周期为(1)求的值;(2)若不等式在上恒成立,求实数的取值范围5.函数在一个周期内的图象如图所示,为图象的最高点,为图象与轴的交点,且为正三角形.(Ⅰ)求的值及函数的值域;(Ⅱ)若,且,求的值.6.已知向量,且.(1)求及;(2)若的最小值为,求正实数的值.山西高一高中数学期中考试答案及解析一、选择题1.下列符号判断正确的是()A.B.C.D.【答案】C【解析】由,所以,故A错;由,所以,故B错;由,所以,故C正确;由,,故D错.故选C.2.设向量满足,则()A.B.C.D.【答案】B【解析】,∴,∴,故选B.3.已知向量,若为实数,,则()A.2B.1C.D.【答案】C【解析】向量,所以有,又,,所以,解得,故选C.4.在中,,若点满足,则()A.B.C.D.【答案】A【解析】由,,5.边长为的正三角形中,设,则等于()A.0B.1C.3D.-3【答案】D【解析】∵在边长为的正三角形ABC中,设,∴且,∴由向量数量积的定义可得则.故选D.6.要得到函数的图象,只需将函数的图象()A.向右平移个单位长度B.向左平移个单位长度C.向右平移个单位长度D.向左平移个单位长度【答案】B【解析】函数的图象向左平移个单位长度,有,故选B.7.已知,且,那么等于()A.B.C.D.【答案】B【解析】因为,,又,所以,,所以,故选B.8.已知非零向量与满足,且,则为()A.等边三角形B.直角三角形C.等腰三角形D.三边均不相等的三角形【答案】A【解析】因为,所以的平分线与垂直,三角形是等腰三角形,又因为,所以,所以为等边三角形,故选A.点睛:在向量运算中,即为“向量单位化”,即将向量变为同向长度为1的向量,那么两个长度一样的向量相加即有高线、中线、角平分线重合.9.函数的单调增区间是()A.B.C.D.【答案】C【解析】的单调增区间即为的减区间,令,解得故选C.点睛:本题属于易错题型,在研究函数的单调区间是,基本思路是将看作整体,利用的单调性求解即可,而在本题中,中的系数是负的,所以用复合函数的单调性解释的化应该为“同增异减”,即需要将负号提出,得到,进而研究函数的单减区间才行.10.已知函数,在曲线与直线的交点中,若相邻交点距离的最小值为,则的最小正周期为()A.B.C.D.【答案】C【解析】因为原来函数即为,令,则,令,又因为若相邻交点距离的最小值为,则以正弦函数为研究对象,取符合要求的两角:,对应有,此时,所以.【考点】辅助角公式,正弦函数的图像,三角函数的周期公式.11.的值是()A.B.C.D.【答案】D【解析】故选D.点睛:三角函数式的化简要遵循“三看”原则(1)一看“角”,这是最重要的一环,通过看角之间的区别和联系,把角进行合理的拆分,从而正确使用公式;(2)而看“函数名称”看函数名称之间的差异,从而确定使用公式,常见的有“切化弦”;(3)三看“结构特征”,分析结构特征,可以帮助我们找到变形的方向,如“遇到分式通分”等.12.已知点,,,,则向量在方向上的投影为()A.B.C.D.【答案】A【解析】由题意得,,所以向量在方向上的投影为,故选A.【考点】平面向量的数量积的运算及向量的投影的概念.二、填空题1.已知,则__________.【答案】【解析】上下同时除以即得.点睛:在三角化简求值中,含有正弦、余弦、正切时一般有两个思路:(1)“切化弦”,即将题目中的正切利用关系化为正余弦的运算;(2)构建分式齐次式,如果是一次齐次式,分子分母同时除以,如果是二次齐次式分子分母同时除以,一次类推,转化为正切的运算.2.已知直角梯形中,是腰上的动点,则的最小值为__________.【答案】5【解析】以D为原点建系,设长为,,最小为5【考点】向量运算3.已知向量与的夹角为,且,若,且则实数的值为__________.【答案】【解析】因为,所以,解得【考点】向量数量积4.如果的三个内角的余弦值分别等于的三个内角的正弦值,则下列结论正确的是__________.①和都是锐角三角形②和都是钝角三角形③是钝角三角形,是锐角三角形④是锐角三角形,是钝角三角形【答案】④【解析】因为的三个内角的正弦值均大于0,所以的三个内角的余弦值也均大于0,则是锐角三角形。
2019年高一下学期期中联考(数学)注意事项:1. 本卷分第Ⅰ卷(选择题)和第Ⅱ卷(非选择题)两部分,共150分。
考试时间120分钟。
2.选择题每小题选出答案后,用2B 铅笔把答题卡上对应题目选项的答案信息点涂黑,如需改动,用橡皮擦干净后,再选涂其他答案,答案不能答在试卷上.3.非选择题必须用黑色字迹钢笔或签字笔作答,答案必须写在答题卡各题目指定区域内相应位置上,如需改动,先划掉原来的答案,然后再写上新的答案;不准使用铅笔和涂改液,不按以上要求作答的答案无效.一、选择题(本大题共10小题,每小题5分,满分50分.)1.已知,, 则·等于( )A. 0B. 10C. 6D. 2.函数的最小正周期是( )A. B. C. D. 3.的弧度数是( )A. B. C. D.4.已知向量,,若、平行,则的值为( ) A .0 B .-4 C . 4 D .5. 若向量、的夹角为,,则( )A. B. C. D.6.已知圆与直线 及都相切,圆心在直线,则圆的方程为( ) A. B. C. D.7.函数的单调增区间为( )A.5[,]()66k k k Z ππππ-+∈ B. 5[2,2]()66k k k Z ππππ-+∈C.5[,]()1212k k k Z ππππ-+∈ D. 5[2,2]()612k k k Z ππππ-+∈ 8. 设集合,},1cos |{R x x x Q ∈-==,则( )A. B. C. },2|{Z k k x x Q P ∈==πD. 9.定义在R 上的函数既是偶函数又是周期函数,若的最小正周期是,且当时,,则的值为( )A. B. C. D.10.平面直角坐标系中,为坐标原点,已知两点,若点满足,其中,且,则点的轨迹方程为 ( )A. B. C. D.第Ⅱ卷(非选择题共100分)二、填空题(本大题共4小题,每小题5分,满分20分)11.已知21212,2e e b e e a-=+=,则=____________.12.函数的定义域为___________________. 13.对于函数,下列命题:①函数图象关于直线对称; ②函数图象关于点对称; ③函数图象可看作是把的图象向左平移个单位而得到;④函数图象可看作是把的图象上所有点的横坐标缩短到原来的倍(纵坐标不变)而得到;其中正确的命题是 .14.对于任意的两个实数对,规定:,当且仅当; 定义运算“”为:),(),(),(ad bc bd ac d c b a +-=⊗,运算“”为:),(),(),(d b c a d c b a ++=⊕.设,若,则=___________.三、解答题(本大题共6小题,满分80分.解答须写出文字说明、证明过程和演算步骤) 15. (本小题满分12分)(1)化简sin(2s n()cos()sin(3cos()i παπαπαπαπα-⋅+⋅-+-⋅+)).(2)求函数的最大值及相应的的值.16.(本小题满分12分)在棱长为1的正方体中,是的中点。
2019学年山西省高一下期中理科数学试卷【含答案及解析】姓名___________ 班级____________ 分数__________一、选择题1. 已知全集,且,,则(________ )A._________ B._________ C.___________D.2. 设向量,, .若,则等于(________ )A._________ B._________________ C.________________ D.3. 已知,,等于(________ )A._________ B.________ C. ________D.4. 若,且,则的值为(________ )A.____________________ B._________________________ C.__________________ D.5. 函数的一条对称轴方程为,则(________ )A. 1________________ B. _________________ C. 2 ________ D. 36. 已知向量,,对任意,恒有,则(________ )A.______________ B.______________ C.______________ D.7. 函数的图象大致是(________ )8. 已知函数的部分图象如图所示,下列说法正确的是(________ )A.的最小正周期为B.的图象关于直线对称C.的图象关于点对称D.当时,方程在上有两个不相等的实数根9. 设函数,则在下面区间中函数不存在零点的是(________ )A._________ B.________ C.________ D.10. 如图所示程序框图中,输出(________ )A. 45____________________________ B.________________________ C.__________________ D. 6611. 已知是所在平面内一点,,现将一粒红豆随机撒在内,则红豆落在内的概率是(________ )A.____________________ B.________________ C.___________________ D.12. 函数的定义域为,若函数满足:(1)在上为单调函数;(2)存在区间,使得在上的值域为,则称函数为“取半函数”.若,且为“取半函数”,则的取值范围是(________ )A.______________ B.___________ C.______________D.二、填空题13. 设定义域为上的单调函数,对于任意的,都有,则____________________ .14. 已知,函数在单调递减,则的取值范围是____________________ .15. 等于____________________ .16. 设,其中, .若对一切恒成立,则① ;② ;③ 既不是奇函数也不是偶函数;④ 的单调递增区间是;⑤存在经过点的直线与函数的图象不相交.以上结论正确的是____________________ (写出所有正确结论的编号) .三、解答题17. 已知函数为奇函数,且相邻两对称轴间的距离为 .(1)当时,求的单调递减区间;(2)将函数的图象沿轴方向向右平移个单位长度,再把横坐标缩短到原来的(纵坐标不变),得到函数的图象.当时,求函数的值域 .18. 已知函数()是偶函数.(1)求的值;(2)设,若函数与的图象有且只有一个公共点,求实数的取值范围 .19. 某电视台举办了“中华好声音”大型歌手选修活动,过程分为初赛、复赛和决赛,经初赛进入复赛的40名选手被平均分成甲、乙两个班,由组委会聘请两位导师各负责一个班进行声乐培训.下面是根据40名选手参加复赛时获得的100名大众评审的支持票数制成的茎叶图:赛制规定:参加复赛的40名选手中,获得的支持票数排在前5名的选手可进入决赛,若第5名出现并列,则一起进入决赛;另外,票数不低于95票的选手在决赛时拥有“优先挑战权”.求:从进入决赛的选手中随机抽出3名,求其中恰有1名拥有“优先挑战权”的概率.20. 某家庭进行理财投资,根据长期收益率市场预测,投资债券等稳健产品的收益与投资成正比,投资股票等风险型产品的收益与投资额的算术平方根成正比.已知投资1万元时两类产品的收益分别为万元和万元.(1)分别写出两类产品的收益与投资的函数关系;(2)该家庭有20万元资金,全部用于理财投资,问,怎么分配资金能使投资获得最大收益,其最大收益是多少万元?21. 已知函数 .(1)若且时,求的最大值和最小值;(2)当且时,方程有两个不相等的实数根,求的取值范围及的值 .22. 已知函数的最大值为1 . (1)求函数的单调递增区间;(2)将的图象向左平移个单位,得到函数的图象,若方程在上有解,求实数的取值范围.参考答案及解析第1题【答案】第2题【答案】第3题【答案】第4题【答案】第5题【答案】第6题【答案】第7题【答案】第8题【答案】第9题【答案】第10题【答案】第11题【答案】第12题【答案】第13题【答案】第14题【答案】第15题【答案】第16题【答案】第17题【答案】第18题【答案】第19题【答案】第20题【答案】第21题【答案】第22题【答案】。
一、选择题:(本题共10小题,每题4分,共40分.每题有且只有一个正确答案) 1.下列命题正确的是( )A .终边与始边重合的角是零角B .终边与始边都相同的两个角一定相等C .小于90的角是锐角D .若120α=-,则α是第三象限角 2.已知某地区中小学生人数和近视情况分别如图(1)和图(2)所示.为了解该地区中小学生的近视形成原因,用分层抽样的方法抽取2%的学生进行调查,则样本容量和抽取的高中生近视人数分别为( ) A .200,20 B .200,10C .100,10D .100,203.下列区间中是使函数sin()4y x π=+单调递增的一个区间是( )A .2ππ⎡⎤⎢⎥⎣⎦,B .04π⎡⎤⎢⎥⎣⎦,C .[]π-,0D .42ππ⎡⎤⎢⎥⎣⎦,4.已知扇形的半径为1,中心角为30°,关于弧长l 与扇形面积S 正确的结果为( ) A . 12l π=B . 3l π=C . 6S π=D . 12S π=5.下列既是偶函数又是以π为周期的函数( )A .cos y x =B .sin(2)2y x π=-C .2sin()2y x π=+D .32cos(2)2y x π=+6.从分别写有1,2,3,4,5的5张卡片中随机抽取1张,放回后再随机抽取1张,则抽得的第一张卡片上的数大于第二张卡片上的数的概率为( )A .110B .15C .310D .257.从装有红球、白球和黑球各2个的口袋内一次取出2个球,则与事件“两球都为白球”互斥而非对立的事件是以下事件“①两球都不是白球;②两球恰有一个白球;③两2019-2020学年度第二学期期中考试高一数学(平行班)试题球至多有一个白球”中的哪几个( )A .①③B .②③C . ①②D .①②③8.将函数4cos(2)5y x π=+的图像上各点向右平行移动2π个单位长度,再把横坐标缩短为原来的一半,纵坐标伸长为原来的4倍,则所得到的图像的函数解析式是( )A .4cos(4)5y x π=+B .4sin(4)5y x π=+C .4cos(4)5y x π=-D .4sin(4)5y x π=-+9.已知1sin cos 8αα=-,且344ππα<<,则cos sin αα+的值等于( )A .32 B .32- C .34 D .34- 10.任意ABC ∆中,给出下列4个式子,其中为常数的是( ) ①sin()sin A B C ++;②cos()cos A B C ++;③sin(22)sin 2A B C ++; ④cos(22)cos 2A B C ++;A .①②B . ②③C . ③④D .①④二、填空题:(本题共5小题,每题4分,共20分.)11.在半径为1的圆O 内任取一点A ,则12OA <的概率为_____________.12.如果sin 0tan 0θθ><,,那么角θ所在象限是_____________. 13.已知1cos(75)6α︒+=,则sin(15)α︒-=_____________. 14.为了科普“新型冠状病毒”相关知识,增强中学生预防意识,某中学随机抽取30名学生参加相关知识测试,得分(十分制)如图所示,假设得分的中位数为m ,众数为n ,平均数为x ,则m ,n ,x 的大小关系为 .(用“<”连接)15.已知函数2()sin cos f x x x a =++,a R ∈,若对区间02π⎡⎤⎢⎥⎣⎦,上任意x ,都有()1f x ≤成立,则实数a 的取值范围_____________.三、解答题:(本题共5小题,每题12分,共60分.) 16.化简计算:(1)已知tan 2x =,计算221sin 2cos x x+;(2)化简sin()cos()cos(2)cos()2πααπαππα+---+17.已知函数()sin()24x f x π=+.(1)写出函数()f x 的单调递增区间;(2)求函数()f x 在区间263ππ⎡⎤-⎢⎥⎣⎦,上的值域.18.下表数据为某地区某种农产品的年产量x (单位:吨)及对应销售价格y (单位:千元/吨) .(1)若y 与x 有较强的线性相关关系,根据上表提供的数据,用最小二乘法求出y 关于x 的线性回归方程.(2)若该农产品每吨的成本为13.1千元,假设该农产品可全部卖出,利用上问所求的回归方程,预测当年产量为多少吨时,年利润Z 最大?(参考公式:回归直线方程为ˆˆˆy bx a =+,1122222212n n n x y x y x y nx y b x x x nx +++-=+++-,a y bx =-) 19.高老师需要用“五点法”画函数()sin()(00)2f x A x A πωϕωϕ=+>><,,在一个(1) 请同学们帮助高老师写出表格中的两个未知量a 和b 的值,并根据表格所给信息写出函数解析式(只需在答题卡的相应位置填写答案,无需写出解析过程);(2) 将()y f x =图像上所有点向左平行移动6π个单位长度,得到()g x 图像,求()y g x =距离原点O 最近的对称中心.20.空气质量指数(Air Quality Index ,简称AQI)是定量描述空气质量状况的指数,空气质量按照AQI 大小分为六级:0~50为优;51~100为良;101~150为轻度污染;151~200为中度污染;201~300为重度污染;>300为严重污染.一环保人士记录了某地2020年某月10天的AQI 的茎叶图如图所示.(1)利用该样本估计该地本月空气质量优良(AQI≤100)的天数;(按这个月总共有30天计算)(2)若从样本中的空气质量不佳(AQI>100)的这些天中,随机地抽取两天深入分析各种污染指标,求该两天的空气质量等级恰好不同的概率.一、选择题:(4分⨯10=40分)题号 1 2 3 4 5 6 7 8 9 10 答案DABDBDCCAB2019-2020学年度第二学期期中考试 高一数学(平行班)试题答案二、填空题:(4分⨯5=20分) 11.14; 12. 第二象限; 13. 16; 14. n <m <x ; 15. 14⎛⎤-∞- ⎥⎝⎦, 三、解答题:(12分⨯5=60分)16.解:(1)222222221sin cos tan 15==sin 2cos sin 2cos tan 26x x x x x x x x ++=+++ (2)=cos (cos )cos (cos )0αααα---=原式17.解:(1)要求()f x 的单调递增区间,只需满足22()2242x k k k Z πππππ-+≤+≤+∈,解得:344()22k x k k Z ππππ-+≤≤+∈,所以函数()f x 的单调递增区间344()22k k k Z ππππ⎡⎤-++∈⎢⎥⎣⎦,. (2)因为263x ππ-≤≤,所以762412x πππ≤+≤,又因为7sin sin sin 6122πππ<<,所以函数()f x 在区间7612ππ⎡⎤-⎢⎥⎣⎦,上的值域为112⎡⎤⎢⎥⎣⎦,18.解:(1)由所给数据计算得()()()552113,50,123,10i i i i i x y x x y y x x====--=--=∑∑,代入公式解得12.3,86.9b a =-=,所以ˆ12.386.9yx =-+.(2)因为年利润2(12.386.9)13.112.373.8Z x x x x =⋅-+-=-+,所以当x =3时,年利润Z 取得最大值,故预测当年产量为3吨时,年利润Z 大.19.解:(1)131212a b ππ==,,有表格所给数据可知52A ω==,,因此函数解析式可以确定为()5sin(2)f x x ϕ=+,再将点(5)3π,带入函数得:=2()6k k Z πϕπ-+∈,又因为2πϕ<,所以6πϕ=-,所以()5sin(2)6f x x π=-.(2)由题意的()5sin(2)6g x x π=+,令2()6x k k Z πππ+=+∈,解之得5()122k x k Z ππ=+∈,即对称中心为5(0)()122k k Z ππ+∈,, 当50(0)12k π=,对称中心为,,当1(0)12k π=--,对称中心为,,因此距离坐标原点最近的对称中心为(0)12π-,.20.解 (1)从茎叶图中发现该样本中空气质量优的天数为1,空气质量良的天数为3,故该样本中空气质量优良的频率为410=25,估计该月空气质量优良的概率为25,从而估计该月空气质量优良的天数为30×25=12.(2)该样本中为轻度污染的共4天,分别记为a 1,a 2,a 3,a 4; 为中度污染的共1天,记为b ;为重度污染的共1天,记为c .从中随机抽取两天的所有可能结果有:(a 1,a 2),(a 1,a 3),(a 1,a 4),(a 1,b ),(a 1,c ),(a 2,a 3),(a 2,a 4),(a 2,b ),(a 2,c ),(a 3,a 4),(a 3,b ),(a 3,c ),(a 4,b ),(a 4,c ),(b ,c ),共15个.其中空气质量等级恰好不同的结果有(a 1,b ),(a 1,c ),(a 2,b ),(a 2,c ),(a 3,b ),(a 3,c ),(a 4,b ),(a 4,c ),(b ,c ),共9个.9 15=3 5.所以该两天的空气质量等级恰好不同的概率为。
山西省晋中市高一下学期期中数学试卷姓名:________ 班级:________ 成绩:________一、选择题 (共12题;共24分)1. (2分) (2019高一上·溧阳月考) 设分别是与同向的单位向量,则下列结论中正确的是()A .B .C .D .2. (2分)如图所示,角的终边与单位圆交于点P(),则的值为()A .B .C .D .3. (2分) (2019高一上·三台月考) 若,则()A .B .C .D .4. (2分)如图是一个空间几何体的正视图、侧视图、俯视图,如果正视图、侧视图所对应的三角形皆为边长为2的正三角形,俯视图对应的四边形为正方形,那么这个几何体的体积为()A .B .C .D .5. (2分) (2018高三上·龙泉驿月考) 已知函数,若是周期为的偶函数,则的一个可能值是()A .B .C .D .6. (2分)已知函数,的部分图像如图,则()A . 1B .C .D .7. (2分)椭圆M:长轴上的两个顶点为A、B,点P为椭圆M上除A、B外的一个动点,若=0,=0,则动点Q在下列哪种曲线上()A . 圆B . 椭圆C . 双曲线D . 抛物线8. (2分) (2019高一上·江苏月考) 先将函数图象上每一点的横坐标变为原来的(纵坐标不变),再将得到的图象向右平移个单位长度,则所得图象对应的函数为()A .B .C .D .9. (2分) (2017高三上·朝阳期末) 在Rt△ABC中,∠A=90°,点D是边BC上的动点,且| |=3,||=4,=λ +μ (λ>0,μ>0),则当λμ取得最大值时,| |的值为()A .B . 3C .D .10. (2分) (2019高二下·雅安期末) 设分别是定义在R上的奇函数和偶函数,且分别是的导数,当时,且,则不等式的解集是()A .B .C .D .11. (2分) (2020高一下·金华月考) =2sin(ωx+φ),x∈R,其中ω>0,﹣π<φ≤π.若函数f(x)的最小正周期为6π,且当x= 时,f(x)取得最大值,则()A . f(x)在区间[﹣2π,0]上是增函数B . f(x)在区间[﹣3π,﹣π]上是增函数C . f(x)在区间[3π,5π]上是减函数D . f(x)在区间[4π,6π]上是减函数12. (2分)若函数的零点为2,那么函数的零点是()A . 0,2B . 0,C . 0,D . 2,二、填空题 (共4题;共7分)13. (1分) (2018高一下·濮阳期末) 在中,,,是斜边上的两个动点,且,则的取值范围为________.14. (2分) (2020高一上·温州期末) 已知,则 ________,________.15. (2分)设函数f(x)=sinx+cosx,则f(x)的最大值________;f(x)的一条对称轴为________.16. (2分) (2019高三上·杭州月考) 在中,,,,,则的最小值为________ ,又若,则 ________.三、解答题 (共6题;共55分)17. (10分) (2020高一下·江西期中) 若角的终边上有一点,且 .(1)求m的值;(2)求的值.18. (5分) (2018高二上·云南期中) 直线与直线相交于点 ,求(Ⅰ)过点与直线平行的直线方程;(Ⅱ)过点与直线垂直的直线方程.19. (10分) (2017高二下·淮安期末) 已知函数f(x)=Asin(ωx+φ)(A>0,ω>0,|φ|<π)的部分图象如图所示(1)求函数f(x)的单调递减区间;(2)求函数f(x)在区间上的取值范围.20. (15分) (2017高一下·广州期中) 已知向量,且,(1)求的取值范围;(2)求证;(3)求函数的取值范围.21. (5分) (2017高一上·嘉峪关期末) 如图,在正方体ABCD﹣A1B1C1D1中,E是AA1的中点,求证:(Ⅰ)A1C∥平面BDE;(Ⅱ)平面A1AC⊥平面BDE.22. (10分) (2018高二下·抚顺期末) 在平面直角坐标系中,已知倾斜角为的直线经过点.以坐标原点为极点, 轴的正半轴为极轴建立极坐标系,曲线的极坐标方程为 .(1)写出曲线的普通方程;(2)若直线与曲线有两个不同的交点,求的取值范围.参考答案一、选择题 (共12题;共24分)1-1、2-1、3-1、4-1、5-1、6-1、7-1、8-1、9-1、10-1、11-1、12-1、二、填空题 (共4题;共7分)13-1、14-1、15-1、16-1、三、解答题 (共6题;共55分)17-1、17-2、18-1、19-1、19-2、20-1、20-2、20-3、21-1、22-1、22-2、。
山西省晋中市2019年高一下学期数学期中考试试卷C卷姓名:________ 班级:________ 成绩:________一、单选题 (共10题;共20分)1. (2分) (2017高一上·红桥期末) 把216°化为弧度是()A .B .C .D .2. (2分)向量与的夹角为,,则=()A .B .C . 4D . 123. (2分)中,三边长a,b,c满足,那么的形状为()A . 锐角三角形B . 钝角三角形C . 直角三角形D . 以上均有可能4. (2分) (2016高二上·晋江期中) 在锐角△ABC中,已知| |=4,| |=1,S△ABC= ,则等于()A .B . 13C .D . 175. (2分) (2019高三上·西湖期中) 已知函数的部分图象如图所示,且,则的值为()A .B .C .D .6. (2分) (2019高一上·公主岭月考) 函数 x的最小值、最大值分别是()A .B .C .D .7. (2分)向量在向量上的投影是()A . 3B . -3C . 15D . -158. (2分)已知三角形面积为1,外接圆面积为π,则这个三角形的三边之积为()A . 1B . 2C . 3D . 49. (2分) (2019高三上·凤城月考) 在中三条边,,成等差数列,且,,则的面积为()A .B .C .D .10. (2分) (2019高二下·蕉岭月考) 中国宋代的数学家秦九韶曾提出“三斜求积术”,即假设在平面内有一个三角形,边长分别为,三角形的面积可由公式求得,其中为三角形周长的一半,这个公式也被称为海伦-秦九韶公式,现有一个三角形的边长满足,则此三角形面积的最大值为()A .B .C .D .二、多选题 (共2题;共6分)11. (3分)(2020·淮北模拟) 关于函数,下列说法正确的是()A . 函数以为周期且在处取得最大值B . 函数以为周期且在区间单调递增C . 函数是偶函数且在区间单调递减D . 将的图像向右平移1个单位得到12. (3分) (2020高一下·沈阳期中) 在△ABC中,角A,B,C所对的边分别为a,b,c,若,则△ABC不可能为()A . 钝角三角形B . 直角三角形C . 等腰三角形D . 等边三角形三、填空题 (共3题;共3分)13. (1分) (2018高二下·磁县期末) 设向量,,若与垂直,则的值为________14. (1分) (2017高一下·蚌埠期中) ﹣ =________.15. (1分)(2017·扬州模拟) 在△ABC中,D、E分别是AB、AC的中点,M是直线DE上的动点.若△ABC 的面积为2,则• + 2的最小值为________.四、双空题 (共1题;共1分)16. (1分)如图为y=Asin(ωx+φ)(A>0,ω>0,|ϕ|≤ )的部分图象,则该函数的解析式为________.五、解答题 (共6题;共52分)17. (10分)写出三角函数诱导公式(一)~(六)18. (10分)已知,,,在上是否存在点M,使,若存在,求出点M的坐标;若不存在,请说明理由.19. (10分)已知函数.(1)求函数f(x)的最小正周期;(2)求f(x)在区间[0,2π]上的最大与最小值以及对应的x的值.20. (10分)(2018·全国Ⅰ卷理) 在平面四边形中,(1)求 ;(2)若求 .21. (10分)函数f(x)=Asin(ωx+φ),(A>0,ω>0,0<φ<)的图象如图所示.(1)求函数f(x)的解析式;(2)已知0<α<且f()= ,求sinα的值.22. (2分) (2018高一下·龙岩期末) 已知 .(Ⅰ)求的值;(Ⅱ)求的值.参考答案一、单选题 (共10题;共20分)1-1、2-1、3-1、4-1、5-1、6-1、7-1、8-1、9-1、10-1、二、多选题 (共2题;共6分)11-1、12-1、三、填空题 (共3题;共3分)13-1、14-1、15-1、四、双空题 (共1题;共1分) 16-1、五、解答题 (共6题;共52分)18-1、19-1、19-2、20-1、20-2、21-1、21-2、22-1、。
山西省晋中市 2019 版高一下学期数学期中考试试卷 C 卷姓名:________班级:________成绩:________一、 单选题 (共 8 题;共 16 分)1. (2 分) (2018 高一上·石家庄月考) 已知,则等于( )A.B.C.D. 2. (2 分) (2019 高一下·扬州期末) 若两个平面相交,则分别在这两个平面内的两条直线( ) A . 平行 B . 异面 C . 相交 D . 以上皆有可能3. (2 分) 已知,,则()A. B.C.第 1 页 共 11 页D. 4. (2 分) (2019 高二上·吉林期中) 在△ABC 中,内角 A,B,C 的对边分别为 a,b,c,a=1,c=2,B= 30°,则△ABC 的面积为( )A.B. C.1D.5. (2 分) (2018 高一下·雅安期中) 在锐角三角形中, , , 分别是角 , , 的对边,=,则的取值范围为( )A.B. C.D.6. (2 分) (2019 高一下·大庆月考) 在中,角 , , 所对的边的长分别为 , , ,若,则的形状是( )A . 锐角三角形B . 直角三角形C . 钝角三角形D . 正三角形7. (2 分) 已知, 则 sin2 =第 2 页 共 11 页A. B. C. D. 8. (2 分) 一正方体木块如图所示,点 P 在平面 A′C′内,经过 P 和棱 BC 将木料锯开,锯开的面必须平整, 有 N 种锯法,则 N 为( )A.0 B.1 C.2 D . 无数二、 多选题 (共 4 题;共 12 分)9. (3 分) (2020 高一下·徐州期中) 下列各式中,值为 A . 2sin15°cos15°的是( )B. C . 1﹣2sin215° D. 10. (3 分) (2020 高一下·济南月考) 下列说法正确的有( )第 3 页 共 11 页A.在 B.在 C.在中, 中,若 中,若,则,则,若,则D.在中,11. (3 分) (2020·肥城模拟) 在空间四边形中,平面时,下面结论正确的是( )A.一定是各边的中点B.一定是的中点C.,且D . 四边形是平行四边形或梯形都成立 分别是上的点,当12. (3 分) (2020 高一下·徐州期中) 在中,,确的是( )A.,下列各式正B. C.D.三、 填空题 (共 4 题;共 4 分)13. (1 分) (2018·黑龙江模拟) 已知,则________.14. (1 分) (2016 高二上·普陀期中) 两条异面直线所成的角的取值范围是________.15. (1 分) (2018 高二下·大名期末) 在 ________.中,若第 4 页 共 11 页,则的面积为16. (1 分) (2019 高一下·上海月考) △ABC 中,则________.四、 解答题 (共 6 题;共 60 分)17. (10 分) (2017 高二上·中山月考) 在且满足.中,角 , , 的对边分别为 , , ,(1) 求角 的大小;(2) 若,的面积为 ,求的周长.18. (10 分) (2016·安徽) 设函数 f(x)= (Ⅰ)求 f(x)的最小正周期;cos(2x+ )+sin2x(Ⅱ)设函数 g(x)对任意 x∈R,有 g(x+ (x)在区间[﹣π,0]上的解析式.)=g(x),且当 x∈[0,]时,g(x)=﹣f(x),求 g19. (10 分) 如图,在正三棱柱 ABC﹣A1B1C1 中,点 D 是棱 AB 的中点,BC=1,AA1= .(1) 求证:BC1∥平面 A1DC; (2) 求二面角 D﹣A1C﹣A 的平面角的正弦值. 20. (10 分) (2017·山西模拟) 已知△ABC 中,内角 A,B,C 的对边分别为 a,b,c,且 tanA,tanB 是关于 x 的方程 x2+(1+p)x+p+2=0 的两个根,c=4. (1) 求角 C 的大小; (2) 求△ABC 面积的取值范围.21. (10 分) (2016 高二上·桂林期中) 已知△ABC 的三个内角 A,B,C,满足 sinC=.(1) 判断△ABC 的形状;第 5 页 共 11 页(2) 设三边 a,b,c 成等差数列且 S△ABC=6cm2,求△ABC 三边的长. 22. (10 分) (2018 高一下·涟水月考) 已知△ABC 的三个内角 A、B、C 的对边分别是 a, b, c,且(1) 求 B 的大小 (2) 若,求△ABC 的面积.第 6 页 共 11 页一、 单选题 (共 8 题;共 16 分)1-1、 2-1、 3-1、 4-1、 5-1、 6-1、 7-1、 8-1、二、 多选题 (共 4 题;共 12 分)9-1、 10-1、 11-1、 12-1、三、 填空题 (共 4 题;共 4 分)13-1、 14-1、参考答案第 7 页 共 11 页15-1、16-1、四、 解答题 (共 6 题;共 60 分)17-1、17-2、18-1、第 8 页 共 11 页19-1、19-2、第 9 页 共 11 页20-1、 20-2、21-1、第 10 页 共 11 页21-2、22-1、22-2、第11 页共11 页。
山西省晋中市2019-2020年度高一下学期期中数学试卷C卷姓名:________ 班级:________ 成绩:________一、选择题 (共12题;共24分)1. (2分) (2017高三上·郫县期中) 已知△ABC的三个内角A、B、C所对的边长分别是a、b、c,且,若将函数f(x)=2sin(2x+B)的图象向右平移个单位长度,得到函数g(x)的图象,则g(x)的解析式为()A .B .C . 2sin2xD . 2cos2x2. (2分)已知与为互相垂直的单位向量,,且与的夹角为锐角,则实数的取值范围是()A .B .C .D .3. (2分)已知cosθtanθ<0,那么θ是第几象限的角()A . 第一或第二B . 第二或第三C . 第三或第四D . 第一或第四4. (2分) (2016高二下·揭阳期中) 已知x0= 是函数f(x)=sin(2x+φ)(|φ|<)的一个极大值点,则f(x)的一个单调递减区间是()A . (,)B . (,)C . (,π)D . (,π)5. (2分)若向量、、满足 + + = ,| |=3,| |=1,| |=4,则• +• + • 等于()A . ﹣11B . ﹣12C . ﹣13D . ﹣146. (2分)(2017·山东模拟) 已知,则sin2α的值为()A .B . -C .D . -7. (2分)函数y=x+sin|x|,x∈[﹣π,π]的大致图象是()A .B .C .D .8. (2分)设a=sin, b=cos, c=tan,则()A . b<a<cB . b<c<aC . a<b<cD . a<c<b9. (2分)(2018·宣城模拟) 边长为2的等边所在平面内一点满足,则()A .B .C .D .10. (2分) (2016高一上·绍兴期中) 已知函数f(x)=x2+px+q与函数y=f(f(f(x)))有一个相同的零点,则f(0)与f(1)()A . 均为正值B . 均为负值C . 一正一负D . 至少有一个等于011. (2分) (2019高一上·广东月考) 已知函数的定义域为,值域为,则的值不可能是()A .B .C .D .12. (2分)已知点M(5,﹣6)和向量=(1,-2)若=-3,则点N的坐标为()A . (2,0)B . (﹣3,6)C . (6,2)D . (﹣2,0)二、填空题 (共4题;共4分)13. (1分) (2017高二下·鸡西期末) 设扇形的周长为,面积为,则扇形的圆心角的弧度是________.14. (1分) (2018高一下·平原期末) 已知向量 .若,则实数的值为________.15. (1分) (2016高一下·咸阳期末) 若sin(π﹣α)= ,且α是锐角,则tan2α=________.16. (1分)在空间四边形ABCD中, =________.三、解答题 (共6题;共40分)17. (10分) (2016高二上·水富期中) 已知向量 =(1,sinx), =(cos(2x+ ),sinx),函数f (x)= • ﹣ cos2x(1)求函数f(x)的解析式及其单调递增区间;(2)当x∈[0, ]时,求函数f(x)的值域.18. (5分)求值:.19. (5分)设f(x)=sinxcosx﹣cos2(x+ ).(Ⅰ)求f(x)的最小正周期;(Ⅱ)在锐角△ABC中,角A,B,C的对边分别为a,b,c.若f()= ,a=1,b+c=2,求△ABC 的面积.20. (5分)(2018·丰台模拟) 已知函数.(Ⅰ)求的最小正周期;(Ⅱ)求在上的单调递增区间.21. (5分) (2017高一上·新疆期末) 已知A(x1 , f(x1),B(x2 , f(x2))是函数f(x)=2sin(ωx+φ)(ω>0,﹣<φ<0)图象上的任意两点,且初相φ的终边经过点P(1,﹣),若|f(x1)﹣f(x2)|=4时,|x1﹣x2|的最小值为.(Ⅰ)求函数f(x)的解析式;(Ⅱ)当x∈[0, ]时,求函数f(x)的单调递增区间;(Ⅲ)当x∈[0, ]时,不等式mf(x)+2m≥f(x)恒成立,求实数m的取值范围.22. (10分)已知,在中,分别为内角所对的边,且对满足.(1)求角的值;(2)若,求面积的最大值.参考答案一、选择题 (共12题;共24分)1-1、2-1、3-1、4-1、5-1、6-1、7-1、8-1、9-1、10-1、11-1、12-1、二、填空题 (共4题;共4分)13-1、14-1、15-1、16-1、三、解答题 (共6题;共40分) 17-1、17-2、18-1、19-1、20-1、21-1、22-1、22-2、。
山西省晋中市高一下学期数学期中考试试卷(C)姓名:________ 班级:________ 成绩:________一、单选题 (共10题;共20分)1. (2分)设变量满足条件则点所在区域的面积为()A . 4B . 6C . 8D . 102. (2分) (2016高一上·重庆期中) 设2a=5b=m,且,则m=()A .B . 10C . 20D . 1003. (2分) (2019高三上·台州期末) 设集合, N ,则()A .B .C .D .4. (2分)函数图象的一条对称轴是()A .B .C .D .5. (2分) (2018高二上·吉林期末) 在的展开式中,含项的系数为()A . 30B . 20C . 15D . 106. (2分) (2019高二上·兴宁期中) 已知点P(3,2)与点Q(1,4)关于直线对称,则直线的方程为()A . x+y+1=0B . x-y=0C . x-y+1=0D . x+y=07. (2分) (2018高一下·北京期中) 已知平面向量,,则向量等于()A .B .C .D .8. (2分)设a,b,x,y∈R+且,若z=ax+by的最大值为2,则的最小值为()A . 25B . 19C . 13D . 59. (2分)若,则下列结论正确的是()A .B .C .D .10. (2分)若函数的图象(部分)如图所示,则的取值是()A .B .C .D .二、填空题 (共5题;共5分)11. (1分) (2015高二下·宜春期中) 已知f(x)=∫0x(2t﹣4)dt,则当x∈[1,3]时,f(x)的最小值为________.12. (1分) (2019高一上·新丰期中) 函数的定义域是________.13. (1分)已知集合A={x|x2+x﹣6=0},B={x|ax+1=0},满足A⊋B,则a能取的一切值是________14. (1分) (2019高二上·成都期中) 已知x、y满足不等式组,则z=3x+y的最大值为________.15. (1分) (2016高一上·如东期中) 设函数,若函数值f(0)是f(x)的最小值,则实数a的取值范围是________.三、解答题 (共6题;共50分)16. (10分) (2019高三上·汉中月考) 已知二次函数的图象经过点,方程的解集是 .(1)求的解析式;(2)若,求在上的最值.17. (10分) (2018高一上·河北月考) 已知集合A={x|4≤x<8},B={x|5<x<10},C={x|x>a}(1)求A∪B;(∁RA)∩B;(2)若A∩C≠ ,求a的取值范围.18. (5分)已知函数f(x)=cos4x+2sinxcosx﹣sin4x+1(1)求f(x)的最小正周期.(2)求f(x)的单调区间.19. (5分) (2020高一下·海淀期中) 已知向量,,,求作和 .20. (10分)已知(+3x2)n的展开式中,各项系数和比它的二项式系数和大992,求:(1)展开式中二项式系数最大的项;(2)展开式中系数最大的项.21. (10分) (2016高一上·昆明期中) 计算题(1) 0.027 +()﹣3﹣1+(﹣1)0;(2)计算:lg25+lg4+7 +log23•log34.参考答案一、单选题 (共10题;共20分)1-1、2-1、3-1、4-1、5-1、6-1、7-1、8-1、9-1、10、答案:略二、填空题 (共5题;共5分)11-1、12-1、13-1、14-1、15-1、三、解答题 (共6题;共50分)16-1、16-2、17-1、17-2、18-1、19-1、20-1、21-1、21-2、。
山西省晋中市 2019 年高一下学期数学期中考试试卷 C 卷
姓名:________
班级:________
成绩:________
一、 单选题 (共 10 题;共 20 分)
1. (2 分) 等差数列 中,
则
()
A . 33
B . 28
C . 38
D . 52
2. (2 分) (2018 高一下·百色期末) 正方体
-
为( )
中, 与平面
所成角的余弦值
A. B. C.
D.
3. ( 2 分 ) (2019 高 二 上 · 郑 州 期 中 ) 在
中,
则
的值等于( )
A. B. C.
第 1 页 共 10 页
D.
4. (2 分) 不等式
的解( )
A.
B.
C.
D.
5. (2 分) 已知 a>0,b>0,若 a+b=4,则( )
A . a2+b2 有最小值
B . 有最小值
C.
有最大值
D.
有最大值
6. (2 分) 福州为了迎接青运会,计划从 2011 年到 2015 年,每年年初投入资金用于更新和改进体育场所与 设施,若 2011 年年初投入 a 万元,以后每年年初投入的资金比上一年递增 10%,则投入的总资金约为(参考数据 1.14≈1.46,1.15≈1.61)( )
A . 4.6a 万元
B . 6.1a 万元
C . 14.6a 万元
D . 16.1a 万元
7. (2 分) 设 方程为( )
的一个顶点是
的平分线所在直线方程分别为
则直线 的
A.
B.
第 2 页 共 10 页
C.
D. 8. (2 分) 已知点
是直线
上的任意一点,则
的最小值为( )
A.
B. C. D.
9. (2 分) 设等比数列{an}的公比 q=2,前 n 项和为 Sn,则 ( ) A.
B.
C.
D.
10. (2 分) 已知数列{an}是公比大于 1 的等比数列,a6•a12=6,a4+a14=5,则
等于( )
A.
B.
C. 或
D . ﹣ 或﹣
二、 多选题 (共 2 题;共 6 分)
11. (3 分) (2019 高二上·中山月考) 在数列 中,若
第 3 页 共 10 页
,(
,
, 为常数),
则称 为“等方差数列”.下列对“等方差数列”的判断正确的是( )
A . 若 是等差数列,则 是等方差数列
B.
是等方差数列
C . 若 是等方差数列,则
(
, 为常数)也是等方差数列
D . 若 既是等方差数列,又是等差数列,则该数列为常数列
12. (3 分) (2019 高一上·涟水月考) 下列说法中正确的有( )
A . 正角的正弦值是正的,负角的正弦值是负的,零角的正弦值是零
B . 若三角形的两内角
满足
,则此三角形必为钝角三角形
C . 对任意的角 ,都有
D . 对任意角
,都有
三、 填空题 (共 4 题;共 4 分)
13. (1 分) (2017 高一下·邢台期末) 若直线 ax+y=0 与直线 x+ay+a﹣1=0 平行,则 a=________.
14. (1 分) (2015 高二下·遵义期中) 在数列{an}中,a1=1,an+1= 式为________.
15. ( 1 分 ) (2019 高 二 下 · 九 江 期 末 ) 在
中,角
(n∈N*)猜想这个数列的通项公
所对的边分别为
,已知
,且
的面积为 ,则
的周长为________.
16. (1 分) (2019·浙江模拟) 设 的最大值是________.
四、 解答题 (共 6 题;共 60 分)
为三个非零向量,且
17. (10 分) (2020 高一上·林芝期末) 已知
的三个顶点是
,
第 4 页 共 10 页
,则
,
.
(1) 求 边的高所在直线 的方程;
(2) 若直线 过 点,且 、 到直线 的距离相等,求直线 的方程.
18. (10 分) (2020·华安模拟) 已知 .
的内角 、 、 所对的边分别为 , , ,且
(1) 若
,角
,求角 的值;
(2) 若
,
,求 , 的值.
19. (10 分) (2018 高二上·新乡月考) 在等差数列 中,
,
.
(Ⅰ)求数列 的通项 ;
(Ⅱ)令
,证明:数列 为等比数列;
(Ⅲ)求数列
的前 项和 .
20. (10 分) 解不等式: (1)
(2) 21. (10 分) (2016 高一下·宿州期中) 在数列{an}中,a1=2,an+1=4an﹣3n+1,n∈N* . (1) 证明数列{an﹣n}是等比数列; (2) 求数列{an}的前 n 项和 Sn; (3) 证明不等式 Sn+1≤4Sn , 对任意 n∈N*皆成立.
22. (10 分) (2017 高一下·宜春期末) 在△ABC 中,角 A、B、C 所对的边分别为 a、b、c,已知 a= ,
cosA=
,B=A+
(1) 求 b 的值;
第 5 页 共 10 页
(2) 求△ABC 的面积.
第 6 页 共 10 页
一、 单选题 (共 10 题;共 20 分)
1-1、 2-1、 3-1、 4-1、 5-1、 6-1、 7-1、 8-1、 9-1、 10-1、
二、 多选题 (共 2 题;共 6 分)
11-1、 12-1、
三、 填空题 (共 4 题;共 4 分)
13-1、 14-1、
参考答案
第 7 页 共 10 页
15-1、 16-1、
四、 解答题 (共 6 题;共 60 分)
17-1、
17-2、 18-1、
18-2、
第 8 页 共 10 页
19-1、 20-1、
20-2、 21-1、
第 9 页 共 10 页
21-2、 21-3、 22-1、 22-2、
第 10 页 共 10 页
。